化工原理下册 习题 及章节总结 (陈敏恒版)
- 格式:doc
- 大小:114.28 KB
- 文档页数:7
第八章课堂练习:1、吸收操作的基本依据是什么?答:混合气体各组分溶解度不同2、吸收溶剂的选择性指的是什么:对被分离组分溶解度高,对其它组分溶解度低3、若某气体在水中的亨利系数 E 值很大,说明该气体为难溶气体。
4、易溶气体溶液上方的分压低,难溶气体溶液上方的分压高。
5、解吸时溶质由液相向气相传递;压力低,温度高,将有利于解吸的进行。
6、接近常压的低浓度气液平衡系统,当总压增加时,亨利常数 E 不变, H 不变,相平衡常数 m 减小1、①实验室用水吸收空气中的O2 ,过程属于( B )A 、气膜控制B、液膜控制C、两相扩散控制② 其气膜阻力(C)液膜阻力 A 、大于B、等于C、小于2、溶解度很大的气体,属于气膜控制3、当平衡线在所涉及的范围内是斜率为m 的直线时,则 1/Ky=1/ky+ m /kx4、若某气体在水中的亨利常数 E 值很大,则说明该气体为难溶气体5 、总传质系数与分传质系数之间的关系为l/KL=l/kL+1/HkG ,当(气膜阻力 1/HkG) 项可忽略时,表示该吸收过程为液膜控制。
1、低含量气体吸收的特点是L 、 G 、Ky 、 Kx 、T 可按常量处理2、传质单元高度HOG 分离任表征设备效能高低特性,传质单元数NOG 表征了(分离任务的难易)特性。
3、吸收因子 A 的定义式为 L/ ( Gm ),它的几何意义表示操作线斜率与平衡线斜率之比4、当 A<1 时,塔高 H= ∞,则气液两相将于塔底达到平衡5、增加吸收剂用量,操作线的斜率增大,吸收推动力增大,则操作线向(远离)平衡线的方向偏移。
6、液气比低于(L/G ) min 时,吸收操作能否进行?能此时将会出现吸收效果达不到要求现象。
7、在逆流操作的吸收塔中,若其他操作条件不变而系统温度增加,则塔的气相总传质单元高度 HOG 将↑,总传质单元数NOG将↓,操作线斜率(L/G )将不变。
8、若吸收剂入塔浓度 x2 降低,其它操作条件不变,吸收结果将使吸收率↑,出口气体浓度↓。
第9章 液体精馏(一)习题 相平衡9-1 总压为101.3kPa 下,用苯、甲苯的安托因方程,求:(1)温度为108℃及81℃时,苯对甲苯的相对挥发度;(2)用上述计算的相对挥发度的平均值αm ,计算苯-甲苯的汽液平衡数据,并与书末附录中所列的实验值作比较(列表)。
解:已知:苯(A )-甲苯(B )溶液,,,。
求:(1);(2)表。
(1)t 1=108℃时kPa P P A A 8.222348.28.2201081211031.6lg ==+-=︒︒,kPa P P B B 0.94972.15.2191081345080.6lg ==+-=︒︒,370.20.948.2221===︒︒B A P P αt 2=81℃时018.28.220811211031.6lg =+-=︒A P ,kPa P A 33.104=︒604.15.219811345080.6lg =+-=︒B P ,kPa P B 19.40=︒596.219.4033.1042===︒︒B A P P α(2)相对挥发度的平均值为由求得苯-甲苯的汽液平衡数据及实验值如表9-2-1所示。
表9-2-1最大误差为。
9-2 乙苯、苯乙烯混合物是理想物系,纯组分的蒸气压为:乙苯 t P A +-=︒206.213225.142408240.6lg苯乙烯 tP B +-=︒43.20958.144508232.6lg式中p °的单位是kPa ,t 的单位为℃。
试求:(1)塔顶总压为8kPa 时,组成为0.595(乙苯的摩尔分数)的蒸汽温度;(2)与上述汽相成平衡的液相组成。
解:已知:乙苯(A )-苯乙烯(B )溶液理想物系,P =8kPa ,y A =0.595,t P A +-=︒206.213225.142408240.6lg ,tP B +-=︒43.20958.144508232.6lg 。
求:(1)t ;(2)x A 。
第9章 液体精馏(一)习题 相平衡9-1 总压为101.3kPa 下,用苯、甲苯的安托因方程,求:(1)温度为108℃及81℃时,苯对甲苯的相对挥发度;(2)用上述计算的相对挥发度的平均值αm ,计算苯-甲苯的汽液平衡数据,并与书末附录中所列的实验值作比较(列表)。
解:已知:苯(A )-甲苯(B )溶液,,,。
求:(1);(2)表。
(1)t 1=108℃时kPa P P A A 8.222348.28.2201081211031.6lg ==+-=︒︒,kPa P P B B 0.94972.15.2191081345080.6lg ==+-=︒︒,370.20.948.2221===︒︒B A P P αt 2=81℃时018.28.220811211031.6lg =+-=︒A P ,kPa P A 33.104=︒604.15.219811345080.6lg =+-=︒B P ,kPa P B 19.40=︒596.219.4033.1042===︒︒B A P P α(2)相对挥发度的平均值为由求得苯-甲苯的汽液平衡数据及实验值如表9-2-1所示。
表9-2-1最大误差为。
9-2 乙苯、苯乙烯混合物是理想物系,纯组分的蒸气压为:乙苯 t P A +-=︒206.213225.142408240.6lg苯乙烯 tP B +-=︒43.20958.144508232.6lg式中p °的单位是kPa ,t 的单位为℃。
试求:(1)塔顶总压为8kPa 时,组成为0.595(乙苯的摩尔分数)的蒸汽温度;(2)与上述汽相成平衡的液相组成。
解:已知:乙苯(A )-苯乙烯(B )溶液理想物系,P =8kPa ,y A =0.595,t P A +-=︒206.213225.142408240.6lg ,tP B +-=︒43.20958.144508232.6lg 。
求:(1)t ;(2)x A 。
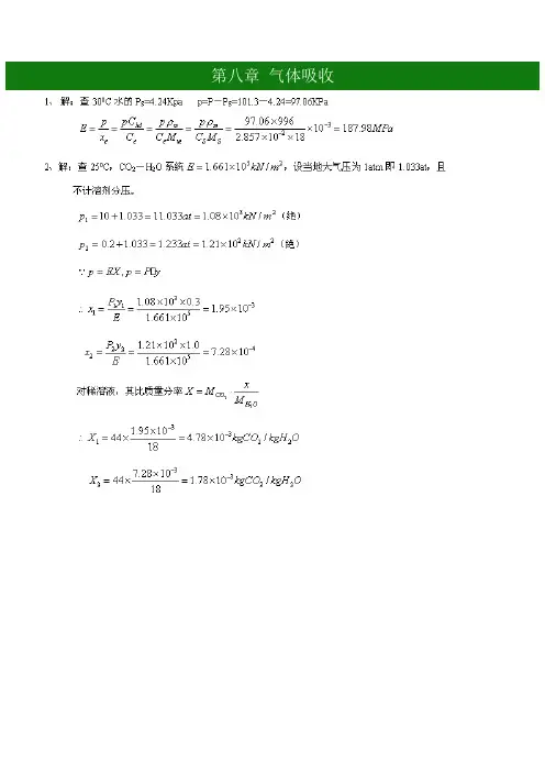
第八章气体吸收1.解:查引忙水的P£=4_24K:pa p=P-P3=lC1.3~4J4=97.0l5KPa 用十警=筮=歳riS笫xg®込解:査25兀,COa-HaO系统£ = 1,661x1"樹加i设当地大气压为I atm SP 1.033at,且不计S剂分压n巧=10+ 1.033= 11.033^2 =1.08^10^(绝)= 0.2+1.033= 1.23S3fi = 1.21xl0Wf^^ (绝)对稀濬痕其比质量分率代九.金1 0气址10今.'.X] = 44x ---------- =47弘訂艇禺。
187 >Cyin7& = 44K --------- = 1.73x10T辰Cq /炫禺018爪解1邓忙时,总二4.06x1^朋玖二406x1(/脸勺=1.38x10-^x32x10^ =4』27蛾£4> 解;筋0—Cb系统,2邙C时,^1 = 0.537xW^A?Pa = 0.537xl0W(2皆竺=竺沁竺曲"2仆计P101.3(q - jf) = 1.09x10'^ (y-儿)二0,005764UC, ^2 = 0 80x10^= 0.8x10^% _空-更迪込"如计PlOlJ兀-A =0.47x10"^ y-” = 0.003685、解:= fn^x= 50x2x10 "^= 0,01^-y^)j = 0.025-0.01 = 0.015(兀7)1 = (5-2)x10 Y= 3x10^丁 =坷乜=50 X— = 25P Q 2儿=??j2;c = 25x2x10 "=50x10**"話詈"2(y-儿L = 0 025-0.005 = 0,02(心-x)2 =(10-2)x10, = 8x10」说備2倍於=辟5& 解:査20忙水,Pa = 23346KPa, p& = 101.3-23346= 989654畑P 型=101.3-1・33 = 99・97级0OCQo = Q220xlL//s 辿工Q= O・252X1OY//S6K吸="F以呢0 =——=——91 D(严-仙W/6W =以羽=旳991 9 >9 0,孑叭刀% 诫弟宓"莎+而=百+-=^+T=〒⑴'鶴曲z/yifoixkt/ih< Z 、Z0lP8・[£x 01X89乙•0X81(昨丁皿回0恥他吨逊o心66二, 乙、/%用(迢严W)惫k, ■ or "d测0泌"e%J藍而"匕善5烽4宀1JV甲十I g=E^ = 3^N .*.BE 陀ef——W B W2护气兄 =-- =-= ---- 才=叫£H巾乙82£-09£^d-^d另肿域3乙厶= Z8T£-O9L = "d钟朋乙8 L£ W列L储吐觀°严/^匚966=旷$/严囚9?0=(7 5战S 常V吗6丁0 = $厶口乙=」7Vg L万=2厂険(吆-叱(〒)〒二可巩丁万/N9、解J (1) —=—+— T 疋=2.2x10*R«0"(s /) Ky 上y kxM =儿)=2・2xl0」x(0・05-2xa01) = 6・6"0"j^o/G ・M2) ⑵降螟培上回=0.0232〔空)0•气上_尸33d A pD・.・Q « P,D 8 —dkg g —斗y =上占与P 无关EP洛=—=M = —m = 1-25P p "F?+忌 nK 尸"281*1°厂 y ; = 0.05-1.25x0.01 "1 =疋;Cx-儿 riaxio"眄= 577%、〒" 1 1 W210、证明 5 '<* -- =—H -----Hy 上y &上占+竺心 C a 匕 a Lak,jf/HSP % =眩+ -% X而用=%叫=%叫 两式相除得%=轨闲Na=-MoG 证毕•J 411、证昵 由物料衡算得 "鬲十2®-儿)L底浓度吸收儿=mx ・》咛竽小2)G mG-L得3訂=寻訂=汕了 __________ 1 _________ / __________________ 变 _________如G-J-J”沁 严-」%加、丄严G 、y 八 歹-牴--0-乃) G--)歹十(可丁2 ■也巧)“pnG1(1-- )M +J —In _______ ________ L ________空 乃-叨心L•••丄("一©) = GO,— ”)wzG mO一厂片_ 一匸儿+刑叫a 給(討款F1 _ wCJ _ ?w _ 1 A Z 剛旳的21=丄必1_715、解:(1)比=X (1-7)= 0・02X (1・0.95) = 0・001A = 1.50,-J 2)/(^-A2)= 1.5X (0.02-0.001)/(^^-0.0004) = 1.75 G广 jK] = ¥%-}^) + E = ;p^x(0.02-aCJ01)+00004 = 0.0113 (2) A/1 =yj-wx, = 0.02-12x0.0113= 6.44x10-3场=乃一加心=0 001-1-2x0.0004 = 5.2x10^咲。
十万种考研考证电子书、题库视频学习平台圣才电子书 陈敏恒《化工原理》(第4版)(下册)章节题库第8章气体吸收一、选择题1.吸收过程中,当L 增大,G 减小时,则推动力将(),传质单元数将()。
A.增大,增大B.增大,减小C.减小,减小D.减小,增大【答案】B 2.在吸收操作中,以液相组成差表示的吸收塔某一截面上的总推动力为()。
A.B.C.D.【答案】A3.纯水吸收操作时,入塔气体浓度升高,L/G 及出口吸收液中要求不变,则气体出塔浓度将(),吸收率η将会()。
十万种考研考证电子书、题库视频学习平台圣才电子书A.增大,增大B.减小,增大C.增大,减小D.减小,减小【答案】A4.在下列吸收过程中,属于气膜控制的过程是()。
A.水吸收氧B.水吸收氢C.水吸收氨D.水吸收二氧化碳【答案】C5.吸收过程的推动力为()。
A.气相浓度与液相浓度之差B.气相实际浓度与平衡浓度之差C.气相温度与液相温度之差D.气相实际温度与平衡温度之差【答案】B6.在吸收系数的准数关联式中,反映物性影响的准数是()。
A.ShB.ReC.GaD.Sc【答案】D7.用水吸收低浓度,如果在水中加入碱,则此时会()。
A.变小B.变大C.不变D.不确定【答案】B8.某低浓度逆流吸收塔在正常操作一段时间后,发现气体出口含量y2增大,原因可能是()。
A.气体进口含量y1下降B.吸收剂温度降低C.入塔的吸收剂量减少D.前述三个原因都有【答案】C9.高含量气体吸收与低含量气体吸收的根本区别在于()。
A.高含量气体的吸收率高B.低含量气体难以吸收C.高含量气体的L和G不为常数D.低含量气体吸收塔出口浓度较低【答案】C10.在吸收塔某处,气相主体浓度y=0.025,液相主体浓度x=0.01,气相传质分系数,气相总传质系数,则该处气液界面上气相浓度y i应为(),已知气液平衡关系是y=0.5x。
A.0.02B.0.01C.0.015D.0.005【答案】B11.吸收过程的吸收因数A表示为()。
第10章气液传质设备一、选择题1.以下参数中,属于板式塔结构参数的是();属于操作参数的是()。
A.板间距B.孔数C.孔速D.板上清液层高度【答案】AB;CD2.设计筛板塔时,若改变某一结构参数,会引起负荷性能图的变化。
下面叙述中正确的一组是()。
A.板间距降低,使雾沫夹带线上移B.板间距降低,使液泛线下移C.塔径增大,使液泛线下移D.降液管面积增加,使雾沫夹带线下移【答案】D3.塔板上设置入口安定区的目的是(),设置出口安定区的目的是()。
A.防止气体进入降液管B.避免严重的液沫夹带C.防止越堰液体的气体夹带量过大D.避免板上液流不均匀【答案】A;C4.填料的静持液量与()有关,动持液量与()有关。
A.填料特性B.液体特性C.气相负荷D.液相负荷【答案】AB;ABCD5.用填料吸收塔分离某气体混合物,以下说法正确的是()。
A.气液两相流动参数相同,填料因子增大,液泛气速减小B.气液两相流动参数相同,填料因子减小,液泛气速减小C.填料因子相同,气液两相流动参数增大,液泛气速减小D.填料因子相同,气液两相流动参数减小,液泛气速减小【答案】AC6.以下说法正确的是()。
A.等板高度是指分离效果相当于1m填料的塔板数B.填料塔操作时出现液泛对传质无影响C.填料层内气体的流动一般处于层流状态D.液泛条件下单位高度填料层的压降只取决于填料种类和物系性质二、填空题1.在传质设备中,塔板上的气液两相之间可能的接触状态有:______、______和______。
板式塔操作的转相点是指______。
【答案】鼓泡;泡沫;喷射;由泡沫状态转为喷射状态的临界点2.在设计或研制新型气液传质设备时,要求设备具有______ 、______、______。
【答案】传质效率高;生产能力大;操作弹性宽;塔板压降小;结构简单(以上答案中任选三个)3.对逆流操作的填料塔,液体自塔______部进入,在填料表面呈______状流下。
1 95x10-3二:.爲= 44x -------------- = 4 78x 10_3^CO 2 /kgH 2O1S■(章气体吸收L 解;查 刘叱水的 P s =4.24Kpa p=P-Ps=l01.3-4.24=37.06KPaE 厶江込二込二"06冥9严如―1沢9沏甩0 C, C,M K C S M 3 2.857X 1(FS<182、解;查25t CO 丁一巴0系统£ = 1.661x10^/^1设当地大气压为1包血即1.033at 且 不计溶剂分=10+1.033= 11.033a£ =1.08xl03jtW/m 1 (绝) p 2 = 0 2+1.033 = 1 23^ = 1.SlxlO^fcV/w?(绝) p = EX,p = FQy/>! _ 1.08X 103X 0.3~Y~1.661xlO r= 1.95xl0-s对稀溶液,其比质量分率X =1%"7 28 x 10弓X 2 = 44x- ------------- = 1.78X 10-3^(7O 2 IkgH^O3、解’ 2(PC 时,超= 406x10弓型玖二4 06x1炉防解得 w = 1.38xl0-3^Z⑴"亍^^ = 2停沪=密ws = 1.38 x 10^ x 32 x 105= 44.27 ffsg / w(2)漑-174、解:HiC-Cli系统,2WC 时,E x= 0.537 ^WMPa = 0.537xlOWa吨"金0需:黑爲W9X10-y 01X05n l s x OJ X S ZH X h H /T 2X F O I X Q I O H <—貯)M O O H S O l £O OO S £ g x :劉 Jz o J O x e x g H X r H f破/89E O O O L■S X 8O HJ.wx %「剤$5O X8O H Q CWCS X O8OH T 600寸9L O O O N (H I 5 V S X 601—•N (X I 貯)oL lx茗寸—T sl x g o /I sl xa s .oI 副2_=0:025 = 1 0xl0_3=?加2 25O 一兀)2 = 0 025 - 0.005= 0.02(x tf-x)2 = (10-2)X10-,= 8xl0-4・,匕空二匹= 1.33倍0-儿)1 0.015(x,-x)2 = 8.0x10^ = 26?倍(q-x)i 3.0X10-46、解:查20°C 水,去如二2.3346畑,去別=101.3-2.3346 = 98.9654畑= 101.3-1.33 = 99.97^QOCD O = 0.220xlO^w2/^ 20V D= 0.252xlQ-4w2/sN A-A^=^A 8M厂=2137s = 0.59 防7、解:查3(PC, _D= 0.26&//s,Q = 995.7畑/沪,饱和蒸汽压p kl = 31.22tn?nHgPn= 760-31.82 = 122>fntnHgp^7 =160fnfnHg轴羽4嗨,“0.01+为⑴齢3亦忖= 1.44x10% = 16/7 边K G a k G a k L a k y a k L a 64.6 16.6K y a = PK G a = 54.9 K泅心•心⑵K£a = HK^ = 4.62x0.542 = 2.5049、解:(1) — = —+ —^AT=2.2xlO^ Kmol f(s • tn )K y k y kxN A = K y (y-y e -) = 2.2X1Q-4 x(0.05- 2x0.01) = 6.6x10”幻沏(s /) ⑵降膜塔心= 0.023#(罟严(名严vpccP,Dcc-^=>Ar g 8 占=>匕=k g P =>k y 与P 无关 Ep淤=—=加=—fn= 1.25P P 11 — + — ^> AT 1 =2.81x10^k l y kx y尹一尹; = 0.05-1.25x0.01Kg -几)=1 05x10* -^-^ = 57.7%10、证明:*/ — ---- 1—匕K即 H 0G = kg^H L/C•.• y = tnx:. 2x = mKy而 H = H 0G W 0G = H Ql W Ql两式相除得 N OG = AN OL 即"。
第14章固体干燥一、选择题1.对非饱和空气,下列温度中最低的是()。
A.干球温度B.湿球温度C.绝热饱和温度D.露点温度【答案】D2.对某空气-水系统,空气的相对湿度为50%,则该空气的干球温度t、湿球温度t w、绝热饱和温度及露点温度t d之间的关系为()。
A.B.C.D.【答案】B3.将充分润湿的物料置于高温气体中,气体的运动速度很小,可近似地视为静止。
当物料温度达到稳定时,物料温度与湿球温度t w相比较,正确的是()。
A.B.D.【答案】A4.用空气作介质干燥热敏性物料,且干燥处于降速阶段,欲缩短干燥时间,则可采取的措施是()。
A.提高空气的温度B.增大干燥面积、减薄物料厚度C.提高空气的流速D.降低空气的相对湿度【答案】B5.对恒速干燥阶段,下列哪个描述是错误的?()A.干燥速度与物料种类有关B.干燥速度与气体的流向有关C.干燥速度与气体的流速有关D.干燥速度与气体的性质有关【答案】B6.同一物料,在一定的干燥条件下,物料分散愈细,则临界含水量()。
A.愈低B.愈高D.不确定【答案】A7.在总压一定的条件下,以下参数对中不能确定空气的露点的是()。
A.干球温度与湿球温度B.湿球温度与焓C.湿度与相对湿度D.绝热饱和温度与湿度【答案】B8.干燥热敏性物料时,为提高干燥速率不宜采取的措施是()。
A.提高干燥介质的温度B.改变物料与干燥介质的接触方式C.降低干燥介质相对湿度D.增大干燥介质流速【答案】A9.在一定空气状态下,用对流干燥方法干燥湿物料时,能除去的水分为()。
A.结合水分B.非结合水分C.平衡水分D.自由水分【答案】D二、填空题1.干燥器内部无补充加热的情况下,进干燥器的气体状态一定,干燥任务一定,则气体离开干燥器的温度越______,干燥器的热效率越______;气体离开干燥器的湿度H2越______,干燥器的热效率越______。
【答案】高;低;大;高2.湿空气经预热后相对湿度φ将_______。
化工原理第三版(陈敏恒)上、下册课后思考题答案(精心整理版)化工原理第三版(陈敏恒)上、下册课后思考题答案(精心整理版)第一章流体流动1、什么是连续性假定?质点的含义是什么?有什么条件?连续性假设:假定流体是由大量质点组成的,彼此间没有间隙,完全充满所占空间的连续介质。
质点指的是一个含有大量分子的流体微团,其尺寸远小于设备尺寸,但比分子自由程却要大得多。
2、描述流体运动的拉格朗日法和欧拉法有什么不同点?拉格朗日法描述的是同一质点在不同时刻的状态;欧拉法描述的是空间各点的状态及其与时间的关系。
3、粘性的物理本质是什么?为什么温度上升,气体粘度上升,而液体粘度下降? 粘性的物理本质是分子间的引力和分子的运动与碰撞。
通常气体的粘度随温度上升而增大,因为气体分子间距离较大,以分子的热运动为主,温度上升,热运动加剧,粘度上升。
液体的粘度随温度增加而减小,因为液体分子间距离较小,以分子间的引力为主,温度上升,分子间的引力下降,粘度下降。
4、静压强有什么特性?①静止流体中,任意界面上只受到大小相等、方向相反、垂直于作用面的压力;②作用于某一点不同方向上的静压强在数值上是相等的;③压强各向传递。
7、为什么高烟囱比低烟囱拔烟效果好?由静力学方程可以导出p H( 冷- 热)g,所以H增加,压差增加,拔风量大。
8、什么叫均匀分布?什么叫均匀流段?均匀分布指速度分布大小均匀;均匀流段指速度方向平行、无迁移加速度。
9、伯努利方程的应用条件有哪些?重力场下、不可压缩、理想流体作定态流动,流体微元与其它微元或环境没有能量交换时,同一流线上的流体间能量的关系。
12、层流与湍流的本质区别是什么?区别是否存在流体速度u、压强p的脉动性,即是否存在流体质点的脉动性。
13、雷诺数的物理意义是什么?物理意义是它表征了流动流体惯性力与粘性力之比。
14、何谓泊谡叶方程?其应用条件有哪些?32 lu应用条件:不可压缩流体在直圆管中作定态层流流动时的阻力损失计算。
第8章气体吸收(一)习题气液相平衡8-1 在盛水的鼓泡吸收器中通入纯C02气,如图8-2-1所示,经长期接触后测得水中C02的平衡溶解度为2.857×10-2mol/L溶液。
鼓泡器中的总压为l01.3kPa,水温30℃,溶液的密度ρm=996kg/m3。
求亨利系数,并将此实验值与文献值E=188.5MPa作比较。
图8-2-1解:已知:溶液。
求:实验值。
将此实验值与文献值E=188.5MPa作比较。
查30℃水的饱和蒸汽压,。
长期通入后,有对于稀溶液,则故对文献值相对误差为%21.05.1885.1881.188=--8-2 惰性气与C02的混合气中含CO 230%(体积分数),在1MPa (表压)下用水吸收,如图8-2-2所示。
设吸收塔底水中溶解的CO 2达到饱和,此吸收液在膨胀槽中减压至20kPa (表压),放出大部分CO 2,然后再在解吸塔中吹气解吸。
设全部操作范围内水与CO 2的平衡关系服从亨利定律,操作温度为25℃。
求1kg 水在膨胀槽中最多能放出多少千克CO 2气。
图8-2-2解:已知:,吸收塔底部达饱和。
求:水在膨胀槽中放出的量G 。
查系统,,令当地大气压为,则对稀溶液,其比质量分率,故8-3 20℃的水与N2气逆流接触以脱除水中溶解的O2气。
塔底入口的N2气中含氧0.1%(体积分数),设气液两相在塔底达到平衡,平衡关系服从亨利定律。
求下列两种情况下水离开塔底时的最低含氧量,以mg/m3水表示。
(1)操作压强为101.3kPa(绝压)。
(2)操作压强为40kPa(绝压)。
解:已知:用N2逆流吸收溶解于水中的塔底达平衡。
求:(1)p=101.3kPa(绝对压力)时,c min(mg/m3水);(2)p=40kPa(绝对压力)时,c min (mg/m3水)。
(1)查20℃,O2-H2O系统,,则故(2)同理,故8-4 气液逆流接触的吸收塔,在总压为101.3kPa下用水吸收Cl2气,进入塔底的气体混合物中含氯1%(体积分数),塔底出口的水中含氯浓度为x=0.8×10-5(摩尔分数)。
化工原理第三版(陈敏恒)上、下册课后思考题答案(精心整理版)化工原理第三版(陈敏恒)上、下册课后思考题答案(精心整理版)第一章流体流动1、什么是连续性假定?质点的含义是什么?有什么条件?连续性假设:假定流体是由大量质点组成的,彼此间没有间隙,完全充满所占空间的连续介质。
质点指的是一个含有大量分子的流体微团,其尺寸远小于设备尺寸,但比分子自由程却要大得多。
2、描述流体运动的拉格朗日法和欧拉法有什么不同点?拉格朗日法描述的是同一质点在不同时刻的状态;欧拉法描述的是空间各点的状态及其与时间的关系。
3、粘性的物理本质是什么?为什么温度上升,气体粘度上升,而液体粘度下降?粘性的物理本质是分子间的引力和分子的运动与碰撞。
通常气体的粘度随温度上升而增大,因为气体分子间距离较大,以分子的热运动为主,温度上升,热运动加剧,粘度上升。
液体的粘度随温度增加而减小,因为液体分子间距离较小,以分物理意义是它表征了流动流体惯性力与粘性力之比。
14、何谓泊谡叶方程?其应用条件有哪些?232d luμ?=?应用条件:不可压缩流体在直圆管中作定态层流流动时的阻力损失计算。
15、何谓水力光滑管?何谓完全湍流粗糙管?当壁面凸出物低于层流内层厚度,体现不出粗糙度过对阻力损失的影响时,称为水力光滑管。
在Re 很大,λ与Re 无关的区域,称为完全湍流粗糙管。
16、非圆形管的水力当量直径是如何定义的?能否按42ed u π计算流量? 当量直径定义为∏=?=A 44d浸润周边管道截面积e 。
不能按该式42ed u π计算流量。
17、在满流的条件下,水在垂直直管中向下流动,对同一瞬时沿管长不同位子的速度而言,是否会因重力加速度而使下部的速度大于上部的速度?因为质量守恒,直管内不同轴向位子的速度是一样的,不会因为重力而加快,重力只体现在压强的变化上。
20、是否在任何管路中,流量增大阻力损失就增大;流量减小阻力损失就减小?为什么?不一定,具体要看管路状况是否变化。
化工原理第三版(陈敏恒)上、(下册)课后思考题答案(精心整理版)第一章流体流动1、什么是连续性假定?质点的含义是什么?有什么条件?连续性假设:假定流体是由大量质点组成的,彼此间没有间隙,完全充满所占空间的连续介质。
质点指的是一个含有大量分子的流体微团,其尺寸远小于设备尺寸,但比分子自由程却要大得多。
2、描述流体运动的拉格朗日法和欧拉法有什么不同点?拉格朗日法描述的是同一质点在不同时刻的状态;欧拉法描述的是空间各点的状态及其与时间的关系。
3、粘性的物理本质是什么?为什么温度上升,气体粘度上升,而液体粘度下降?粘性的物理本质是分子间的引力和分子的运动与碰撞。
通常气体的粘度随温度上升而增大,因为气体分子间距离较大,以分子的热运动为主,温度上升,热运动加剧,粘度上升。
液体的粘度随温度增加而减小,因为液体分子间距离较小,以分子间的引力为主,温度上升,分子间的引力下降,粘度下降。
4、静压强有什么特性?①静止流体中,任意界面上只受到大小相等、方向相反、垂直于作用面的压力;②作用于某一点不同方向上的静压强在数值上是相等的;③压强各向传递。
7、为什么高烟囱比低烟囱拔烟效果好?由静力学方程可以导出)g -H(p 热冷ρρ=?,所以H 增加,压差增加,拔风量大。
8、什么叫均匀分布?什么叫均匀流段?均匀分布指速度分布大小均匀;均匀流段指速度方向平行、无迁移加速度。
9、伯努利方程的应用条件有哪些?重力场下、不可压缩、理想流体作定态流动,流体微元与其它微元或环境没有能量交换时,同一流线上的流体间能量的关系。
12、层流与湍流的本质区别是什么?区别是否存在流体速度u 、压强p 的脉动性,即是否存在流体质点的脉动性。
13、雷诺数的物理意义是什么?物理意义是它表征了流动流体惯性力与粘性力之比。
14、何谓泊谡叶方程?其应用条件有哪些?232d luμ?=应用条件:不可压缩流体在直圆管中作定态层流流动时的阻力损失计算。
15、何谓水力光滑管?何谓完全湍流粗糙管?当壁面凸出物低于层流层厚度,体现不出粗糙度过对阻力损失的影响时,称为水力光滑管。
解题思路:1. 已知:ΔZ=10m, P 2(表)=0.06MPa ,无缝钢管Φ57×3.5mm,L=50m,ρ=1200kg/m 3,μ=2mpa ・S,ε=0.3mm求:(1) 管路方程(2) q v =30m 3/h 时的H e ,P e解题思路:(1) ∵在阻力平方区 ∴λ=f(ε/d)ε/d, 查图得λ管路特性方程25228)(v e q d g g P z H πλ+ρ+∆=l表(2) q v =30m 3/h 时,25228)(v e q d g g P z H πλ+ρ+∆=l表g q H P v e e ρ⋅⋅=2. 已知:D=0.4m, H=0.2m, n=1000r/min, ρ=1000kg/m 3,求:(1) 顶盖P=f(r)Rr r Rr r g u g ====0202)2(ρP解题思路:离心力场中静力学方程为C 2r gz P 22==−+常数ρωρ ∴2r gz P C 20200ρω−ρ+= 由小孔处条件知0P (表)=0,0z =0, 0r =0∴C=0gz r 21P 22ρ−ρω=∴ z= z 0 =0,(2) ∵02r gz P 22==ρω−ρ+常数 ∴P 2)(22r gz P ρωρ=+=gu g r g 22222==∴ωρP R r r R r r g u g =====ρ∴0202P3. 已知:q v =71m 3/h, P 1 (真)=0.029MPa ,P 2 (表)=0.31MPa ,d 1=d 2,Δz 12=0,ρ=1000kg/m 3,P 轴=10.4kW求:H e ,η解题思路:(1)由泵吸入端(截面)至泵出口端(2截面)列机械能衡算式g 2u z g P He g2u z g P 22222111++ρ=+++ρ得 ∵高度差不计,且d 1=d 2, u 1=u 2,gP P g P P He ρ+=ρ−=∴(真)表)1212( ()轴轴P g q H P P v e e ρ==η24. 已知:吸入管Φ70×3mm, L AB =15m, 压出管Φ60×3mm, L CD =80m, λ=0.03, Δz=12m, He=30-6×105q v 2,求:q V , q‘v解题思路:(1)从江面至高位槽液面排机械能衡算式得管路特性方程 H=Δz+ΣH f =Δz+2522512)88(v CDAB q g d L g d L ππλ+将管路方程与泵的特性方程联立,可得q V(2)江面下降3m ,Δz =15,两方程重新联立5. 已知:ΔP /ρg ,d ,l,ε,μ,ρ,He=A-Bq v 2求:计算q v 的框图 解题思路:∵ −=⋅+∆=22258vv Bq A He g q d Lg H πλρP 2152)]8/()[(gd LB g A q v πλρ+∆−=∴P框图如下:是输 出 q v6. 已知:离心水泵的特性曲线数据如下:q v l /min 0 1200 2400 3600 4800 6000 H e m 34.5 34 33 31.5 28 26 管路Δz=5m,L=360m,d=120mm,λ=0.02,两槽敞口求:q v ,P e解题思路:对于管路:有2v 52q gd L 8z g P H πλ+∆+ρ∆= 两槽敞口 ∴ΔP=0 将数据列表:流量q v m 3/s 0 0.02 0.04 泵 H e m34.5 34 33 管路H m5 14.6 43.21作图求得交点:q v ,H e∴Pe=q v H e ρg7.已知:泵特性方程H e =20-2q v 2(H e -m ,q v -m 3/min ),单泵q v =1m 3/min ,两敞口容器z 12=10m求:q v =1.5m 3/min 时,两泵串联还是并联。
第八章课堂练习:1、吸收操作的基本依据是什么?答:混合气体各组分溶解度不同2、吸收溶剂的选择性指的是什么:对被分离组分溶解度高,对其它组分溶解度低3、若某气体在水中的亨利系数E值很大,说明该气体为难溶气体。
4、易溶气体溶液上方的分压低,难溶气体溶液上方的分压高。
5、解吸时溶质由液相向气相传递;压力低,温度高,将有利于解吸的进行。
6、接近常压的低浓度气液平衡系统,当总压增加时,亨利常数E不变,H 不变,相平衡常数m 减小1、①实验室用水吸收空气中的O2,过程属于(B )A、气膜控制B、液膜控制C、两相扩散控制②其气膜阻力(C)液膜阻力A、大于B、等于C、小于2、溶解度很大的气体,属于气膜控制3、当平衡线在所涉及的范围内是斜率为m的直线时,则1/Ky=1/ky+ m /kx4、若某气体在水中的亨利常数E值很大,则说明该气体为难溶气体5、总传质系数与分传质系数之间的关系为l/KL=l/kL+1/HkG,当(气膜阻力1/HkG) 项可忽略时,表示该吸收过程为液膜控制。
1、低含量气体吸收的特点是L 、G 、Ky 、Kx 、T 可按常量处理2、传质单元高度HOG分离任表征设备效能高低特性,传质单元数NOG表征了(分离任务的难易)特性。
3、吸收因子A的定义式为L/(Gm),它的几何意义表示操作线斜率与平衡线斜率之比4、当A<1时,塔高H=∞,则气液两相将于塔底达到平衡5、增加吸收剂用量,操作线的斜率增大,吸收推动力增大,则操作线向(远离)平衡线的方向偏移。
6、液气比低于(L/G)min时,吸收操作能否进行?能此时将会出现吸收效果达不到要求现象。
7、在逆流操作的吸收塔中,若其他操作条件不变而系统温度增加,则塔的气相总传质单元高度HOG将↑,总传质单元数NOG 将↓,操作线斜率(L/G)将不变。
8、若吸收剂入塔浓度x2降低,其它操作条件不变,吸收结果将使吸收率↑,出口气体浓度↓。
9、在逆流吸收塔中,吸收过程为气膜控制,若进塔液体组成x2增大,其它条件不变,则气相总传质单元高度将( A )。
A.不变B.不确定C.减小D.增大吸收小结:1、亨利定律、费克定律表达式2、亨利系数与温度、压力的关系;E值随物系的特性及温度而异,单位与压强的单位一致;m与物系特性、温度、压力有关(无因次)3、E、H、m之间的换算关系4、吸收塔在最小液气比以下能否正常工作。
5、操作线方程(并、逆流时)及在y~x图上的画法6、出塔气体有一最小值,出塔液体有一最大值,及各自的计算式7、气膜控制、液膜控制的特点8、最小液气比(L/G)min、适宜液气比的计算9、加压和降温溶解度高,有利于吸收减压和升温溶解度低,有利于解吸10、溶剂用量的计算11、低浓度气体吸收的HOG、NOG、Δym及塔高度H的计算12、回收率η的计算13、出塔气体浓度y2、出塔液体浓度x1的计算14、吸收塔操作与调节第九章:1.两组份的相对挥发度越小,则表示分离该物系越B。
A 容易;B 困难;C 完全;D 不完全。
2.α>1则表示组分A和B1,α=1则表示组分A和B2。
①能用普通蒸馏方法分离;②不能用普通蒸馏方法分离。
3.一定组成的二元蒸馏操作,压强越大,则α越小,泡点温度越高,对分离越不利。
1.简单蒸馏过程中,釜内易挥发组分浓度逐渐减少,其沸点则逐渐升高。
2.平衡蒸馏和简单蒸馏的主要区别在于。
平衡:连续,定态;简单:间歇,非定态3.在馏出液量相同的条件下,二元理想溶液的简单蒸馏和平衡蒸馏(闪蒸)的结果比较:得到的馏出物浓度(平均)B。
A. y简=y平B. y简>y平C. y简<y平1.精馏过程是利用多次部分汽化和多次部分冷凝的原理而进行的。
2.精馏过程的回流比是指液相回流量与塔顶产品量之比。
3.什么是理论板?离开的气液两相达平衡,温度相等4.精馏塔中的恒摩尔流假设,其主要依据是各组分的摩尔气化热相等,但精馏段与提馏段的摩尔流量由于进料热状态不同的影响而不一定相等5.分离要求一定,R一定时,在五种进料状况中,冷液体进料的q值最大,其温度小于泡点,此时,提馏段操作线与平衡线之间的距离最远,分离所需的总理论板数最少。
6.当进料为气液混合物,且气液摩尔比为2比3时,则进料热状况参数q值为0.6。
?7.试述五种不同进料状态下的q值:①冷液体进料q>1;②泡点液体进料q=1;③气液混合物进料0<q<1;④饱和蒸气进料q=0;⑤过热蒸气q<0 。
1.最小回流比是指塔板数趋近无穷大时的回流比;通常适宜的回流比为最小回流比的 1.2~2.0倍。
2.与全回流相对应的理论塔板数最少,R=无穷大。
3.在全回流时,精馏段操作线斜率为1,若塔顶第2块理论板下降液体组成为x2 = 0.8,则第3块理论板上升的气相组成y3 =0.8。
4.二元溶液连续精馏计算中,进料热状态的变化引起D的变化。
A 平衡线;B 平衡线与q线;C 平衡线与操作线;D 操作线与q线。
5.精馏塔设计时,若将进料热状态从q=1变为q>1,其他均为定值,设计所需理论板数B。
A 增加; B 减少; C 不变;D 判断依据不足6.精馏塔设计时,当回流比加大时,所需要的理论板数↓,同时蒸馏釜中所需要的加热蒸汽消耗量 ↑,塔顶冷凝器中冷却剂消耗量 ↑7.某精馏塔设计时,若将塔釜由原来的间接蒸汽加热改为直接蒸汽加热,而保持x F ,D ,F ,q ,R ,x D 不变,则W/F 增大 ,x W 减小 ,提馏段操作线斜率 不变 ,理论板数 增大 。
(增加,减小,不变,不确定)1.精馏塔操作时,增大回流比,若维持F ,x F ,q ,D 不变,则精馏段液气比L/V 增大 ,提馏段液气比L/V 减小 ,塔顶x D 增大 ,塔底x W 减小 。
2.精馏塔操作时,加料热状态由原来的饱和液体进料改为冷液进料,且保持F ,x F ,V ,D 不变,则此时R 不变 ,L/V 不变 ,L/V 减少 ,x D 增大 ,x W 减少 ,。
(增加,不变,减少)3.精馏塔操作时,保持F ,q ,x W ,x D ,V 不变,增大x F ,则:D 增大 ,R 减小 ,L/V 减小 。
4、操作中的精馏塔,保持F , x F , q ,R 不变,增加W ,则:L/V 不变 ,V 减小 。
5、精馏操作时,若F , x F , q ,R 均不变,而将D 增大,则:L 增大 ,V 增大 。
6.精馏塔操作时,保持F ,x F ,q ,V 不变,增加回流比,则此时D 减小 ,L/V 增大 ,塔顶x D 增大 。
精馏章小结:1、t-x-y 和y-x 图及其应用。
2、相对挥发度定义、计算式。
3、平衡蒸馏与简单蒸馏4、全塔物料衡算5、五种加料热状态的q 值及各段流率变化6、精操线、提操线、q 线方程、平衡线方程求法及画 法。
7、NT 求法(二种),加料板位置的确定。
8、Rmin 与Nmin 求法、计算、作图。
9、直接蒸汽加热操作线方程及画法。
10、分凝器相当于一块理论板11、全塔效率和单板效率12、精馏塔操作条件的变化对x W ,x D 的影响13、多组分精馏塔数目的确定。
第十四章:1.已知湿空气的下列哪两个参数,利用I-H 图可以查得其他未知参数( D )。
A (I ,t W)B (t d ,H )C (pW ,H )D (t W ,t )2.饱和湿空气在恒压下冷却,温度由t 降至t’,此时 其相对湿度 不变 ,湿度 变小 ,湿球温度 变小 ,露点 变小 。
3.不饱和湿空气,干球温度 > 湿球温度,露点温度 < 湿球温度。
4.对不饱和湿空气进行加热,使温度由t 1升至t 2,此时其湿球温度 增加 ,相对湿度 减小 ,露点 不变 ,湿度 不变 ,水汽分压 不变p T N N E =011+*+--=n n n n mv y y y y E5.在100kPa下,湿空气的温度为295K,相对湿度为60%,当加热到373K时,下列状态参数将如何变化?湿度不变,相对湿度减小,湿球温度增加露点不变,焓增加。
6.以空气作为湿物料的干燥介质,当所用空气的相对湿度较大时,湿物料的平衡水分相应较大,自由水分相应较小。
7.对于被水蒸汽所饱和的空气,其干球温度t,湿球温度t W,绝热饱和温度t as,露点温度t d的关系是:t=t W=t as=t d。
8.指出相对湿度、绝热饱和温度、露点温度、湿球温度中,哪一个参量与空气的温度无关。
( D)A相对湿度B湿球温度C绝热饱和温度D露点温度9.①如空气温度降低,其湿度肯定不变;②如空气温度升高,其湿度肯定不变。
则正确的判断是:DA 两种提法都对B 两种提法都不对C ①对②不对D ②对①不对10.若维持不饱和空气的湿度H不变,提高空气的干球温度,则空气的湿球温度变大,露点不变,相对湿度变小。
(变大,变小,不变,不确定)11.物料中的平衡水分随空气温度升高而( B)。
A增大;B减小;C不变;D不一定,还与其它因素有关。
12.实际干燥操作中,测定空气中的水汽分压的实验方法是测量露点;用干、湿球温度计来测量空气的湿度。
1.恒定的干燥条件是指空气的温度、湿度、速度以及与物料接触的状况都不变。
2.在恒速干燥阶段中,当空气条件一定,对干燥速率正确的判断是:( C )A 干燥速率随物料种类不同而有极大的差异;B 干燥速率随物料种类不同而有较大的差异;C 各种不同物料的干燥速率实质上是相同的;D 不一定。
3.湿空气在预热过程中不变化的参数是( C )A 焓B 相对湿度C 露点温度D 湿球温度4.对于一定的干球温度的空气,当其相对湿度愈低时,则其湿球温度(愈低)。
5.同一物料,在一定的干燥速率下,物料愈厚,则临界含水量( B)。
A 愈低B 愈高C 不变D 不一定6.在理想干燥器内,空气从干燥器入口至出口,露点(升高),湿球温度(不变)7.若干燥器出口废气的温度变低而湿度变高可以提高热效率,但同时会降低干燥速率,这是因为传质推动力降低。
8.温度为t0,湿度为H0,相对湿度为φ0的湿空气,经预热器后,空气的温度为t1,湿度为H1,相对湿度为φ1,则( B )A. H1>H0B. φ0>φ1C. H1<H0D. φ0<φ19.降低废气出口温度可以提高干燥器的热效率,但废气出口温度不能过低,否则可能会出现返潮的现象。
10.空气预热温度提高,单位质量干空气携带的热量增加,干燥过程所需要的空气用量 减少 ,废气带走的热量 减少 ,故干燥过程热效率 增大 。
小结:1、概念:空气:相对湿度、湿度、干球温度、湿球温度、露点 温度、绝热饱和温度、湿热焓、湿比容物料:平衡水分、自由水分、结合水、非结合水干基含水量 Xkg 水/kg 干料、湿基含水量绝干物料量GC2、空气的湿度图(I —H 图)及应用:已知空气的任意两独立参数查出其它参数。