2017年重庆市各区县人口
- 格式:xls
- 大小:41.50 KB
- 文档页数:6
渝中区面积22平方千米,人口60万。
邮政编码400010大渡口区面积103平方千米,人口21万。
邮政编码400080江北区面积221平方千米,人口49万。
邮政编码400020沙坪坝区面积383平方千米,人口73万。
邮政编码400030九龙坡区面积432平方千米,人口76万。
邮政编码400050南岸区面积274平方千米,人口53万。
邮政编码400064北碚区面积755平方千米,人口65万。
邮政编码400700万盛区面积566平方千米,人口27万。
邮政编码400800双桥区面积43平方千米,人口5万。
邮政编码400900渝北区面积1452平方千米,人口85万。
邮政编码401120巴南区面积1825平方千米,人口86万。
邮政编码401320万州区面积3457平方千米,人口170万。
邮政编码404000涪陵区面积2946平方千米,人口112万。
邮政编码408000黔江区面积2397平方千米,人口50万。
邮政编码409700长寿区面积1415平方千米,人口87万。
邮政编码401220江津区面积3200平方千米,人口145万。
邮政编码402260合川区面积2356平方千米,人口150万。
邮政编码401520永川区面积1576平方千米,人口107万。
邮政编码402160南川区面积2602平方千米,人口64万。
邮政编码408400县綦江县面积2182平方千米,人口95万。
邮政编码401420潼南县面积1585平方千米,人口90万。
邮政编码402660铜梁县面积1342平方千米,人口80万。
邮政编码402560大足县面积1390平方千米,人口92万。
邮政编码402360荣昌县面积1079平方千米,人口81万。
邮政编码402460璧山县面积912平方千米,人口61万。
邮政编码402760垫江县面积1518平方千米,人口90万。
邮政编码408300武隆县面积2872平方千米,人口40万。
邮政编码408500丰都县面积2896平方千米,人口79万。
重庆市人口信息数总人口、户籍人口、少数民族人口比重、非
信息数据大全(供各工作站参考)
重、非农业户口人口比重、城乡人口、家庭户人口、家庭户类别(全部数据)
家
、不设区的市)作为我国最能反映地域自然、文化特征和经济发展一体化的行政单位,受到各级决策径。
869个县级单位的人口自然构成、社会构成、经济结构以及家庭居住状况共135项指标,是继1990年
数与国家统计局2001年3月28日和2001年4月2日发布的《2000年第五次全国人口普查数据公报》第一取自普查表长表,不是全部人口数据(注:全国长表数据抽样比=长表总人口/计算机汇总总人口=9
别给出了其市辖区、市辖县合计,重庆市还给出了其县级市合计。
使用时请勿重复计算。
史比较时请注意。
重庆市人民政府关于印发重庆市人口发展规划(2016―2030年)的通知【法规类别】行业计划【发文字号】渝府发[2017]22号【发布部门】重庆市政府【发布日期】2017.06.27【实施日期】2017.06.27【时效性】现行有效【效力级别】XP10重庆市人民政府关于印发重庆市人口发展规划(2016―2030年)的通知(渝府发〔2017〕22号)各区县(自治县)人民政府,市政府各部门,有关单位:现将《重庆市人口发展规划(2016―2030年)》印发给你们,请认真贯彻执行。
重庆市人民政府2017年6月27日重庆市人口发展规划(2016―2030年)为积极有效应对我市人口趋势性变化及其对经济社会发展的深刻影响,促进人口长期均衡发展,根据《国家人口发展规划(2016―2030年)》(国发〔2016〕87号)和《重庆市人口与计划生育条例》,制定本规划。
第一章规划背景人口是经济社会发展的重要基础和核心要素。
当前,人口发展的内在动力和外部条件发生了明显改变,出现重要转折性变化。
准确把握人口发展趋势性特征,深刻认识人口变化对经济社会发展带来的挑战和机遇,对于促进人口长期均衡发展具有重大意义。
第一节人口现状党的十八大以来,全市上下认真贯彻落实党中央、国务院关于人口发展工作的决策部署,坚持计划生育基本国策,深入实施五大功能区域发展战略,强化人口发展综合施策,积极推进体制机制创新,综合治理人口数量、素质、结构、分布等问题,取得了显著成效。
――人口总量平稳增长。
“十二五”期间,全市常住人口自然增长率由3.79‰上升至3.86‰,户籍人口自然增长率由7.25‰下降至4.01‰。
全市常住人口由2010年末2884.62万增长至2015年末3016.55万,年均增长0.9%;户籍人口由2010年末3303.45万增长至2015年末3371.84万,年均增长0.4%。
全市常住人口增长快于户籍人口增长。
――人口流动有序集聚。
2015年全市常住人口外出至市外505.5万,较2010年减少17.04万人。
重庆主城及各区县最新人口、面积资料一、九大中心城区渝中区面积22 平方千米,人口60 万。
邮政编码400010大渡口区面积103 平方千米,人口21 万。
邮政编码400080江北区面积221 平方千米,人口49 万。
邮政编码400020沙坪坝区面积383 平方千米,人口73 万。
邮政编码400030九龙坡区面积432 平方千米,人口76 万。
邮政编码400050南岸区面积274 平方千米,人口53 万。
邮政编码400064北碚区面积755 平方千米,人口65 万。
邮政编码400700渝北区面积1452 平方千米,人口85 万。
邮政编码401120巴南区面积1825 平方千米,人口86万。
邮政编码401320二、六大中心城市万州区面积 3457 平方千米,人口172万。
邮政编码404000 主城 75万涪陵区面积 2941 平方千米,人口 115万。
邮政编码409700 主城 55万江津区面积 3200 平方千米,人口145万。
邮政编码402260 主城 40万合川区面积 2356 平方千米,人口155万。
邮政编码401520 主城 45万永川区面积 1576 平方千米,人口110万。
邮政编码402160 主城 46万黔江区面积 2397 平方千米,人口 60万。
邮政编码主城 18万三、四大副中心城市长寿区面积1415 平方千米,人口87万。
邮政编码401220 主城30万南川区面积2602 方千米,人口66万。
邮政编码408400 主城22万綦江区面积2746 平方千米,人口120万。
邮政编码401420 主城25万大足区面积1436 平方千米,人口102万。
邮政编码402360 主城30万四、十九县潼南县面积1585 平方千米,人口90万。
邮政编码402660铜梁县面积1342 平方千米,人口80万。
邮政编码402560荣昌县面积1079 平方千米,人口81万。
邮政编码402460 县城人口16万璧山县面积912 平方千米,人口61万。
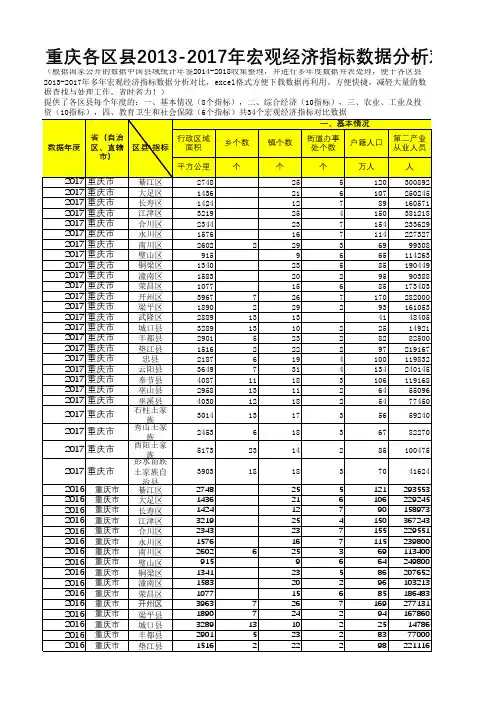
重庆各区县2013-2017年宏观经济指标数据分析对比(根据国家公开的数据中国县域统计年鉴2014-2018收集整理,并进行多年度数据并表处理,便于各区县
2013-2017年多年宏观经济指标数据分析对比,excel格式方便下载数据再利用。
方便快捷,减轻大量的数
据查找与处理工作,省时省力!)
提供了各区县每个年度的:一、基本情况(8个指标),二、综合经济(10指标),三、农业、工业及投
资(10指标),四、教育卫生和社会保障(6个指标)共34个宏观经济指标对比数据
析对比表
各种社会福利收养性单位床
床
6218
2607
2336
5497
4729
4150
1250
4731
3326
3268
2193
5451
2750
1646
860
1988
1549
5292
7206
3893
3980
915
1060
3238
902
1802
558
3488
2336
7008
4573
4580
1217
2338
3326
3238
3326
4785
2759
890
3279
5354。
2017重庆市情1.重庆土地类型呈现多样化特点。
2.重庆简称渝,是中国西部惟一的直辖市。
3.重庆雨季集中在夏秋,也有“雾都”之称。
4.重庆市常年雨量充沛,但分配不均,主要降水量集中在4月至9月。
5.古代重庆名为巴。
6.宋朝时,重庆的名称由渝州改为恭州。
7.重庆市树为黄葛树,市花为川茶花。
8.重庆共38个区县(自治县、市)。
9.重庆既以山城著称,又以江城扬名。
10.重庆要成为长江上游的经济中心,首先要建成三中心、两枢纽和一基地。
11.把重庆建设为长江上游经济中心的基本标志要求是资源配置市场化、产业结构高级化、市政建设现代化、和城市管理规范化。
12. 1949年11月30日,重庆解放,成为西南军政委员会驻地,中央直辖市。
13. 1997年6月18日,重庆直辖市正式挂牌。
14. 1949年12月11日,重庆市人民政府正式成立。
15.重庆位于我国西南地区,是一个典型的内陆城市、是中国西南地区和长江上游最大的经济中心城市。
16.富民兴渝、建设长江上游经济中心是重庆新世纪前20年的战略目标。
17.重庆地处四川盆地东南缘,地貌组合差异大,在地貌构成上,最典型的特征是山多河多。
18.重庆在民族结构上,全市有55个少数民族。
19.重庆境内江河纵横,除长江及其主要支流嘉陵江、乌江之外,还有流域面积在3000平方千米以上的河流10条,流域面积在30到50平方千米以上的河流436条。
20.重庆季节变化的特点是:一是冬暖,二是春早,三是夏热,四是秋迟。
21.重庆位于北半球副热带内陆地区,属于中亚热带湿润季风气候。
22.重庆地形复杂,地貌多样,资源丰富,是我国重要的粮食主产区和商品猪肉生产基地。
23.重庆主城区是重庆市的政治、经济、文化中心,人口稠密,建筑集中,消耗能源多,人均绿地少,形成了城市的特殊气候:一是城市热岛,二是城市干岛,三是城市气候中的降雨,四是雾在数量上有所减少(年均50天左右),但其化学成分复杂,污染物质增多,对人的危害增大,其水平能见度呈逐年下降趋势。
重庆各区人口数量排名,2021年重庆各区人口数据统计分析展开全文一个城市的人口数量简介的反映了这个城市活跃度,人口数量庞大说明这个城市的发展是有很大潜力的。
人可以带动经济消费促进经济发展。
那么重庆所有的地区人口数量是多少?各地区人口排名怎么样?本文带你一起了解关于重庆各市人口数量排名,2018年重庆各市人口数据统计分析的相关知识,数据仅供参考。
准确数据请以官方发布为准。
一、重庆城市简介及各区名单重庆,简称渝或巴,是中华人民共和国中西部唯一的直辖市、国家中心城市、超大城市、国际大都市,长江上游地区的经济、金融、科创、航运和商贸物流中心,西部大开发重要的战略支点、“一带一路”和长江经济带重要联结点以及内陆开放高地;既以江城、雾都著称,又以山城扬名。
重庆地处中国内陆西南部,东邻湖北、湖南,南靠贵州,西接四川,北连陕西。
总面积8.24万平方千米,辖38个区县(自治县);2017年常住人口3075.16万,地区生产总值19500.27亿元。
有中国火锅之都、中国会展名城、世界温泉之都之称。
二、重庆各区人口数量及排名排名地区名称人口数量(万人)1 万州区 160.742 黔江区 46.203涪陵区 114084 渝中区 64.955 大渡口区 33.276 江北区 84.987 沙坪坝区 112838 九龙坡区 ll8.699 南岸 85.8110 北区 78.6211 渝北区 155.0912 巴南区 100.5813 长寿区 82.4314 津区 133.1915 合川区 136.0616 水川区 9.6117 南川区 56.4318 綦江区 107.8419 大足县 76.3920 璧山区 72.5221 铜梁区 68.7222 潼南区 68,2323 荣昌区 70.1024 梁平县 66.4025 城口县 18.6326 丰都县 59.5627 垫江县 67.6728 武隆县 34.6729 忠县 70.8030 开县 117.0731 云阳县 89,6632 奉节县 75.3333 巫山县 16.2334 巫溪县 39,1035 石柱县 38.6536 秀山县 49.1337 酉阳县 55.6538 彭水县 50.64。