第三章 复变函数的积分习题与解答
- 格式:doc
- 大小:86.71 KB
- 文档页数:3
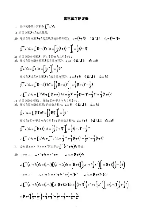
第三章习题详解1. 沿下列路线计算积分⎰+idz z 302。
1) 自原点至i +3的直线段;解:连接自原点至i +3的直线段的参数方程为:()t i z +=3 10≤≤t ()dt i dz +=3()()()⎰⎰+=⎥⎦⎤⎢⎣⎡+=+=+131033233023313313i t i dt t i dz z i2) 自原点沿实轴至3,再由3铅直向上至i +3;解:连接自原点沿实轴至3的参数方程为:t z = 10≤≤t dt dz =3303323233131=⎥⎦⎤⎢⎣⎡==⎰⎰t dt t dz z连接自3铅直向上至i +3的参数方程为:it z +=3 10≤≤t idt dz =()()()331031023323313313313-+=⎥⎦⎤⎢⎣⎡+=+=⎰⎰+i it idt it dz z i()()()333310230230233133********i i idt it dt t dz z i+=-++=++=∴⎰⎰⎰+ 3) 自原点沿虚轴至i ,再由i 沿水平方向向右至i +3。
解:连接自原点沿虚轴至i 的参数方程为:it z = 10≤≤t idt dz =()()310312023131i it idt it dz z i=⎥⎦⎤⎢⎣⎡==⎰⎰连接自i 沿水平方向向右至i +3的参数方程为:i t z += 10≤≤t dt dz =()()()33103102323113131i i i t dt i t dz z ii-+=⎥⎦⎤⎢⎣⎡+=+=⎰⎰+()()333332023021313113131i i i i dz z dz z dz z iiii+=-++=+=∴⎰⎰⎰++ 2. 分别沿x y =与2x y =算出积分()⎰++idz iy x102的值。
解:x y = ix x iy x +=+∴22()dx i dz +=∴1 ()()()()()⎪⎭⎫⎝⎛++=⎥⎦⎤⎢⎣⎡⎪⎭⎫ ⎝⎛++=++=+∴⎰⎰+i i x i x i dx ix x i dz iy x i213112131111023102102 2x y = ()22221x i ix x iy x +=+=+∴ ()dx x i dz 21+=∴()()()()()⎰⎰⎪⎭⎫⎝⎛++=⎥⎦⎤⎢⎣⎡⎪⎭⎫ ⎝⎛++=++=+∴+1104321022131142311211i i x i x i dx x i x i dz iy xi而()i i i i i 65612121313121311+-=-++=⎪⎭⎫⎝⎛++3. 设()z f 在单连通域B 内处处解析,C 为B 内任何一条正向简单闭曲线。
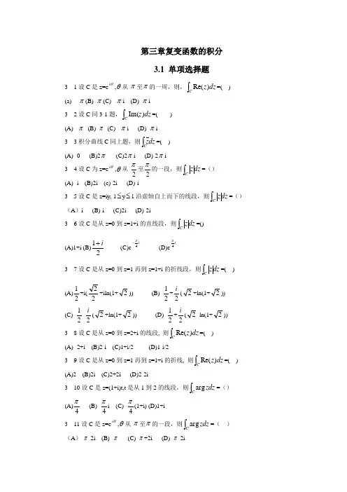
第三章复变函数的积分3.1 单项选择题3---1设C 是z=e θi ,θ从-π至π的一周,则,⎰Cdz z )Re(=( )(a) -π(B)π(C)- πi (D) πi3---2设C 同3-1题,⎰Cdz z )Im(=( )(A)-π (B) π (C)- πi (D) πi3---3积分曲线C 同上题,则⎰C dz z =( )(A) 0 (B)2π (C)2πi (D)-2πi 3---4设C 为z=eθi ,θ从-2π至2π的一段,则dz z C ⎰=()(A) i (B)2i (c)-2i (D)-i3---5设C 是z=iy,-1≤y ≤1沿虚轴自上而下的线段,则dz z C⎰=()(A )i (B)-i (C)2i (D)-2i 3---6设C 是从z=0到z=1+i 的直线段,则dz z C⎰=()(A)1+i (B)21i + (C)e i 4π- (D)e i 4π3---7设C 是从z=0到z=1再到z=1+i 的折线段,则dz z C⎰=( )(A)21+i(22+iln(1+2)) (B) 21+2i (2+ln(1+2)) (C)21-2i (2+ln(1+2)) (D) 21+2i(2-ln(1+2)) 3---8设C 是从z=0到z=2+i 的线段, 则⎰Cdz z )Re(=( )(A) 2+i (B)2-i (C)1+i/2 (D)1-i/2 3---9设C 是从z=0到z=1再到z=1+i 的折线, 则⎰Cdz z )Re(=( )(A)2 (B)2i (C)2+2i (D)2-2i3---10设C 是z=(1+i)t,t 是从1到2的线段,则⎰Czdz arg =()(A)4π (B)4πi (C) 4π(1+i) (D)1+i 3---11设C 是z=eθi ,θ从-π至π的一段,则⎰Czdz arg =( )(A )-π-2i (B) -π (C) π+2i (D) π-2i3---12设C 是z=(1-i)t,t 是从1到0的一段, 则⎰C dz z =( )(A)1 (B)-1 (C)i (D)-i 3---13设C 是z=eθi ,θ从0至2π的一周,则⎰C dz z =( )(A)0 (B)2π(C)-2π (D)2πi3---14设C 是以-1,1和i 三点为顶点的三角形边界,则dz z C⎰=()(A) 2+i (B)1+i (C) –2(1-i) (D)1-i3---15设C 是单位圆=1的上半部分逆时针方向,则dz z C⎰-)1(=( )(A) 2i (B)2 (C) –2i (D)-2 3---16设C 同上题,则⎰-Cdz z )1(=( )(A) 2i-π (B)π-2i (C) π (D) 2i3-17 设C 是单位圆z=ei θ, 从2π 至0,则dz z C⎰-1 =()(A )4 (B )-4 (C )8 (D )-8 3-18 设C 是z=ei θ一周正向,则dz Cz ⎰2=( )(A) 2 (B)-2 (C)2i(D)03-19 设C 是单位圆1=z 正向一周,则=⎰dz z C( )(A)0(B)π2i (C)π2-i (D)π23-20 设C 是z=0到z=1+I 的直线段,则(=⎰dz Cze )(A)0 (B)()121--eii (C)()11--e ii (D)()eii --113-21 设C 为简单闭曲线正向,S 为C 所围成区域的面积,则=⎰dz z C ( )(A)2S (B-2S (C)2Si (D)-2Si3-22 C 为简单闭曲线,D 为C 所围区域,S 表示此区域的面积,则()dz z C⎰Im =( )(A)S (B)-S (C)Si (D)-Si 3-23 C 为简单闭曲线,D 为C 所围区域,S 是D 的面积,则()dz z C⎰Re =( )(A)S (B)-S (C)-Si (D)Is3-24 设C 是e i z θ=,θ从0至2π的弧段,则⎰C zdz ln =( ) (A)1-2π-i (B)2π-i (C)1-2π-i (D)1-2π+i3-25 C 是椭圆1422=+yx,则dz z zC⎰+2sin =( )(A)0 (B)-sin2 (c)2sin 2π (D)π2-isin2 3-26 设C 是圆e i z θ21=,则⎰-C z ee zsin dz=( ) (A)sin1 (B)π2i e1sin (C)e i 1sin 2π- (D)03-27⎰=12cos z zdz=( )(A)不存在 (B )0 (C )π (D )π- 3-28⎰=++122z z z dz=( ).(A) 2πi (B)-2πi (C)0 (D)2π 解 z 2+2z+2=0的零点是-1+-i ,故被积函数在z 〈1内无奇点,积点为0. 选(C ) 3-29⎰=+122cos z z zdz=( ).(A)0 (B)-πi ( C)πi (D)2πi解 被积函数在z 〈1内处处解析,故积分为0. 选(A )3-30 设C 是沿抛物线y=x 2-1,从(-1,0)至(1,0)的弧段,则dz z c⎰+)1sin(=()。
第三章 复变函数的积分习题与解答3.1 如果函数()f z 是在【1】单连通区域;【2】复通区域中的解析函数,问其积分值与路径有无关系?【答案 单连通 无关,复连通 有关】 3.2 计算积分 3||21z z =-⎰的值【答案 0】3.3 计算积分22d L zz a -⎰:其中0a >.设 L 分别为(1)(1)||/2; ||; (3)||z a z a a z a a =-=+=【答案 (1)0;(2)πia; (3)πia -】3.4 计算积分 Im d C z z⎰,其中积分曲线C 为 (1)从原点到2i +的直线段;(2)上半圆周 ||1z =,起点为1,终点为1-;(3)圆周|| (0)z a R R -=>的正方向(逆时针方向)【答案 2(1)1i /2;(2)π/2;(3)πR +--】3.5 计算积分 d ||C z zz ⎰的值,(1)||2; (2)||4;z z == 【答案(1)4πi;(2)8πi 】3.6 计算积分的值 π2icos d 2z z+⎰【答案 1/e e +】 3.7计算下列积分的值(1) ||1d cos z z z =⎰;(2)2||2d z ze z =⎰21||1||12i d d (3); (4)24()(2)z z z z z z z z ==++++⎰⎰ 【答案(1)0;(2) 0;(3) 0;(4) 4πi4i +】3.8 计算2||2||232|i|1||1522||1|i|2(1)d ; (2)d ;3(1)(21)cos (3)d ; (4)d (i)(2)d (5)d ; (6)(4)z z z z z z z z z e z z z z z z z e z zz z z e z z z z z ==-===-=--+--+⎰⎰⎰⎰⎰⎰【答案 (1)0;(2)0;(3)πicosi -;(4)3πi 2-;(5)πi 12(6)π8-】3.9 计算积分 (1)π61ii(1)sin d ; (2)ch3d ; (3)(1)d z z z z z z z e z--⎰⎰⎰【答案13(1)sin1cos1; (2)i; (3)1cos1i[sin(1)1]--+-】3.10 计算复数123cos (1)d C C zzz +⎰,其中1:||2C z =顺时针方向;2:||3C z =逆时针方向.(2)3||1d ()zz e zz a =-⎰,其中复常数||1a ≠【答案 (1) 0;(2)当||1,0;||1,πi aa a e ><】 3.11 设L 为不经过点b 和b -的简单正向(逆时针)曲线,b 为不等于零的任何复数,试就曲线L 与b 的各种可能计算积分的值.d ()()L zI zz b z b =+-⎰ 【答案 (1)L 不含b ±,则I=0;(2)L 含b ,πi bI =;L 含b -,πib I =-;(3)两点在内部 0I =】3.12 已知 π3||2()d e h z zξξξξ==-⎰,试求(i),(i)h h -,以及当||2z >时,()h z '的值. 【 ()π(i);(i)i);||2,()0h i h z h z '=-=>=】 3.13 计算积分 3d ()zC ze zz a -⎰,其中 常数a 在闭曲线C 内部【答案 1(2)2aa e +】3.14 设 C 为正向圆周1=z ,且||1a ≠,证明:积分222π1||22π||1||1 (||1)|d ||| (||1)a z a a z z a a -=-<⎧⎪=⎨->⎪⎩⎰3.15 利用积分 ||1d 2z zz =+⎰的值,证明2π012cos d 054cos θθθ+=+⎰3.16 计算积分 2|||d |,(||)||z r z a r z a =≠-⎰(提示:令i i :|d |d ,r z c z re z z θ=⇒=注意到点2,r aa 是关于圆周||z r =的对称点)3.17.已知2πsin 4()d f z zζζζζ==-⎰求(12i),(1),(1)f f f '-.3.18 计算积分(2)2||1cos d z z zz e z =⎰本章计算机仿真编程3.19 计算机仿真编程验证3.15的积分结果2π012cos d 054cos θθθ+=+⎰3.20 计算机仿真计算下列积分的值 (沿非闭合路径的积分)π63πii i2123πi(1)d ; (2)ch3d ; (3)(1)d ;zz I e z I z z I z e z --===-⎰⎰⎰i4211tan (4)d ,cos zI z z +=⎰其积分的路径为沿1到i 的直线段.(说明:沿闭合路径的积分可以利用留数的定义,留数定理来计算;而留数可以利用计算机仿真编程Matlab 直接求解)。
第1章 复数与复变函数 (作业1)一、填空题 1、ieπ2的值为 。
2、k 为任意整数,则34+k 的值为 。
3、复数i i (1)-的指数形式为 。
4、设b a ,为实数,当=a , b= 时,).35)(1()3()1(i i b i a ++=-++ 二、判断题(正确的划√,错误的划 ) 1、2121z z z z +=+ ( )2、()()())z Re(iz Im ;z Im iz Re =-= ( )3、()()i i i 125432+=++ ( ) 三、选择题1.当ii z -+=11时,5075100z z z ++的值等于( ) (A )i (B )i - (C )1 (D )1-2.复数)(tan πθπθ<<-=2i z 的三角表示式是( )(A ))]2sin()2[cos(secθπθπθ+++i (B ))]23sin()23[cos(sec θπθπθ+++i (C ))]23sin()23[cos(secθπθπθ+++-i (D ))]2sin()2[cos(sec θπθπθ+++-i 3.使得22z z =成立的复数z 是( )(A )不存在的 (B )唯一的 (C )纯虚数 (D )实数 4.若θi re i i=+--2)1(3,则( ) (A )πθ-==3arctan ,5r (B )πθ-==3arctan ,210r (C )3arctan ,210-==πθr (D )3arctan ,5-==πθr 5. 设复数z 位于第二象限,则z arg 等于( )。
(A) x y arctan 2+π (B) x y arctan +π (C) x y arctan 2-π (D) xy arctan +-π 四、计算与证明题 1、设ii i i z -+-=11,求.),Im(),Re(z z z z2、当x y ,等于什么实数时,等式()i iy i x +=+-++13531成立?3、求复数ii-+23的辐角。
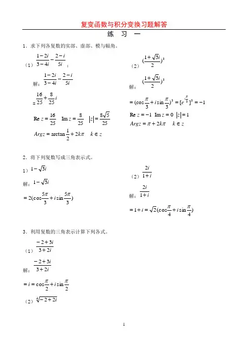
练 习 一1.求下列各复数的实部、虚部、模与幅角。
(1)i ii i 524321----; 解:i iii 524321---- =i 2582516+zk k Argz z z z ∈+====π221arctan 2558258Im 2516Re(2)3)231(i +解: 3)231(i +zk k Argz z z z e i i∈+===-=-==+=πππππ210Im 1Re 1][)3sin3(cos3332.将下列复数写成三角表示式。
1)i 31- 解:i 31-)35sin 35(cos2ππi +=(2)i i +12 解:i i +12 )4sin4(cos21ππi i +=+=3.利用复数的三角表示计算下列各式。
(1)i i2332++- 解:i i 2332++- 2sin2cosππi i +==(2)422i +-解:422i +-41)]43sin 43(cos 22[ππi +=3,2,1,0]1683sin 1683[cos 2]424/3sin ]424/3[cos 28383=+++=+++=k k i k k i k ππππππ4..设321,,z z z 三点适合条件:321z z z ++=0,,1321===z z z 321,,z z z 是内接于单位圆z =1的一个正三角形的项点。
证:因,1321===z z z 所以321,,z z z 都在圆周32z z ++=0则,321z z z -=+1321=-=+z z z ,所以21z z +也在圆周1=z 上,又,12121==-+z z z z 所以以0,211,z z z +为顶点的三角形是正三角形,所以向量211z z z +与之间的张角是3π,同理212z z z +与之间的张角也是3π,于是21z z 与之间的张角是32π,同理1z 与3z ,2z 与3z 之间的张角都是32π,所以321,,z z z 是一个正三角形的三个顶点。
第三章复变函数的积分习题与解答假如函数f (z)是在【 1】单连通地域; 【 2】复通地域中的分析函数,问其积分值与路径有 没关系 【答案 单连通 没关,复连通 有关】idz计算积分 |z| 2z 3 1 的值【答案 0 】idz计算积分L z2a 2 : 此中 a 0.设 L 分别为(1) (1)| z |a / 2;| z a | a;(3) | z a |a【答案 (1)0πiπi;( 2) a ; (3) a】计算积分CIm zdz,此中积分曲线C 为(1)从原点到 2 i 的直线段;(2)上半圆周 | z| 1,起点为 1,终点为1;(3)圆周| za | R (R0)的正方向(逆时针方向)【答案(1)1 i / 2;(2) π/ 2;(3) πR 2 】izdz计算积分C | z | 的值,(1)| z | 2;(2) | z| 4;【答案 (1)4πi;(2)8 πi 】π 2i zdzcos计算积分的值2【答案 e 1/ e 】计算以下积分的值( 1)idz2(3)i |z|dz 4;(4)i |z| 1( zdz|z| 1cosz ;( 2) i|z| 2ze dz1z 22 z2i 1)(z 2)4πi【答案( 1) 0;( 2) 0 ;( 3) 0 ;( 4) 4 i 】计算e z(2)iz(1)i |z| 2z3 dz;|z| 2( z 1)2 (2 z 1) dz;(3)i|zcos zdz;(4)i |z|e zdz i| 1( z i) 31z 2(z2) (5)i |z|ez(6)idz1 z5dz;|zi| 2z 2 ( z 2 4)【答案 ( ) ;( ) ;( ) π icosi ;( )3πiπiπ 0 0 42;( )12 ( )8 】1 2 35 6计算积分(1)(1)1 6πi i 1)e z dzzsin zdz; (2) 0 ch3zdz; (3) 0 ( z 【答案(1)sin1 cos1; (2) 1 i;(3)1 cos1 i[sin(1) 1]】3计算复数(1)cos 3z dz ,此中 C 1:| z | 2顺时针方向;C 2:| z | 3逆时针方向.CC( 2)i|z|e zdz,此中复常数 | a | 11 ( z a)3【答案 ( 1) 0 ;( 2)当 | a | 1,0;| a | 1,πe ai 】设 L 为不经过点 b 和 b 的简单正向(逆时针)曲线,b 为不等于零的任何复数,试就曲线L 与 b 的各种可能计算积分的值.Ii L( z zb)dzb)( z(1) Lb ,则 I=0; ( 2)L 含 b , Iπi b ,Iπi【答案 不含 b; L 含 b;( 3)两点在内部 I0 】πh( z)i |e 3d已知 | 2,试求 h(i), h( i) ,以及当 | z | 2 时, h ( z) 的值 .z【h(i)π( 3 i); h( i) π(3 i);| z | 2, h ( z)0 】ize z计算积分C ( za)3dz,此中 常数 a 在闭曲线 C 内部1(2 a) e a【答案 2】设 C 为正向圆周z1,且 | a |1,证明:积分|dz |2 π(| a | 1)1 |a|222 π(| a | 1)i |z| 1 | z a |21|a|利用积分计算积分iidz|z| 1 z 2 的值,证明|dz | ,(| a | r ) |z| r| z a |22π1 2cosd 05 4cos(提示 :令 c : z re i|dz | i r z dz, 注意到点 a, r2a 是关于圆周| z |r的对称点). 已知sinπf ( z)4 d2z求 f (1 2i), f (1), f (1) .cos z计算积分(2) i |z| 1e z z 2dz本章计算机仿真编程2π1 2cos5d计算机仿真编程考据的积分结果 4cos计算机仿真计算以下积分的值(沿非闭合路径的积分)(1)I 13 πi (2) I 2 6πich3zdz;(3) I 3i zdz;e 2 zdz;0 ( z 1)eπii1tan z(4) I 4cos 2 dz,1 到 i 的直线段.1z 其积分的路径为沿( 说明: 沿闭合路径的积分可以利用留数的定义,留数定理来计算;而留数可以利用计算机仿真编程 Matlab 直接求解 )。
复变函数第三章习题答案------------------------------------------作者------------------------------------------日期第三章 柯西定理 柯西积分掌握内容:1.柯西积分定理:若函数()f z 在围线C 之内是处处解析的,则()Cf z dz =⎰0。
2.柯西积分定理的推广:若函数()f z 在围线C 之内的,,...n z z z 12点不解析,则()()()...()nCC C C f z dz f z dz f z dz f z dz =+++⎰⎰⎰⎰12,其中,,...n C C C 12是分别以,,...n z z z 12为圆点,以充分小的ε为半径的圆。
3.若在围线C 之内存在不解析点,复变函数沿围线积分怎么求呢?——运用柯西积分公式。
柯西积分公式:若函数z 0在围线C 之内,函数()f z 在围线C 之内是处处解析的,则()()Cf z dz if z z z π=-⎰002 4.柯西积分公式的高阶求导公式:若函数z 0在围线C 之内,函数()f z 在围线C 之内是处处解析的,则()()()()!n n Cf z i dz f z z z n π+=-⎰0102 习题:1.计算积分⎰++-idz ix y x 102)(积分路径是直线段。
解:令iy x z +=,则idydx dz += 积分路径如图所示:在积分路径上:x y =,所以3131212121312110322232112112112112102102i x ix y i x ix x dxix x i iydy xdx dx ix x dyix x i iydy ydx dx ix x idy dx ix y x dz ixy x ii+-=-+--+=++--+=++--+=++-=+-⎰⎰⎰⎰⎰⎰⎰⎰⎰⎰++)()()()()())(()(2.计算积分⎰-iidz z 。
《工程数学-复变函数与积分变换》课后习题详解 吉林大学数学学院 (主编:王忠仁 张静)高等教育出版社 习题一(P12)对任何z ,22z z =是否成立如果是,就给出证明。
如果不是,对哪些z 值才成立解:设z x iy =+,则2222z x y xyi =-+,222z x y =+;若22z z =成立,则有22222x y xyi x y -+=+,即222220x y x yxy ⎧-=+⎨=⎩,解得0y =,即z x =。
所以,对任何z ,22z z =不成立,只对z 为实数时才成立。
求下列各式的值:(1)5)i ; (2)6(1)i +; (3; (4)13(1)i -。
解:(162ii eπ-=,所以555556661)223232())2i i i i e e e i i πππ--⨯-⎛⎫====-=- ⎪⎝⎭(2)因为41ii e π+=,所以63663442(1)288i i i e e e i πππ⨯⎫+====-⎪⎭(3)因为1cos sin i ππ-=+,所以()1622cos sin cossin66k k k w i i ππππππ++==+=+,其中0,1,2,3,4,5k =;即01cossin6622w i i ππ=+=+,1cos sin 22w i i ππ=+=,2551cossin 662w i i ππ=+=+,3771cos sin 662w i i ππ=+=-,433cossin 22w i i ππ=+=-,511111cos sin 662w i i ππ=+=-。
(4)因为1cos()sin()44i i ππ⎤-=-+-⎥⎦,所以11362244(1)2cos sin 33k k k w i i ππππ⎡⎤-+-+⎢⎥=-=+⎢⎥⎢⎥⎣⎦,其中0,1,2k =;即1602cos()sin()1212w i ππ⎡⎤=-+-⎢⎥⎣⎦,161772cos sin1212w i ππ⎡⎤=+⎢⎥⎣⎦,162552cos sin 44w i ππ⎡⎤=+⎢⎥⎣⎦。
第1章 复数与复变函数 (作业1)一、填空题 1、ieπ2的值为 。
2、k 为任意整数,则34+k 的值为 。
3、复数i i (1)-的指数形式为 。
4、设b a ,为实数,当=a , b= 时,).35)(1()3()1(i i b i a ++=-++ 二、判断题(正确的划√,错误的划 ) 1、2121z z z z +=+ ( )2、()()())z Re(iz Im ;z Im iz Re =-= ( )3、()()i i i 125432+=++ ( ) 三、选择题1.当ii z -+=11时,5075100z z z ++的值等于( ) (A )i (B )i - (C )1 (D )1-2.复数)(tan πθπθ<<-=2i z 的三角表示式是( )(A ))]2sin()2[cos(secθπθπθ+++i (B ))]23sin()23[cos(sec θπθπθ+++i (C ))]23sin()23[cos(secθπθπθ+++-i (D ))]2sin()2[cos(sec θπθπθ+++-i 3.使得22z z =成立的复数z 是( )(A )不存在的 (B )唯一的 (C )纯虚数 (D )实数 4.若θi re i i=+--2)1(3,则( ) (A )πθ-==3arctan ,5r (B )πθ-==3arctan ,210r (C )3arctan ,210-==πθr (D )3arctan ,5-==πθr 5. 设复数z 位于第二象限,则z arg 等于( )。
(A) x y arctan 2+π (B) x y arctan +π (C) x y arctan 2-π (D) xy arctan +-π 四、计算与证明题 1、设ii i i z -+-=11,求.),Im(),Re(z z z z2、当x y ,等于什么实数时,等式()i iy i x +=+-++13531成立?3、求复数ii-+23的辐角。
p141第三章习题(一)[ 5, 7, 13, 14, 15, 17, 18 ]5. 由积分⎰C1/(z + 2) dz之值证明⎰[0, π] (1 + 2 cosθ)/(5 + 4cosθ) dθ = 0,其中C取单位圆周| z | = 1.【解】因为1/(z + 2)在圆| z | < 3/2内解析,故⎰C1/(z + 2) dz = 0.设C : z(θ)= e iθ,θ∈[0, 2π].则⎰C1/(z + 2) dz = ⎰C1/(z + 2) dz = ⎰[0, 2π] i e iθ/(e iθ + 2) dθ= ⎰[0, 2π] i (cosθ + i sinθ)/(cosθ + i sinθ + 2) dθ= ⎰[0, 2π] (- 2 sinθ + i (1 + 2cosθ ))/(5 + 4cosθ) dθ= ⎰[0, 2π] (- 2 sinθ)/(5 + 4cosθ) dθ+ i ⎰[0, 2π] (1 + 2cosθ )/(5 + 4cosθ) dθ.所以⎰[0, 2π] (1 + 2cosθ )/(5 + 4cosθ) dθ= 0.因(1 + 2cosθ ))/(5 + 4cosθ)以2π为周期,故⎰[-π, π] (1 + 2cosθ )/(5 + 4cosθ) dθ= 0;因(1 + 2cosθ ))/(5 + 4cosθ)为偶函数,故⎰[0, π] (1 + 2 cosθ)/(5 + 4cosθ) dθ = (1/2) ⎰[-π, π] (1 + 2cosθ )/(5 + 4cosθ) dθ= 0.7. (分部积分法)设函数f(z), g(z)在单连通区域D内解析,α, β是D内两点,试证⎰[α, β] f(z)g’(z)dz = ( f(z)g(z))|[α, β] -⎰[α, β] g(z) f’(z)dz.【解】因f(z), g(z)区域D内解析,故f(z)g’(z),g(z) f’(z),以及( f(z)g(z))’都在D 内解析.因区域D是单连通的,所以f(z)g’(z),g(z) f’(z),以及( f(z)g(z))’的积分都与路径无关.⎰[α, β] f(z)g’(z)dz + ⎰[α, β] g(z) f’(z)dz = ⎰[α, β] ( f(z)g’(z)dz + g(z) f’(z))dz= ⎰[α, β] ( f(z)g(z))’dz.而f(z)g(z)是( f(z)g(z))’在单连通区域D内的一个原函数,所以⎰[α, β] ( f(z)g(z))’dz = f(β)g(β) -f(α)g(α) = ( f(z)g(z))|[α, β].因此有⎰[α, β] f(z)g’(z)dz + ⎰[α, β] g(z) f’(z)dz = ( f(z)g(z))|[α, β],即⎰[α, β] f(z)g’(z)dz = ( f(z)g(z))|[α, β] -⎰[α, β] g(z) f’(z)dz.13. 设C : z = z(t) (α≤t≤β)为区域D内的光滑曲线,f(z)于区域D内单叶解析且f’(z) ≠ 0,w = f(z)将曲线C映成曲线Γ,求证Γ亦为光滑曲线.【解】分两种情况讨论.(1) 当z(α) ≠z(β)时,C不是闭曲线.此时z(t)是[α, β]到D内的单射,z(t)∈C1[α, β],且在[α, β]上,| z’(t) |≠ 0.因Γ是曲线C在映射f下的象,所以Γ可表示为w = f(z(t)) (α≤t≤β).∀t∈[α, β],z(t)∈D.因f于区域D内解析,故f在z(t)处解析,因此f(z(t))在t处可导,且导数为f’(z(t))z’(t).显然,f’(z(t))z’(t)在[α, β]上是连续的,所以f(z(t))∈C1[α, β].因为f(z)于区域D内是单叶的,即f(z)是区域D到 的单射,而z(t)是[α, β]到D 内的单射,故f(z(t))是[α, β]到 内的单射.因在D内有f’(z) ≠ 0,故在[α, β]上,| f’(z(t))z’(t) |= | f’(z(t)) | · |z’(t) |≠ 0.所以,Γ是光滑曲线.(2) 当z(α) = z(β)时,C是闭曲线.此时z(t)∈C1[α, β];在[α, β]上,有| z’(t) |≠ 0;z’(α) = z’(β);∀t1∈[α, β],∀t2∈(α, β),若t1 ≠t2,则z(t1) ≠z(t2).与(1)完全相同的做法,可以证明f(z(t))∈C1[α, β],且| f’(z(t))z’(t) |≠ 0.由z(α) = z(β)和z’(α) = z’(β),可知f’(z(α))z’(α) = f’(z(β))z’(β).因为∀t1∈[α, β],∀t2∈(α, β),若t1 ≠t2,则z(t1) ≠z(t2),由f(z)于区域D内单叶,因此我们有f(z(t1)) ≠f(z(t2)).所以Γ是光滑的闭曲线.14. 设C : z = z(t) (α≤t≤β)为区域D内的光滑曲线,f(z)于区域D内单叶解析且f’(z) ≠ 0,w = f(z)将曲线C映成曲线Γ,证明积分换元公式⎰ΓΦ(w) dw = ⎰CΦ( f(z)) f’(z) dz.其中Φ(w)沿曲线Γ连续.【解】由13题知曲线Γ也是光滑曲线,其方程为w(t) = f(z(t)) (α≤t≤β).故⎰ΓΦ(w) dw = ⎰[α, β] Φ(w(t)) ·w’(t) dt = ⎰[α, β] Φ( f(z(t))) · ( f’(z(t)) z’(t)) dt.而⎰CΦ( f(z)) f’(z) dz = ⎰[α, β] ( Φ( f(z(t))) f’(z(t))) ·z’(t) dt.所以⎰ΓΦ(w) dw = ⎰CΦ( f(z)) f’(z) dz.15. 设函数f(z)在z平面上解析,且| f(z) |恒大于一个正的常数,试证f(z)必为常数.【解】因| f(z) |恒大于一个正的常数,设此常数为M.则∀z∈ ,| f(z) | ≥M,因此| f(z) | ≠ 0,即f(z) ≠ 0.所以函数1/f(z)在 上解析,且| 1/f(z) | ≤ 1/M.由Liuville定理,1/f(z)为常数,因此f(z)也为常数.17. 设函数f(z)在区域D内解析,试证(∂2/∂x2 + ∂2/∂y2) | f(z) |2 = 4 | f’(z) |2.【解】设f(z) = u + i v,w = | f(z) |2,则w = ln ( u 2 + v 2 ).w x = 2(u x u+ v x v),w y = 2(u y u+ v y v);w xx = 2(u xx u+ u x2 + v xx v+ v x2 ),w yy = 2(u yy u+ u y2 + v yy v+ v y2 );因为u, v都是调和函数,所以u xx u+ u yy u= (u xx + u yy) u= 0,v xx v+ v yy v= (v xx + v yy) v= 0;由于u, v满足Cauchy-Riemann方程,故u x2 = v y 2,v x 2 = u y2,故w xx + w yy = 2 (u x2 + v x2 + u y2 + v y2) = 4 (u x2 + v x2) = 4 | f(z) |2;即(∂2/∂x2 + ∂2/∂y2) | f(z) |2 = 4 | f’(z) |2.18. 设函数f(z)在区域D内解析,且f’(z) ≠ 0.试证ln | f’(z) |为区域D内的调和函数.【解】∀a∈D,因区域D是开集,故存在r1 > 0,使得K(a, r1) = { z∈ | | z -a | < r1 } ⊆D.因f’(a) ≠ 0,而解析函数f’(z)是连续的,故存在r2 > 0,使得K(a, r2) ⊆K(a, r1),且| f’(z) -f’(a)| < | f’(a) |.用三角不等式,此时有| f’(z)| > | f’(a) | - | f’(z) -f’(a)| > 0.记U = { z∈ | | z -f’(a)| < | f’(a) |},则U是一个不包含原点的单连通区域.在沿射线L = {z∈ | z = - f’(a) t,t≥ 0 }割开的复平面上,多值函数g(z) = ln z可分出多个连续单值分支,每个单值连续分支g(z)k在 \L上都是解析的.∀t≥ 0,| - f’(a) t -f’(a) | = (t + 1) | f’(a) | ≥ | f’(a) |,故- f’(a) t ∉U.所以U ⊆ \L,即每个单值连续分支g(z)k在U上都是解析的.因为当z∈K(a, r2)时,f’(z)∈U,故复合函数g( f’(z))k在上解析.而Re(g( f’(z))k) = ln | f’(z) |,所以ln | f’(z) |在K(a, r2)上是调和的.由a∈D的任意性,知ln | f’(z) |在D上是调和的.【解2】用Caucht-Riemann方程直接验证.因为f’(z)也在区域D内解析,设f’(z) = u + i v,则u, v也满足Cauchy-Riemann方程.记w = ln | f’(z) |,则w = (1/2) ln ( u 2 + v 2 ),w x = (u x u+ v x v) /( u 2 + v 2 ),w y = (u y u+ v y v) /( u 2 + v 2 );w xx = ((u xx u+ u x2 + v xx v+ v x2 )( u 2 + v 2 ) - 2(u x u+ v x v)2)/( u 2 + v 2 )2;w yy = ((u yy u+ u y2 + v yy v+ v y2 )( u 2 + v 2 ) - 2(u y u+ v y v)2)/( u 2 + v 2 )2;因为u, v都是调和函数,所以u xx u+ u yy u= (u xx + u yy) u= 0,v xx v+ v yy v= (v xx + v yy) v= 0;由于u, v满足Cauchy-Riemann方程,故u x2 = v y 2,v x 2 = u y2,u x v x + u y v y = 0,因此(u x u+ v x v)2 + (u y u+ v y v)2= u x2u 2+ v x 2v 2 + 2 u x u v x v+ u y2u 2+ v y 2v 2 + 2 u y u v y v= (u x2 + v x2 )( u 2 + v 2 );故w xx + w yy = (2(u x2 + v x2 )( u 2 + v 2 ) - 2(u x2 + v x2 )( u 2 + v 2 ))/( u 2 + v 2 )2 = 0.所以w为区域D内的调和函数.[初看此题,就是要验证这个函数满足Laplace方程.因为解析函数的导数还是解析的,所以问题相当于证明ln | f(z) |是调和的,正如【解2】所做.于是开始打字,打了两行之后,注意到ln | f’(z) |是Ln f’(z)的实部.但Ln z不是单值函数,它也没有在整个 上的单值连续分支,【解1】前面的处理就是要解决这个问题.] p141第三章习题(二)[ 1, 2, 3, 4, 5, 6, 7, 8, 9, 10, 11, 12, 13, 14, 15, 16 ]1. 设函数f(z)在0 < | z | < 1内解析,且沿任何圆周C : | z | = r, 0 < r < 1的积分值为零.问f(z)是否必须在z = 0处解析?试举例说明之.【解】不必.例如f(z) = 1/z2就满足题目条件,但在z = 0处未定义.[事实上可以任意选择一个在| z | < 1内解析的函数g(z),然后修改它在原点处的函数值得到新的函数f(z),那么新的函数f(z)在原点不连续,因此肯定是解析.但在0 < | z | < 1内f(z) = g(z),而g(z)作为在| z | < 1内解析的函数,必然沿任何圆周C : | z | = r的积分值都是零.因此f(z)沿任何圆周C : | z | = r的积分值也都是零.若进一步加强题目条件,我们可以考虑,在极限lim z→0 f(z)存在的条件下,补充定义f(0) = lim z→0 f(z),是否f(z)就一定在z = 0处解析?假若加强条件后的结论是成立,我们还可以考虑,是否存在满足题目条件的函数,使得极限lim z→0 f(z)不存在,也不是∞?]2. 沿从1到-1的如下路径求⎰C1/√z dz.(1) 上半单位圆周;(2) 下半单位圆周,其中√z取主值支.【解】(1) √z = e i arg z /2,设C : z(θ)= e iθ,θ∈[0, π].⎰C1/√z dz = ⎰[0, π] i e iθ/e iθ/2dθ = ⎰[0, π] i e iθ/2dθ = 2e iθ/2|[0, π] = 2(- 1 + i).(2) √z = e i arg z /2,设C : z(θ)= e iθ,θ∈[-π, 0].⎰C1/√z dz = -⎰[-π, 0] i e iθ/e iθ/2dθ = -⎰[-π, 0] i e iθ/2dθ = - 2e iθ/2|[-π, 0] = 2(- 1 -i).[这个题目中看起来有些问题:我们取主值支,通常在是考虑割去原点及负实轴的z平面上定义的单值连续分支.因此,无论(1)还是(2),曲线C上的点-1总不在区域中(在区域的边界点上).因此曲线C也不在区域中.所以,题目应该按下面的方式来理解:考虑单位圆周上的点ζ,以及沿C从1到ζ的积分的极限,当ζ分别在区域y > 0和区域y < 0中趋向于-1时,分别对应(1)和(2)的情形,简单说就是上岸和下岸的极限情形.那么按照上述方式理解时,仍然可以象我们所做的那样,用把积分曲线参数化的办法来计算,这是由积分对积分区域的连续性,即绝对连续性来保证的.以后我们遇到类似的情形,都以这种方式来理解.]3. 试证| ⎰C(z + 1)/(z - 1) dz | ≤ 8π,其中C为圆周| z - 1 | = 2.【解】若z∈C,| z + 1 | ≤ | z - 1 | + 2 = 4,故| (z + 1)/(z - 1) | ≤ 2.因此| ⎰C(z + 1)/(z - 1) dz | ≤⎰C| (z + 1)/(z - 1) | ds≤ 2 · Length(C) = 8π.4. 设a, b为实数,s = σ+ i t (σ > 0)时,试证:| e bs–e as| ≤ | s | · | b–a | e max{a, b} ·σ.【解】因为f(z) = e sz在 上解析,故f(z)的积分与路径无关.设C是从a到b的直线段,因为e sz/s是f(z)的一个原函数,所以| ⎰C e sz dz | = | e sz/s |[a, b] | = | e bs–e as|/| s |.而| ⎰C e sz dz | ≤⎰C | e sz|ds = ⎰C | e(σ+ i t)z|ds = ⎰C | eσ z+ i tz|ds= ⎰C | eσ z|ds ≤⎰C e max{a, b} ·σ ds = | b–a | e max{a, b} ·σ.所以| e bs–e as| ≤ | s | · | b–a | e max{a, b} ·σ.5. 设在区域D = { z∈ : | arg z | < π/2 }内的单位圆周上任取一点z,用D内曲线C连接0与z,试证:Re(⎰C1/(1 + z2) dz ) = π/4.【解】1/(1 + z2)在单连通区域D内解析,故积分与路径无关.设z = x + i y,∀z∈D,i z∈{ z∈ : 0 < arg z < π } = { z∈ : Im z > 0 },-i z∈{ z∈ : -π < arg z < 0 } = { z∈ : Im z < 0 },故1 + i z∈{ z∈ : Im z > 0 }, 1 -i z∈{ z∈ : Im z < 0 }.设ln(z)是Ln(z)的主值分支,则在区域D内( ln(1 + i z) - ln(1 -i z) )/(2i)是解析的,且(( ln(1 + i z) - ln(1 -i z) )/(2i))’ = (i/(1 + i z) + i/(1 -i z))(2i) = 1/(1 + z2);即( ln(1 + i z) - ln(1 -i z) )/(2i)是1/(1 + z2)的一个原函数.⎰C1/(1 + z2) dz = ( ln(1 + i z) - ln(1 -i z) )/2 |[0, z]= (ln(1 + i z) - ln(1 -i z))/(2i) = ln((1 + i z)/(1 -i z))/(2i)= (ln |(1 + i z)/(1 -i z)| + i arg ((1 + i z)/(1 -i z)))/(2i)= -i (1/2) ln |(1 + i z)/(1 -i z)| + arg ((1 + i z)/(1 -i z))/2,故Re(⎰C1/(1 + z2) dz ) = arg ((1 + i z)/(1 -i z))/2.设z = cosθ + i sinθ,则cosθ> 0,故(1 + i z)/(1 -i z) = (1 + i (cosθ + i sinθ))/(1 -i (cosθ + i sinθ)) = i cosθ/(1 + sinθ),因此Re(⎰C1/(1 + z2) dz ) = arg ((1 + i z)/(1 -i z))/2= arg (i cosθ/(1 + sinθ))/2 = (π/2)/2 = π/4.[求1/(1 + z2) = 1/(1 + i z) + 1/(1 -i z) )/2的在区域D上的原函数,容易得到函数( ln(1 + i z) - ln(1 -i z) )/(2i),实际它上就是arctan z.但目前我们对arctan z的性质尚未学到,所以才采用这种间接的做法.另外,注意到点z在单位圆周上,从几何意义上更容易直接地看出等式arg ((1 + i z)/(1 -i z))/2 = π/4成立.最后,还要指出,因曲线C的端点0不在区域D中,因此C不是区域D中的曲线.参考我们在第2题后面的注释.]6. 试计算积分⎰C( | z | - e z sin z ) dz之值,其中C为圆周| z | = a > 0.【解】在C上,函数| z | - e z sin z与函数a- e z sin z的相同,故其积分值相同,即⎰C( | z | - e z sin z ) dz = ⎰C( a- e z sin z ) dz.而函数a- e z sin z在 上解析,由Cauchy-Goursat定理,⎰C( a- e z sin z ) dz = 0.因此⎰C( | z | - e z sin z ) dz = 0.7. 设(1) f(z)在| z | ≤ 1上连续;(2) 对任意的r (0 < r < 1),⎰| z | = r f(z) dz = 0.试证⎰| zf(z) dz = 0.| = 1【解】设D(r) = { z∈ | | z | ≤r },K(r) = { z∈ | | z | = r },0 < r≤ 1.因f在D(1)上连续,故在D(1)上是一致连续的.再设M = max z∈D(1) { | f(z) | }.∀ε > 0,∃δ1> 0,使得∀z, w∈D(1), 当| z-w | < δ1时,| f(z) -f(w)| < ε/(12π).设正整数n≥ 3,z k= e 2kπi/n ( k = 0, 1, ..., n- 1)是所有的n次单位根.这些点z0, z1, ..., z n– 1将K(1)分成n个弧段σ(1), σ(2), ..., σ(n).其中σ(k) (k = 1, ..., n- 1)是点z k– 1到z k的弧段,σ(n)是z n– 1到z0的弧段.记p(k) (k = 1, ..., n- 1)是点z k– 1到z k的直线段,p(n)是z n– 1到z0的直线段.当n充分大时,max j {Length(σ( j))} = 2π/n < δ1.设P是顺次连接z0, z1, ..., z n– 1所得到的简单闭折线.记ρ = ρ(P, 0).注意到常数f(z j)的积分与路径无关,⎰σ( j)f(z j) dz =⎰p( j)f(z j) dz;那么,| ⎰K(1)f(z) dz -⎰P f(z) dz |= | ∑j⎰σ( j)f(z) dz -∑j⎰p( j)f(z) dz |= | ∑j (⎰σ( j)f(z) dz -⎰p( j)f(z) dz ) |≤∑j | ⎰σ( j)f(z) dz -⎰p( j)f(z) dz |≤∑j ( | ⎰σ( j)f(z) dz -⎰σ( j)f(z j) dz | + | ⎰p( j)f(z j) dz -⎰p( j)f(z) dz | )= ∑j ( | ⎰σ( j) ( f(z)-f(z j)) dz | + | ⎰p( j) ( f(z)-f(z j)) dz | )= ∑j ( ⎰σ( j)ε/(12π) ds + ⎰p( j)ε/(12π) ds )= (ε/(12π))·∑j ( Length(σ( j)) + Length(p( j)) )≤ (ε/(12π))·∑j ( Length(σ( j)) + Length(σ( j)) )= (ε/(12π))· (2 Length(K(1)))= (ε/(12π))· 4π = ε/3.当ρ< r < 1时,P中每条线段p(k)都与K(r)交于两点,设交点顺次为w k, 1, w k, 2.设Q是顺次连接w1, 1, w1, 2, w2, 1, w2, 2, ..., w n, 1, w n, 2所得到的简单闭折线.与前面同样的论证,可知| ⎰K(r)f(z) dz -⎰Q f(z) dz |≤ε/3.因此,| ⎰K(1)f(z) dz | = | ⎰K(1)f(z) dz -⎰K(r)f(z) dz |≤ | ⎰K(1)f(z) dz -⎰P f(z) dz | + | ⎰K(r)f(z) dz -⎰Q f(z) dz | + | ⎰P f(z) dz-⎰Q f(z) dz |≤ε/3 + ε/3 + | ⎰P f(z) dz-⎰Q f(z) dz |.记连接w k, 2到w k +1, 1的直线段为l(k),连接w k, 2到z k +1的直线段为r(k),连接z k +1到w k +1, 1的直线段为s(k),则| ⎰r(k)f(z) dz + ⎰s(k)f(z) dz-⎰l(k)f(z) dz |≤M ( Length(l(k)) + Length(r(k)) + Length(s(k)) ) ≤ 3 M · Length(l(k)).因为当r → 1-时,有Length(l(k)) → 0,故存在r∈(ρ, 1)使得| ⎰r(k)f(z) dz + ⎰s(k)f(z) dz-⎰l(k)f(z) dz | < ε/(3n).对这个r,我们有| ⎰P f(z) dz-⎰Q f(z) dz | = | ∑k (⎰r(k)f(z) dz + ⎰s(k)f(z) dz-⎰l(k)f(z) dz ) |≤∑k (| ⎰r(k)f(z) dz + ⎰s(k)f(z) dz-⎰l(k)f(z) dz |) ≤∑k ε/(3n) = ε/3.故| ⎰K(1)f(z) dz | ≤ε.因此⎰K(1)f(z) dz = 0.8. 设(1) f(z)当| z–z0 | > r0 > 0时是连续的;(2) M(r)表| f(z) |在K r : | z–z0 | = r > r0上的最大值;(3) lim r → +∞r M(r) = 0.试证:lim r → +∞⎰K(r) f(z) dz = 0.【解】当r > r0时,我们有| ⎰K(r) f(z) dz | ≤⎰K(r) | f(z) | ds≤⎰K(r) M(r) ds = 2πr M(r) → 0 (当r → +∞时),所以lim r → +∞⎰K(r) f(z) dz = 0.9. (1) 若函数f(z)在点z = a的邻域内连续,则lim r → 0 ⎰| z–a | = r f(z)/(z–a) dz = 2πi f(a).(2) 若函数f(z)在原点z = 0的邻域内连续,则lim r → 0 ⎰[0, 2π] f(r e iθ ) dθ = 2π f(0).【解】(1) 当r充分小时,用M(r)表| f(z) |在K r : | z–a | = r上的最大值;| ⎰| z–a | = r f(z)/(z–a) dz– 2πi f(a) |= | ⎰| z–a | = r f(z)/(z–a) dz–f(a)⎰| z–a | = r1/(z–a) dz |= | ⎰| z–a | = r( f(z) –f(a))/(z–a) dz | ≤⎰| z–a | = r| f(z) –f(a) |/| z–a| ds≤M(r) ⎰| z–a | = r1/| z–a| ds = 2πr M(r).当r → 0时,由f(z)的连续性,知M(r) → | f(a) |.故| ⎰| z–a | = r f(z)/(z–a) dz– 2πi f(a) | → 0.因此,lim r → 0 ⎰| z–a | = r f(z)/(z–a) dz = 2πi f(a).(2) 根据(1),lim r → 0 ⎰| z | = r f(z)/z dz = 2πi f(0).而当r充分小时,我们有⎰| z | = r f(z)/z dz = ⎰[0, 2π] f(r e iθ )/(r e iθ )· (r e iθi ) dθ = i ⎰[0, 2π] f(r e iθ ) dθ.所以,lim r → 0 (i ⎰[0, 2π] f(r e iθ ) dθ)= 2πi f(0).故lim r → 0 ⎰[0, 2π] f(r e iθ ) dθ = 2π f(0).10. 设函数f(z)在| z | < 1内解析,在闭圆| z | ≤ 1上连续,且f(0) = 1.求积分(1/(2πi))⎰| z | = 1 (2 ± (z + 1/z)) f(z)/z dz之值.【解】(1/(2πi))⎰| z | = 1 (2 ± (z + 1/z)) f(z)/z dz= ⎰| z | = 1 (2f(z)/z± (zf(z)/z + (1/z)f(z)/z) dz= (1/(2πi)) ·( ⎰| z | = 1 2f(z)/z dz ± (⎰| z | = 1 f(z) dz +⎰| z | = 1 f(z)/z 2dz) )= (1/(2πi)) ·( 2(2πi) f(0)± (0+ (2πi/1!)f’(0)) )= 2 f(0)±f’(0) = 2 ±f’(0).11. 若函数f(z)在区域D内解析,C为D内以a, b为端点的直线段,试证:存在数λ,| λ| ≤ 1,与ξ∈C,使得f(b) -f(a) = λ(b -a) f’(ξ).【解】设C的参数方程为z(t) = (1 –t ) a + t b,其中t∈[0, 1].在区域D内,因f(z)是f’(z)的原函数,故f(b) -f(a) = ⎰C f’(z) dz = ⎰[0, 1] f’((1 –t ) a + t b) (b -a) dt == (b -a) ⎰[0, 1] f’((1 –t ) a + t b) dt.(1) 若⎰[0, 1]| f’((1 –t ) a + t b) | dt = 0,因| f’((1 –t ) a + t b) |是[0, 1]上的连续函数,故| f’((1 –t ) a + t b) |在[0, 1]上恒为零.即f’(x)在C上恒为零.此时取λ= 0,任意取ξ∈C,则有f(b) -f(a) = (b -a) ⎰[0, 1] f’((1 –t ) a + t b) dt = 0 = λ(b -a) f’(ξ).(2) 若⎰[0, 1]| f’((1 –t ) a + t b) | dt > 0,因| f’((1 –t ) a + t b) |是[0, 1]上的实变量连续函数,由积分中值定理,存在t0∈[0, 1],使得⎰[0, 1]| f’((1 –t ) a + t b) | dt = | f’((1 –t0) a + t0b) |.取ξ = (1 –t0) a + t0b,则f’(ξ) = f’((1 –t0) a + t0b) ≠ 0,令λ= (⎰[0, 1] f’((1 –t ) a + t b) dt)/ f’(ξ).因为| ⎰[0, 1] f’((1 –t ) a + t b) dt | ≤⎰[0, 1]| f’((1 –t ) a + t b) | dt = | f’(ξ) |.所以| λ| = | (⎰[0, 1] f’((1 –t ) a + t b) dt)/ f’(ξ) |= | ⎰[0, 1] f’((1 –t ) a + t b) dt |/| f’(ξ) | ≤ 1.且f(b) -f(a) = (b -a) ⎰[0, 1] f’((1 –t ) a + t b) dt = λ(b -a) f’(ξ).12. 如果在| z | < 1内函数f(z)解析,且| f(z) | ≤ 1/(1 - | z |).试证:| f(n)(0) | ≤ (n + 1)!(1 + 1/n)n < e (n + 1)!,n =1, 2, ....【解】设K(r) = { z∈ | | z | = r },0 < r≤ 1.由Cauchy积分公式和高阶导数公式,有| f(n)(0) | = (n!/(2π)) | ⎰K(r) f(z)/z n + 1dz | ≤ (n!/(2π)) ⎰K(r) | f(z) |/| z |n + 1ds≤ (n!/(2π)) ⎰K(r) 1/((1 - | z |)| z |n + 1) ds = (n!/(2π))/((1 -r ) r n + 1) 2πr= n!/((1 -r ) r n).为得到| f(n)(0) |的最好估计,我们希望选取适当的r∈(0, 1),使得n!/((1 -r ) r n)最小,即要使(1 -r ) r n最大.当n≥ 1时,根据均值不等式,(1 -r ) r n = (1 -r ) (r/n)n ·n n≤ (((1 -r ) + (r/n) + ... + (r/n))/(n + 1))n + 1 ·n n = n n/(n + 1)n + 1.当1 -r = r/n,即r = n/(n + 1)时,(1 -r ) r n达到最大值n n/(n + 1)n + 1.因此,我们取r = n/(n + 1),此时有| f(n)(0) | ≤n!/((1 -r ) r n) = n!/(n n/(n + 1)n + 1) = (n + 1)!(1 + 1/n)n < e (n + 1)!.[也可以用数学分析中的办法研究函数g(r) = (1 -r ) r n在(0, 1)内的上确界,也会得到同样的结果.]13. 设在| z | ≤ 1上函数f(z)解析,且| f(z) | ≤ 1.试证:| f’(0) | ≤ 1.【解】设D = { z∈ | | z | ≤ 1 }.由高阶导数公式,| f’(0) | = (1/(2π)) | ⎰∂D f(z)/z 2dz | ≤ (1/(2π)) ⎰∂D1/| z |2 ds = 1.14. 设f(z)为非常数的整函数,又设R, M为任意正数,试证:满足| z | > R且| f(z) | > M的z必存在.【解】若不然,当| z | > R时,| f(z) | ≤M.而f(z)为整函数,故必连续,因此f(z)在| z | ≤R上有界.所以f(z)在 上有界.由Liouville定理,f(z)必为常数,这与题目条件相矛盾.15. 已知u + v = (x–y)(x2 + 4xy + y2) – 2(x + y),试确定解析函数f(z) = u + i v.【解】由于u x + v x = 3(x2 + 2xy–y2) – 2,u y + v y = 3(x2– 2xy–y2) – 2,两式相加,再利用Cauchy-Riemann方程,有u x = 3(x2–y2) – 2.两式相减,再利用Cauchy-Riemann方程,有v x = 6xy.所以f’(z) = u x + i v x = 3(x2–y2) – 2 + 6xy i = 3(x + y i)2– 1 = 3 z2– 2.因此,f(z) = z3– 2z + α,其中α为常数.将z = 0代入,f(z) = z3– 2z + α,得α = f(0).把(x, y) = (0, 0)带入u + v = (x–y)(x2 + 4xy + y2) – 2(x + y),得u(0, 0) + v(0, 0) = 0.设u(0, 0) = c∈ ,则v(0, 0) = -c.因此α = f(0) = u(0, 0) + v(0, 0) i = (1 -i )c.所以,f(z) = z3– 2z + (1 -i )c,其中c为任意实数.[书上答案有误.设f(z) = z3– 2z + (a + b i),则f(z) = (x + y i)3– 2(x + y i) + (a + b i) = (x3 - 3xy2 – 2x + a) + (3x2y-y3– 2y + b)i.因此,u + v = (x3 - 3xy2 – 2x + a) + (3x2y-y3– 2y + b)= (x–y)(x2 + 4xy + y2) – 2(x + y) + (a + b),所以,当a + b≠ 0时,不满足题目所给条件.]16. 设(1) 区域D是有界区域,其边界是周线或复周线C;(2) 函数f1(z)及f2(z)在D内解析,在闭域cl(D) = D + C上连续;(3) 沿C,f1(z) = f2(z).试证:在整个闭域cl(D),有f1(z) = f2(z).【解】设f(z) = f1(z) -f2(z).用Cauchy积分公式,∀z∈D有f(z) = (1/(2πi))⎰C f(ζ)/(ζ–z) dζ = 0.所以∀z∈cl(D)有f(z) = 0,即f1(z) = f2(z).∀∃∅-⨯±≠≥·◦≤≡⊕⊗≅αβχδεφγηιϕκλμνοπθρστυϖωξψζ∞•︒ℵℜ℘∇∏∑⎰⊥∠ √§ψ∈∉⊆⊂⊃⊇⊄⊄∠⇒♣♦♥♠§ #↔→←↑↓⌝∨∧⋃⋂⇔⇒⇐∆∑ΓΦΛΩ∂∀m∈ +,∃m∈ +,★〈α1, α2, ..., αn〉lim n→∞,+n→∞∀ε > 0,∑u n,∑n≥ 1u n,m∈ ,∀ε > 0,∃δ> 0,【解】⎰[0, 2π]l 2 dx,f(x) = (-∞, +∞)[-π, π]∑1 ≤k≤n u n,[0, 2π]。
复变函数练习题 第三章 复变函数的积分系 专业 班 姓名 学号§1 复变函数积分的概念 §4 原函数与不定积分一.选择题1.设为从原点沿至的弧段,则[]C 2y x =1i +2()Cx iy dz +=⎰(A )(B ) (C ) (D )1566i -1566i -+1566i --1566i +2. 设是,从1到2的线段,则 []C (1)z i t =+t arg Czdz =⎰(A )(B )(C )(D )4π4i π(1)4i π+1i+3.设是从到的直线段,则[]C 012i π+z Cze dz =⎰(A )(B ) (C ) (D )12e π-12e π--12ei π+12eiπ-4.设在复平面处处解析且,则积分[]()f z ()2iif z dz i πππ-=⎰()iif z dz ππ--=⎰(A ) (B )(C )(D )不能确定2i π2i π-0二.填空题1.设为沿原点到点的直线段,则2。
C 0z =1z i =+2Czdz =⎰2.设为正向圆周,则C |4|1z -=2232(4)A Cz z dz z -+=-⎰10.i π三.解答题1.计算下列积分。
(1)323262121()02iziiz i i i edzee e ππππππ---==-=⎰(2)22222sin 1cos2sin 2224sin 2.244iiiii i zdzz z z dz i e e e e i i i i ππππππππππππππ------⎛⎫==- ⎪⎝⎭⎛⎫--=-=-=+⎪⎝⎭⎰⎰(3)110sin (sin cos )sin1cos1.z zdzz z z =-=-⎰(4)20222cos sin 1sin sin().222iiz z dzz i ππππ==⋅=-⎰2.计算积分的值,其中为正向圆周:||C z dz z ⎰A C (1)2200||22,022224.2i i i z Cz e e ie d id i θθππθθπθθπ-==≤≤⋅==⎰⎰积分曲线的方程为则原积分I =(2)2200||44,024448.4i i i z Cz e e ie d id i θθππθθπθθπ-==≤≤⋅==⎰⎰积分曲线的方程为则原积分I =3.分别沿与算出积分的值。
复变函数的积分例题及解析复变函数的积分是数学中一个基础重要的部分。
它可以用来求解各种极限问题,如微积分中的各种重要问题。
本文将以复变函数的积分为主题,通过几个例题来说明复变函数的积分的解法。
首先说明的是复变函数的定义:它是对实数的函数,它的值是复数。
这意味着它可以把实数的函数映射到复数的函数,而积分就是求复变函数的定积分。
现在我们来看几个复变函数的积分例题:例题1:求下列复变函数的定积分:f(x)=2+2i解:根据定积分的定义,我们需要求出f(x)在一定区间内的积分,即∫ a b [2 + 2i]dx = 2 (b-a) + 2i (b-a)因此,给定复变函数f(x)=2+2i,其定积分为2(b-a)+2i(b-a)。
例题2:求下列复变函数的定积分:f(x)=3-3i解:根据定积分的定义,我们需要求出f(x)在一定区间内的积分,即∫ a b [3 - 3i]dx = 3 (b-a) - 3i (b-a)因此,给定复变函数f(x)=3-3i,其定积分为3(b-a)-3i(b-a)。
例题3:求下列复变函数的定积分:f(x)=4+4i解:根据定积分的定义,我们需要求出f(x)在一定区间内的积分,即∫ a b [4 + 4i]dx = 4 (b-a) + 4i (b-a)因此,给定复变函数f(x)=4+4i,其定积分为4(b-a)+4i(b-a)。
以上例题的解析说明了复变函数的积分方法,基本原理就是:给定复变函数f(x),在一定的区间内求出f(x)的定积分,并将它转换成实和虚的形式。
此外,复变函数的积分应用于许多领域,比如求解任意一般变量的定积分、求解不可积函数的定积分、求解零点函数的定积分等。
例如,有一个复变函数f(x)=x^2+2ix,它的定积分可以写成:∫ a b [x^2 + 2i]dx = 1/3 (b^3-a^3) + 2i(b-a)这个例子说明了复变函数的定积分可以用来求解各种变量的定积分问题。
复变函数练习题 第三章复变函数的积分系专业班姓名学号§1 复变函数积分的概念§4 原函数与不定积分一.选择题1.设 C 为从原点沿 y 2x 至 1 i 的弧段,则( x iy 2 ) dz[]C( A )1 5i( B ) 15 i( C ) 1 5 i( D )1 5i6 6 6 66 6 6 62. 设 C 是 z (1 i)t , t 从 1 到 2 的线段,则arg zdz[]C( A )( B ) i( C ) 4 (1 i)( D ) 1 i443.设 C 是从 0 到 1 i 的直线段,则 ze z dz[]2C(A )12 e (B ) 1e (C ) 1ei (D )1ei2224.设 f ( z) 在复平面处处解析且i2 i ,则积分i z)dz[ ]f ( z)dz f (ii(A ) 2 i( B ) 2i(C ) 0( D )不能确定二.填空题1. 设 C 为沿原点 z0到点 z 1 i 的直线段,则2 z dz 2。
C2. 设 C 为正向圆周 | z4 | 1 ,则z 23z 2dz10 i.C(z 4)2三.解答题1.计算下列积分。
( 1)3 ie 2 z dzi1 2 z 3 iei21 (e 6 i e2 i ) 02( 2)i2zdzsinii1 cos2z z sin2z ii 2 dz2 4iisin2 ie 2e 2 e 2e 22 ii.4i4( 3)1 zsin zdz0 (sin z zcos z)( 4)10 sin1 cos1.izcosz 2 dzsin z 2isin 21 sin( i )2 .2 0 2 22.计算积分zC 为正向圆周:dz 的值,其中C| z|( 1)| z | 2积分曲线 C 的方程为z 2e i , 0 2 则原积分2 2e i2ie i d 2I=2 2id4 i.0 0( 2)| z | 4积分曲线 C 的方程为z 4e i , 0 2 则原积分2 4e i4ie i d 2I=4 4id8 i .0 03.分别沿y x与y x21 i算出积分(i z )dz 的值。
第三章 复变函数的积分习题与解答
3.1 如果函数()f z 是在【1】单连通区域;【2】复通区域中的解析函数,问其积分值与路径有无关系?
【答案 单连通 无关,复连通 有关】 3.2 计算积分 3||21z z =
-⎰
的值
【答案 0】
3.3 计算积分
22d L z
z a -⎰:其中0a >.设 L 分别为
(1)(1)||/2; ||; (3)||z a z a a z a a =-=+=
【答案 (1)0;(2)
πi
a
; (3)πi
a -】
3.4 计算积分 Im d C z z
⎰,其中积分曲线C 为 (1)从原点到2i +的直线段;
(2)上半圆周 ||1z =,起点为1,终点为1-;
(3)圆周|| (0)z a R R -=>的正方向(逆时针方向)
【答案 2
(1)1i /2;(2)π/2;(3)πR +--】
3.5 计算积分 d ||C z z
z ⎰的值,
(1)||2; (2)||4;z z == 【答案(1)4πi;(2)8πi 】
3.6 计算积分的值 π2i
cos d 2z z
+⎰
【答案 1/e e +】 3.7计算下列积分的值
(1) ||1d cos z z z =⎰;(2)2||2
d z z
e z =⎰21||1||12i d d (3); (4)24()(2)z z z z z z z z ==++++⎰⎰ 【答案(1)0;(2) 0;(3) 0;(4) 4πi
4i +】
3.8 计算
2||2||232|i|1||15
22||1|i|2(1)d ; (2)d ;
3(1)(21)cos (3)d ; (4)d (i)(2)d (5)d ; (6)(4)z z z z z z z z z e z z z z z z z e z z
z z z e z z z z z ==-===-=--+--+⎰⎰⎰⎰⎰⎰
【答案 (1)0;(2)0;(3)πicosi -;(4)3πi 2-;(5)πi 12(6)π
8-
】
3.9 计算积分 (1)
π6
1
i
i
(1)sin d ; (2)ch3d ; (3)(1)d z z z z z z z e z
--⎰⎰⎰
【答案
1
3(1)sin1cos1; (2)i; (3)1cos1i[sin(1)1]--+-】
3.10 计算复数
123
cos (1)d C C z
z
z +⎰
,其中1:||2C z =顺时针方向;2:||3C z =逆时针方向.
(2)3||1d ()z
z e z
z a =-⎰,其中复常数||1a ≠
【答案 (1) 0;(2)当
||1,0;||1,πi a
a a e ><】 3.11 设L 为不经过点
b 和b -的简单正向(逆时针)曲线,b 为不等于零的任何复数,试就
曲线L 与b 的各种可能计算积分的值.
d ()()
L z
I z
z b z b =+-⎰ 【答案 (1)L 不含b ±,则I=0;(2)L 含b ,πi b
I =;L 含b -,πi
b I =-;(3)两点在内
部 0I =】
3.12 已知 π3
||2()d e h z z
ξ
ξξ
ξ==-⎰,试求(i),(i)h h -,以及当||
2z >时,
()h z '的值. 【 ()π(i);(i)i);||2,()0h i h z h z '=-=>=】 3.13 计算积分 3d ()z
C ze z
z a -⎰,其中 常数a 在闭曲线C 内部
【答案 1
(2)2a
a e +】
3.14 设 C 为正向圆周
1=z ,且||1a ≠,证明:积分
222π
1||22π||1||1 (||1)
|d ||| (||1)
a z a a z z a a -=-<⎧⎪=⎨->⎪⎩⎰
3.15 利用积分 ||1d 2z z
z =+⎰的值,证明2π012cos d 054cos θθθ+=+⎰
3.16 计算积分 2
|||d |
,(||)||z r z a r z a =≠-⎰
(提示:令i i :|d |d ,
r z c z re z z θ=⇒=注意到点
2
,r a
a 是关于圆周||z r =的对称点)
3.17.已知
2πsin 4()d f z z
ζζζζ==-⎰
求(12i),(1),(1)f f f '-.
3.18 计算积分(2)2
||1cos d z z z
z e z =⎰
本章计算机仿真编程
3.19 计算机仿真编程验证3.15的积分结果2π
012cos d 0
54cos θ
θθ+=+⎰
3.20 计算机仿真计算下列积分的值 (沿非闭合路径的积分)
π6
3πi
i i
2123πi
(1)d ; (2)ch3d ; (3)(1)d ;
z
z I e z I z z I z e z --===-⎰⎰⎰
i
4211tan (4)d ,
cos z
I z z +=⎰
其积分的路径为沿1到i 的直线段.
(说明:沿闭合路径的积分可以利用留数的定义,留数定理来计算;而留数可以利用计算机
仿真编程Matlab 直接求解)。