复变函数第三章习题答案
- 格式:docx
- 大小:227.08 KB
- 文档页数:7
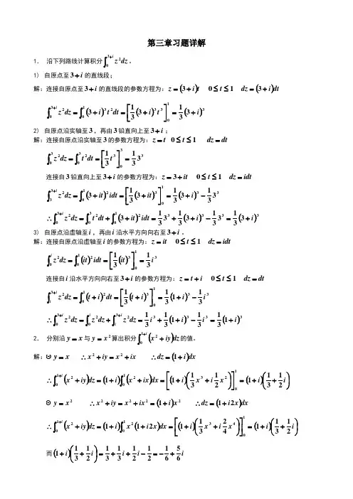
第三章习题详解1. 沿下列路线计算积分⎰+idz z 302。
1) 自原点至i +3的直线段;解:连接自原点至i +3的直线段的参数方程为:()t i z +=3 10≤≤t ()dt i dz +=3()()()⎰⎰+=⎥⎦⎤⎢⎣⎡+=+=+131033233023313313i t i dt t i dz z i2) 自原点沿实轴至3,再由3铅直向上至i +3;解:连接自原点沿实轴至3的参数方程为:t z = 10≤≤t dt dz =3303323233131=⎥⎦⎤⎢⎣⎡==⎰⎰t dt t dz z连接自3铅直向上至i +3的参数方程为:it z +=3 10≤≤t idt dz =()()()331031023323313313313-+=⎥⎦⎤⎢⎣⎡+=+=⎰⎰+i it idt it dz z i()()()333310230230233133********i i idt it dt t dz z i+=-++=++=∴⎰⎰⎰+ 3) 自原点沿虚轴至i ,再由i 沿水平方向向右至i +3。
解:连接自原点沿虚轴至i 的参数方程为:it z = 10≤≤t idt dz =()()310312023131i it idt it dz z i=⎥⎦⎤⎢⎣⎡==⎰⎰连接自i 沿水平方向向右至i +3的参数方程为:i t z += 10≤≤t dt dz =()()()33103102323113131i i i t dt i t dz z ii-+=⎥⎦⎤⎢⎣⎡+=+=⎰⎰+()()333332023021313113131i i i i dz z dz z dz z iiii+=-++=+=∴⎰⎰⎰++ 2. 分别沿x y =与2x y =算出积分()⎰++idz iy x102的值。
解:x y =Θ ix x iy x +=+∴22()dx i dz +=∴1()()()()()⎪⎭⎫⎝⎛++=⎥⎦⎤⎢⎣⎡⎪⎭⎫ ⎝⎛++=++=+∴⎰⎰+i i x i x i dx ix x i dz iy x i213112131111023102102 2x y =Θ ()22221x i ix x iy x +=+=+∴ ()dx x i dz 21+=∴()()()()()⎰⎰⎪⎭⎫⎝⎛++=⎥⎦⎤⎢⎣⎡⎪⎭⎫ ⎝⎛++=++=+∴+1104321022131142311211i i x i x i dx x i x i dz iy xi而()i i i i i 65612121313121311+-=-++=⎪⎭⎫⎝⎛++3. 设()z f 在单连通域B 内处处解析,C 为B 内任何一条正向简单闭曲线。
第三章习题详解1・沿下列路线计算积分J;' z2dz o1)自原点至3 + i的直线段;解:连接自原点至34-1的直线段的参数方程为:z =(3+》0<r<l dz =(3 + i)dt2)自原点沿实轴至3,再由3铅直向上至3 +八解:连接自原点沿实轴至3的参数方程为:z = t 0</<1 dz = dt3 1=-33 «3连接自3铅直向上至3 +,的参数方程为:z = 3 + ir O<Z<1 dz = idt J J z2dz = £(3 + it)2 idt = -(34-17)3=-(3 + i)3彳" 3 n 3・・・ f z2dz = £t2dt 4- £(3 + it)2id/ = 133 4-1(3 4-1)3 - i33 = |(3 + i)33)自原点沿虚轴至i,再由i沿水平方向向右至3+i。
解:连接自原点沿虚轴至i的参数方程为:z = it 0</<1 dz = idtJ:Z2dz = J;(it)2 idt = | (i/)3= * 尸连接自i沿水平方向向右至3 + i的参数方程为:z = t^i 0<^<1 dz = dtr*edz=jo edz+广eaz=y+敦+厅-|/3=|(1+厅2.分别沿y =兀与y =兀2算出积分J;'(兀2 + iy^dz的值。
解:•/ j = x x2 + iy = x2 + ix ••• dz = (1 + i)dx・・・『(x2 + iy)dz = (1+ (x2 + ix)dx = (1 +•/ y = x2A x2 + iy = x2 4- ix2 = (1 + i)x2:. rfz = (1 + ilx)dxf 衣=[(3+03&二(3+讥♦3+i0=(3 + 厅0 d^ed Z=[\2dt=护而(W 宙討…T + 一 11.1.11 5. i = 1—i3 3 2 26 6/(z) =1 _ 1 z 2+2z + 4~ (z + 2)2在c 内解析,根据柯西一古萨定理,$匹J z 2 + 2z + 4/. £1+,(x 2+ iy)dz = (1 + /)£ * (1 + ilx)dx = (14-彳+ 设/(z)在单连通域〃内处处解析,C 为B 内任何一条正向简单闭曲线。
复变函数第三章习题答案复变函数第三章习题答案第一题:设f(z) = u(x,y) + iv(x,y) 是定义在D上的解析函数,其中D是包含原点的区域。
证明:如果f(z) 在D上为常数,则f(z) 在D上为零函数。
解答:根据题意,我们知道f(z) 是定义在D上的解析函数,并且在D上为常数。
即对于任意的z = x + iy ∈ D,有f(z) = c,其中c为常数。
由于f(z) 是解析函数,根据解析函数的性质,它满足柯西-黎曼方程:∂u/∂x = ∂v/∂y∂u/∂y = -∂v/∂x由于f(z) 在D上为常数,因此u(x,y) 和 v(x,y) 在D上也为常数。
假设u(x,y) = A,v(x,y) = B,则有:∂u/∂x = 0∂u/∂y = 0∂v/∂x = 0∂v/∂y = 0由柯西-黎曼方程可得:∂u/∂x = ∂v/∂y = 0∂u/∂y = -∂v/∂x = 0由此可得,u(x,y) 和 v(x,y) 为常数函数,即在D上为常数A和B。
由于f(z) =u(x,y) + iv(x,y),所以f(z) = A + iB。
因此,如果f(z) 在D上为常数,则f(z) 在D上为零函数。
第二题:设f(z) = u(x,y) + iv(x,y) 是定义在D上的解析函数,其中D是包含原点的区域。
证明:如果f(z) 在D上为纯虚函数,则f(z) 在D上为常数。
解答:根据题意,我们知道f(z) 是定义在D上的解析函数,并且在D上为纯虚函数。
即对于任意的z = x + iy ∈ D,有f(z) = iv(x,y),其中i为虚数单位。
由于f(z) 是解析函数,根据解析函数的性质,它满足柯西-黎曼方程:∂u/∂x = ∂v/∂y∂u/∂y = -∂v/∂x由于f(z) 在D上为纯虚函数,因此u(x,y) = 0,v(x,y) ≠ 0。
假设v(x,y) = B,则有:∂u/∂x = 0∂u/∂y = 0∂v/∂x = 0∂v/∂y = B由柯西-黎曼方程可得:∂u/∂x = ∂v/∂y = 0∂u/∂y = -∂v/∂x = -B由此可得,u(x,y) = 0,v(x,y) = B。
习题一1. 用复数的代数形式a +ib 表示下列复数π/43513;;(2)(43);711i i e i i i i i-++++++. ①解:i 4πππecos isin 44-⎛⎫⎛⎫⎛⎫=-+-== ⎪ ⎪ ⎪ ⎪⎝⎭⎝⎭⎝⎭②解:()()()()35i 17i 35i 1613i 7i 11+7i 17i 2525+-+==-++- ③解: ()()2i 43i 834i 6i 510i ++=-++=+ ④解:()31i 1335=i i i 1i 222-+-+=-+2.求下列各复数的实部和虚部(z =x +iy )(z a a z a -∈+); 333;;;.n z i①解: ∵设z =x +iy 则()()()()()()()22i i i i i i x a y x a y x y a x a y z a z a x y a x a y x a y -++-⎡⎤⎡⎤+--+-⎣⎦⎣⎦===+++++++∴()22222Re z a x a y z a x a y ---⎛⎫= ⎪+⎝⎭++, ()222Im z a xy z a x a y -⎛⎫= ⎪+⎝⎭++. ②解: 设z =x +iy∵()()()()()()()()323222222223223i i i 2i i 22i33iz x y x y x y x y xy x y x x y xy y x y x y x xy x y y =+=++=-++⎡⎤=--+-+⎣⎦=-+-∴()332Re 3z x xy =-,()323Im 3z x y y =-.③解:∵(()(){}33232111313188-+⎡⎤⎡⎤==--⋅-⋅+⋅-⎢⎥⎢⎥⎣⎦⎣⎦⎝⎭()180i 18=+=∴Re 1=⎝⎭, Im 0=⎝⎭.④解:∵()()(()2332313131i 8⎡⎤--⋅-⋅+⋅-⎢⎥⎣⎦=⎝⎭()180i 18=+=∴Re 1=⎝⎭, Im 0=⎝⎭. ⑤解: ∵()()1,2i 211i,kn kn k k n k ⎧-=⎪=∈⎨=+-⋅⎪⎩ . ∴当2n k =时,()()Re i 1kn =-,()Im i 0n =;当21n k =+时,()Re i 0n =,()()Im i 1kn =-.3.求下列复数的模和共轭复数12;3;(2)(32);.2ii i i +-+-++①解:2i -+2i 2i -+=--②解:33-=33-=-③解:()()2i 32i 2i 32i ++=++=.()()()()()()2i 32i 2i 32i 2i 32i 47i ++=+⋅+=-⋅-=-④解:1i 1i 22++==()1i 11i222i ++-⎛⎫== ⎪⎝⎭4、证明:当且仅当z z =时,z 才是实数. 证明:若z z =,设i z x y =+,则有 i i x y x y +=-,从而有()2i 0y =,即y =0∴z =x 为实数.若z =x ,x ∈ ,则z x x ==. ∴z z =.命题成立.5、设z ,w ∈ ,证明: z w z w ++≤证明:∵()()()()2z w z w z w z w z w +=+⋅+=++()()22222Re z z z w w z w wz zw z w w z wz w =⋅+⋅+⋅+⋅=++⋅+=++⋅()2222222z w z wz w z w z w ++⋅=++⋅=+≤∴z w z w ++≤.6、设z ,w ∈ ,证明下列不等式. ()2222Re z w z z w w +=+⋅+ ()2222Re z w z z w w -=-⋅+()22222z w z w z w++-=+并给出最后一个等式的几何解释.证明:()2222Re z w z z w w +=+⋅+在上面第五题的证明已经证明了. 下面证()2222Re z w z z w w -=-⋅+.∵()()()()222z w z w z w z w z w z z w w z w-=-⋅-=--=-⋅-⋅+()222Re z z w w =-⋅+.从而得证.∴()22222z w z w z w++-=+几何意义:平行四边形两对角线平方的和等于各边的平方的和.7.将下列复数表示为指数形式或三角形式3352π2π;;1;8π(1);.cos sin 7199i i i i +⎛⎫--++ ⎪+⎝⎭ ①解:()()()()35i 17i 35i 7i 117i 17i +-+=++-3816i 198i e 5025i θ⋅--=== 其中8πarctan 19θ=-. ②解:e i i θ⋅=其中π2θ=.π2e ii =③解:ππi i 1e e -==④解:()28π116ππ3θ-==-.∴()2πi 38π116πe--=⋅⑤解:32π2πcos isin 99⎛⎫+ ⎪⎝⎭ 解:∵32π2πcos isin 199⎛⎫+= ⎪⎝⎭.∴322πi π.3i 932π2πcos isin 1e e 99⋅⎛⎫+=⋅= ⎪⎝⎭8.计算:(1)i 的三次根;(2)-1的三次根;(3)的平方根. ⑴i 的三次根.()13ππ2π2πππ22cos sin cosisin 0,1,22233++⎛⎫+=+= ⎪⎝⎭k k i k∴1ππ1cosisin i 662=+=z .2551cos πi sin πi 662=+=z3991cos πi sin πi 662=+=-z ⑵-1的三次根()()132π+π2ππcos πisin πcos isin 0,1,233k k k ++=+=∴1ππ1cosisin 332=+=z 2cos πisin π1=+=-z3551cos πi sin π332=+=--z的平方根.解:πi 4e ⎫=⎪⎪⎝⎭)()1π12i 44ππ2π2π44e6cos isin 0,122k k k ⎛⎫++ ⎪=⋅+= ⎪⎝⎭∴π11i 8441ππ6cos isin 6e 88⎛⎫=⋅+=⋅ ⎪⎝⎭z911πi 8442996cos πisin π6e 88⎛⎫=⋅+=⋅ ⎪⎝⎭z .9.设2πe ,2inz n =≥. 证明:110n z z -+++=证明:∵2πi e nz ⋅= ∴1n z =,即10n z -=.∴()()1110n z z z --+++=又∵n ≥2. ∴z ≠1 从而211+0n z z z -+++=11.设Γ是圆周{:},0,e .i z r r a c r z c α=>=+-令:Im 0z a L z b β⎧-⎫⎛⎫==⎨⎬⎪⎝⎭⎩⎭, 其中e i b β=.求出L β在a 切于圆周Γ的关于β的充分必要条件.解:如图所示.因为L β={z : Im z a b -⎛⎫⎪⎝⎭=0}表示通过点a 且方向与b 同向的直线,要使得直线在a 处与圆相切,则CA ⊥L β.过C 作直线平行L β,则有∠BCD =β,∠ACB =90° 故α-β=90°所以L β在α处切于圆周T 的关于β的充要条件是α-β=90°.12.指出下列各式中点z 所确定的平面图形,并作出草图.(1)arg π;(2);1(3)1|2;(4)Re Im ;(5)Im 1 2.z z z z i z z z z ==-<+<>><且解:(1)、argz =π.表示负实轴.(2)、|z -1|=|z |.表示直线z =12.(3)、1<|z +i|<2解:表示以-i 为圆心,以1和2为半径的周圆所组成的圆环域。
第三章习题详解1. 沿下列路线计算积分⎰+idz z 302。
1) 自原点至i +3的直线段;解:连接自原点至i +3的直线段的参数方程为:()t i z +=3 10≤≤t ()dt i dz +=3()()()⎰⎰+=⎥⎦⎤⎢⎣⎡+=+=+131033233023313313i t i dt t i dz z i2) 自原点沿实轴至3,再由3铅直向上至i +3;解:连接自原点沿实轴至3的参数方程为:t z = 10≤≤t dt dz =3303323233131=⎥⎦⎤⎢⎣⎡==⎰⎰t dt t dz z连接自3铅直向上至i +3的参数方程为:it z +=3 10≤≤t idt dz =()()()331031023323313313313-+=⎥⎦⎤⎢⎣⎡+=+=⎰⎰+i it idt it dz z i()()()333310230230233133********i i idt it dt t dz z i+=-++=++=∴⎰⎰⎰+ 3) 自原点沿虚轴至i ,再由i 沿水平方向向右至i +3。
解:连接自原点沿虚轴至i 的参数方程为:it z = 10≤≤t idt dz =()()310312023131i it idt it dz z i=⎥⎦⎤⎢⎣⎡==⎰⎰连接自i 沿水平方向向右至i +3的参数方程为:i t z += 10≤≤t dt dz =()()()33103102323113131i i i t dt i t dz z ii-+=⎥⎦⎤⎢⎣⎡+=+=⎰⎰+()()333332023021313113131i i i i dz z dz z dz z iiii+=-++=+=∴⎰⎰⎰++ 2. 分别沿x y =与2x y =算出积分()⎰++idz iy x102的值。
解:x y = ix x iy x +=+∴22()dx i dz +=∴1 ()()()()()⎪⎭⎫⎝⎛++=⎥⎦⎤⎢⎣⎡⎪⎭⎫ ⎝⎛++=++=+∴⎰⎰+i i x i x i dx ix x i dz iy x i213112131111023102102 2x y = ()22221x i ix x iy x +=+=+∴ ()dx x i dz 21+=∴()()()()()⎰⎰⎪⎭⎫⎝⎛++=⎥⎦⎤⎢⎣⎡⎪⎭⎫ ⎝⎛++=++=+∴+1104321022131142311211i i x i x i dx x i x i dz iy xi而()i i i i i 65612121313121311+-=-++=⎪⎭⎫⎝⎛++3. 设()z f 在单连通域B 内处处解析,C 为B 内任何一条正向简单闭曲线。
第三章 复变函数的积分一、 判断题(1) 微积分中的求导公式、洛必达法则、中值定理等均可推广到复变函数。
( ) (2) 有界整函数必为常数。
( ) (3) 积分⎰=--ra z dz az 1的值与半径)0(>r r 的大小无关。
( ) (4) 若在区域D 内有)()(z g z f =',则在D 内)(z g '存在且解析。
( )(5) 若)(z f 在10<<z 内解析,且沿任何圆周)10(:<<=r r z c 的积分等于零,则)(z f 在0=z 处解析。
( )(6) 设21,v v 在区域D 内均为u 的共轭调和函数,则必有21v v =。
( ) (7) 解析函数的实部是虚部的共轭调和函数。
( ) (8) 以调和函数为实部与虚部的函数是解析函数。
( ) 二、选择题:1.设C 为从原点沿0至i 21+的有向线段,则=⎰Cz z d Re ( )(A )i -21 (B )i +-21 (C )i +21(D )i --212.设C 为不经过点1,0与i -的正向简单闭曲线,则z i z z z Cd )()1(12⎰+-为( )(A )2i π (B )2i π- (C )0 (D )(A)(B)(C)都有可能 3.设C 为从1沿1=+y x 至i 的直线段,则=-+⎰y xy x y x Cd 2d )(22( )(A )i - (B )i (C )1 (D )1-4.设C 为正向圆周2=z ,则=+⎰-z z e c zd )1(2( ) (A )i π2- (B )i e π2- (C )i e π2 (D )12i π5.设C 为正向圆周21=z ,则=+---⎰z z z z z C d 10621sin)2(23 ( ) (A ))1sin 1cos 3(2-i π (B )0 (C )1cos 6i π (D )1sin 2i π-6.设ξξξξd ze zf ⎰=-=43)()(,其中4≠z ,则=')i f π(( ) (A )i π- (B )1- (C )i π (D )17.设C 为正向圆周0222=-+x y x ,则=-⎰z z z C d 1)4sin(2π( ) (A )i π22 (B )i π2 (C )0 (D )i π22- 8.设C 为椭圆1422=+y x ,则积分⎰C z z d 1= ( )(A )i π2 (B )π (C )0 (D )i π2-9.设c 为任意实常数,那么由调和函数22y x u -=确定的解析函数iv u z f +=)(是( )(A)c iz +2(B ) ic iz +2(C )c z +2(D )ic z +210.设),(y x v 在区域D 内为),(y x u 的共轭调和函数,则下列函数中为D 内解析函数的是( )(A )),(),(y x iu y x v + (B )),(),(y x iu y x v -(C )),(),(y x iv y x u - (D )xv i x u ∂∂-∂∂三、填空题1.设C 为负向圆周2||=z ,则=⎰C z z d2.设C 为正向圆周2=-i z ,则=-++⎰C z i z z z d )(12532 3.设,2)(2⎰-+-=Cd z z f ξξξξ其中曲线C 为椭圆19422=+y x 正向,则=)1(f =+')2(i f =-'')(i f4.设C 为正向圆周1=z ,则⎰Czzd 5.解析函数在圆心处的值等于它在圆周上的6.设C 是从π到i 的直线段,则积分=⎰Czz z e d cos7.设C 为过点i 32+的正向简单闭曲线,则当z 从曲线C 内部趋向i 32+时,=-⎰+→ξξξd ze c i z 32lim ,当z 从曲线C 外部趋向i 32+时,=-⎰+→ξξξd z c i z cos lim32 。
第三章柯西定理柯西积分掌握内容:1.柯西积分定理:若函数()f z 在围线C 之内是处处解析的,则()Cf z dz =⎰0 。
2.柯西积分定理的推广:若函数()f z 在围线C 之内的,,...n z z z 12点不解析,则()()()...()nCC C C f z dz f z dz f z dz f z dz =+++⎰⎰⎰⎰12,其中,,...nC C C 12是分别以,,...n z z z 12为圆点,以充分小的ε为半径的圆。
3.若在围线C 之内存在不解析点,复变函数沿围线积分怎么求呢?——运用柯西积分公式。
柯西积分公式:若函数z 0在围线C 之内,函数()f z 在围线C 之内是处处解析的,则()()Cf z dz if z z z π=-⎰002 4.柯西积分公式的高阶求导公式:若函数z 0在围线C 之内,函数()f z 在围线C 之内是处处解析的,则()()()()!n n Cf z i dz f z z z n π+=-⎰0102习题:1.计算积分⎰++-idz ix y x 102)(积分路径是直线段。
解:令iy x z +=,则idy dx dz += 积分路径如图所示:在积分路径上:x y =,所以313121212131211032223211211211210102102102i x ix y i x ix x dxix x i iydy xdx dx ix x dy ix x i iydy ydx dx ix x idy dx ix y x dz ix y x ii+-=-+--+=++--+=++--+=++-=+-⎰⎰⎰⎰⎰⎰⎰⎰⎰⎰++)()()()()())(()(2.计算积分⎰-iidz z 。
积分路径分别是:(1)直线段,(2)右半单位圆,(3)左半单位圆。
解:(1)令z x i y =+,则z dz xd idy ==+,在积分路径上,0x =,所以11iiz dz iydy iydy i--=-+=⎰⎰⎰(2)令i z re θ=,在积分路径上:,1i z r dz ie d θθ===//222i i iz dz ie d i πθπθ--==⎰⎰(3)令i z re θ=,在积分路径上:,1i z r dz ie d θθ===//2322ii iz dz ie d i πθπθ-==⎰⎰5.不用计算,证明下列分之值为零,其中为单位圆。
(1)cos C dz z ⎰,(2)222C dz z z ++⎰,(3)256zCe dz z z ++⎰,解:(1)因为函数cos 1z 在单位圆所围的区域内解析,所以cos 0Cdzz =⎰。
(2)因为函数2122z z ++在单位圆内解析,所以2022Cdzz z =++⎰。
C(3)因为函数()()215623ze z z z z =++++的不解析点不包含在单位围线之内,所以由柯西积分定理有:2056zCe dz z z =++⎰6.计算1z dz z =⎰,1z dz z =⎰,||1z dz z =⎰,||1z dzz =⎰。
解:(1)由柯西积分公式:()()002Cf z dz if z z z π=-⎰,其中,0z 在围线内。
()1f z =,所以()1202z dzif i z ππ===⎰(2)被积函数1z在复平面上不是解析函数,所以不能用柯西积分定理和柯西积分公式,其积分值与积分路径有关。
根据积分路径1z =,令i z e θ=,则210i z dzied z πθθ===⎰⎰(3)被积变量为dz ,根据积分路径1z =,令i z e θ=,则:()i i dz d e ie d d θθθθ===|||i i z dz e e d z i θπθπθ--===-=⎰⎰22001(4)根据积分路径1z =,令i z e θ=,||z dzd zπθπ===⎰⎰2012 7.由积分2C dz z +⎰之值,证明cos cos 2012054d πθθθ+=+⎰,其中C 取单位圆。
证明:因为被积函数的奇点在积分围道外,故,现令,则在上,, 2z =-1z =02cdzz =+⎰i z re θ=1z =cos sin i z e i θθθ==+()cos sin i dz ie d i i d θθθθθ==+比较可得:8.计算:(1)22121(:)Cz z dz C z z -+=-⎰。
解: 。
10.设表圆周223x y +=,371()d Cf z z ξξξξ++=-⎰,求(1)f i '+。
解:设2371()g ζζζ=++,它在复平面内解析,故当z C ∈时,则由柯西积分公式有:所以。
11.求积分从而证明:。
解:由于:1C z =,函数()/z f z e z =在0z =处不解析2c dz z =+⎰()20cos sin 2cos sin i i d i πθθθθθ+++⎰()()()()cos sin 2cos sin 2cos sin 2cos sin i i d i i πθθθθθθθθθ++-+++-⎰20-=()202sin 2cos 154cos i d πθθθθ-++=+⎰202sin 054cos d πθθθ=+⎰202cos 154cos d πθθθ+=+⎰222122112(2)111c c c z z z z z z dz dz z dz z z z -+-++-+==+---⎰⎰⎰11(21)(2)11cc c c z dz z dz dz dzz z =++=++--⎰⎰⎰⎰002(1)2if i ππ=++=C ()()()2237122371c cg f d dz ig z i z z Z z ζζζζππζζ++⎡⎤====++⎣⎦--⎰⎰z ()()21123712671226z i z if i z z i z iππππ=+=+''⎡⎤=++=+=-+⎣⎦1+i (),:1,zc e dz C z z=⎰cos cos(sin )e d πθθθπ=⎰00(2)2z zz c e dz ie i z ππ===⎰令则故所以即13.设2z z f =)(,利用本章例5验证柯西积分公式⎰-=Cz d f i z f ζζζ)()(π21以及柯西求导公式⎰+-=Cn n z d f i n z f 1π2)()(!)()(ζζζ 提示:把)(ζf 写成222z z z z +-+-)()(ζζ。
证明:设2222z z z z f +-+-==)()()(ζζζζ, 则式的右边为可写为:⎰⎰-+-+-=-=C C dz zz z z z i z d f i z f ζζζζζζ222π21π21)()()()( 由柯西积分定理有:所以右边,i i z e dz ie d θθθ==[]cos sin 22cos 00cos(sin )sin(sin )2z i i i c e e d ie d i e i d i z e θθππθθθθθθθθπ+==+=⎰⎰⎰22cos cos 0cos(sin )sin(sin )2e d e i d ππθθθθθθπ+=⎰⎰cos 02cos(sin )2e d πθθθπ=⎰cos cos(sin )e d πθθθπ=⎰()2122c c z z z d d i z ζζζππζ-++⎡⎤⎣⎦-⎰⎰ 1=2i ()1202c z z d iζζπ-+=⎡⎤⎣⎦⎰即左边=右边。
再由式子可知当时成立。
假设当时等式成立。
则当时成立。
所以14.求积分(1)⎰-C dz z z 51)(cos π,(2)⎰+Czdz z e 221)(,其中)(:1>=a a z C 解:(1)被积函数有奇点,该奇点在积分围道内,由柯西积分求导公式有:(2)先用柯西积分定理的推广式,把对围线C 的积分变成对围线C 1和围线C 2的积分,然后再用柯西积分公式的高阶求导。
22211222c z d z i z i z iζππζπ===-⎰ 1n =()()()()21122c c f f f z d d i z i z ζζζζπζπζ'⎡⎤'==⎢⎥--⎣⎦⎰⎰ n k =1!()()2()k k c k f d f z i z ζζπζ+=-⎰1n k =+()121!()()2()k k c k f d f z i z ξξπξ+++=-⎰()()()()1!2n n c f n f z d i z ζζπζ+=-⎰ 1z =()5cos 1c zdz z π-⎰[]()45244122cos 1cos 4!4!12z i d i z i dz ππππππ===-=-''2222222212()()(2):22(1)()()()()z zz z z c c c z i z i e e e e e z i z i dz dz dz i i z z i z i z i z i ππ==-⎡⎤⎡⎤+-=+=+⎢⎥⎢⎥+-++-⎣⎦⎣⎦⎰⎰⎰(1)(1))224i i i e i e i πππ-=--+=-。