第三章复变函数的积分(答案)
- 格式:doc
- 大小:863.00 KB
- 文档页数:17
第三章习题详解1・沿下列路线计算积分J;' z2dz o1)自原点至3 + i的直线段;解:连接自原点至34-1的直线段的参数方程为:z =(3+》0<r<l dz =(3 + i)dt2)自原点沿实轴至3,再由3铅直向上至3 +八解:连接自原点沿实轴至3的参数方程为:z = t 0</<1 dz = dt3 1=-33 «3连接自3铅直向上至3 +,的参数方程为:z = 3 + ir O<Z<1 dz = idt J J z2dz = £(3 + it)2 idt = -(34-17)3=-(3 + i)3彳" 3 n 3・・・ f z2dz = £t2dt 4- £(3 + it)2id/ = 133 4-1(3 4-1)3 - i33 = |(3 + i)33)自原点沿虚轴至i,再由i沿水平方向向右至3+i。
解:连接自原点沿虚轴至i的参数方程为:z = it 0</<1 dz = idtJ:Z2dz = J;(it)2 idt = | (i/)3= * 尸连接自i沿水平方向向右至3 + i的参数方程为:z = t^i 0<^<1 dz = dtr*edz=jo edz+广eaz=y+敦+厅-|/3=|(1+厅2.分别沿y =兀与y =兀2算出积分J;'(兀2 + iy^dz的值。
解:•/ j = x x2 + iy = x2 + ix ••• dz = (1 + i)dx・・・『(x2 + iy)dz = (1+ (x2 + ix)dx = (1 +•/ y = x2A x2 + iy = x2 4- ix2 = (1 + i)x2:. rfz = (1 + ilx)dxf 衣=[(3+03&二(3+讥♦3+i0=(3 + 厅0 d^ed Z=[\2dt=护而(W 宙討…T + 一 11.1.11 5. i = 1—i3 3 2 26 6/(z) =1 _ 1 z 2+2z + 4~ (z + 2)2在c 内解析,根据柯西一古萨定理,$匹J z 2 + 2z + 4/. £1+,(x 2+ iy)dz = (1 + /)£ * (1 + ilx)dx = (14-彳+ 设/(z)在单连通域〃内处处解析,C 为B 内任何一条正向简单闭曲线。
p141第三章习题(一)[ 5, 7, 13, 14, 15, 17, 18 ]5. 由积分⎰C1/(z + 2) dz之值证明⎰[0, π] (1 + 2 cosθ)/(5 + 4cosθ) dθ = 0,其中C取单位圆周| z | = 1.【解】因为1/(z + 2)在圆| z | < 3/2内解析,故⎰C1/(z + 2) dz = 0.设C : z(θ)= e iθ,θ∈[0, 2π].则⎰C1/(z + 2) dz = ⎰C1/(z + 2) dz = ⎰[0, 2π] i e iθ/(e iθ + 2) dθ= ⎰[0, 2π] i (cosθ + i sinθ)/(cosθ + i sinθ + 2) dθ= ⎰[0, 2π] (- 2 sinθ + i (1 + 2cosθ ))/(5 + 4cosθ) dθ= ⎰[0, 2π] (- 2 sinθ)/(5 + 4cosθ) dθ+ i ⎰[0, 2π] (1 + 2cosθ )/(5 + 4cosθ) dθ.所以⎰[0, 2π] (1 + 2cosθ )/(5 + 4cosθ) dθ= 0.因(1 + 2cosθ ))/(5 + 4cosθ)以2π为周期,故⎰[-π, π] (1 + 2cosθ )/(5 + 4cosθ) dθ= 0;因(1 + 2cosθ ))/(5 + 4cosθ)为偶函数,故⎰[0, π] (1 + 2 cosθ)/(5 + 4cosθ) dθ = (1/2) ⎰[-π, π] (1 + 2cosθ )/(5 + 4cosθ) dθ= 0.7. (分部积分法)设函数f(z), g(z)在单连通区域D内解析,α, β是D内两点,试证⎰[α, β] f(z)g’(z)dz = ( f(z)g(z))|[α, β] -⎰[α, β] g(z) f’(z)dz.【解】因f(z), g(z)区域D内解析,故f(z)g’(z),g(z) f’(z),以及( f(z)g(z))’都在D 内解析.因区域D是单连通的,所以f(z)g’(z),g(z) f’(z),以及( f(z)g(z))’的积分都与路径无关.⎰[α, β] f(z)g’(z)dz + ⎰[α, β] g(z) f’(z)dz = ⎰[α, β] ( f(z)g’(z)dz + g(z) f’(z))dz= ⎰[α, β] ( f(z)g(z))’dz.而f(z)g(z)是( f(z)g(z))’在单连通区域D内的一个原函数,所以⎰[α, β] ( f(z)g(z))’dz = f(β)g(β) -f(α)g(α) = ( f(z)g(z))|[α, β].因此有⎰[α, β] f(z)g’(z)dz + ⎰[α, β] g(z) f’(z)dz = ( f(z)g(z))|[α, β],即⎰[α, β] f(z)g’(z)dz = ( f(z)g(z))|[α, β] -⎰[α, β] g(z) f’(z)dz.13. 设C : z = z(t) (α≤t≤β)为区域D内的光滑曲线,f(z)于区域D内单叶解析且f’(z) ≠ 0,w = f(z)将曲线C映成曲线Γ,求证Γ亦为光滑曲线.【解】分两种情况讨论.(1) 当z(α) ≠z(β)时,C不是闭曲线.此时z(t)是[α, β]到D内的单射,z(t)∈C1[α, β],且在[α, β]上,| z’(t) |≠ 0.因Γ是曲线C在映射f下的象,所以Γ可表示为w = f(z(t)) (α≤t≤β).∀t∈[α, β],z(t)∈D.因f于区域D内解析,故f在z(t)处解析,因此f(z(t))在t处可导,且导数为f’(z(t))z’(t).显然,f’(z(t))z’(t)在[α, β]上是连续的,所以f(z(t))∈C1[α, β].因为f(z)于区域D内是单叶的,即f(z)是区域D到 的单射,而z(t)是[α, β]到D内的单射,故f(z(t))是[α, β]到 内的单射.因在D内有f’(z) ≠ 0,故在[α, β]上,| f’(z(t))z’(t) |= | f’(z(t)) | · |z’(t) |≠ 0.所以,Γ是光滑曲线.(2) 当z(α) = z(β)时,C是闭曲线.此时z(t)∈C1[α, β];在[α, β]上,有| z’(t) |≠ 0;z’(α) = z’(β);∀t1∈[α, β],∀t2∈(α, β),若t1 ≠t2,则z(t1) ≠z(t2).与(1)完全相同的做法,可以证明f(z(t))∈C1[α, β],且| f’(z(t))z’(t) |≠ 0.由z(α) = z(β)和z’(α) = z’(β),可知f’(z(α))z’(α) = f’(z(β))z’(β).因为∀t1∈[α, β],∀t2∈(α, β),若t1 ≠t2,则z(t1) ≠z(t2),由f(z)于区域D内单叶,因此我们有f(z(t1)) ≠f(z(t2)).所以Γ是光滑的闭曲线.14. 设C : z = z(t) (α≤t≤β)为区域D内的光滑曲线,f(z)于区域D内单叶解析且f’(z) ≠ 0,w = f(z)将曲线C映成曲线Γ,证明积分换元公式⎰ΓΦ(w) dw = ⎰CΦ( f(z)) f’(z) dz.其中Φ(w)沿曲线Γ连续.【解】由13题知曲线Γ也是光滑曲线,其方程为w(t) = f(z(t)) (α≤t≤β).故⎰ΓΦ(w) dw = ⎰[α, β] Φ(w(t)) ·w’(t) dt = ⎰[α, β] Φ( f(z(t))) · ( f’(z(t)) z’(t)) dt.而⎰CΦ( f(z)) f’(z) dz = ⎰[α, β] ( Φ( f(z(t))) f’(z(t))) ·z’(t) dt.所以⎰ΓΦ(w) dw = ⎰CΦ( f(z)) f’(z) dz.15. 设函数f(z)在z平面上解析,且| f(z) |恒大于一个正的常数,试证f(z)必为常数.【解】因| f(z) |恒大于一个正的常数,设此常数为M.则∀z∈ ,| f(z) | ≥M,因此| f(z) | ≠ 0,即f(z) ≠ 0.所以函数1/f(z)在 上解析,且| 1/f(z) | ≤ 1/M.由Liuville定理,1/f(z)为常数,因此f(z)也为常数.17. 设函数f(z)在区域D内解析,试证(∂2/∂x2 + ∂2/∂y2) | f(z) |2 = 4 | f’(z) |2.【解】设f(z) = u + i v,w = | f(z) |2,则w = ln ( u 2 + v 2 ).w x = 2(u x u+ v x v),w y = 2(u y u+ v y v);w xx = 2(u xx u+ u x2 + v xx v+ v x2 ),w yy = 2(u yy u+ u y2 + v yy v+ v y2 );因为u, v都是调和函数,所以u xx u+ u yy u= (u xx + u yy) u= 0,v xx v+ v yy v= (v xx + v yy) v= 0;由于u, v满足Cauchy-Riemann方程,故u x2 = v y 2,v x 2 = u y2,故w xx + w yy = 2 (u x2 + v x2 + u y2 + v y2) = 4 (u x2 + v x2) = 4 | f(z) |2;即(∂2/∂x2 + ∂2/∂y2) | f(z) |2 = 4 | f’(z) |2.18. 设函数f(z)在区域D内解析,且f’(z) ≠ 0.试证ln | f’(z) |为区域D内的调和函数.【解】∀a∈D,因区域D是开集,故存在r1 > 0,使得K(a, r1) = { z∈ | | z -a | < r1 } ⊆D.因f’(a) ≠ 0,而解析函数f’(z)是连续的,故存在r2 > 0,使得K(a, r2) ⊆K(a, r1),且| f’(z) -f’(a)| < | f’(a) |.用三角不等式,此时有| f’(z)| > | f’(a) | - | f’(z) -f’(a)| > 0.记U = { z∈ | | z -f’(a)| < | f’(a) |},则U是一个不包含原点的单连通区域.在沿射线L = {z∈ | z = - f’(a) t,t≥ 0 }割开的复平面上,多值函数g(z) = ln z可分出多个连续单值分支,每个单值连续分支g(z)k在 \L上都是解析的.∀t≥ 0,| - f’(a) t -f’(a) | = (t + 1) | f’(a) | ≥ | f’(a) |,故- f’(a) t ∉U.所以U ⊆ \L,即每个单值连续分支g(z)k在U上都是解析的.因为当z∈K(a, r2)时,f’(z)∈U,故复合函数g( f’(z))k在上解析.而Re(g( f’(z))k) = ln | f’(z) |,所以ln | f’(z) |在K(a, r2)上是调和的.由a∈D的任意性,知ln | f’(z) |在D上是调和的.【解2】用Caucht-Riemann方程直接验证.因为f’(z)也在区域D内解析,设f’(z) = u + i v,则u, v也满足Cauchy-Riemann方程.记w = ln | f’(z) |,则w = (1/2) ln ( u 2 + v 2 ),w x = (u x u+ v x v) /( u 2 + v 2 ),w y = (u y u+ v y v) /( u 2 + v 2 );w xx = ((u xx u+ u x2 + v xx v+ v x2 )( u 2 + v 2 ) - 2(u x u+ v x v)2)/( u 2 + v 2 )2;w yy = ((u yy u+ u y2 + v yy v+ v y2 )( u 2 + v 2 ) - 2(u y u+ v y v)2)/( u 2 + v 2 )2;因为u, v都是调和函数,所以u xx u+ u yy u= (u xx + u yy) u= 0,v xx v+ v yy v= (v xx + v yy) v= 0;由于u, v满足Cauchy-Riemann方程,故u x2 = v y 2,v x 2 = u y2,u x v x + u y v y = 0,因此(u x u+ v x v)2 + (u y u+ v y v)2= u x2u 2+ v x 2v 2 + 2 u x u v x v+ u y2u 2+ v y 2v 2 + 2 u y u v y v= (u x2 + v x2 )( u 2 + v 2 );故w xx + w yy = (2(u x2 + v x2 )( u 2 + v 2 ) - 2(u x2 + v x2 )( u 2 + v 2 ))/( u 2 + v 2 )2 = 0.所以w为区域D内的调和函数.[初看此题,就是要验证这个函数满足Laplace方程.因为解析函数的导数还是解析的,所以问题相当于证明ln | f(z) |是调和的,正如【解2】所做.于是开始打字,打了两行之后,注意到ln | f’(z) |是Ln f’(z)的实部.但Ln z不是单值函数,它也没有在整个 上的单值连续分支,【解1】前面的处理就是要解决这个问题.]p141第三章习题(二)[ 1, 2, 3, 4, 5, 6, 7, 8, 9, 10, 11, 12, 13, 14, 15, 16 ]1. 设函数f(z)在0 < | z | < 1内解析,且沿任何圆周C : | z | = r, 0 < r < 1的积分值为零.问f(z)是否必须在z = 0处解析?试举例说明之.【解】不必.例如f(z) = 1/z2就满足题目条件,但在z = 0处未定义.[事实上可以任意选择一个在| z | < 1内解析的函数g(z),然后修改它在原点处的函数值得到新的函数f(z),那么新的函数f(z)在原点不连续,因此肯定是解析.但在0 < | z | < 1内f(z) = g(z),而g(z)作为在| z | < 1内解析的函数,必然沿任何圆周C : | z | = r的积分值都是零.因此f(z)沿任何圆周C : | z | = r的积分值也都是零.若进一步加强题目条件,我们可以考虑,在极限lim z→0 f(z)存在的条件下,补充定义f(0) = lim z→0 f(z),是否f(z)就一定在z = 0处解析?假若加强条件后的结论是成立,我们还可以考虑,是否存在满足题目条件的函数,使得极限lim z→0 f(z)不存在,也不是∞?]2. 沿从1到-1的如下路径求⎰C1/√z dz.(1) 上半单位圆周;(2) 下半单位圆周,其中√z取主值支.【解】(1) √z = e i arg z /2,设C : z(θ)= e iθ,θ∈[0, π].⎰C1/√z dz = ⎰[0, π] i e iθ/e iθ/2dθ = ⎰[0, π] i e iθ/2dθ = 2e iθ/2|[0, π] = 2(- 1 + i).(2) √z = e i arg z /2,设C : z(θ)= e iθ,θ∈[-π, 0].⎰C1/√z dz = -⎰[-π, 0] i e iθ/e iθ/2dθ = -⎰[-π, 0] i e iθ/2dθ = - 2e iθ/2|[-π, 0] = 2(- 1 -i).[这个题目中看起来有些问题:我们取主值支,通常在是考虑割去原点及负实轴的z平面上定义的单值连续分支.因此,无论(1)还是(2),曲线C上的点-1总不在区域中(在区域的边界点上).因此曲线C也不在区域中.所以,题目应该按下面的方式来理解:考虑单位圆周上的点ζ,以及沿C从1到ζ的积分的极限,当ζ分别在区域y > 0和区域y < 0中趋向于-1时,分别对应(1)和(2)的情形,简单说就是上岸和下岸的极限情形.那么按照上述方式理解时,仍然可以象我们所做的那样,用把积分曲线参数化的办法来计算,这是由积分对积分区域的连续性,即绝对连续性来保证的.以后我们遇到类似的情形,都以这种方式来理解.]3. 试证| ⎰C(z + 1)/(z - 1) dz | ≤ 8π,其中C为圆周| z - 1 | = 2.【解】若z∈C,| z + 1 | ≤ | z - 1 | + 2 = 4,故| (z + 1)/(z - 1) | ≤ 2.因此| ⎰C(z + 1)/(z - 1) dz | ≤⎰C| (z + 1)/(z - 1) | ds≤ 2 · Length(C) = 8π.4. 设a, b为实数,s = σ+ i t (σ > 0)时,试证:| e bs–e as| ≤ | s | · | b–a | e max{a, b} ·σ.【解】因为f(z) = e sz在 上解析,故f(z)的积分与路径无关.设C是从a到b的直线段,因为e sz/s是f(z)的一个原函数,所以| ⎰C e sz dz | = | e sz/s |[a, b] | = | e bs–e as|/| s |.而| ⎰C e sz dz | ≤⎰C | e sz|ds = ⎰C | e(σ+ i t)z|ds = ⎰C | eσ z+ i tz|ds= ⎰C | eσ z|ds ≤⎰C e max{a, b} ·σ ds = | b–a | e max{a, b} ·σ.所以| e bs–e as| ≤ | s | · | b–a | e max{a, b} ·σ.5. 设在区域D = { z∈ : | arg z | < π/2 }内的单位圆周上任取一点z,用D内曲线C 连接0与z,试证:Re(⎰C1/(1 + z2) dz ) = π/4.【解】1/(1 + z2)在单连通区域D内解析,故积分与路径无关.设z = x + i y,∀z∈D,i z∈{ z∈ : 0 < arg z < π } = { z∈ : Im z > 0 },-i z∈{ z∈ : -π < arg z < 0 } = { z∈ : Im z < 0 },故1 + i z∈{ z∈ : Im z > 0 }, 1 -i z∈{ z∈ : Im z < 0 }.设ln(z)是Ln(z)的主值分支,则在区域D内( ln(1 + i z) - ln(1 -i z) )/(2i)是解析的,且(( ln(1 + i z) - ln(1 -i z) )/(2i))’ = (i/(1 + i z) + i/(1 -i z))(2i) = 1/(1 + z2);即( ln(1 + i z) - ln(1 -i z) )/(2i)是1/(1 + z2)的一个原函数.⎰C1/(1 + z2) dz = ( ln(1 + i z) - ln(1 -i z) )/2 |[0, z]= (ln(1 + i z) - ln(1 -i z))/(2i) = ln((1 + i z)/(1 -i z))/(2i)= (ln |(1 + i z)/(1 -i z)| + i arg ((1 + i z)/(1 -i z)))/(2i)= -i (1/2) ln |(1 + i z)/(1 -i z)| + arg ((1 + i z)/(1 -i z))/2,故Re(⎰C1/(1 + z2) dz ) = arg ((1 + i z)/(1 -i z))/2.设z = cosθ + i sinθ,则cosθ> 0,故(1 + i z)/(1 -i z) = (1 + i (cosθ + i sinθ))/(1 -i (cosθ + i sinθ)) = i cosθ/(1 + sinθ),因此Re(⎰C1/(1 + z2) dz ) = arg ((1 + i z)/(1 -i z))/2= arg (i cosθ/(1 + sinθ))/2 = (π/2)/2 = π/4.[求1/(1 + z2) = 1/(1 + i z) + 1/(1 -i z) )/2的在区域D上的原函数,容易得到函数( ln(1 + i z) - ln(1 -i z) )/(2i),实际它上就是arctan z.但目前我们对arctan z的性质尚未学到,所以才采用这种间接的做法.另外,注意到点z在单位圆周上,从几何意义上更容易直接地看出等式arg ((1 + i z)/(1 -i z))/2 = π/4成立.最后,还要指出,因曲线C的端点0不在区域D中,因此C不是区域D中的曲线.参考我们在第2题后面的注释.]6. 试计算积分⎰C( | z | - e z sin z ) dz之值,其中C为圆周| z | = a > 0.【解】在C上,函数| z | - e z sin z与函数a- e z sin z的相同,故其积分值相同,即⎰C( | z | - e z sin z ) dz = ⎰C( a- e z sin z ) dz.而函数a- e z sin z在 上解析,由Cauchy-Goursat定理,⎰C( a- e z sin z ) dz = 0.因此⎰C( | z | - e z sin z ) dz = 0.7. 设(1) f(z)在| z | ≤ 1上连续;(2) 对任意的r (0 < r < 1),⎰| z | = r f(z) dz = 0.试证⎰| zf(z) dz = 0.| = 1【解】设D(r) = { z∈ | | z | ≤r },K(r) = { z∈ | | z | = r },0 < r≤ 1.因f在D(1)上连续,故在D(1)上是一致连续的.再设M = max z∈D(1) { | f(z) | }.∀ε > 0,∃δ1> 0,使得∀z, w∈D(1), 当| z-w | < δ1时,| f(z) -f(w)| < ε/(12π).设正整数n≥ 3,z k= e 2kπi/n ( k = 0, 1, ..., n- 1)是所有的n次单位根.这些点z0, z1, ..., z n– 1将K(1)分成n个弧段σ(1), σ(2), ..., σ(n).其中σ(k) (k = 1, ..., n- 1)是点z k– 1到z k的弧段,σ(n)是z n– 1到z0的弧段.记p(k) (k = 1, ..., n- 1)是点z k– 1到z k的直线段,p(n)是z n– 1到z0的直线段.当n充分大时,max j {Length(σ( j))} = 2π/n < δ1.设P是顺次连接z0, z1, ..., z n– 1所得到的简单闭折线.记ρ = ρ(P, 0).注意到常数f(z j)的积分与路径无关,⎰σ( j)f(z j) dz =⎰p( j)f(z j) dz;那么,| ⎰K(1)f(z) dz -⎰P f(z) dz |= | ∑j⎰σ( j)f(z) dz -∑j⎰p( j)f(z) dz |= | ∑j (⎰σ( j)f(z) dz -⎰p( j)f(z) dz ) |≤∑j | ⎰σ( j)f(z) dz -⎰p( j)f(z) dz |≤∑j ( | ⎰σ( j)f(z) dz -⎰σ( j)f(z j) dz | + | ⎰p( j)f(z j) dz -⎰p( j)f(z) dz | )= ∑j ( | ⎰σ( j) ( f(z)-f(z j)) dz | + | ⎰p( j) ( f(z)-f(z j)) dz | )= ∑j ( ⎰σ( j)ε/(12π) ds + ⎰p( j)ε/(12π) ds )= (ε/(12π))·∑j ( Length(σ( j)) + Length(p( j)) )≤ (ε/(12π))·∑j ( Length(σ( j)) + Length(σ( j)) )= (ε/(12π))· (2 Length(K(1)))= (ε/(12π))· 4π = ε/3.当ρ< r < 1时,P中每条线段p(k)都与K(r)交于两点,设交点顺次为w k, 1, w k, 2.设Q是顺次连接w1, 1, w1, 2, w2, 1, w2, 2, ..., w n, 1, w n, 2所得到的简单闭折线.与前面同样的论证,可知| ⎰K(r)f(z) dz -⎰Q f(z) dz |≤ε/3.因此,| ⎰K(1)f(z) dz | = | ⎰K(1)f(z) dz -⎰K(r)f(z) dz |≤ | ⎰K(1)f(z) dz -⎰P f(z) dz | + | ⎰K(r)f(z) dz -⎰Q f(z) dz | + | ⎰P f(z) dz-⎰Q f(z) dz |≤ε/3 + ε/3 + | ⎰P f(z) dz-⎰Q f(z) dz |.记连接w k, 2到w k +1, 1的直线段为l(k),连接w k, 2到z k +1的直线段为r(k),连接z k +1到w k +1, 1的直线段为s(k),则| ⎰r(k)f(z) dz + ⎰s(k)f(z) dz-⎰l(k)f(z) dz |≤M ( Length(l(k)) + Length(r(k)) + Length(s(k)) ) ≤ 3 M · Length(l(k)).因为当r → 1-时,有Length(l(k)) → 0,故存在r∈(ρ, 1)使得| ⎰r(k)f(z) dz + ⎰s(k)f(z) dz-⎰l(k)f(z) dz | < ε/(3n).对这个r,我们有| ⎰P f(z) dz-⎰Q f(z) dz | = | ∑k (⎰r(k)f(z) dz + ⎰s(k)f(z) dz-⎰l(k)f(z) dz ) |≤∑k (| ⎰r(k)f(z) dz + ⎰s(k)f(z) dz-⎰l(k)f(z) dz |) ≤∑k ε/(3n) = ε/3.故| ⎰K(1)f(z) dz | ≤ε.因此⎰K(1)f(z) dz = 0.8. 设(1) f(z)当| z–z0 | > r0 > 0时是连续的;(2) M(r)表| f(z) |在K r : | z–z0 | = r > r0上的最大值;(3) lim r → +∞r M(r) = 0.试证:lim r → +∞⎰K(r) f(z) dz = 0.【解】当r > r0时,我们有| ⎰K(r) f(z) dz | ≤⎰K(r) | f(z) | ds≤⎰K(r) M(r) ds = 2πr M(r) → 0 (当r → +∞时),所以lim r → +∞⎰K(r) f(z) dz = 0.9. (1) 若函数f(z)在点z = a的邻域内连续,则lim r → 0 ⎰| z–a | = r f(z)/(z–a) dz = 2πi f(a).(2) 若函数f(z)在原点z = 0的邻域内连续,则lim r → 0 ⎰[0, 2π] f(r e iθ ) dθ = 2π f(0).【解】(1) 当r充分小时,用M(r)表| f(z) |在K r : | z–a | = r上的最大值;| ⎰| z–a | = r f(z)/(z–a) dz– 2πi f(a) |= | ⎰| z–a | = r f(z)/(z–a) dz–f(a)⎰| z–a | = r1/(z–a) dz |= | ⎰| z–a | = r( f(z) –f(a))/(z–a) dz | ≤⎰| z–a | = r| f(z) –f(a) |/| z–a| ds≤M(r) ⎰| z–a | = r1/| z–a| ds = 2πr M(r).当r → 0时,由f(z)的连续性,知M(r) → | f(a) |.故| ⎰| z–a | = r f(z)/(z–a) dz– 2πi f(a) | → 0.因此,lim r → 0 ⎰| z–a | = r f(z)/(z–a) dz = 2πi f(a).(2) 根据(1),lim r → 0 ⎰| z | = r f(z)/z dz = 2πi f(0).而当r充分小时,我们有⎰| z | = r f(z)/z dz = ⎰[0, 2π] f(r e iθ )/(r e iθ )· (r e iθi ) dθ = i ⎰[0, 2π] f(r e iθ ) dθ.所以,lim r → 0 (i ⎰[0, 2π] f(r e iθ ) dθ)= 2πi f(0).故lim r → 0 ⎰[0, 2π] f(r e iθ ) dθ = 2π f(0).10. 设函数f(z)在| z | < 1内解析,在闭圆| z | ≤ 1上连续,且f(0) = 1.求积分(1/(2πi))⎰| z | = 1 (2 ± (z + 1/z)) f(z)/z dz之值.【解】(1/(2πi))⎰| z | = 1 (2 ± (z + 1/z)) f(z)/z dz= ⎰| z | = 1 (2f(z)/z± (zf(z)/z + (1/z)f(z)/z) dz= (1/(2πi)) ·( ⎰| z | = 1 2f(z)/z dz ± (⎰| z | = 1 f(z) dz +⎰| z | = 1 f(z)/z 2dz) )= (1/(2πi)) ·( 2(2πi) f(0)± (0+ (2πi/1!)f’(0)) )= 2 f(0)±f’(0) = 2 ±f’(0).11. 若函数f(z)在区域D内解析,C为D内以a, b为端点的直线段,试证:存在数λ,| λ| ≤ 1,与ξ∈C,使得f(b) -f(a) = λ(b -a) f’(ξ).【解】设C的参数方程为z(t) = (1 –t ) a + t b,其中t∈[0, 1].在区域D内,因f(z)是f’(z)的原函数,故f(b) -f(a) = ⎰C f’(z) dz = ⎰[0, 1] f’((1 –t ) a + t b) (b -a) dt == (b -a) ⎰[0, 1] f’((1 –t ) a + t b) dt.(1) 若⎰[0, 1]| f’((1 –t ) a + t b) | dt = 0,因| f’((1 –t ) a + t b) |是[0, 1]上的连续函数,故| f’((1 –t ) a + t b) |在[0, 1]上恒为零.即f’(x)在C上恒为零.此时取λ= 0,任意取ξ∈C,则有f(b) -f(a) = (b -a) ⎰[0, 1] f’((1 –t ) a + t b) dt = 0 = λ(b -a) f’(ξ).(2) 若⎰[0, 1]| f’((1 –t ) a + t b) | dt > 0,因| f’((1 –t ) a + t b) |是[0, 1]上的实变量连续函数,由积分中值定理,存在t0∈[0, 1],使得⎰[0, 1]| f’((1 –t ) a + t b) | dt = | f’((1 –t0) a + t0b) |.取ξ = (1 –t0) a + t0b,则f’(ξ) = f’((1 –t0) a + t0b) ≠ 0,令λ= (⎰[0, 1] f’((1 –t ) a + t b) dt)/ f’(ξ).因为| ⎰[0, 1] f’((1 –t ) a + t b) dt | ≤⎰[0, 1]| f’((1 –t ) a + t b) | dt = | f’(ξ) |.所以| λ| = | (⎰[0, 1] f’((1 –t ) a + t b) dt)/ f’(ξ) |= | ⎰[0, 1] f’((1 –t ) a + t b) dt |/| f’(ξ) | ≤ 1.且f(b) -f(a) = (b -a) ⎰[0, 1] f’((1 –t ) a + t b) dt = λ(b -a) f’(ξ).12. 如果在| z | < 1内函数f(z)解析,且| f(z) | ≤ 1/(1 - | z |).试证:| f(n)(0) | ≤ (n + 1)!(1 + 1/n)n < e (n + 1)!,n =1, 2, ....【解】设K(r) = { z∈ | | z | = r },0 < r≤ 1.由Cauchy积分公式和高阶导数公式,有| f(n)(0) | = (n!/(2π)) | ⎰K(r) f(z)/z n + 1dz | ≤ (n!/(2π)) ⎰K(r) | f(z) |/| z |n + 1ds≤ (n!/(2π)) ⎰K(r) 1/((1 - | z |)| z |n + 1) ds = (n!/(2π))/((1 -r ) r n + 1) 2πr= n!/((1 -r ) r n).为得到| f(n)(0) |的最好估计,我们希望选取适当的r∈(0, 1),使得n!/((1 -r ) r n)最小,即要使(1 -r ) r n最大.当n≥ 1时,根据均值不等式,(1 -r ) r n = (1 -r ) (r/n)n ·n n≤ (((1 -r ) + (r/n) + ... + (r/n))/(n + 1))n + 1 ·n n = n n/(n + 1)n + 1.当1 -r = r/n,即r = n/(n + 1)时,(1 -r ) r n达到最大值n n/(n + 1)n + 1.因此,我们取r = n/(n + 1),此时有| f(n)(0) | ≤n!/((1 -r ) r n) = n!/(n n/(n + 1)n + 1) = (n + 1)!(1 + 1/n)n < e (n + 1)!.[也可以用数学分析中的办法研究函数g(r) = (1 -r ) r n在(0, 1)内的上确界,也会得到同样的结果.]13. 设在| z | ≤ 1上函数f(z)解析,且| f(z) | ≤ 1.试证:| f’(0) | ≤ 1.【解】设D = { z∈ | | z | ≤ 1 }.由高阶导数公式,| f’(0) | = (1/(2π)) | ⎰∂D f(z)/z 2dz | ≤ (1/(2π)) ⎰∂D1/| z |2 ds = 1.14. 设f(z)为非常数的整函数,又设R, M为任意正数,试证:满足| z | > R且| f(z) | > M的z必存在.【解】若不然,当| z | > R时,| f(z) | ≤M.而f(z)为整函数,故必连续,因此f(z)在| z | ≤R上有界.所以f(z)在 上有界.由Liouville定理,f(z)必为常数,这与题目条件相矛盾.15. 已知u + v = (x–y)(x2 + 4xy + y2) – 2(x + y),试确定解析函数f(z) = u + i v.【解】由于u x + v x = 3(x2 + 2xy–y2) – 2,u y + v y = 3(x2– 2xy–y2) – 2,两式相加,再利用Cauchy-Riemann方程,有u x = 3(x2–y2) – 2.两式相减,再利用Cauchy-Riemann方程,有v x = 6xy.所以f’(z) = u x + i v x = 3(x2–y2) – 2 + 6xy i = 3(x + y i)2– 1 = 3 z2– 2.因此,f(z) = z3– 2z + α,其中α为常数.将z = 0代入,f(z) = z3– 2z + α,得α = f(0).把(x, y) = (0, 0)带入u + v = (x–y)(x2 + 4xy + y2) – 2(x + y),得u(0, 0) + v(0, 0) = 0.设u(0, 0) = c∈ ,则v(0, 0) = -c.因此α = f(0) = u(0, 0) + v(0, 0) i = (1 -i )c.所以,f(z) = z3– 2z + (1 -i )c,其中c为任意实数.[书上答案有误.设f(z) = z3– 2z + (a + b i),则f(z) = (x + y i)3– 2(x + y i) + (a + b i) = (x3 - 3xy2 – 2x + a) + (3x2y-y3– 2y + b)i.因此,u + v = (x3 - 3xy2 – 2x + a) + (3x2y-y3– 2y + b)= (x–y)(x2 + 4xy + y2) – 2(x + y) + (a + b),所以,当a + b≠ 0时,不满足题目所给条件.]16. 设(1) 区域D是有界区域,其边界是周线或复周线C;(2) 函数f1(z)及f2(z)在D内解析,在闭域cl(D) = D + C上连续;(3) 沿C,f1(z) = f2(z).试证:在整个闭域cl(D),有f1(z) = f2(z).【解】设f(z) = f1(z) -f2(z).用Cauchy积分公式,∀z∈D有f(z) = (1/(2πi))⎰C f(ζ)/(ζ–z) dζ = 0.所以∀z∈cl(D)有f(z) = 0,即f1(z) = f2(z).∀∃∅-⨯±≠≥·◦≤≡⊕⊗≅αβχδεφγηιϕκλμνοπθρστυϖωξψζ∞•︒ℵℜ℘∇∏∑⎰⊥∠ √§ψ∈∉⊆⊂⊃⊇⊄⊄∠⇒♣♦♥♠§ #↔→←↑↓⌝∨∧⋃⋂⇔⇒⇐∆∑ΓΦΛΩ∂∀m∈ +,∃m∈ +,★〈α1, α2, ..., αn〉lim n→∞,+n→∞∀ε > 0,∑u n,∑n≥ 1u n,m∈ ,∀ε > 0,∃δ> 0,【解】⎰[0, 2π]l 2 dx,f(x) = (-∞, +∞)[-π, π]∑1 ≤k≤n u n,[0, 2π]。
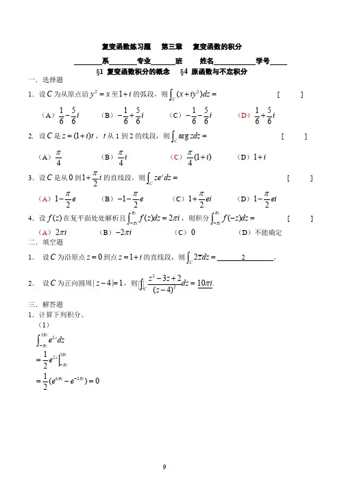
复变函数练习题 第三章 复变函数的积分系 专业 班 姓名 学号§1 复变函数积分的概念 §4 原函数与不定积分一.选择题1.设为从原点沿至的弧段,则[]C 2y x =1i +2()Cx iy dz +=⎰(A )(B ) (C ) (D )1566i -1566i -+1566i --1566i +2. 设是,从1到2的线段,则 []C (1)z i t =+t arg Czdz =⎰(A )(B )(C )(D )4π4i π(1)4i π+1i+3.设是从到的直线段,则[]C 012i π+z Cze dz =⎰(A )(B ) (C ) (D )12e π-12e π--12ei π+12eiπ-4.设在复平面处处解析且,则积分[]()f z ()2iif z dz i πππ-=⎰()iif z dz ππ--=⎰(A ) (B )(C )(D )不能确定2i π2i π-0二.填空题1.设为沿原点到点的直线段,则2。
C 0z =1z i =+2Czdz =⎰2.设为正向圆周,则C |4|1z -=2232(4)A Cz z dz z -+=-⎰10.i π三.解答题1.计算下列积分。
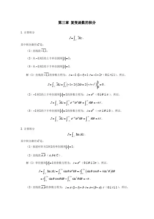
(1)323262121()02iziiz i i i edzee e ππππππ---==-=⎰(2)22222sin 1cos2sin 2224sin 2.244iiiii i zdzz z z dz i e e e e i i i i ππππππππππππππ------⎛⎫==- ⎪⎝⎭⎛⎫--=-=-=+⎪⎝⎭⎰⎰(3)110sin (sin cos )sin1cos1.z zdzz z z =-=-⎰(4)20222cos sin 1sin sin().222iiz z dzz i ππππ==⋅=-⎰2.计算积分的值,其中为正向圆周:||C z dz z ⎰A C (1)2200||22,022224.2i i i z Cz e e ie d id i θθππθθπθθπ-==≤≤⋅==⎰⎰积分曲线的方程为则原积分I =(2)2200||44,024448.4i i i z Cz e e ie d id i θθππθθπθθπ-==≤≤⋅==⎰⎰积分曲线的方程为则原积分I =3.分别沿与算出积分的值。
第三章 复变函数的积分复变函数的积分(简称复积分)是研究解析函数的有力工具,解析函数许多重要的性质都需要利用复积分来证明.本章主要介绍复变函数积分的定义、性质与基本计算方法,解析函数积分的基本定理——柯西-古萨定理及其推广,柯西积分公式及其推论以及解析函数与调和函数的关系.柯西-古萨定理和柯西积分公式是复变函数的理论基础,以后各章都直接地或间接地用到它们.§3.1 复变函数积分的概念1.复变函数积分的定义在介绍复变函数积分的定义之前,首先介绍有向曲线的概念.设平面上光滑或分段光滑曲线C 的两个端点为A 和B .对曲线C 而言,有两个可能方向:从点A 到点B 和从点B 到点A .若规定其中一个方向(例如从点A 到点B 的方向)为正方向,则称C 为 有向曲线.此时称点A 为曲线C 的起点,点B 为曲线C 的终点.若正方向指从起点到终点的方向,那么从终点B 到起点A 的方向则称为曲线C 的负方向,记作C -.定义3.1 设C 为一条光滑或分段光滑的有向曲线,其中A 为起点,B 为终点.函数f (z )在曲线C 上有定义.现沿着C 按从点A 到点B 的方向在C 上依次任取分点:A =z 0,z 1,…,z n -1,z n =B ,图3.1将曲线C 划分成 n 个小弧段.在每个小弧段1k k z z -(k =1,2,…,n )上任取一点,k ξ,并作和式1().nn k k k S f z ξ==∆∑其中1k k k z z z -∆=-.记λ为n 个小弧段长度中的最大值.当λ趋向于零时,若不论对曲线C 的分法及点k ξ的取法如何,n S 极限存在,则称函数f (z )沿曲线C 可积,并称这个极限值为函数f (z )沿曲线C 的积分.记作1()d lim (),nkkk Cf z z f z λξ→==∆∑⎰f (z )称为被积函数,f (z )d z 称为被积表达式.若C 为闭曲线,则函数f (z )沿曲线C 的积分记作()d Cf z z ⎰.2.复变函数积分的性质性质3.1(方向性)若函数f (z )沿曲线C 可积,则()d ()d .CC f z z f z z -=-⎰⎰ (3.1)性质3.2(线性性)若函数f (z )和g (z )沿曲线C 可积,则(()())d ()d ()d ,CCCf zg z z f z z g z z αβαβ+=+⎰⎰⎰ (3.2)其中αβ,为任意常数.性质3.3(对积分路径的可加性)若函数f (z )沿曲线C 可积,曲线C 由曲线段12,,,n C C C ,依次首尾相接而成,则12()d ()d ()d ()d .nCC C C f z z f z z f z z f z z =+++⎰⎰⎰⎰(3.3)性质3.4(积分不等式)若函数f (z )沿曲线C 可积,且对z C ∀∈,满足()f z M ≤, 曲线C 的长度为L ,则()d ()d ,CCf z z f z s ML ≤≤⎰⎰(3.4)其中d d s z ==, 为曲线C 的弧微分.事实上,记k s ∆为z k -1与z k 之间的弧长,有111()()().nn nkkk k k k k k k f zf z f s ξξξ===∆≤∆≤∆∑∑∑令0λ→,两端取极限,得到()d ()d .CCf z z f z s ≤⎰⎰又由于11(),nnk k k k k f s M s ML ξ==∆≤∆=∑∑所以有()d ()d .CCf z z f z s ML ≤≤⎰⎰3.复变函数积分的基本计算方法定理3.1 若函数f (z )=u (x,y )+iv (x,y )沿曲线C 连续,则f (z )沿C 可积,且()d d d d d .CCCf z z u x v y i v x v y =-++⎰⎰⎰ (3.5)证明:设11,,,,k k k k k k k k k k k k z x iy i x x x y y y ξζη--=+=+∆=-∆=-则11111()()()().k k k k k k k k k k k k k z z z x iy x iy x x i y y x i y -----∆=-=+-+=-+-=∆∆从而1111()((,)(,))()((,)(,))((,)(,)).nnkk k k k k k k k k nk k k k k k k nk k k k k k k f z u iv x i y u x v y i v x u y ξζηζηζηζηζηζη====∆=+∆+∆=∆-∆+∆+∆∑∑∑∑上式右端的两个和数是两个实函数的第二类曲线积分的积分和.已知f (z ) 沿C 连续,所以必有u 、v 都沿C 连续,于是这两个第二类曲线积分都存在.因此积分存在()d Cf z z ⎰,且()d d d d d .CCCf z z u x v y i v x u y =-++⎰⎰⎰注(3.5)式可以看作是f (z )=u +iv 与d z =d x +i d y 相乘后得到:()d ()(d d )d d d d d d d d d .CCCCCf z z u iv x i y u x iv x iu y v yu x v y i v x u x u y =++=++-=-+++⎰⎰⎰⎰⎰定理3.1给出的条件仅仅是积分()d Cf z z ⎰存在的充分条件.该定理告诉我们,复变函数积分的计算问题可以化为其实部和虚部两个二元实函数第二类曲线积分的计算问题.下面介绍另一种计算方法--- 参数方程法.设C 为一光滑或为分段光滑曲线,其参数方程为()()()(),z z t x t iy t a t b ==+≤≤参数t =a 时对应曲线C 的起点,t =b 时对应曲线C 的终点.设f (z )沿曲线C 连续,则(())((),())((),())()().f z t u x t y t iv x t y t u t iv t =+=+由定理3.1有()d d d d d (()()()())d (()()()())d ,CCCb baaf z z u x v y i v x u yu t x t v t y t t i u t y t v t x t t =-++''''=-++⎰⎰⎰⎰⎰容易验证Re((())())()()()(),Im((())())()()()().f z t z t u t x t v t y t f z t z t u t y t v t x t '''=-'''=+所以()d (())()d .baCf z z f z t z t t '=⎰⎰(3.6)例3.1 分别沿下列路径计算积分2d Cz z ⎰和Im()d Cz z ⎰.(1) C 为从原点(0,0)到(1,1)的直线段;(2) C 为从原点(0,0)到(1,0)再到(1,1)的直线段. 解: (1) C 的参数方程为:z =(1+i )t, t 从0到1 .11222033310d ((1))d((1))(1)((1))d (1)(1).33Cz z i t i t i i t t t i i =++=++⎛⎫+=+⋅= ⎪⎝⎭⎰⎰⎰(2) 这两直线段分别记为C 1和C 2,C 1的参数方程为:y =0, x 从0到1; C 2的参数方程为:x =1, y 从0到1.1122203312103d d (1)d(1)33122(1)1.3333Cz z x x iy iy x y i y iy i i i i =+++⎛⎫=+-+ ⎪⎝⎭-+=+--==⎰⎰⎰ ()111000Im()d 0d d 1i d .2Ciz z x y y i y y =++==⎰⎰⎰⎰ 例3.2 计算积分d Czz z⎰,其中C 为图3.2所示半圆环区域的正向边界.图3.2解:积分路径可分为四段,方程分别是:C 1:z =t (-2≤ t ≤ -1); C 2:z =,i e θθ从π到0; C 3:z =t (1≤ t ≤ 2);C 4:z =2,i e θθe 从0到π.于是有123412π2π10d d d d d e 2e d e d d 2d e 2e24411.333CC C C C i i i i i i z z z z z z z z z z z z z z zt t t i t ie t t θθθθθθθθ----=+++=+++=++-=⎰⎰⎰⎰⎰⎰⎰⎰⎰例3.3 计算积分101d ()n Cz z z +-⎰,其中C 为以z 0为中心,r 为半径的正向圆周,n 为整数.解:曲线C 的方程为:0(02π)i z z re θθ=+≤≤.从而有2π11(1)002π2πd e ()e d ed .e i n n i n Cin n in nzir I z z r i i r r θθθθθθ+++-==-==⎰⎰⎰⎰图3.3当n =0时,2πd 2πI i i θ==⎰当n ≠0时,2π(cos sin )d 0niI n i n rθθθ=-=⎰.所以有0102π,0;d 0,0.()n z z ri n zn z z +-==⎧=⎨≠-⎩⎰ (3.7) 由此可见,该积分与积分路线圆周的中心和半径无关,在后面还要多次用到这个结果,需记住.§3.2 柯西-古萨定理(C auchy-Gour s at)及其推广1.柯西-古萨定理首先我们来看看上一节所举的例题,例3.1中被积函数f (z )=z 2在z 平面上处处解析,它沿连接起点与终点的任何路径的积分值相同,也就是说,该积分与路径无关.即沿z 平面上任何闭曲线的积分为零.而例3.1中另一被积函数()Im()f z z =在z 平面上处处不解析,其积分值依赖于连接起点与终点的路径.由例3.3得积分1d 2π0Cz i z z =≠-⎰,曲线C 表示圆周:|z -z 0|=r >0.其中被积函数01()f z z z =-在z 平面上除去点z 0外处处解析,但这个区域是复连通区域.由此可见,积分值与路径是否无关,可能与被积函数的解析性及区域的单连通性有关.其实,在实函数的第二类曲线积分中就有积分值与路径无关的问题.由于复变函数的积分可以用相应的两个实函数的第二类曲线积分表示,因此对于复积分与路径无关的问题,我们很自然地会想到将其转化为实函数积分与路径无关的问题来讨论.假设函数f (z )=u +iv 在单连通域D 内处处解析,f '(z )在D 内连续,由第二章2.3节中的(2.9)式知u,v 对x,y 的偏导数在D 内连续.设z =x +iy ,C 为D 内任一条简单闭曲线.则由(3.5)式,有()d d d d d .CCCf z z u x v y i v x u y =-++⎰⎰⎰记G 为C 所围区域,由格林(Green)公式有d d d d ,G Cv u u x v y x y x y ⎛⎫∂∂-=-- ⎪∂∂⎝⎭⎰⎰⎰ 由于f (z )=u +iv 在D 内解析,所以u 、v 在D 内处处都满足柯西-黎曼方程,即,.u v v ux y x y∂∂∂∂==-∂∂∂∂ 因此d d d d 0.CCu x v y v x u y -=-=⎰⎰从而()d 0.Cf z z =⎰下面的定理告诉我们去掉条件“f '(z )在D 内连续”条件,这个结论也成立.这是复变函数中最基本的定理之一.定理3.2(柯西-古萨定理) 若函数f (z )是单连通域D 内的解析函数,则f (z )沿D 内任一条闭曲线C 的积分为零,即()d 0.Cf z z =⎰注:其中曲线C 不一定要求是简单曲线.事实上,对于任意一条闭曲线,它都可以看成是由有限多条简单闭曲线衔接而成的,如图3.4.图3.4这个定理是由柯西提出来的,后来由古萨给出证明.由于证明过程较复杂,我们略去其证明.由柯西-古萨定理可以得到如下两个推论:推论3.1 设C 为z 平面上的一条闭曲线,它围成单连通域D ,若函数f (z )在D D C=上解析,则()d 0.Cf z z =⎰推论3.2 设函数f (z )在单连通域D 解析,则f (z )在D 内积分与路径无关.即积分()d Cf z z⎰不依赖于连接起点z 0与终点z 1的曲线C ,而只与z 0、z 1的位置有关.证明:图3.5设C 1和C 2为D 内连接z 0 与z 1的任意两条曲线.显然C 1和2C -连接成D 内一条闭曲线C .于是由柯西-古萨定理,有12()d ()d ()d 0.CC C f z z f z z f z z -=+=⎰⎰⎰即12()d ()d .C C f z z f z z =⎰⎰2.原函数由推论\re f {cor2可知,解析函数在单连通域D 内的积分只与起点z 0 和终点z 1有关,而与积分路径无关.因此,函数f (z )沿曲线C 1和C 2的积分又可以表示为1212()d ()d ()d .z z C C f z z f z z f z z ==⎰⎰⎰固定下限z 0,让上限z 1在区域D 内变动,并令z 1=z ,则确定了一个关于上限z 的单值函数()()d .zz F z f ξξ=⎰ (3.8)并称F (z )为定义在区域D 内的积分上限函数或变上限函数.定理3.3 若函数f (z )在单连通域D 内解析,则函数F (z )必在D 内解析,且有F '(z )=f (z ). 证明:若D 内任取一点z ,以z 为中心作一个含于D 内的小圆B ,在B 内取点(0)z z z +∆∆≠,则由(3.8)式有()()()d ()d .z zzz z F z z F z f f ξξξξ+∆+∆-=-⎰⎰因为积分与路径无关,所以()d z zz f ξξ+∆⎰的积分路径可取从z 0到z 再从z 到z z +∆,其中从z 0到z 取与()d zz f ξξ⎰的积分路径相同.于是有()()()d .z zzF z z F z f ξξ+∆+∆-=⎰由于f (z )是与积分变量ξ无关的值,故()d ()d ().z zz zzzf z f z f z z ξξ+∆+∆==∆⎰⎰从而()()1()()d()1(()())d .z zz z zzF z z F z f z f f z z zf f z zξξξξ+∆+∆+∆--=-∆∆=-∆⎰⎰又f (z )在D 内解析,显然f (z )在D 内连续.所以对于任给的0ε>,必存在0δ>,使得当z ξδ-<(且ξ落在圆B 内),即当z δ∆<时,总有()()<f f z ξε-.图3.6由复积分的性质\re f {ji f e n xi n g z hi4,有()()1()(()())d 1()()d 1.z zzz zzF z z F z f z f f z z zf f z z z zξξξξεε+∆+∆+∆--=-∆∆≤-∆≤∆=∆⎰⎰即0()()lim()z F z z F z f z z ∆→+∆-=∆,也就是()()F z f z '=.与实函数相似,复变函数也有原函数的概念及类似于牛顿-莱布尼兹(Newton-Leibniz)公式的积分计算公式.定义3.2 若在区域D 内,()z ϕ的导数等于f (z ),则称()z ϕ为f (z )在D 内的原函数. 由定理定理3.3可知,变上限函数0()()d zz F z f ξξ=⎰为f (z )的一个原函数.那么函数f (z )的全体原函数可以表示为()()z F z C ϕ=+,其中C 为任意常数.事实上,因为(()())()()()()0z F z z F z f z f z ϕϕ'''-=-=-=,所以()()z F z C ϕ-=,即()()z F z C ϕ=+.这说明了f (z )的任何两个原函数仅相差一个常数.利用这一性质我们可以得到解析函数的积分计算公式.定理3.4 若函数f (z )在单连通域D 内处处解析,()z ϕ为f (z )的一个原函数, 则11010()d ()()()z zz z f z z z z z ϕϕϕ=-=⎰, (3.9)其中z 0、z 1为D 内的点.证明:由于0()()d zz F z f ξξ=⎰为f (z )的一个原函数.所以()()d ().zz F z f z C ξξϕ==+⎰当z =z 0时,根据柯西-古萨定理可知0()C z ϕ=-,于是()d ()()zz f z z ξξϕϕ=-⎰.需要特别注意的是这个公式仅适用于定义在单连通域内的解析函数.例3.4 求积分π2sin 2d i z z ⎰的值.解:因为sin2z 在复平面上解析,所以积分与路径无关.可利用(3.9)式来计算.容易验证1cos 22z -是sin2z 的一个原函数, ππ2200ππππ11sin 2d (cos πcos 0)cos 22211e e .12242i iz z i z e e --=-=--+⎛⎫+=-=-- ⎪⎝⎭⎰例3.5 求积分0(1)e d iz z z --⎰的值.解:因为(z -1)e -z 在复平面上解析,所以积分与路径无关.可利用(3.9)式来计算.(1)e d e d e d iiizzzz z z z z ----=-⎰⎰⎰, 上式右边第一个积分的计算可采用分部积分法,第二个积分可用凑微分法,得(1)e d e d e d esin1cos1.iiiizzz z i z z z zz ie i ------=+--=-=--⎰⎰⎰例3.6 设D 为直线3,2z t t ⎛=+-∞<<∞+ ⎝ 和直线4,55z t t i ⎛=+-∞<<∞-+ ⎝⎭所围成的区域. 求积分23d 2izz z +-⎰的值. 解: 尽管212z z +-在复平面上存在两个奇点1和-2,但是单连通域D 包含点3和i ,又不含奇点1和-2,因此212z z+-在区域D内解析,这样就可以用(3.9)式来计算.233311d dd2312i i iz zzz z z z⎛⎫=-⎪+--+⎝⎭⎰⎰⎰函数ln(z-1)和ln(z+2)在单连通域D内可以分解为单值的解析分支,ln(z-1)的各分支导数都为11z-,ln(z+2)的各个分支的导数都为12z+.我们可以应用任何一个分支来计算积分值,在这里我们都取主支. 所以()23311d ln(1)ln(2)231153π1ln arctan3224215π1ln arctan.62432iiz z zz zii i=--++-⎛⎫⎛⎫=++⎪⎪⎝⎭⎝⎭=++⎰3.复合闭路定理柯西-古萨定理定理可推广到多连通域.设有n+1条简单闭曲线C0、C1、C2、…、C n,其中C1、C2、…、C n互不相交也互不包含,并且都含于C0的内部.这n+1条曲线围成了一个多连通区域D, D的边界C称作复闭路,它的正向为C0取逆时针方向,其它曲线都取顺时针方向.因此复闭路记作012nC C C C C---=++++.沿复闭路的积分通常取的是沿它的正向.定理 3.5若f(z)在复闭路012nC C C C C---=++++及其所围成的多连通区域内解析,则012()d()d()d()dnC C C Cf z z f z z f z z f z z=+++⎰⎰⎰⎰, (3.10) 也就是()d0Cf z z=⎰.为了叙述的简便,我们仅对n=2的情形进行说明.图3.7在图3.7中,做辅助线l1、l2和l3将C0、C1及C2连接起来,从而把多连通区域D划分为两个单连通区域D1及D2,并分别用1Γ及2Γ表示这两个区域的边界,由柯西-古萨定理有12()d 0, ()d 0.f z z f z z ΓΓ==⎰⎰于是12()d ()d 0.f z z f z z ΓΓ+=⎰⎰上式左端,沿辅助线l 1、l 2和l 3的积分,恰好沿相反方向各取了一次,从而相互抵消.因此上式左端为沿曲线C 0、1C -及2C -上的积分,即有:12()d ()d ()d 0.C C C f z z f z z f z z --=⎰⎰⎰也就是12()d ()d ()d .C C C f z z f z z f z z =+⎰⎰⎰例3.7 计算2d2Czz +⎰的值,C 为包含圆周|z |=1在内的 任何正向简单闭曲线. 解:显然z =0和z =-1是函数21z z+的两个奇点,由于C 为包含圆周|z |=1在内的任何正向简单闭曲线,因此也包含了这两个奇点.在C 的内部作两个互不包含互不相交的正向圆周C 1和C 2,其中C 1的内部只包含奇点z =-1,C 2的内部只包含奇点z =0.图3.8因为21z z+在由C 、C 2、C 2所围成的复连通域内解析,所以由定理3.5、定理3.2及(3.7)式,得1211222222d d d d d d d 1102π2π00.CCC C C C C z z zz z z z z z z z z zz z z z i i =++++=-+-++=-+-=⎰⎰⎰⎰⎰⎰⎰ §3.3 柯西(C auchy)积分公式及其推论1.柯西积分公式利用复合闭路定理我们可以导出解析函数的积分表达式,即柯西积分公式.定理3.6 若f (z )是区域D 内的解析函数,C 为D 内的简单闭曲线,C 所围内部全含于D 内,z 为C 内部任一点,则1()()d 2πCf f z iz ξξξ=-⎰, (3.11) 其中积分沿曲线C 的正向.证明:取定C 内部一点z .因为f (z )在D 内解析,所以f (z )在点z 连续.即对任给的0ε∀>,必存在0δ>,当|z δξ<-时,有()()f f z εξ<-.令()()f F zξξξ=-,则()F ξ在D 内除去点z 外处处解析.现以z 为中心,r 为半径作圆周:B r z ξ=-(见图3.9),使圆B 的内部及边界全含于C 的内部.图3.9根据复合闭路定理有()()d d .C Bf f z z ξξξξξξ=--⎰⎰ 上式右端积分与圆B 的半径r 无关.令0r →,只需证明()d 2π()Bf if z z ξξξ→-⎰ 即可.由例3.3可知,1d 2πBi z ξξ=-⎰,而f (z )与ξ无关.于是 ()()()()()d 2π()d d d ()()d 2πd BB BBBBf f f z f f z if z z z z zf f z si rzξξξξξξξξξξξξξξ---==-----≤≤=-⎰⎰⎰⎰⎰⎰从而定理得证.公式(3.11)称为 柯西积分公式.在柯西积分公式中,等式左端表示函数f (z )在C 内部任一点处的函数值,而等式右端积分号内的()f ξ表示f (z )在C 上的函数值.所以,柯西积分公式反映了解析函数在其解析区域边界上的值与区域内部各点处值之间的关系:函数f (z )在曲线C 内部任一点的值可用它在边界上的值来表示,或者说f (z )在边界曲线C 上的值一旦确定,则它在C 内部任一点处的值也随之确定.这是解析函数的重要特征.例如,若函数f (z )在曲线C 上恒为常数K ,z 0为C 内部任一点,则根据柯西积分公式有0001()1()d d 2π.2π2π2πC Cf KKf z i K iz i z i ξξξξξ===⋅=--⎰⎰ 即f (z )在曲线C 的内部也恒为常数K .又如,若C 为圆周:0z R ξ-=,即0Re i z θξ=+(02π)θ≤≤,则d Re d i i θξθ=,从而2π00002π00(Re )Re 1()1()d d 2π2πRe 1(Re )d .2πi i i Ci f z i f f z iz i f z θθθθξξθξθ+⋅==-=+⎰⎰⎰即解析函数在圆心z 0处的值等于它在圆周上的平均值,这就是解析函数的平均值定理.若f (z )在简单闭曲线C 所围成的区域内解析,且在C 上连续,则柯西积分公式仍然成立. 柯西积分公式可以改写成()d 2π()Cf if z z ξξξ=-⎰. (3.12) 此公式可以用来计算某些复变函数沿闭路积分.例3.8 计算积分221d z z z z =+⎰的值. 解:因为{z ^2+1在|z |=2内解析,由柯西积分公式(3.12)有22021d 2π2π.(1)z zz z i i z z ==+=⋅=+⎰ 例3.9 计算积分2πsin6d 1Czz z -⎰的值,其中C 为: 33(1)1;(2)1;(3) 3.22z z z ===-+ 解: (1) 被积函数πsin61zz +在312z =-的内部解析,由(3.12)式有, 21ππsinsinπ11πsin 66d d 2π2π.6111421CCz zzz i z z i i z z z z =⎛⎫ ⎪=⋅==⋅=-+- ⎪⎝+⎭⎰⎰(2) 被积函数πsin61zz -在312z =+的内部解析,由(3.12)式有 21ππsinsinπ11πsin 66d d 2π2π.6111421CCz zzz i z z i i z z z z =-⎛⎫ ⎪=⋅==⋅=--+ ⎪⎝-⎭⎰⎰(3) 被积函数2πsin61zz -在|z |=3的内部有两个奇点1z =±.在C 的内部作两个互不包含互不相交的正向圆周C 1和C 2,其中C 1的内部只包含奇点z =1,C 2的内部只包含奇点z =-1.由定理3.5的(3.10)式及(3.12)式,有12222πππsinsin sinππ666d d d π.11122CC C z z zi i z z z i z z z =+=+=---⎰⎰⎰例3.10 求积分42d 1z zz =-⎰的值, 其中C 为:|z |=2为正向. 解:因为z 4-1=0之解为z 1=1, z 2=i, z 3=-1, z 4=-i,分别作简单正向闭路C j 包围z j ,使C j (j =1, 2, 3, 4)互不包含,互不相交,均位于|z |=2内,则由复合闭路定理有4441d d 11jj CCz zz z ==--∑⎰⎰ 又由Cauchy 积分公式得()()()()()()()()()1141213121121312d 1d 112121i 111i πi πiπi2C Cz zz z z z z z z z z z z z z z z =⋅-----=---==-++⎰⎰同理可得234444d d d ,,1212π2π1πi C CC z z z z z z =-=-=---⎰⎰⎰. 所以 44412d d 011j j z C z zz z ====--∑⎰⎰.2.高阶导数公式 我们知道,一个实函数在某一区间上可导,并不能保证该函数在这个区间上二阶导数存在.但在复变函数中,如果一个函数在某一区域内解析,那么根据3.3节中的柯西积分公式推知,该解析函数是无穷次可微的.定理3.7 定义在区域D 的解析函数f (z )有各阶导数,且有()1!()()d (1,2,),2π()n n Cn f f z n iz ξξξ+==-⎰(3.13)其中C 为区域D 内围绕z 的任何一条简单闭曲线,积分沿曲线C 的正向.证明:用数学归纳法证明. 当n =1时,即证明21()()d .2π()Cf f z iz ξξξ'=-⎰也就是要证明2()1()limd .2π()z Cf z z f z iz ξξξ∆→+∆=∆-⎰由柯西积分公式(3.11)有1()()d ,2π1()()d .2πCCf f z i z f f z z iz z ξξξξξξ=-+∆=--∆⎰⎰于是22222()()1()d 2π()()()11()d d d 2π2π()1()1()d d 2π()()2π()()()()1d d ()()()()2πCC C CCCCC f z z f z f z iz f f f z z z i z i z f f i z z z z iz zf f f z z z z z ξξξξξξξξξξξξξξξξξξξξξξξξξξξξ+∆--∆-⎛⎫--= ⎪--∆-∆-⎝⎭-=∆--∆--∆+-=--∆---⎰⎰⎰⎰⎰⎰⎰⎰2d .Cξ⎰令上式为Q,显然2()1d .()()2πCzf Q z z z ξξξξ∆=--∆-⎰根据积分不等式(3. 4)有2()1d .2πCf z Q z z zξξξξ∆≤--∆-⎰因为f (z )在区域D 内解析,所以在闭曲线C 上解析并连续,从而在C 上是有界的. 即对于z C ∀∈,一定存在一个正数M ,使得|f (z )|≤M .设d 为从z 到C 上各点的最短距离,取z ∆充分小,满足2dz <∆.那么 ,.2d d z z z z z ξξξ≥≥->---∆-∆因此33212d ,d 2π2πd πd d 2CM M ML z z Q s L z ∆∆<=⋅=∆⋅⎰这里L 为C 的长度. 令0z ∆→,则0Q →,于是有()()1()()lim.2π()z Cf z z f z f f z d z iz ξξξ∆→+∆-'==∆-⎰假设n =k 时的情形成立,证明n =k +1时的情形成立.证明方法与n =1时的情形相似,但证明过程稍微复杂,这里就不证明了.这个定理实际上说明了解析函数具有无穷可微性.即 定理3.8 若f (z )为定义在区域D 内的解析函数,则在D 内其各阶导数都存在并且解析.换句话说,解析函数的导数也是解析函数.由解析函数的无穷可微性,我们可以得到判断函数在区域内解析的又一个充要条件.定理3.9 函数f (z )=u (x ,y )+iv (x ,y )在区域D 内解析的充要条件是(1),,,x y x y u u v v 在D 内连续;(2)(,),(,)u x y v x y 在D 内满足柯西-黎曼方程.证明:充分性即是定理2.8.下面证明必要性. 条件(2)的必要性由定理2.7给出.再来看条件(1),由于解析函数的导数仍然是解析函数,所以f '(z )在D 内解析,从而在D 内连续.而()x x y y f z u iv v iu '=+=-,所以,,,x y x y u u v v 在D 内连续.下面我们来看高阶导数公式的应用.高阶导数公式(3.13)可改写为()1()2πd ().()!n n Cf i f z z n ξξξ+=-⎰(3.14)可通过此式计算某些复变函数的积分.例3.11 求积分的1e d ()zn Cz ξξ+-⎰值, 其中C 为: 226x y y +=. 解:226x y y +=可化为22(3)9x y +-=,即|z -3i|=3. 被积函数2e π2z i z ⎛⎫- ⎪⎝⎭在C 的内部有一个奇点π2iz =,由(3.14)式有 π/22π/2e 2πe 2π2π.2π(e )π2zi z z i Ci i i i i z ====⋅=-'⎛⎫- ⎪⎝⎭⎰例3.12 求积分32cos πd (1)Czz z z -⎰的值,其中C 为: |z |=2.解 被积函数32cos π(1)zz z -在C 的内部有两个奇点z =0和z =1,作两条闭曲线C 1和C 2互不相交且互不包含,分别包围奇点z =0和z =1,且两曲线所围区域全含于C 的内部,则根据复合闭路定理3.5和高阶导数公式(3.14),有1212323232233223022cos πcos πcos πd d d (1)(1)(1)cos π1cos π1d d (1)(1)2πcos πcos π2π2π32!(1)(6π)π6π(12π)π.CC C C C z z z z zz z z z z z z z z z z z z z z z z i z z i i z z i i i ===+---=⋅+⋅--'''⎛⎫⎛⎫=++⋅ ⎪⎪-⎝⎭⎝⎭=-+=-⎰⎰⎰⎰⎰§3.4 解析函数与调和函数的关系根据解析函数的导数仍是解析函数这个结论,我们来讨论解析函数与调和函数的关系. 定义3.3 在区域D 内具有二阶连续偏导数并且满足拉普拉斯方程22220x yϕϕ∂∂+=∂∂ 的二元实函数(,)x y ϕ称为在D 内的调和函数.调和函数是流体力学、电磁学和传热学中经常遇到的一类重要函数.定理3.10 任何在区域D 内解析的函数f (z )=u (x ,y )+iv (x ,y ),它的实部u (x ,y )和虚部v (x ,y )都是D 内的调和函数.证明 由柯西-黎曼方程有,.v u v x y y xϕ∂∂∂∂==-∂∂∂∂ 于是222222,.u v u v x y x y x y∂∂∂∂==-∂∂∂∂∂∂ 由定理3.8可知,u (x ,y )与v (x ,y )具有任意阶连续偏导,所以22.v vy x x y∂∂=∂∂∂∂ 从而22220.u vx y ∂∂+=∂∂ 同理可证22220.v vx y∂∂+=∂∂ 即u (x ,y )与v (x ,y )都是调和函数.使u (x ,y )+iv (x ,y )在区域D 内构成解析函数的调和函数v (x ,y )称为u (x ,y )的共轭调和函数.或者说,在区域D 内满足柯西-黎曼方程u x =v y ,v x =-u y 的两个调和函数u 和v 中,v 称为u 的共轭调和函数.注意:u 与v 的关系不能颠倒,任意两个调和函数u 与v 所构成的函数u +iv 不一定就是解析函数.例如,f (z )=z 2=x 2-y 2+2xyi ,其中实部u =x 2-y 2,虚部v =2xy .由于f (z )=z 2解析,显然v =2xy 是u =x 2-y 2的共轭调和函数.但是v x =2y ,u y =-2y .因此以v 作为实部、u 作为虚部的函数g (z )=v +iu 不解析.下面介绍已知单连通域D 内的解析函数f (z )=u +iv 的实部或虚部,求f (z )的方法. 这里仅对已知实部的情形进行说明,关于已知虚部求f (z )的方法可以类似得到. (1) 偏积分法利用柯西-黎曼方程(2.5)先求得v 对y 的偏导v y =u x ,此式关于y 积分得d ()uv y g x x ∂=+∂⎰,然后两边对x 求偏导,由v x =-u y ,于是有d ().y uu y g x x x∂∂'-=+∂∂⎰ 从而()d .-d u u g x x C y x x x ∂∂∂⎛⎫=+- ⎪∂∂∂⎝⎭⎰⎰故d d .-d u u u v y x C y x x x x ∂∂∂∂⎛⎫=++- ⎪∂∂∂∂⎝⎭⎰⎰⎰ 例3.13 已知u (x ,y )=2(x -1)y , f (2)=-i ,求其共轭调和函数,并写出f (z )的形式.解 由柯西-黎曼方程(2.5),有v y =u x =2y ,此式两边关于y 积分:2d ()().uv y g x y g x x∂=+=+∂⎰而(),x v g x '=又2(1),x y v u x =-=-所以2()2(1)d 2,g x x x x x C =-=-+⎰其中C 为实常数. 于是222.v y x x C =-++从而22()2(1)(2).f z x y i y x x C =-+-++由条件 f (2)=-i ,得C =-1,故22222()2(1)(21)(22()1)(1).f z x y i y x x i x y ixy x iy i z =-+-+-=--+-++=-- (2) 线积分法利用柯西-黎曼方程(2.5)有d d d d d x y y x v v x v y u x u y =+=-+,故00(,)(,)d d .x y y x x y v u x u y C =-++⎰由于该积分与积分路径无关,因此可选取简单路径(如折线)进行计算.其中(x 0,y 0)为区域D 中的点.以例3.13进行说明,u x =2y , u y =2x -2 .取(x 0,y 0)=(0,0),路径为从(0,0)到(x ,0)的直线段再从(x ,0)到(x ,y )的直线段.于是(,)(0,0)22(22)d 2d (22)d 2d 2.x y yxv x x y y Cx x y x C x x y C =-++=-++=-++⎰⎰⎰以下同前.(3) 不定积分法根据柯西-黎曼方程(2.5)及解析函数的导数公式(2.9)有().x x x y f z u iv u iu '=+=-.将x y u iu -表示成z 的函数h (z ),于是()()d .f z h z z C =+⎰还是以例3.13进行说明,2,2 2.x y u y u x ==-()2(22)2(1)2(1).f z y i x i x iy i z '=--=-+-=--从而2()2(1)d 2.f z i z z C iz iz C =--+=-++⎰由条件 f (2)=-i ,得C =-i ,故2()(1).f z i z =--小 结复变函数的积分定义与微积分中定积分的定义在形式上十分相似,只是被积函数由后者的一元实函数换成了前者的复变函数,积分区间[a ,b ]换成了平面区域内的一条光滑有向曲线.复变函数的积分值不仅与积分曲线的起点和终点有关,而且一般也与积分路径有关.这些特点与微积分中第二类曲线积分相似,因而具有与第二类曲线积分类似的性质.计算复变函数的积分有两个基本方法:(1) 若被积函数为f (z )=u (x ,y )+iv (x ,y ),积分曲线为C ,则()d d d d d .C C Cf z z u x v y i v x v y =-++⎰⎰⎰ (2) 参数方程法. 设积分曲线C 的参数方程为()()z z t a t b =≤≤,则()d (())()d .bC af z z f z t z t t '=⎰⎰ 解析函数积分的基本定理主要包括柯西-古萨定理、柯西积分公式、高阶导数公式及它们的一些推论.柯西-古萨定理指在单连通域D 内解析的函数f (z )沿该区域内任一条闭曲线C 的积分为零,即()d 0C f z z =⎰.由此定理可以得到一个重要推论:在单连通域D 内解析的函数f (z )沿该区域内任一条曲线积分与路径无关.复变函数与实函数一样也有原函数的概念,并且任何两个原函数之间仅相差一个常数.基于此,对于单连通域内的解析函数有类似于实函数的牛顿-莱布尼兹公式.即1010()d ()()z z f z z z z ϕϕ=-⎰,其中f (z )为单连通域D 内的解析函数,()z ϕ为f (z )的一个原函数,01,z z D ∈分别为积分曲线的起点和终点.复合闭路定理是柯西-古萨定理的推广,即若函数f (z )在复闭路C =C 0+C 1-+C 2-+…+C n-及其所围成的多连通区域内解析,则 01()d ()d ,k nk C C f z z f z z ==∑⎰⎰ 也就是0()d 0C f z z =⎰.柯西积分公式1()()d 2πf f z i z ξξξ=-⎰ 与高阶导数公式1!()()d , 1,2,2π()n n n f z f z n i z ξξ+==-⎰是复变函数两个十分重要的公式,它们都是计算积分的重要工具.柯西积分公式反映了解析函数在其解析区域边界上的值与区域内部各点处之间的密切关系,而高阶导数公式表明解析函数的导数仍是解析函数,即解析函数具有无穷可微性.这是解析函数与实函数的本质区别.下面归纳复变函数积分的计算方法.(1)如果被积函数不是解析函数,那么不论积分路径是否封闭,只能运用上面提到的两种基本计算方法,即化为二元实函数的线积分和参数方程法.(2)如果被积函数是解析函数(包括含有有限个奇点的情形),并且积分路径封闭,那么可以考虑柯西积分公式、高阶导数公式,并常常需要联合运用柯西-古萨定理、复合闭路定理,有时还需将被积函数作变形化为公式中的相应形式.若积分路径不封闭,那么只要被积函数在单连通域内解析,就可用定理3.4进行计算.(3)若被积函数是解析函数(含有有限个或无限个奇点),积分路径封闭,而被积函数不能表示为柯西积分公式和高阶导数公式中所要求的形式,那么就只能用到第五章中的留数方法.解析函数f (z )=u +iv 的虚部v 为实部u 的共轭调和函数,u 与v 的关系不能颠倒,任意两个调和函数u 与v 所构成的函数u+iv 不一定是解析函数.已知单连通域D 内的解析函数f (z )的实部或虚部求f (z )的方法要求掌握,前面已经详细介绍了三种方法,这里不再赘述.重要术语及主题复积分 柯西-古萨定理 复合闭路定理 原函数柯西积分公式 高阶导数公式 调和函数习题三1. 计算积分2()d C x y ix z -+⎰,其中C 为从原点到点1+i 的直线段.2. 计算积分(1)d C z z -⎰,其中积分路径C 为(1) 从点0到点1+i 的直线段;(2) 沿抛物线y =x 2,从点0到点1+i 的弧段.3. 计算积分d C z z ⎰,其中积分路径C 为(1) 从点-i 到点i 的直线段;(2) 沿单位圆周|z |=1的左半圆周,从点-i 到点i ;(3) 沿单位圆周|z |=1的右半圆周,从点-i 到点i .4. 计算积分23d Cz z z -⎰,其中积分路径C 为 (1) 从z =-2到z =2沿圆周|z |=2的上半圆周;(2) 从z =-2到z =2沿圆周|z |=2的下半圆周;(3) 沿圆周|z |=2的正向.5. 计算积分1d (31)C z z z +⎰,其中C 为16z =. 6. 计算积分(e sin )d z C z z z -⎰,其中C 为0a z =>. 7. 计算积分,其中积分路径C 为:12341(1):;23(2):;21(3):;23(4):.2C z C z C z i C z i ===+=-8.利用1d 0,:12C z C z z ==+⎰,证明: π12cos d 0.54cos θθθ+=+⎰ 9. 计算积分1d (1)2C z i z z ⎛⎫+- ⎪⎝⎭⎰,其中C 为|z |=2. 10. 利用牛顿-莱布尼兹公式计算下列积分. π200π211(1)cos d ;(2)e d ;2ln(1)(3)(2)d ;(4)d ;1iz i ii z z z z iz z z z +--+++⎰⎰⎰⎰ 12011tan (5)sin d ;(6)d cos i z z z z z z +⎰⎰ (沿1到i 的直线段) . 11. 求积分2e d 1z C z z +⎰,其中C 为: 12. 计算积分221d 1C z z z z -+-⎰,其中C 为|z |=2. 13. 计算积分41d 1Cz z +⎰,其中C 为222x y x +=.14. 求积分2sin d 9r zz z z =+⎰,其中C 为|z -2i |=2. 15. 求积分()33d d (1)1C z z z z +-⎰,其中r ≠1. 16. 求下列积分的值,其中积分路径C 均为|z |=1. 53020e cos (1)d ;(2)d ;tan /21(3)d ,.()2z C CC z z z z z z z z z z <-⎰⎰⎰17. 计算积分33d d (1)(1)C z z z z -+⎰,其中C 为: (1) 中心位于点z =1,半径为R <2的正向圆周;(2) 中心位于点z =-1,半径为R <2的正向圆周;(3) 中心位于点z =1,半径为R >2的正向圆周;(4) 中心位于点z =-1,半径为R >2的正向圆周.18. 设函数3223()d f z ax bx y cxy y =+++是调和函数,其中a,b,c 为常数.问a,b,c 之间应满足什么关系?19. 验证下列函数为调和函数.3223(1)632;(2)e cos 1(e sin 1).x x x x y xy y y i y ωω=--+=+++ 20. 证明:函数2222,x u x y v x y =-=+都是调和函数,但f (z )=u +iv 不是解析函数. 21. 设u 是调和函数,且不恒为常数,问:(1) u 2是否是调和函数?(2) 对怎样的f ,函数f (u )为调和函数?22. 由下列各已知调和函数,求解析函数f (z )=u +iv :2222(1);(2),(1)0;(3)e (cos sin ),(0)2;(4)arctan ,0.x u x y xy y u f x y v y y x y x y f y v x x=-+==+=+++==> 23.设12()()()()n p z z a z a z a =---,其中(1,2,,)i a i n =各不相同,闭路C 不通过12,,,n a a a ,证明积分1()d 2π()C p z z i p z '⎰ 等于位于C 内的p(z )的零点的个数.24.试证明下述定理(无界区域的柯西积分公式):设f (z )在闭路C 及其外部区域D 内解析,且lim ()z f z A →∞=≠∞,则 (),,1()d ,.2πC f z A z D f A z G i zξξξ-+∈⎧=⎨∈-⎩⎰ 其中G 为C 所围内部区域.。
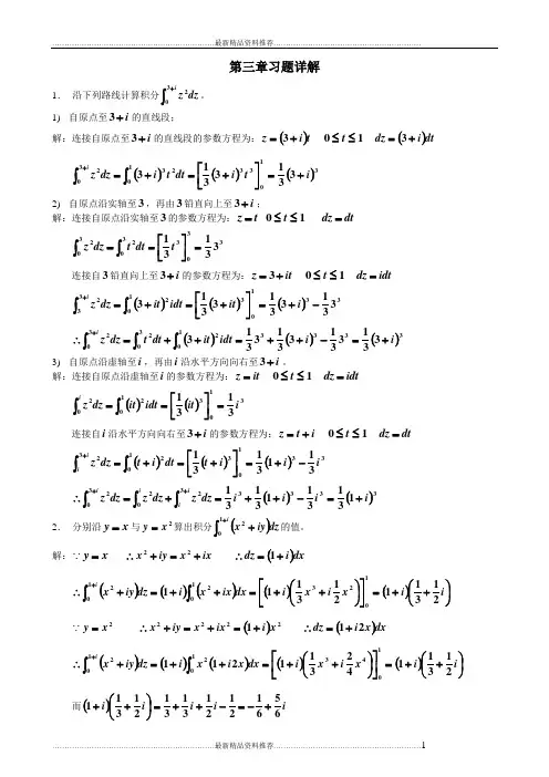
第三章习题详解1. 沿下列路线计算积分⎰+idz z 302。
1) 自原点至i +3的直线段;解:连接自原点至i +3的直线段的参数方程为:()t i z +=3 10≤≤t ()dt i dz +=3()()()⎰⎰+=⎥⎦⎤⎢⎣⎡+=+=+131033233023313313i t i dt t i dz z i2) 自原点沿实轴至3,再由3铅直向上至i +3;解:连接自原点沿实轴至3的参数方程为:t z = 10≤≤t dt dz =3303323233131=⎥⎦⎤⎢⎣⎡==⎰⎰t dt t dz z连接自3铅直向上至i +3的参数方程为:it z +=3 10≤≤t idt dz =()()()331031023323313313313-+=⎥⎦⎤⎢⎣⎡+=+=⎰⎰+i it idt it dz z i()()()333310230230233133********i i idt it dt t dz z i+=-++=++=∴⎰⎰⎰+ 3) 自原点沿虚轴至i ,再由i 沿水平方向向右至i +3。
解:连接自原点沿虚轴至i 的参数方程为:it z = 10≤≤t idt dz =()()310312023131i it idt it dz z i=⎥⎦⎤⎢⎣⎡==⎰⎰连接自i 沿水平方向向右至i +3的参数方程为:i t z += 10≤≤t dt dz =()()()33103102323113131i i i t dt i t dz z ii-+=⎥⎦⎤⎢⎣⎡+=+=⎰⎰+()()333332023021313113131i i i i dz z dz z dz z iiii+=-++=+=∴⎰⎰⎰++ 2. 分别沿x y =与2x y =算出积分()⎰++idz iy x102的值。
解:x y = ix x iy x +=+∴22()dx i dz +=∴1 ()()()()()⎪⎭⎫⎝⎛++=⎥⎦⎤⎢⎣⎡⎪⎭⎫ ⎝⎛++=++=+∴⎰⎰+i i x i x i dx ix x i dz iy x i213112131111023102102 2x y = ()22221x i ix x iy x +=+=+∴ ()dx x i dz 21+=∴()()()()()⎰⎰⎪⎭⎫⎝⎛++=⎥⎦⎤⎢⎣⎡⎪⎭⎫ ⎝⎛++=++=+∴+1104321022131142311211i i x i x i dx x i x i dz iy xi而()i i i i i 65612121313121311+-=-++=⎪⎭⎫⎝⎛++3. 设()z f 在单连通域B 内处处解析,C 为B 内任何一条正向简单闭曲线。
复变函数与积分变换课后答案(北京邮电大学出版社)复变函数与积分变换(修订版)主编:马柏林(复旦大学出版社)——课后习题答案1 / 37习题一1.用复数的代数形式a +ib 表示下列复数π/43513;;(2)(43);711i i e i i i i i-++++++.①解i 4πππecos isin 44-⎛⎫⎛⎫⎛⎫=-+- ⎪ ⎪ ⎪ ⎪⎝⎭⎝⎭⎝⎭ ②解:()()()()35i 17i 35i 1613i7i 11+7i 17i 2525+-+==-++-③解:()()2i 43i 834i 6i 510i ++=-++=+ ④解:()31i 1335=i i i 1i 222-+-+=-+2.求下列各复数的实部和虚部(z =x +iy )(z a a z a -∈+); 333;;;.n z i ① : ∵设z =x +iy 则()()()()()()()22i i i i i i x a y x a y x y a x a y z a z a x y a x a y x a y -++-⎡⎤⎡⎤+--+-⎣⎦⎣⎦===+++++++ ∴()22222Re z a x a y z a x a y ---⎛⎫= ⎪+⎝⎭++,()222Im z a xy z a x a y-⎛⎫= ⎪+⎝⎭++. ②解: 设z =x +iy ∵()()()()()()()()323222222223223i i i 2i i 22i33iz x y x y x y x y xy x y x x y xy y x y x y x xy x y y =+=++=-++⎡⎤=--+-+⎣⎦=-+-∴()332Re 3z x xy =-,()323Im 3z x y y =-.③解:∵(()(){}33232111313188-+⎡⎤⎡⎤==--⋅-⋅+⋅-⎢⎥⎢⎥⎣⎦⎣⎦⎝⎭()180i 18=+=∴Re 1=⎝⎭, Im 0=⎝⎭. ④解:∵()()(()2332313131i 8⎡⎤--⋅-⋅+⋅-⎢⎥⎣⎦=⎝⎭()180i 18=+=∴Re 1=⎝⎭, Im 0=⎝⎭. ⑤解: ∵()()1,2i 211i,kn kn k k n k ⎧-=⎪=∈⎨=+-⋅⎪⎩ . ∴当2n k =时,()()Re i 1k n =-,()Im i 0n =;当21n k =+时,()Re i 0n =,()()Im i 1kn =-.3.求下列复数的模和共轭复数12;3;(2)(32);.2ii i i +-+-++①解:2i -+2i 2i -+=--②解:33-=33-=-③解:()()2i 32i 2i 32i ++=++()()()()()()2i 32i 2i 32i 2i 32i 47i ++=+⋅+=-⋅-=-④解:1i 1i 22++==()1i 11i222i ++-⎛⎫== ⎪⎝⎭4、证明:当且仅当z z =时,z 才是实数.证明:若z z =,设i z x y =+,则有 i i x y x y +=-,从而有()2i 0y =,即y =0 ∴z =x 为实数.若z =x ,x ∈ ,则z x x ==. ∴z z =.命题成立.5、设z ,w ∈ ,证明:z w z w ++≤证明∵()()()()2z w z w z w z w z w +=+⋅+=++()()22222Re z z z w w z w wz zw z w w z wz w =⋅+⋅+⋅+⋅=++⋅+=++⋅()2222222z w z wz w z w z w ++⋅=++⋅=+≤∴z w z w ++≤.6、设z ,w ∈ ,证明下列不等式. ()2222Re z w z z w w +=+⋅+ ()2222Re z w z z w w -=-⋅+()22222z w z w z w++-=+并给出最后一个等式的几何解释.证明:()2222Re z w z z w w +=+⋅+在上面第五题的证明已经证明了.下面证()2222Re z w z z w w -=-⋅+.∵()()()()222z w z w z w z w z w z z w w z w-=-⋅-=--=-⋅-⋅+()222Re z z w w =-⋅+.从而得证.∴()22222z w z w z w++-=+几何意义:平行四边形两对角线平方的和等于各边的平方的和.7.将下列复数表示为指数形式或三角形式3352π2π;;1;8π(1);.cos sin 7199i i i i +⎛⎫--+ ⎪+⎝⎭ ①解:()()()()35i 17i 35i 7i 117i 17i +-+=++-3816i 198i e 5025i θ⋅--===其中8πarctan 19θ=-. ②解:e i i θ⋅=其中π2θ=.π2e i i =③解:ππi i 1e e -==④解:()28π116ππ3θ-==-.∴()2πi 38π116πe--+=⋅⑤解:32π2πcos isin 99⎛⎫+ ⎪⎝⎭ 解:∵32π2πcos isin 199⎛⎫+= ⎪⎝⎭.∴322πi π.3i 932π2πcos isin 1e e 99⋅⎛⎫+=⋅= ⎪⎝⎭8.计算:(1)i 的三次根;(2)-1的三次根;的平方根.⑴i 的三次根. 解:()13ππ2π2πππ22cos sin cosisin 0,1,22233++⎛⎫+=+= ⎪⎝⎭k k i k∴1ππ1cosisin i 662=+=+z .2551cos πi sin πi 662=+=z3991cos πi sin πi 662=+=-z ⑵-1的三次根 解:()()132π+π2ππcos πisin πcosisin 0,1,233k k k ++=+=∴1ππ1cos i sin 332=+=+z2cos πisin π1=+=-z3551cos πi sin π332=+=-z的平方根.πi 4e ⎫=⎪⎪⎝⎭∴)()1π12i 44ππ2π2π44e6cos isin 0,122k k k ⎛⎫++ ⎪=⋅+= ⎪⎝⎭∴π11i 8441ππ6cos isin 6e 88⎛⎫=⋅+=⋅ ⎪⎝⎭z911πi 8442996cos πisin π6e 88⎛⎫=⋅+=⋅ ⎪⎝⎭z .9.设2πe,2inz n =≥. 证明:110n z z -+++=证明:∵2πi e nz ⋅= ∴1n z =,即10n z -=.∴()()1110n z z z --+++=又∵n ≥2.∴z ≠1从而211+0n z z z -+++=11.设Γ是圆周{:},0,e .i z r r a c r z c α=>=+-令:Im 0z a L z b β⎧-⎫⎛⎫==⎨⎬⎪⎝⎭⎩⎭, 其中e i b β=.求出L β在a 切于圆周Γ的关于β的充分必要条件.解:如图所示.因为L β={z : Im z a b -⎛⎫⎪⎝⎭=0}表示通过点a 且方向与b 同向的直线,要使得直线在a 处与圆相切,则CA ⊥L β.过C 作直线平行L β,则有∠BCD =β,∠ACB =90° 故α-β=90°所以L β在α处切于圆周T 的关于β的充要条件是α-β=90°.12.指出下列各式中点z 所确定的平面图形,并作出草图.(1)arg π;(2);1(3)1|2;(4)Re Im ;(5)Im 1 2.z z z z i z z z z ==-<+<>><且解:(1)、argz =π.表示负实轴.(2)、|z -1|=|z |.表示直线z =12.(3)、1<|z +i|<2 解:表示以-i 为圆心,以1和2为半径的周圆所组成的圆环域。
复变函数练习题 第三章 复变函数的积分系 专业 班 姓名 学号§1 复变函数积分的概念 §4 原函数与不定积分一.选择题1.设C 为从原点沿2y x =至1i +的弧段,则2()Cx iy dz +=⎰[ ](A )1566i - (B )1566i -+ (C )1566i -- (D )1566i + 2. 设C 是(1)z i t =+,t 从1到2的线段,则arg Czdz =⎰[ ](A )4π(B )4i π (C )(1)4i π+ (D )1i +3.设C 是从0到12i π+的直线段,则zC ze dz =⎰ [ ](A )12e π- (B )12e π-- (C )12ei π+ (D )12ei π-4.设()f z 在复平面处处解析且()2iif z dz i πππ-=⎰,则积分()iif z dz ππ--=⎰[ ](A )2i π (B )2i π- (C )0 (D )不能确定 二.填空题1. 设C 为沿原点0z =到点1z i =+的直线段,则2Czdz =⎰2 。
2. 设C 为正向圆周|4|1z -=,则2232(4)Cz z dz z -+=-⎰10.i π 三.解答题 1.计算下列积分。
(1)323262121()02iziiz i i i edzee e ππππππ---==-=⎰(2)22222sin1cos2sin 2224sin 2.244iiiii i zdzz z z dz i e e e e i i i i ππππππππππππππ------⎛⎫==- ⎪⎝⎭⎛⎫--=-=-=+⎪⎝⎭⎰⎰(3)110sin (sin cos )sin1cos1.z zdzz z z =-=-⎰(4)20222cos sin 1sin sin().222iiz z dzz i ππππ==⋅=-⎰2.计算积分||C zdz z ⎰的值,其中C 为正向圆周:(1)2200||22,022224.2i i i z C z e e ie d id i θθππθθπθθπ-==≤≤⋅==⎰⎰积分曲线的方程为则原积分I=(2)2200||44,024448.4i i i z C z e e ie d id i θθππθθπθθπ-==≤≤⋅==⎰⎰积分曲线的方程为则原积分I=3.分别沿y x =与2y x =算出积分10()ii z dz +-⎰的值。
解:(1)沿y=x 的积分曲线方程为(1),01z i t t =+≤≤则原积分11120[(1)](1)(12)[(1)]2I i i t i dti t dt i t t i =--+=--=--=-⎰⎰(2)沿2y x =的积分曲线方程为2,01z t it t =+≤≤则原积分120113224300[()](12)3112[32(1)][()]2.2233I i t it it dtt t i t dt t t i t t i =--+=--+-=--+-=-+⎰⎰4.计算下列积分(1)2()Cx y ix dz -+⎰,C:从0到1i +的直线段;C 的方程:(1),01z i t t =+≤≤(),01()x t tt y t t=⎧≤≤⎨=⎩或则原积分120120[](1)1(1).3I t t it i dti i t dt =-++-=-=⎰⎰(2)2()Cz zz dz +⎰,C :||1z =上沿正向从1到1-。
C 的方程:,0i z e θθπ=≤≤则原积分20330(1)8().33i i i i i i I e ie d e i ee d e πθθπθπθθθθθ=+⎛⎫=+=+=- ⎪⎝⎭⎰⎰复变函数练习题 第三章 复变函数的积分系 专业 班 姓名 学号 §2 柯西-古萨基本定理 §3 基本定理的推广-复合闭路定理一、选择题1. 设()f z 在单连通区域B 内解析,C 为B 内任一闭路,则必有 [ ] (A )Im[()]0Cf z dz =⎰ (B )Re[()]0Cf z dz =⎰(C )|()|0Cf z dz =⎰(D )Re ()0Cf z dz =⎰2.设C 为正向圆周1||2z =,则321cos2(1)C z z dz z -=-⎰ [ ] (A )2(3cos1sin1)i π- (B )0 (C )6cos1i π (D )2sin1i π- 3.设()f z 在单连通域B 内处处解析且不为零,C 为B 内任何一条简单闭曲线,则积分()2()()()Cf z f z f z dz f z '''++=⎰[ ](A )2i π (B ) 2i π- (C ) 0 (D )不能确定 二、填空题1.设C 为正向圆周||3z =,则||Cz zdz z +=⎰6.i π 2.闭曲线:||1C z =取正方向,则积分122(2)(3)z C edz z z -=+-⎰ 0 。
三、解答题利用柯西积分公式求复积分 (1)判断被积函数具有几个奇点; (2)找出奇点中含在积分曲线内部的,若全都在积分曲线外部,则由柯西积分定理可得积分等零; 若只有一个含在积分曲线内部,则直接利用柯西积分公式;若有多个含在积分曲线内部,则先利用复合闭路定理,再利用柯西积分公式. 1.计算下列积分 (1)221,:||(0);C dz C z a a a z a -=>-⎰.()22111121111=20.22C C C C dz dz z a a z a z a i dz dz i a z a z a a a ππ⎛⎫=- ⎪--+⎝⎭⎛⎫=--= ⎪-+⎝⎭⎰⎰⎰⎰解:22221112.C z aC z a z a idz i z a z aaππ==-=⋅=-+⎰解法二:由被积函数在内部只有一个奇点,故由柯西积分公式可得 (2).2,:||2;1C zdz C z z =-⎰21111=+=22)2.121+12C C z dz dz i i i z z z πππ⎛⎫+= ⎪--⎝⎭⎰⎰解:( 解法二:211zC z z =±-被积函数在内部具有两个奇点, 分别作两个以1, -1为心,充分小的长度为半径的圆周C 1、 C 2, 且C 1和 C 2含于C 内部。
由复合闭路定理,122221111122112C C C z z zz z dz dz dz z z z z zi iz z i i iπππππ==-=+---=++-=+=⎰⎰⎰ (3)2||5||53123212226.31z z z dzz z dz i i i z z πππ==---⎛⎫=+=⨯+= ⎪-+⎝⎭⎰⎰同上题中的解法二,122||51331313123(3)(1)(3)(1)31312224631z C C z z z z z dz dz dzz z z z z z z z ii i i iz z πππππ==-=---=+---+-+--=+=+=-+⎰⎰⎰(4)2cos 4-⎰C z dz z ,其中22:4C x y x +=正向 2cos cos /(2)cos22cos2/(22).422C C z z z i dz dz i z z ππ+==+=--⎰⎰2.计算积分2(1)Cdzz z +⎰,其中C 为下列曲线:2121111111(1)222C C C C C dzI dz dz dz dz z z z z i z i z z i z i ⎛⎫==--=--⎪++-+-⎝⎭⎰⎰⎰⎰⎰(1)1:||2C z =; 2002.I i i ππ=--=解法二:21221z I i i z ππ===+(2)3:||2C z i -=; 1202.2I i i i πππ=--⋅=解法二:20112221()z z iI i i i i i z z z i πππππ===+=-=++(3)1:||2C z i +=; 1020.2I i i ππ=-⋅-=-解法二:12()z iI i i z z i ππ=-==--(4)3:||2C z =。
112220.22I i i i πππ=-⋅-⋅=解法二:20111222201()()z z i z iI ii i i i i z z z i z z i ππππππ==-==++=--=+-+ 3.计算Ln Czdz ⎰,其中(1)Ln ln ||arg ,:||1z z i z C z =+=;C 的方程:,i z e θπθπ=-≤≤Ln (1)2.i i Czdz i ie d i e i ππθθππθθθπ--=⋅=-=-⎰⎰(2)Ln ln ||arg 2,:||z z i z i C z R π=++=.C 的方程:,i z Re θπθπ=-≤≤Ln (ln arg 2)arg 2.i CCCzdz R i z i dz i zdz i Rie d R i πθππθθπ-=++==⋅=-⎰⎰⎰⎰复变函数练习题 第三章 复变函数的积分系 专业 班 姓名 学号§5 柯西积分公式 §6 解析函数的高阶导数一.选择题。
1.设C 是正向圆周2220x y x +-=,则2sin()41C z dz z π=-⎰ [ ] (Ai (B i(C )0 (D )i 2.设C 为正向圆周||2z =,则2cos (1)C zdz z =-⎰ [ ](A )sin1- (B )sin1 (C )2sin1i π- (D )2sin1i π3.设||4()ξξξξe f z d z==-⎰,其中||4z ≠,则()f i π'= [ ] (A )2i π- (B )1- (C )2i π (D )1 4.设C 为不经过点1与1-的正向简单闭曲线,则2(1)(1)C zdz z z -+⎰为 [ ](A )2i π(B )2i π-(C )0 (D )以上都有可能二.填空题:1.闭曲线:||3C z =取正方向,积分3(2).(1)zCe dz e i z z π=--⎰32011111()''()'22(1)(1)12!1!z z z z zz C z e e e dz i e ie z z z z ππ==⎛⎫⎛⎫⎛⎫-+-=-+- ⎪ ⎪ ⎪ ⎪---⎝⎭⎝⎭⎝⎭⎰ 2.设||2sin()2()f z d zξπξξξ==-⎰,其中||2z ≠,则(1)f '= 0 ,(3)f '= 0 。
()2()=0'(3)0z z f z f >=对满足的所有的,,从而三.解答题:1.设()f z u iv =+是解析函数且222u v x y xy -=--,求()f z 。