中国地质大学春本科线性代数平时作业答案
- 格式:docx
- 大小:696.27 KB
- 文档页数:6
线性代数课后习题答案全习题详解在学习线性代数的过程中,课后习题是巩固知识、检验理解程度的重要环节。
然而,对于许多同学来说,完成这些习题并得到正确答案并非易事。
为了帮助大家更好地掌握线性代数,本文将对课后习题进行全面且详细的解答。
线性代数作为一门数学学科,其主要研究对象包括向量、矩阵、线性方程组等。
这些概念相互关联,构成了一个复杂而又有序的知识体系。
通过课后习题的练习,我们能够更深入地理解这些概念,提高运用线性代数方法解决实际问题的能力。
首先,来看一道关于矩阵运算的习题。
假设我们有两个矩阵 A 和 B,A = 1 2; 3 4,B = 5 6; 7 8,求它们的和 A + B。
解题步骤如下:矩阵的加法是对应元素相加,所以 A + B = 1 + 5 2 + 6; 3 + 7 4 + 8 = 6 8; 10 12接下来,考虑一道关于向量线性相关性的问题。
已知向量组 a1 = 1 2 3,a2 = 2 4 6,a3 = 3 6 9,判断它们是否线性相关。
要判断向量组的线性相关性,我们可以通过构建线性方程组来求解。
设存在一组实数 k1,k2,k3,使得 k1a1 + k2a2 + k3a3 = 0。
将向量代入可得:k11 2 3 + k22 4 6 + k33 6 9 = 0 0 0即:1k1 + 2k2 + 3k3 2k1 + 4k2 + 6k3 3k1 + 6k2 + 9k3 = 0 0 0可以得到方程组:k1 + 2k2 + 3k3 = 02k1 + 4k2 + 6k3 = 03k1 + 6k2 + 9k3 = 0通过观察可以发现,第二个方程是第一个方程的两倍,第三个方程是第一个方程的三倍。
这意味着方程之间存在线性关系,存在无穷多组解,所以向量组 a1,a2,a3 线性相关。
再看一道求解线性方程组的习题。
方程组为:x + 2y z = 12x y + 3z = 23x + y + 2z = 3我们可以使用高斯消元法来求解。
•单项选择题2.3. 《线性代数》模拟题(开卷)设A为n阶矩阵,且A 2,贝y 2A (C2n C. 2n 1D. 4 n维向量组2,1, 1, 2,2,2,1, 2, , s(3 s n)线性无关的充要条件是s中任意两个向量都线性无关S中存在一个向量不能用其余向量线性表示s中任一个向量都不能用其余向量线性表示s中不含零向量F列命题中正确的是( D )°A .任意n个n 1维向量线性相关n 1个n维向量线性无关4.5.6.C )°B .任意n个n 1维向量线性无关D .任意n 1个n维向量线性相关任意n元非齐次线性方程组AX=B有唯一解的充要条件是r(A)= n B. r(A)=r(A,B)=n矩阵A的特征值为1,2,3,则其行列式B. 18方阵A与B相似,则下列说法错误的是A .方阵A与B有相同的特征向量C .方阵A与B有相同的行列式C. r(A)=r(A,B)<n 州为(AC. 36B .方阵D .方阵7.三元非齐次线性方程组AX=B的解向量D. r(A)=r(A,B)D. 72A与B有相同的特征值A与B有相同的迹3满足1 2 (1,0,1)T , 2 3 (2,4, 2)T,则其导出组AX=0 的一个解为(A . (1,0,1)T B. (1,2, 1)T C. ( 1, 4,3)T D . (3,4, 1)T.填空题12 0 00 3 0 01.112 0 3 213时,向量组 1 (1,2,1),2(2,k,2)线性相关。
所以A 的特征值为1 2, 2 3 3.X 1 X 2 X 3 0X 1X 2X 3 0只有零解,则应满足2或 =1X 1 X 2X 3 02 •若齐次线性方程组183 .当 k= 44. A11,则 A -1 =0 25 .矩阵A 的特征值分别为1, -1,2,则A 2+2I|= 6.写出二次型 f (x 1,x 2,x 3) x ; 4x ; 2x 21 52 43 __ o 232545X J X 2 4x 1x 3 6x 2x 3对应的对称矩阵三.计算题1.问a 取何值时,下列向量组线性无关?a1 2 1 2解:当1 2a1 2(a 1)(a 1)2 0 时,1 21 2a2 0 02.求A0 3 0 的全部特征值和特征向量。
《线性代数》课后习题答案第一章行列式习题1.11. 证明:(1)首先证明)3(Q 是数域。
因为)3(Q Q ?,所以)3(Q 中至少含有两个复数。
任给两个复数)3(3,32211Q b a b a ∈++,我们有3)()3()3)(3(3)()()3()3(3)()()3()3(21212121221121212211212122 11b a a b b b a a b a b a b b a a b a b a b b a a b a b a +++=++-+-=+-++++=+++。
因为Q 是数域,所以有理数的和、差、积仍然为有理数,所以)3(3)()3()3)(3()3(3)()()3()3()3(3)()()3()3(2121212122112121221 121212211Q b a a b b b a a b a b a Q b b a a b a b a Q b b a a b a b a ∈+++=++∈-+-=+-+∈+++=+++。
如果0322≠+b a ,则必有22,b a 不同时为零,从而0322≠-b a 。
又因为有理数的和、差、积、商仍为有理数,所以)3(33)(3)3()3)(3()3)(3(332222212122222121222222112211Q b a b a a b b a b b a a b a b a b a b a b a b a ∈--+--=-+-+=++。
综上所述,我们有)3(Q 是数域。
(2)类似可证明)(p Q 是数域,这儿p 是一个素数。
(3)下面证明:若q p ,为互异素数,则)()(q Q p Q ?。
(反证法)如果)()(q Qp Q ?,则q b a p Q b a +=?∈?,,从而有q ab qb a p p 2)()(222++==。
由于上式左端是有理数,而q 是无理数,所以必有02=q ab 。
所以有0=a 或0=b 。
长风破浪会有时,直挂云帆济沧海。
住在富人区的她 全文为Word 可编辑,若为PDF 皆为盗版,请谨慎购买! 中国地质大学智慧树知到“计算机科学与技术”《线性代
数》网课测试题答案 (图片大小可自由调整) 第1卷
一.综合考核(共10题)
1.如果一个矩阵的行向量组为正交的单位向量组且为方阵,那么这个矩阵的行列式为1。
()
A.错误
B.正确
2.AX=B 有无穷多解,那么Ax=0有非零解。
() A.错误 B.正确
3.n 阶方阵可逆的充要条件是它的行列式不等于0。
() A.错误 B.正确
4.矩阵A 的行列式不等于零,那么A 的行向量组线性相关。
() A.错误 B.正确
5.合同的两个矩阵的秩一定相等。
() A.错误 B.正确
6.相似的两个矩阵的秩一定相等。
() A.错误 B.正确
7.(1,1,0),(1,0,1),(0,1,1)构成为3维向量空间的一个基。
()
A.错误
B.正确
8.满足A 的平方=A 的n 阶方阵的特征值的和等于1。
()
A.错误
B.正确 9.两个对称矩阵不一定合同。
()
A.错误
B.正确
10.方阵A 和A 的转置有相同的特征值。
()
A.错误
B.正确
第1卷参考答案 一.综合考核
1.参考答案:B
2.参考答案:A
3.参考答案:B
4.参考答案:A
5.参考答案:B
6.参考答案:B
7.参考答案:B
8.参考答案:B
9.参考答案:B
10.参考答案:B。
作业一单选题说明:1. 设多项式,则该多项式的阶数为_____。
(8分)(A) 5(B) 2(C) 3(D) 1参考答案:A2. 下列结论正确的是_____。
(8分)(A) n次多项式必有n个实根(B) 整系数多项式的根都是整数(C) 多项式P(x)与P`(x)互素的充要条件是P(x)没有重因式(D) 5次多项式必有5个复根参考答案:C3.多项式P(x)=x n+2_______。
(8分)(A) 有重因式(B) 没有复根(C) 是不可约的(D) 是本原的参考答案:D4. 对任意实数a,b,c必有实根的多项式是_______。
(8分)参考答案:A5. 排列n(n-1)...321的逆序数是_______。
(8分)参考答案:B(A) 0(B) 6(C) 24(D) -24参考答案:C(A) 0(B) 6(C) 24(D) -24参考答案:C(A) 0(B) 6(C) 24(D) -24参考答案:C9. 两个多项式P(X),Q(X)互素的充分必要条件是_______。
(8分)参考答案:B10.线性方程组x+y=1的解为_______。
x-y=3A x=1,y=1B x=1,y=-1C x=-1,y=1D x=2.y=-1判断题11. 若两个多项式相互整除,则这两个多项式中的任何一个多项式都是另一个多项式的非零常数倍。
(4分)正确错误参考答案:正确解题思路:12. 在复数域上,任何一个N次多项式必有N个零点。
(4分)正确错误参考答案:正确解题思路:13. 互素的两个多项式可以有相同的零点。
(4分)正确错误参考答案:错误解题思路:14. 行列式的行数和列数可以不相等。
(4分)正确错误参考答案:错误解题思路:15. N个自然数1,2,...,N所构成的全排列中,奇排列和偶排列各占一半。
(4分)正确错误参考答案:正确解题思路:作业二单选题说明:1. 线性方程组Ax=b有解的充要条件是_______。
(8分)(A) 向量b可由A的行向量组线性表示(B) 向量b可由A的列向量组线性表示(C) 矩阵A的行向量组线性无关(D) 矩阵A的行列式不为零参考答案:B2. 下列论断不正确的是_______。
《线性代数》作业及参考答案一.单项选择题1.设行列式a aa a11122122=m,a aa a13112321=n,则行列式a a aa a a111213212223++等于()A. m+nB. -(m+n)C. n-mD. m-n2.设矩阵A=100020003⎛⎝⎫⎭⎪⎪⎪,则A-1等于()A.130012001⎛⎝⎫⎭⎪⎪⎪⎪⎪⎪B.100120013⎛⎝⎫⎭⎪⎪⎪⎪⎪⎪C.13000100012⎛⎝⎫⎭⎪⎪⎪⎪⎪D.120013001⎛⎝⎫⎭⎪⎪⎪⎪⎪⎪3.设矩阵A=312101214---⎛⎝⎫⎭⎪⎪⎪,A*是A的伴随矩阵,则A *中位于(1,2)的元素是()A. –6B. 6C. 2D. –24.设A是方阵,如有矩阵关系式AB=AC,则必有()A. A =0B. B≠C时A=0C. A≠0时B=CD. |A|≠0时B=C5.已知3×4矩阵A的行向量组线性无关,则秩(A T)等于()A. 1B. 2C. 3D. 46.设两个向量组α1,α2,…,αs和β1,β2,…,βs均线性相关,则()A.有不全为0的数λ1,λ2,…,λs使λ1α1+λ2α2+…+λsαs=0和λ1β1+λ2β2+…λs βs=0B.有不全为0的数λ1,λ2,…,λs使λ1(α1+β1)+λ2(α2+β2)+…+λs(αs+βs)=0C.有不全为0的数λ1,λ2,…,λs使λ1(α1-β1)+λ2(α2-β2)+…+λs(αs-βs)=0D.有不全为0的数λ1,λ2,…,λs和不全为0的数μ1,μ2,…,μs使λ1α1+λ2α2+…+λsαs=0和μ1β1+μ2β2+…+μsβs=07.设矩阵A的秩为r,则A中()A.所有r-1阶子式都不为0B.所有r-1阶子式全为0C.至少有一个r阶子式不等于0D.所有r阶子式都不为08.设Ax=b是一非齐次线性方程组,η1,η2是其任意2个解,则下列结论错误的是()A.η1+η2是Ax=0的一个解B.12η1+12η2是Ax=b的一个解C.η1-η2是Ax=0的一个解D.2η1-η2是Ax=b的一个解9.设n阶方阵A不可逆,则必有()A.秩(A)<nB.秩(A)=n-1C.A=0D.方程组Ax=0只有零解10.设A是一个n(≥3)阶方阵,下列陈述中正确的是()A.如存在数λ和向量α使Aα=λα,则α是A的属于特征值λ的特征向量B.如存在数λ和非零向量α,使(λE-A)α=0,则λ是A的特征值C.A的2个不同的特征值可以有同一个特征向量D.如λ1,λ2,λ3是A的3个互不相同的特征值,α1,α2,α3依次是A的属于λ1,λ2,λ3的特征向量,则α1,α2,α3有可能线性相关11.设λ0是矩阵A的特征方程的3重根,A的属于λ0的线性无关的特征向量的个数为k,则必有()A. k≤3B. k<3C. k=3D. k>312.设A是正交矩阵,则下列结论错误的是()A.|A|2必为1B.|A|必为1C.A-1=A TD.A的行(列)向量组是正交单位向量组13.设A是实对称矩阵,C是实可逆矩阵,B=C T AC.则()A.A与B相似B. A与B不等价C. A与B有相同的特征值D. A与B合同15.设有矩阵Am×n,Bm×s,Cs×m,则下列运算有意义的是()。
地大《线性代数》在线作业二-0011方阵A和A的转置有相同的特征值.
A:错误
B:正确
答案:B
等价的两个线性无关向量组所含有向量的个数一定相等。
A:错误
B:正确
答案:B
(1,1,0), (1,0,1), (0,1,1)构成为3维向量空间的一个基。
A:错误
B:正确
答案:B
AX=b有无穷多解,那么Ax=0有非零解。
B:正确
答案:A
合同的两个矩阵的秩一定相等
A:错误
B:正确
答案:B
非齐次线性方程组任意两个解之差为对应系数的齐次线性方程组的解。
A:错误
B:正确
答案:B
若AX=0只有零解,那么AX=b有唯一解。
A:错误
B:正确
反对称矩阵的主对角线上的元素和为0
A:错误
B:正确
答案:B
矩阵A的行列式不等于零,那么A的行向量组线性相关。
A:错误
B:正确
答案:A
如果一个矩阵的行向量组为正交的单位向量组且为方阵,那么这个矩阵的行列式为1。
A:错误
B:正确
答案:B。
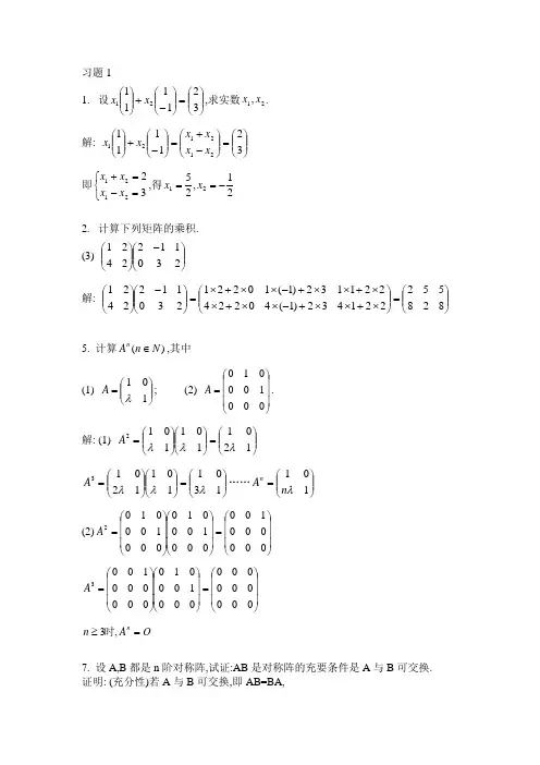
习题11. 设⎪⎪⎭⎫⎝⎛=⎪⎪⎭⎫ ⎝⎛-+⎪⎪⎭⎫ ⎝⎛32111121x x ,求实数21,x x .解: ⎪⎪⎭⎫⎝⎛=⎪⎪⎭⎫ ⎝⎛-+=⎪⎪⎭⎫ ⎝⎛-+⎪⎪⎭⎫ ⎝⎛321111212121x x x x x x 即⎩⎨⎧=-=+322121x x x x ,得21,2521-==x x2. 计算下列矩阵的乘积. (3)⎪⎪⎭⎫⎝⎛-⎪⎪⎭⎫ ⎝⎛2301122421解: ⎪⎪⎭⎫⎝⎛=⎪⎪⎭⎫ ⎝⎛⨯+⨯⨯+-⨯⨯+⨯⨯+⨯⨯+-⨯⨯+⨯=⎪⎪⎭⎫ ⎝⎛-⎪⎪⎭⎫ ⎝⎛828552221432)1(40224221132)1(102212311224215. 计算)(N n A n ∈,其中(1)⎪⎪⎭⎫ ⎝⎛=101λA ; (2) ⎪⎪⎪⎭⎫⎝⎛=000100010A . 解: (1) ⎪⎪⎭⎫ ⎝⎛=⎪⎪⎭⎫ ⎝⎛⎪⎪⎭⎫ ⎝⎛=12011011012λλλA⎪⎪⎭⎫ ⎝⎛=⎪⎪⎭⎫ ⎝⎛⎪⎪⎭⎫ ⎝⎛=130110112013λλλA ……⎪⎪⎭⎫⎝⎛=101λn A n(2)⎪⎪⎪⎭⎫⎝⎛=⎪⎪⎪⎭⎫ ⎝⎛⎪⎪⎪⎭⎫ ⎝⎛=00000100001000100001000102A ⎪⎪⎪⎭⎫⎝⎛=⎪⎪⎪⎭⎫ ⎝⎛⎪⎪⎪⎭⎫ ⎝⎛=0000000000001000100000001003A OA n n=≥,3时7. 设A,B 都是n 阶对称阵,试证:AB 是对称阵的充要条件是A 与B 可交换. 证明: (充分性)若A 与B 可交换,即AB=BA,则AB BA A B AB T T T ===)(,即AB 是对称阵; (必要性)若AB 是对称阵,即AB AB T =)(, 则BA A B AB AB T T T ===)(,即A 与B 可交换11. 当μλ,取何值时,行列式01211111=μμλ. 解: 0)1(12211211111=-=-=---++=λμλμμλμμμλμμμλ01==μλ或12. 计算下列行列式(1) 3120041212132321-解:577042303120232131204230577023213120041212132321-------=------=-=220021003210223116700210032102231577432032102231===------13. 根据下列行列式的特点,选择适当的方法(尽可能简单),计算下列行列式,并将你的计算结果推广到具有相同特点的n 阶行列式.(2)aa a a 01000000100; (4)1234100010001a x a a a x x x +---.解: (1) 按第一行展开242441000001)1(010000)1(0000001000000100a a aa a a a aa a a aa a a -=--=-+=+ 2--n naa n 阶行列式的结果为(4) 按第一列展开101001)1(10011000100014141231234----++--=+---+xxa a x a a x x x a x a a a x x x 4313123414123101)1(1)1()1(1001a xxa a x a x xxa a x a a x x x +---++-=--++--=++43221242313122)1()()1()1(1a x a a x a x x x a xa a x a x x++--+=+--++-=+4322314a x a x a x a x ++++=nn n n a xa xa x n ++++-- 2211阶行列式的结果为14. 利用行列式的性质,证明yxzx z y z y x b a bzay byax bxaz by ax bx az bz ay bxaz bz ay by ax )(33+=+++++++++. 证明:bzay byax bxaz by ax bx az bz ay bxbz bybzay byax bxaz by ax bx az bz ay azay axbzay byax bxaz by ax bx az bz ay bxaz bz ay by ax +++++++++++++=+++++++++bzay byax bxaz ax az ay bx bz by bzay byax bxaz by bx bz az ay ax bz ay by ax bx az ax az ay az ay ax +++++++++++=bzay byax bxaz by bx bz bx bz by ++++bz ay by ax bx az by bx bz bx bz by bz ay by ax bx az by bx bz az ay ax bz ay by ax bx az ax az ay az ay ax +++++++++++=bzbybxby bx bz bx bz byayaxazby bx bz bxbz bybzbybxby bx bz az ay axayaxazby bx bz azay axbz by bxax az ay azay axay ax az ax az ay azay ax +++++=zyxy x z xz yb yxzx z yzy x a 33+=yxzx z y z y xb a )(33+=15. 用克拉默法则解方程组⎪⎩⎪⎨⎧=++=++=++1343122132321321321x x x x x x x x x . 解: 方程组记为Ax=b,其中⎪⎪⎪⎭⎫ ⎝⎛=⎪⎪⎪⎭⎫ ⎝⎛=⎪⎪⎪⎭⎫ ⎝⎛=111,,343122321321b x x x x A方程组有唯一解根据克拉默法则,,02≠==A D2143122121,4313112311,4341121321321==-====D D D 1,2,2332211==-====DD x DD x DD x18. 求下列矩阵的逆阵:(1) ⎪⎪⎪⎭⎫ ⎝⎛--325120112 解: ,102520,53510,83212131211-===--=-=-=A A A,12512,13512,13211232221=-=-=--==---=A A A,4212,2112,31211333231==-=--==-=A A A1,4110215318*-=⎪⎪⎪⎭⎫ ⎝⎛----=A A ⎪⎪⎪⎭⎫⎝⎛-----==-4110215318*1A AA19. 解下列矩阵方程:(1) ⎪⎪⎪⎭⎫⎝⎛-=⎪⎪⎪⎭⎫ ⎝⎛--101201325120112X ; (2) ⎪⎪⎭⎫⎝⎛=⎪⎪⎭⎫ ⎝⎛⎪⎪⎭⎫ ⎝⎛011011433121X 解: (1)⎪⎪⎪⎭⎫⎝⎛--=⎪⎪⎪⎭⎫ ⎝⎛-⎪⎪⎪⎭⎫ ⎝⎛-----=⎪⎪⎪⎭⎫ ⎝⎛-⎪⎪⎪⎭⎫ ⎝⎛--=-38132610120141102153181012013251201121X (2) ⎪⎪⎭⎫⎝⎛--=⎪⎪⎭⎫ ⎝⎛--⎪⎪⎭⎫ ⎝⎛⎪⎪⎭⎫ ⎝⎛--=⎪⎪⎭⎫⎝⎛⎪⎪⎭⎫ ⎝⎛⎪⎪⎭⎫ ⎝⎛=--7217531410110112311430110312111X20. 用逆矩阵解线性方程组⎪⎩⎪⎨⎧=++=++=++1343122132321321321x x x x x x x x x . 解: 方程组记为Ax=b,其中⎪⎪⎪⎭⎫ ⎝⎛=⎪⎪⎪⎭⎫ ⎝⎛=⎪⎪⎪⎭⎫ ⎝⎛=111,,343122321321b x x x x A,,02可逆所以A A D ≠== ⎪⎪⎪⎭⎫⎝⎛-=⎪⎪⎪⎭⎫ ⎝⎛⎪⎪⎪⎭⎫ ⎝⎛----==-1221111112/532/32311b A x即1,2,2321=-==x x x21. 设O A k =(k 为正整数),试证A I -可逆,并求其逆阵. 证明: 由于I A I A A A I A I k k =+=++++--))((12 所以A I -可逆,且121)(--++++=-k A A A I A I22. 设I A A A ≠=且2,试证A 不可逆. 证明: 反证法,假设A 可逆,则A AI AAA AA AAI =====---)(1121与I A ≠矛盾,所以A 不可逆23. 设0≠=a A ,求*A 的行列式. 解: 0≠=a A ,A 可逆aAAa I AA I AA1,1,,1111====----111*11*1,-----======n nnaaaAaaA AaA A A A26. 设A,B 都是可逆方阵,试证⎪⎪⎭⎫⎝⎛O BA O 可逆,并求其逆阵. 证明: 设I AX X XX X X =⎪⎪⎭⎫⎝⎛=且4321,则 ⎪⎪⎭⎫⎝⎛=⎪⎪⎭⎫ ⎝⎛=⎪⎪⎭⎫ ⎝⎛⎪⎪⎭⎫ ⎝⎛I O O IBX BX AX AX X X X X O B A O 21434321对应子块相等,IBXO BX O AXI AX ====2143,,,OXAX BXO X ====--413121,,,即⎪⎪⎭⎫⎝⎛O B A O 可逆,其逆阵为⎪⎪⎭⎫⎝⎛--O A BO 11。
中国地质大学远程与继续教育学院线性代数(专升本)阶段性作业3单项选择题1. 个维向量构成旳向量组必然_____.(5分)(A) : 线性无关(B) : 线性有关(C) : 部分无关(D) : 部分有关参照答案: A2.设向量假如是旳线性组合,则是_____.(5分)(A) :(B) :(C) :(D) :参照答案: B3.设线性有关,则_____.(5分)(A) : 1(B) : 2(C) : 4(D) : 5参照答案: A4.设,其中是任意实数,则有_____.(5分)(A) :总线性有关(B) :总线性有关(C) :总线性无关(D) :总线性无关参照答案: C5.若维向量组线性有关,为任一维向量,则_____.(5分)(A) : 线性有关(B) : 线性无关(C) : 线性有关性不定(D) : 中一定有零向量参照答案: A6. 维向量组( )线性无关旳充足必要条件是_____.(4分)(A) : 存在一组不全为零旳数, 使(B) : 中任意两个向量都线性无关(C) : 中存在一种向量不能由其他向量线性表达(D) : 中任意一种向量都不能由其他向量线性表达参照答案: D7. 为4阶方阵,且,则中_____.(4分)(A) : 必有一列全为0(B) : 必有一列是其他列向量旳线性组合(C) : 必有两列对应成比例(D) : 其中任意一列是其他列向量旳线性组合参照答案: B8.设均为维向量,下列结论不对旳旳是_____.(4分)(A) :若对于任意一组不全为零旳数, 均有, 则线性无关(B) : 若线性有关, 则对于任意一组不全为零旳数, 均有(C) : 线性无关旳充足必要条件是此向量组旳秩为(D) : 线性无关旳必要条件是其中任意两个向量线性无关参照答案: B9.设有两个维向量组和均线性无关,则向量组_____.(4分)(A) :线性有关(B) : 线性无关(C) : 也许线性有关也也许线性无关(D) : 既不线性有关, 也不线性无关参照答案: C10.设向量组线性无关,则下列向量组中,线性无关旳是_____.(4分)(A) :(B) :(C) :(D) :参照答案: B11.设向量组I: 可由向量组Ⅱ: 线性表达,则_____.(4分)(A) :当时, 向量组II必线性有关(B) : 当时, 向量组II必线性有关(C) : 当时, 向量组I必线性有关(D) : 当时, 向量组I必线性有关参照答案: D12.设向量组线性无关,线性有关,则_____对旳.(4分)(A) :可由线性表达(B) : 不能由线性表达(C) : 可由线性表达(D) : 不可由线性表达参照答案: C13.设为满足旳任意两个非零矩阵,则必有_____.(4分)(A) : 旳列向量组线性有关, 旳行向量组线性有关(B) : 旳列向量组线性有关, 旳列向量组线性有关(C) : 旳行向量组线性有关, 旳行向量组线性有关(D) : 旳行向量组线性有关, 旳列向量组线性有关参照答案: A14.向量组,,,旳极大线性无关组共有_____.(4分)(A) : 2个(B) : 3个(C) : 4个(D) : 6个参照答案: A15.假如,则_____对旳.(4分)(A) : 旳一种部分组假如包括向量个数不超过4, 则一定线性无关(B) : 是旳一种极大线性无关组(C) :假如旳一种部分组无关, 则它包括旳向量个数一定不超过4(D) : 旳线性有关部分组一定具有多于4个向量参照答案: C填空题参照答案: 有关16.若某向量组中具有零向量, 则该向量组线性___(1)__..(5分)(1).参照答案: 有关17.若某向量组中有两个向量对应成比例, 则该向量组线性___(2)__..(5分)(1).参照答案: 有关18.向量组线性___(3)__..(5分)(1).参照答案: 有关19.设有向量组, 又, ,, 则向量..线性___(4)__..(5分)(1).参照答案: 有关20.若向量组线性有关,则向量组, , 线性___(5)__..(5分)(1).参照答案: 3 21.设, 旳列向量组线性无关, 则___(6)__..(5分)(1).22.设向量组, ..线性参照答案: 无关___(7)__..(5分)(1).。
2018年春本科电气工程及其自动化线性代数在线作业答案答案:3口]砌 a 2盘i 丰 5如果 兔纠爲 二懒$贝!1 2\ 一込 2&j5 ci 5B. 一6轉;+■'D- —2?罗 ffit o答案E1 x x xX 1 X X兀 JY 1 X ± --------JT X 1A ;(打+纽-胖B ・S+RQ-疔 答案C2 14 15 06 21 2 3 2 = ---------6-242 (A)AC 贝i] B^C (5) AS= Q,则制“或01 = 0 «r){Afff = A r B T 答案B(D)(山十5)W-3)=^2-?< 设迪阶矩阵虫,百和C,则下列说法正确的是1 甲{}五阶行列式沪 3 1 1 ■43 3 I 0 34 53 31 12 32 1则比1+4心+斗3+则*= __________ 答案0 CI (3A + 1)(1 — D ・(4』十 L)[l - x)"答案:0若r 二0厕X = ______________________ -2 xA・-1, 2 C. 0 , 2 D. 0, -2答案E乩向量组叫灼灼j%的妙2和一个最大无去组力巾2B”向量组码屁角風的惫为 < 和一个最犬无去组5典"c-向壑恥,气灼佻的財3和一个最大亦羔組咛旳冋D.向量组如旳吧网的联为3和一个最大无麴■即叫竹十答案E已扣向量组鬥卫小宓线性无关,坊=2卑4■(切^ = 3a( +a t}=Oy+4otj ;贝I________ 证明向量组£\AA线性无关•A・向量组*小线性无关. B・向量组知虹毎线性相关・C-问量组歼岛离部分线性相关.D.无法刘缺答案A设広罡非齐次我性方程组的解,0是直鼬須严“的解,PUT^论正确的是『( ) A. 8 + B是Av=fr的解 B .任亠&是_4*0的解C. fi-a^Ajc=b的睥D. BL~是-4=。
线性代数习题参考答案(总96页)-CAL-FENGHAI.-(YICAI)-Company One1-CAL-本页仅作为文档封面,使用请直接删除第一章行列式§1 行列式的概念1.填空(1) 排列6427531的逆序数为,该排列为排列。
(2) i = ,j = 时,排列1274i56j9为偶排列。
(3) n阶行列式由项的代数和组成,其中每一项为行列式中位于不同行不同列的n个元素的乘积,若将每一项的各元素所在行标按自然顺序排列,那么列标构成一个n元排列。
若该排列为奇排列,则该项的符号为号;若为偶排列,该项的符号为号。
(4) 在6阶行列式中,含152332445166a a a a a a的项的符号为,含324314516625a a a a a a的项的符号为。
2.用行列式的定义计算下列行列式的值(1)112223323300 0aa aa a解:该行列式的3!项展开式中,有项不为零,它们分别为,所以行列式的值为。
(2)12,121,21,11, 12,100000nn nn n n n n n n n n nnaa aa a aa a a a------解:该行列式展开式中唯一不可能为0的项是,而它的逆序数是,故行列式值为。
3.证明:在全部n 元排列中,奇排列数与偶排列数相等。
证明:n 元排列共有!n 个,设其中奇排列数有1n 个,偶排列数为2n 个。
对于任意奇排列,交换其任意两个元的位置,就变成偶排列,故一个奇排列与许多偶排列对应,所以有1n 2n ,同理得2n 1n ,所以1n2n 。
4.若一个n 阶行列式中等于0的元素个数比n n -2多,则此行列式为0,为什么 5.n 阶行列式中,若负项的个数为偶数,则n 至少为多少(提示:利用3题的结果) 6.利用对角线法则计算下列三阶行列式(1)21141183---(2)222111ab c a b c§2 行列式的性质1.利用行列式的性质计算系列行列式。
1. 若是五阶行列式中带有正号的一项,则之值应为_____。
(5分)(A) :(B) :(C) :(D) :参考答案:C2. 设六阶行列式,则_____为中带负号的项.(5分)(A) :(B) :(C) :(D) :参考答案:B3. 对行列式做_____种变换不改变行列式的值。
(5分)(A) 互换两行(B) 非零数乘某一行(C) 某行某列互换(D) 非零数乘某一行加到另外一行参考答案:D4. _____是行列式为零的充分条件.(5分)(A) : 零元素的个数大于(B) : 中各行元素之和为零(C) : 主对角线上元素全为零(D) : 次对角线上元素全为零参考答案:B5. _____是实行列式非零的充分条件.(4分)(A) : 中所有元素非零(B) : 中至少有个元素非零(C) : 中任意两行元素之间不成比例(D) : 非零行的各元素的代数余子式与对应的元素相等参考答案:D6. 设阶行列式,则的必要条件是_____。
(4分)(A) : 中有两行(或列)元素对应成比例(B) : 中有一行(或列)元素全为零(C) : 中各列元素之和为零(D) : 以为系数行列式的齐次线性方程组有非零解参考答案:D7. 行列式_____。
(4分)(A) :(B)(C) :(D)参考答案:D8. 四阶行列式_____。
(4分)(A) :(B) :(C) :(D) :参考答案:D9. 如果,而,则_____。
(4分)(A) :(B) :(C) :(D) :参考答案:B10. 如果,而,则_____。
(4分)(A) :(B) :(C) :(D) :参考答案:B11. 与行列式等值的行列式为_____。
(4分)(A) :(B) :(C) :(D) :参考答案:C12. 已知,则_____。
(4分)(A) :(B) :(C) :(D) :参考答案:C13. 若行列式,则_____。
(4分)(A) : -2(B) : -1(C) : 1(D) : 2参考答案:B14. 设,则方程的三个根为_____。
习题 1.11.对一组整数进行四则运算,所得结果是什么数解 (1)整数相加得到整数;(2)整数相减得到整数;(3)整数相乘得到整数;(4)整数相除得到的是有理数。
所以对一组整数进行四则运算得到的是有理数。
2.写出4个数码1, 2, 3, 4的所有4阶排列.分析 4阶排列是指由1, 2, 3, 4构成的有序的数组, 共有4!个, 每个数字必须出现且只能出现一次, 具体做法可以是先确定排在第一位的数, 比如为1, 然后排第二位的数分别为2, 3, 4, 接着排第三位、第四位的数.解 1234 1243 1324 1342 1423 14322134 2143 2314 2341 2413 24313124 3142 3214 3241 3412 34214123 4132 4213 4231 4312 43213.分别计算下列四个4阶排列的逆序数, 然后指出奇排列是( A )(A )4312; (B )4132; (C )1342; (D )2314分析 计算排列逆序数的方法有两种:方法一 12111()()n i i i i i ττ=后面比小的数的个数+222()i i τ后面比小的数的个数++111()n n n i i τ---后面比小的数的个数方法二 1前面比1大的数的个数+2前面比2大的数的个数++(1)n -前面比1n -大的数的个数.逆序数是奇数的称为奇排列,逆序数是偶数的成为偶排列.解 按方法一计算:(4312)325τ=+= 奇排列(4132)314τ=+= 偶排列(1342)112τ=+= 偶排列(2314)112τ=+= 偶排列 故选A.4.计算以下各个排列的逆序数, 并指出它们的奇偶性:(1)314265;(2)314265789;(3)542391786;(4)987654321;(5)246813579;(6)(1)21n n -.解 按习题3分析中的方法一计算:(1)(314265)2114τ=++= 偶排列(2)(314265789)2114τ=++= 偶排列(3)(542391786)431141115τ=++++++= 奇排列(4)(987654321)8765432136τ=+++++++= 偶排列(5)(246813579)123410τ=+++= 偶排列(6)1((1)21)(1)(2)21(1)2n n n n n n τ-=-+-+++=-, 这表明该排列的逆序数与n 有关, 故要对n 进行讨论:当4,41n k k =+时1(1)2n n -为偶数,此时排列(1)21n n -.为偶排列; 当42,43n k k =++时1(1)2n n -为奇数,此时排列(1)21n n -.为奇排列.5.在由1, 2, 3, 4, 5, 6, 7, 8, 9组成的下述9阶排列中, 选择i j 与使得:(1)2147958i j 为偶排列; (2)1254896i j 为奇排列;(3)4125769i j 偶排列; (3)3142786i j 奇排列.均要求说明理由. 分析 排列1254896i j 中的两个未知数i j 与据排列的定义只能取3或7. 因而只有两种情况:1132574896与2172534896,然而我们只需计算上述的一个排列就可得知结果,因为1与2是3和7作一次对换得到的,而作一次对换必改变排列的奇偶性,也就是说若1为偶排列, 则2必为奇排列. 其余题解法也类似.解 (1)取3,6i j ==有(214739568)11226τ=+++=为偶排列, 符合题目要求.(2)取3,7i j ==有(132574896)112116τ=++++=为偶排列, 故取7,3i j ==时172534896为奇排列, 符合题目要求.(3)取3,8i j ==有(412357698)3115τ=++=为偶排列,符合题目要求.(4)取5,9i j ==有(531429786)42131112τ=+++++=为偶排列. 故取9,5i j ==时931425786为奇排列, 符合题目要求.6.写出全体形如52253*****及的5阶排列.总结一下,有k 个位置数码给定的()n n k >阶排列有多少个?分析 形如52***的5阶排列中5和2的位置已经确定,3个*位置只能取数字1,3,4中的某一个.解 形如52***的5阶排列中第一个*可取1,3,4中的任何一个,故有3种取法,第二个*可取剩下数字当中的任一个,有两种取法,最后一个*只能取余下的那一个数,据乘法原理共有3213!⨯⨯=种取法,即形如52***的阶排列有(5-2)!个. 同理形如253**的阶排列共有(5-3)!个. 因而,有k 个位置数码给定的()n n k >阶排列有()!n k -个.7.自学附录一:连加号.∑∏与连乘号。
线性代数(专升本)阶段性作业4 单选题1. 齐次线性方程组解的情况是_____.(5分)(A) 无解(B) 仅有零解(C) 必有非零解(D) 可能有非零解,也可能没有非零解参考答案:C2. 元齐次线性方程组有非零解的充分必要条件是_____.(5分)(A) :(B) :(C) :(D) :参考答案:B3. 设是矩阵,是矩阵,则线性方程组_____.(5分)(A) :当时仅有零解(B) : 当时必有非零解(C) : 当时仅有零解(D) : 当时必有非零解参考答案:D4. 要使,都是线性方程组的解,只要为_____.(5分)(A) :(B) :(C) :(D) :参考答案:A5. 设元齐次线性方程组的系数矩阵的秩,且为此方程组的三个线性无关的解,则此方程组的基础解系是_____.(5分)(A) :(B) :(C) :(D) :参考答案:A6. 已知矩阵的秩为,和是齐次线性方程组的两个不同的解,为任意常数,则方程组的通解为_____.(5分)(A) :(B) :(C) :(D) :参考答案:D7. 设是矩阵,则下列命题正确的是_____.(5分)(A) : 若,则有唯一解(B) : 若,则有无穷多组解(C) : 若,则有解(D) : 若,则有解参考答案:D8. 已知是的两个不同的解,是相应齐次方程组的基础解系,为任意常数,则的通解是_____.(5分)(A) :(B) :(C) :(D) :参考答案:B9. 若阶方阵的两个不同的特征值所对应的特征向量分别是和,则_____.(4分)(A) : 和线性相关(B) : 和线性无关(C) : 和正交(D) : 和的内积等于零参考答案:B10. 设是的特征值,则_____.(4分)(A) : 0(B) : 5(C) : 10(D) : 15参考答案:D11. 设三阶矩阵的特征值为,则_____.(4分)(A) : -4(B) : -15(C) : 4(D) : 15参考答案:A12. 设矩阵与相似,则下列说法不正确的是_____.(4分)(A) : 秩=秩(B) :(C) :(D) : 与有相同的特征值参考答案:B13. 阶方阵具有个线性无关的特征向量是与对角矩阵相似的_____条件.(4分)(A) : 充分(B) : 必要(C) : 既充分又必要(D) : 既不充分也不必要参考答案:C14. 阶方阵与对角矩阵相似的充分必要条件是_____.(4分)(A) : 矩阵有个特征值(B) : 矩阵有个线性无关的特征向量(C) : 矩阵的行列式(D) : 矩阵的特征多项式没有重根参考答案:B15. 下面的矩阵中哪一个是二次型的矩阵_____.(4分)(A) :(B) :(C) :(D) :参考答案:C填空题16. 设方程有无穷多个解,则___(1)___ .(4分)(1). 参考答案: -217. 如果每一个维列向量都是齐次线性方程组的解,则系数矩阵的秩___(2)___ .(4分)(1). 参考答案: 018. 矩阵的非零特征值是___(3)___ .(4分) (1). 参考答案: 419. 若矩阵与相似,则___(4)___ ,___(5)___ .(4分)(1). 参考答案: 0(2). 参考答案: 120. 阶方阵具有个线性无关的特征向量是与对角矩阵相似的___(6)___ 条件.(4分)(1). 参考答案: 充分必要21. 已知为的特征向量,则___(7)___ ,___(8)___ .(4分)(1). 参考答案: 负三(2). 参考答案: 零22. 已知三阶方阵的特征值为,则___(9)___ .(4分)(1). 参考答案: 1623. 二次型是正定的充分必要条件是实对称矩阵的特征值都是___(10)___ .(4分)(1). 参考答案: 正数。