第7章 共轭梯度法
- 格式:pptx
- 大小:567.04 KB
- 文档页数:2
共轭梯度法公式
共轭梯度法是一种用于求解线性方程组的迭代算法。
其主要思想是通过利用前一次迭代的信息来加速当前迭代的速度,从而减少迭代次数和计算量。
共轭梯度法公式包括以下几个步骤:
1. 初始化:设初始解为x0,残量b0为Ax0-b,共轭方向d0=b0。
2. 迭代求解:对于第k次迭代,计算步长αk,使得xk+1=xk+αkd,其中d是共轭方向,满足dTkAd=0,即d是A的共轭向量。
3. 更新残量:计算新的残量bk+1=Axk+1-b,如果bk+1小于预设精度,则停止迭代。
4. 更新共轭方向:计算新的共轭方向dk+1=bk+1+βkdk,其中βk=(bk+1)Tbk+1/(bk)Tbk,保证dk+1与之前的共轭方向都是A的共轭向量。
5. 重复迭代,直到满足收敛条件,返回最终解xk+1。
共轭梯度法是一种高效的求解大型线性方程组的方法,尤其适用于稀疏矩阵和对称正定矩阵。
公式简单易懂,容易实现,且具有较快的收敛速度。
- 1 -。
共轭梯度法步骤共轭梯度法是一种求解线性方程组的迭代算法,它以高效稳定的特点而广受欢迎。
以下是共轭梯度法的步骤:步骤1:初始化首先,我们需要有一个初始向量x0和一个初始残量r0=b-Ax0。
其中,A为系数矩阵,b为常数向量。
步骤2:计算方向向量令d0=r0,表示第一次迭代的方向向量。
步骤3:计算步进长度令α0=(r0·r0)/(d0·Ad0),其中·表示向量的点积。
α0表示迭代过程中每个方向向量的步进长度。
步骤4:更新解向量令x1=x0+α0d0,表示迭代后的解向量。
步骤5:计算新残量令r1=r0-α0Ad0。
步骤6:判断终止条件如果r1的范数小于预设阈值,或者迭代次数达到预设次数,终止迭代。
否则,进入下一次迭代。
步骤7:更新方向向量令β1=(r1·r1)/(r0·r0),表示更新方向向量的轴线。
步骤8:计算新方向向量令d1=r1+β1d0,表示新的迭代方向向量。
步骤9:计算新的步进长度令α1=(r1·r1)/(d1·Ad1)。
步骤10:更新解向量令x2=x1+α1d1。
步骤11:更新残量令r2=r1-α1Ad1。
步骤12:重复步骤6至11,直至满足终止条件。
总结起来,共轭梯度法的步骤主要包括初始化、计算方向向量、计算步进长度、更新解向量、计算新残量、判断终止条件、更新方向向量、计算新的步进长度、更新解向量和更新残量等。
该算法迭代次数较少,收敛速度快,适用于大规模线性方程组的求解。
共轭梯度法原理共轭梯度法是线性代数中一种求解稀疏矩阵下的大规模线性方程组的方法。
它的优点是它具有迭代次数小的特点,同时也能得到比较准确的解。
共轭梯度法基于梯度下降法,但是避免了梯度下降法的缺点。
梯度下降法每一次迭代都需计算整个向量的梯度,这在高纬度数据中非常复杂,同时使用步长较大时又容易产生来回震荡的现象。
共轭梯度法的优点是在每一次迭代都会寻找一个与上次方向不同的方向,这点可以消除梯度下降法的缺陷。
令A为若干个线性矩阵的乘积,如果我们要解矩阵方程Ax=b,其中b是已知向量,求解的x向量是未知向量。
首先,我们可以用梯度下降法求出一个初值向量x0,称之为迭代初始值。
然后,我们可以利用高斯打乘法和高斯消元得到向量P,并设向量R0=Ax0-b,然后再设P逆矩阵为Pt。
共轭梯度法迭代的主要步骤如下:1. 根据目标函数和梯度函数确定初值x0;2. 初始化残差向量r0=b-Ax0,并设置迭代数k=0;3. 设置搜索方向向量p0=r0;4. 使用一维搜索方法(如Armijo步长准则)寻找最优步长αk;5. 将搜索方向向量移动到新的位置:xk+1=xk+αkp,计算新的残差rk+1=rk+αkAp;6. 如果rk+1=0或者迭代次数已达到设定值,则停止迭代;否则:7. 确定下一个搜索方向pk+1,并重复步骤4-6直到满足收敛条件。
共轭梯度法迭代的优点是每一步都在原解空间的一个线性子空间中求解,因此不需要保存全部解向量,从而大大减少了计算量和存储空间,特别适用于高纬度的线性方程组的求解。
在参数优化、图像处理和物理模拟等领域中广泛应用。
在参数优化中,共轭梯度法可以加速大规模函数的梯度计算,从而加快参数搜索的速度;在图像处理中,共轭梯度法常用于求解稀疏线性系统,例如图像压缩、图像去噪和图像恢复等;在物理模拟中,共轭梯度法可以用于求解偏微分方程组、流体力学问题和计算机视觉等领域。
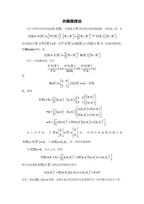
共轭梯度法公式推导一、问题的提出与预备知识。
1. 二次函数的极小化问题。
- 考虑二次函数f(x)=(1)/(2)x^TAx - b^Tx + c,其中A是n× n对称正定矩阵,x,b∈ R^n,c∈ R。
- 对f(x)求梯度∇ f(x)=Ax - b。
- 求f(x)的极小值点,即求解Ax = b。
2. 共轭方向的概念。
- 设A是对称正定矩阵,若对于非零向量d_1,d_2∈ R^n,满足d_1^TAd_2 = 0,则称d_1和d_2是A - 共轭的(或A - 正交的)。
二、共轭梯度法的基本思想。
1. 迭代格式。
- 共轭梯度法是一种迭代算法,其基本迭代格式为x_k + 1=x_k+α_kd_k,其中x_k是第k次迭代的近似解,α_k是步长,d_k是搜索方向。
2. 确定步长α_k- 为了使f(x_k+1)最小,将x_k + 1=x_k+α_kd_k代入f(x)中,得到f(x_k+α_kd_k)=(1)/(2)(x_k+α_kd_k)^TA(x_k+α_kd_k)-b^T(x_k+α_kd_k)+c。
- 对α_k求导并令其为0,可得α_k=((r_k)^Td_k)/((d_k)^TAd_k),其中r_k = b - Ax_k=∇ f(x_k)。
三、搜索方向d_k的确定。
1. 初始搜索方向。
- 取d_0=-r_0,其中r_0 = b - Ax_0,x_0是初始近似解。
2. 后续搜索方向。
- 对于k≥1,d_k=-r_k+β_k - 1d_k - 1,其中β_k-1=frac{(r_k)^TAd_k - 1}{(d_k - 1)^TAd_k - 1}。
- 下面推导β_k - 1的表达式:- 因为d_k - 1和d_k是A - 共轭的,所以d_k - 1^TAd_k = 0。
- 将d_k=-r_k+β_k - 1d_k - 1代入d_k - 1^TAd_k = 0,得到d_k - 1^TAd_k=-d_k - 1^TAr_k+β_k - 1d_k - 1^TAd_k - 1=0。
共轭梯度法:设w 为n 维矢量,假设优化准则函数为二次函数:()t t J c =++w w Hw u w ,其中H 为n n ⨯的正定对称矩阵。
如果两个矢量,i j d d 满足0ti j =d Hd ,则称它们关于矩阵H 互为共轭。
在n 为空间中存在互为共轭的n 个矢量01,,n -d d ,并且它们是线性无关的。
证明沿共轭方向可以在n 步之内收敛于极值点共轭方向算法:1、 初始化起始点0w ,一组共轭矢量01,,n -d d ,0k =;2、 计算k α和1k +w ,使得:()()min k k k k k J J ααα+=+w d w d 1k k k k α+=+w w d3、 转到2,直到k=n-1为止。
定理:对于正定二次优化函数()J w ,如果按照共轭方向进行搜索,至多经过n 步精确的线性搜索可以终止;并且每一个1i +w 都是在0w 和方向0,,i d d 所张成的线性流形00i j j j α=⎧⎫=+⎨⎬⎩⎭∑w w w d 中的极值点。
证明:令i g 为第i 步的梯度,即:()i i J ==∇w w g w ,上述定理实际上只需证明对j i ∀≤,10ti j +=g d 即可,因为1i +g 正交于0,,i d d ,则1i +g 正交于它们所张成的线性流形,100ii j j j α+==+∑w w d 包含在此线性流形中,因此在此线性流形中()J w 的梯度为0,即1i +w 为在线性流形上的极值点。
当1i n +=时,01,,n -d d 所张成的线性流形即为整个n 维空间n R ,只有当n =g 0时,才有0tn j =g d 成立,因此n w 为极值点。
梯度()J =∇=+g w Hw u ,因此两次迭代之间梯度的差值矢量为:()11k k k k k k k α++=-=-=y g g H w w Hd对于j i ∀<:()111111111tt tttt ti j i j i j i j i j i j j ji t t j j k k j k j i tt j j k k j k j α++-+++=++=+=-+-+-+=+-=+∑∑g d g d g d g d g d g d g d g d g g d g d d Hd因为1k +w 是沿着j d 方向搜索的极值点,因此10tj j +=g d ,而0,,i d d 互为共轭,所以有10i t k k j k j α=+=∑d Hd ,因此:10ti j +=g d上述定理得证。
共轭梯度法详细解读
嘿,朋友们!今天咱就来好好唠唠共轭梯度法。
你想想啊,咱平常解决问题就像走迷宫似的,有时候会在里面转来转去找不到出路,而共轭梯度法呀,就像是在迷宫里给咱指了一条明路!比如说你想找一条最快从山这头到那头的路,共轭梯度法就能帮上大忙啦!
它可不是随随便便就出现的哦,那可是数学家们绞尽脑汁研究出来的宝贝呢!就好比一个超级英雄,专门来打救我们这些在复杂问题里苦苦挣扎的人。
在实际应用里,它可厉害着呢!比如说在工程计算中,要设计一个最完美的结构,共轭梯度法就能迅速算出最优解。
哇塞,这不就相当于有个超厉害的军师在帮咱出谋划策嘛!
你再想想,我们日常生活中很多事情都可以类比成用共轭梯度法来解决问题呀。
比如说你要规划一次旅行,怎么安排路线最合理,不就是在找那个最优的旅行路径嘛,这时候共轭梯度法的思路就能派上用场啦!它就像一个隐藏在幕后的高手,默默地为我们排忧解难。
而且哦,一旦你掌握了它,那种感觉就像是你突然掌握了一种绝世武功,能在各种难题面前游刃有余。
这可太酷了吧!
哎呀呀,共轭梯度法真的是太神奇、太有用啦!大家可一定要好好去了
解它、运用它呀,你绝对会被它的魅力折服的!相信我,没错的!。
共轭梯度法及其基本性质预备知识定义1设吐竺是对称正定矩阵。
称回凹是A-共轭的,是指況如=0, Pl Ap^ > o p p^Apy >0性质1设有怡久…化⑶s )l 是彼此共轭的即维向量,即则鬥心諾一定是线性无关的[证明]若有一组数1% ■…心討满足则对一切P=°」旳一定有是线性无关的.性质2 设向量国"弧…厨諾是线性无关的向量组,则可通过它们的线性组合得出一组向量 冋丿“…护討,而|円貯,…申詞是两两共轭的.[证明]我们用构造法来证实上面的结论.T_注意到腕弘由此得出:Cfj = O.j即所有的区1=0 .因此,%珂十…+ %P 純^ = Pi + ・・・ +=应住;^Pi r容易验证:列…&胡符合性质2的要求.性质3设1%几…护』是两两A —共轭的,怜已必 是任意指定的向量,那么 从囲出发,逐次沿方向 应1「…化|搜索求际/加-能旬的极小值,所得序列k"i ,满足:[证明]由下山算法可知,从 二出发,沿2方向搜索,获得从而取 Pl 二 El +%弘Jt-iZ =心+乞碍耳,id性质4设 兀乃;匚几-』是两两A 共轭的,则从任意指定的注門出发,依次 沿弘山「'"MI 搜索,所得序列kJz 满足:(1)(2) 或,其中曰是方程组(5.1.1)的解.[证明](1)是性质3的直接推论,显然成立.(2)由于是两两A 共轭的,故血“,…申”11是线性无关的.所 以对于向量卜一咄可用…申』线性表出,即存在一组数Rof ■经J 使,得出F] P\由于于是,再由得出M-l木=心+乞爲P于是 ---------- 旦 ---- ,与得出 也旦一样地,我们可以陆续得出:对比区]和的表达式可知,I©二兀证明完毕性质4是性质3的直接推论.但它给出了一种求(5 . 1. 1)的算法,这种 算法称之为共轭方向法•结合性质2,我们可以得到如下的性质5.性质5设 陽卧…是丽上的一组线性无关的向量,则从任意指定的S2:计算显然:根据性质4可知,不论采用什么方法,只要能够构造 个两两A 共轭的向量作为搜索方向,从任一初始向量出发,依次沿两两A 共轭的方向进行搜索, 经門 步迭代后,便可得到正定方程组匡可的解.nM-l -T A久一1如一,得出 心二 U+ 计算 出发,按以下迭代产生的序列®二环+%肌.-------------------------------------------------- ?,得出应二咼+冏輕I;如此进行下去,直到第n 步:(521 )共轭梯度法算法步骤如下:[预置步]任意 如三兰I ,计算并令取:肚込J 指定算法终 止常数置肛=D |,讲入主步;[主步](1)如果%终止算法,输出丈列;否则下行;上rL^Apj, r(3) 计算:(4) 置出弓丘可,转入(1)定理5 .2.1由共轭梯度法得到的向量组丄和二具有如下性质:[证明]用归纳法•当时,因为(2)计算:Po 二巾” h 二円二G+A J F U---------------------------------------------------------------------------------------------------------------------------------------------------- ?卩詁=耐广1 = M (% - %期0)=币6 —Cfp;山刊=5= 01 +几巩)孑禺=X占心-因此定理的结论成立.现在假设定理的结论对冋成立,我们来证明其对曰也成立.利用等式n】二G 一及归纳假设,有P訂如二於%- %云旳\二0 OWi三上1.又由于故定理的结论(1)对比+ 1|成立.利用归纳假定有如毗•・・・/』=零诚% TvPtK而由(1)所证知,二与上述子空间正交,从而有定理的结论(2)对 __ 也成立.利用等式p如二厂屏1+久刃|和二疗.丐母)并利用归纳法假定和(2)所证之结论,就有=丄咕仮一加)+屁分如「心CU…上-1成立;而由円的定义得这样,定理的结论(3)对U也成立.由归纳法假定知进而再注意到(2)和(3)所证的结论表明,向量组hf 宀j和”"戸“1'"险1 都是线性无关的,因此定理的结论(4)对匸U同样成立.定理证毕定理521表明,向量「「引和|弘,W「珂|分别是Krylov子空间空如匕也的正交基和共轭正交基.由此可见,共轭梯度法最多明步便可得到方程组的解二.因此,理论上来讲,共轭梯度法是直接法.定理5.2.2 用共轭梯度法计算得到的近似解U满足义的Krylov子空间.证明注意到:”⑶斗疋也=広一忌)。
共轭梯度法(Conjugate Gradient Method)总结1. 引言共轭梯度法是一种用于求解线性方程组或优化问题的迭代算法。
它在大规模问题上具有较高的效率和收敛速度,并且不需要存储完整的矩阵。
共轭梯度法最早由Hestenes和Stiefel于1952年提出,后来经过多次改进和推广,成为求解稀疏线性方程组和优化问题的重要工具。
2. 基本原理共轭梯度法的基本思想是利用共轭方向的性质,通过一系列迭代来逼近最优解。
对于一个对称正定矩阵A和一个向量b,我们希望找到一个向量x使得Ax=b成立。
通过引入残差r=b-Ax,我们可以将问题转化为求解残差最小化的问题。
定义两个向量d和g满足以下关系:d_i^TAd_j=0 (i≠j),则称d_i与d_j是关于矩阵A共轭的。
在每次迭代中,选择与之前所有搜索方向都共轭的搜索方向,并沿着该方向进行搜索。
3. 算法流程步骤1:初始化给定初始解x_0,计算初始残差r_0=b-Ax_0,并令搜索方向d_0等于r_0。
步骤2:迭代重复以下步骤直到满足收敛条件: - 计算当前搜索方向的梯度g_k=Ad_k。
- 计算步长alpha_k=r_k Tr_k/(d_k TAd_k)。
- 更新解x_{k+1}=x_k+alpha_k d_k。
- 更新残差r_{k+1}=r_k-alpha_k Ad_k。
- 计算新的搜索方向d_{k+1}=r_{k+1}+beta_{k+1}d_k,其中beta_{k+1}=r_{k+1}^T r_{k+1}/(r_k^T*r_k)。
步骤3:输出结果返回近似解x。
4. 关键观点和发现共轭梯度法具有以下几个关键观点和发现: - 共轭方向的选择:在每次迭代中,选择与之前所有搜索方向都共轭的搜索方向。
这样可以保证每次迭代都能沿着一个新的、不再相关的搜索方向前进,从而避免了无谓的震荡和重复计算。
- 最优解性质:对于一个n维问题,共轭梯度法最多需要n步就可以达到最优解,即解决了一个n维线性方程组的问题。
共轭梯度法原理共轭梯度法是一种用于求解大型稀疏线性方程组的优化算法。
它是一种迭代法,通过寻找一个搜索方向,并在该方向上进行搜索,逐步逼近最优解。
共轭梯度法在优化问题中有着广泛的应用,尤其在求解大规模线性方程组时表现出色。
共轭梯度法的原理可以从最小化函数的角度进行解释。
假设我们要最小化一个二次函数f(x),其中x是一个n维向量。
共轭梯度法的目标是找到一个搜索方向d,使得沿着这个方向移动能够让函数值最小化。
在每一步迭代中,我们需要找到一个合适的步长α,使得沿着搜索方向d移动后能够使函数值减小最快。
共轭梯度法的核心思想是利用历史信息来加速收敛。
在每一步迭代中,共轭梯度法会根据历史搜索方向的信息来选择当前的搜索方向,以便更快地找到最优解。
这种方法可以在较少的迭代次数内找到最优解,尤其对于大规模问题来说,可以节省大量的计算资源。
在实际应用中,共轭梯度法通常用于求解线性方程组Ax=b,其中A是一个对称正定矩阵。
共轭梯度法的迭代过程可以通过以下步骤进行描述:1. 初始化,选择一个初始解x0,计算残差r0=b-Ax0,选择初始搜索方向d0=r0。
2. 迭代更新,在第k步迭代中,计算步长αk,更新解xk=xk-1+αkd,并计算残差rk=b-Axk。
然后根据历史搜索方向的信息,计算新的搜索方向dk= rk+βkdk-1,其中βk是一个根据历史信息计算得到的参数。
3. 收敛判断,在每一步迭代中,可以根据残差的大小来判断算法是否已经收敛。
如果残差足够小,可以停止迭代并得到近似解x。
共轭梯度法的优点在于它对存储和计算资源的要求相对较低,尤其适用于大规模稀疏线性方程组的求解。
同时,由于共轭梯度法利用了历史搜索方向的信息,可以加速收敛,节省计算时间。
然而,共轭梯度法也有一些局限性。
首先,它只适用于对称正定矩阵,对于一般的线性方程组可能不适用。
其次,共轭梯度法可能受到舍入误差的影响,在迭代过程中可能会出现数值不稳定的情况。
总的来说,共轭梯度法是一种高效的优化算法,特别适用于求解大规模稀疏线性方程组。
共轭梯度法共轭梯度法(also known as Pearson-Newman gradient method)是电化学反应动力学中一种很有用的技术,主要应用于分析化学、环境工程、农药学、微生物学等领域。
用共轭梯度法时,以活性高的配体替代催化剂上的固定配体(一般为固定相),使原来的催化剂仍能发挥作用,但具有选择性更好、灵敏度更高、应用范围更广的特点,同时能降低毒性和提高催化活性,还可改善催化剂的稳定性。
共轭梯度法(reaction-coordinate density technique,缩写为coAPD),是由美国著名的电化学家S.C.R.(赫维斯特)于1976年提出的,最早是应用于考察水溶液中蛋白质在二级胺诱导下的变性行为。
后来,此方法被用于研究Cu(I)-Zn(II)氧化偶联反应,可用于测定其它一些金属离子。
它能够选择性地催化多种反应,并且操作简便,灵敏度高,催化效率高。
它与同样是基于电极过程机理的原位催化比较,在原理上具有优越性。
对于活性组分分子内部的小的不均匀结构,可以采用共轭梯度法实现更精确的测量。
在这个技术中,如果采用共轭体系,一般可以考虑将其作为一个三电子体系,而与电子得失的量子化运动相联系,即以共振状态作为激发条件。
因此,实验装置也称之为共振极限溶剂。
目前,已经开发了一些共轭体系,其中主要包括共轭二烯体系、共轭异戊二烯体系、共轭二炔体系等。
根据不同的选择性要求,又可将它们划分成几类:双齿配体系列、共轭乙炔体系列、共轭苯炔体系列、共轭乙烯体系列、共轭苯乙炔体系列、双烯类配体系列。
由于选择性较高,该技术广泛用于化学反应机理及反应产物分析。
特别是随着计算机技术的迅速发展,其应用更加广泛。
例如,在定量方面,可以在很短的时间内给出定量结果,可以很快地绘制出实验曲线或计算出数据。
在这个技术中,反应机理以原子轨道理论为基础。
根据反应机理,按照共振条件进行合理的实验设计,通过电化学反应测定反应的产物或催化剂的量,并绘制电位-时间图,即可达到定性、定量的目的。
共轭梯度法计算化学
共轭梯度法是一种常用于求解线性方程组的迭代方法,也可以用于计算化学中的一些问题。
在计算化学中,共轭梯度法常用于求解分子结构优化、能量最小化、电子结构计算等问题。
其中最常见的应用是求解非常大的线性方程组,如Hartree-Fock方程,即通过求解一个自洽的线性方程组来得到分子的基态电子结构。
共轭梯度法利用了线性方程组的特殊性质,通过迭代计算逼近线性方程组的解。
它不需要事先知道线性方程组的解的精确形式,只需要知道线性方程组的系数矩阵和右端向量。
在每一次迭代中,共轭梯度法利用之前的迭代结果和当前的残差信息来计算一个新的搜索方向,从而逼近解的位置。
通过多次迭代,共轭梯度法可以逐渐接近线性方程组的解。
在化学计算中,尤其是量子化学计算中,共轭梯度法经常用于求解大型稠密矩阵的特征值问题。
这些问题通常涉及求解特征方程,得到能量的本征值和本征函数。
共轭梯度法的迭代性质使得它非常适合处理大型稠密矩阵的特征值计算问题,因为它只需要存储和计算与当前解和残差相关的信息,而不需要存储和计算整个矩阵。
总之,共轭梯度法是一种非常有效的迭代方法,可以用于求解线性方程组以及一些涉及大型矩阵的计算化学问题。
在实际应用中,共轭梯度法经常与其他优化算法结合使用,以获得更高效、更准确的结果。
共轭梯度法c++一、共轭梯度法是一种优化算法,特别适用于解决对称正定矩阵的线性方程组。
它通过迭代的方式逐步逼近方程组的解,具有较快的收敛速度。
在C++中实现共轭梯度法可以为解决大规模线性系统提供高效的数值解。
二、共轭梯度法基本原理问题背景:考虑一个线性方程组Ax = b,其中A是对称正定矩阵,b是已知向量。
迭代过程:共轭梯度法通过迭代寻找一个逼近解x_k,使得残差r_k = b - Ax_k 最小。
迭代过程中,每一步都保证搜索方向共轭于前一步的搜索方向。
算法步骤:初始化:选择初始解x_0,计算残差r_0 = b - Ax_0,初始化搜索方向p_0 = r_0。
迭代:对于每一步k,计算步长alpha_k,更新解x_k+1 = x_k + alpha_k * p_k,计算新的残差r_k+1,更新搜索方向p_k+1。
收敛检测:当残差足够小时,停止迭代。
共轭方向的选择:在每一步中,选择共轭搜索方向可以通过Gram-Schmidt正交化方法得到。
这样能够确保搜索方向之间是线性无关的。
三、C++中的共轭梯度法实现在C++中实现共轭梯度法需要考虑以下关键步骤:矩阵和向量表示:使用C++中的数组或矩阵库表示矩阵A和向量b。
迭代过程:实现共轭梯度法的迭代过程,包括更新解、计算残差、计算步长等。
共轭方向选择:使用Gram-Schmidt正交化方法确保搜索方向共轭。
收敛检测:制定合适的收敛准则,如残差的阈值,判断是否停止迭代。
以下是一个简化的C++示例代码,演示了共轭梯度法的基本实现:#include <iostream>#include <cmath>#include <vector>using namespace std;// 定义矩阵和向量类型typedef vector<vector<double>> Matrix;typedef vector<double> Vector;// 共轭梯度法实现Vector conjugateGradient(const Matrix& A, const Vector& b, const Vector& x0, double tolerance, int maxIterations) {int n = A.size();Vector x = x0;Vector r = b - multiply(A, x);Vector p = r;for (int k = 0; k < maxIterations; ++k) {double alpha = dot(r, r) / dot(p, multiply(A, p));x = x + alpha * p;Vector newR = r - alpha * multiply(A, p);double beta = dot(newR, newR) / dot(r, r);p = newR + beta * p;r = newR;// 收敛检测if (sqrt(dot(r, r)) < tolerance) {cout << "Converged after " << k + 1 << " iterations." << endl;break;}}return x;}// 辅助函数:向量点积double dot(const Vector& a, const Vector& b) {double result = 0.0;for (size_t i = 0; i < a.size(); ++i) {result += a[i] * b[i];}return result;}// 辅助函数:矩阵与向量相乘Vector multiply(const Matrix& A, const Vector& x) {int n = A.size();Vector result(n, 0.0);for (int i = 0; i < n; ++i) {for (int j = 0; j < n; ++j) {result[i] += A[i][j] * x[j];}}return result;}int main() {// 示例用例Matrix A = {{4, 1}, {1, 3}};Vector b = {1, 2};Vector x0 = {0, 0};double tolerance = 1e-6;int maxIterations = 1000;// 调用共轭梯度法Vector solution = conjugateGradient(A, b, x0, tolerance, maxIterations);// 输出结果cout << "Solution: ";for (double value : solution) {cout << value << " ";}cout << endl;return 0;}这个简单的示例演示了如何使用C++实现共轭梯度法。
共轭梯度法的原理共轭梯度法是一种用于求解线性方程组的迭代方法,其原理是利用共轭方向的特性来加速收敛速度。
在实际问题中,线性方程组的求解是一项非常重要的任务,经常出现在科学计算、工程设计、物理模拟等领域。
共轭梯度法通过迭代的方式,逐步逼近方程组的解,从而提高求解效率和精度。
共轭梯度法的主要思想是将待求解的线性方程组转化为一个优化问题,通过最小化目标函数来找到最优解。
具体来说,假设有一个n 维向量x和一个n×n的矩阵A,以及一个n维向量b,我们需要求解Ax=b。
共轭梯度法的目标是找到一个n维向量x,使得目标函数f(x)最小化,其中f(x)=(1/2)x^TAx-x^Tb。
共轭梯度法的基本步骤如下:1. 初始化向量x0和残差r0=b-Ax0,设置迭代次数k=0。
2. 计算搜索方向d,d=rk+(k-1)βk-1d(k-1),其中βk-1=(rk^Trk)/(rk-1^Trk-1)。
3. 计算步长αk,αk=(rk^Trk)/(d^TAd)。
4. 更新xk=xk-1+αkd,更新残差rk=rk-1-αkAd。
5. 如果残差rk的范数小于给定的收敛条件,或达到最大迭代次数,则停止迭代;否则,返回步骤2。
共轭梯度法的优点是具有快速收敛和内存占用少的特点。
由于每次迭代都在共轭方向上前进,可以避免了梯度下降法中的zigzag现象,从而加快了收敛速度。
此外,共轭梯度法只需要存储当前迭代的向量和矩阵乘积,而不需要存储所有的迭代历史,因此内存占用较小。
然而,共轭梯度法也存在一些限制和注意事项。
首先,共轭梯度法只适用于对称正定的矩阵A,否则可能出现收敛失败的情况。
其次,共轭梯度法对初始解的选择较为敏感,不同的初始解可能导致不同的收敛速度和精度。
此外,共轭梯度法在求解大规模问题时可能需要较长的迭代时间,因此对于大规模问题,需要考虑使用并行计算的方法来加速求解过程。
共轭梯度法是一种有效的线性方程组求解方法,通过利用共轭方向的特性,可以加快收敛速度和提高求解精度。
共轭梯度法简介共轭梯度法是一种迭代的最优化算法,用于求解线性方程组或求解非线性优化问题。
它在解决大规模线性方程组时表现出色,尤其适用于对称正定矩阵的问题。
共轭梯度法结合了最速下降法和共轭方向法的优点,能够在有限次数的迭代中快速收敛到最优解。
背景在数值计算和优化问题中,线性方程组的求解是一个常见且重要的问题。
例如,在图像处理、数据分析和机器学习等领域,我们经常需要求解一个大规模的线性方程组。
然而,传统的直接方法,如高斯消元法或LU分解,对于大规模问题往往计算量巨大,耗时较长。
因此,我们需要寻找一种高效的迭代方法来解决这些问题。
共轭梯度法的核心思想是通过一系列共轭的搜索方向来逼近最优解。
具体来说,对于一个对称正定的线性方程组Ax=b,共轭梯度法的步骤如下:1.初始化解向量x0和残差x0=x−xx0。
2.计算初始搜索方向x0=x0。
3.进行共轭梯度迭代:重复以下步骤n次或直到收敛为止。
a.计算步长$\\alpha_k=\\frac{r_k^Tr_k}{d_k^TAd_k}$。
b.更新解向量$x_{k+1}=x_k+\\alpha_kd_k$。
c.更新残差$r_{k+1}=r_k-\\alpha_kAd_k$。
d.计算新的搜索方向$d_{k+1}=r_{k+1}+\\frac{r_{k+1}^Tr_{k+1}}{r_k^Tr_k}d_k$。
共轭梯度法与其他迭代方法相比有以下特点:1.高效性:共轭梯度法能够在有限次数的迭代中收敛到最优解,尤其适用于对称正定矩阵。
相比于直接方法,其计算量较小,具有更高的计算效率。
2.无需存储完整矩阵:共轭梯度法只需知道矩阵A的乘法运算结果,不需要存储完整的矩阵。
这对于大规模问题是一个很大的优势。
3.不需要计算矩阵的特征值:相比于其他迭代方法,共轭梯度法不需要计算矩阵的特征值,因此在实际问题中更加实用。
算法应用共轭梯度法广泛应用于各个领域的优化问题和线性方程组求解问题,包括:1.图像处理:共轭梯度法用于图像恢复、图像去噪和图像分割等问题。