第1章习题答案改
- 格式:ppt
- 大小:502.50 KB
- 文档页数:12
第一章组织行为学概述思考题1.组织行为学的定义是什么?其研究层次和任务是什么?答:组织行为学指的是通过对组织内人的心理和行为进行系统研究,从而帮助管理者解释、预测、控制和引导组织中人的行为,最终实现组织目标的学科。
组织行为学聚焦于分析三个不同层面的内容——个体、群体和组织。
个体心理与行为研究的主要任务有以下几点:其一,揭示不同的个体的心理活动特征及行为规律对工作效率产生的影响,为管理者高效地选人、用人、育人、留人提供理论依据;其二:深入了解组织成员共同的心理现象及变化过程,提高对员工行为的解释、预测、控制和引导能力;其三,掌握个体动机激发的规律,以及个体行为表现出的规律,充分调动企业员工的积极性,达成组织目标。
组织行为学对群体的研究主要包括群体的结构与功能、群体的发展过程、群体的凝聚力、人际关系、群体沟通、群体决策等。
群体心理与行为研究的主要任务有两点:其一:正确把握群体的心理规律,打造群体内部良好的关系氛围,增强群体成员的凝聚力和向心力;其二:处理好正式群体与非正式群体的关系,引导非正式群体为正式群体的目标服务。
组织心理与行为的研究任务主要集中在:组织结构的设计、组织管理原则的制定、组织变革和组织发展的突破,以及组织中沟通的有效建立。
2.管理者的三大技能分别指什么?答:一般而言,管理者的能力可以分为三大类,技术技能、人际技能、概念技能。
技术技能是完成组织内具体工作所需要的技能。
一般可通过学习教育和正规培训取得,所有的工作都需要一定的专业才干,它们也可以在实际工作中发展而来。
人际技能指的是个人与人共事、理解他人和激励他人的具体能力。
概念技能指是管理者进行抽象思考的能力。
概念技能较强的管理者能够看到“宏观景象”。
管理者不仅要懂得回答“是什么”(理解表面现象)这样的问题,还要懂得回答“为什么”(了解深层原因)及“怎么办”(寻求并选择解决方案)这样一些与事物发展规律及组织目标实现有关的重大问题。
3.管理者在组织中扮演哪些角色?答:作为管理者必须有一个正确的自我角色定位,亨利·明兹伯格(Henry Mintzberg)经过大量的观察和研究,发现管理者的所有活动可以归纳为三个方面共十种不同但又高度相关的角色。
习题解答 第一章1.举例说明符合光传播基本定律的生活现象及各定律的应用。
答:(1)光的直线传播定律影子的形成;日蚀;月蚀;均可证明此定律。
应用:许多精密的测量,如大地测量(地形地貌测量),光学测量,天文测量。
(2)光的独立传播定律定律:不同光源发出的光在空间某点相遇时,彼此互不影响,各光束独立传播。
说明:各光束在一点交会,光的强度是各光束强度的简单叠加,离开交会点后,各光束仍按各自原来的方向传播。
2.已知真空中的光速c 3×108m/s ,求光在水(n=1.333)、冕牌玻璃(n=1.51)、火石玻璃(n=1.65)、加拿大树胶(n=1.526)、金刚石(n=2.417)等介质中的光速。
解:v=c/n(1) 光在水中的速度:v=3×108/1.333=2.25×108 m/s (2) 光在冕牌玻璃中的速度:v=3×108/1.51=1.99×108 m/s (3) 光在火石玻璃中的速度:v=3×108/1.65=1.82×108 m/s (4) 光在加拿大树胶中的速度:v=3×108/1.526=1.97×108 m/s (5) 光在金刚石中的速度:v=3×108/2.417=1.24×108 m/s*背景资料:最初用于制造镜头的玻璃,就是普通窗户玻璃或酒瓶上的疙瘩,形状类似“冠”,皇冠玻璃或冕牌玻璃的名称由此而来。
那时候的玻璃极不均匀,多泡沫。
除了冕牌玻璃外还有另一种含铅量较多的燧石玻璃(也称火石玻璃)。
3.一物体经针孔相机在屏上成像的大小为60mm ,若将屏拉远50mm ,则像的大小变为70mm ,求屏到针孔的初始距离。
解:706050=+l l l =300mm4.一厚度为200mm 的平行平板玻璃(设n=1.5),下面放一直径为1mm 的金属片。
若在玻璃板上盖一圆形纸片,要求在玻璃板上方任何方向上都看不到该金属片,问纸片最小直径应为多少?解:本题是关于全反射条件的问题。
可编辑修改精选全文完整版电路分析基础练习题及答案第1章 习题一、填空题1-1.通常,把单位时间内通过导体横截面的电荷量定义为 。
1-2.习惯上把 运动方向规定为电流的方向。
1-3.单位正电荷从a 点移动到b 点能量的得失量定义为这两点间的 。
1-4.电压和电流的参考方向一致,称为 方向。
1-5.电压和电流的参考方向相反,称为 方向。
1-6.电压和电流的负值,表明参考方向与实际方向 。
1-7.若P>0(正值),说明该元件 功率,该元件为 。
1-8.若P<0(负值),说明该元件 功率,该元件为 。
1-9. 定律体现了线性电路元件上电压、电流的约束关系,与电路的连接方式无关;定律则是反映了电路的整体规律,其中 定律体现了电路中任意结点上汇集的所有 的约束关系, 定律体现了电路中任意回路上所有 的约束关系,具有普遍性。
1-10.基尔霍夫电流定律(KCL )说明在集总参数电路中,在任一时刻,流出(或流出)任一节点或封闭面的各支路电流的 。
1-11.基尔霍夫电压定律(KVL )说明在集总参数电路中,在任一时刻,沿任一回路巡行一周,各元件的 代数和为零。
二、选择题1-1.当电路中电流的参考方向与电流的真实方向相反时,该电流A 、一定为正值B 、一定为负值C 、不能肯定是正值或负值1-2.已知空间有a 、b 两点,电压U ab =10V ,a 点电位为V a =4V ,则b 点电位V b 为A 、6VB 、-6VC 、14V1-3.当电阻R 上的u 、i 参考方向为非关联时,欧姆定律的表达式应为A 、Ri u =B 、Ri u -=C 、 i R u =1-4.一电阻R 上u 、i 参考方向不一致,令u =-10V ,消耗功率为0.5W ,则电阻R 为A 、200ΩB 、-200ΩC 、±200Ω1-5.两个电阻串联,R 1:R 2=1:2,总电压为60V ,则U 1的大小为A 、10VB 、20VC 、30V1-6.已知接成Y 形的三个电阻都是30Ω,则等效Δ形的三个电阻阻值为A 、全是10ΩB 、两个30Ω一个90ΩC 、全是90Ω1-7.电阻是 元件,电感是 的元件,电容是 的元件。
信息技术_必修1_第1章_习题答案信息技术_必修1_第1章_习题答案_211008a活动册 P191.单选题(1)数据是现实世界原始事物现象的( ),是信息的载体。
A.符号记录 B.还原 C.反映 D.提升【答案】A。
课本P5(2)下列编码⽅式中,属于图像编码的是( )。
A.ASCII码 B.GBK C.图像压缩 D.统⼀码【答案】C。
课本P10(3)有⼈写了⼀个数制转换的式⼦:70 – 25 = 41。
若要使该等式成⽴,则70、25、41有可能分别为( )。
A.⼗进制,⼗进制,⼗六进制 B.⼗进制,⼗六进制,⼋进制 C.⼗六进制,⼋进制,⼗进制 D.⼋进制,⼋进制,⼗六进制【答案】B(4)下⾯属于数据处理⽅式的是( )。
A.存储 B.挖掘 C.分析 D.以上都是【答案】D(5)英⽂⼤写字母A的ASCII码值是( )。
A.65 B.66 C.97 D.98【答案】A。
课本P10(6)在计算机信息处理领域,下⾯关于数据的叙述中,错误的是( )。
A.数据是对客观事实、概念等的⼀种表⽰ B.数据可以是数字、⽂字、图画、符号、声⾳、活动图像等 C.数据类型可分为数值型毂据和⾮数值型数据两类 D.数据与信息不同,数据是⽇常所说的数值,⽽信息是指⽇常所见的现象【答案】D。
课本P16(7)数据的⼀个基本特征是( )。
A.只能表⽰计算所⽤的数值 B.都是以⼆进制形式存储在存储器上 C.以各种形式存储在内存中 D.所有的数据按存储器类型组织【答案】B。
课本P7(8)数字信号和模拟信号的不同之处是( )。
A.数宇信号在⼤⼩和时间上均连续,⽽模拟信号则相反 B.数字信号在⼤⼩和时间上均不连续,⽽模拟信号则相反 C.数字信号在⼤⼩上不连续,时间上连续,⽽模拟信号则相反 D.数字信号在⼤⼩上连续,时间上不连续,⽽模拟信号则相反【答案】B。
课本P8,P9(9)模拟信号数字化的三个步骤依次为( ) A.抽样、量化、编码 B.编码、量化、抽样 C.抽样、编码、量化 D.量化、抽样、编码【答案】A。
第一章行政法基本理论一、单项选择题1、《行政复议法实施条例》第45条规定,具体行政行为有行政复议法第28条第1款第(三)项规定情形之一的,行政复议机关应当决定撤销、变更该具体行政行为或者确认该具体行政行为违法;决定撤销该具体行政行为或者确认该具体行政行为违法的,可以责令被申请人在一定期限内重新作出具体行政行为。
这体现了行政法是()。
A、设定行政权力的法B、规范行政权力实施的法C、监督行政权力的法D、对行政权力产生的后果进行补救的法2、根据我国有关法律规定,行政立法主体包括()。
A、全国人大及其常委会B、国务院及其各部委、直属机构C、市辖区人民政府D、省、自治区、直辖市人大及其常委会3、刘某系某工厂职工,该厂经区政府批准后改制。
刘某向区政府申请公开该厂进行改制的全部档案、拖欠原职工工资如何处理等信息。
区政府作出拒绝公开的答复,刘某向法院起诉。
下列说法正确的是()。
A、区政府在作出拒绝答复时,应告知刘某并说明理由B、刘某向法院起诉的期限为2个月C、此案应由区政府所在地的区法院管辖D、因刘某与所申请的信息无利害关系,区政府拒绝公开答复是合法的4、关于行政程序法的基本原则表述错误的是()。
A、行政程序法的基本原则贯穿于各单行的行政法律、法规和规章之中B、政府指导价、政府定价制定后,由制定价格的部门向消费者、经营者公布,这体现了行政程序法的公开原则C、行政执法部门普遍推行行政执法公示制,实质是行政参与原则的一种具体体现D、行政主体在作出行政行为时,要平等地对待当事人各方,排除各种可能造成不平等或偏见的因素5、行政法在形式上的特点是()。
A、行政法规范没有统一、完整的法典B、为保障权利与义务得以实现的法律规范为行政程序法C、对行政主体和行政相对方实体的职权与职责进行规范的法为行政实体法D、以规章形式体现的行政法规范稳定性较差6、根据行政法律关系的概念与特征,下列不属于行政法律关系的是()。
A、工商局为张某办理个体营业执照B、区公安分局对李某的违法行为处以三百元罚款C、县政府对工作人员魏某予以行政处分D、市政府对杨某进行强制执行7、下列有关行政合法性原则与行政合理性原则的说法中,正确的是()。
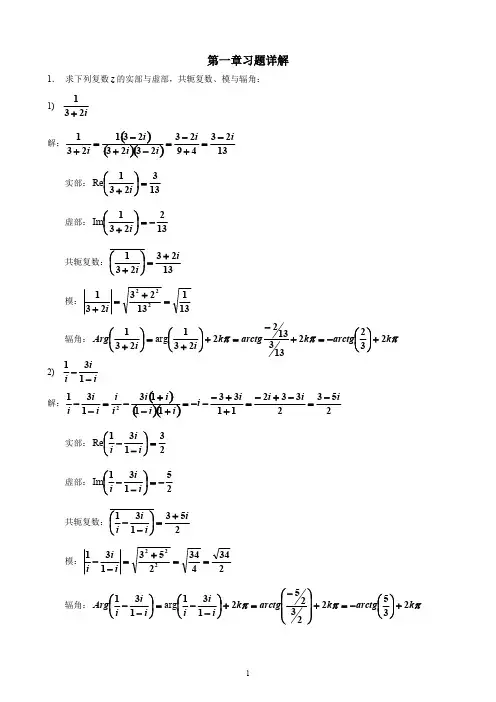
第1章复变函数习题答案习题详解第一章习题详解1. 求下列复数z 的实部与虚部,共轭复数、模与辐角: 1) i 231+解:()()()132349232323231231i i i i i i -=+-=-+-=+ 实部:133231=⎪⎭⎫ ⎝⎛+i Re 虚部:132231-=⎪⎭⎫ ⎝⎛+i Im 共轭复数:1323231i i +=⎪⎭⎫ ⎝⎛+ 模:1311323231222=+=+i辐角:πππk arctg k arctg k i i Arg 23221331322231231+⎪⎭⎫ ⎝⎛-=+-=+⎪⎭⎫ ⎝⎛+=⎪⎭⎫ ⎝⎛+arg2) iii --131 解:()()()2532332113311131312ii i i i i i i i ii i i i -=-+-=++---=+-+-=--实部:23131=⎪⎭⎫ ⎝⎛--i i i Re 虚部:25131-=⎪⎭⎫ ⎝⎛--i i i Im 共轭复数:253131i i i i +=⎪⎭⎫ ⎝⎛-- 模:234434253131222==+=--iii辐角:πππk arctg k arctg k i i i i i i Arg 235223252131131+⎪⎭⎫ ⎝⎛-=+⎪⎪⎪⎭⎫ ⎝⎛-=+⎪⎭⎫ ⎝⎛--=⎪⎭⎫ ⎝⎛--arg3) ()()ii i 25243-+ 解:()()()22672267272625243ii i i i i i --=-+=--=-+ 实部:()()2725243-=⎪⎭⎫ ⎝⎛-+i i i Re 虚部:()()1322625243-=-=⎪⎭⎫ ⎝⎛-+i i i Im 共轭复数:()()226725243i i i i +-=⎪⎭⎫ ⎝⎛-+ 模:()()2925226272524322=⎪⎭⎫ ⎝⎛-+⎪⎭⎫ ⎝⎛-=-+ii i辐角:()()ππk arctg k arctg i i i Arg 272622722625243+⎪⎭⎫ ⎝⎛=+⎪⎪⎪⎭⎫⎝⎛--=⎪⎭⎫ ⎝⎛-+4) ii i+-2184解:ii i i i i31414218-=+-=+- 实部:()14218=+-i i i Re 虚部:()34218-=+-i i i Im共轭复数:()ii i i 314218+=+- 模:1031422218=+=+-i i i辐角:()()πππk arctg k arctg k i i i i i i Arg 23213244218218+-=+⎪⎭⎫⎝⎛-=++-=+-arg2. 当x 、y 等于什么实数时,等式()iiy i x +=+-++13531成立?解:根据复数相等,即两个复数的实部和虚部分别相等。
第1章 基本概念及基本原理思考题1-1 说明下列式子的意义和区别:(1)12F F = ,(2) 12=F F , (3) 力1F 等效于力2F 。
答:式(1)表示2个力的大小相等。
式(2)表示2个力矢量相等,即2个力的大小相等,方向相同。
式(3)表示2个力的大小相等,方向和作用线均相等。
1-2 试区别12R +F =F F 和12R F F F =+两个等式代表的意义。
1-3 二力平衡条件与作用和反作用定律都是说二力等值、反向、共线,二者有什么区别?1-4 为什么说二力平衡条件、加减平衡力系原理和力的可传性等都只适用于刚体?1-5 什么叫二力构件? 分析二力构件受力时与构件的形状有无关系? 1-6 如图所示,可否将作用于杆AC 上D 点的力F 沿其作用线移动,变成杆BC 上点的力F ',为什么?答:不可以,根据力的可传性定理的限制条件。
1-7 如图所示,杆AB 重为G ,B 端用绳子拉住,A 端靠在光滑的墙面,问杆能否平衡?为什么?答:不能,根据三力汇交定理内容。
习题1-11-2 如图所示,求F对点A的力矩。
1-3 如图所示,求P 对点O 的力矩。
解:(a )Pl P m O =)(;(b )0)(=P m O ;(c )θsin )(Pl P m O = (d )Pa P m O -=)(;(e ))()(r l P P m O +=;(f )αsin )(22P b a P m O +=1-4 如图示沿正立方体的前侧面AB 方向作用一力F ,则该力对哪些轴之矩 相等?1-5 图示力F 的作用线在平面OABC 内,对各坐标轴之矩哪些为零?1-6 如图所示长方体的三边 a EF =,b GB =,c AD =,沿三边作用力系1F ,2F ,3F 。
求此力系对点 H 之矩和对轴 HC 之矩。
注:下列习题凡未标出自重的物体,自重不计,接触处不计摩擦。
1-7 试画出图中所示各物体的受力图。
第一章习题答案1.问答题(1)计算机的发展经历了哪几个阶段?各阶段的主要特征是什么?答:根据计算机所采用的电子元件不同可划分为:电子管计算机、晶体管计算机、集成电路计算机和大规模超大规模集成电路计算机等四个阶段。
第一代计算机主要特点是:内存容量非常小;计算机程序设计语言为机器语言;尚无操作系统出现,操作机器困难。
它体积庞大、造价昂贵、速度低、存储容量小、可靠性差、不易掌握,主要应用于军事目的和科学研究领域的狭小天地里。
第二代计算机主要特点是:采用了晶体管的电子元件;内存储器容量扩大到几十万字节;计算机软件有了较大发展,出现了监控程序并发展成为后来的操作系统;推出了Basic、Fortran、Cobol高级程序设计语言。
主要应用范围由单一的科学计算扩展到数据处理和事务管理等其他领域。
第三代计算机的特点是:体积、重量、功耗进一步减小,运算速度、逻辑运算功能和可靠性进一步提高;软件在这个时期形成了产业;出现了分时操作系统;提出了结构化、模块化的程序设计思想,出现了结构化的程序设计语言Pascal。
这一时期的计算机同时向标准化、多样化、通用化发展。
第四代计算机的特点是:磁盘的存取速度和容量大幅度上升;体积、重量和耗电量进一步减少;计算机的性能价格比基本上以每18个月翻一番的速度上升;操作系统向虚拟操作系统发展,数据库管理系统不断完善和提高,程序语言进一步发展和改进,软件行业的发展成为新兴的高科技产业;计算机的应用领域不断向社会各个方面渗透。
(2)未来计算机发展的趋势是什么?答:现代计算机的发展表现为两个方面:一是巨型化、微型化、多媒体化、网络化和智能化5种趋向;二是朝着非冯·诺依曼结构模式发展。
(3)计算机的特点是什么?答:①处理速度快②计算精度高③存储容量大④可靠性高⑤工作过程的全自动化⑥适用范围广,通用性强(4)计算机的类型有哪些?答:①按其处理数据的形态分为:数字计算机、模拟计算机、混合计算机②按其使用范围分为:通用计算机、专用计算机③按其本身性能分为:超级计算机、大型计算机、小型计算机、微型计算机、工作站(5)简述计算机的应用领域。
第一章习题详解1.求下列复数的实部与虚部,共轭复数、模与辐角:z 1)i231+解:()()()132349232323231231ii i i i i -=+-=-+-=+实部:133231=⎪⎭⎫⎝⎛+i Re 虚部:132231-=⎪⎭⎫⎝⎛+i Im 共轭复数:1323231ii +=⎪⎭⎫⎝⎛+模:1311323231222=+=+i 辐角:πππk arctg k arctg k i i Arg 23221331322231231+⎪⎭⎫ ⎝⎛-=+-=+⎪⎭⎫ ⎝⎛+=⎪⎭⎫ ⎝⎛+arg 2)ii i --131解:()()()2532332113311131312i i i i i i i i i i i i i i -=-+-=++---=+-+-=--实部:23131=⎪⎭⎫⎝⎛--i i i Re 虚部:25131-=⎪⎭⎫⎝⎛--i i i Im 共轭复数:253131i i i i +=⎪⎭⎫⎝⎛--模:234434253131222==+=--ii i 辐角:πππk arctg k arctg k i i i i i i Arg 235223252131131+⎪⎭⎫ ⎝⎛-=+⎪⎪⎪⎭⎫ ⎝⎛-=+⎪⎭⎫ ⎝⎛--=⎪⎭⎫ ⎝⎛--arg3)()()ii i 25243-+解:()()()22672267272625243ii ii ii i --=-+=--=-+实部:()()2725243-=⎪⎭⎫⎝⎛-+i i i Re 虚部:()()1322625243-=-=⎪⎭⎫⎝⎛-+i i i Im 共轭复数:()()226725243ii i i +-=⎪⎭⎫⎝⎛-+模:()()2925226272524322=⎪⎭⎫ ⎝⎛-+⎪⎭⎫ ⎝⎛-=-+ii i 辐角:()()ππk arctg k arctg i i i Arg 272622722625243+⎪⎭⎫ ⎝⎛=+⎪⎪⎪⎭⎫ ⎝⎛--=⎪⎭⎫ ⎝⎛-+4)ii i +-2184解:ii i i i i 31414218-=+-=+-实部:()14218=+-i i i Re 虚部:()34218-=+-i ii Im 共轭复数:()ii i i 314218+=+-模:1031422218=+=+-i ii 辐角:()()πππk arctg k arctg k i i i i ii Arg 23213244218218+-=+⎪⎭⎫⎝⎛-=++-=+-arg 2.当、等于什么实数时,等式成立?x y ()i iy i x +=+-++13531解:根据复数相等,即两个复数的实部和虚部分别相等。
第一章操作系统概述习题及答案一、填空题1.用户与操作系统的接口有,两种。
【答案】命令接口,系统调用【解析】按用户界面的观点,操作系统是用户与计算机之间的接口。
用户通过操作系统提供的服务来有效地使用计算机。
一般操作系统提供了两类接口为用户服务,一种是程序一级的接口,即通过一组广义指令(或称系统调用)供用户程序和其他系统程序调用;另一种是作业一级的接口,提供一组控制命令供用户去组织和控制自己的作业。
2.用户程序调用操作系统有关功能的途径是。
【答案】利用系统调用命令【解析】系统调用命令是操作系统专门给编程人员提供的调用操作系统有关功能的途径,一般在汇编语言和C语言中都提供了使用系统调用命令的方法。
编程人员可以在这些语言中利用系统调用命令动态请求和释放系统资源。
3.UNIX系统是①操作系统,DOS系统是②操作系统。
【答案】①分时(或多用户、多任务),②单用户(或单用户、单任务)【解析】UNIX系统是一个可供多个用户同时操作的会话式的分时操作系统,DOS系统是为个人计算机设计的一个单用户操作系统。
4.现代计算机中,CPU工作方式有目态和管态两种。
目态是指运行①程序,管态是指运行②程序。
执行编译程序时,CPU处于③。
【答案】①用户,②操作系统,③目态【解析】CPU工作方式分为目态和管态,主要是为了把用户程序和操作系统程序区分开,以利于程序的共享和保护。
5.从资源分配的角度讲,计算机系统中的资源分为、、和。
操作系统相应的组成部分是、、和。
【答案】处理机、存储器、输入/输出设备和文件资源;处理机管理、存储器管理、设备管理和文件系统【解析】计算机系统中的资源分为硬件资源和软件资源。
硬件资源有处理机、内/外存储器及输入/输出设备。
而软件资源指的是程序、数据和相应的文档。
从资源管理的观点,操作系统是计算机资源系统的管理系统,它提供了处理机管理、存储器管理、输入/输出设备管理和信息文件管理的功能。
对每种资源的管理都可从提供资源情况的记录、资源分配策略、资源分配和回收等几个方面来加以讨论。
第一章 部分习题解答(数字信号处理(第二版),刘顺兰,版权归作者所有,未经许可,不得在互联网传播) 1.1 序列)(n x 示意如图T1-1,请用各延迟单位脉冲序列的幅度加权和表示。
)(n图T1-1解: )3(2)1(3)()3(2)(−+−+−+−=n n n n n x δδδδ1.3 判断下列每个序列是否是周期性的,若是周期性的,试确定其周期。
(1)873cos()(ππ−=n A n x (2))313sin()(n A n x π=(3))6()(n j en x −=π(4) )18/sin()12/cos()(ππn n n x += 解 (a) 873cos()(ππ−=n A n x314722,7311===πωππω为有理数 所以该序列为周期序列,其周期143314=×=N (b ))313sin()(n A n x π=13631322,31322===ππωππω为有理数 所以该序列为周期序列,其周期613136=×=N (c ))6()(n j e n x −=πππωπω2122,133===为无理数 所以该序列为非周期序列。
1.12有一连续正弦信号)2cos(ϕπ+ft ,其中6,20πϕ==Hz f 。
(1) 求其周期0T ;(2) 在nT t =时刻对其采样,s T 02.0=,写出采样序列)(n x 的表达式; 求)(n x 的周期N 。
解: 6,20πϕ==Hz f(1)其周期ms s s f T 5005.020110====(2)s T 02.0=,)68.0cos()2cos()(ππϕπ+=+=n fnT n x(3)252,8.000==ωππω 则)(n x 的周期5225=×=N 1.13 今对三个正弦信号t t x πα2cos )(1=,t t x πα6cos )(2−=,t t x πα10cos )(3=进行理想采样,采样频率为π8=Ωs ,求三个采样输出序列,比较这三个结果,画出)(1t x α、)(2t x α、)(3t x α的波形及采样点位置并解释频谱混淆现象。
v1.0 可编辑可修改思考题:题余3码是码,减3后是码,然后加上后六种状态是码。
(A) 余3,8421,5421BCD (B) 8421,有权,无权(C)循环,2421BCD,有权 (D) 无权,8421BCD,8421答:D题对于思考题图所示的波形, A、B为输入,F为输出,其反映的逻辑关系是(A)与非关系; (B) 异或关系; (C) 同或关系; (D) 或关系; (E) 无法判断。
ABF思考题图答:B题信号A和0异或相当于门,信号A和1异或相当于门。
答:缓冲门、非门题连续异或(1111…)1985个1的结果是什么单数个1连续异或、双数个1连续异或的结果是。
(A) 0,0,0 (B) 1,1,0 (C) 不唯一,0,1 (D) 如此运算逻辑概念错误,1,1答:B1122题 已知逻辑函数F=A (B+DC ),选出下列可以肯定使F =1的状态是 ;(1) A =0,BC =0,D =0 (2) A =0,BD =0,C =0 (3) AB =1,C =0,D =0 (4) AC =1,B =0 答:C题 指出下列各式中哪些是四变量A 、B 、C 、D 的最小项和最大项。
在最小项后的( )里填m ,在最大项后的( )里填M ,其他填×。
(1)D B A ++( ) (2)D C B A ( ) (3)ABD ( ) (4))(D C AB +( ) (5)D C B A +++( ) (6)D C B A ++( ) 答:×、m 、×、×、M 、×题 最小项ABCD 的逻辑相邻项是 。
A )D C AB (B )D ABC (C )CD B A (D )D C B A 答:A 、B 、C题 某一逻辑函数真值确定后,下面描述该函数功能的方法中,具有唯一性的是 。
(A )逻辑函数的最简与或式 (B) 逻辑函数的最小项之和表达式 (C )逻辑函数的最简或与式 (D) 逻辑函数的最大项之和表达式 答:B题 利用反演规则,求出⋅⋅⋅⊕⊕⊕=C B A F 函数的逻辑表达式为 。
习 题 参 考 答 案第一章 溶 液1. 温度、压力如何影响气体在水中的溶解度?2. 何谓亨利定律?何谓气体吸收系数?3. 亨利定律适应的范围是什么?4. 20℃,10.00mL 饱和NaCl 溶液的质量为12.003g ,将其蒸干后,得到NaCl 3.173g 。
求:(1)质量摩尔浓度;(2)物质的量浓度。
解:NaCl 的相对分子量为:58.5(1) 质量摩尔浓度:1A B B mol.kg 143.61000/)173.3003.12(5.58/173.3-=-==m n m (2) 物质的量浓度:1B B mol.L 424.51000/105.58/173.3-===V n c 5. 将8.4g NaHCO 3溶于水配成1000mL 溶液,计算该物质的量浓度。
解:NaHCO 3相对分子量为:84NaHCO 3的物质的量浓度:1B B mol.L 1.01000/100084/4.8-===V n c 6. 欲配制10.5mol ·L -1 H 2SO 4 500mL ,需质量分数为0.98的H 2SO 4(密度为1.84)多少毫升?解:H 2SO 4的相对分子量为:98设需质量分数为0.98的H 2SO 4V (mL ),则:1000/5005.109898.084.1⨯=⨯⨯V V =285.3mL7. 某病人需要补充钠(Na +)5g ,应补给生理盐水(0.154mol ·L -1)多少毫升? 解:Na +的式量为:23设需要生理盐水V mL ,则:0.154V /1000=5/23V =1412mL 。
8. 下列溶液是实验室常备溶液,试计算它们的物质的量浓度。
(1)浓盐酸(HCl )相对密度1.19,质量分数为0.38;(2)浓硝酸(HNO 3)相对密度1.42,质量分数为0.71;(3)浓硫酸(H 2SO 4)相对密度1.84,质量分数为0.98;(4)浓氨水(NH 3)相对密度0.89,质量分数为0.30。
第1章思考题与习题参考答案一、选择题1.等压下加热5%的下列水溶液,最先沸腾的是()A. 蔗糖(C12H22O11)溶液B. 葡萄糖(C6H12O6)溶液C. 丙三醇(C 3H8O3)溶液D. 尿素((NH2)2 CO)溶液解:选D。
在等压下,最先沸腾就是指溶液的蒸气压最低。
根据难挥发非电解质稀溶液的依数性变化规律,溶液质量摩尔浓度增大,溶液的蒸气压下降。
这里,相同质量分数下,溶质的摩尔质量越小,质量摩尔浓度越大。
选项D中非电解质尿素的摩尔质量最小,尿素溶液的质量摩尔浓度最大,蒸气压最低,在等压下最先沸腾。
2.0.1mol·kg-1下列水溶液中凝固点最低的是()A. NaCl溶液B. C12H22O11溶液C. HAc溶液D. H2SO4溶液解:选D。
电解质溶液的依数性虽然不能用拉乌尔定律进行统一的定量计算,但仍然可以参照难挥发非电解质稀溶液的依数性进行定性描述。
即溶质的粒子数目增大,会引起溶液的蒸气压降低,沸点升高,凝固点下降和溶液的渗透压增大。
此题中,在相同质量摩尔浓度下,溶液中的粒子数目估算出来是H2SO4溶液最多,所以其凝固点最低。
3.胶体溶液中,决定溶胶电性的物质是()A. 胶团B. 电位离子C. 反离子D. 胶粒解:选D。
根据胶团结构,胶核和吸附层的整体称为胶粒,胶粒中反离子数比电位离子数少,故胶粒所带电荷与电位离子符号相同。
即胶粒带电,溶胶电性由胶粒决定。
4.溶胶具有聚结不稳定性,但经纯化后的Fe(OH)3溶胶可以存放数年而不聚沉,其原因是()A. 胶体的布朗运动B. 胶体的丁铎尔效应C. 胶团有溶剂化膜D. 胶粒带电和胶团有溶剂化膜解:选D。
溶胶具有动力学稳定性和聚结稳定性,而聚结稳定性是溶胶稳定的根本原因,它包含两个方面,胶粒带有相同电性的电荷,当靠近时会产生静电排斥,阻止胶粒聚结合并;而电位离子和反离子形成的溶剂化膜,也会阻隔胶粒的聚结合并。
由于纯化的Fe(OH)3溶胶具有这种聚结稳定性,从而可以存放数年而不聚沉。
第一章行政法基本理论一、单项选择题1、《行政复议法实施条例》第45条规定,具体行政行为有行政复议法第28条第1款第(三)项规定情形之一的,行政复议机关应当决定撤销、变更该具体行政行为或者确认该具体行政行为违法;决定撤销该具体行政行为或者确认该具体行政行为违法的,可以责令被申请人在一定期限内重新作出具体行政行为。
这体现了行政法是()。
A、设定行政权力的法B、规范行政权力实施的法C、监督行政权力的法D、对行政权力产生的后果进行补救的法2、根据我国有关法律规定,行政立法主体包括()。
A、全国人大及其常委会B、国务院及其各部委、直属机构C、市辖区人民政府D、省、自治区、直辖市人大及其常委会3、刘某系某工厂职工,该厂经区政府批准后改制。
刘某向区政府申请公开该厂进行改制的全部档案、拖欠原职工工资如何处理等信息。
区政府作出拒绝公开的答复,刘某向法院起诉。
下列说法正确的是()。
A、区政府在作出拒绝答复时,应告知刘某并说明理由B、刘某向法院起诉的期限为2个月C、此案应由区政府所在地的区法院管辖D、因刘某与所申请的信息无利害关系,区政府拒绝公开答复是合法的4、关于行政程序法的基本原则表述错误的是()。
A、行政程序法的基本原则贯穿于各单行的行政法律、法规和规章之中B、政府指导价、政府定价制定后,由制定价格的部门向消费者、经营者公布,这体现了行政程序法的公开原则C、行政执法部门普遍推行行政执法公示制,实质是行政参与原则的一种具体体现D、行政主体在作出行政行为时,要平等地对待当事人各方,排除各种可能造成不平等或偏见的因素5、行政法在形式上的特点是()。
A、行政法规范没有统一、完整的法典B、为保障权利与义务得以实现的法律规范为行政程序法C、对行政主体和行政相对方实体的职权与职责进行规范的法为行政实体法D、以规章形式体现的行政法规范稳定性较差6、根据行政法律关系的概念与特征,下列不属于行政法律关系的是()。
A、工商局为张某办理个体营业执照B、区公安分局对李某的违法行为处以三百元罚款C、县政府对工作人员魏某予以行政处分D、市政府对杨某进行强制执行7、下列有关行政合法性原则与行政合理性原则的说法中,正确的是()。