新课标-最新湘教版八年级数学上学期《分式》同步练习题及答案解析-精编试题
- 格式:docx
- 大小:25.69 KB
- 文档页数:7
初二数学湘教版分式练习题作为初中数学的一部分,分式是一个非常重要的概念和技巧。
在本文中,我们将介绍一些初二数学湘教版中的分式练习题,帮助同学们巩固和提升自己的分式运算能力。
【1】简化以下分式:(5分)(a)$\frac{24}{36}$(b)$\frac{16x^3}{8x}$(c)$\frac{60}{100}$(d)$\frac{10a^2}{15a}$【2】计算以下分式的值:(10分)(a)$\frac{2}{3}+\frac{1}{2}$(b)$\frac{5}{6}+\frac{2}{9}$(c)$1-\frac{2}{5}$(d)$8-\frac{1}{3}$【3】将混合数转化为带分数:(10分)(a)$3\frac{1}{2}$(b)$7\frac{3}{4}$(c)$5\frac{5}{6}$(d)$4\frac{2}{3}$【4】将带分数转化为假分数:(10分)(a)$2\frac{3}{4}$(b)$1\frac{5}{6}$(c)$3\frac{1}{2}$(d)$4\frac{2}{3}$【5】求以下分式的倒数:(10分)(a)$\frac{3}{5}$(b)$\frac{1}{2}$(c)$\frac{7}{9}$(d)$\frac{2}{3}$【6】解方程:(15分)(a)$\frac{3}{4}x = \frac{5}{7}$(b)$\frac{2}{3}x - \frac{1}{4} = \frac{3}{5}$(c)$2x + 3 = \frac{4}{5}$(d)$\frac{5}{6}x - \frac{2}{3} = 1$【7】乘除分式:(15分)(a)$\frac{2}{3} \times \frac{4}{5}$(b)$\frac{5}{7} \div \frac{3}{4}$(c)$\frac{2}{5} \times \frac{3}{8}$(d)$\frac{6}{7} \div \frac{9}{10}$【8】加减混合数和分数:(15分)(a)$3\frac{1}{4} + \frac{1}{2}$(b)$7\frac{3}{4} - \frac{3}{8}$(c)$4\frac{2}{3} + 1$(d)$5\frac{1}{6} - 2$以上就是初二数学湘教版中的一些分式练习题。
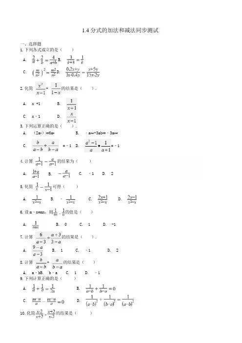
1.4分式的加法和减法同步测试一、选择题1.下列各式成立的是()A. C.B. D.2.化简+的结果是().A.x+1B.C.x﹣1D.3.下列运算正确的是().A.(2a2)3=6a6B.﹣a2b2•3ab3=﹣3a2b5C.=﹣1D.=﹣14.计算A. B.的结果为()C.﹣1D.25.化简A.可得()B.﹣C.D.6.设m﹣n=mn,则A.7.计算的值是()B.0C.1D.-1的结果是().A. 8.计算B.1C.﹣1D.2 +的结果是()A.a﹣bB.b﹣aC.1D.﹣19.下列计算正确的是()A. C. 10.化简B.D.的结果是()A.C.二、填空题11.若a1=1﹣12.化简:13.化简:14.计算:15.化简﹣B.D.,a2=1﹣,a3=1﹣,…;则a2013的值为________.(用含m的代数式表示)=________.=________.=________=________.16.计算:+=________.17.在等式18.已知﹣=三、解答题中,f2≠2F,则f1=________(用F、f2的式子表示),则﹣﹣2=________19.先化简,再求值:(﹣)÷,在﹣2,0,1,2四个数中选一个合适的代入求值.20.已知两个分式:A=,B=+,其中x≠±2,下面有三个结论:①A=B;②A﹣B=0;③A+B=0.请问哪个正确?为什么?21.先化简,再求值:5(3a2b﹣ab2)﹣3(ab2+5a2b),其中a=,b=﹣.22.化简,再求代数式的值:,其中.23.已知两个分式:A=问哪个正确?为什么?,B=+,其中x≠±2,下面有三个结论:①A=B;②A﹣B=0;③A+B=0.请参考答案一、选择题1.D2.A3.C4.C5.B6.D7.C8.D9.B10.A二、填空题11.m12.-113.114.15.﹣16.317.18.-3三、解答题19.解:原式==2x+8,当x=1时,原式=2+8=10.20.解:∵A=,B=+=﹣==﹣A+B=﹣=0,即A=﹣B,则③正确.21.解:原式=15a2b﹣5ab2﹣3ab2﹣15a2b=﹣8ab2,当a=,b=﹣时,原式=﹣8××=﹣.22.解:原式====,当时,原式=23.解:∵A=,B=+=﹣==﹣A+B=﹣=0,即A=﹣B,则③正确.,,∴∴。
1.1 分式
基础导练
1.若分式2a +1
有意义,则a 的取值范围是 ( ) A .a =0
B .a =1
C .a ≠-1
D .a ≠0
2.当a ________时,分式
1a +2有意义. 3. 若式子2x -1
-1的值为零,则x =________. 4.求出使分式|x |-3(x +2)(x -3)
的值为0的x 的值.
能力提升
5.a ,b 为有理数,且ab =1,设P =
a
a +1+
b b +1,Q =1a +1+1b +1,则P ____Q (填“>”、“<”或“=”).
6.解方程:
2x -1=1x -2.
7.解方程:23x -1-1=36x -2
参考答案
1.C 2.≠-2 3.3 4.【解析】 要使分式的值为0,必须使分式的分子为0,且分母不为0,即|x |-3=0且(x +2)(x -3)≠0.
解:要使已知的分式的值为0,x 应满足|x |-3=0且(x +2)·(x -3)≠0.由|x |-3=0,得x =3或x =-3,检验知:当x =3时,(x +2)(x -3)=0,当x =-3时,(x +2)(x -3)≠0,所以满足条件的x 的值是x =-3.
5.=
6.解:方程两边都乘(x -1)(x -2),得2(x -2)=x -1,
去括号,得2x -4=x -1,
移项,得x =3.
经检验,x =3是原方程的解,
所以原分式方程的解是x =3.
7.解:方程两边同时乘6x -2,得4-(6x -2)=3, 化简,得-6x =-3,解得x =12.
检验:当x =12时,6x -2≠0,
所以x =12是原方程的解.。
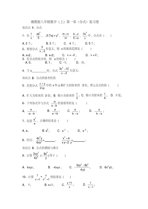
湘教版八年级数学(上)第一章《分式》复习卷知识点1、分式1、在1x,25ab ,30.7xyy ,m n m,5b c a,23x中,分式有()A. 2个;B. 3个;C. 4个;D. 5个;2、要使分式32x有意义,则x 的取值范围是()A. x>2; B. x<2; C. 2x ;D. 2x;3、若分式的值为零,则x 的值为()A. 0;B. 1;C. -1;D.±1;4、当x时,分式23122xx无意义。
知识点2、分式的基本性质5、若把分式2xy xy中的x 和y 都扩大到原来的3倍,那么分式的值()A. 扩大为原来的3倍;B. 缩小为原来的13;C. 缩小为原来的16; D. 不变;6、下列各式中与分式a a b的值相等的是()A.a ab ;B.aa b;C. a ba;D.a ba;7、化简3aa,正确的结果是()A. a ;B. a 2; C. 1a ; D.2a ;8、约分:2246x y xy=。
242xx y y=。
知识点3、分式的乘除与乘方9、计算22238()4xy zz y 等于()A. 6xyz ;B. 6xyz ;C. 22384xyzyz; D. 26x yz ;10、计算2111xx x 的结果是()A. 1;B. x+1;C.1x x; D.11x ;11、计算1()a a a的结果是()A. a ;B. 1;C. 1a; D. a 2;12、23()x xy的结果是()A.2226x xy; B.2229x xy; C.22262x xxy y; D.22292x xxy y;13、计算113322a b z bb a a b =。
14、计算:(1)234()()()a b ab b a(2)32()()a b aaba.知识点4、分式的加减法和混合运算15、计算111x x x 的结果是()A. x-1; B. 1-x ;C. 1;D. -1;16、化简111aa a的结果是()A. -1;B. 1;C.11a a ; D.11a a17、计算22(1)b a aba b的结果是。
2024-2025学年湘教版八年级数学上册《第1章分式》自主学习同步练习题(附答案)一、选择题(共30分)1.下列各式:,,,,,,中,是分式的共有()A.2个B.3个C.4个D.5个2.华为一部分Mate40手机将会搭载麒麟9000处理器,这是手机行业首批采用5nm工艺制式的芯片,1nm=0.000000001m,则5nm用科学记数法表示为()mA.5×109B.5×10﹣10C.5×10﹣8D.5×10﹣93.如果把分式(x>0,y>0)中的字母都扩大2倍,那么分式的值()A.不变B.扩大2倍C.缩小为原来的D.无法确定4.若分式的值为0,则x的取值是()A.2B.2或﹣2C.﹣2D.05.下列式子从左到右变形正确的是()A.B.C.D.6.下列各分式中,是最简分式的是()A.B.C.D.7.下列计算正确的是()A.3﹣1=﹣3B.C.(x﹣3)2•x6=0D.(x3)2÷x﹣2=x88.在正数范围内定义一种运算“※”,其规定则为a※b=,如2※4=,则方程3※(x﹣1)=1的解为()A.B.C.D.9.已知A =,B =+,则A ()A .A =BB .AB =1C .A +B =0D .不能确定10.为了落实“双减”政策,进一步丰富文体活动,学校准备购进一批篮球和足球.已知每个篮球的价格比每个足球的价格多20元,那么可列方程为()A .B .C .D .二、填空题(共18分)11.若分式有意义,则x 的取值范围是.12.计算:(﹣2xy ﹣1)﹣2=.13.关于x 的分式方程+=3有增根,则m =.14.若关于x 的方程的解为x =1,则a 等于.15.若,则分式的值为.16.若3x ﹣2y ﹣3=0,则8x ÷4y =.三、解答题(共72分)17.计算.(1);(2)(﹣2x 2y ﹣3)﹣2•(﹣xy 2)3÷(x ﹣3y )2.18.计算题.(1);(2).19.解方程.(1);(2).20.先化简(1+)÷,再从﹣1,0,1,2中选择一个适当的数作为a 的值代入求值.21.若(A、B为常数),求A﹣B的值.22.已知关于x的方程,若该方程无解,试求m的值;23.已知x2﹣5x+1=0,求:(1)x+x﹣1;(2)的值.24.某校学生利用双休时间去距学校10km的炎帝故里参观,一部分学生骑自行车先走,过了20min后,结果他们同时到达.已知汽车的速度是骑车学生速度的2倍,求骑车学生的速度和汽车的速度.25.阅读下面材料并解答问题材料:定义:如果将一个分式能化成一个整式与一个分子为常数的分式和的形式,则称这个分式为“和谐分式”.如:将分式拆分成一个整式与一个分式(分子为整数)解:由分母为﹣x2+1,可设﹣x3﹣2x2+x+3=(﹣x2+1)(x+a)+b,则﹣x3﹣2x2+x+3=﹣x3﹣ax2+x+a+b.∵对任意x上述等式均成立,∴a=2且a+b=3,∴a=2∴.这样,分式被拆分成了一个整式x+2与一个分式求:(1)如果分式的值为整数(2)当﹣1<x<1时,求出的最小值.参考答案一、选择题(共30分)1.解:,的分母中含有字母,共4个,故选:A.2.解:5nm=0.000000005m,5.000000005=5×10﹣9.故选:D.3.解:由题意得:==,∴如果把分式(x>0,那么分式的值扩大6倍,故选:B.4.解:∵分式的值为0,∴|x|﹣2=8且(x+3)(x﹣2)x≠7,解得x=﹣2,故选:C.5.解:A、==,故A不符合题意;B、=,故B符合题意;C、≠,故C不符合题意;D、=(a≠0);故选:B.6.解:A.是最简分式;B.==x﹣y;C.==,不符合题意;D.=,不符合题意;故选:A.7.解:A.3﹣1=,因此选项A不符合题意;B.5x﹣2=5×=,因此选项B不符合题意;C.(x﹣8)2•x6=x﹣2•x6=x0=5,因此选项C不符合题意;D.(x3)2÷x﹣5=x6÷x﹣2=x5+2=x8,因此选项D符合题意.故选:D.8.解:∵3※(x﹣1)=7,∴+=1,x﹣3+3=3(x﹣5),解得:x=,检验:当x=时,3(x﹣6)≠0,∴x=是原方程的根,故选:C.9.解:A+B=++=+﹣=+=﹣=5,故选:C.10.解:设每个足球的价格为x元,可列方程为:﹣=5.故选:A.二、填空题(共18分)11.解:由题意得:x+1≠0,解得:x≠﹣6.故答案为:x≠﹣1.=.故答案为:.13.解:方程两边同乘(x﹣2)得:x+m﹣1=7(x﹣2),由题意得:x=2是该整式方程的解,∴4+m﹣1=0,解得:m=﹣3,故答案为:﹣1.14.解:把x=1代入关于x的方程得,=,两边都乘以2(a﹣1),得4a=3(a﹣1),解得a=5,经检验,a=3是方程的解,故答案为:3.15.解:∵,∴x+y=3xy,∴====6,故答案为:5.16.解:移项,得3x﹣2y=3.原式=23x÷42y=25x﹣2y=22=8.故答案为:8.三、解答题(共72分)=12;(2)原式=x﹣4y6×(﹣x5y6)÷x﹣6y7=﹣x﹣4+3﹣(﹣6)y4+6﹣2=﹣x5y10.18.解:(1)原式=•=•=;(2)原式=••=.19.解:(1)原方程去分母得:x﹣2=3(6x﹣1),去括号得:x﹣2=8x﹣3,移项,合并同类项得:﹣5x=﹣6,系数化为1得:x=,经检验,x=,故原方程的解为x=;(2)原方程去分母得:4﹣(x+5)=0,去括号得:4﹣x﹣2=0,移项,合并同类项得:x=2,经检验,x=2是分式方程的增根,故原方程无解.20.解:原式=•=•=,当a=1或8时,分式无意义,故当a=﹣1时,原式=﹣,当a=0时,原式=﹣.21.解:===,∵,∴,解得:,∴A﹣B=﹣1﹣(﹣2)=﹣6+2=1.22.解:,去分母并整理得(m﹣1)x=5,∵原分式方程无解,∴(x+6)(x﹣1)=0或m﹣2=0,当m﹣1=4时,解得m=1;当(x+2)(x﹣7)=0时,解得:x=﹣2或x=4,当x=﹣2时,得;当x=1时,得m=6,∴m的值可能为2或或2.23.解:(1)由x2﹣5x+5=0可知x≠0,两边同时除以x得:x﹣4+=0,∴x+x﹣6=x+=5;∴x+x﹣5的值为5;(2)∵x+x﹣1=5,∴====.24.解:设骑车学生的速度为x千米/小时,汽车的速度为2x千米/小时,可得:,解得:x=15,经检验x=15是原方程的解,3x=2×15=30,答:骑车学生的速度和汽车的速度分别是每小时15km,30km.25.解:(1);∴x的整数值是﹣5,0,2,5;(2)由分母为﹣x2+2,可设﹣x5﹣2x2+10=(﹣x2+2)(x2+a)+b,则﹣x6﹣2x2+10=﹣x7+(2﹣a)x2+3a+b.∵对任意x上述等式均成立,∴,解得:,∴,当x=0时,取得最小值为5,∴当﹣4<x<1时,的最小值为5,故答案为5.。
湘教版八年级数学上册第一章《分式》同步练习题1.1 分式 第1课时 分式的概念检查分式概念问题:(1)当x 时,代数式432−x x是分式;(2)在π1,0,1,31),(21,32c a b y x x −−中,整式有 ,分式有 .本节达标反馈练习题:A:1.在yx x x n m m n a a −+++251,5,1,3,4,4中,整式有 ,分式有 .2. 当x 时,分式121−+x x 值为0;x 时,这个分式值有意义,x 时,这个分式值无意义.3.把分式ba a+的a,b 都扩大3倍,则分式的值 . 4.完成填空:mn mn 2)(1=,.)(,)(122y x y x y x b bb b +−−=−++=+ 5.不改变分式值,使分式的分子,分母中各项的系数化为整数,=−+y x yx 2434.6.不改变分式值,使分式的分子,分母中最高次项系数为正的.251213a a a −+−−= .1.判断正误: (1).6565n m n m =−−−( ) (2)xy xx y x +−=+−( ) (3)2121−=−−x x ( ) (3)2237233723xx xx x x −++=−+−+−( ) 2. 说明下面等号右边是怎样从左边得到的:(1)1232622−=−++x x x x ( ) (2)63212−−−=+x x x x ( ) 3.不改变分式的值和它本身的符号,使下列的第二个分式的分母和第一个分式的分母相同:.354,31622−+−−+−+a a a a a a4.将分式abba +中字母b a ,分别扩大2倍,则变形后的分式的值 .5.当x 时,分式xx −32的值为负.6.分式918322−−−x x x ,当x 时,分式无意义; 当x 时,分式值为0.1.1 分式第2课时 分式的基本性质1、式子①x 2 ②5y x + ③a −21④1−πx 中,是分式的有( )A .①② B. ③④ C. ①③ D.①②③④ 2、若分式1−x x无意义,则x 的值是( ) A. 0 B. 1C. -1D.1± 3.若分式的值为0,则x 的值是( )4、分式13−x 中,当a x −=时,下列结论正确的是( ) A .分式的值为零 B.分式无意义C. 若31−≠a 时,分式的值为零D. 若31≠a 时,分式的值为零1、下列各有理式,哪些是整式?哪些是分式?1+x 3,21++x x ,m m 3−,53b a +,,4n m −,123+x -132−y ,x x 22,π1(x +y)整式{ …} 分式{ …} 2、判断:当分子等于0时,分式的值为0 ( ) 3、判断:分式112+x 一定有意义 ( ) 4、当x 时,分式21++x x 无意义;当x 时,分式231−+x x 无意义;当x 时,分式354−+x x 有意义;当x 时,分式x +12−x -23+x 有意义;5、要使式子33−+x x ÷42−+x x 有意义,x 的取值应为 。
最新精编湘教版八年级数学上册全册同步练习(含答案)目录:一:湘教版八年级数学上册第一章《分式》全单元同步练习(5课时含答案)二:湘教版八年级数学上册第二章《三角形》全单元同步练习(6课时含答案)三:湘教版八年级数学上册第三章《实数》全单元同步练习(3课时含答案)四:湘教版八年级数学上册第四章《一元一次不等式(组)》同步练习(5课时含答案)五:湘教版八年级数学上册第五章《二次根式》同步练习(3课时含答案)湘教版八年级数学上册第一章《分式》全单元同步练习(5课时含答案)1.1分式同步检测一、选择题1.下列各式:,,,+m ,其中分式共有().A. 1个B. 2个C. 3个D. 4个2.当a=2时,其值为零的分式是()A. B.C. D.3.分式中,当x=-a时,下列结论正确的是()A. 分式的值为零B. 分式无意义C. 若a≠-时,分式的值为零D. 若a≠时,分式的值为零4.若分式的a、b的值同时扩大到原来的10倍,则此分式的值()A. 是原来的20倍B. 是原来的10倍C. 是原来的倍D. 不变5.分式的分母经过通分后变成2(a﹣b)2(a+b),那么分子应变为()A. 6a(a﹣b)2(a+b)B. 2(a﹣b)C. 6a(a﹣b)D. 6a(a+b)6.下列各式中,从左到右变形正确的是()A. =B. =a+bC. =﹣D. =7.根据分式的基本性质,分式可变形为()A. B.C. D.8.如果把中的x,y都扩大10倍,则分式的值为()A. 是原来的20倍B. 不变C. 是原来的10倍D. 是原来的倍9.函数中,自变量的取值范围是()A. B.C. D.10.把分式(x≠0)中的x、y扩大为原来的2倍,那么分式的值()A. 扩大2倍B. 缩小2倍C. 缩小为原来的D. 不变二、填空题11.分式,当x=________时分式的值为零.12.当a________ 时,分式有意义.13.分式和的最简公分母是________.14.当a________时,分式有意义;当________时,分式无意义.15.分式,,的最简公分母是________.16.不改变分式的值,使分式的分子和分母的最高次项的系数是正数:________.17.化简得________ .18.若分式的值为零,则x的值为________.三、解答题19.若使为可约分数,则自然数n的最小值应是多少?20.在括号里填上适当的整式:(1)(2)(3).21.x为何值时,分式的值为正数?22.已知a2﹣4a+4与|b﹣1|互为相反数,求的值.23.不改变分式的值,使下列分式的分子与分母均按某一字母降幂排列,并使分子、分母的最高次项的系数都是正数.(1)(2).参考答案一、选择题1.A2.B3.C4.D5.C6.C7.C8.B9.C 10.D二、填空题11.-3 12.≠-13. 6b2 14.≠﹣2;x=3 15.72xyz2 16.17.18. 2三、解答题19.解:要使可约分,不妨设分子与分母有公因数a,显然应用a>1,并且设分子:n﹣13=ak1,①分母:5n+6=ak2.②其中k1, k2为自然数.由①得n=13+ak1,将之代入②得5(13+ak1)+6=ak2,即71+5ak1=ak2,所以a(k2﹣5k1)=71.由于71是质数,且a>1,所以a=71,所以n=k1•71+13.故n最小为84.20.解:(1)分子分母都乘以5a,得(2)分子分母都除以x,得(3)分子分母都乘以2a,得21.解:的值为正数,得3x﹣9>0,解得x>3,当x>3时,分式的值为正数.22.解:a2﹣4a+4=(a﹣2)2≥0,|b﹣1|≥0,∵a2﹣4a+4与|b﹣1|互为相反数,∴a﹣2=0,b﹣1=0,∴a=2,b=1∴==23.解:(1)==;(2)==﹣.1.2分式的乘法与除法同步检测一、选择题 1.化简的结果是( )A. m-1B. mC.D.2.下列运算中,正确的是( )A. (a+b )2=a 2+b 2B. a 3•a 4=a 12C. =3D. ()2=(a≠0) 3.化简结果为( )A.B.C. D.4.下列各式中,计算正确的是( )A. m ÷n •m=mB.C. D.5.÷等于( )A. B.C. -D. -6.计算 的结果是( )A.B.C. yD. x7.化简a 2÷b • 的结果是( )A. aB.C.D. a 28.a ÷a •的计算结果是( )A. aB. 1C. D. a29.计算的结果为()A. -B.C.D. -10.计算:•的结果是()A. B. C. D.二、填空题11.计算:=________12.计算a÷b•÷c•÷b•=________13.计算:﹣3xy•=________14.化简:×=________15.计算:=________16.化简的结果为________。
1.4__分式的加法和减法__ 第1课时 同分母的分式加、减法1.[2012·安徽]化简x 2x -1+x1-x 的结果是( )A .x +1B .x -1C .-xD .x2.[2011·湛江]化简a 2a -b -b 2a -b 的结果是( )A .a +bB .a -bC .a 2-b 2D .1 3.化简⎝ ⎛⎭⎪⎫a 2a -3+93-a ÷a +3a 的结果是( )A .-aB .aC.(a +3)2aD .14.计算m m +3-69-m 2÷2m -3的结果为( )A .1B.m -3m +3C.m +3m -3D.3mm +3 5.化简⎝⎛⎭⎪⎫x 2+xy xy -x -y y ·x 的结果是( )A .0B .2xyC .xD .2x6.[2012·福州]计算:x -1x +1x =________.7.[2012·泉州]计算:m m -1-1m -1=________. 8.[2012·天津]化简x (x -1)2-1(x -1)2的结果是________.9.计算:a 2a 2+2a ·⎝⎛⎭⎪⎫a 2a -2-4a -2=________. 10.计算:(1)m 2-mn 9(m -n )2-n 2-mn9(n -m )2;(2)5x x 2-x -51-x.11.计算:3-x (1+x )(1-x )-2-xx 2-1=________.12.[2012 ·山西]化简x 2-1x 2-2x +1·x -1x 2+x +2x 的结果是________.13.[2012·益阳]计算代数式ac a -b -bca -b 的值,其中a =1,b =2,c =3.14.[2012·长沙]先化简,再求值:a 2-2ab +b 2a 2-b 2+ba +b ,其中a =-2,b =1.15.[2011·贵港]若记y =f(x)=x 21+x 2,其中f(1)表示当x =1时y 的值,即f(1)=121+12=12;f ⎝ ⎛⎭⎪⎫12表示当x =12时y 的值,即f ⎝ ⎛⎭⎪⎫12=⎝ ⎛⎭⎪⎫1221+⎝ ⎛⎭⎪⎫122=15;…;则f(1)+f(2)+f ⎝ ⎛⎭⎪⎫12+f(3)+f ⎝ ⎛⎭⎪⎫13+…+f(2 011)+f ⎝⎛⎭⎪⎫12 011= ________. 答案解析1.D2.A 【解析】 a 2a -b -b 2a -b =a 2-b 2a -b =(a -b )(a +b )a -b =a +b.3.B 【解析】 原式=⎝ ⎛⎭⎪⎫a 2a -3-9a -3·aa +3=(a -3)(a +3)a -3·aa +3=a ,故选B.4.A 【解析】 原式=m m +3+6(m +3)(m -3)·m -32=m m +3+3m +3=m +3m +3=1,故选A. 5.D 【解析】 原式=⎣⎢⎡⎦⎥⎤x (x +y )xy -x -y y ·x =⎝⎛⎭⎪⎫x +y y -x -y y ·x=x +y -x +y y ·x =2yy·x =2x ,故选D. 6.1 7.1 8.1x -19.a 【解析】 原式=a 2a (a +2)·a 2-4a -2=a 2a (a +2)·(a +2)(a -2)a -2=a ,故填a.10.解:(1)原式=m 2-mn 9(m -n )2-n 2-mn9(m -n )2=m 2-mn -n 2+mn 9(m -n )2=m 2-n 29(m -n )2=(m +n )(m -n )9(m -n )2=m +n9(m -n ); (2)原式=5x x (x -1)-51-x=5x -1+5x -1=5+5x -1=10x -1. 11.5-2x 1-x 2 【解析】 原式=3-x 1-x 2+2-x 1-x 2=5-2x 1-x 2. 12.3x 【解析】 原式=(x +1)(x -1)(x -1)2·x -1x (x +1)+2x =1x +2x =3x . 13.解:原式=ac -bc a -b =(a -b )ca -b=c. 当a =1,b =2,c =3时,原式=3.14.解:原式=(a -b )2a 2-b 2+b a +b =(a -b )2(a +b )(a -b )+b a +b =a -b a +b +b a +b =aa +b .当a =-2,b =1时,原式=2.15.2 01012 【解析】 本题需要找到其中蕴含的规律,如果直接求解则工作量很大,且极易出错,实际上观察所给的式子可以发现f(x)=x 21+x 2,则f ⎝ ⎛⎭⎪⎫1x =⎝ ⎛⎭⎪⎫1x 21+⎝ ⎛⎭⎪⎫1x 2=11+x 2,所以f(x)+f ⎝ ⎛⎭⎪⎫1x =x 21+x 2+11+x 2=1,故f(1)+f(2)+f ⎝ ⎛⎭⎪⎫12+f(3)+f ⎝ ⎛⎭⎪⎫13+…+f(2 011)+f ⎝ ⎛⎭⎪⎫12 011=12+1+1+…+1=2 01012.。
湘教版八年级上册数学第1章分式含答案一、单选题(共15题,共计45分)1、使关于x的二次函数y=﹣x2+(a﹣2)x﹣3在y轴右侧y随x的增大而减小,且使得关于x的分式方程有整数解的整数a的和为()A.﹣1B.﹣2C.8D.102、如果分式有意义,那么x的取值范围是()A.x=0B.x<0C.x>0D.x≠03、新冠肺炎疫情影响全球,某企业临时增加甲、乙两个厂房生产口罩,甲厂房每天生产的数量是乙厂房每天生产数量的2倍,两厂房各加工6000箱口罩,甲厂房比乙厂房少用5天.则甲、乙两厂房每天各生产的口罩箱数为()A.1200,600B.600,1200C.1600,800D.800,16004、若分式的值为0,则的值是()A.2或-2B.2C.-2D.05、化简的结果是()A. B. C. D.6、函数中自变量x的取值范围是()A.x≠2B.C.D. 且x≠07、若分式有意义,则x的取值范围是()A.x≠1B.x≠﹣1C.x≥﹣1D.x>﹣18、下列计算正确的是()A. a2+ a3=a5B. a2• a3=a6C.(a3)2=a6D. a8÷ a4=a29、在实施“中小学生蛋奶工程”中,某配送公司按上级要求,每周向学校配送鸡蛋10000 个,鸡蛋用甲、乙两种不同规格的包装箱进行包装,若单独使用甲型包装箱比单独使用乙型包装箱可少用10个,每个甲型包装箱比每个乙型包装箱可多装50个鸡蛋,设每个甲型包装箱可装x个鸡蛋,根据题意下列方程正确的是()A. - =10B. =10C. -=10 D. - =1010、分式方程= 的解是()A.1B.C.﹣1D.无解11、已知=,则的值是()A. B. C. D.12、若代数式和的值相等,则x的值为()A.3B.7C.-4D.-813、下列分式运算或化简错误的是()A. B. C.D. + =﹣114、若+ = ,则+ 的值为()A.0B.1C.﹣1D.无法计算15、甲、乙两地之间的高速公路全长200千米,比原来国道的长度减少了20千米.高速公路通车后,某长途汽车的行驶速度提高了45千米/时,从甲地到乙地的行驶时间缩短了一半.设该长途汽车在原来国道上行驶的速度为x千米/时,根据题意,下列方程正确的是()A. =B. =C. =D. =二、填空题(共10题,共计30分)16、计算: =________17、计算下列各数的值:2﹣1=________;5﹣2=________;(π﹣3)0=________.18、已知方程x+ (c是常数,c≠0)的解是c或,那么方程x+(a是常数,且a≠0)的解是________或________.19、若分式的值为0,则X的值为________.20、若分式的值为0,则x=________.21、计算m÷n•= ;化简=________22、若分式的值为0,则x的值是________.23、若关于x的分式方程=2﹣的解为正数,则满足条件的正整数m 的值为________.24、在小学阶段,我们知道可以将一个分数拆分成两个分数的和(差)的形式,例如,= .类似地,我们也可以把一个较复杂的分式拆分成两个较简单,并且分子次数小于分母次数的分式的和或者差的形式.例如= ,仿照上述方法,若分式可以拆分成的形式,那么(B+1)-(A+1)=________.25、计算:(﹣1)2017﹣(π﹣2017)0=________.三、解答题(共5题,共计25分)26、 +(﹣1)2017+(3.14﹣π)﹣(﹣)﹣2.27、列方程解应用题:某商店在至期间销售一种礼盒.,该商店用2200元购进了这种礼盒并且全部售完:,这种礼盒每盒的进价是的一半,且该商店用2100元购进的礼盒数比的礼盒数多100盒.那么,这种礼盒每盒的进价是多少元?28、某工厂现在平均每天比原计划多生产25个零件,现在生产600个零件所需时间与原计划生产450个零件所需时间相同,原计划平均每天生产多少个零件?29、计算:(﹣3)0﹣2sin30°﹣.30、先化简,再求值:,其中a任取一个你喜欢的值,代入求代数式的值.参考答案一、单选题(共15题,共计45分)1、A2、D3、A4、A5、A6、A7、B8、C9、B10、A11、A12、D13、C14、C15、D二、填空题(共10题,共计30分)16、17、18、19、20、21、22、23、24、25、三、解答题(共5题,共计25分)26、27、28、29、30、。
第1章 分 式
类型之一 分式的概念
1.若分式2a +1
有意义,则a 的取值范围是 ( ) A .a =0
B .a =1
C .a ≠-1
D .a ≠0
2.当a ________时,分式1a +2
有意义. 3. 若式子2x -1
-1的值为零,则x =________. 4.求出使分式|x|-3(x +2)(x -3)
的值为0的x 的值.
类型之二 分式的基本性质
5.a ,b 为有理数,且ab =1,设P =a a +1+b b +1,Q =1a +1+1b +1
,则P____Q(填“>”、“<”或“=”).
类型之三 分式的计算与化简
6.化简⎝ ⎛⎭
⎪⎫1x -3-x +1x 2-1(x -3)的结果是 ( ) A .2
B.2x -1
C.2x -3
D.x -4x -1 7.化简x (x -1)2-1(x -1)2
的结果是______________.
8.化简:⎝ ⎛⎭⎪⎫1+1x ÷⎝ ⎛⎭
⎪⎫2x -1+x 2x .
9.先化简:1-a -1a ÷a 2-1a 2+2a
,再选取一个合适的值代入计算.
10.先化简,后求值:x -1x +2·x 2-4x 2-2x +1÷1x 2-1
,其中x 2-x =0.
类型之四 整数指数幂
11.计算:(1)(-1)2 013-|-7|+9×(7-π)0
+⎝ ⎛⎭⎪⎫15-1; (2)(m 3n)-2·(2m -2n -3)-2÷(m -1n)3.
类型之五 科学记数法
12.在日本核电站事故期间,我国某监测点监测到极微量的人工放射性核素碘-
131,其浓度为0.000 096 3贝克/立方米.数据“0.000 096 3”用科学记数法可表示为__________________.
类型之六解分式方程
13.分式方程
12
x2-9
-
2
x-3
=
1
x+3
的解为( )
A.x=3 B.x=-3 C.无解D.x=3或-3
14.解方程:
2
x-1
=
1
x-2
.
15.解方程:
2
3x-1
-1=
3
6x-2
.
类型之七分式方程的应用
16.李明到离家2.1千米的学校参加九年级联欢会,到学校时发现演出道具还放在家中,此时距联欢会开始还有42分钟,于是他立即步行匀速回家,在家拿道具用了1分钟,然后立即匀速骑自行车返回学校,已知李明骑自行车的速度是步行速度的3倍,且李明骑自行车到学校比他从学校步行到家少用了20分钟.
(1)李明步行的速度是多少米/分?
(2)李明能否在联欢会开始前赶到学校?
17.为了提高产品的附加值,某公司计划将研发生产的1 200件新产品进行精加工后再投放市场.现有甲、乙两个工厂都具备加工能力,公司派出相关人员分别到这两间工厂了解情况,获得如下信息:
信息一:甲工厂单独加工完成这批产品比乙工厂单独加工完成这批产品多用10天;
信息二:乙工厂每天加工的数量是甲工厂每天加工数量的1.5倍.
根据以上信息,求:甲、乙两个工厂每天分别能加工多少件新产品.
答案解析
1.C 2.≠-2 3.3
4.【解析】 要使分式的值为0,必须使分式的分子为0,且分母不为0,即|x|-3=0且(x +2)(x -3)≠0.
解:要使已知的分式的值为0,x 应满足|x|-3=0且(x +2)·(x -3)≠0.由|x|-3=0,得x =3或x =-3,检验知:当x =3时,(x +2)(x -3)=0,当x =-3时,(x +2)(x -3)≠0,所以满足条件的x 的值是x =-3.
5.=
6.B 【解析】 原式=⎝ ⎛⎭
⎪⎫1x -3-1x -1(x -3)=1-x -3x -1=x -1x -1-x -3x -1=2x -1.
7.
x-1
8.解:原式=x+1
x
÷
x2-1
x
=
x+1
x
×
x
(x+1)(x-1)
=
1
x-1
.
9.解:原式=1-a-1
a
×
a(a+2)
(a+1)(a-1)
=1-
a+2
a+1
=-
1
a+1
.
当a=3时,原式=-
1
3+1
=-
1
4
.(a的取值为0,±1,-2外的任意值)
10.【解析】本题是一道含有分式乘除混合运算的分式运算,先化简,然后把化简后的最简结果与已知条件相结合,不难发现计算方法.
解:原式=x-1
x+2
·
(x+2)(x-2)
(x-1)2
·
(x+1)(x-1)
1
=(x-2)·(x+1)=x2
-x-2.
当x2-x=0时,原式=0-2=-2. 11.【解析】先算乘方,再算乘除.解:(1)原式=-1-7+3+5=0;
(2)原式=m-6n-2·2-2m4n6÷m-3n3
=1
4
m-6+4-(-3)n-2+6-3=
1
4
mn.
12.9.63×10-5
13.C 【解析】方程的两边同乘(x+3)(x-3),得12-2(x+3)=x-3,解得x =3.
检验:当x=3时,(x+3)(x-3)=0,
即x=3不是原分式方程的解,
故原方程无解.
14.解:方程两边都乘(x-1)(x-2),得2(x-2)=x-1,去括号,得2x-4=x-1,
移项,得x=3.
经检验,x=3是原方程的解,
所以原分式方程的解是x=3.
15.解:方程两边同时乘6x-2,得4-(6x-2)=3,
化简,得-6x=-3,解得x=1 2 .
检验:当x=1
2
时,6x-2≠0,
所以x=1
2
是原方程的解.
16.【解析】(1)相等关系:从学校步行回家所用的时间-从家赶往学校所用的时间=20分钟;(2)比较回家取道具所用总时间与42分的大小.
解:(1)设李明步行的速度是x米/分,则他骑自行车的速度是3x米/分,
根据题意,得2 100
x
-
2 100
3x
=20,解得x=70,
经检验,x=70是原方程的解,所以李明步行的速度是70米/分.
(2)因为2 100
70
+
2 100
3×70
+1=41(分)<42(分),
所以李明能在联欢会开始前赶到学校.
17.【解析】本题的等量关系为:甲工厂单独加工完成这批产品所用天数-乙工厂单独加工完成这批产品所用天数=10;乙工厂每天加工的数量=甲工厂每天加工的数量×1.5,则若设甲工厂每天加工x件产品,那么乙工厂每天加工
1.5x件产品,根据题意可分别表示出两个工厂单独加工完成这批产品所用天数,进而列出方程求解.
解:设甲工厂每天加工x件产品,则乙工厂每天加工1.5x件产品,
依题意,得1 200
x
-
1 200
1.5x
=10,
解得x=40,
经检验x=40是原方程的根,
所以1.5x=60.
答:甲工厂每天加工40件产品,乙工厂每天加工60件产品.。