有机合成练习试题答案
- 格式:doc
- 大小:4.20 MB
- 文档页数:29
有机合成专题训练(2017级)1•某酯K 是一种具有特殊香气的食用香料,广泛应用于食品和医疗中。
其合成路线如下:(1) ____________________________ E 的含氧官能团名称是 。
(2) _________________ 试剂X 是 _____________________________ (填化学式):②的反应类型是 __________________ 。
(3) D 的 电离方程式是 ______________________________________ 。
(4) ____________________________________________ F 的分子式为C 6H 6O ,其结构简式是 ______________________________________________________。
(5) W 的相对分子质量为 58, 1 mol W 完全燃烧可产生 3.0 mol CO 2和3.0 mol H 2O ,且W 的分子中不含甲基,为链状结构。
⑤的化学方程式(6) G 有多种属于酯的同分异构体,请写出同时满足下列条件的所有同分异构体的结构简式: ______________________ 。
① 能发生银镜反应且能与饱和溴水反应生成白色沉淀 ② 苯环上只有两个取代基且苯环上的一硝基取代物只有两种D©P A®*已知:RCH 2COOH il) KOHCH 3CHCOOHICH^CHCOOH CHsCHCOOHCl C1法浓△2•光刻胶是一种应用广泛的光敏材料,其合成路线如下(部分试剂和产物略去)已知:(4) B 与Ag(NH 3)2OH 反应的化学方程式为(5)乙炔和羧酸X 加成生成E , E 的核磁共振氢谱为三组峰,且峰面积比为 3:2:1 ,生水解反应,则 E 的结构简式为(7) D 和G 反应生成光刻胶的化学方程式为A.B擬尙on 占 亡显0-------- 1-OII.Ri —C — H + R2- CH —CHO稀 NaOH R i-CH C —CHO1(R , R 为烃基或氢)R 2OOR 1-C —CI + R 2OH 一疋条件 R L L O R 2 +HCI (R , R'为烃基)(1) A 分子中含氧官能团名称为 (2) 羧酸X 的电离方程式为 (3) C 物质可发生的反应类型为(填字母序号)。
有机合成工考试试题(题库版)1、单选下列试剂中属于硝化试剂的是()A.浓硫酸B.氨基磺酸C.混酸D.三氧化硫正确答案:C2、单选20%发烟硝酸换算成硫酸的浓度为()。
A、104.5%B、10(江南博哥)6.8%C、108.4%D、110.2%正确答案:A3、判断题工业生产上所用的还原铁粉一般采用50~60目的铁粉正确答案:对4、单选滴定管、移液管、刻度吸管和锥形瓶是滴定分析中常用的四种玻璃仪器,在使用前不必用待装溶液润洗的是()。
A.滴定管B.移液管C.刻度吸管D.锥形瓶正确答案:D5、判断题缩聚反应一定要通过两种不同的单体才能发生。
正确答案:错6、判断题由于sp杂化轨道对称轴夹角是180°。
所以乙炔分子结构呈直线型。
正确答案:对7、单选用熔融碱进行碱熔时,磺酸盐中无机盐的含量要求控制在()A.5%以下B.10%以下C.15%以下D.20%正确答案:B8、判断题有毒气体气瓶的燃烧扑救,应站在下风口,并使用防毒用具。
正确答案:错9、判断题丁苯橡胶的单体是丁烯和苯乙烯。
正确答案:错10、判断题氮氧化合物和碳氢化合物在太阳光照射下,会产生二次污染——光化学烟雾。
正确答案:对11、单选关于我国技术性贸易壁垒体系的说法,不正确的是()A.建立了全国技术性贸易壁垒措施部级联席会议制度B.已经能够有效地应对国外的技术性贸易壁垒措施的挑战C.建立了技术性贸易措施国家通报、评议和咨询的国内协调机制D.建立了技术性贸易措施信息服务体系正确答案:B12、判断题氨解指的是氨与有机物发生复分解反应而生产仲胺的反应。
正确答案:错13、判断题SN2反应分为两步进行。
正确答案:错14、判断题油脂在碱性条件下的水解称为皂化反应。
正确答案:对15、单选下列酰化剂在进行酰化反应时,活性最强的是()。
A、羧酸B、酰氯C、酸酐D、酯正确答案:B16、判断题和烯烃相比,炔烃与卤素的加成是较容易的正确答案:错17、单选国家标准规定的实验室用水分为()级。
9.3精细有机合成试题及答案一.选择题1. EDTA与金属离子形成配合物的鳌和比为( A )A、1:1B、1: 2C、1: 3D、1:42. 在含有过量配位剂L的配合物ML溶液中,C(M)=A mol/L ,加入等体积的水后,C(M)约等于(B)A、aB、a/2C、2aD、2/a3. 金属指示剂In在滴定的PH条件下,本身颜色必须(D )A、无色B、蓝色C、深色D、与Min不同4. 二苯胺磺酸钠是丄滴定一丫‘的常用指示剂。
它是属于( C )A、自身指示剂B、特殊指示剂C、氧化还原指示剂D、其他指示剂5. 碘量法中所需:-:■'1 ■■标准溶液中在保存中吸收了「[而发生下述反应:丄…「V --------------- * 一若用该滴定12溶液则消耗的量将(B )A、偏高B、偏低C、无影响D、无法判断6. 在2KMnO4 + 16HCI = 5CI 2 + 2MnCl2 + 2KCl +8H 2O 的反应中,还原产物是下面的哪一种(D )A、Cl2B、H2O7. 用同一KMnO4标准溶液分别滴定体积相等的FeSO4和H2C2O4溶液,耗用的标准溶液体积相等,对两溶液浓度关系正确表述是(C )A、C(FeSO4)= 5H2C2O4)B、2C(FeSO4)= 5H2C2O4)C、C(FeSO4)=2C(H2C2O4)D、2n(FeSO4)= n(H2C2O4)8. 下列叙述中正确的是(D )A、化学反应动力学是研究反应的快慢和限度的B、反应速率常数大小即是反应速率的大小C、反应级数越大反应速率越大D、活化能的大小不一定总能表示一个反应的快慢,但可表示反应速率常数受温度变化影响的大小9. Fe3O4中Fe的氧化值为( D )A、0B、+2/3C、-2/3D、+8/310. 下列因素与均相成核速率无关的是( A )A、陈放时间B、相对过饱和度C、物质的性质D、溶液的浓度11. 干燥剂干燥适用于下列( D )的物质。
有机合成化学试题及答案一、选择题(每题2分,共10分)1. 下列化合物中,哪一个不是芳香化合物?A. 苯B. 呋喃C. 环戊二烯D. 环己烷答案:D2. 在有机合成中,下列哪种反应不是还原反应?A. 氢化B. 还原胺化C. 氧化D. 硼氢化答案:C3. 以下哪个不是卤代烃的反应?A. 亲核取代B. 消除反应C. 还原反应D. 氧化反应答案:D4. 在有机合成中,下列哪种试剂不用于形成碳碳双键?A. 格氏试剂B. 羰基化合物C. 卤代烷D. 醇答案:D5. 以下哪个化合物不是烯烃?A. 乙烯B. 丙烯C. 环己烯D. 环己烷答案:D二、填空题(每题2分,共10分)1. 有机合成中,_________是一种常用的保护羟基的方法。
答案:甲硅烷基化2. 烷基化反应中,常用的烷基化试剂是_________。
答案:卤代烷3. 在有机合成中,_________反应可以用于合成环状化合物。
答案:Diels-Alder4. 有机合成中,_________是一种常用的氧化剂。
答案:铬酸5. 有机合成中,_________反应可以用来合成酯。
答案:酯化三、简答题(每题5分,共20分)1. 简述格氏试剂的制备过程。
答案:格氏试剂的制备通常涉及将卤代烷与金属镁在干燥的乙醚中反应,生成相应的格氏试剂。
2. 描述一下亲核取代反应的机理。
答案:亲核取代反应通常涉及一个亲核试剂攻击一个电性中心(如卤代烷),导致旧键的断裂和新键的形成。
3. 什么是E1和E2消除反应?它们的主要区别是什么?答案:E1和E2消除反应都是形成碳碳双键的反应。
E1是一个分步过程,涉及一个碳正离子中间体;而E2是一个协同过程,不涉及中间体。
4. 简述氧化还原反应在有机合成中的重要性。
答案:氧化还原反应在有机合成中非常重要,它们可以用来增加或减少分子中的氧化态,从而改变分子的化学性质和反应性。
四、计算题(每题10分,共20分)1. 给定一个反应:2-丁醇 + 铬酸→ 2-丁酮 + 水。
高中化学《有机合成的综合应用》练习题(附答案解析)学校:___________姓名:___________班级:_______________一、单选题1.物质J(如图所示)是一种具有生物活性的化合物。
下列说法中正确的是 ( )A .J 分子中所有碳原子有可能共平面B .J 中存在5种含氧官能团C .J 分子存在对映异构D .1mol J 最多能与2mol NaOH 发生反应2.分别燃烧等物质的量的下列各组物质,其中消耗氧气的量相等的是( )①C 2H 2与C 2H 4O ②C 4H 8与C 6H 12O 6③C 7H 8与C 6H 12④HCOOCH 3与CH 3COOHA .①④B .①②④C .①③④D .①②③④3.下列各大化合物中,能发生酯化、还原、氧化、加成、消去五种反应的是( )A .B .C .3CH CH CH CHO -=-D .4.某种药物合成过程中的一种中间产物结构表示如下: 。
下列有关该中间产物的说法不正确的是( )A .化学式为C 15H 12NO 4ClB .可以发生水解反应C .苯环上的一氯代物有7种D .含有3种官能团5.在有机物分子中,若某个碳原子连接着四个不同的原子或原子团,这种碳原子称为“手性碳原子”,凡有一个手性碳原子的物质一定具有光学活性,物质经过以下反应仍具有光学活性的是( )A .与乙酸发生酯化反应B .与NaOH 水溶液反应C .与银氨溶液作用只发生银镜反应D .在催化剂作用下与H 2加成6.海博麦布是我国首个自主研发的胆固醇吸收抑制剂,结构简式如图所示。
下列说法错误的是A .该分子存在顺反异构体B .该分子中含有2个手性碳原子C .该物质能与23Na CO 反应产生无色气体D .1mol 该物质与浓溴水反应,最多消耗3mol 2Br7.设N A 为阿伏加德罗常数的值,下列说法正确的是( )A .28g 聚乙烯中含有N A 个碳碳双键B .1 mol 乙烯与Cl 2完全加成,然后与Cl 2发生取代反应,共消耗Cl 2分子数最多为6 N AC .标准状况下,2.24L CCl 4中的原子总数大于0.5 N AD .17g 羟基中含有的电子数为10 N A8.有机物Z 常用于治疗心律失常,Z 可由有机物X 和Y 在一定条件下反应制得,下列叙述正确的是()A .X 中所有原子可能在同一平面上B .1mol Y 在稀硫酸中充分加热后,体系中存在3种有机物C .加入KOH 有利于该反应的发生D .1mol Z 与足量2H 反应,最多消耗26mol H9.乙酰水杨酸即阿司匹林是最常用的解热镇痛药,其结构如图所示。
有机合成练习题班级姓名1、下列反应可以使碳链减短的是()A. 乙酸与丙醇的酯化反应B. 用裂化石油为原料制取汽油C. 乙烯的聚合反应D. 苯甲醇氧化为苯甲酸2、扁桃酸是重要的医药合成中间体,工业上合成它的路线之一如图所示:下列有关说法错误的是()A. 反应I是加成反应B. 反应II中还有NH4+生成C. 扁桃酸能发生消去反应D. 图中三种芳香化合物均可发生取代反应3、在有机合成中,常会将官能团消除或增加,下列相关过程中反应类型及相关产物不合理的是()A.乙烯→乙二醇:B.溴乙烷→乙醇:CH3CH2Br CH3CH2OHC.1-溴丁烷→1,3-丁二烯:CH3CH2CH2CH2Br CH3CH2CH=CH2CH2=CH-CH=CH2D.乙烯→乙炔:CH2=CH2CH≡CH4、已知酸性:综合考虑反应物的转化率和原料成本等因素,将完全转变为的最佳方法是( )A.与稀H2SO4共热后,加入足量的NaOH溶液B.与稀H2SO4共热后,加入足量的NaHCO3溶液C.与足量的NaOH溶液共热后,再加入适量的H2SO4溶液D.与足量的NaOH溶液共热后,再通入足量CO25、以氯乙烷为原料制取乙二酸(HOOC-COOH)的过程中,要依次经过下列步骤中的()①与NaOH的水溶液共热②与NaOH的醇溶液共热③与浓硫酸共热到170℃④在催化剂存在情况下与氯气加成⑤在Cu或Ag存在的情况下与氧气共热⑥与新制的Cu(OH)2共热.A.①③④②⑥B.①③④②⑤C.②④①⑤⑥D.②④①⑥⑤6、已知共轭二烯烃分子中含有两个相隔一个单键的双键(一般为碳碳双键),某共轭二烯烃与H2加成后的产物是,则该二烯烃与Br2按物质的量之比为1:1的比例加成后的产物有()A. 1种B. 2种C. 3种D. 4种7、已知。
现有A、B、C、D、E、F六种有机物有如下转化,其中A的分子式为C4H8O3 。
下列判断正确的是()A.有机物A结构可能有四种B.反应①属于氧化反应C.有机物B、D的最简式相同D.有机物E是交警检测酒驾的重要物证8、常见的有机反应类型有:①取代②加成③消去④酯化⑤加聚⑥水解⑦还原。
有机合成专题一、由反应条件确定官能团123)456789101112131415216、能跟FeCl 3溶液发生显色反应的是:酚类化合物苯酚与FeCl 3溶液反应15、能跟I 2发生显色反应的是:淀粉遇碘单质显蓝色16、能跟浓硝酸发生颜色反应的是:含苯环的蛋白质遇浓硝酸凝结显黄色17、能发生水解反应的有机物是:卤代烃、酯、糖类(单糖除外)、肽类(包括蛋白质)二、已知相对分子质量(M)有机物分子式的确定:CxHy ,可用相对分子质量除以12,看商和余数。
即12M ==x…y 余,分子式为CxHy三、对称法(又称等效氢法、同种环境的氢原子) 等效氢法的判断可按下列三点进行: 1、同一碳原子上的氢原子是等效的2、同一碳原子所连甲基上的氢原子是等效的3、处于镜面对称位置上的氢原子是等效的(相当于平面成像时,物与像的关系) 四、不饱和度的计算方法:对于C x H y O z ,不饱和度222yx -+=Ω,规定:1、烷烃的不饱和度为02、环、双键(碳碳双键、碳氧双键)不饱和度为1,如:、、、、不饱和度为13、三键不饱和度为2,如:—C≡C—不饱和度为24、苯环不饱和度为4 五、重要的反应现象归纳1、能使溴水(Br 2/H 2O)褪色的物质①通过加成反应使之褪色:含有、—C≡C—的不饱和化合物 ②通过取代反应使之褪色:酚类注意:苯酚溶液遇浓溴水时,除褪色现象之外还产生白色沉淀③通过氧化反应使之褪色:含有—CHO(醛基)的有机物(有水参加反应)注意:纯净的只含有—CHO(醛基)的有机物不能使溴的四氯化碳溶液褪色④通过萃取使之褪色:液态烷烃、环烷烃、苯及其同系物、饱和卤代烃、饱和酯 2、能使酸性高锰酸钾溶液KMnO 4/H +褪色的物质含有、—C≡C—、—OH(较慢)、—CHO 的物质、与苯环相连的侧链碳碳上有氢原子的苯的同系物 六、重要的有机反应及类型1、取代反应:有机物分子中某些原子或原子团被其它原子或原子团所代替的反应。
:合成题1.由苯或甲苯及其它无机试剂制备:2.3.4.5.6. CH 3CH 2CH 2OH → CH 3C ≡CH 7.CH 3CH 2CH 2OH → CH 3CH 2CH 2OCH(CH 3)28.CH 3CH 2CH 2CH 2OH → CH 3CH 2CH(OH)CH 3 9.10.CH 2=CH 2→ HOCH 2CH 2OCH 2CH 2OCH 2CH 2OH 11.CH 3CH 2CH=CH 2 → CH 3CH 2CH 2CH 2OH 12.CH 3CH 2OH → CH 3CH(OH)COOH 13. 14.15.HC ≡CH → CH 3CH 2CH 2CH 2OH 16.NO 2COOH NO 2CH 3COOH Cl ClBr Cl Cl BrCOOHBrCH 3NO 2BrBrNO 2a. b. c. d. e. f.g.OH OHOHSO 3HCOClCOO CH 3CH 2C CH 3OHCH 3COOHNO 2Br CH 3COOH CMe 3COOH NO 217. 18. 19.20.CH 3CH=CHCH 3 → 21.CH 3CH 2CH 2OH → CH 3CH 2CH 2CH 2OH22.写出由相应的羰基化合物及格氏试剂合成2-丁醇的两条路线。
23.由苯合成2-苯基乙醇。
24.由甲苯合成2-苯基乙醇。
25. 26.27. 28.29.30.31. 32. 33.(CH 3)2C=CH 2 →(CH 3)3CCOOH34.CH 3CH-CHCHOOHOHBrC H 2(C H 2)2C H 2C OOHOOOCO 2CH 3OCH 2COCH3C H 3C O O HC O C H 3C H 3C OOC 2H 5H OOC C H -C H C OOE tC H 3C H 3OCOOH OHC H 3C H 2C H 2BrC H 3C H 2C H 2C O O H (CH 3)23)2CCOOH OH CH 3CH 3OOOOO OBrCOOHCH 2CHCH 2CH 3OHCH 2CH 2CH 2OHCH 2CHCH 3OH35.HC≡CH →CH3COOC2H536.37.CH3CH2COOH →CH3CH2CH2CH2COOH 38.CH3COOH →CH2(COOC2H5)239.40.41.42.43.44.45.46.47.48.49.50.OCO2CH3OHCOOHOOCCH3N H2NH2NH2NO2CH3C H2OH C H3C H C H2CH3N H2NH2NHCOCH3 NO2NCH3OHN N CH3 NH2NH2NO2NH2NH2NO2NH2NH2NO2OH251. 52.53.54.55.由CH 2(COOC 2H 5)2合成56.由CH 3COCH 2COOC 2H 5合成57. 58. 59.60.61.用丙二酸二乙酯合成1,3-环戊二甲酸。
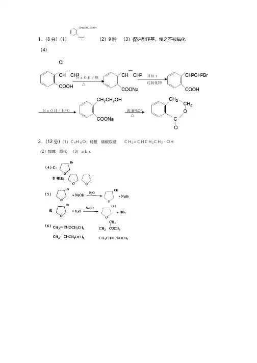
1.(8分)(1)OCH 3CH CH COOH(2)9种(3)保护酚羟基,使之不被氧化(4)CH COOHCH 3ClCH COONaCH 2COOHCH 2CH 2Br CH 2CH 2OHCOONaCH 2CH 2O C O2.(12分)(1)C4H10O;羟基碳碳双键CH2=CHCH2CH2-OH(2)加成取代(3)abcNaOH/醇△NaOH/H2O浓H 2SO 4△HBr过氧化物3.(10分,每空2分)(1)①⑥(共2分,写对1个给1分,错1个扣1分,扣完为止)(2)C :CH 3CHO Y: (3) HCl+CH 3OCAlCl 3+ClOCCH 34.(6分)(各1分,共3分)(3分)5.(10分) ⑴ 取代反应 (1分) ;HOOCCH=CHCOOH (2分) ⑵(2分)⑶ 保护A 分子中C =C 不被氧化 (1分) ;CH 2CH COOHCOOHCl (2分)(4) BrCH 2CH 2Br +2 H2O HCH 2CH 2H +2 H Br(2分) 6.(10分,方程式每个2分)(1)C :HOOC HOOC——CH 2—COOH (2分)、 E :HOOC HOOC——COOH COOH((2分)、 (2)消去,缩聚(各1分,共2分,答聚合、酯化也给分) (3) C OHCH 3CH 2CH 3浓H 2SO 4△ C CH 3CH CH3H 2O+OH②③7.(.(11)H2SO3(或SO2+H2O)()(22)Na2SO3、H2O;8.(.(11)E为CH3COOCH=CH2,F为。
(。
(22)加成反应、水解反应。
()加成反应、水解反应。
(33)ClCH2CH2Cl+H 2O ClCH2CH2OH+HClOH+HCl;;ClCH2CH 2OHCH3CHO+HClCHO+HCl。
9.(2)加成、酯化(取代) 一定条件一定条件1010..(1)CH 3-CH=CH 2; CH 3-CHOH CHOH--CH 2OH OH;;CH 3-COCOOH COCOOH;;CH 3-CHOH CHOH--COOH(2)COOH(2)①④⑦①④⑦1111.. (5)因酚羟基容易被氧化,故在反应③中先将—故在反应③中先将—OH OH 转化为—转化为—OCH OCH 3,第④步反应完成后再将—,第④步反应完成后再将—OCH OCH 3重新变成—重新变成—OH OH (2分)1212.. (4)①、②、⑤1313.(.(.(11)取代 酯代 (2)(3)1414.(.(.(11)①加成反应②取代反应(或水解反应)()①加成反应②取代反应(或水解反应)(22)反应③ 2CH 3CH 2OH+O 22CH 3CHO+2H 2O 反应④+2H 2O (3)(4)(其它合理答案均给分)1515..A : ;B :C :X 反应属于消去反应;反应属于消去反应;Y Y 反应属于酯化反应反应属于酯化反应((或取代反应或取代反应) ) ;Z 反应属于加聚反应或加成聚合反应或聚合反应。
有机合成、同分异构体、烷烃命名练习题一、单选题1.合成药物异搏定的路线中某一步骤如下:下列说法错误的是( )A.物质X 中所有碳原子可能在同一平面内B.可用FeCl 3溶液鉴别Z 中是否含有XC.等物质的量的X 、Z 分别与H 2加成,最多消耗H 2的物质的量之比为3:5D.等物质的量的X 、Y 分别与NaOH 反应,最多消耗NaOH 的物质的量之比为1:2 2.柳胺酚(X)水解得到Y 和Z,转化关系如下:下列说法中正确的是( ) A.Y 和Z 发生缩聚反应生成XB.Y 的结构简式为C.镍催化作用下,1mol Z 最多消耗67.2L H 2D.X 、Y 、Z 都能与FeCl 3溶液发生显色反应3.下列说法正确的是( )A.323CH COOCH CH 与323CH CH COOCH 互为同分异构体,核磁共振氢谱显示两者均有三种不同化学环境的氢原子且三种氢原子的比例相同,故不能州核磁共振氢谱来鉴别B.苯、苯酚、己烯只用一种试剂就可以鉴别C.用系统命名法叫2-甲基-1-丙醇D.按系统命名法,的名称为2,5,6-三甲基-4-乙基庚烷4.1mol 某烃在氧气中充分燃烧,需要消耗氧气179.2L(标准状况)。
它在光照的条件下与氯气反应能生成三种不同的一氯取代物。
该烃的结构简式是( )A. B.CH3CH2CH2CH2CH3C. D.5.下列说法正确的是( )A.按系统命名法,化合物的名称为2,6-二甲基-5-乙基庚烷B.丙氨酸和苯丙氨酸脱水,最多可生成3种二肽C.化合物是苯的同系物D.三硝酸甘油酯的分子式为C3H5N3O96.最简式相同,但既不是同系物,又不是同分异构体的是( )①辛烯和3-甲基-1-丁烯②苯和乙炔③1-氯丙烷和2-氯丙烷④甲基环己烷和乙烯A.①②B.②③C.③④D.②④7.下列关于酚的说法不正确的是( )A.酚类是指羟基直接连在苯环上的化合物B.酚类都具有弱酸性,在一定条件下可以和NaOH溶液反应C.酚类都可以和浓溴水反应生成白色沉淀,利用该反应可以检验酚D.分子中含有羟基和苯环的含氧衍生物都属于酚类8.被誉为"紫色黄金"的蜂胶中含有的丰富而独特的生物活性物质—咖啡酸苯乙酯(CAPE)已经被鉴定为蜂胶中的主要组分之一,具有较强的抗炎和抗氧化活性,可以起到抗肿瘤的作用,所以CAPE在医学上具有广阔的应用前景。
有机合成专题训练(2017级)1.某酯K是一种具有特殊香气的食用香料,广泛应用于食品和医疗中。
其合成路线如下:已知:RCH2COOH CH3CHCOOH(1)E的含氧官能团名称是。
(2)试剂X是(填化学式);②的反应类型是。
(3)D的电离方程式是。
(4)F的分子式为C6H6O,其结构简式是。
(5)W的相对分子质量为58,1 mol W完全燃烧可产生3.0 mol CO2和3.0 mol H2O,且W的分子中不含甲基,为链状结构。
⑤的化学方程式是。
(6)G有多种属于酯的同分异构体,请写出同时满足下列条件的所有同分异构体的结构简式:。
①能发生银镜反应且能与饱和溴水反应生成白色沉淀②苯环上只有两个取代基且苯环上的一硝基取代物只有两种2.光刻胶是一种应用广泛的光敏材料,其合成路线如下(部分试剂和产物略去):已知:Ⅰ.R1C H OR 2CH HCHOR 1CH C R 2CHO +(R ,R’为烃基或氢)Ⅱ.R 1C O Cl R 2OHR 1C O OR 2HCl++(R ,R’为烃基)(1)A 分子中含氧官能团名称为 。
(2)羧酸X 的电离方程式为 。
(3)C 物质可发生的反应类型为 (填字母序号)。
a .加聚反应b . 酯化反应c . 还原反应d .缩聚反应(4)B 与Ag(NH 3)2OH 反应的化学方程式为 。
(5)乙炔和羧酸X 加成生成E ,E 的核磁共振氢谱为三组峰,且峰面积比为3:2:1,E 能发生水解反应,则E 的结构简式为 。
(6)与C 具有相同官能团且含有苯环的同分异构体有4种,其结构简式分别为CH CH 2COOH 、CH CH 2HOOC、 和 。
(7)D 和G 反应生成光刻胶的化学方程式为。
3.高分子化合物G是作为锂电池中Li+迁移的介质,合成G的流程如下:已知:①②(1)B的含氧官能团名称是。
(2)A→B的反应类型是。
(3)C的结构简式是。
(4)D→E反应方程式是。
(5)G的结构简式是。
大学有机合成试题及答案一、选择题(每题2分,共20分)1. 下列化合物中,哪一个是芳香烃?A. 环己烷B. 环己烯C. 苯D. 环戊烷答案:C2. 以下哪个反应不是取代反应?A. 卤代反应B. 酯化反应C. 水解反应D. 还原反应答案:D3. 以下哪种试剂用于鉴别醛和酮?A. 硝酸银B. 溴水C. 碘化钾D. 托伦试剂答案:D4. 以下哪种化合物是手性分子?A. 甲烷B. 乙醇C. 丙酮D. 2-丁醇答案:D5. 以下哪个反应是消去反应?A. 醇的氧化B. 醇的酯化C. 醇的脱水D. 醇的卤代答案:C6. 以下哪种溶剂最适合进行SN1反应?A. 水B. 甲醇C. 乙醇D. 四氢呋喃答案:D7. 以下哪个化合物不是烯烃?A. 乙烯B. 丙烯C. 环己烯D. 环己烷答案:D8. 以下哪种反应类型属于亲核取代反应?A. 酯化反应B. 卤代反应C. 消除反应D. 氧化反应答案:B9. 以下哪种化合物是酸性最强的?A. 甲酸B. 乙酸C. 丙酸D. 丁酸答案:A10. 以下哪种化合物是芳香族化合物?A. 环己烷B. 环己烯C. 苯D. 环戊烷答案:C二、填空题(每空1分,共20分)1. 在有机合成中,_________反应是指在分子中引入一个新的碳-碳键。
答案:偶联2. 醇类化合物可以通过_________反应转化为醛。
答案:氧化3. 在有机化学中,_________是指分子中具有相同化学环境的原子或官能团。
答案:对称性4. 酯化反应通常需要使用_________作为催化剂。
答案:酸5. 有机合成中,_________是指分子中碳原子的四个价键都与不同的原子或基团相连。
答案:四面体结构6. 芳香族化合物通常具有_________的稳定性。
答案:较高的7. 在有机合成中,_________是指分子中碳原子的四个价键都与相同的原子或基团相连。
答案:平面结构8. 有机合成中,_________是指分子中碳原子的四个价键都与不同的原子或基团相连,但这些原子或基团在空间中的位置是固定的。
高二化学练习卷1.有机物A 为绿色荧光蛋白在一定条件下水解的最终产物之一,结构简式为:请回答下列问题:(1)A 的分子式为 。
(2)A 与氢氧化钠溶液反应的化学方程式为 。
(3)已知:两个氨基乙酸分子 在一定条件下反应可以生成两个A 分子在一定条件下生成的化合物结构简为 。
(4)符合下列4个条件的同分异构体有6种,写出其中三种 。
①1,3,5-三取代苯 ②遇氯化铁溶液发生显色反应 ③氨基与苯环直接相连 ④属于酯类2.(16分)以石油裂解气为原料,通过一系列化学反应可得到重要的化工产品增塑剂G 。
请回答下列问题:(1)反应①属于 反应(填反应类型),反应③的反应条件是 (2)反应②③的目的是: 。
O =CNH —CH 2 CH 2—NHC =ONH 2CH —COOH OHCH 2—CH —COOHNH 2HOOCCH =CHCOOH(3)写出反应⑤的化学方程式: 。
(4)写出G 的结构简式 。
3.(16分)M 是生产某新型塑料的基础原料之一,分子式为C 10H 10O 2,其分子结构模型如图,所示(图中球与球之间连线代表化学键单键或双键)。
拟从芳香烃 出发来合成M ,其合成路线如下:已知:M 在酸性条件下水解生成有机物F 和甲醇。
(1)根据分子结构模型写出M 的结构简式 。
(2)写出②、⑤反应类型分别为 、 。
(3)D 中含氧官能团的名称为 ,E 的结构简式 。
(4)写出反应⑥的化学方程式(注明必要的条件)。
4.建筑内墙涂料以聚乙烯醇(CH 2CH nOH)为基料渗入滑石粉等而制成,聚乙烯醇可由下列途径合成。
—C =CH 2CH 3—C =CH 2CH 3溴水 ①AB :C 9H 12O 2②NaOH/H 2OO 2/CuD :C 9H 10O 2E :C 9H 10O 3④FM⑤⑥试回答下列问题:(1)醋酸乙烯酯中所含官能团的名称__________________(只写两种)。
(2)上述反应中原子利用率最高的反应是______________(填序号)。
《有机合成》测试卷出题者:171单项选择(10 X 1' = 10',每空一分)1.下列反应应用何种试剂完成 ( ) A .LiAlH 4 B. NaBH 4 C. Fe + CH 3COOH (D) Pt + H 2 D.2.下列化合物有顺反异构的是 ( ) =CHCH 3 B .CH 3CH 2CH 2CH=CH 2 C .CH 3CH=C(CH 3)2 D . CH3C CCH 33. 尼龙-66是一种聚酰胺,其单体为:( )(A) 己内酰胺 (B) 己二酸己二胺盐 (C) 己二酸 + 尿素 (D) 丁二酰亚胺4 主要产物是 ( )(A) C 6H 5CH 2OH C 6H 5COOH (B) C 6H 5CHOHCH 2COOCOCH 3 (C) C 6H 5CH=CHCOOCOCH 3(D) C 6H 5CH=CHCOOH5.下列反应不能使碳链剪断的是 ( ) A .氯仿反应 反应 C.酯化反应 D.脱羧反应6.下列反应不属于合成的原则的是 ( ) A .合成路线复杂 B.经济易得 C.对环境造成污染小 D.反应条件温和7比较取代羧酸FCH 2COOH,ClCH 2COOH,BrCH 2COOH,ICH 2COOH 的酸性最大O COOCH 3C 6H 5CHO+(CH 3CO)2O的是:()(A) FCH2COOH (B) ClCH2COOH(C) BrCH2COOH (D) ICH2COOH8.以下物质不具有手性的是()A.酒石酸B.二氯甲烷C.二氯乙烯D.一氯甲烷9.四氢吡喃醚对以下试剂不稳定的是()A.碱试剂 C.烷基锂 D.酸10.以下方法不可以用来合成酚的是()A.苯磺酸盐碱熔法 B.氯苯水解法 C. 醇脱水法 D. 异丙苯水解法三.多项选择题(10 X 1' = 10',每空一分)1.羧酸的合成方法有()A.烷基苯的氧化 B.伯醇和醛的氧化 C.甲基酮的氧化 D.醛的还原2.以苯为主要原料一步就能制备以下哪些物质()A. B.C. D.3.以甲苯为主要原料能制备以下哪些物质()A. B.C.D.4.以下化合物酸性比苯酚大的是()A. 乙酸B. 乙醚C. 硫酸D.碳酸5.不能与HNO2反应能放出N2的是:()A. 伯胺B. 仲胺C. 叔胺D. 都可以6.可以由乙酰乙酸乙酯合成的产物是()A. B.C. D.7.以下化合物中含有安息香酸基的是 ( ) A. 苦杏仁酸 B. 安息香酸 C. 安息香酰氯 D.维生素B12 8.以下物质可能具有旋光性的是 ( ) A. 一氯甲烷 B. 樟脑 C. 酒石酸 D. 乳酸9.下列合成能够进行的是 ( )A. 由苯、乙酸 2OHC 6H 5C 6H 5B. 由间硝基甲苯合成COOH BrBr BrC. 对溴苯甲醛合成CHCH 2CH 3DOHD. CH 3CH 2COOH →CH 3CH 2CH 2COOH10.下列能成反应能够完成的是 ( )A. 由苯酚为起始原料合成COOEtOB. 仅由“三乙”、丙烯酸乙酯合成 OOHC. 仅苯、丙酸、二甲胺合成CH 3CH 2C-O-C--CH-CH 2N(CH 3)3OCH 32C 6H 5PhD. 不可以由苯合成ClCH 2Cl三.是非题,(对的打勾,错的打叉10x1,每题1分) 1. 的主要产物是C 6H5CH =C H C OC 6H 5CHO+(CH 3CO)2OOH()2. 甲胺、二甲胺、三甲胺、氢氧化四甲铵碱性最强的是甲胺()3.的可用催化剂NaBH4制取()4.可以用环己酮合成HO CH2NH2()5. 以CH3CH2CH2CO2Et为原料不能合成CH3CH2CH2CCH3CH2CH2CH3OH()6. 可以用盐酸区别正丁胺、二丁胺和三丁胺()O COOCH37. A 可以为氧气+银,或RCO 3H 。
有机合成复习题解题提示1.由不多于5个碳的醇合成:HHO解:这是一个仲醇,可由相应的格氏试剂与醛加成而得:CH 3CH 2OHCH 3CHO(A)K 2Cr 2O 7/H +CH 3CH 2CH 2CH 2CH 2OHCH 3CH 2CH 2CH 2CH 2BrCH 3CH 2CH 2CH 2CH 2MgBrTMPBr 3Mg/Et 2Oi.Aii.H 3O2.由乙醇为唯一碳源合成:HOH O解:乙醇作为乙醛的来源,进而得到丁醛,经羟醛缩合得到产物:CH 3CH 2OH CH 3CHO CH 3CH=CHCHOCH 3CH 2CH 2CHOTM题目的解法参见第一题,即自己来完善所需要的条件!考试中这样写是不可以的!以下同!3.由三个碳及以下的醇合成:OOH解:叔醇来自酯与格氏试剂的反应,但首先要保护酮的羰基,否则格氏试剂先要对酮的羰基加成,得不到预期的产物:CH 3OH CH 3ICH 3MgI (A)OHOOCH 3OOCH3Claisen 酯缩合OOHOMgIOONH 4ClH 2O缩醛和镁盐同时水解4.由苯及其他原料合成:Ph OH提示:由苯基格氏试剂与丙酮加成。
关键是要自制苯基格氏试剂,一般应该从溴苯来制备苯基格氏试剂。
5.由乙醇及必要的无机试剂合成:OH解:要注意红色虚线所示的两端碳数是相等的。
以下给出逆合成,正合成由学生自己完成:OHOMgBr2CH3CHO+OHCH 3CH2MgBr +CH 3CHO CH3CH 2BrCH 3CH 2OHOHO O H6.由乙醇合成:OH提示:本题需要由乙醇经氧化等步骤合成乙酸乙酯,而后与乙基格氏试剂加成来合成。
7.由苯及两个碳的试剂合成:OHPh Ph解:这里涉及到格氏试剂与苯乙酮的加成;格氏试剂要用到环氧乙烷来在苯环上增加两个碳:OBr MgBrOHMgBr8.由环己醇及两个碳以下的试剂合成:CH2OH提示:把CH2OH倒推到CHO便可看成是两分子环己基乙醛的羟醛缩合。
关键是在环己基上引入两个碳,这里又涉及到环氧乙烷的应用。
Br OHCHOCH 2OH9.由乙醛、PPh 3为原料合成:CH 3CH 2CH 2C=CHCH 3CH 2CH 3解:首先要能看出分子的每一部分都是“乙”及其倍数。
其次双键来自Wittig 反应;丁醛与乙基格氏试剂反应得并氧化到3-己酮;丁醛来自乙醛的羟醛缩合;CH 33CH=CHCHO CH 3CH 2CH 2CH 3CH 2CH 22CH 3CH 3CH 2CH 2CCH 2CH TM OHO10.完成下列转变:OHO HH CH 3解:产物的C=O 双键来自反应物OH 的氧化;顺式双键来自叁键的Lindlar 催化加氢;而叁键是丙炔取代反应物中的溴引入分子的。
关键是羰基的保护,因为炔化物是要进攻C=O 的。
BrOHBrOBrOO OO CH 3OHH CH 311.完成下列转变:CH 3CH 3CH 2解:产物的双键来自酮羰基的Wittig 反应,而酮来自醇的氧化,因此需要硼氢化氧化来产生反马氏规则的醇。
CH 3CH OH312.由四个碳脂肪族化合物及无机试剂合成:H3CH 3HHH解:两个双键均要来自叁键的部分还原;碳链的形成要用炔化物对相应四个碳的卤代烃的取代。
HC ≡CHCH 3C ≡CH 3C ≡CCH 2HH 3C HOH HH 3C HBrHH 3C HCH 3反式还原13.由乙炔及必要的有机无机试剂合成:3解:立体化学表明应该由顺-2-丁烯来氧化,而顺2-丁烯还是来自叁键的Lindlar 催化还原。
HC ≡CH 3C ≡CCH HCH 3HH 3CTM14.由苯和四个碳及以下的试剂合成:PhOHPh解:所给的苯是作为格氏试剂的;环己烯来自丁二烯与丙烯酸酯的双烯合成:TMCO 2Et +CO 2Et15.由苯及两个碳以下的试剂合成:PhPh OAc解:酯基来自醇的酯化;而对称的仲醇来自格氏试剂与甲酸酯的反应;所用的格氏试剂要用到两个碳的环氧乙烷:MgBrOHTM16.用上面类似的方法合成:OAc提示:其他步骤相同,只是需要将苯基格氏试剂换成甲基格氏试剂。
i.PBr 3ii.Mg/Et 2OCH 3MgI +CH 3CH 2CH 2OHOEt 2OCH 3CH 2CH 2MgBrHCO 2EtOHAc 2OOAc17.用三个碳及以下的试剂合成:OO解:目标产物是一个缩酮,去掉被保护的酮可见一个顺式二醇;顺式双键是来自炔的提示信息,则此二醇来自乙炔与甲醛的加成:TMHC ≡HOCH 2C ≡CCH 2OHOHOH18.由苯和环己烷为原料合成:Ph提示:环己酮与苯基格氏试剂加成后脱水。
19.用四个碳及以下的试剂合成:解:关键是中间反式双键的合成方法,需采用稳定化的Wittig 试剂与醛反应才能保证顺式立体化学:A3CH 2BrCH 2PPh -H-P +Ph 320.由甲苯及必要试剂合成:H 3CO提示:向苯环上引入四个碳原子需要采用丁二酸酐进行两次Friedel-Crafts 酰基化。
21.由苯、甲苯和必要试剂合成:H 3C解:在上题的基础上与苯基格氏试剂加成后失水、芳构化。
H 3C H 3C HO 2C O H 3C HO 2CH 3COH 3COH芳构化TM22.由苯及两个碳的试剂合成:Ph OHO提示:类似3的合成。
23.由丙二酸酯及四个碳以下的必要试剂合成:CO 2H解:烯丙基溴与丁二烯双烯合成后与丙二酸酯烷基化,之后水解脱羧得到一元酸:CH 2Br +CH 2BrCH 2CH(CO 2Et)224.由乙酰乙酸乙酯及两个碳的试剂合成:H 3CHOCH 3解:乙酰乙酸乙酯与相应的卤代烃烷基化后水解脱羧;顺式烯烃来自炔烃的还原:HC ≡CHCH 3C ≡CH 3C ≡CCH 2OHH 3CH H CH 2OHH 3CH H CH 2BrH 3CO CO 2Et HCH 3HH 3COHCH 3H25.由六氢吡啶、丙二酸酯及三个碳以下的试剂合成:N解:最终产物酰氯与六氢吡啶的酰基化,实际需要合成的是相应的羧酸。
可采用丙二酸酯的两次烷基化并水解脱羧来实现。
CH 2(CO 2Et)n-C 3H 7CH(CO 2Et)n-C 3H 7C(CO 2Et)2C 2H52TM26.由苯和环己烷为主要原料合成:提示:苯基格氏试剂与环己酮加成、脱水并还原。
27.由苯及必要试剂合成布洛芬:COOH解:羧基来自卤代烃的氰解、水解;相应的卤代烃即酰化产物转化而来;异丁基来自异丁酰氯酰基化之后的Clemmenson 还原。
Br CN 28.有三个碳及以下的有机化合物合成5-甲基-1,2-己二醇:OHHO解:邻二醇来自烯键的氧化,而烯键来自端炔的部分还原;因而碳链可看成是乙炔的负离子与相应的卤代烷的亲核取代;这个卤代烃可看成是2-溴丙烷的格氏试剂与环氧乙炔加成所得的增加两个碳的伯醇卤代而来:BrBrOHOHOH30.由四个碳级以下的有机物合成下列化合物,其它试剂任选:O O解:去掉缩甲醛可见一个1,3-二醇;将3-OH 看成酮则可看出羟醛缩合的模式。
醛和酮之间的缩合正常条件下都是酮的α-碳与醛的羰基加成,而不是相反:HOO+OOHOH31.由苯、两个碳的有机物及其它必要的试剂合成:PhPh O O解:1,3-二酮来自交叉酯缩合反应,都是酮的α-碳与酯的C=O 缩合:PhPhOOMgBrCO 2EtCH 3O32.由苯和乙烯为原料合成:2EtPhPhO解:这就是苯乙酸酯分子间的Claisen 酯缩合反应,关键是要由苯合成苯乙酸,增加的两个碳来自环氧乙烷:OHOHO2EtPhPhOEt O33.由苯、甲苯和丙二酸酯及必要试剂合成:Ph Ph t -BuO 2CCO 2Bu-t O解:这里有两个1,3-关系,但二酯不要破坏,因为是它与苯甲酰氯和苄基溴进行取代来合成碳骨架:CH 2ClCH 3CO 2HCOClCH 2(CO 2Et)CO 2Bu-t CO 2Bu-tCO 2Bu-t CO 2Bu-tPh PhOPh34.由苯、甲苯和乙酰乙酸乙酯及必要的试剂合成:OPh 2EtPh解:首先要考虑αβ-不饱和关系,切断后便可看出三乙进行Michael 加成的结构关系,而由此推出的αβ-不饱和酮来自羟醛缩合:PhPhO CH 3OCHOOPhCO2EtPhOOPhCO2EtPh35.由1,3-环己二酮、丙酮及其它必要试剂合成:OO解:这里涉及环己二酮的Michael加成,而Michael加成体来自丙酮的Mannich反应;角甲基的引入是很容易的:O ON+Me3I-OOOO36.由对甲氧基苯甲醛、乙酰乙酸乙酯及其它必要试剂合成:O OOMe解:对甲氧基苯甲醛的合成要复杂一些,所以不作要求;1,5-二酮实际上就来自乙酰乙酸乙酯与苯甲醛的缩合以及Michael加成:OMe CHOOMeCH3OO2CO2Et CO2EtOMeOO37.由乙酰乙酸乙酯、丙酮及其它必要试剂合成:O解:类似35题,即需要一个取代的乙酰乙酸乙酯和Michael 加成体来进行反应:CO 2EtO2EtOON +Me 3OO OCO 2Et38.由甲苯、环己酮、乙酰乙酸乙酯及其必要试剂合成:OPh解:也是Michael 加成和Robinson 环化的组合:O+Me 3I -O OPhOCO2EtPhOOCO2EtPh O Ph39.由丙酮、乙酰乙酸乙酯及必要试剂合成:CO2EtO解:由乙酰乙酸乙酯和甲基乙烯基酮发生Michael加成和Robinson环化:O OCO2Et O40.由丙酮和丙二酸酯合成:OEtO2C解:要了解目标化合物的对称性,切断1,3-关系便可看出两分子丙二酸酯的结构,再次切断后仍可退到丙二酸酯,以及与丙酮的缩合关系:OOOEtO OEtOHOH BrBrCO 2Et CO 2EtCO 2EtEtO 2CCO 2Et CO 2Et41.由苯、异丁醛基必要试剂合成:PhOHPh OH解:去掉两个苯基便可看到一个1,2-二氧化的结构,它来自醛与HCN 的加成水解和酯化;去掉这个1,2-结构便是一个醛基;由此可以看出是异丁醛与甲醛的缩合:O HOOHOH2HOH 2EtPhOHOHPh OH42.由环己酮及所需试剂合成:OO O O解:目标化合物是一个交酯,来自α-羟基酸的分子间失水反应;而这个α-羟基酸来自环己二酮的二苯乙醇酸重排:43.由苯、甲苯及两个碳的试剂合成(其它所需试剂任选):PhPhPhPhO解:这里需要一个二苯乙二酮和一个对称的1,3-二苯基丙酮。
前者来自苯甲醛的安息香缩合、氧化,后者来自苯乙酸酯的Claisen 酯缩合、脱羧:PhO HPhOOHPhO OPhOOEtPhOPh2EtPhOPhPhPhPhPhO44.由苯、环己酮及必要试剂合成:OH OHPh解:邻二醇来自双键的氧化,而双键就来自Wittig 反应。