化工原理课后习题答案上下册(钟理版)
- 格式:doc
- 大小:410.95 KB
- 文档页数:15
第一章流体流动1.某设备上真空表的读数为 13.3×103 Pa,试计算设备内的绝对压强与表压强。
已知该地区大气压强为 98.7×103 Pa。
解:由绝对压强 = 大气压强–真空度得到:设备内的绝对压强P绝= 98.7×103 Pa -13.3×103 Pa=8.54×103 Pa设备内的表压强 P表 = -真空度 = - 13.3×103 Pa2.在本题附图所示的储油罐中盛有密度为 960 ㎏/㎥的油品,油面高于罐底 6.9 m,油面上方为常压。
在罐侧壁的下部有一直径为 760 mm 的圆孔,其中心距罐底 800 mm,孔盖用14mm的钢制螺钉紧固。
若螺钉材料的工作应力取为39.23×106 Pa ,问至少需要几个螺钉?分析:罐底产生的压力不能超过螺钉的工作应力即P油≤σ螺解:P螺 = ρgh×A = 960×9.81×(9.6-0.8) ×3.14×0.762150.307×103 Nσ螺 = 39.03×103×3.14×0.0142×nP油≤σ螺得 n ≥ 6.23取 n min= 7至少需要7个螺钉4. 本题附图为远距离测量控制装置,用以测定分相槽内煤油和水的两相界面位置。
已知两吹气管出口的距离H = 1m,U管压差计的指示液为水银,煤油的密度为820Kg/㎥。
试求当压差计读数R=68mm时,相界面与油层的吹气管出口距离h。
分析:解此题应选取的合适的截面如图所示:忽略空气产生的压强,本题中1-1´和4-4´为等压面,2-2´和3-3´为等压面,且1-1´和2-2´的压强相等。
根据静力学基本方程列出一个方程组求解解:设插入油层气管的管口距油面高Δh在1-1´与2-2´截面之间P1 = P2 + ρ水银gR∵P1 = P4,P2 = P3且P3 = ρ煤油gΔh , P4 = ρ水g(H-h)+ ρ煤油g(Δh + h)联立这几个方程得到ρ水银gR = ρ水g(H-h)+ ρ煤油g(Δh + h)-ρ煤油gΔh 即ρ水银gR =ρ水gH + ρ煤油gh -ρ水gh 带入数据1.0³×10³×1 - 13.6×10³×0.068 = h(1.0×10³-0.82×10³)h= 0.418m6. 根据本题附图所示的微差压差计的读数,计算管路中气体的表压强p。
第一章 流体流动习题解答1-1 已知甲城市的大气压为760mmHg,乙城市的大气压为750mmHg 。
某反应器在甲地操作时要求其真空表读数为600mmHg ,若把该反应器放在乙地操作时,要维持与甲地操作相同的绝对压,真空表的读数应为多少,分别用mmHg 和Pa 表示。
[590mmHg, 7.86×104Pa]解:P(甲绝对)=760—600=160mmHg750-160=590mmHg=7.86×104Pa1-2用水银压强计如图测量容器内水面上方压力P 0,测压点位于水面以下0。
2m 处,测压点与U 形管内水银界面的垂直距离为0。
3m ,水银压强计的读数R =300mm ,试求 (1)容器内压强P 0为多少?(2)若容器内表压增加一倍,压差计的读数R 为多少?习题1-2 附图[(1) 3.51×104N m -2(表压); (2)0.554m]解:1. 根据静压强分布规律 P A =P 0+g ρH P B =ρ,gR因等高面就是等压面,故P A = P BP 0=ρ,gR -ρgH =13600×9.81×0。
3-1000×9.81(0。
2+0。
3)=3。
51×104N/㎡ (表压)2. 设P 0加倍后,压差计的读数增为R ,=R +△R,容器内水面与水银分界面的垂直距离相应增为H ,=H +2R∆.同理,''''''02Rp gR gH gR g R gH gρρρρρρ∆=-=+∆-- 000p g g p p 0.254m g g 10009.81g g 136009.812R H R ρρρρρρ⨯∆⨯⨯,,,4,,-(-)- 3.5110====---22 0.30.2540.554m R R R ∆,=+=+=1-3单杯式水银压强计如图的液杯直径D =100mm ,细管直径d =8mm 。
第一章绪论习题1.热空气与冷水间的总传热系数K值约为42.99k c a l/(m2・h・℃),试从基本单位换算开始,将K值的单位改为W/(m2・℃)。
[答案:K=50M(m2・C)]。
解:从附录查出:1k c a l=1.1622×10-3K W·h=1.1622W·h所以:K=42.99K c a l/(m2·h·℃)=42.99K c a l/(m2·h·℃)×(1.1622W·h/1k c a l)=50w/(m2·℃)。
2.密度ρ是单位体积物质具有的质量。
在以下两种单位制中,物质密度的单位分别为:S I k g/m2;米制重力单位为:k g f.s2/m4;常温下水的密度为1000k g/m3,试从基本单位换算开始,将该值换算为米制重力单位的数值。
〔答案:p=101.9k g f/s2/m4〕解:从附录查出:1k g f=9.80665k g·m/s2,所以1000k g/m3=1000k g/m3×[1k g f/(9.80665k g·m/s2)]=101.9k g f·s2/m4.3.甲烷的饱和蒸气压与温度的关系符合下列经验公式:今需将式中p的单位改为P a,温度单位改为K,试对该式加以变换。
〔答案:〕从附录查出:1m m H g=133.32P a,1℃=K-273.3。
则新旧单位的关系为:P=P’/133.32;t=T-273.3。
代入原式得:l g(P’/133.32)=6.421-352/(T-273.3+261);化简得l g P=8.546-3.52/(T-12.3).4.将A、B、C、D四种组分各为0.25(摩尔分数,下同)的某混合溶液,以1000m o l/h 的流量送入精馏塔内分离,得到塔顶与塔釜两股产品,进料中全部A组分、96%B组分及4%C组分存于塔顶产品中,全部D组分存于塔釜产品中。
第一章1-4 水从倾斜直管中流过,在断面A 和断面B 接一空气压差计,其读数R =10㎜,两测压点垂直距离a =0.3m ,试求(1)A 、B 两点的压差等于多少?(2)若采用密度为830kg ⋅m -3的煤油作指示液,压差计读数为多少? (3)管路水平放置而流量不变,压差计读数及两点的压差有何变化?习题1-4 附图解:首先推导计算公式。
因空气是静止的,故p 1=p 2,即11gh p p A ρ+=gR a R h g p p B 012)(ρρ+--+= ga gR p p B A ρρρ+-=-)(01. 若忽略空气柱的重量Pa a R g p p B A 303831.081.91000)(=⨯⨯=+=-ρ2. 若采用煤油作为指示液mmm g ga p p R gagR p p B A B A 8.580588.081.9)8301000(01.081.91000)()(00==⨯-⨯⨯=---=+-=-ρρρρρρ 3.f BB B A A Ah u g z p u g z p +++=++2222ρρ f B A h ga p p ρρ+=-管路流量不变,管路损失能量不变,管水平放置时Pa gR ga p p h p p B A f B A 1.98)()(==--=='-ρρρ压差计读数R 不变1-9 精馏塔底部用蛇管加热如图所示,液体的饱和蒸汽压为1.093×105N ⋅m -2,液体密度为950kg ⋅m -3,采用∏形管出料,∏形管顶部与塔内蒸汽空间有一细管相连。
试求 (1)为保证塔底液面高度不低于1m ,∏形管高度应为多少?(2)为防止塔内蒸汽由连通管逸出,∏形管出口液封高度至少应为多少?解:1. 假设液体排出量很小,塔内液体可近似认为处于静止状态。
由于连通管的存在,塔内压强P A 等于∏形管顶部压强P B 。
在静止流体内部,等压面必是等高面,故∏形管顶部距塔底的距离H =1m 。
《化工原理》课本习题答案第一章流体流动1 PA(绝)= 1.28×105 N/m2PA(表)= 2.66×104N/m22 W = 6.15吨3 F = 1.42×104NP = 7.77×104Pa4 H = 0.39m5 △P = 2041×105N/m26 P = 1.028×105Pa△h = 0.157m7 P(绝)= 18kPa H = 8.36m8 H = R PA> PB9 略10 P = Paexp[-Mgh/RT]11 u = 11.0m/s ; G = 266.7kg/m2sqm = 2.28kg/s12 R = 340mm13 qv = 2284m3/h14 τ= 1463s15 Hf = 0.26J/N16 会汽化1718 F = 4.02×103N19 略20 u2 = 3.62m/s ; R = 0.41m21 F = 151N22 v = 5.5×10-6m2/s23 =0.817 a = 1.0624 略25 P(真)= 95kPa ; P(真)变大26 Z = 12.4m27 P(表)= 3.00×105N/m228 qv = 3.39m3/h P1变小 P2变大29 qv = 1.81m3/h30 H = 43.8m31 τ= 2104s32 He = 38.1J/N33 qv =0.052m3/s=186m3/h34 qv1 = 9.7m3/h ; qv2 = 4.31m3/hqv3 = 5.39m3/h ; q,v3 = 5.39m3/h35 qvB/qvC = 1.31 ; qvB/qvC =1.05 ;能量损失36 P1(绝)=5.35×105Pa37 = 13.0m/s38 qv = 7.9m3/h39 qVCO2(上限)=3248l/h40 = 500 l/s ; τ=3×104PaF = 3×102N P = 150w41 he = 60.3J/kg42 τy = 18.84Pa μ∞ = 4.55Pa·s43 τy = 39.7Pa44 略第二章流体输送机械1 He = 15+4.5×105qV2He = 45.6J/N Pe = 4.5KW2 P = ρω2r2/2 ; Φ/ρg = u2/2g = 22.4J/N3 He = 34.6J/N ; η = 64%4 略5 qV = 0.035m3/s ; Pe = 11.5KW6 串联7 qV = 0.178m3/min ; qV, = 0.222m3/min8 会汽蚀9 安装不适宜,泵下移或设备上移10 IS80-65-160 或 IS100-65-31511 ηV = 96.6%12 不适用13 P = 33.6KW ; T2 = 101.0℃14 qV = 87.5m3/h ; 选W2第三章流体的搅拌1 略2 P = 38.7w ; P’ = 36.8w3 d/d1 = 4.64 ; n/n1 = 0.359 ; N/N1 = 100 第四章流体通过颗粒层的流动1 △φ = 222.7N/m22 △φ/L = 1084Pa/m3 V = 2.42m34 K = 5.26×10-4m2/s ; qe = 0.05m3/m25 A = 15.3m2 ; n = 2台6 略7 △V0 = 1.5L8 △V = 13L9 q = 58.4l/m2 ; τw = 6.4min10 τ = 166s ; τw = 124s11 K = 3.05×10-5m2/sVe = 5.06×10-2m3 ; V = 0.25m312 n’ = 4.5rpm ; L’/L = 2/3第五章颗粒的沉降和流态化1 ut = 7.86×10-4m/s ; ut’ = 0.07m/s2 dP = 88.8μm3 τ = 8.43×10-3s ; s = 6.75×10-5m4 dpmax = 3.6μm5 dpmin = 64.7μm ; ηP = 60%6 可完全分开7 ζRe2<488 η0 = 0.925 ; x出1 = 0.53x出2 = 0.27 ; x出3 = 0.20x出4 = 0 ; W出 = 59.9kg/day9 ε固 = 0.42 ; ε流 = 0.71 ; ΔФ = 3.14×104N/m210 略11 D扩 = 2.77m12 略第六章传热1 δ1 = 0.22m ; δ2 = 0.1m2 t1 = 800℃3 t1 = 405℃4 δ = 50mm5 (λ’-λ)/ λ = -19.7%6 略7 Q,/Q = 1.64 λ小的放内层8 a = 330W/m2*℃9 a = 252.5W/ m2*℃10 q = 3.69kw/m211 q1/q2 =112 w = 3.72×10-3kg/s ; w’=7.51×10-3kg/s13 Tg = 312℃14 Tw = 746K15 τ = 3.3hr16 ε A = 0.48 ; ε B = 0.4017 略18 热阻分率0.3%K’=49.0W/m2·℃ ; K,, = 82.1W/m2·℃19 w = 3.47×10-5kg/m·s ; tw = 38.7℃20 δ= 82mm21 a1 =1.29×104W/m2·℃ ; a,2 = 3.05×103W/m2·℃ ; R = 7.58*10-5m2·℃/W22 δ= 10mm ; Qmax = 11.3KW23 R = 6.3×10-3m2·℃/W24 n = 31 ; L = 1.65m25 L = 9.53m26 qm = 4.0kg/s ; A = 7.14m227 qm2 = 10.9kg/s ; n = 36 ; L = 2.06m ; q,m1 = 2.24kg/s28 qm = 0.048kg/s29 t2 = 76.5℃ ; t2 = 17.9℃30 t,2 = 98.2℃ ; 提高水蒸气压强T’=112.1℃31 qm1 = 1.24kg/s32 T,2 = 78.7℃ ; t,2 = 61.3℃33 T = 64.6℃ ; t2a = 123.1℃ ; t2b = 56.9℃34 t2 = 119℃35 τ = 5.58hr36 单壳层Δtm = 40.3℃ ; 双壳层Δtm’=43.9℃37 a = 781W/m2·℃38 L = 1.08m ; t2’=73.2℃39 NP = 2 ; NT = 114 ; L实 = 1.2L计 = 3.0m ; D = 460mm 第七章蒸发1 W = 1500kg/h ; w1 = 12.8% ; w2 = 18.8%2 Δt = 12.0℃3 A = 64.7m2 ; W/D = 0.8394 W = 0.417kg/s ; K = 1.88×103W/m2·℃ ; w’= 2.4%5 t1 = 108.6℃ ; t2 = 90.9℃ ; t3 = 66℃6 A1 = A2 = 9.55m2第八章吸收1 E=188.1Mpa;偏差0.21%2 G=3.1×10-3kgCO2/kgH2O3 Cmin=44.16mg/m3水;Cmin=17.51mg/m3水4 (xe-x)=1.19×10-5;(y-ye)=5.76×10-3 ;(xe-x)=4.7×10-6 ;(y-ye)=3.68×10-35 (y-ye)2/(y-ye)1=1.33 ; (xe-x)2/(xe-x)1=2.676 τ=0.58hr7 τ=1.44×106s8 Kya=54.9kmol/m3·h ; H OG=0.291m ;液相阻力分率15.1%9 N A=6.66×10-6kmol/s·m2 ; N A’=1.05×10-5kmol/(s·m2)10 略11 略12 NOG=13 略14 略15 x1=0.0113; =2.35×10-3 ;H=62.2m16 (1)H=4.61m;(2)H=11.3m17 Gmin=0.489kmol/m2·h ; x2=5.43×10-618 HA=2.8m ; HB=2.8m19 (1)HOG=0.695m;Kya=168.6kmol/m3·h;(2)w=4.36kmol/h20 y2=0.00221 η’=0.87;x1’=0.0032522 y2’=0.000519第九章精馏1 (1)α1=2.370 ;α2=2.596 ;(2)αm=2.4842 t=65.35℃; xA=0.5123 t=81.36℃ ; yA=0.18724 (1)NT=7; (2)V=20.3kmol/h; (3)D=47.4kmol; W=52.6kmol25 t=60℃; xA=0.188; xB=0.361; xC=0.45126 x(A-D) :0.030;0.153;0.581;0.237 y(A-D) :0.141;0.306;0.465;0.08527 D/F=0.4975;W/F=0.5025; xD(A-D):0.402;0.591;0.007;9.7×10-5 ;xW(A-D):1.4×10-5;0.012;0.690;0.29828 N=14.1 ; N1=7.9第十章气液传质设备1 EmV=0.7582 ET=41%3 N实=104 D=1.2m5 HETP=0.356m6 D=0.6m; △P/H=235.44Pa/m第十一章萃取1 (1)E=64.1kg;R=25.9kg;x=0.06;y=0.046 (2)kA=0.767;β=14.62 (1)E=92.2kg;R=87.8kg;yA=0.13; xA=0.15(2)E°=21.31kg;R°=78.69kg;yA°=0.77;xA°=0.163 (1)R=88.6kg;E=130.5kg;yA=0.0854;yS=0.862;yB=0.0526;xS=0.0746;xB=0.82 5 (2)S=119.1kg4 xA2=0.225 E1=125kg;RN=75kg;yA1=0.148;yS1=0.763;yB1=0.089;xSN=0.0672;xBN=0.9136 (1)S/B=24.9;(2)S/B=5.137 (1)Smin=36.47kg/h (2)N=5.1第十二章其它传质分离方法1 m=47.7kg2 t1=44.9℃3 a=138.3m2/g4 τB=6.83hr5 W3=0.0825;qm2=5920.3kg/h; JV1=0.0406kg/m2·s;JV2=0.0141kg/m2·s 第十三章热质同时传递的过程1 略2 (1)θ1=20℃; (2)t2=40℃;H=0.0489kg水/kg干空气3 H=0.0423kgH2O/kg干H24 (1)W=0.0156kgH2O/kg干空气(2)tw3=18.1℃5 t2=45.2℃;H2=0.026kg水/kg干气6 W=2.25kg水/kg干气7 P2=320.4kN/m28 Z=2.53m第十四章固体干燥1 =74.2%; =5.6%2 W水=0.0174kg水/kg干气; Q=87.6kJ/kg干气3 略4 (1)ΔI=1.25kJ/kg干气;(2)t2=55.9℃;(3)t2=54.7℃5 (1)t2=17.5℃;H2=0.0125kg水/kg干气 (2) =10.0%6 自由含水量=0.243kg水/kg干料结合水量=0.02kg水/kg干料。
流体流动习题解答1-1 已知甲城市的大气压为760mmHg ,乙城市的大气压为750mmHg 。
某反应器在甲地操作时要求其真空表读数为600mmHg ,若把该反应器放在乙地操作时,要维持与甲地操作相同的绝对压,真空表的读数应为多少,分别用mmHg 和Pa 表示。
[590mmHg, 7.86×104Pa]解:P (甲绝对)=760-600=160mmHg 750-160=590mmHg=7.86×104Pa1-2用水银压强计如图测量容器内水面上方压力P 0,测压点位于水面以下0.2m 处,测压点与U 形管内水银界面的垂直距离为0.3m ,水银压强计的读数R =300mm ,试求 (1)容器内压强P 0为多少?(2)若容器内表压增加一倍,压差计的读数R 为多少?习题1-2 附图[(1) 3.51×104N ⋅m -2 (表压); (2)0.554m] 解:1. 根据静压强分布规律 P A =P 0+g ρHP B =ρ,gR因等高面就是等压面,故P A = P BP 0=ρ,gR -ρgH =13600×9.81×0.3-1000×9.81(0.2+0.3)=3.51×104N/㎡ (表压)2. 设P 0加倍后,压差计的读数增为R ,=R +△R ,容器内水面与水银分界面的垂直距离相应增为H ,=H +2R∆。
同理, ''''''02R p gR gH gR g R gH gρρρρρρ∆=-=+∆--000p g g p p 0.254m g g 10009.81g g 136009.812R H R ρρρρρρ⨯∆⨯⨯,,,4,,-(-)- 3.5110====---220.30.2540.554m R R R ∆,=+=+=1-3单杯式水银压强计如图的液杯直径D =100mm ,细管直径d =8mm 。
化工原理课后题答案1. 解:(1) 乙醛的饱和蒸汽压随温度的升高而增大,所以温度越高,收集到的甲醇的量就越多。
(2) 通过降低乙醛的饱和蒸汽压,如在装置中增加冷凝器,可以提高甲醇的回收率。
2. 解:(1) 乙烯的化学式为C2H4,分子量为28 g/mol。
(2) 对乙烯C2H4完全燃烧,需要的理论氧气量按照化学计量比为1:3,即每1 mol的乙烯需要3 mol的氧气。
(3) 所以,1 g乙烯需要$\dfrac{3 \times 32}{28}$ g的氧气进行完全燃烧。
3. 解:(1) 中和反应的化学方程式为:NaOH + HCl → NaCl + H2O。
(2) 摩尔质量:NaOH = 40 g/mol,HCl = 36.5 g/mol。
(3) 反应物NaOH与HCl摩尔比为1:1,所以1 g的NaOH可以与1 g的HCl完全反应。
(4) 根据化学方程式,1 mol的NaOH可以与1 mol的HCl完全反应,生成1 mol的NaCl。
(5) 所以,1 g的NaOH可以完全中和36.5 g的HCl,生成58.5 g的NaCl。
4. 解:(1) 化学反应的平衡常数K用来表示反应物浓度与产物浓度之间的比值。
(2) 如果K > 1,表示产物浓度远大于反应物浓度,反应是偏向产物一侧进行的。
(3) 如果K < 1,表示反应物浓度大于产物浓度,反应是偏向反应物一侧进行的。
(4) 如果K = 1,表示反应物浓度与产物浓度相等,反应处于平衡状态。
5. 解:(1) 工业上常用的高聚物有聚乙烯、聚丙烯、聚氯乙烯等。
(2) 高聚物的制备通常采用聚合反应,如聚乙烯的制备通常使用乙烯单体进行聚合反应。
(3) 聚合反应一般分为自由基聚合、阴离子聚合和阳离子聚合等不同机制。
6. 解:(1) 化学反应速率是指单位时间内反应物消耗或产物生成的量。
(2) 影响化学反应速率的因素包括反应物浓度、反应温度、催化剂和反应物物理状态等。
下册第一章蒸馏解:总压 P=75mmHg=10kp 。
由拉乌尔定律得出 0A p x A +0B p x B =P 所以 x A =000B A B p p p p --;y A =p p A 0000BA Bp p p p --。
因此所求得的t-x-y 数据如下:t, ℃ x y 113.7 1 1 114.6 0.837 0.871 115.4 0.692 0.748 117.0 0.440 0.509 117.8 0.321 0.385 118.6 0.201 0.249 119.4 0.095 0.122 120.0 0 0.2. 承接第一题,利用各组数据计算(1)在x=0至x=1范围内各点的相对挥发度i α,取各i α的算术平均值为α,算出α对i α的最大相对误差。
(2)以平均α作为常数代入平衡方程式算出各点的“y-x ”关系,算出由此法得出的各组y i 值的最大相对误差。
解:(1)对理想物系,有 α=00BAp p 。
所以可得出t, ℃ 113.7 114.6 115.4 116.3 117.0 117.8 118.6 119.4 120.0i α 1.299 1.310 1.317 1.316 1.322 1.323 1.324 1.325 1.326算术平均值α=9∑iα=1.318。
α对i α的最大相对误差=%6.0%100)(max=⨯-αααi 。
(2)由xxx x y 318.01318.1)1(1+=-+=αα得出如下数据:t, ℃ 113.7 114.6 115.4 116.3 117.0 117.8 118.6 119.4 120.0 x 1 0.837 0.692 0.558 0.440 0.321 0.201 0.095 0 y 1 0.871 0.748 0.625 0.509 0.384 0.249 0.122 0 各组y i 值的最大相对误差==∇iy y m ax)(0.3%。
化工原理课后习题答案上下册第一章流体流动习题解答1-1 已知甲城市的大气压为760mmHg乙城市的大气压为750mmHg某反应器在甲地操作时要求其真空表读数为600mmHg若把该反应器放在乙地操作时要维持与甲地操作相同的绝对压真空表的读数应为多少分别用mmHg和Pa表示[590mmHg 786×104Pa]解P甲绝对 760-600 160mmHg750-160 590mmHg 786×104Pa1-2用水银压强计如图测量容器内水面上方压力P0测压点位于水面以下02m处测压点与U形管内水银界面的垂直距离为03m水银压强计的读数R=300mm 试求1容器内压强P0为多少2若容器内表压增加一倍压差计的读数R为多少习题1-2 附图[ 1 351×104N m-2 表压 2 0554m]解根据静压强分布规律PA=P0+HPB=gR因等高面就是等压面故PA= PBP0=gR-gH=13600×981×03-1000×981 0203 351×104N㎡设P0加倍后压差计的读数增为R=R+△R容器内水面与水银分界面的垂直距离相应增为H=H+同理1-3单杯式水银压强计如图的液杯直径D=100mm细管直径d=8mm用此压强计测量容器内水面上方的压强p0测压点位于水面以下h=05m处试求1当压强计读数为R=300mm杯内水银界面测压点A与细管的垂直距离a=04m容器内压强p0等于多少2表压p0增加一倍并忽略杯内界面高度的变化读数R为多少3表压p0增加一倍并考虑杯内界面位置的变化读数R为多少习题1-3 附图[ 1 312×104N m-2表压 2 0534m 3 0536m]解因AB两点位于同一平面pA pBP0=gR-gh+a=13600×981×03-1000×98105+04=312×104N㎡表压表压加倍后设压强计读数为R若忽略杯内水银界面的变化则与1相比表压加倍后杯内水银面下降了管内水银面上升压强计读数的增加量为由以上两式可得根据等高面即等压面的原理=此结果表明使用单杯压强计因 h1 h2完全可以忽略杯内界面高度的变化既方便又准确1-4 水从倾斜直管中流过在断面A和断面B接一空气压差计其读数R=10㎜两测压点垂直距离a=03m试求1AB两点的压差等于多少2若采用密度为830kg m-3的煤油作指示液压差计读数为多少3管路水平放置而流量不变压差计读数及两点的压差有何变化习题1-4 附图[ 1 304kPa 2 588mm 3 981Pa]解首先推导计算公式因空气是静止的故p1=p2即pA- gh1 pB- gh2 gR - 1在等式两端加上若忽略空气柱的重量=981×001×1000=981N㎡若采用煤油作为指示液管路流量不变不变压差计读数R亦不多变管路水平放置ZA-ZB=0故1-5在图示管路中水槽液面高度维持不变管路中的流水视为理想流体试求1管路出口流速2管路中ABC各点的压强分别以N㎡和m H2O表示3讨论流体在流动过程中不同能量之间的转换习题1-5 附图[ 1 99m s-1 2 PA -3924kPa -4mH2O PB 981kPa 1mH2O PC -2943kPa -3mH2O 3 略]解1以大气压为压强基准以出口断面为位能基准在断面1-1和2-2间列机械能守恒式可得2相对于所取基准水槽内每kg水的总机械能为W=Hg=5gJkg理想流体的总机械能守恒管路中各点的总机械能皆为W因此A点压强PA=-4×1000×981=-3924×104Nm2或-4m H2OC点压强由于管内流速在1中已经求出从断面1-1至ABC各断面分别列机械能守恒式亦可求出各点的压强3相对于所取的基准水槽内的总势能为5gJkg水槽从断面1-1流至断面2-2将全部势能转化为动能水从断面1-1流至断面A-A获得动能但因受管壁约束流体从断面1流至断面A所能提供的位能只有gz1-zA=1gJkg所差部分须由压强能补充故A点产生4m H2O的真空度水从断面A流至断面B总势能不变但同样因受管壁的约束必有gzA-zB=5g 的位能转化为压强能使B点的压强升至1m H2O同理水从断面B流至断面C总势能不变但位能增加了gzC-zB=4gJkg压强能必减少同样的数值故C点产生了3m H2O的真空度最后流体从断面C流至出口有gzC-z2=3g的位能转化为压强能流体以大气压强流出管道1-6用一虹吸管将水从池中吸出水池液面与虹细管出口的垂直距离为5m虹吸管出口流速及虹吸管最高点C的压强各为多少若将虹吸管延长使池中水面与出口垂直距离增为8m出口流速有何变化水温为30℃大气压强为760㎜Hg习题1-6 附图[99 m s-1 327kPa124 m s-1]解1在断面1-12-2之间列机械能守恒式得在断面1-1和C-C之间列机械能守恒式并考虑到uC=u2可得2虹吸管延长后假定管内液体仍保持连续状态在断面1-1和2-2之间列机械能守恒式得因C点的压强小于水在30oC的饱和蒸气压Pv 4242Nm2故水在C点已发生气化C点压强不能按上述算而应保持为流体的饱和蒸气压故在断面1-1和C-C之间列机械能守恒式得出口流速 u2 uC1-7如图水通过管线Φ108x4 mm 流出管线的阻力损失不包括出管子出口阻力可以用以下公式表示hf 65u2式中u式是管内的平均速度试求1水在截面A-A处的流速2水的体积流率为多少m3 h-1习题1-7 附图[ 1 29 m s-1 2 82 m3 h-1]解对槽液面与管出口列BE方程u 0 p p z 6m z 0h 65u6981 u uA 29msv uA1-8高位槽内贮有20℃的水水深1m并维持不变高位槽底部接一长12m直径100mm的垂直管若假定管内的阻力系数为002试求1 管内流量和管内出现的最低压强各为多少2 若将垂直管无限延长管内流量和最低点压强有何改变习题1-8 附图[ 1 634 10-2 m3 s-1619kPa 2 77 10-2 m3 s-1376kPa]解在断面1-1和2-2间列机械能衡算式得从管入口点B至管出口没有任何局部阻力故B点压强最低在断面1-1和B-B 间列机械能衡算式以断面B-B为基准面=619×104Nm220℃水饱和蒸汽压PV=2338Nm2故水在断面1-1和2-2之间是连续的以上计算结果有效当管长H无限延长上式中水深h入口损失和出口动能皆可忽略V=此时管内最低压强1-9 精馏塔底部用蛇管加热如图所示液体的饱和蒸汽压为1093×105N m-2液体密度为950kg m-3采用形管出料形管顶部与塔内蒸汽空间有一细管相连试求1为保证塔底液面高度不低于1m形管高度应为多少2为防止塔内蒸汽由连通管逸出形管出口液封h高度至少应为多少习题1-9 附图[ 1 1m 2 086m]解假设液体排出量很小塔内液体可近似认为处于静止状态由于连通管的存在塔内压强PA等于形管顶部压强PB在静止流体内部等压面必是等高面故形管顶部距塔底的距离H=1m塔内蒸汽欲经形管逸出首先必须将管段BC内的液面压低降至点C此时C点的压强PC=PA=Pa+为防止蒸汽逸出液封的最小高度=1-10 两容器的直径分别为D1=1000mmD2=400mm容器A水面上方维持不变的真空度HV=100mmHg容器B为敞口容器当阀门F关闭时两容器的水面高度分别为Z1=25mZ2=15m试问1当阀门开启时两液面能否维持不变2若不能维持原状当重新达到平衡时液面高度各有何变化习题1-10 附图[ 1 液面不能维持不变 2 容器A水面上升了005m 容器B水面下降031m] 解阀门开启后若液体仍保持静止状态液体面将维持不变液体仍处于静止状态的条件是其中任何两点例如A点和B点的单位重量流体总势能相等分别取地面和大气压为位能和压强势能的基准则B点单位重量的总势能为A点单位重量的总势能为因>水将从容器2流向容器1液面不能维持不变设液体重新静止时容器1水面上升了h1容器2水面下降了h2则由以上两式得在不可压缩的同一种静止流体内部各点的单位总势能处处相等在重力场内单位总势能由位能和压强势能两部分组成若以单位体积为基准则式中各项的单位为Jm2或Nm3刚好与压强相同故可称为虚拟压强若以单位质量为基准则式中各项的单位为Jkg若以单位重量为基准则式中各项的单位为JN或m具有长度因次以上诸式是在流体为静止的前提下推导出来的方程式得到成立的条件是流体为静止否则流体将由高势能向低势能流动1-11高位槽内的甘油=1260kg m-3 沿直径为10mm的管道送至某容器甘油温度为60℃管内流量为196× 10-5m3 s-1若其他条件不变将甘油升温至100℃管内流量为多少 [151 10-4m3 s-1]解已知甘油的密度=1260kgm360℃甘油的粘度=100cp100℃时的粘度=13cp60℃时管内流速设温度升为100℃仍为层流因管路两端的总势能差不变因故以上计算结果有效1-12如图两敞口储罐的底部在同一水平面上其间由一内径为75mm长为200m的水平管和局部阻力系数为017的全开阀门连接一储罐直径为7m盛水深为7m另一储罐直径为5m盛水深3m若阀门全开问大罐内水降低到6m时需多长时间设管道流体摩擦系数=002忽略进出口局部阻力[95434s]习题1-12 附图[略]1-13试从Navier Stokes方程出发推导出牛顿型流体在圆管内稳定层流时的速度分布速度与半径的关系流体压降与平均速度的关系式[略]1-14水粘度为1cp密度1000kg m-3以平均速度为1m s-1流过直径为0001m 的水平管路水在管路的流动是层流还是湍流水流过管长为2m时的压降为多少mH2O求最大速度及发生的位置求距离管中心什么位置其速度恰好等于平均速度[ 1 层流 2 653 mH2O 3 2m s-1在管中心 4 354 10-4m]解1Re 1×1000×00010001 1000 2000 层流2 P 32 lud2 32×0001×2×100012 64000Pa 653m3 u 2u 2 m s-1 在管中心4 由u u[1- rri 2]得1 2[1- r00005 2]r 354 10-4m1-15如图水 H2O 1000kg m-3从水槽沿内径为100 mm 的管子流出A 当阀门关闭时U型压力计读数 R 600 mmHg此时h=1500 mm当阀门部分开启时R 400mmHg而h 1400mm 管路的摩擦系数 0025出口的局部阻力系数 04 求水的体积流量为多少m3 h-1B 当阀门全开2-2面的压强为多少Pa 假设仍为0025阀门的当量长度为15 m Hg 13600kg m-3[ 1 885 m3 h-1 2 32970Pa]习题1-16 附图解 1 阀门部分开启对1-12-2面由BEP1 0 表压p2 g 981 13600-1000 39630Nm2 表压U1 0z2 0hf阀门关闭则Z1 可求得h 15mR 06mu 313msVh2 阀门全开对1-13-3面有Z3 0 z1 666mu1 0p1 p3U 351ms对 1-12-2P1 0 表压 z1 666mz2 0u1 0u2 351msp2 32970Nm2 表压1-16如图某液体密度为 900 kg m-3粘度为 30 cp通过内径为44mm的管线从罐1流到罐2 当阀门关闭时压力计A和B的读数分别为882 104 N m-2 和441 104 N m-2 当阀门打开时总管长包括管长与所有局部阻力的当量长度为100m假设两个罐的液面高度恒定求1液体的体积流率m3 h-12当阀门打开后压力表的读数如何变化并解释提示对于层流 64Re对于湍流 03145Re025习题1-16 附图[ 1 487 m3 h-1 2 压力表A的读数减少压力表B的读数增加]解1当阀门关闭时罐1和2的液面高度为Z1 882 104 900 981 10mZ2 441 104 900 981 5m当阀门打开时假设流动为层流对罐1和2的液面列BEZ1g Z2g64Re ld u22解得u 089ms验证Re u d 089 900 0044003 1175 2000 假设成立V uA 487 m3 h-12通过罐1液面与阀A以及罐2的液面与阀B列BE分析可知压力表A的读数减少压力表B的读数增加1-17如图所示用一高位槽向一敞口水池送水已知高位槽内的水面高于地面10 m管路出口高于地面2 m管子为Ф48×35mm钢管在本题条件下水流经该系统的总阻力损失∑hf 34u2 J kg-1 未包括管出口阻力损失其中u为水在管内的流速m s-1试计算 1AA′截面处水的流速m s-12水的流量以m3 h-1计3若水流量增加20可采用什么措施计算说明或高位槽液面应提高多少米[ 1 449m s-1 2 2133m3 h-1 3 提高354m]习题1-17 附图解1对1-1和2-2面列BE8g 34 u2 12u2U 449ms2 V uA 2133m3 h-13 水流量增加20水的流速为u 12 449 539ms对新液面1-1和2-2面列BE8z g 34 5392212 539 2z 354m1-18用泵将密度为850kgm-3粘度为0190Pas的重油从贮油池送至敞口高位槽中升扬高度为20m输送管路为108×4mm钢管总长为1000m包括直管长度及所有局部阻力的当量长度管路上装有孔径为80mm的孔板以测定流量其油水压差计的读数R=500mm孔流系数C0=062水的密度为1000kgm-3试求1 输油量是多少m3h-12 若泵的效率为055计算泵的轴功率习题1-18 附图[ 1 1476 m3 h-1 2 3609W]解 1 uo Co[2Rg o- ]12 062[2 05 98 1000-850 850] 12 081ms 输油量为V 081 0785 0082 41 10-3m3s 147 m3 h-1u uo AoA 081 00801 2 052ms2 Re 052 01 850019 232 2000 层流管线阻力为hf 64Re ld u22 64232 100001 05222 373Jkg泵的有效功为W 20 981hf 5695Jkg轴功率为N 5695 41 10-3 850055 361kW1-19用离心泵将某溶液由反应槽送往一密闭高位槽如图示两槽液面的高度可认为不变高度差10m管路总当量长度为200m包括所有直管和局部阻力的当量长度管路均为 57 35mm钢管已知孔板流量计流量系数为061孔截面积与管道截面积比为025U型压差计读数为R 600mm指示液为水银管路摩擦系数取为0025反应槽上真空表的读数为200mmHg高位槽上压强计读数为05kgf cm-2表压泵的效率65试求 1 流体流量多少kg s-12泵的输出功3泵的轴功率溶液密度近似取为1000kg m-3水银密度为13600 kg m-3[ 1 364kg s-1 2 3461J kg-1 3 194kw]1 uo Co[2Rg o- ]12 061[2 06 98 13600-1000 1000] 12 742msw 742 0785 025 0052 1000 364kgsu uo AoA 742 025 186ms2 H Z2-Z1 P2-P1 ghfZ2-Z1 10mP2-P1 g 05 98 10000200 1013 100000760 1000 98 772mhf 0025 200 1862 2 98 005 176mH 10772176 353mW Hg 3461JkgN Hwg 3461 364065 194kw1-20在直径D=40mm的管路中接一文丘里管如图所示文丘里管的上游接一压力表压力表的读数为1373 104N m-2压力表轴心与管中心的垂直距离为05m 管内水的流量为151L s-1管路下面有一水池池内水面与管中心的垂直距离为3m 文丘里喉部直径为10mm喉部接一细管细管一端插入水池中若忽略文丘里管的阻力损失池水能否被吸入管中习题1-20 附图[池水将被吸入管内]解取断面1-1和2-2如图所示两断面的平均流速为在两断面间列伯努利方程式若以水池液面和大气压为基准则池水单位重量的总势能断面2-2处单位总势能因>故池水将被吸入管内1-21 15oC的水在经过内径为7mm的钢管内流动流速为015 m s-1试问1流动为层流还是湍流2如上游压强为6867kPa问流经多长的管子流体的压强下降到2943kPa这里的压强均为绝对压3在距离管壁何处的点速度等于平均速度水的密度和粘度分别取1000 kg m-3和0001cP[ 1 层流 2 400m 3 1026mm]解1Re 015×1000×00070001 1050 2000 层流2 686700-294300 1000 641050 l0007 01522L 400m3 12 [1- r00035 2]R 247mm距离管壁y 35-247 1026mm1-22 水由具有固定水位的水槽中沿直径内径为100mm的输水管流入大气中管路是由L=50m的水平管和倾斜管段组成水平管段在水面下2m倾斜管段的高度Z=25m为了使得水平段末端曲折出的真空度为7mH2O安装在倾斜管的阀门局部阻力系数应为多少此时水的流量为多少直管的摩擦系数=0035大气压为10H2O忽略进口和曲折出的局部阻力习题1-22 附图[197875 m3 h-1]解对液表面和管曲折处列BE2 -7u22g0035 5001 u22gU 309ms V uA 875 m3 h-1对管曲折处与管出口列BE25-7 0035 5001 30922g 30922g1971-23 有一输水管系统如下图所示出水口处管子直径为Φ55 25mm设管路的压头损失为16u22u指出水管的水流速未包括出口损失求水的流量为多少m3 h-1 由于工程上的需要要求水流量增加20此时应将水箱的水面升高多少m假设管路损失仍可以用16u22u指出水管的水流速未包括出口损失表示习题1-23 附图[221m3 h-135 m]解对液面和管出口处列BE8g 16u22 所以管内流速 u 313ms流量为V u d24 313 00524 00614m3s 221m3h提高水量20后zg 16u22 因为 u 12u 376ms所以 z 115m 水箱的水面升高为 115 – 8 35 m1-24在图示并联管路中支路ADB长20m支路ACB长为5m包括管件但不包括阀门的当量长度两支管直径皆为80mm直管阻力系数皆为003两支路各装有闸门阀一个换热器一个换热器的局部阻力系数皆等于5试求当两阀门全开时两支路的流量之比习题1-24 附图[134]解以下标1和2分别表示支路ACB和ADB因并联支路的阻力损失相等因管内径相等1-25如图所示用某离心泵将水从一敞口水池输送到另一高位槽中高位槽的压力为02kgf m-2表压要求送水量为每小时50 m3管路总长包括所有局部阻力的当量长度为150m吸入管和排出管路均Ф108×4mm的光滑管当Re 3000106时管路的摩擦系数λ 03164 Re-025试求1流体流经管道阻力损失2该泵有效功已知水的密度为1000kg m-3水的粘度为1×10-3Pa s习题1-25 附图[13619J kg-12252J kg-1]1λ 03164Re025 03164177000025 001543两液面列柏努利方程z1 0 z2 20 p1 0 p2 02×981×104Nm2 u1 u2 03619 J kg-12 泵的有效功为 W He g 2569 981 252 J kg-11-27 水 1000kg m-3 在1 atm 下由泵以0012 m3 s-1 从低位槽送往高位槽如图泵前的吸入管长和管径分别为6m和80mm 管内的摩擦系数为002泵后的排出管长和管径分别为13m和60mm管内的摩擦系数为003管路的阀门阻力系数为64弯头的阻力系数为075两液面的高度差H=10m泵的吸入口比低位槽的液面高2m 求1 泵的有效功W J kg-12 泵的吸入口A和排出口B的压强绝对压N m-2习题1-27 附图[ 1 2376 J kg-1 2 PA 70900 N m-2 PB 302500N m-2]解 1 泵吸入管内的流速为u1=泵压出管内的流速为u2=在断面1-1和2-2之间列机械能衡算式并移项整理得2以断面1-1为基准在断面1-1和A之间列机械能衡算是可得在断面B和2-2之间列机械能衡算式可得1-28 如图转子流量计安装在如图的管路测量其流量若管路A的总管长包括管线与局部阻力当量长度为10 m 流量计的读数为272 m3 h-1 问这时管路B 的流量为多少m3 h-1已知管路A和管路B的摩擦系数分别为003和0018 习题1-28 附图[600 m3 h-1]解对并联管路Vtotal VAVBUB 236ms VB uBAB1-29 以水标定某转子流量计转子材料的密度为11000kg m-3现将转子换成形状相同密度为1150kg m-3的塑料用来测量压强为730mm Hg温度为100℃的空气流量设流量系数CR不变在同一刻度下空气流量为水流量的若干倍[112]解空气的密度在同一刻度下1-30 一转子流量计的锥形玻璃管在最大和最小刻度处的直径为d1=28mmd2=265mm转子的形状如附图所示其最大直径d=26mm试求1该转子流量计的最大与最小可测流量之比2若采用切削转子最大直径的方法将最大可测流量提高20%转子最大直径应缩小至多少此时最大与最小可测流量之比为多少假设切削前后CR基本不变习题1-30 附图[ 1 41 2 256mm 274]解1切削前2设切削后转子直径为d最大可测流量为V据题意因切削量很小故CR基本不变的假定符合实际情况切削后转子流量计的可测流量比为可见转子切削后最大可测流量增大而流量计的可测范围缩小了第四章传热及换热设备1.用平板法测定材料的热传导系数主要部件为被测材料构成的平板其一侧用电热器加热另一侧用冷水将热量移走同时板的两侧用热电偶测量表面温度设平板的热传导面积为003m2厚度为001m测量数据如下电热器材料表面温度℃安培数A伏特数V高温面低温面282314011530020010050试求1该材料的热传导系数该材料热传导系数与温度的关系为线性 1 0at λλ则0λ和a值为多少解 1 tAbQΔλ650 100300 030010140821 ××× λwmk590 50200 03001051322 ××× λwmk2 21λλλ 2 065059 062wmk2 0λλ 1at065 0λ 1200a 059 0λ 1125a解得 0λ 049 a 163×10-32.平壁炉的炉壁由三种材料组成其厚度和热导热系数如下序号材料厚度bmm热导热系数λWm-1℃-11内层耐火砖2001072绝缘砖1000143钢645若耐火砖内层表面的温度t1为1150℃钢板外表面温度t2为30℃又测得通过炉壁的热损失为300Wm-2试计算热传导的热通量若计算结果与实测的热损失不符试分析原因并计算附加热阻 1钟理伍钦化工原理课后习题答案 0818209 整理解 12424500601401007120301150 Δ∑∑RtAQ wm2计算比测量大存在附加热阻由于层与层之间接触不好有空气设附加热阻为Ri 则300Ri4500601401007120301150Ri 283mkw3.设计一燃烧炉拟用三层砖即耐火砖绝热砖和普通砖耐火砖和普通砖的厚度为05m和025m三种砖的热传导系数分别为102Wm-1 ℃-1014 Wm-1 ℃-1和092 Wm-1 ℃-1已知耐火砖内侧为1000℃外界温度为35℃试问绝热砖厚度至少为多少才能保证绝热砖温度不超过940℃普通砖不超过138℃解 222111btbtAQΔΔλλ1λ 102wm℃ b1 05m 94010001 Δt2λ 014wm℃ b2 1389402 Δt解得 b2 092m4.有一外径为150mm的钢管为减少热损失今在管外包以两层绝热层已知两种绝热材料的热传导系数之比212 λλ两层绝热层厚度相等皆为30mm试问应把哪一种材料包在里层时管壁热损失小设两种情况下两绝热层的内外温度不变解λ1小的导热系数包在内层热损失小由 2221111mmiiAbAbtRtQλλΔΔ∑∑ 2mA2323ln 2rrrrL π及 222111mmAbAbtQλλΔ′ 1mA1212ln 2rrrrL π常数 b1 b2 tΔ可以证明 21XXXXXXXXXXmmmmAAAAλλλλ 122λλ第一种热阻大所以热损失少 2钟理伍钦化工原理课后习题答案 0818209 整理5 外径为50mm的管子其外包扎有一层厚度为40mm热传导系数为013 Wm-1℃-1的绝热材料管子外表面的平均温度t1为800℃现拟在绝热材料外再包扎一层热传导系数为009 Wm-1℃-1的氧化镁绝热层使该层的外表面温度t3为87℃设管子的外表面温度仍为800℃外界环境温度tα为20℃试求氧化绝热层的厚度假设各层间接触良好解t1 800℃ t2 t3 87℃ ta 20℃r1 25mm r2 65mm r3 r2x 65x mmλ1 013 wm2k λ2 009 wm2k hT 940052×87-20 1288wm2Kq 12211ln 2rrttLλπ 2087 ln 223322 LdhrrttLTπλπd 0050082×10-3 x 0132×10-3 x解得x 18mm6.试用量纲分析法推导壁面和流体间强制对流传热系数h的准数关联式已知h为下列变量的函数 luCfhpμρλ式中λCpρμ分别为流体的热传导系数比定压热容密度粘度u为流体流速l为传热设备定型尺寸解设 1 gfecdpbLuCQhμρλ由量纲式 TMh3θ TML3θλθLU θμLM KLCp22θ 3LMρ []LL 代入1 两边的量纲相同可以解得 yxafNuPrRePr Re′a′x为常数由试验确定 y7.苯流过一套管换热器的环隙自20℃升至80℃该换热器的内管规格为φ19×25mm外管规格为φ38×3mm苯的流量为1800kgh-1试求苯对内管壁的对流表面传热系数解 t 8020 2 60℃由附表得苯在60℃的物性830 ρkgm3 PaS 310320× μ2 PCkJkgk 1360 λwm2℃环隙当量直径 1319320 iedddmm环隙中苯的流速 5483001304360018002 ×××πρAwums 451010521Re ×μρdu 3180PrRe0230 Nu 3钟理伍钦化工原理课后习题答案 0818209 整理74136010320102Pr33 ×××λμpC 8535 Nu 5605013013608535 ×deNuhλwm2℃8. 2atm20℃下60m3h-1的空气在套管换热器的管内被加热到80℃内管直径为Φ57×35mm长度为3m试求管壁对空气的对流表面传热系数解 5028020 t℃在此温度下空气的物性参数 192323082050292 ×× RTPMρkgm3 0171 pCkJkgk2108262× λwmk PaS 510961× μ6980Pr 5805043600602 ×× πAVums ××× 51096105019258Reμρdu47×1041043080PrRe0230 Nu= 1126980 1074 023030804 ×××3630501082621122 ×× dNuhiλwm2℃9.温度为90℃的甲苯以1500 kgh-1的流量通过蛇管而被冷却至30℃蛇管的直径为Φ57×35mm弯曲半径为06m试求甲苯对蛇管的对流表面传热系数解 6023090 t℃在此温度下甲苯的物性参数380 μ×10-3 PaS 18 kJkgk pC1260 λwmk 830 ρkgm3 ×××× 3210380050050436001500Reπμρdu279×104 104 4351260103801081Pr33 ××× λuCp直管hi 3180Pr0Re0230idλ0023×0501260× 279×104 08 ×31435365wm2k4钟理伍钦化工原理课后习题答案 0818209 整理蛇管 hi=hi直管4395 600501 365 531 ××ciddwm2kcd 弯曲半径管半径 id10.有一双管程列管换热器由96根φ25×25mm的钢管组成苯在管内流动由20℃被加热到80℃苯的流量为95 kgs-1壳程中通入水蒸气进行加热试求1壁对苯的对流表面传热系数2苯的流率增加一倍其它条件不变此时的对流表面传热系数3管径降为原来12其它条件与1相同此时对流表面传热系数又为多少解 28020 t 50℃在此温度下甲苯的物性参数91 pCkJkgk μ037×10-3PaS 840 ρkgm31380 λwmk 750 ρAWms ××× 310370020840750Reμρud34×104104 0951380103701091Pr33 ××× λuCp 3080PrRe0230 Nu1581 1091 dNuhiλwm2k2流率增加一倍 12WW 12uu 2因此 121uuhhii 08 208 174189810917411 × ihwm2k3 半径减半 12uu 212112ddAAAWAW ρρ22 12dd 124uu 121uuhhii 08 21dd02 348 379948310911 × ihwm2k5钟理伍钦化工原理课后习题答案 0818209 整理1112.饱和温度为100℃的水蒸气在长为25m外径为38mm的竖直圆管外冷凝管外壁温度为92℃试求每小时蒸气冷凝量又若将管子水平放置每小时蒸气冷凝量又为多少解 962100922 wsttt℃定性温度下的物性0168 λ×10-2 wmk 960 ρkgm3 6829 μ×10-5 PaS082268 γkJkg L 25m冷凝传热膜系数4132] [9430wsttLgh μλγρ代入以上数据得 h54136 wm2kwrthAq ×××× Δ 92100 52038065413π226808×103 ww57×10-3kgs 205kgh当管子水平放置管外径do 0038m传热膜系数41094307250 ′dLhh 219h′ 219×54136 118536wm2kwrtAhq Δ′310082268 92100 520380611853×××××πw 125×10-2kgs 45kgh13在下列的各种列管换热器中每小时将29400kg的某种溶液从20℃加热到50℃溶液在列管内流动加热介质的进口温度为100℃出口温度为60℃试求下面情况下的平均温度差1 壳方和管方流体均为单程的换热器假设两流体呈逆流流动2 壳方和管方流体分别为单程和四程的换热器3 壳方和管方流体分别为二程和四程的换热器解1 kgh 29400 W201 t℃→502 t℃601 T℃←1002 T℃401 Δt℃ 502 Δt℃4525040 Δmt℃ 24512 ΔΔtt或者=448℃′Δmt6钟理伍钦化工原理课后习题答案 0818209 整理2由=448℃′Δmt3750201002050 P 331205060100 R由图4-40a 940 Δtψ mtΔ 142844940 ×′Δ×Δmttψ℃3同理由图4-40b 970 Δtψ mtΔ 543844970 ×′Δ×Δmttψ℃14一列管换热器管外用20×105Pa的饱和水蒸气加热空气使空气温度从20℃加热到80℃流量为2000kgh-1现因生产任务变化如空气流量增加50%进出口温度仍维持不变问在原换热器中采用什么方法可完成新的生产任务解 28020 t 50℃空气在50℃下的物性参数0931 ρkgm3 6980Pr 0171 pCkJkgk 0280 λwmk水蒸气在5Pa的饱和温度102× P2120 sT℃1211ttCwqp 11mtAhΔ 11222ttCwqp 12mtAhΔ 2设为强制湍流在新的空气流量下饱和蒸汽温度为Ts1由1和2式得51121212 ΔΔtmthhwwm0812mmttΔΔ15 8012020120ln20801 Δmt 8020ln2080112 ΔTsTstm解得 125℃使蒸气饱和温度提高到125℃即可 1ST15在一套管式换热器内管为φ180×10mm的钢管用水冷却原油采用逆流操作水在内管中流动冷却水的进口温度为15℃出口温度为55℃原油在环隙中流动流量为500 kgh-1其平均比定压热容为335kJkg-1℃-1要求从90℃冷却至40℃已知水侧的对流表面传热系数为1000Wm-2℃-1油侧的对流表面传热系数为299 Wm-2℃-1管壁热阻及垢阻忽略不计试求1所需冷却水用量水的比热取418 kJkg-1℃-1忽略热损失2总传热系数3套管换热器的有效传热长度4若冷却水进口温度变为20℃问此时会出现什么情况解1 21221211TTCwttCwqpp×418×55-15 500×335×90-40 1w500kgh 1w7钟理伍钦化工原理课后习题答案 0818209 整理2 Ko 2242991XXXXXXXXXX11000 hdhdiwm2k3 151 t℃→552 t℃401 T℃←902 T℃251 Δt℃ 352 Δt℃mtAKqΔ 00 7292535ln2535 Δmt℃ 1555 1843600500×××103 224×018×L×297×πL 617m4 201 t℃a 若维持水的流量及其它的条件不变则水的出口温度 6020184500 4090 3535002 ××× t℃水的出口温度过高导致结垢b 若水的出口温度不变则必须增加水的流率由 572 2050 184 4090 3535002 ××× wkgh此时换热器的管长也变化即需要换一个热交换器16在并流的换热器中用水冷却油水的进出口温度分别为15℃和40℃油的进出口温度分别为150℃和100℃现因生产任务要求油的出口温度降至80℃设油和水的流量进口温度及物性均不变若原换热器的管长为1m试求将此换热器的管长增至若干米后才能满足要求设换热器的热损失可以忽略解在原冷却器中对油 100150 11 pCwq 1对水 1540 22 pCwq 2并流时 135151501 Δt℃60401002 Δt℃59260135ln60135 Δmt℃mtAKqΔ 00 100150 11pCw 8钟理伍钦化工原理课后习题答案 0818209 整理在新的冷却塔中对油 80150 111 pCwq 3对水 15 2221 tCwqp 4解上述方程得 50℃ 2t10101mtAKqΔ 80150 11pCw135151501 Δt℃3050802 Δt℃86950135ln30135 Δmt℃ 5928691XXXXXXXXXX11LL 1L 185L 185m 下册第一章蒸馏1 苯酚 C6H5OH A 和对甲酚 C6H4 CH3 OH B 的饱和蒸气压数据为温度T℃苯酚蒸气压kPa 对甲酚蒸气压kPa 温度t℃苯酚蒸气压kPa 对甲酚蒸气压 kPa 1137 1146115411631170 10010410811191158 7707948285876 11781186119412001199124312851326906939970100试按总压P 75mmHg 绝压计算该物系的t-x-y数据此物系为理想体系解总压 P 75mmHg 10kp由拉乌尔定律得出 xA+xB P所以xA yA因此所求得的t-x-y数据如下t ℃ x y1137 1 11146 0837 08711154 0692 07481170 0440 05091178 0321 03851186 0201 02491194 0095 01221200 0 02 承接第一题利用各组数据计算1在x 0至x 1范围内各点的相对挥发度取各的算术平均值为算出对的最。
1.若将90kg 相对密度为0.83的油品与60kg 相对密度为0.71的油品混合,试求混合油的密度。
解:)/(777710608309060903m kg m =++=ρ2.试计算空气在-40℃和41kPa(真空度)下的密度和重度,大气压力为1.013×105Pa 。
解:=ρ37.5%02,76%N 2,8%H 20(×105Pa 时,该混解:ρ2O ρ3/441.0)50015.273(83142m kg RT N =+⨯==ρ 3/284.0)50015.273(8314181013002m kg RT pM O H =+⨯⨯==ρ 3/455.0m kg x iV i m =∑=ρρ4.烟道气的组成约为含13%CO 2,11%H 20,76%N 2(均系体积%),计算400℃时常压烟道气的粘度。
解:cpM y M y i i i i i m 62/12/12/12/162/162/162/12/1101.302876.01811.04413.028100.3176.018100.2311.044100.3013.0----⨯=⨯+⨯+⨯⨯⨯⨯+⨯⨯⨯+⨯⨯⨯=∑∑=μμ5.液体混合物的组成为乙烷40%和丙烯60%(均为摩尔百分率),计算此液体混合物在-100℃时的粘度。
乙烷和丙烯在-100℃时的粘度分别为0.19mPa ·s 和0.26mPa ·s 。
解:6395.026.0lg 6.019.0lg 4.0lg lg -=⨯+⨯=∑=i i m x μμS mPa m ⋅=229.0μ6.某流化床反应器上装有两个U 形管压差计,如本题附图所示。
测得R 1=400mm ,R2=50mm 指示液为汞。
为防止汞蒸气向空间扩散,在右侧的U 形管与大气连通的玻璃管内装入一段水,其高度R 3=50mm 。
试求A 、B 两处的表压力。
解:05.081.91360005.081.91000232⨯⨯+⨯⨯=+=gR gR p Hg O H A ρρmmHg kPa Pa 7.5316.71016.73==⨯=780kPa)。
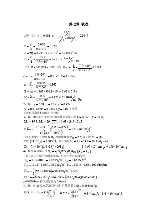
1,解:(1) y =0.008 x = + y= 7.17 ⨯104 kmol 3 (3) y = = 9.875⨯10-5 kmol 3 2,解: y = 0.09 x = 0.05 y = 0.97x= 1.71⨯10-5 m 故 D G = s 1⨯ 21.52+ 20.12 粘度 (293K )μ = 1.005CP , 分子体积 V A = 3.7 + 24.6 = 28.3cm molD L = 7.4 ⨯10-8 (2.6 ⨯13)2 ⨯ 293 ()= 1.99 ⨯10-5 cm 2 s 或1.99 ⨯10-9 m 2s(96.2 +100.6)= 98.4 kN m 2 代入式P BM = ( )10 = - 0.24 ⨯10-48.314 ⨯ 295x (101.3 )(0.66 - 5.07) 5,解:查 25 C 水汽在空气中扩散系数为D = 0.256 cm s ⎛ T ⎫ 80 C 下 , D 2 = D 1 2 ⎪⎪ ⎛ 353 ⎫第七章 吸收* 10 10 17 10001718= 0.1047 m = * x = 0.008 0.01047= 0.764E = mp = 0.764 ⨯1.013⨯105 = 7.74 ⨯104PaH = C E = 55.5 7.74 ⨯104 m ⋅ Pa (2) P = 301.9KPa H,E 不变,则 m = E P = 7.74 ⨯104301.9 ⨯1030.2563 *5.9 ⨯103 301.9 ⨯103= 0.0195 x = 0.01047 m = y * x = 0.0195 0.01047= 1.862E = mp = 1.862 ⨯ 301.9 ⨯103 = 5.62 ⨯105PaH = C E = 55.5 5.62 ⨯105 m ⋅ Pa * y * = 0.97 ⨯ 0.05 = 0.0485 < y = 0.09 ∴吸收同理也可用液相浓度进行判断3,解:HCl 在空气中的扩散系数需估算。
化工原理课后习题答案题目:一、硝酸铵可以通过下面几种不同的反应获得:(1)由氨和硝酸钾的水解反应:NH3 + KNO3 → NH4NO3(2)由氧化铵盐和硝酸盐的混合溶液水解反应:2NH4NO3 → NH3 + H2O + 2NO2 + O2(3)由铵盐和氯盐的反应:2NH4Cl → NH4NO3 + HCl(4)由氨气和氯气的反应:2NH3 + 2Cl2 → NH4NO3 + 2HCl二、氯化钠和钠硝酸可以通过下面几种不同的反应获得:(1)由氯化钠氧化钠试剂溶液和硝酸钾混合溶液的反应:NaClO + KNO3 → NaNO3 + KCl(2)由氯气和钠氧化物混合溶液的反应:Cl2 + 2NaOH → 2NaCl + H2O + O2(3)由氯化钡和氯化钠的混合溶液水解反应:BaCl2 + 2NaCl → BaCl2 + 2NaNO3(4)由氨和氯化钠反应得到:NH3 + NaCl → NH4Cl + NaNO3答案:一、硝酸铵(ammonium nitrate)可以通过下面几种不同的反应来获得。
(1)氨和硝酸钾水解反应(Ammonia and Potassium Nitrate Hydrolysis Reaction):在适当的温度和压力下,氨气和硝酸钾的混合溶液会发生水解反应:NH3 + KNO3 → NH4NO3.(2)氧化铵盐和硝酸盐的水解反应(Oxidation of Ammonium Salts and Nitrate Salts Hydrolysis Reaction):在适当的温度和压力下,混合溶液会发生水解反应:2NH4NO3 → NH3 + H2O + 2NO2 + O2(3)铵盐和氯盐的反应(Ammonium Salts and Chloride Reaction):当氯化物溶液和铵盐溶液混合时,可以产生硝酸铵:2NH4Cl → NH4NO3 + HCl(4)氨气和氯气的反应(Ammonia and Chlorine Gas Reaction):在高温和催化剂条件下,氨气和氯气可以发生反应,生成硝酸铵:2NH3 + 2Cl2 → NH4NO3 + 2HCl二、氯化钠(Sodium Chloride)和钠硝酸(Sodium Nitrate)可以通过下面几种不同的反应来获得:(1)氯化钠氧化钠试剂溶液和硝酸钾混合溶液的反应(Sodium Chloride Oxidation Reagent and Potassium Nitrate Mixture Reaction):在适当的条件下,氯化钠氧化钠试剂溶液和硝酸钾混合溶液的反应会形成氯化钠和钠硝酸:NaClO + KNO3 → NaNO3 + KCl(2)氯气和钠氧化物混合溶液反应(Chlorine Gas and Sodium Oxide Mixture Reaction):当氯气和钠氧化物混合溶液反应时,可以产生氯化钠和钠硝酸:Cl2 + 2NaOH → 2NaCl + H2O + O2(3)氯化钡和氯化钠的水解反应(Barium Chloride and Sodium Chloride Hydrolysis Reaction):在适当的温度和压力下,氯化钡和氯化钠的混合溶液水解反应可以产生产氯化钠和钠硝酸:BaCl2 + 2NaCl → BaCl2 + 2NaNO3(4)氨和氯化钠反应(Ammonia and Sodium Chloride Reaction):在适当的温度和压力下,氨和氯化钠反应可以产生氯化钠和钠硝酸:NH3 + NaCl → NH4Cl + NaNO3。
化工原理课后习题答案1. 请计算下列问题:问题1,一个反应器中,A物质以一级反应速率消耗,反应速率常数为0.05分钟^-1。
初始时刻A物质的浓度为2mol/L,经过多长时间后,A物质的浓度降至0.5mol/L?答案,根据一级反应速率方程,-d[A]/dt = k[A],可得到d[A]/[A] = -kdt。
将初始时刻A物质的浓度为2mol/L代入方程,得到ln(2/0.5) = -0.05t,解得t=27.7min。
问题2,一容积为10L的反应器中,A物质以二级反应速率消耗,反应速率常数为0.02L/(molmin)。
初始时刻A物质的浓度为0.5mol/L,经过多长时间后,A物质的浓度降至0.1mol/L?答案,根据二级反应速率方程,d[A]/dt = -k[A]^2,可得到1/[A] 1/[A0] = kt。
将初始时刻A物质的浓度为0.5mol/L代入方程,得到1/0.1 1/0.5 = 0.02t,解得t=25min。
问题3,在一反应器中,A物质以零级反应速率消耗,反应速率常数为0.1mol/(Lmin)。
初始时刻A物质的浓度为2mol/L,经过多长时间后,A物质的浓度降至1mol/L?答案,根据零级反应速率方程,-d[A]/dt = k,可得到[A] = [A0] kt。
将初始时刻A物质的浓度为2mol/L代入方程,得到1 = 2 0.1t,解得t=10min。
2. 请回答下列问题:问题1,在化工生产中,为什么要控制反应速率?答案,控制反应速率可以提高生产效率,减少能源消耗,降低生产成本,同时可以避免不必要的副反应和产物损失,保证产品质量。
问题2,什么是反应速率常数?它受哪些因素影响?答案,反应速率常数是在一定温度下,反应物浓度为单位体积的情况下,反应速率的比例系数。
它受温度、催化剂、反应物浓度等因素的影响。
问题3,零级反应速率方程和一级反应速率方程有何区别?分别举例说明。
答案,零级反应速率方程中反应速率与反应物浓度无关,如溶解固体的速率。
第四章 传热及换热设备1. 用平板法测定材料的热传导系数,主要部件为被测材料构成的平板,其一侧用电热器加热,另一侧用冷水将热量移走,同时板的两侧用热电偶测量表面温度。
设平板的热传导面积为0.03m 2,厚度为0.01m 。
测量数据如下:电热器材料表面温度℃安培数A 伏特数V 高温面低温面 2.8 2.3140 115300 200100 50试求:(1)该材料的热传导系数。
该材料热传导系数与温度的关系为线性:)1(0at +=λλ,则0λ和a 值为多少? 解: (1) t A bQ Δ=λ65.0)100300(03.001.01408.21=−×××=λw/m.k59.0)50200(03.001.05.13.22=−×××=λw/m.k2(21λλλ+=)/2=0.65+0.59=0.62w/m.k(2)0λλ=(1+at)0.65=0λ(1+200a) 0.59=0λ(1+125a)解得:0λ=0.49 a=1.63×10-32.平壁炉的炉壁由三种材料组成,其厚度和热导热系数如下:序号 材料厚度b ,mm热导热系数λ,W ⋅m -1⋅℃-11(内层)耐火砖 200 1.07 2 绝缘砖 100 0.14 3钢 6 45若耐火砖内层表面的温度t 1为1150℃,钢板外表面温度t 2为30℃,又测得通过炉壁的热损失为300W ⋅m -2,试计算热传导的热通量。
若计算结果与实测的热损失不符,试分析原因并计算附加热阻。
解:124245006.014.01.007.12.0301150=++−=Δ=∑∑Rt AQ w/m 2计算比测量大,存在附加热阻(由于层与层之间接触不好有空气),设附加热阻为R i 则:=300Ri +++−45006.014.01.007.12.0301150R i =2.83m.k/w3.设计一燃烧炉,拟用三层砖,即耐火砖、绝热砖和普通砖。
第一章1-4 水从倾斜直管中流过,在断面A 和断面B 接一空气压差计,其读数R =10㎜,两测压点垂直距离a =0.3m ,试求(1)A 、B 两点的压差等于多少?(2)若采用密度为830kg ⋅m -3的煤油作指示液,压差计读数为多少? (3)管路水平放置而流量不变,压差计读数及两点的压差有何变化?习题1-4 附图解:首先推导计算公式。
因空气是静止的,故p 1=p 2,即11gh p p A ρ+=gR a R h g p p B 012)(ρρ+--+= ga gR p p B A ρρρ+-=-)(01. 若忽略空气柱的重量Pa a R g p p B A 303831.081.91000)(=⨯⨯=+=-ρ2. 若采用煤油作为指示液mmm g ga p p R gagR p p B A B A 8.580588.081.9)8301000(01.081.91000)()(00==⨯-⨯⨯=---=+-=-ρρρρρρ 3.f BB B A A Ah u g z p u g z p +++=++2222ρρ f B A h ga p p ρρ+=-管路流量不变,管路损失能量不变,管水平放置时Pa gR ga p p h p p B A f B A 1.98)()(==--=='-ρρρ压差计读数R 不变1-9 精馏塔底部用蛇管加热如图所示,液体的饱和蒸汽压为1.093×105N ⋅m -2,液体密度为950kg ⋅m -3,采用∏形管出料,∏形管顶部与塔内蒸汽空间有一细管相连。
试求 (1)为保证塔底液面高度不低于1m ,∏形管高度应为多少?(2)为防止塔内蒸汽由连通管逸出,∏形管出口液封高度至少应为多少?解:1. 假设液体排出量很小,塔内液体可近似认为处于静止状态。
由于连通管的存在,塔内压强P A 等于∏形管顶部压强P B 。
在静止流体内部,等压面必是等高面,故∏形管顶部距塔底的距离H =1m 。
下册第一章蒸馏解:总压 P=75mmHg=10kp 。
由拉乌尔定律得出 0A p x A +0B p x B =P 所以 x A =000B A B p p p p --;y A =p p A 0000BA Bp p p p --。
因此所求得的t-x-y 数据如下:t, ℃ x y 113.7 1 1 114.6 0.837 0.871 115.4 0.692 0.748 117.0 0.440 0.509 117.8 0.321 0.385 118.6 0.201 0.249 119.4 0.095 0.122 120.0 0 0.2. 承接第一题,利用各组数据计算(1)在x=0至x=1范围内各点的相对挥发度i α,取各i α的算术平均值为α,算出α对i α的最大相对误差。
(2)以平均α作为常数代入平衡方程式算出各点的“y-x ”关系,算出由此法得出的各组y i 值的最大相对误差。
解:(1)对理想物系,有 α=00BAp p 。
所以可得出t, ℃ 113.7 114.6 115.4 116.3 117.0 117.8 118.6 119.4 120.0i α 1.299 1.310 1.317 1.316 1.322 1.323 1.324 1.325 1.326算术平均值α=9∑iα=1.318。
α对i α的最大相对误差=%6.0%100)(max=⨯-αααi 。
(2)由xxx x y 318.01318.1)1(1+=-+=αα得出如下数据:t, ℃ 113.7 114.6 115.4 116.3 117.0 117.8 118.6 119.4 120.0 x 1 0.837 0.692 0.558 0.440 0.321 0.201 0.095 0 y 1 0.871 0.748 0.625 0.509 0.384 0.249 0.122 0 各组y i 值的最大相对误差==∇iy y m ax)(0.3%。
3.已知乙苯(A )与苯乙烯(B )的饱和蒸气压与温度的关系可按下式计算:95.5947.32790195.16ln 0--=T p A72.6357.33280195.16ln 0--=T p B式中 0p 的单位是mmHg,T 的单位是K 。
问:总压为60mmHg(绝压)时,A 与B 的沸点各为多少?在上述总压和65℃时,该物系可视为理想物系。
此物系的平衡气、液相浓度各为多少摩尔分率? 解:由题意知T A ==--0195.1660ln 47.327995.59334.95K =61.8℃T B ==--0195.1660ln 57.332872.63342.84K=69.69℃65℃时,算得0A p =68.81mmHg ;0B p =48.93 mmHg 。
由0A p x A +0B p (1-x A )=60得x A =0.56, x B =0.44; y A =0A p x A /60=0.64; yB =1-0.64=0.36。
4 无5 若苯—甲苯混合液中含苯0.4(摩尔分率),试根据本题中的t —x —y 关系求:(1) 溶液的泡点温度及其平衡蒸气的瞬间组成;(2) 溶液加热到100℃,这时溶液处于什么状态?各相的量和组成为若干? (3) 该溶液加热到什么温度时才能全部气化为饱和蒸气?这时蒸气的瞬间组成如何? t o C 80.1 85 90 95 100 105 110.6x 1.000 0.780 0.581 0.411 0.258 0.130 0y 1.000 0.900 0.777 0.632 0.456 0.262 0 解:(1)由苯—甲苯的t —x —y 关系得x=0.4时, 泡点温度=95.5℃平衡蒸气的瞬间组成=0.615(2)溶液加热到100℃时处于气液混合共存区气液相组成各位 x=0.26;y=0.47。
根据杠杆原理,气液相量之比=4.047.026.04.0--=2:1。
(3)由气液平衡关系知溶液加热到102℃时才能全部气化为饱和蒸气,此时y=0.4。
6 常压下将含苯(A )60%、甲苯(B )40%(均指摩尔百分数)的混合液闪蒸(即平衡蒸馏),得平衡气、液相,气相摩尔数占总摩尔数的分率—气化率(1-q )为0.30。
物系相对挥发度α=2.47,试求:闪蒸所得气、液相的浓度。
若改用简单蒸馏,令残液浓度与闪蒸的液相浓度相同,问:馏出物中苯的平均浓度为多少? 提示:若原料液、平衡液、气相中A 的摩尔分率分别以x F 、x 、y 表示,则存在如下关系:11---=q x q qxy F 。
解:(1)闪蒸由23711+-=---=x q x x q q y F 和xx y )1(1-+=αα,解方程得x =0.54。
从而y =0.74。
(2)简单蒸馏由方程⎥⎦⎤⎢⎣⎡--+-=F W W Fx x x x W F 11ln ln 11lnαα和D W F Dx Wx Fx +=得出 D x =0.79,即馏出物中苯的平均浓度为79%。
7. 某二元物系,原料液浓度x F =0.42,连续精馏分离得塔顶产品浓度x D =0.95。
已知塔顶产品中易挥发组分回收率η=0.92,求塔底产品浓度x W 。
以上浓度皆指易挥发组分的摩尔分率。
解:由D W F Dx Wx Fx +=和92.0==FDFx Dx η得出W x =0.056。
8 有一二元理想溶液,在连续精馏塔中精馏。
原料液组成50%(摩尔%),饱和蒸气进料。
原料处理量为每小时l00kmol ,塔顶、塔底产品量各为50kmol/h ,已知精馏段操作线方程为y =0.833x +0.15,塔釜用间接蒸气加热,塔顶采用全凝器,泡点回流。
试求:(1) 塔顶、塔底产品组成(用摩尔分率表示); (2) 全凝器中每小时冷凝蒸气量; (3) 提馏段操作线方程;(4) 若全塔平均相对挥发度=3.0,塔顶第一块板的液相默弗里板效率EML=O.6, 求离开塔顶第二块板的气相组成。
解:(1)由精镏段方程D x R x R R y 111+++=及已知的精馏段操作线方程为y =0.833x +0.15得出833.01=+R R和1+R x D =0.15, 解得R =5,x D =0.9,x W =0.1(2)全凝器中每小时冷凝蒸气量V =(R +1)D=300(kmol/h )。
(3)提镏段操作线方程W x WqF L Wx W qF L qF L y -+--++==1.25x -0.025。
(4)求离开塔顶第二块板的气相组成2yEML=*--11x x x x D D =0.6,又*1x =)1(111y y y -+α=1123y y -=D D x x 23-=0.75 解得1x =0.81 又由物料平衡得2y =1y -VL ( x D -1x )=0.9-1+R R(0.9-0.81)=0.825。
9 有一二元理想溶液 ,在连续精馏塔中精馏。
原料液组成50%(摩尔%),饱和蒸汽进料。
原料处理量为每小时l000kmol ,塔顶、塔底产品量各为500kmol/h ,已知精馏段操作线方程为y =0.86x +0.12,塔釜用间接蒸气加热,塔顶采用全凝器,泡点回流。
试求:(1) 回流比R 、塔顶、塔底产品组成 (用摩尔分率表示); (2).精馏段上升的蒸气量q n (V)及提馏段下降的液体量q n (L ’) (3) 提馏段操作线方程;(4) 若相对挥发度 α = 2.4,求回流比与最小回流比的比值: m inR R 。
解:(1)回流比R 、塔顶、塔底产品组成D x R x R R y 111+++==0.86x +0.12,解得 R =6.14,x D =0.857,x W =0.143。
(2)精馏段上升的蒸气量q n (V)及提馏段下降的液体量q n (L ’) L ’=L =RD=3070 kmol/h , V =(R +1)D =3570 kmol/h 。
(3)提馏段操作线方程W x R x R R y 111---==1.19x -0.02 (4)min R =11111-⎥⎦⎤⎢⎣⎡----F D F D y x y x αα=1.734所以m inR R=3.54。
10 某连续精馏操作中,已知操作线方程如下: 精馏段:y=0.723x+0.263 提馏段:y=1.25x-0.0187若原料液于露点温度下进入塔中,试求原料液,馏出液和釜残液的组成及回流比。
解:由题意知1+R R=0.723,所以R =2.61 1+R x D=0.263,所以 D x =0.95。
由y =W x =1.25W x -0.0187得出W x =0.0748。
因为露点进料,q 线方程为:y=F x 。
由q 点坐标(解两段操作线方程)x=0.535, y=0.65,得F x =0.6511.用一连续精馏塔分离由组分A ,B 所组成的理想混合液,原料液中含A 0.44,馏出液中含A 0.957(以上均为摩尔分率)。
已知溶液的平均相对挥发度为2.5,最小回流比为1.63,试说明原料液的热状况,并求出q 值。
解:平衡线方程为: y =x x )1(1-+αα=xx5.115.2+。
精镏段操作线方程为:D x R x R R y 111+++==0.62x +0.364。
所以 q 点坐标为: x =0.365, y =0.59因为 x =0.365<F x =0.44, y =0.59>F x ,所以原料为气液混合物。
由q 线方程可得F x =(1-q )y +q x ,解得 q =0.667。
12 无13 在常压连续精馏塔中,分离苯—甲苯混合液,若原料为饱和液体,其中含苯为0.5,塔顶馏出液中含苯0.9,塔底釜残液中含苯0.1(以上均为摩尔分率),回流比为4.52,试求理论板层数和加料板位置。
物系平衡资料见题7。
解:按M-T 图解法求理论板层数。
图示步骤略。
精镏段操作线截距=1+R x D =152.49.0+=0.163。
绘得的理论板层数为: N =16。
加料板为从塔顶往下的第三层理论板。
14在常压连续提馏塔中分离含乙醇0.033的乙醇—水混合液。
饱和液体进料,直接蒸气加热。
若要求塔顶产品乙醇回收率为0.99,试求(1)在无限多层理论板层数时,计算每摩尔进料所需蒸气量;(2)若蒸气量取为2倍最小蒸气量时,求所需理论板层数及两产品的组成。
假设塔内气液恒摩尔流动。
常压下气液平衡资料列于例1-5题附表中。
解:由方程F +V 0=D+W 和F F x =D D x +W W x 及D D x =0.99 F F x 解得 W x =0.00033。