信号与系统试题附答案99484
- 格式:doc
- 大小:1.59 MB
- 文档页数:28
信号与系统练习及答案一、单项选择题1.已知信号f (t )的波形如题1图所示,则f (t )的表达式为( )A .tu(t)B .(t-1)u(t-1)C .tu(t-1)D .2(t-1)u(t-1)2.积分式⎰-δ+δ++4422)]dt -(t 2(t))[23(t t 的积分结果是( ) A .14 B .24 C .26 D .283.已知f(t)的波形如题3(a )图所示,则f (5-2t)的波形为( )4.周期矩形脉冲的谱线间隔与( )A .脉冲幅度有关B .脉冲宽度有关C .脉冲周期有关D .周期和脉冲宽度有关 5.若矩形脉冲信号的宽度加宽,则它的频谱带宽( ) A .不变 B .变窄 C .变宽D .与脉冲宽度无关 6.如果两个信号分别通过系统函数为H (j ω)的系统后,得到相同的响应,那么这两个信号()A .一定相同 B .一定不同 C .只能为零 D .可以不同7.f(t)=)(t u e t 的拉氏变换为F (s )=11-s ,且收敛域为( ) A .Re[s]>0B .Re[s]<0C .Re[s]>1D .Re[s]<1 8.函数⎰-∞-δ=2t dx )x ()t (f 的单边拉氏变换F (s )等于( ) A .1 B .s 1 C .e -2s D .s1e -2s 9.单边拉氏变换F (s )=22++-s e )s (的原函数f(t)等于( ) A .e -2t u(t-1) B .e -2(t-1)u(t-1) C .e -2t u(t-2)D .e -2(t-2)u(t-2)答案: BCCCBDCDA二.填空题1.如果一线性时不变系统的单位冲激响应为h(t),则该系统的阶跃响应g(t)为_________。
2.已知x(t)的傅里叶变换为X (j ω),那么x (t-t 0)的傅里叶变换为_________________。
3.如果一线性时不变系统的输入为f(t),零状态响应为y f (t )=2f (t-t 0),则该系统的单位冲激响应h(t)为_________________。
长沙理工大学拟题纸课程编号 1 拟题教研室(或老师)签名 教研室主任签名 符号说明:)sgn(t 为符号函数,)(t δ为单位冲击信号,)(k δ为单位脉冲序列,)(t ε为单位阶跃信号,)(k ε为单位阶跃序列。
一、填空(共30分,每小题3分)1. 已知)()4()(2t t t f ε+=,求_______)("=t f 。
)('4)(2)("t t t f δε+2. 已知}4,2,4,3{)(},1,2,2,1{)(=-=k h k f ,求______)()(=*k h k f 。
}4,6,8,3,4,10,3{)()(-=*k h k f3. 信号通过系统不失真的条件为系统函数_______)(=ωj H 。
0)(t j Kej H ωω-=4. 若)(t f 最高角频率为m ω,则对)4(t f 取样的最大间隔是______。
m T ωπωπ4max max==5.信号t t t f ππ30cos 220cos 4)(+=的平均功率为______。
101122222=+++==∑∞-∞=n nFP6. 已知一系统的输入输出关系为)3()(t f t y =,试判断该系统是否为线性时不变系统______。
故系统为线性时变系统。
7. 已知信号的拉式变换为)1)(1(1)(2-+=s s s F ,求该信号的傅立叶变换)(ωj F =______。
故傅立叶变换)(ωj F 不存在。
8. 已知一离散时间系统的系统函数2121)(---+=z z z H ,判断该系统是否稳定______。
故系统不稳定。
9. =+-+⎰∞∞-dt t t t )1()2(2δ______。
310. 已知一信号频谱可写为)(,)()(3ωωωωA eA j F j -=是一实偶函数,试问)(t f 有何种对称性______。
关于t=3的偶对称的实信号。
二、计算题(共50分,每小题10分)1. 已知连续时间系统的单位冲激响应)(t h 与激励信号)(t f 的波形如图A-1所示,试由时域求解该系 统的零状态响应)(t y ,画出)(t y 的波形。
信号和系统试题及答案一、选择题(每题4分,共20分)1. 信号的频谱分析中,傅里叶变换的物理意义是什么?A. 信号的时域表示B. 信号的频域表示C. 信号的相位信息D. 信号的幅度信息答案:B2. 在线性时不变系统中,系统的输出与输入的关系是什么?A. 线性关系B. 非线性关系C. 时变关系D. 随机关系答案:A3. 下列哪个函数不是周期函数?A. sin(t)B. cos(2t)C. e^(-t)D. cos(2πt)答案:C4. 系统稳定性的判定可以通过什么方法?A. 奈奎斯特准则B. 伯德图C. 相位裕度D. 所有以上答案:D5. 系统函数H(s)的零点和极点分别代表什么?A. 系统输入和输出B. 系统稳定性和不稳定性C. 系统增益和衰减D. 系统频率响应答案:B二、填空题(每题4分,共20分)1. 连续时间信号的傅里叶变换定义为:X(jω) = ____________。
答案:∫x(t)e^(-jωt)dt2. 如果一个系统的冲激响应h(t)是因果的,则系统的零状态响应y(t)与输入x(t)的关系为:y(t) = ____________。
答案:∫h(t-τ)x(τ)dτ3. 一个线性时不变系统的特性可以用其系统函数H(s)来描述,其中s 是复频域变量,代表的是 ____________。
答案:拉普拉斯变换4. 如果一个系统的频率响应H(jω)在ω=ω0处有极点,则在时域中对应的响应h(t)将具有 ____________。
答案:振荡特性5. 系统的因果性意味着系统的输出不会在输入之前出现,这可以用系统的冲激响应h(t)满足的条件来表示:h(t) = ____________。
答案:0,t < 0三、简答题(每题10分,共30分)1. 请简述傅里叶级数与傅里叶变换的区别。
答案:傅里叶级数适用于周期信号,是将周期信号分解为正弦和余弦函数的和,而傅里叶变换适用于非周期信号,是将信号分解为复指数函数的积分。
信号与系统试题及答案一、选择题1.在信号的描述中,连续变量而将定义域是有限的信号称为()。
A.连续信号B.离散信号C.周期信号D.非周期信号答案:B2.信号的傅里叶变换(Fourier Transform,FT)是信号处理中常用的分析方法,其定义为()。
A.连续时间歧波函数B.非周期连续时间信号C.连续时间冲激函数D.连续时间信号答案:D3.对于离散时间信号,其傅里叶变换可以采用()来表示。
A.傅里叶级数展开B.离散时间傅里叶变换C.拉普拉斯变换D.傅里叶变换答案:B4.信号的卷积运算在信号处理中起着重要的作用,下面关于卷积的叙述中,哪一项是错误的?A.卷积运算是线性运算B.卷积运算是可交换的C.卷积运算是可结合的D.卷积运算是时不变的答案:B二、填空题1.连续时间信号x(t)的自相关函数定义为()。
答案:R_xx(tau) = E[x(t)x(t-tau)]2.离散时间信号x[n]的傅里叶变换定义为()。
答案:X(e^jw) = ∑(n=-∞)^(∞) x[n]e^(-jwn)3.周期信号x(t)的复指数傅里叶级数展开公式为()。
答案:x(t) = ∑(k=-∞)^(∞) c_ke^(jwt)4.信号x(t)和h(t)的卷积定义为()。
答案:(x*h)(t) = ∫[(-∞)-(∞)] x(tau)h(t-tau)dtau三、解答题1.连续时间信号与离散时间信号的区别是什么?答:连续时间信号是在连续的时间域上定义的信号,可以取连续的值;而离散时间信号是在离散的时间点上定义的信号,只能取离散的值。
2.请简要解释信号的功率谱密度是什么。
答:功率谱密度是描述信号功率在频域上的分布情况,可以看作是傅里叶变换后信号幅度的平方。
它表示了信号在不同频率上的功率强度,可以用于分析信号的频谱特性。
3.请简述卷积运算在信号处理中的应用。
答:卷积运算在信号处理中十分常见,主要应用于线性时不变系统的描述。
通过卷积运算,可以计算输入信号与系统的响应之间的关系,从而对信号进行滤波、去噪等处理操作。
信号与系统试题及答案(大学期末考试题)一、选择题(每题2分,共40分)1. 下列哪个信号是周期信号?A. 方波B. 单位冲激信号C. 随机信号D. 正弦信号答案:A2. 信号x(t)的拉普拉斯变换为X(s)。
若x(t)的区间平均功率为P,则X(s)的区间平均功率是多少?A. PB. 2πPC. P/2D. πP答案:D3. 系统的冲激响应为h(t)=e^(-2t)sin(3t)u(t)。
则该系统为什么类型的系统?A. 线性非时变系统B. 线性时不变系统C. 非线性非时变系统D. 非线性时不变系统答案:B4. 信号x(t)通过系统h(t)并得到输出信号y(t)。
若x(t)为周期为T的信号,则y(t)也是周期为T的信号。
A. 正确B. 错误答案:A5. 下列哪个信号不是能量有限信号?A. 常值信号B. 正弦信号C. 方波D. 三角波答案:B...二、填空题(每题4分,共40分)1. 离散傅里叶变换的计算复杂度为$O(NlogN)$。
答案:NlogN2. 系统函数$H(z) = \frac{1}{1-0.5z^{-1}}$的极点为0.5。
答案:0.5...三、简答题(每题10分,共20分)1. 请简要说明信号与系统的基本概念和关系。
答案:信号是波动的物理量的数学描述,而系统是对信号进行处理的方式。
信号与系统的关系在于信号作为系统的输入,经过系统处理后得到输出信号。
信号与系统的研究可以帮助我们理解和分析各种现实世界中的波动现象。
2. 请简要说明周期信号和非周期信号的区别。
答案:周期信号是在一定时间间隔内重复出现的信号,具有周期性。
非周期信号则不能被表示为简单的周期函数,不存在固定的重复模式。
...以上是关于信号与系统试题及答案的文档。
希望能对您的大学期末考试复习有所帮助。
祝您考试顺利!。
《信号与系统》期末考试姓名 学号 班级 成绩一、选择及填空(20分 每题2分):1. 以下系统,哪个可进行无失真传输_以下系统,哪个可进行无失真传输_B B _w w j w w w d w w w w w www-6)( )1()(H )( )()(H )(3)(H )( )1()1()(H )( 33=-===--=-且;;;D e j C e j B ej A j j jj U答:(B) 2. 下列哪一项是理想低通滤波器的系统函数_下列哪一项是理想低通滤波器的系统函数_C C _îíì<>=îíì><==--=-20 020 )(H )( 20 020 )(H )(3)(H )( )1()1()(H )(3 33w w w w w w w w w w ww ww jjj je j D e j C ej B e j A ;;;U答:(C )3. 对于一个L TI ,如果激励f 1(t)对应响应是)(3t U e t -, 激励f 2(t)对应响应是t 3sin ,则激励f 1(t)+ 5f 2(t)对应响应是_t t U e t 3sin 5)(3+-__;则激励3f 1(t+1)+5f 2(t-3)对应响应是_)3 (3sin 5)1(33-++--t t U et__。
__。
4. 已知},2,2,2,2{01)( --=n f ,}32,8,4,2,1{)(2=n f ,则=+)2()1(21ff _10_,用)(n d 表示)3(32)2(8)1(4)(2)1()(2-+-+-+++=n n n n n n fdddd d________________________。
___________________。
5. }2,8,4{}3,1,2,3{11----*=_{12,32,14,-8,-26,-6}-2__,}2,1,0{}5,3,6{0*=_{0,6,15,11,10}0____ 6. (课本P152 例4-17)已知)(t f 的象函数ss s s s F 5323)(23+++=,则)0(+f =__=__00_;)(¥f =_=_2/52/52/5__。
信号与系统试题1第一部分 选择题(共32分)一、单项选择题(本大题共16小题,每小题2分,共32分。
在每小题的四个备选答案中,选出一个正确答案,并将正确答案的序号填在题干的括号内)1.积分e d t --∞⎰2τδττ()等于( )A .δ()tB .ε()tC .2ε()tD .δε()()t t +2.已知系统微分方程为dy t dt y t f t ()()()+=2,若y f t t t (),()sin ()012+==ε,解得全响应为y t e t t ()sin()=+-︒-54242452,t ≥0。
全响应中24245sin()t -︒为( ) A .零输入响应分量 B .零状态响应分量C .自由响应分量D .稳态响应分量3.系统结构框图如图示,该系统的单位冲激响应h(t)满足的方程式为( )A .dy t dt y t x t ()()()+= B .h t x t y t ()()()=- C .dh t dt h t t ()()()+=δ D .h t t y t ()()()=-δ4.信号f t f t 12(),()波形如图所示,设f t f t f t ()()*()=12,则f()0为( )A .1B .2C .3D .45.已知信号f t ()的傅里叶变换F j ()()ωδωω=-0,则f t ()为( )A .120πωe j tB .120πωe j t -C .120πεωe t j t ()D .120πεωe t j t -()6.已知信号f t ()如图所示,则其傅里叶变换为( )A .τωττωτ2422Sa Sa ()()+B .τωττωτSa Sa ()()422+ C .τωττωτ242Sa Sa ()()+ D .τωττωτSa Sa ()()42+7.信号f t 1()和f t 2()分别如图(a )和图(b)所示,已知 [()]()f t F j 11=ω,则f t 2()的 傅里叶变换为( )A .F j e j t 10()--ωωB .F j e j t 10()ωω-C .F j e j t 10()-ωωD .F j e j t 10()ωω8.有一因果线性时不变系统,其频率响应H j j ()ωω=+12,对于某一输入x(t)所得输出信号的傅里叶变换为Y j j j ()()()ωωω=++123,则该输入x(t)为( ) A .--e t t 3ε()B .e t t -3ε()C .-e t t 3ε()D .e t t 3ε()9.f t e t t ()()=2ε的拉氏变换及收敛域为( )A .122s s +>-,Re{} B .122s s +<-,Re{} C .122s s ->,Re{} D .122s s -<,Re{} 10.f t t t ()()()=--εε1的拉氏变换为( ) A .11s e s ()--B .11s e s ()-C .s e s ()1--D .s e s ()1-11.F s s s s s ()Re{}=+++>-25622的拉氏反变换为( )A .[]()e e t t t --+322εB .[]()e e t t t ---322εC .δε()()t e t t +-3D .e t t -3ε()12.图(a )中ab 段电路是某复杂电路的一部分,其中电感L 和电容C 都含有初始状态,请在图(b )中选出该电路的复频域模型。
信号与系统考试题及答案(一)1. 系统的激励是)t (e ,响应为)t (r ,若满足dt)t (de )t (r =,则该系统为 线性、时不变、因果。
(是否线性、时不变、因果?) 2. 求积分dt )t ()t (212-+⎰∞∞-δ的值为 5 。
3. 当信号是脉冲信号f(t)时,其 低频分量 主要影响脉冲的顶部,其 高频分量 主要影响脉冲的跳变沿。
4. 若信号f(t)的最高频率是2kHz ,则t)f(2的乃奎斯特抽样频率为 8kHz 。
5. 信号在通过线性系统不产生失真,必须在信号的全部频带内,要求系统幅频特性为 一常数相频特性为_一过原点的直线(群时延)。
6. 系统阶跃响应的上升时间和系统的 截止频率 成反比。
7. 若信号的3s F(s)=(s+4)(s+2),求该信号的=)j (F ωj 3(j +4)(j +2)ωωω。
8. 为使LTI 连续系统是稳定的,其系统函数)s (H 的极点必须在S 平面的 左半平面 。
9. 已知信号的频谱函数是))00(()j (F ωωδωωδω--+=,则其时间信号f(t)为01sin()t j ωπ。
10. 若信号f(t)的211)s (s )s (F +-=,则其初始值=+)(f 0 1 。
二、判断下列说法的正误,正确请在括号里打“√”,错误请打“×”。
(每小题2分,共10分)1.单位冲激函数总是满足)()(t t -=δδ ( √ )2.满足绝对可积条件∞<⎰∞∞-dt t f )(的信号一定存在傅立叶变换,不满足这一条件的信号一定不存在傅立叶变换。
( × ) 3.非周期信号的脉冲宽度越小,其频带宽度越宽。
( √ )4.连续LTI 系统的冲激响应的形式取决于系统的特征根,于系统的零点无关。
( √ )5.所有周期信号的频谱都是离散谱,并且随频率的增高,幅度谱总是渐小的。
( × )三、计算分析题(1、3、4、5题每题10分,2题5分, 6题15分,共60分)1.信号)t (u e )t (f t-=21,信号⎩⎨⎧<<=其他,01012t )t (f ,试求)t (f *)t (f 21。
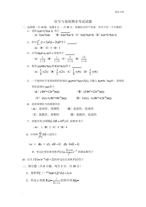
信号与系统期末考试试题一、选择题〔共10题,每题3分 ,共30分,每题给出四个答案,其中只有一个正确的〕1、 卷积f 1(k+5)*f 2(k-3) 等于 。
〔A 〕f 1(k)*f 2(k) 〔B 〕f 1(k)*f 2(k-8)〔C 〕f 1(k)*f 2(k+8)〔D 〕f 1(k+3)*f 2(k-3)2、 积分dt t t ⎰∞∞--+)21()2(δ等于 。
〔A 〕〔B 〕〔C 〕3〔D 〕53、 序列f(k)=-u(-k)的z 变换等于 。
〔A 〕1-z z 〔B 〕-1-z z〔C 〕11-z 〔D 〕11--z4、 假设y(t)=f(t)*h(t),则f(2t)*h(2t)等于 。
〔A 〕)2(41t y 〔B 〕)2(21t y 〔C 〕)4(41t y 〔D 〕)4(21t y 5、 一个线性时不变系统的阶跃相应g(t)=2e -2t u(t)+)(t δ,当输入f(t)=3e —t u(t)时,系统的零状态响应y f (t)等于〔A 〕(-9e -t +12e -2t )u(t) 〔B 〕(3-9e -t +12e -2t )u(t)〔C 〕)(t δ+(-6e -t +8e -2t )u(t) 〔D 〕3)(t δ +(-9e -t +12e -2t )u(t)6、 连续周期信号的频谱具有(A ) 连续性、周期性 〔B 〕连续性、收敛性 〔C 〕离散性、周期性 〔D 〕离散性、收敛性7、 周期序列2)455.1(0+k COS π的 周期N 等于(A ) 1〔B 〕2〔C 〕3〔D 〕4 8、序列和()∑∞-∞=-k k 1δ等于〔A 〕1 (B) ∞ (C) ()1-k u (D) ()1-k ku9、单边拉普拉斯变换()se s s s F 2212-+=的愿函数等于 10、信号()()23-=-t u tet f t的单边拉氏变换()s F 等于二、填空题〔共9小题,每空3分,共30分〕1、卷积和[〔〕k+1u(k+1)]*)1(k -δ=________________________2、单边z 变换F(z)=12-z z的原序列f(k)=______________________3、函数f(t)的单边拉普拉斯变换F(s)=1+s s,则函数y(t)=3e -2t ·f(3t)的单边拉普拉斯变换Y(s)=_________________________4、频谱函数F(j ω)=2u(1-ω)的傅里叶逆变换f(t)=__________________5、单边拉普拉斯变换ss s s s F +++=2213)(的原函数f(t)=__________________________6、某离散系统的差分方程为)1(2)()2()1()(2-+=----k f k f k y k y k y ,则系统的单位序列响应h(k)=_______________________7、信号f(t)的单边拉氏变换是F(s),则信号⎰-=2)()(t dx x f t y 的单边拉氏变换Y(s)=______________________________8、描述某连续系统方程为该系统的冲激响应h(t)=9、写出拉氏变换的结果()=t u 66 ,=kt 22三、〔8分〕四、〔10分〕如下图信号()t f ,其傅里叶变换()()[]t f jw F F =,求〔1〕 ()0F 〔2〕()⎰∞∞-dw jw F六、〔10分〕某LTI 系统的系统函数()1222++=s s s s H ,初始状态()(),20,00=='=--y y 鼓励()(),t u t f =求该系统的完全响应。
试卷及答案信号与系统试卷(1)(满分:100分,所有答案一律写在答题纸上)考试班级学号姓名成绩考试日期:年月日,阅卷教师:考试时间 120分钟,试卷题共2页一一线性非时变离散系统,具有一初始状态x(0),当激励为时f(k),响应为y(k)=((1/2)k+1)u(k);若初始状态不变,当激励为-f(k)时,响应y(k)=((-1/2)k-1)u(k)为;试求当初始状态2x(0)为,激励为4f(k)时,系统的响应?(10分)二绘出下列函数的图形(1).已知一连续时间信号x(t)如图所示,试概略画出信号y(t)=x(2-t/3)的波形图。
(8分)(2). 试概略画出信号y(t)=u(t 2-4) 的波形图。
(8分)三 计算下列函数(1). y(t)=⎰-44(t 2+3t+2)(δ(t)+2δ(t-2))dt (4分) (2). f(t)=e -2t u(t), h(t)= e -2t u(t), y(t)=f(t)*h(t) (8分) (3).f(k)=1,k=0,1,2,3,h(k)=1,k=0,1,2,3,y(k)=f(k)*h(k) (8分)(4) 已知f(t)=e -2t u(t), 求y(t)=[t f(2t)] 的富立叶变换 (8分)(5)y ’(t)+2y(t)=δ(t)+u(t), y(0)=0, 试求y(t)=? (8分) (6). y(k)-y(k-1)-2y(k-2)=u(k)+2u(k-2), y(-1)= 2,y(-2)= -1/2,试求零输入响应y x (k)=? 零状态响应y f (k)=? (8分)四 一线性非时变因果系统,当激励为u(t)时,响应为)]2()([cos )(cos )(ππ---+=-t u t u t t tu e t g t ,求当激励f(t)=δ(t)时的响应)(t h 。
(10分)五 某一子系统,当输入f(t)=e -t u(t)时,零状态响应y f (t) = (1/2 e -t - e -2t +1/2e -3t )u(t), 试求将两个这样的子系统串联时,总系统的冲激响应。
信号与系统考试题及答案一、选择题1. 在信号与系统中,周期信号的傅里叶级数展开中,系数\( a_n \)表示:A. 基频的振幅B. 谐波的振幅C. 直流分量D. 相位信息答案:B2. 下列哪个不是线性时不变系统的主要特性?A. 线性B. 时不变性C. 因果性D. 可逆性答案:D二、简答题1. 简述傅里叶变换与拉普拉斯变换的区别。
答案:傅里叶变换主要用于处理周期信号或至少是定义在实数线上的信号,而拉普拉斯变换则可以处理更广泛类型的信号,包括非周期信号和定义在复平面上的信号。
傅里叶变换是拉普拉斯变换的一个特例,当\( s = j\omega \)时,拉普拉斯变换退化为傅里叶变换。
2. 解释什么是系统的冲激响应,并举例说明。
答案:系统的冲激响应是指系统对单位冲激信号的响应。
它是系统特性的一种表征,可以用来分析系统对其他信号的响应。
例如,一个简单的RC电路的冲激响应是一个指数衰减函数。
三、计算题1. 已知连续时间信号\( x(t) = e^{-|t|} \),求其傅里叶变换\( X(f) \)。
答案:\[ X(f) = \frac{1}{2\pi} \int_{-\infty}^{\infty} e^{-|t|}e^{-j2\pi ft} dt \]\[ X(f) = \frac{1}{2\pi} \left[ \int_{-\infty}^{0} e^{t} e^{-j2\pi ft} dt + \int_{0}^{\infty} e^{-t} e^{-j2\pi ft} dt\right] \]\[ X(f) = \frac{1}{2\pi} \left[ \frac{1}{1+j2\pi f} -\frac{1}{1-j2\pi f} \right] \]\[ X(f) = \frac{1}{\pi} \frac{j2\pi f}{1 + (2\pi f)^2} \]2. 给定一个线性时不变系统的系统函数\( H(f) = \frac{1}{1+j2\pi f} \),求该系统对单位阶跃信号\( u(t) \)的响应。
信号与系统练习及答案一、单项选择题1.已知信号f (t )的波形如题1图所示,则f (t )的表达式为( )A .tu(t)B .(t-1)u(t-1)C .tu(t-1)D .2(t-1)u(t-1)2.积分式⎰-δ+δ++4422)]dt -(t 2(t))[23(t t 的积分结果是( ) A .14 B .24 C .26 D .283.已知f(t)的波形如题3(a )图所示,则f (5-2t)的波形为( )4.周期矩形脉冲的谱线间隔与( )A .脉冲幅度有关B .脉冲宽度有关C .脉冲周期有关D .周期和脉冲宽度有关 5.若矩形脉冲信号的宽度加宽,则它的频谱带宽( ) A .不变 B .变窄 C .变宽D .与脉冲宽度无关 6.如果两个信号分别通过系统函数为H (j ω)的系统后,得到相同的响应,那么这两个信号()A .一定相同 B .一定不同 C .只能为零 D .可以不同7.f(t)=)(t u e t 的拉氏变换为F (s )=11-s ,且收敛域为( ) A .Re[s]>0B .Re[s]<0C .Re[s]>1D .Re[s]<1 8.函数⎰-∞-δ=2t dx )x ()t (f 的单边拉氏变换F (s )等于( ) A .1 B .s 1 C .e -2s D .s1e -2s 9.单边拉氏变换F (s )=22++-s e )s (的原函数f(t)等于( ) A .e -2t u(t-1) B .e -2(t-1)u(t-1) C .e -2t u(t-2)D .e -2(t-2)u(t-2)答案: BCCCBDCDA二.填空题1.如果一线性时不变系统的单位冲激响应为h(t),则该系统的阶跃响应g(t)为_________。
2.已知x(t)的傅里叶变换为X (j ω),那么x (t-t 0)的傅里叶变换为_________________。
3.如果一线性时不变系统的输入为f(t),零状态响应为y f (t )=2f (t-t 0),则该系统的单位冲激响应h(t)为_________________。
2012年度教学质量综合评估测验卷《信号与系统》试题注:1、开课学院:信息工程学院学院。
命题组:电子信息教研组2、考试时间:120分钟,所有答案均写在答题纸上。
3、适用班级:信息工程学院通信工程专业及电子类专业。
4、在答题前,请在所发两张答题纸上认真填写所要求填写的个人3、)2)(1()(-+=s s s H ,属于其极点的是()。
A 、1B 、2C 、0D 、-2 4、If f 1(t )←→F 1(j ω),f 2(t )←→F 2(j ω)Then[] A 、[a f 1(t )+b f 2(t )]←→[a F 1(j ω)*b F 2(j ω)] B 、[a f 1(t )+b f 2(t )]←→[a F 1(j ω)-b F 2(j ω)]C、[a f1(t)+b f2(t)]←→[a F1(jω)+b F2(jω)]D、[a f1(t)+b f2(t)]←→[a F1(jω)/b F2(jω)]5、下列说法不正确的是()。
A、H(z)在单位圆内的极点所对应的响应序列为衰减的。
即当k→∞时,响应均趋于0。
67A、f(t)=cos(2t)+cos(4t)B、f(t)=sin(2t)+sin(4t)C、f(t)=sin2(4t)D、f(t)=cos2(4t)+sin(2t)8、已知某LTI连续系统当激励为)(t f时,系统的冲击响应为)(t h,零状态响应为)(t y zs ,零输入响应为)(t y zi ,全响应为)(1t y 。
若初始状态不变时,而激励为)(2t f 时,系统的全响应)(3t y 为()。
A 、)(2)(t y t y zs zi +B 、()2()zi y t f t +C 、)(4t y zsD 、)(4t y zi 9、设有一个离散反馈系统,其系统函数为:)1(2)(k z zz H --=,问若要使该系统稳定,常数应k 该满足的条件是()。
A 17、已知)21(2323)(22<<+-+=z z z z z X ,则=)(n x 。
信号与系统考试题及答案**信号与系统考试题及答案**一、单项选择题(每题2分,共20分)1. 信号与系统中的信号指的是()。
A. 电信号B. 光信号C. 信息的传递方式D. 以上都是答案:D2. 离散时间信号的数学表示是()。
A. x(t)B. x(nT)C. x(t) = x(nT)答案:D3. 连续时间信号的数学表示是()。
A. x(t)B. x(nT)C. x(t) = x(nT)D. x(n)答案:A4. 系统的基本特性不包括()。
A. 线性B. 时不变性C. 因果性D. 非线性5. 卷积积分是()。
A. 线性时不变系统的输出B. 线性时变系统的输出C. 非线性时不变系统的输出D. 非线性时变系统的输出答案:A6. 傅里叶变换是()。
A. 时域信号到频域信号的变换B. 频域信号到时域信号的变换C. 时域信号到时域信号的变换D. 频域信号到频域信号的变换答案:A7. 拉普拉斯变换是()。
A. 时域信号到频域信号的变换B. 频域信号到时域信号的变换C. 时域信号到复频域信号的变换D. 频域信号到复频域信号的变换答案:C8. 采样定理是关于()。
A. 信号的采样B. 信号的重建C. 信号的滤波D. 信号的调制答案:A9. 奈奎斯特频率是()。
A. 信号的最高频率B. 信号的最低频率C. 采样频率的两倍D. 采样频率的一半答案:D10. 理想低通滤波器的频率响应是()。
A. H(f) = 1, |f| < f_cB. H(f) = 0, |f| < f_cC. H(f) = 1, |f| > f_cD. H(f) = 0, |f| > f_c答案:A二、填空题(每题2分,共20分)1. 信号可以分为______信号和______信号。
答案:连续时间,离散时间2. 系统的时不变性意味着如果输入信号发生时间平移,输出信号也会发生相同的时间平移,即系统对信号的响应不随时间变化而变化,这称为系统的______。
信号与系统》试题及答案2012 年度教学质量综合评估测验卷《信号与系统》试题 题组::1、开课学院:信息工程学院学院 题组2、:题纸上。
电子3、类适专用业班级:信息工程学院通信工程专业及 电子4、类在专答业写所要求填 卷面题型及分值:)题 答 不 内 线 封 密名姓研12组0 分钟,所有答案均写在答 发两张答题纸上认真填 。
总总分二 三 四 五 六 七 八 九 十100 20 20 60一、选择题(每小题 2 分,共 10小题。
每一小题仅有一个选项是正确的。
共计 20 分)列说法不正确的是( 一般周期信号为功率信号。
时限信号 (仅在有限时间区间不为零的非周期信号 )为能量信号。
ε(t)是功率信号; 1、 A 、 B 、 C 、)。
D 、 e t 为能量信号 列关于冲激函数性质的表达式不正确的是( 2、 A 、 C 、 3、 A 、 4、 f (t) (t) f (0) (t)H(s)B、(at))d (t)D 、 1ta(-t)(t)(s2s 1()s (s 2)2),属于其极点的是(B 、2C 、 )。
1 If f1(t) ←→ F1(j ω), f2(t) ←→ F2(j ω) A 、[a f1(t) + b f2(t) ] ←→ [a F1(j ω) *b F2(j ω) ] B 、[a f1(t) + b f2(t) ] ←→ [aF1(j ω) - b F2(j ω) ] C 、[a f1(t) + b f2(t) ] ←→ [a F1(j ω) + b F2(j ω) ] D 、[a f1(t) + b f2(t) ] ←→ [a F1(j ω) /b F2(j ω) ] 5、下列说法不正确的是( )。
A 、H(z)在单位圆内的极点所对应的响应序列为衰减的。
即当趋于 0。
Then[ D 、-2k →∞时,响应均B 、H(z)在单位圆上的一阶极点所对应的响应函数为稳态响应。
C 、H(z) 在单位圆上的高阶极点或单位圆外的极点, 其所对应的响应序列都是递 增的。
信科0801《信号与系统》复习参考练习题一、单项选择题:14、已知连续时间信号,)2(100)2(50sin )(--=t t t f 则信号t t f 410cos ·)(所占有的频带宽度为() A .400rad /s B 。
200 rad /s C 。
100 rad /s D 。
50 rad /s15、已知信号)(t f 如下图(a )所示,其反转右移的信号f 1(t) 是( )16、已知信号)(1t f 如下图所示,其表达式是( )A 、ε(t )+2ε(t -2)-ε(t -3)B 、ε(t -1)+ε(t -2)-2ε(t -3)C 、ε(t)+ε(t -2)-ε(t -3)D 、ε(t -1)+ε(t -2)-ε(t -3)17、如图所示:f (t )为原始信号,f 1(t)为变换信号,则f 1(t)的表达式是( )A 、f(-t+1)B 、f(t+1)C 、f(-2t+1)D 、f(-t/2+1)18、若系统的冲激响应为h(t),输入信号为f(t),系统的零状态响应是( )19。
信号)2(4sin 3)2(4cos 2)(++-=t t t f ππ与冲激函数)2(-t δ之积为( )A 、2B 、2)2(-t δC 、3)2(-t δD 、5)2(-t δ,则该系统是()>-系统的系统函数.已知2]Re[,651)(LTI 202s s s s s H +++= A 、因果不稳定系统 B 、非因果稳定系统C 、因果稳定系统D 、非因果不稳定系统21、线性时不变系统的冲激响应曲线如图所示,该系统微分方程的特征根是( )A 、常数B 、 实数C 、复数D 、实数+复数22、线性时不变系统零状态响应曲线如图所示,则系统的输入应当是( )A 、阶跃信号B 、正弦信号C 、冲激信号D 、斜升信号23. 积分⎰∞∞-dt t t f )()(δ的结果为( )A )0(fB )(t f C.)()(t t f δ D.)()0(t f δ24. 卷积)()()(t t f t δδ**的结果为( )A.)(t δB.)2(t δC. )(t fD.)2(t f25. 零输入响应是( )A.全部自由响应B.部分自由响应C.部分零状态响应D.全响应与强迫响应之差 2A 、1-eB 、3eC 、3-e D 、1 27.信号〔ε(t)-ε(t -2)〕的拉氏变换的收敛域为 ( )A.Re[s]>0B.Re[s]>2C.全S 平面D.不存在28.已知连续系统二阶微分方程的零输入响应)(t y zi 的形式为t t Be Ae 2--+,则其2个特征根为( )A 。
-1,-2B 。
-1,2C 。
1,-2D 。
1,229.函数)(t δ'是( )A .奇函数B 。
偶函数C 。
非奇非偶函数D 。
奇谐函数30.周期矩形脉冲序列的频谱的谱线包络线为( )A .δ 函数B 。
Sa 函数C 。
ε 函数D 。
无法给出31.能量信号其( )A .能量E =0B 。
功率P =0C 。
能量E =∞D 。
功率P =∞32.在工程上,从抽样信号恢复原始信号时需要通过的滤波器是( )A .高通滤波器B 。
低通滤波器C 。
带通滤波器D 。
带阻滤波器33.设一个矩形脉冲的面积为S ,则矩形脉冲的F T(傅氏变换)在原点处的函数值等于( )A .S /2B 。
S /3C 。
S /4D 。
S34.,3,2,1,0,3sin )(±±±==k k k f … 是 ( )A .周期信号B 。
非周期信号C 。
不能表示信号D 。
以上都不对35.线性系统具有( )A .分解特性B 。
零状态线性C 。
零输入线性D 。
ABC36.设系统零状态响应与激励的关系是:)()(t f t y zs = ,则以下表述不对的是( )A .系统是线性的B 。
系统是时不变的C 。
系统是因果的D 。
系统是稳定的37.对于信号t t f π2sin )(=的最小取样频率是 ( )A .1 HzB 。
2 HzC 。
4 HzD 。
8Hz38.理想低通滤波器是( )A .因果系统B 。
物理可实现系统C 。
非因果系统D 。
响应不超前于激励发生的系统39.ωj 1 具有( )A .微分特性B 。
积分特性C 。
延时特性D 。
因果特性40.)1()2(sin --t t δπ等于( )A .)2(sin -t πB 。
)1(-t δC 。
1D 。
041.功率信号其 ( )A .能量E =0B 。
功率P =0C 。
能量E =∞D 。
功率P =∞42.信号⋯±±±==,3,2,1,0,6sin )(k k k f π其周期是( )A .π2B 。
12C 。
6D 。
不存在43.对于信号t t t f 33104sin 102sin )(⨯+⨯=ππ的最小取样频率是 ( )A .8kHzB 。
4kHzC 。
2kHzD 。
1kHz44.设系统的零状态响应⎰=t zs d f t y 0,)()(ττ 则该系统是 ( )A .稳定的B 。
不稳定的C 。
非因果的D 。
非线性的45.)4()]4([--t t Sa δπ等于 ( )A .)4(-t δB 。
)4(sin -t πC 。
1D 。
046.连续周期信号的频谱有( )A .连续性、周期性B 。
连续性、收敛性C 。
离散性、周期性D 。
离散性、收敛性47.某信号的频谱密度函数为,)]2()2([)(3ωπωεπωεωj e j F ---+=则=)(t f ( )A .)]3(2[-t Sa πB 。
2)]3(2[-t Sa πC .)2(t Sa πD 。
2)2(t Sa π48.理想低通滤波器一定是( )A .稳定的物理可实现系统B 。
稳定的物理不可实现系统C .不稳定的物理可实现系统D 。
不稳定的物理不可实现系统49.单边拉氏变换3)()3(+=+-s e s F s 的原函数=)(t f ( ) A .)1()1(3---t et ε B 。
)3()3(3---t e t ε C .)1(3--t e t ε D 。
)3(3--t e t ε50.当输入信号的复频率等于系统函数的零点时,系统的强迫响应分量为( )A .无穷大B 。
不为零的常数C 。
0D 。
随输入信号而定51.欲使信号通过系统后只产生相位变化,则该系统一定是( )A .高通滤波网络B 。
带通滤波网络C 。
全通网络D 。
最小相移网络52.已知信号)(t f 的傅氏变换为),(ωj F 则)23(t f -的傅氏变换为( )A .ωω3)2(2j ej F - B 。
ωω3)2(2j e j F -- C .ωω6)2(2j e j F - D 。
ωω6)2(2j e j F -- 53.信号的时宽与信号的频宽之间呈( )A .正比关系B 。
反比关系C 。
平方关系D 。
没有关系54.时域是实偶函数,其傅氏变换一定是( )A .实偶函数B 。
纯虚函数C 。
任意复函数D 。
任意实函数55.幅度调制的本质是( )A .改变信号的频率B 。
改变信号的相位C .改变信号频谱的位置D 。
改变信号频谱的结构56.若),()()(t y t h t f =*则=*)3()3(t h t f ( )A.)3(t y B。
3)3(t y C 。
)3(31t y D 。
)3(t y 57.假设信号)(1t f 的奈奎斯特取样频率为1ω ,)(2t f 的奈奎斯特取样频率为,2ω且1ω>,2ω则信号)2()1()(21++=t f t f t f 的奈奎斯特取样频率为( )A .1ωB 。
2ωC 。
1ω+2ωD 。
1ω*2ω58.某信号的频谱是周期的离散谱,则对应的时域信号为( )A .连续的周期信号B 。
连续的非周期信号C .离散的非周期信号D 。
离散的周期信号59.若线性时不变因果系统的频率响应特性),(ωj H 可由系统函数)(s H 将其中的s 换成ωj 来求取,则要求该系统函数)(s H 的收敛域应为( )A .]Re[s >某一正数B 。
]Re[s >某一负数C .]Re[s <某一正数D 。
]Re[s <某一负数60.对于某连续因果系统,系统函数22)(+-=s s s H ,下面说法不对的是( ) A .这是一个一阶系统 B 。
这是一个稳定系统C .这是一个最小相位系统D 。
这是一个全通系统61.下列信号分类法中错误的是 ( )A.确定信号与随机信号B.周期信号与非周期信号C.能量信号与功率信号D.一维信号与二维信号62.下列各式中正确的是 ( )A.)()2(t t δδ=; ;B.)(2)2(t t δδ=;C.)(21)2(t t δδ=D.)2(21)(2t t δδ= 63.下列关于傅氏变换的描述的不正确的是 ( )A ..时域周期离散,则频域也是周期离散的;B 时域周期连续,则频域也是周期连续的;C. 时域非周期连续,则频域也是非周期连续的;D.时域非周期离散,则频域是周期连续的。
64.若对)(t f 进行理想取样,其奈奎斯特取样频率为s f ,对)231(-t f 进行取样,其奈奎斯特取样频率为 ( )A .3s fB 。
s f 31C 。
3(s f -2)D 。
)2(31-s f 65.)3()5(21-*+t f t f 等于 ( )A .)()(21t f t f *B 。
)8()(21-*t f t fC .)8()(21+*t f t fD 。
)1()3(21-*+t f t f66.积分⎰---55)2()3(dt t t δ等于( )A .-1B 。
1C 。
0D 。
-0。
567.已知某连续时间系统的系统函数11)(+=s s H ,该系统属于什么类型 ( ) A .高通滤波器 B 。
低通滤波器 C 。
带通滤波器 D 。
带阻滤波器68.以下为4个信号的拉普拉斯变换,其中不存在傅里叶变换的信号是 ( )A .s 1B 。
1C 。
21+sD 。
21-s 69.已知一连续系统在输入)(t f 的作用下的零状态响应为)4()(t f t y zs =,则该系统为( )A .线性时不变系统B 。
线性时变系统C .非线性时不变系统D 。
非线性时变系统70.已知)(t f 是周期为T 的函数,)(t f -)25(T t f +的傅里叶级数中,只可能有( ) A .正弦分量 B 。
余弦分量 C 。
奇次谐波分量 D 。
偶次谐波分量71.一个线性时不变的连续时间系统,其在某激励信号作用下的自由响应为)()(3t e et t ε--+,强迫响应为)()1(2t e t ε--,则下面的说法正确的是 ( )A .该系统一定是二阶系统B 。