指数幂与负整数指数幂练习题
- 格式:docx
- 大小:90.44 KB
- 文档页数:4
零指数幂与负整数幂课时练习一、选择题1.计算(﹣1)0的结果为( )B .﹣1 D .无意义答案:A解析: 根据零指数幂的运算方法:a 0=1(a ≠0),求出(﹣1)0的结果为多少即可. 解答:∵(﹣1)0=1,∴(﹣1)0的结果为1.故选:A .2.计算:(﹣32)0=( ) B .﹣23 D .32 答案:A解析: 根据零指数幂:a 0=1(a ≠0),求出(﹣32)0的值是多少即可. 解答:(﹣32)0=1. 故选:A .3.(π﹣)0的相反数是( )D .﹣1答案:D解析: 首先利用零指数幂的性质得出(π﹣)0的值,再利用相反数的定义进行解答,即只有符号不同的两个数交互为相反数.解答:(π﹣)0的相反数是:﹣1.故选:D .4.下列运算正确的是( )=0 B .﹣32=9 C .﹣|﹣3|=﹣3 D .9=3答案:C解析: 根零指数幂、绝对值、算术平方根、平方等知识点进行解答.解答:=1,故错误,B.﹣32=﹣9,故错误,C.﹣|﹣3|=﹣3,正确;D.9=3,故错误,故选C .5.计算:(﹣2)0=( )A .﹣2答案:C解析: 根据任何非0数的0次幂等于1进行计算即可.解答::(﹣2)0=1.故选:C .6.计算(﹣21)﹣1的结果是( ) A .﹣21 B .21 D .﹣2 答案:D解析:根据负整数指数幂的运算法则计算.解答:原式=﹣211=﹣2.故选D . 7.下列计算正确的是( )=4 =0﹣1=﹣2 D .4=±2答案:A解析: A.根据有理数的乘方的运算方法判断即可.B.根据零指数幂的运算方法判断即可.C.根据负整数指数幂的运算方法判断即可.D.根据算术平方根的含义和求法判断即可.解答:∵22=4,∴选项A 正确;∵20=1,∴选项B 不正确;∵2﹣1=, ∴选项C 不正确; ∵4=2∴选项D 不正确.故选:A .8.计算﹣3﹣2的值是( )B .91D .﹣6 答案:B 解析:根据负整数指数幂:a ﹣p =p a 1(a ≠0,p 为正整数)进行计算. 解答:﹣3﹣2=﹣(31)2=﹣91, 故选:B .9.下列运算正确的是( )A .﹣(﹣a +b )=a +b ﹣3a 2=a C .(x 6)2=x 8 ÷)32(﹣1=32 答案:D解析: 根据去括号法则,幂的乘方,底数不变指数相乘;负整数指数次幂等于正整数指数次幂的倒数对各选项解析判断后利用排除法求解.解答:A.﹣(﹣a +b )=a ﹣b ,故本选项错误;﹣3a 2不能运算,故本选项错误;C.(x 6)2=x 12,故本选项错误;÷(32)﹣1=1÷23=32,故本选项正确. 故选D .10.下列运算正确的是( )A .4=2B .(﹣3)2=﹣9﹣3=﹣6 =0答案:A解析: 根据算术平方根、乘方、负整数指数幂、零指数幂等知识点进行作答.解答:A.4=2,故选项正确;B.(﹣3)2=9,故选项错误;﹣3=81,故选项错误; =1,故选项错误.故选:A .11.下列计算中,正确的是( )﹣2=91 B .2)3( =﹣3 ÷m 2=m 3 D .(a ﹣b )2=a 2﹣b2 答案:A解析: 分别根据负整数指数幂及同底数幂的除法法则、数的开方法则及完全平方公式对各选项进行逐一解析即可.解答:A.原式=231=91,故本选项正确; B.原式=3,故本选项错误;C .原式=m 6﹣2=m 4,故本选项错误; D.原式=a 2+b 2﹣2ab ,故本选项错误.故选A .12.下列各式中计算正确的是( )﹣3=271 ﹣5=﹣a 5 C .(﹣3a ﹣3)2=9a 6 +a 3=a 8 答案:A解析: 根据负指数幂、二次方、实数加法的运算法则进行逐一判断即可.解答:﹣3=271,故本选项正确, ﹣5=51a,故本选项错误, C .(﹣3a ﹣3)2=961a ,故本选项错误, +a 3已经是最简形式,故本选项错误,故选A .13. 20150=( )C .﹣2015答案:B解析: 根据非零的零次幂等于1,可得答案.解答:20150=1.故选:B .14.如果(m ﹣3)m =1,那么m 应取( )≥3 =0 =3 =0,4或2答案:D解析: 根据任何非零数的0次幂为1和±1的偶次幂为1进行解答即可.解答:∵(0﹣3)0=1,∴m =0,∵(2﹣3)2=1,∴m =2,∵(4﹣3)4=1,∴m =4,故选:D .15.计算20140的结果是( )D .﹣1答案:A解析: 根据零指数幂计算即可.解答:20140=1,故选A .二、填空题16.=----01)2()21( . 答案:-3解析: 利用零指数幂及负整数指数幂的定义求解即可. 解答:01)2()21(----=﹣2﹣1=﹣3.故答案为:﹣3.17. 20150= .答案:1解析: 根据非零的零次幂等于1,可得答案.解答:20150=1.故答案为:1.18.式子(x +)0=1成立,则字母x 不能取的值是 .答案:解析: 根据任何非0数的0次幂等于1进行解答即可.解答:由题意得,x +≠0,x ≠﹣,故答案为:﹣.19.若(x ﹣2)0=1,则x 应满足条件 .答案:x ≠2解析: 根据0指数幂的概念解答.解答:若(x ﹣2)0=1,则x 应满足x ﹣2≠0,即x ≠2,故本题答案为:x ≠2.20.计算:(21)﹣2+(﹣2)3﹣20110= . 答案:﹣5解析: 根据任何一个不为0的数的0次幂都为1和a ﹣n =n a 1和有理数的加减法进行计算即可.解答:原式=4﹣8﹣1=﹣5.故答案为:﹣5.三、解答题21.已知:42)2(--x x =1,求x 的值.答案:x =﹣2或x =3解答:∵42)2(--x x =1,∴x 2﹣4=0,∴x =±2.又∵底数不能为0,∴x ≠2.∴x =﹣2,当x ﹣2=1,解得:x =3,∴x =﹣2或x =3解析: 由零指数幂的定义可知指数为0,解出x 的值即可解答,注意一个正数有两个平方根,他们互为相反数.22.计算:1)21(--+4)1(02++x .答案:1解答:原式=(﹣2)+1+2=1,故答案为1.解析: 分别根据零指数幂、算术平方根、负指数幂的运算法则计算,然后根据实数的运算法则求得计算结果.23.计算:4)12010(0--.答案:﹣1解答:原式=1﹣2=﹣1.解析: 分别根据零指数幂,算术平方根的运算法则计算,然后根据实数的运算法则求得计算结果.解答:原式=1﹣2=﹣1.24.计算:(﹣2)2﹣20070+|﹣6|答案:9解答:原式=4﹣1+6=9.解析: 根据有理数的乘方、零指数幂、绝对值等知识点进行解答,注意(﹣2)2=4,20070=1,|﹣6|=6,代入代数式即可得解.25.计算:3220610)23(-+-.答案:5解答:原式=1+3416⨯=1+4=5.解析:0)23( =1,3次方根的被开方数可用平方差公式计算得到,把所求得的数值代入即可求解.。
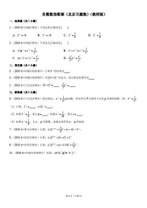
负整数指数幂(北京习题集)(教师版)一.选择题(共2小题)1.(2019秋•西城区期末)下列运算正确的是 A .B .C .D . 2.(2016秋•西城区期末)下列各式正确的是A .B .C .D . 二.填空题(共3小题)3.(2019秋•西城区校级期中)计算的结果是 .4.(2019秋•西城区校级期中)若有意义,则满足的条件是 .5.(2018春•门头沟区期末) , . 三.解答题(共5小题)6.(2018秋•门头沟区期末)我们规定:,即的负次幂等于的次幂的倒数.例: (1)计算: ; ;(2)如果,那么 ;如果,那么 ; (3)如果,且、为整数,求满足条件的、的取值. 7.(2019春•顺义区期末)计算:; 8.(2018春•延庆区期末)计算: 9.(2018春•怀柔区期末)计算:. 10.(2016秋•西城区校级期中)化简:.()328-=-326-=-3128-=3126-=()6212121x x x x --==g 62331x x x x --÷==323322()x xy x y y--==32123()y x x y -=33-3(25)x -+x 0(3)π-=11()2-=1(0)p p a a a -=≠a P a p 22144-=25-=2(2)--=128p -=p =2116a -=a =19p a -=a p a p 20182022(1)()(4)33π---+---201601(1)(3)2π----+2018021(1)( 3.14)(2π----+32232()(2)m n m n ----g负整数指数幂(北京习题集)(教师版)参考答案与试题解析一.选择题(共2小题)1.(2019秋•西城区期末)下列运算正确的是 A .B .C .D . 【分析】直接利用负指数幂的性质化简得出答案.【解答】解:, 故选:.【点评】此题主要考查了负整数指数幂的性质,正确掌握定义是解题关键.2.(2016秋•西城区期末)下列各式正确的是 A .B .C .D . 【分析】根据同底数幂的乘法,同底数幂的除法,积的乘方,负整数指数幂,可得答案.【解答】解:、,故不符合题意;、,故不符合题意;、,故不符合题意; 、负整数指数幂与正整数指数幂互为倒数,故符合题意;故选:.【点评】本题考查了负整数指数幂,利用同底数幂的乘法,同底数幂的除法,积的乘方,负整数指数幂是解题关键.二.填空题(共3小题)3.(2019秋•西城区校级期中)计算的结果是 . 【分析】直接利用负指数幂的性质化简得出答案.【解答】解:. 故答案为:. 【点评】此题主要考查了负指数幂的性质,正确掌握定义是解题关键.()328-=-326-=-3128-=3126-=3128-=C ()6212121x x x x --==g 62331x x x x --÷==323322()x xy x y y--==32123()y x x y -=A 624x x x -=g A B 628x x x -÷=B C 323366()x xy x y y--==C D D D 33-12733113327-==1274.(2019秋•西城区校级期中)若有意义,则满足的条件是 . 【分析】根据负整数指数幂的底数不等于0列式计算即可得解.【解答】解:有意义,,满足的条件是. 故答案为:. 【点评】本题考查了负整数指数幂与零次幂成立的条件,需熟记. 5.(2018春•门头沟区期末) 1 , . 【分析】直接利用零指数幂的性质以及负指数幂的性质分别化简得出答案.【解答】解:,. 故答案为:1,2.【点评】此题主要考查了零指数幂的性质以及负指数幂的性质,正确把握相关定义是解题关键.三.解答题(共5小题) 6.(2018秋•门头沟区期末)我们规定:,即的负次幂等于的次幂的倒数.例: (1)计算: ; ; (2)如果,那么 ;如果,那么 ; (3)如果,且、为整数,求满足条件的、的取值. 【分析】(1)根据负整数指数幂的计算法则计算即可求解;(2)根据负整数指数幂的计算法则找到指数即可求解;(3)根据负整数指数幂的计算法则找到底数和指数即可求解. 【解答】解:(1);; (2)如果,那么;如果,那么; (3)由于、为整数,所以当时,;当时,;当时,.3(25)x -+x 52x ≠-3(25)x -+Q 250x ∴-≠x ∴52x ≠-52x ≠-0(3)π-=11()2-=0(3)1π-=11()22-=1(0)p p a a a -=≠a P a p 22144-=25-=1252(2)--=128p -=p =2116a -=a =19p a -=a p a p 21525-=21(2)4--=128p -=3p =2116a -=4a =±a p 9a =1p =3a =2p =3a =-2p =故答案为:(1);;(2)3;. 【点评】考查了负整数指数幂,负整数指数幂:,为正整数),注意:①;②计算负整数指数幂时,一定要根据负整数指数幂的意义计算,避免出现的错误;③当底数是分数时,只要把分子、分母颠倒,负指数就可变为正指数;④在混合运算中,始终要注意运算的顺序.7.(2019春•顺义区期末)计算:; 【分析】直接利用负指数幂的性质和零指数幂的性质分别化简进而得出答案.【解答】解:原式 . 【点评】此题主要考查了实数运算,正确化简各数是解题关键.8.(2018春•延庆区期末)计算:【分析】直接利用负整数指数幂的性质以及零指数幂的性质化简进而得出答案.【解答】解:原式 . 【点评】此题主要考查了负整数指数幂的性质以及零指数幂的性质,正确化简各数是解题关键.9.(2018春•怀柔区期末)计算:. 【分析】直接利用零指数幂的性质以及负指数幂的性质化简各数得出答案.【解答】解:原式,.【点评】此题主要考查了负指数幂的性质和零指数幂的性质,正确掌握相关定义是解题关键.10.(2016秋•西城区校级期中)化简:. 【分析】利用负整数指数幂的法则求解即可.【解答】解: , , . 【点评】本题主要考查了负整数指数幂,解题的关键是熟记负整数指数幂的法则.125144±1(0p p a a a -=≠p 0a ≠2(3)(3)(2)--=-⨯-20182022(1)()(4)33π---+---411199=+--13=201601(1)(3)2π----+1112=-+12=2018021(1)( 3.14)(2π----+114=-+4=32232()(2)m n m n ----g32232()(2)m n m n ----g624614m n m n --=⨯g 2414m n -=424n m =。
指数与指数幂的运算练习题指数与指数幂的运算练习题在数学中,指数与指数幂是一种常见的运算形式。
通过这种运算,我们可以快速计算出大量的数值,同时也能够更好地理解数学中的乘方概念。
本文将介绍一些指数与指数幂的运算练习题,帮助读者提升运算能力。
一、简单指数运算1. 计算2的3次方。
解析:2的3次方等于2乘以2乘以2,即2 × 2 × 2 = 8。
2. 计算5的2次方。
解析:5的2次方等于5乘以5,即5 × 5 = 25。
3. 计算10的0次方。
解析:任何数的0次方都等于1,所以10的0次方等于1。
4. 计算(-2)的4次方。
解析:(-2)的4次方等于(-2)乘以(-2)乘以(-2)乘以(-2),即(-2) × (-2) × (-2) × (-2) = 16。
二、指数幂的运算1. 计算2的3次方乘以5的2次方。
解析:2的3次方等于8,5的2次方等于25,所以2的3次方乘以5的2次方等于8乘以25,即8 × 25 = 200。
2. 计算3的4次方除以3的2次方。
解析:3的4次方等于81,3的2次方等于9,所以3的4次方除以3的2次方等于81除以9,即81 ÷ 9 = 9。
3. 计算(-2)的3次方乘以(-2)的2次方。
解析:(-2)的3次方等于-8,(-2)的2次方等于4,所以(-2)的3次方乘以(-2)的2次方等于-8乘以4,即-8 × 4 = -32。
4. 计算10的5次方除以10的3次方。
解析:10的5次方等于100000,10的3次方等于1000,所以10的5次方除以10的3次方等于100000除以1000,即100000 ÷ 1000 = 100。
三、指数运算的特殊规律1. 计算2的3次方的平方。
解析:2的3次方等于8,所以2的3次方的平方等于8的平方,即8 × 8 = 64。
2. 计算3的4次方的开平方。
八年级数学上册负整数指数幂练习题(含答案解析)学校:___________姓名:___________班级:__________一、单选题1.()02-的值为( )A .2-B .0C .1D .2 2.若220.3,3a b --=-=-,213c -⎛⎫=- ⎪⎝⎭,013d ⎛⎫=- ⎪⎝⎭,则( ) A .a b c d <<< B .b a c d <<< C .b a d c <<< D .a b d c <<<3.020*******)(0.125)8+⨯的结果是( )AB 2C .2D .04.计算x 2•x 3的结果是( )A .x 6B .x 5C .x 4D .x 35.若a 、b 为有理数,0a <,0b >,且a b >,那么a ,b ,a -,b -的大小关系是( ) A .b a b a -<<<-B .b b a a <-<<-C .a b b a <-<<-D .a b b a <<-<- 6.下列运算中,正确的是( )A 3±B .()020-=C .122-=-D 2- 7.已知212m -⎛⎫= ⎪⎝⎭,()32n =-,012p ⎛⎫=-- ⎪⎝⎭,则m ,n ,p 的大小关系是( ) A .m p n << B .n m p << C .p n m << D .n p m <<二、填空题8.计算:(1=__________; (2)=__________;(3)|2-=_________;(4)2|+=__________.9.计算:3|-11()3-=_______.10.计算:10(4)(π--+=_________.三、解答题11.计算:(1)(⎛⨯- ⎝;)12;(4))11112-⎛⎫ ⎪⎝⎭. 12.计算:|1-.13.已知一元二次方程20ax bx c ++=有一根为1,且1a =,求2013abc 的值.14.观察并验证下列等式:332121()29+=+=,3332123123()36++=++=,333321234123)410(0+++=+++=,(1)续写等式:3333312345++++=________;(写出最后结果)(2)我们已经知道()112312n n n +++⋅⋅⋅+=+,根据上述等式中所体现的规律,猜想结论:333331231()n n +++⋅⋅⋅+-+=________;(结果用因式乘积表示)(3)利用(2)中得到的结论计算:①333333695760+++⋅⋅⋅++;①333313521()n +++⋅⋅⋅+-;(4)试对(2)中得到的结论进行证明.参考答案:1.C【分析】根据零指数幂的运算法则求出()02-的值.【详解】解: ()021-=.故选:C .【点睛】本题考查了零指数幂,零指数幂法则:任何一个不等于零的数的零次幂都等于1.2.D【分析】直接利用负整数指数幂的性质以及零指数幂的性质分别化简得出答案. 【详解】解:21000.39a -=-=-,2193b -==--,2913c -⎛⎫=- ⎪⎭=⎝,0113d ⎛⎫=-= ⎪⎝⎭, ①10011999-<-<<, ①a b d c <<<,故选D .【点睛】此题主要考查了负整数指数幂的性质以及零指数幂的性质,正确化简各数是解题关键.3.C【分析】根据零次幂定义,积的乘方的逆运算进行计算.【详解】020122012201211)(0.125)81(8)1128+⨯=+⨯=+=. 故选:C【点睛】此题考查实数的混合运算,掌握零次幂定义,积的乘方的逆运算是解题的关键.4.B【分析】直接利用同底数幂的乘法运算法则计算得出答案.【详解】解:x 2•x 3=x 2+3=x 5.故选:B .【点睛】此题主要考查同底数幂的乘法,解题的关键是熟知其运算法则.5.C【分析】根据0a <,0b >,且a b >,可得0a ->,0b -<,a b ->,据此判断出b ,a -,b -的大小关系即可.【详解】解:①0a <,0b >,且a b >,①0a ->,0b -<,a b ->,①a b <-,①a b b a <-<<-.故选:C .【考点】本题主要考查了有理数大小比较的方法,要熟练掌握,解答此题的关键是要明确:①正数都大于0;①负数都小于0;①正数大于一切负数;①两个负数,绝对值大的其值反而小.6.D【分析】根据算术平方根,零指数幂,负整数指数幂,立方根的性质,逐项判断即可求解.【详解】解:3=,故本选项错误,不符合题意;B.()021-=,故本选项错误,不符合题意; C.1122-=,故本选项错误,不符合题意;2=-,故本选项正确,符合题意.故选:D .【点睛】本题主要考查了算术平方根,零指数幂,负整数指数幂,立方根的性质,熟练掌握相关运算法则是解题的关键.7.D【分析】根据负整数指数幂,有理数的乘方,零指数幂分别求得,,m n p 的值,进而比较大小即可.【详解】解:①212m -⎛⎫= ⎪⎝⎭4=,()32n =-8=-,012p ⎛⎫=-- ⎪⎝⎭1=-, ①n p m <<故选:D .【点睛】本题考查了负整数指数幂,有理数的乘方,零指数幂,掌握运算法则是解题的关键.8. 2; 2+【分析】根据同类根式的合并法则和去绝对值符号法则进行计算.【详解】解:(1=(2)=(3)|22=,(4)2|2++故答案为:2;2【点睛】本题考查同类根式的计算,掌握运算法则是关键.9.【分析】利用绝对值的性质、负整数指数幂的性质化简,再利用实数的加减运算法则得出结果.【详解】解:原式33=,=故答案为:【点睛】此题主要考查了绝对值的性质、负整数指数幂,解题的关键是正确化简各数.10.34##0.75【分析】根据零指数幂和负整数指数幂的计算法则求解即可【详解】解:原式114=-+34 =.故答案为:34.【点睛】本题主要考查了零指数幂和负整数指数幂,熟知二者的计算法则是解题的关键.11.(1)(2)(3)1(4)0【分析】(1)先根据二次根式性质进行化简,然后再进行计算即可;(2)先根据二次根式性质进行化简,然后再按照二次根式乘除运算法则进行计算即可;(3)根据二次根式混合运算法则进行计算即可;(4)根据平方差公式和二次根式性质和负整数指数幂进行运算即可.(1)解:==(2)(⎛⨯- ⎝⎛= ⎝⎭⎛= ⎝⎭= (3))1232=1=(4)解:)11112-⎛⎫ ⎪⎝⎭ 131412=--+22=-+0=【点睛】本题主要考查了二次根式的混合运算和实数混合运算,熟练掌握二次根式的性质和混合运算法则,是解题的关键.12.(1)-124(2)6【分析】(1)直接利用立方根性质化简以及有理数加减运算法则计算即可;(2)直接利用算术平方根性质以及绝对值的性质分别化简计算即可.(1)=2-3-54 =-124(2)|1-1=6【点睛】此题主要考查了实数运算,正确化简各数是解题关键.13.2.【分析】结合题意,根据二次根式的非负性得到2020b b -≥⎧⎨-≥⎩,解得2b =,代入1a =得到a ,又因为1x =是20ax bx c ++=的根,则可得1c =-,再将a ,b ,c 的值代入2013abc 计算,即可得到答案.【详解】①1a =,①2020b b -≥⎧⎨-≥⎩,即22b b ≥⎧⎨≤⎩,①2b =. 代入得1a =-.又①1x =是20ax bx c ++=的根,①211210c -⨯+⨯+=,①1c =-.①()20132013121abc =-⨯⨯-()1212=-⨯⨯-=.【点睛】本题考查二次根式的非负性、指数幂的运算,解题的关键是掌握二次根式的非负性、指数幂的运算.14.(1)225;(2)221(1)4n n +;(3)①1190700,①422n n -;(4)见解析 【分析】(1)(2)直接根据题意给出的规律即可求解.(3)①先按积的乘方分出27,提公因式27,再按给出的规律即可求解,①需先添偶次项,][333333331232[2462()()]n n +++⋅⋅⋅+-+++⋅⋅⋅+,前面括号中直接][333333331232[()()2462]n n =+++⋅⋅⋅+-+++⋅⋅⋅+,后变括号利用积的乘方分出8,提公因式8,再按给出的规律计算,提公因式整理结果集(4)利用和立方公式展开,求出平方和公式,再利用和四次方公式展开,利用错位相减法求出立方和即可【详解】解:(1)22()1234552251=++++=,故答案为:225;(2)原式()2222111231(1)(1)24++n n n n n n ⎡⎤=++-+=+=+⎡⎤⎣⎦⎢⎥⎣⎦, 故答案为:221(1)4n n +; (3)①原式33333132333()()()20()=⨯+⨯+⨯+⋅⋅⋅+⨯,33332712722732720=⨯+⨯+⨯+⋅⋅⋅+⨯,33332712320()=+++⋅⋅⋅+,227123(20)++++=,2212720214=⨯⨯⨯, 2744100=⨯,1190700=;①原式][333333331232[()()2462]n n =+++⋅⋅⋅+-+++⋅⋅⋅+,23333333322232[123212]n +++n =-++⨯+⋅⋅⋅⎤⎡+⨯⎣⨯⨯⎦, 22333312218(12(4))()3n n n =⋅⋅+⋅-+++, 2222()114218144()n n n n =⨯+-⨯⨯⨯+, 2222()()2121n n n n =+-+,,221(2)n n =-,422n n =-;(4)①33213(1)3n n n n +=+++,①33213(1)3n n n n +-=++,①332()(131)()311n n n n --=-+-+,…①3323232321-=⨯+⨯+,①3322131311-=⨯+⨯+,上述n 个等式相加,得,3322211312()()(312)n n n n +-=++⋅⋅⋅++++⋅⋅⋅++,①222331211()()(12)3n n n n ++⋅⋅⋅+=+--++⋅⋅⋅+-,3(1)(1)3(1)2n n n n +=+-⨯-+, 23(1)(1)12n n n ⎡⎤=++--⎢⎥⎣⎦, 21(1)2n n n ⎛⎫=++ ⎪⎝⎭, ①222112(1)(21)6n n n n ++⋅⋅⋅+=++, ①44321464()1n n n n n +=++++,①44321464()1n n n n n +-=+++,①44321416()()(1411)()n n n n n --=-+-+-+,…4432324262421-=⨯+⨯+⨯+,4432214161411-=⨯+⨯+⨯+,上述n 个等式相加,得,44333222141261()2412()()()n n n n n n +-=++⋅⋅⋅++++⋅⋅⋅++++⋅⋅⋅++,①33342224121161()()()()2412n n n n n ++⋅⋅⋅+=+--++⋅⋅⋅+-++⋅⋅⋅+-,41(1)(1)6(1)(21)4(1)62n n n n n n n +=+-⨯++-⨯-+,3()[()()121]121n n n n n =++-+--,32()(1)n n n =++, ①33322112(1)4n n n ++⋅⋅⋅+=+. 【点睛】本题考查自然数立方和公式推导及应用,掌握自然数列和公式,自然数平方和公式,自然数立方和推导过程,规律型:数字的变化类、因式分解的应用是解题关键.。
零指数幂与负整数指数幂计算题50道
摘要:
1.零指数幂的定义与性质
2.负整数指数幂的定义与性质
3.零指数幂与负整数指数幂的计算方法
4.50 道计算题的解答
正文:
零指数幂是指一个数的0 次方,它的值等于1。
这是数学中的基本定义,无论这个数是多少,它的0 次方都等于1。
例如,2 的0 次方等于1,3 的0 次方也等于1。
负整数指数幂是指一个数的负整数次方,它的值等于这个数的倒数的正整数次方。
例如,2 的-3 次方等于1/2 的3 次方,即1/8。
同样,3 的-4 次方等于1/3 的4 次方,即1/81。
对于零指数幂和负整数指数幂的计算,主要是记住它们的定义和性质,然后根据定义进行计算。
需要注意的是,0 的任何正整数次方都等于0,而0 的0 次方等于1。
接下来,我将提供50 道零指数幂与负整数指数幂的计算题,并给出解答。
由于篇幅原因,这里只列举前5 道题目及其解答,剩余的题目请参考附件。
题目1:2 的0 次方等于?
解答1:1
题目2:3 的-3 次方等于?
解答2:1/27
题目3:0 的3 次方等于?
解答3:0
题目4:-2 的-2 次方等于?
解答4:1/4
题目5:-3 的-4 次方等于?
解答5:1/81
对于剩余的题目,读者可以根据零指数幂和负整数指数幂的定义与性质进行计算。
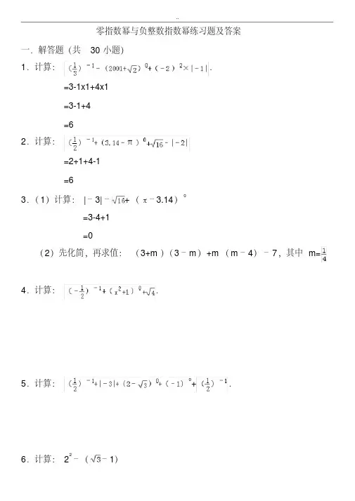
零指数幕与负整数指数幕练习题一•解答题(共30小题)1 •计算:(g)_1- 屈°+ (~2)3 |-112•计算:(*)■仃(3.14-TT )叮届-|-2|3. (1)计算:|- 3|—」1.「+ (冗―3.14)(2)先化简,再求值:(3+m)(3 - m)+m (m - 4)- 7,其中m=^4. 计算:(一申7+(3応5. 计算:(专)】+丨-3|+ (2 -伍)C+ (-1)6. 计算:22-(阴-1)0+ 谆)7. 计算:5-3.14)°+79+(一1)2011-(一8. 计算:,亠22 - (2011 - ) °9. (1)计算|-2|+ (歼1) °-(2)-1- (- 1) 2011⑵化简「10 •计算::- 'I:? ■: L ':11. (1)计算:(-52) 2+(3-5) °-丽.x=」,y=-3・(2)化简:求值.3 (x2-2xy) - [3x2- 2y+2 (xy+y)],其中12. (1)计算:23+第-1) 10-丨-吉丨-(号)(2)解方程组:[K - y= - 113 •计算::| . 115•计算:-12+贡-2|+(2)-1-5X(2009- n) 0 220. (1)计算:(「)2-(-3) +2° (2)因式分解:a 3-ab 2.21. 计算:-(-1) +|-2|+ ( n +3) 0-丙.22. 计算:.+ (-心)0+ (- 1) 3-|- 1|.14. (2009?重庆)计算: L 2|+ (g) 1 X ( n -^2) 016 •计算: (-2) 17. (1)计算:匚)-1 一 厂「+ (-1)2009(2)解方程组:2x-y=6 ⑴ x+2y=-2 (2)18. 19. 计算-22+|4- 7|+ (「- n2+2 X ( - 3) + ( -1计算:| - |+ (3.14 - n) -223 •计算:门-■ i — -1 讨+ | ^ . I '24•计算:22+ (4-7)三+ ( :) 025•计算:| - 3| -肯十(-血)° -冷)28•计算:(-1) 2°°6+|-'|-(2- :) 0- 3.;:• 29•计算:J |厂 「 : | | r ]「+ |:丄| 30•计算:二'427 •计算: 26•计算: 1+( 3- n-1+ (-2) 3+| - 3| -零指数幕与负整数指数幕练习题及答案参考答案与试题解析一•解答题(共30小题)1 •计算: 倍)7- (2001+V2)叮(-2)3 17 解答:解:原式=3 - 1+4=6•故答案为6. 2•计算:(*)7 (3 14-兀)叮届- |-2|解答:解:「" .丨二,=2+1+4 - 2,=5.故答案为:5.3. (1)计算:-3|- - + ( n- 3.14) 0(2)先化简,再求值:(3+m) (3 - m) +m ( m - 4)- 7,其中m丄4解答:解:(1)原式=3 - 4+1=0 ;(2)原式=9 - m2+m2- 4m - 7 =2 - 4m,当m=—时,原式=2 - 4』=1.4 44. 计算:「制■】+ (/打)呻皿解答:解:原式=(-2)+1+2=1,故答案为1.5. 计算:(*)7|-3|十“-屈叫【-1).解答:解:原式=2+3+1 - 1 =5.6•计算:22-(伍-1)°+ (g)_1.解答:解:原式=4 - 1+2=5.7.计算:(兀-3・14)°+Vg+ (- 1 )2011- (-*)7解答:解:| :. ' '■- ■- …1二':=1+3 - 1-( -2)=5.故答案为5.8•计算:| - 5| - J ( -3)2-^2 "2- (20L1- ) 0解答:解:原式=5 - 3+4 - 14 5_4,9. (1)计算-2|+ ^5- 1) 0-(g) -1-( - 1)=2+1- 3+1,=1 ;3 (3-0)2 (2-a)• a- 2 , 3 (37a - 2 2 (2-a)3(a+3) (a _ 3)2 (afS) 10•计算::二 1 ' : . ■: 「一解答:解:原式=2 - 1+ (扌心)4 (3分)=2 - 1+1 (5 分)=2 . ( 7 分)11. (1)计算:(-2)'+ (3-5)匚石.(2)化简:求值.3 (X 2- 2xy ) - [3x 2- 2y+2 (xy+y )],其中 x=-丄,y= - 3. 解答:解:(1)原式=4+1 - 2=3.(2)原式=3x 2 - 6xy - 3x 2+2y - 2xy - 2y= - 8xy 当 x=-*, y=- 3 时, 原式=-8X(-*) X ( - 3) =- 12.3n 1 1 _ 2 f2s -厂3 12. (1)计算:23+ (厲-1)° - |丄丨-; (2)解方程组: yf2x-y=3'-©(2)1 ⑸ X -y= - 1…② 解:①-②得:x=4 代入②得:y=5•••方程组的解为(心?解答:解:(1) 2|+ (丽-1) 01-(- 1) 2011解答:(1)解:原式=8+113•计算: VJs - I - 3^2 I - '+( 1999 - 2010 )14. (2009?重庆)计算:-2|+』)-1X (n-血)0-阿 + (- 1) 2解答:解:原式=2+3X 1 - 3+仁3.故答案为3.故答案为1.17. (1)计算:(寺-1-嗣+近冥誓+ (- 1) 2009 ( 2)解方程组:' J E解答:解:(1)原式=3 - 2+1 -仁1(2) (1) X 2,得 4x - 2y=12 (3), (2) + (3),得 5x=10, x=2. 把x=2代入(1),得y= - 2 .••原方程组的解为1(1=2 o故答案为1、解答:解:原式丄1+2X 4畔.19 .计算-22+|4 - 7|+ (一; - n) 0解答:解:原式=-4+3+仁0.故答案为0.20. (1)计算:(「) 2-(- 3) +20 (2)因式分解: 解答:解:(1)原式=3+3+1=7;(2)原式=a (a 2 - b 2) =a (a+b ) (a - b ).故答案为 7、a (a+b ) (a- b ).21. 计算:-(-1) +|-2|+ ( n +3) 0-士. 解答:解:-(-1) +|- 2|+ ( n +3) 0-石=1+2+1 - 3 (6 分)=1 (8 分)22. 计算:.+ (斗订)0+ (- 1) 3- |- 1|.解答:解:原式=2+1 - 1-仁1.故答案为1.23. 计算:门「「一 -1讨十| - I '解答:解:原式=2 - 2X 2+3+1=2.24•计算:22+ (4-7) € +( :0解答:解:22+ (4-7) € + ( ;) 016.计算: (-2) 2+2X( - 3) + Q) -1解答:解: ■- (- 2) 2=4, Q )丄3;解答:解:原式=-12+^3- 2|+ (-;) -1 - 5X(2009- n) 0= - 1+2^3+2 - 5=- 2-循. 故答案为-2-血.(-2) 2+2X(- 3)") 1=4-6+3=1.解答:解:原式=3 : : :- 3+仁-2.15.计算:-12+卜斥-2|+ (£) -5X (2009- n) 0 2s-y=6 (1)x+2尸-Z C2J 18计算:a 3-ab 2.|- |+ (3.14 - n) -22=4 — 3幺+1 3=4 — 2+1 =3.25•计算:| -引-认汁(_近)。
专题1.10 零次幂和负整数指数幂(拓展提高)一、单选题1.下列运算正确的是( ) A .336x x x += B .2224(3)6xy x y = C .1122x x-=D .725x x x ÷=【答案】D【分析】根据合并同类项法则,积的乘方运算法则,负整数指数幂的意义和同底数幂的除法对四个选项依次判断即可.【详解】解:A 选项,33362x x x x +=≠,故A 选项不符合题意; B 选项,222424(3)96xy x y x y =≠,故B 选项不符合题意;C 选项,12122x x x-=≠,故C 选项不符合题意; D 选项,725x x x ÷=,故D 选项符合题意. 故选:D .【点睛】本题考查了合并同类项法则,积的乘方运算法则,负整数指数幂的意义和同底数幂的除法,熟练掌握这些知识点是解题关键. 2.如果等式()331x x +-=成立,则使得等式成立的x 的值有几个( )A .1个B .2个C .3个D .4个【答案】B【分析】利用零指数幂的性质以及有理数的乘方运算法则得出即可. 【详解】解:3(3)1x x +-=,∴若30x +=,解得:3x =-,此时0(6)1-=,符合题意, 当31x -=,解得:4x =,此时711=符合题意,当31x -=-时,解得:2x =,此时5(1)1-=-,不符合题意, 综上所述:满足等式的x 值有2个. 故选:B .【点睛】此题主要考查了零指数幂的性质以及有理数的乘方运算,分类讨论得出是解题关键.3.细菌的个体十分微小,大约10亿个细菌堆积起来才有一颗小米粒那么大.某种细菌的直径是0.0000025米,用科学记数法表示这种细菌的直径是( ) A .25×10﹣5米B .25×10﹣6米C .2.5×10﹣5米D .2.5×10﹣6米【答案】D【分析】绝对值小于1的正数也可以利用科学记数法表示,一般形式为a ×10-n ,与较大数的科学记数法不同的是其所使用的是负指数幂,指数由原数左边起第一个不为零的数字前面的0的个数所决定. 【详解】解:0.0000025=2.5×10-6. 故选:D .【点睛】本题考查用科学记数法表示较小的数,一般形式为a ×10-n ,其中1≤|a |<10,n 为由原数左边起第一个不为零的数字前面的0的个数所决定.4.20202021223202120192021202032a b c ⎛⎫⎛⎫==⨯-=-⨯- ⎪⎪⎝⎭⎝⎭,,,则a ,b ,c 的大小关系正确的是( )A .a <b <cB .a <c <bC .b <a <cD .c <b <a【答案】D【分析】根据题意,分别将a ,b ,c 的值算出后比较大小即可得解.【详解】解:020211a ==,()()222202012020120202020120201b =-+-=--=-,20202020202032333232222332c ⎛⎫=⨯=-⨯⨯=- ⎪⎛⎝⎫⎛⎫-⨯ ⎪⎪⎝⎝⎭⎭⎭, ∵3112-<-<, ∴c b a <<, 故答案为:D .【点睛】本题主要考查了幂运算,平方差公式的应用等,熟练掌握相关运算法则是解决本题的关键. 5.据悉,华为Mate40 Pro 和华为Mate40 Pro+搭载业界首款5nm 麒麟90005GSoC 芯片,其中5nm 就是0.000000005m .将数据0.000000005用科学记数法表示为( )A .9510-⨯B .80.510-⨯C .7510-⨯D .7510⨯【答案】A【分析】绝对值小于1的正数用科学记数法表示,一般形式为10n a -⨯,其中110a ≤<; 【详解】0.000000005=9510-⨯ , 故选:A .【点睛】本题考查了科学记数法的形式,正确理解科学记数法是解题的关键;6.我们根据指数运算,得出了一种新的运算,如下表是两种运算对应关系的一组实例:根据上表规律,某同学写出了三个式子:①4log 162=,②2log 84=,③31log 29=-,其中正确的是( ) A .①② B .①③ C .②③ D .①②③【答案】B【分析】根据题中的新定义法则判断即可.【详解】解:根据题意得:①log 416=log 442=2,故①正确; ②322log 8log 23==,故②错误 ③123331log log 9log 329--===-,故③正确. ∴正确的式子是①③, 故选:B .【点睛】此题考查了有理数的乘方运算和负整数指数幂,熟练掌握运算法则是解本题的关键.二、填空题7.计算:230248-⨯⨯=_______. 【答案】16.【分析】先分别算出负指数幂、乘方和零指数幂,再计算乘法,即可得出答案. 【详解】解:230248-⨯⨯ 16414=⨯⨯ 16=故答案为:16.【点睛】本题考查的是负指数幂、乘方和零指数幂,熟记负指数幂和零指数幂的性质是解题的关键. 8.若(1﹣x )1﹣3x =1,则满足条件的x 值为__________________. 【答案】0或13【分析】直接利用零指数幂的性质以及有理数的乘方运算法则计算得出答案.【详解】解:∵(1﹣x )1﹣3x=1,∴当1﹣3x =0时, 解得:x =13,当1﹣3x =1时, 解得:x =0, 当1﹣x =﹣1时, 解得:x =2(不合题意), 则满足条件的x 值为0或13.故答案为:0或13.【点睛】此题主要考查了零指数幂的性质以及有理数的乘方运算,正确分类讨论是解题关键. 9.若(3)1x x -=,则x 的值为__. 【答案】0或4或2【分析】分底数为1或-1,指数为0几种情况,分类讨论,列方程求解即可. 【详解】解:当31x -=,解得:4x =, 此时(3)1x x -=,当31x -=-,解得:2x =, 此时(3)1x x -=,当0x =,此时(3)1x x -=,综上所述:x 的值为:0或4或2. 故答案为:0或4或2.【点睛】本题考查了0指数的性质,解题关键是根据底数和指数进行分类讨论,注意:0指数底数不为0. 10.某种细胞可以近似地看成球体,它的半径是0.0000005米,用科学记数法表示为_________米. 【答案】5×10﹣7 【分析】绝对值小于1的正数也可以利用科学记数法表示,一般形式为a ×10-n ,与较大数的科学记数法不同的是其所使用的是负指数幂,指数由原数左边起第一个不为零的数字前面的0的个数所决定. 【详解】解:0.0000005=5×10-7. 故答案为:5×10-7. 【点睛】本题考查用科学记数法表示较小的数,一般形式为a ×10-n ,其中1≤|a |<10,n 为由原数左边起第一个不为零的数字前面的0的个数所决定.11.已知关于x 、y 的方程组135x y ax y a +=-⎧⎨-=-⎩,若x y =1,则a =___.【答案】3或32【分析】由1,y x =可得1,x = 或1,x y =-是偶数,或0,0,x y ≠= 再分三种情况列方程组,解方程组可得答案.【详解】解:1,y x =1,x ∴= 或1,x y =-是偶数,或0,0,x y ≠=当1x =时,11135y a y a +=-⎧∴⎨-=-⎩解得:3,3a y =⎧⎨=-⎩ 当1,x y =-是偶数,11135y a y a -+=-⎧∴⎨--=-⎩解得:11a y =⎧⎨=⎩,不合题意舍去,当0,0,x y ≠=135x a x a =-⎧∴⎨=-⎩解得:3212a x ⎧=⎪⎪⎨⎪=-⎪⎩ 综上:a 的值为:3或32故答案为:3或32【点睛】本题考查的是二元一次方程组的解法,零次幂的含义,有理数的乘方的应用,掌握以上知识是解题的关键.12.一个正方体集装箱的棱长为0.4m .(1)用科学记数法表示这个集装箱的体积是_________3m ;(2)若有一个小立方块的棱长为3110m -⨯,则把集装箱装满需要这样的小立方块的个数为_______.(用科学计数法表示)【答案】26.410-⨯ 76.410⨯【分析】(1)利用有理数的乘法运算结合科学记数法的表示方法得出答案; (2)利用有理数的乘除运算法则化简求出答案. 【详解】解:(1)一个正方体集装箱的棱长为0.4m , ∴这个集装箱的体积是:230.40.40.4 6.410()m -⨯⨯=⨯,答:这个集装箱的体积是236.410m -⨯; 故答案是:26.410-⨯;(2)一个小立方块的棱长为3110m -⨯,23376.410(110) 6.410--∴⨯÷⨯=⨯(个),即:需要76.410⨯个这样的小立方块才能将集装箱装满. 故答案是:76.410⨯.【点睛】本题考查用科学记数法表示较小的数,一般形式为10n a -⨯,其中1||10a <,n 为由原数左边起第一个不为零的数字前面的0的个数所决定.13.已知223x y z x y z -+=-+=,且x 、y 、z 的值中有且仅有一个为0,则()zxy =______. 【答案】1【分析】原式化为2323x y z x y z -+=⎧⎨-+=⎩,得到x +y =0,即可得出z =0,解方程组023x y x y +=⎧⎨-=⎩即可求解.【详解】解:原式化为2323x y z x y z -+=⎧⎨-+=⎩①②,②-①得,0x y +=,∵x ,y ,z 的值中仅有一个为0, ∴0z =,由023x y x y +=⎧⎨-=⎩解得:11x y =⎧⎨=-⎩,∴()[]01(1)1zxy =-=⨯, 故答案为:1.【点睛】本题考查了解三元一次方程组,0指数幂运算,加减消元法消去z 联立关于x 、y 的方程组是解题的关键.14.若a =(﹣2)﹣2,b =(﹣1)﹣1,c =(﹣32)0,则a 、b 、c 的大小关系是_____.【答案】b <a <c【分析】先求出a 、b 、c 的值,再根据有理数大小比较法则比较即可. 【详解】解:∵a =(-2)-2=14,b =(-1)-1=-1,c =(-32)0=1,∴b <a <c , 故答案为:b <a <c .【点睛】本题考查了有理数的大小比较法则,负整数指数幂,零指数幂的应用,解此题的关键是求出每个式子的值,题目比较典型,难度适中.三、解答题15.(1)计算:20212(2015)()2π--+-+;(2)20132012512()()125-⨯. 【答案】(1)1;(2)512-【分析】(1)原式第一项利用有理数的乘方法则,第二项利用零指数幂法则计算,最后一项利用负指数幂法则计算,即可得到结果;(2)原式利用同底数幂的乘法法则变形,再利用积的乘方逆运算化简,计算即可得到结果.【详解】解:(1)20212(2015)()2π--+-+= -4+1+4 =1; (2)20132012512()()125-⨯ 20125125()()12512=-⨯⨯- 20125(1)()12=-⨯-512=-【点睛】此题考查了整式的混合运算,以及实数的运算,涉及的知识有:幂的乘方与积的乘方,熟练掌握运算法则是解本题的关键.(1)()()()345222a a a ⋅÷- (2)()3242(3)2a a a -⋅+-(3)34()()x y y x -⋅-(4)2201901(1)( 3.14)3π-⎛⎫-+-- ⎪⎝⎭【答案】(1)4a -;(2)6a ;(3)7()x y -;(4)9-. 【分析】(1)先算幂的乘方,再算同底数幂的乘除法即可; (2)先算积的乘方,在算同底数幂的乘法,再合并同类项即可; (3)先利用偶数次幂变底数符号,再计算同底数幂乘法即可; (4)先计算负1的奇数次幂,零指数幂,负指数幂,再算加减法即可. 【详解】解:(1)()()()345222a a a ⋅÷-,= ()6810a a a ⋅÷-,=6810a +--, =4a -;(2)()3242(3)2a a a -⋅+-,=24698a a a ⋅-, =6698a a -, =6a ;(3)34()()x y y x -⋅-, = 34()()x y x y -⋅-, =7()x y -;(4)220191(1)( 3.14)3π-⎛⎫-+-- ⎪⎝⎭,=119-+-, =9-.本题考查整式乘除乘方混合运算和实数幂的混合运算,掌握整式幂指数运算法则,整式乘法与加减混合运算的顺序,以及负数的乘法,零指数幂负指数幂是解题关键. 17.先阅读下面的内容,再解决问题,例题:若m 2+2mn +2n 2﹣6n +9=0,求m 和n 的值. 解:∵m 2+2mn +2n 2﹣6n +9=0 ∴m 2+2mn +n 2+n 2﹣6n +9=0 ∴(m +n )2+(n ﹣3)2=0 ∴m +n =0,n ﹣3=0 ∴m =﹣3,n =3(1)若x 2﹣2xy +2y 2+4y +4=0,求x y +的值. (2)已知32b a +=.①用含a 的式子表示b : ; ②若28317m m ab +=-,求()mab 的值.【答案】(1)4x y +=-;(2)①23b a =-;②81【分析】(1)根据完全平方公式把原式变形,根据非负数的性质分别求出x 、y ,即可求解; (2)①根据32b a +=可得32a b =-;②根据①中结果将32a b =-代入28317m m ab +=-,配成完全平方式,根据非负数的性质求出各字母的值即可解答.【详解】解:(1)原式=2222440x xy y y y -++++=, 即22()(2)0x y y -++=, ∴2,2y x =-=-, ∴224x y +=--=-; (2)①∵32b a +=, ∴23b a =-; 故答案为:23b a =-②将32a b =-代入28317m m ab +=-, 得28(2)17m m b b +=--,2281720m m b b +++-=,整理得: 22816210m m b b +++-+=, 即: 22(4)(1)0m b ++-=, ∴4,1m b =-=, ∵32a b =-, ∴13a =,∴()41(1)813m ab -=⨯=.【点睛】本题主要考查了完全平方公式的应用,根据题意将原式适当变形,整理为完全平方式是解题关键. 18.如图1是一个长为4a ,宽为b 的长方形,沿图中虚线用剪刀分成四个全等的小长方形,然后用这四块小长方形拼成如图2的正方形.(1)观察图2,直接写出(a +b )2,(a ﹣b )2,ab 三者的等量关系式; (2)用(1)的结论解答:①若m +2m ﹣1=3,求m ﹣2m ﹣1的值;②如图3,正方形ABCD 与AEFG 边长分别为x ,y .若xy =15,BE =2,求图3中阴影部分的面积和.【答案】(1)(a +b )2=(a -b )2+4ab .(2)±1;(3)8【分析】(1)根据大正方形的面积等于4个小长方形和小正方形面积之和,可得结论; (2)利用(1)中关系式计算可得结论;(3)利用三角形的面积公式计算出阴影部分的面积,然后整体代入即可. 【详解】解:(1)∵大正方形的面积等于4个小长方形和小正方形面积之和, ∴(a +b )2=4ab +(b -a )2. ∴(a +b )2=(a -b )2+4ab . 故答案为:(a +b )2=(a -b )2+4ab .(2)由(1)得:(m +2m ﹣1)2=(m -2m ﹣1)2+4×m ×2m ﹣1. ∴(m -2m ﹣1)2=(m +2m ﹣1)2-8∴(m -2m ﹣1)2=9-8=1.∴m -2m ﹣1=±1.(3)∵ABCD ,AEFG 为正方形,边长分别为x ,y .BE =2,∴DG =BE =2,x -y =2.∴(x -y )2=4.∴x 2-2xy +y 2=4.∵xy =15∴x 2+y 2=34,∴x 2+2xy +y 2=34+30,∴(x +y )2=64.∵x >0,y >0,∴x +y =8.∴S 阴影=12BE •EF +12CD •DG =y +x =8.【点睛】本题主要考查了完全平方公式的几何背景,利用图形面积之间的关系得到(a +b )2,(a -b )2,ab 之间的等量关系式是解题的关键.19.我国是最早采用十进制进行计算的国家,研究发现,使用十进制跟我们有十根手指头有关.进制也就是进位制,是人们规定的一种进位方法,对于任何一种进制一X 进制,就表示某一位置上的数运算时是逢X 进一位,十进制是逢十进一,二进制就是逢二进一,十六进制是逢十六进一,以此类作.X 进制就是逢X 进一.为与十进制进行区分,我们常把用X 进制表示的数a 写成(a )X .X 进制的数转化为十进制数的方法;X 进制表示的数(1111)X 中,从右边数起,第一位上的1表示1×X 0,第二位上的1表示1×X 1,第三位上的1表示1×X 2,第四位上的1表示1×X 3,故(1111)X 转化为十进制为:(1111)X =1×X 3+1×X 2+1×X 1+1×X 0(规定当X ≠0时,X 0=1) 例如:(101)2=1×22+0×21+1×20=5,(1023)5=1×53+0×52+2×51+3×50=138. 根据材料,完成以下问题:(1)把下列进制表示的数转化为十进制表示的数:(10101)3=________,(257)8=________;(2)一个四进制三位数(a 3b )4与七进制三位数(3ba )7之和能被8整除(1≤a ≤3,1≤b ≤3.且a ,b 均为整数),求a 的值;(3)若一个八进制数与一个六进制数之差为420,则称这两个数为“坤鹏数”,试判断(mm 4)8与(n 2n )6是否为“坤鹏数”并说明理由.【答案】(1)91,175;(2)a 的值是1;(3)(mm 4)8与(n 2n )6是“坤鹏数”,理由见解析【分析】(1)根据进制的定义以及转化方法计算即可;(2)先转化为十进制数,再根据之和能被8整除求解;(3)先转化为十进制数,根据差为420列二元一次方程,求是否有不大于10的自然数解.【详解】解:(1)(10101)3=1×34+0×33+1×32+0×31+1×30=91, (257)8=2×82+5×81+7×80=175;(2)∵(a 3b )4=a ×42+3×41+b ×40=16a +12+b , (3ba )7= 3×72+b ×71+a ×70=147+7b +a ,∴(a 3b )4+(3ba )7=17a +8b +159=17a +8b +8×19+7,∵(a 3b )4+(3ba )7能被8整除,∴17a +7能被8整除,当a =1时,17a +7=24,能被8整除;当a =2时,17a +7=41,不能被8整除;当a =3时,17a +7=58,不能被8整除;综上可知,(a 3b )4+(3ba )7能被8整除时,a 的值是1;(3)∵(mm 4)8=m ×82+m ×81+4×80= 72m +4,(n 2n )6=n ×62+2×61+n ×60=37n +12, ∴(mm 4)8-(n 2n )6= 72m +4-37n -12=420,∴72m -37n =428,∵m ,n 是不大于10的自然数,∴m =8,n =4,∴当m =8,n =4时,(mm 4)8与(n 2n )6是“坤鹏数”.【点睛】本题考查数的新定义、列代数式、整式的加减、以及二元一次方程的应用;理解题意,从题目中获取信息,列出正确的代数式,再由数的特点求解是解题的关键.20.我们规定:1(0)p p a a a -=≠,即a 的负P 次幂等于a 的p 次幂的倒数.例:22144-= (1)计算:25-=_____;2(2)--=_____;(2)如果128p -=,那么p =_____;如果212a -=,那么a =_____;(3)如果116p a -=,且a 、p 为整数,求满足条件的a 、p 的取值.【答案】(1)125,14;(2)3,(3)a =16时,p =1;a =±4时,p =2;a =±2时,p =4 【分析】(1)根据负整数指数幂的计算法则计算即可求解;(2)根据负整数指数幂的计算法则找到指数即可求解;(3)根据负整数指数幂的计算法则找到底数和指数即可求解.【详解】解:(1)25-=125;2(2)--=14; (2)如果128p -=,则311228p -==, 那么p =3; 如果212a -=,则()22112a -==,那么a =(3)由于a 、p 为整数,所以当a =16时,p =1;当a =±4时,p =2; 当a =±2时,p =4. 【点睛】本题考查了负整数指数幂,负整数指数幂:1p pa a -=(a ≠0,p 为正整数),注意:①a ≠0;②计算负整数指数幂时,一定要根据负整数指数幂的意义计算,避免出现(-3)-2=(-3)×(-2)的错误;③当底数是分数时,只要把分子、分母颠倒,负指数就可变为正指数;④在混合运算中,始终要注意运算的顺序.。
指数运算复习练习题2.1.1 指数与指数幂的运算练题1、有理数指数幂的分类:1)正整数指数幂 $a^n=a \cdot a \cdot a \cdot。
\cdota$ $(n$ 个 $a)$;2)零指数幂 $a^0=1$ $(a \neq 0)$;3)负整数指数幂 $a^{-n}=\dfrac{1}{a^n}$ $(n \in N^*)$;4)正分数指数幂$a^{\frac{m}{n}}=\sqrt[n]{a^m}$ $(a>0,m,n \in Q)$,等于$0$ 的正分数指数幂为 $0$,$0$ 的负分数指数幂没有意义。
2、有理数指数幂的性质:1)$a^m \cdot a^n=a^{m+n}$ $(a>0,m,n \in Q)$;2)$(a^m)^n=a^{mn}$ $(a>0,m,n \in Q)$;3)$(ab)^m=a^m \cdot b^m$ $(a>0,b>0,m \in Q)$。
知能点2:无理数指数幂若 $a>0$,$P$ 是一个无理数,则 $a^P$ 表示一个确定的实数,上述有理指数幂的运算性质,对于无理数指数幂都适用。
知能点3:根式1、根式的定义:一般地,如果 $x=\sqrt[n]{a}$,那么$x$ 叫做 $a$ 的 $n$ 次方根,其中 $n>1$,$n \in N$,$a$ 叫被开方数。
2、对于根式记号 $\sqrt[n]{a}$,要注意以下几点:1)$n \in N$,且 $n>1$;2)当$n$ 是奇数,则$\sqrt[n]{a^n}=a$;当$n$ 是偶数,则 $\sqrt[n]{a^n}=|a|$;3)负数没有偶次方根;4)零的任何次方根都是零。
3、我们规定:1)$\sqrt[n]{a^m}=a^{\frac{m}{n}}$ $(a>0,m,n \in N,n>1)$;2)$a^{-\frac{m}{n}}=\dfrac{1}{a^{\frac{m}{n}}}$ $ (a>0,m,n \inN^*,n>1)$。
整数指数幂第1课时 负整数指数幂1.计算5-2的值是( )A .-125 B.125 C .25 D .-252.计算⎝⎛⎭⎫-12-1的结果是( )A .-12 B.12 C .2 D .-23.计算a 3·a -5的结果是( )A .a 2B .a -2C .-a 2D .-a -24.若b =-3-2,c =⎝⎛⎭⎫13-2,d =⎝⎛⎭⎫-130,则() A .b <c <d B .b <d <c C .d <c <bD .c <d <b 5.计算:(1)(-2)0×3-2=________;(2)(x -1)2·x 3=________.6.计算:(1)⎝⎛⎭⎫23-2×3-1+(π-2018)0÷⎝⎛⎭⎫13-1;(2)(ab -2)-2·(a -2)3;(3)(2xy -1)2·xy ÷(-2x -2y ).第2课时用科学记数法表示绝对值小于1的数1.0.000012用科学记数法表示为()A.120×10-4B.1.2×10-5C.-1.2×10-5D.-1.2×1052.生物学家发现了一种病毒的长度约为0.00000432毫米.数据0.00000432用科学记数法表示为()A.0.432×10-5B.4.32×10-6C.4.32×10-7D.43.2×10-73.PM2.5是指大气中直径小于或等于2.5μm(0.0000025m)的颗粒物,含有大量有毒、有害物质,也称可入肺颗粒物.若将0.0000025用科学记数法表示为2.5×10n(n为整数),则n的值为()A.-7 B.-6 C.-5 D.64.用科学记数法把0.000009405表示成a×10-6,则a=________.5.用科学记数法表示下列各数:(1)0.0000314; (2)-0.0000064.6.用小数表示下列各数:(1)2×10-7; (2)2.71×10-5.7.纳米是一种长度单位,常用于度量物质原子的大小,1纳米=10-9米.已知某种植物孢子的直径约为45000纳米,用科学记数法表示该孢子的直径约为多少米?整数指数幂第1课时 负整数指数幂1.B. 2.D 3.B 4.B 5.(1)19(2)x 6.解:(1)原式=94×13+13=34+13=1312. (2)原式=a -2b 4·a -6=a -8b 4=b 4a 8. (3)原式=4x 2y -2·xy ÷(-2x -2y )=4x 3y -1÷(-2x -2y )=-2x 5y -2=-2x 5y 2. 第2课时 用科学记数法表示绝对值小于1的数1.B 2.B 3.B 4.9.4055.解:(1)原式=3.14×10-5.(2)原式=-6.4×10-6.6.解:(1)原式=0.0000002.(2)原式=0.0000271.7.解:45000纳米=4.5×104×10-9米=4.5×10-5米.答:该孢子的直径约为4.5×10-5米.。
3.6 同底数幂的除法第2课时 零指数幂与负整数指数幂知识点1 零指数幂与负整数指数幂的概念零指数幂的意义:规定:a 0=1(a≠0),即任何不等于零的数的零次幂都等于1. 负整数指数幂的意义:a -p=1a p (a≠0,p 是正整数).即任何不等于零的数的-p(p 是正整数)次幂,等于这个数的p 次幂的倒数.1.下列说法中,正确的是( ) A .(m -1)0的值总等于1 B .3-3表示-3个3相乘 C .a -m =-a mD .a -m (a≠0,m 是正整数)表示m 个a 乘积的倒数 知识点2 科学记数法表示绝对值较小的数对于绝对值较小的数,我们可以用a×10-n来表示,其中n 的值为第一个非零数前的零的个数.例如0.00123=1.23×10-3.2.某种生物细胞的直径约为0.00056 m ,将0.00056用科学记数法表示为( ) A .0.56×10-3 B .5.6×10-4 C .5.6×10-5 D .56×10-5一 零指数幂与负整数指数幂的有关计算教材例5变式计算:(1)20+2-1;(2)(-15)-2×(7)0;(3)(-3)4÷36.[归纳总结] 正确理解零指数幂与负整数指数幂的意义,依据规定进行计算,这样才不易出错.二 科学记数法表示绝对值较小的数教材例4变式题2016•苏州肥皂泡的泡壁厚度大约是0.0007 mm ,0.0007用科学记数法表示为( )A .0.7×10-3B .7×10-3C .7×10-4D .7×10-5[反思] 计算:-12x4y3z÷(-3x3y2).解:原式=-12÷(-3) x4-3y3-2①=-4xy.②(1)找错:从第________步开始出现错误;(2)纠错:一、选择题1.计算:⎝ ⎛⎭⎪⎫120=( ) A .-2 B .2 C .1 D .-12.下列运算正确的是( ) A .x 2·x 3=x 6 B .3-2=-6 C .(x 3)2=x 5 D .40=13.下列说法中正确的是( ) A .(π-3.14)0没有意义 B .任何数的零次幂都等于1C .一个不等于0的数的倒数的-p 次幂(p 是正整数)等于它的p 次幂D .计算(33-3×9)0的结果是14.2016·宜宾科学家在实验中检测出某微生物细胞的直径约为0.0000035米,将0.0000035用科学记数法表示为( )A .3.5×10-6B .3.5×106C .3.5×10-5D .35×10-55.2015·厦门2-3可以表示为( ) A .22÷25 B .25÷22 C .22·25D .(-2)×(-2)×(-2)6.计算10-⎝ ⎛⎭⎪⎫-122016×22017的结果是( )A .-2B .-1C .2D .3二、填空题7.计算:30-2-1=________.8.计算:(1)3-3=________;(2)10-3=________;(3)1-20=________;(4)20160=________.9.纳米是非常小的长度单位,已知1纳米=10-6毫米.已知某种病毒的直径约为100纳米,若将这种病毒排成1毫米长,则病毒的个数是________.10.当m________时,(m -2)0=1成立.11.(1)已知34000=3.4×10x,则x =________;(2)已知0.0000283= 2.83×10x,则x =________________________________________________________________________;(3)已知100=0.1x,则x =________. 三、解答题12.用整数或分数表示下列各数.(1)⎝ ⎛⎭⎪⎫142; (2)⎝ ⎛⎭⎪⎫14-2;(3)⎝ ⎛⎭⎪⎫-142; (4)⎝ ⎛⎭⎪⎫-14-2.13.计算:(1)5-2÷2-3;(2)⎝ ⎛⎭⎪⎫120-⎝ ⎛⎭⎪⎫13-2;(3)⎝ ⎛⎭⎪⎫152+⎝ ⎛⎭⎪⎫150+⎝ ⎛⎭⎪⎫15-2;(4)⎝ ⎛⎭⎪⎫-122÷(-2)3×(-2)-2.14.(1)2016·台州计算:4-⎪⎪⎪⎪⎪⎪-12+2-1;(2)2016·嘉兴、舟山计算:|-4|×(3-1)0-2;(3)计算:(2-3)0-9-(-1)2017-|-2|+(-13)-2.1.已知(x -2)=1,则x =________.2.比较下列各数的大小,并用“=”和“<”把各数连接起来.104,100,10-4,(10-2)2,(102)-2,⎝ ⎛⎭⎪⎫110-4.详解详析【预习效果检测】1.[解析] D 因为按规定,在(m -1)0=1中,m -1≠0,当m -1=0时,(m -1)0无意义,所以选项A 不正确.因为负整数指数幂有其特殊的意义,不能按照正整数指数幂的意义理解,所以选项B 不正确.因为a -m =1am ≠-a m,所以选项C 不正确.故选D.2.B【重难互动探究】例1 解:(1)原式=1+12=32.(2)原式=(-5)2×1=25.(3)原式=3-2=19.例2 [解析] C 0.0007=7×10-4.故选C .【课堂总结反思】 [反思] (1)①(2)原式=-12÷(-3) x 4-3y 3-2z =-4xyz. 【作业高效训练】 [课堂达标] 1.C2.[解析] D x 2·x 3=x 5,故A 项错.3-2=132=19,故B 项错.(x 3)2=x 6,故C 项错.D 项正确.3.C 4.A 5.A6.[解析] B 10-⎝ ⎛⎭⎪⎫-122016×22017=1-⎝ ⎛⎭⎪⎫122016×22017=1-⎝ ⎛⎭⎪⎫12×22016×2=1-2=-1.7.[答案] 128.[答案] (1)127 (2)0.001 (3)1 (4)19.[答案] 104[解析] 1÷(100×10-6)=1÷10-4=1÷1104=104(个).10.[答案] ≠211.[答案] (1)4 (2)-5 (3)-2 12.解:(1)⎝ ⎛⎭⎪⎫142=116.(2)⎝ ⎛⎭⎪⎫14-2=1⎝ ⎛⎭⎪⎫142=16.(3)⎝ ⎛⎭⎪⎫-142=⎝ ⎛⎭⎪⎫142=116.(4)⎝ ⎛⎭⎪⎫-14-2=1⎝ ⎛⎭⎪⎫-142=1⎝ ⎛⎭⎪⎫142=16. 13.解:(1)5-2÷2-3=152÷123=2352=825.(2)⎝ ⎛⎭⎪⎫120-⎝ ⎛⎭⎪⎫13-2=1-1⎝ ⎛⎭⎪⎫132=1-9=-8.(3)⎝ ⎛⎭⎪⎫152+⎝ ⎛⎭⎪⎫150+⎝ ⎛⎭⎪⎫15-2=125+1+1⎝ ⎛⎭⎪⎫152= 125+1+25=26125. (4)⎝ ⎛⎭⎪⎫-122÷(-2)3×(-2)-2=(-2)-2÷(-2)3×(-2)-2=(-2)-2-3-2=(-2)-7=-127. 14.解:(1)原式=2-12+12=2.(2)原式=4×1-2=2.(3)原式=1-3+1-2+9=6. [数学活动]1.[答案] 5,3,1[解析] 当x -5=0,即x =5时,得30=1;当x -2=1,即x =3时,得1-2=1;当x-2=-1,即x =1时,得(-1)-4=1,所以x =5,3,1.2.[解析] 根据幂的运算性质,先把各数化为整数或小数.解:104=10000, 100=1,10-4=1104=110000=0.0001,(10-2)2=10-4=0.0001,(102)-2=10-4=0.0001,⎝ ⎛⎭⎪⎫110-4=1⎝ ⎛⎭⎪⎫1104=104=10000.因为0.0001<1<10000,所以10-4=(10-2)2=(102)-2<100<104=⎝ ⎛⎭⎪⎫110-4.。
6.4 零指数幂与负整数指数幂练习题一、选择题1.下列说法正确的是( )A .(π﹣3.14)0没有意义B .任何数的0次幂都等于1C .a 2•(2a )3=8a 6D .若(x +4)0=1,则x ≠﹣42.若(a +2)0=1,则a 的取值正确的是( )A .a >﹣2B .a =﹣2C .a <﹣2D .a ≠﹣23.若(x ﹣2)x =1,则x 只能取( )A .x ≥2B .x =0C .x =2D .x =0或x =34.如果(x ﹣)0有意义,那么x 的取值范围是( )A .x >B .x <C .x =D .x ≠ 5.等式(x +4)0=1成立的条件是( )A .x 为有理数B .x ≠0C .x ≠4D .x ≠﹣4 6.计算()0的结果是( )A . B .3C .0D .1 7.三个数20,3﹣2,(﹣3)﹣1中,负数的个数是( )A .0个B .1个C .2个D .3个8.在(﹣1)2023,|﹣1|3,﹣(﹣1)18,3﹣3这四个有理数中,负数共有( )A .1个B .2个C .3个D .4个9、20×()﹣1=( )A .﹣2 B .C .2D . 10、20230×2﹣1等于( )A .107B .0C .D .﹣2022 11、计算的结果是( )A .﹣9 B . C . D .9 12、计算2﹣1的结果是( )A .B .﹣C .﹣2D .2 13、下列运算正确的是( )A .a 5+a 5=a 10B .a 6×a 4=a 24C .a 0÷a ﹣1=aD .a 4﹣a 4=a 0 14、计算(20231)﹣1所得结果是 ( )A .2023 B .20231 C .-20231 D .﹣2023 15、若a =0.32,b =﹣3﹣2,c =(﹣)﹣2,d =(﹣)0,则( )A .a <b <c <dB .b <a <d <cC .a <d <c <bD .c <a <d <b二、填空题1、当x 满足 时,(x ﹣2)0有意义,且(x ﹣2)0= .2、(π﹣2021)0﹣|﹣3|= .3、当 时,(x ﹣4)0=1.4、(2022﹣π)0的值为 .5、计算:+20210= . 6、计算:2﹣2﹣(3.14﹣π)0= .7、计算:(﹣)﹣1+(π﹣3)0= .8、计算:﹣3﹣2+(﹣)0的结果是 . 9、计算:= . 10、计算:= . 11、如果a ,b ,c 是整数,且a c =b ,那么我们规定一种记号(a ,b )=c ,例如32=9,那么记作(3,9)=2,根据以上规定,求(﹣2,﹣)= .12、若实数m ,n 满足|m ﹣2|+(n ﹣2022)2=0,则m ﹣1+n 0= .三、解答题1、计算:(﹣)﹣1﹣2+(π﹣3.14)0.2、计算:1012312023332---÷-+⨯)()()(π.3、计算:102120231-----)(4、计算:(﹣)﹣1×(﹣2)2﹣(1﹣2)2023.5、.6、计算:.。
一、填空题(共30小题)1、(2011•徐州)30﹣2﹣1=.考点:负整数指数幂;零指数幂。
专题:计算题。
分析:本题涉及负整数指数幂、零指数幂的考点,在计算时,针对每个考点分别计算.解答:解:原式=1﹣=,故答案为.点评:本题考查了整数指数幂、零指数幂的考点,负整数指数幂:a﹣p=(a≠0,p为正整数);零指数幂:a0=1(a≠0).2、(2011•常州)计算:=;=;=1;=﹣2.考点:负整数指数幂;相反数;绝对值;零指数幂。
专题:计算题。
分析:分别根据绝对值、0指数幂及负整数指数幂的运算法则进行计算即可.解答:解:=;=;=1;=﹣2.故答案为:,,1,﹣2.点评:本题考查的是绝对值、0指数幂及负整数指数幂的运算法则,熟知以上知识是解答此题的关键.3、(2011•保山)计算=3.考点:负整数指数幂;零指数幂。
专题:计算题。
分析:本题涉及负整数指数幂、零指数幂的考点,在计算时,针对每个考点分别计算.解答:解:原式=2+1=3.故答案为3.点评:本题考查了整数指数幂、零指数幂的考点,负整数指数幂:a﹣p=(a≠0,p为正整数);零指数幂:a0=1(a≠0).4、(2010•青海)分解因式:a3﹣25a=a(a+5)(a﹣5);计算:()﹣1+(π﹣)0﹣=0.考点:负整数指数幂;实数的运算;提公因式法与公式法的综合运用;零指数幂。
专题:计算题。
分析:分解因式a3﹣25a,一提公因式得a(a2﹣25a)二套平方差公式得a(a+5)(a﹣5);一个数的负一次方等它的倒数,则()﹣1=3,任何除0以外的实数的0次方都是1,则(π﹣)0=1,算术平方根是指一个正数的正的平方根,则=4,原式=3+1﹣4=0.解答:解:a3﹣25a=a(a2﹣25)=a(a+5)(a﹣5);()﹣1+(π﹣)0﹣=3+1﹣4=0.点评:解题关键是熟练掌握因式分解的方法、负整数指数幂、零指数幂、二次根式的性质及计算法则.5、(2010•南平)计算:2﹣1=.考点:负整数指数幂。
八年级负整指数幂的计算题一、计算。
1. 2^-3- 解析:根据负整指数幂的定义a^-p=(1)/(a^p)(a≠0,p为正整数),对于2^-3,这里a = 2,p=3,则2^-3=(1)/(2^3)=(1)/(8)。
2. 3^-2- 解析:同理,a = 3,p = 2,3^-2=(1)/(3^2)=(1)/(9)。
3. ((1)/(2))^-2- 解析:a=(1)/(2),p = 2,根据负整指数幂定义((1)/(2))^-2=(1)/((frac{1){2})^2}=(1)/(frac{1){4}} = 4。
4. ((1)/(3))^-3- 解析:a=(1)/(3),p = 3,((1)/(3))^-3=(1)/((frac{1){3})^3}=(1)/(frac{1){27}}=27。
5. 5^-1+3^-1- 解析:先分别计算负指数幂,5^-1=(1)/(5),3^-1=(1)/(3),则5^-1+3^-1=(1)/(5)+(1)/(3)=(3 + 5)/(15)=(8)/(15)。
6. 2^-2-4^-1- 解析:2^-2=(1)/(4),4^-1=(1)/(4),所以2^-2-4^-1=(1)/(4)-(1)/(4)=0。
7. ( - 2)^-3- 解析:(-2)^-3=(1)/((-2)^3)=(1)/(-8)=-(1)/(8)。
8. (-3)^-2- 解析:(-3)^-2=(1)/((-3)^2)=(1)/(9)。
9. 10^-3×10^5- 解析:根据同底数幂相乘,底数不变,指数相加,10^-3×10^5=10^-3 +5=10^2=100。
10. 2^-3÷2^-5- 解析:根据同底数幂相除,底数不变,指数相减,2^-3÷2^-5=2^-3-(-5)=2^-3 + 5=2^2=4。
11. (3×10^-2)×(2×10^3)- 解析:根据乘法交换律和结合律以及同底数幂相乘法则,(3×10^-2)×(2×10^3)=(3×2)×(10^-2×10^3) = 6×10^-2+3=6×10^1=60。
指数幂与负整数指数幂
练习题
LEKIBM standardization office【IBM5AB- LEKIBMK08- LEKIBM2C】
零指数幂与负整数指数幂练习题
1、计算:-1-(-1)0的结果正确是()
A.0 B.1 C.2 D.-2
2、芝麻作为食品和药物,均广泛使用.经测算,一粒芝麻约有0.00000201千克,用科学记数法表示为()
A.×10-6千克
B.×10-5千克
C.×10-7千克
D.×10-7千克
3、已知空气的单位体积质量为1.24×10-3克/厘米3,1.24×10-3用小数表示为()
A.
B.
C. D.
4、如图,H7N9病毒直径为30纳米(1纳米=10-9米),用科学记数法表示这个病毒直径的大小,正确的是()
A.30×10-9米 B.×10-8米 C.×10-10米
D.×10-9米
5、计算的结果是(
)
A.4 B.-4 C. D.
6、若(x-2)0=1,则(
)
A.x≠0
B.x≥2
C.x≤2
D.x≠2
7、若,则x=( )
A.10 B.1 C.0 D.以上结论都不对
8、下列运算正确的是( )
A.=0
B.(9-33)0=0
C.(-1)0=1
D.(-2)0=-2
9、化简(x≠-y)为()
A.1 B.0 C.x+y D.以上结论都不对
?
10、英国曼彻斯特大学的两位科学家因为成功地从石墨中分离出石墨烯,荣获了诺贝尔物理学奖.石墨烯目前是世上最薄却也是最坚硬的纳米材料,同时还是导电性最好的材料,其理论厚度仅00000034米,将这个数用科学记数法表示为()
A.×10-9B.×10-9C.×10-10D.×10-11
11、花粉的质量很小,一粒某种植物花粉的质量约为毫克,已知1克=1000毫克,那么毫克可用科学记数法表示为()
A.×10﹣5克B.×10﹣6克
C.37×10﹣7克D.×10﹣8克
12、计算:.
13、某种原子直径为×10-2纳米,把这个数化为小数是_______纳米.
14、钓鱼岛列岛是我国固有领土,共由8个岛屿组成,其中最大的岛是钓鱼岛,面积约为平方公里,最小的岛是飞濑屿,面积约为平方公里.请用科学记数法表示飞濑屿的面积约为_______平方公里.
15、若(a-2)a+1=1,则a=______.
16、若,则x=______.
17、如果无意义,则=______.
18、计算:4-2x5(23x-2)2=________.
19、用小数表示:×10-5=______.
20、
21、计算:.
22、计算:.
23、化简:.
24、计算:.
25、计算:(1)100;(2)m0(m0);(3)a5÷a0a3(a0).。