河北省石家庄市高三数学一模考试文科试题版含答案
- 格式:doc
- 大小:1.04 MB
- 文档页数:9
石家庄市2017-2018学年高中毕业班第一次模拟考试试题文科数学答案一、选择题 (A 卷答案)1-5 ACDBB 6-10CABBB 11-12 DD (B 卷答案)1-5 BCDAA 6-10CBAAA 11-12 DD 二、填空题13. 13-14. 3 15. 乙 16. 23 三、解答题(解答题仅提供一种解答,其他解答请参照此评分标准酌情给分)17. 解:(1)设数列{}n a 的公差为d ,且0d ≠由题意得242937a a a a ⎧=⎪⎨=⎪⎩,……………2分即21(7)(7)(76)27d d d a d ⎧+=-+⎨+=⎩,解得13,1d a ==,……………4分 所以数列{}n a 的通项公式32n a n =-,………………………………6分 (2)由(1)得1(32)(31)n n n b a a n n +=⋅=-+1111()33231n b n n ∴=--+,…………………………8分 12111111111......(1)34473231n n S b b b n n =+++=-+-++--+…………………10分11(1)33131nn n =-=++.………………………12分. 18.(1)因为//BC 平面SDM, BC ⊂平面ABCD,平面SDM 平面ABCD=DM,所以DM BC //……………………2分因为DC AB //,所以四边形BCDM 为平行四边形,又,CD AB 2=,所以M 为AB 的中点。
…………………4分因为AM λ=12λ∴=…………………6分 (2)因为BC ⊥SD , BC ⊥CD , 所以BC ⊥平面SCD , 又因为BC ⊂平面ABCD , 所以平面SCD ⊥平面ABCD , 平面SCD 平面ABCD CD =,在平面SCD 内过点S 作SE ⊥直线CD 于点E ,则SE ⊥平面ABCD ,……………………………7分 在Rt SEA 和Rt SED 中, 因为SA SD =,所以AE DE ==,又由题知45EDA ∠=, 所以AE ED ⊥,由已知求得AD =,所以1AE ED SE ===……………………………9分连接BD ,则111133S ABD V -=⨯⨯=三棱锥,…………………………………10分 又求得SAD所以由B ASD S ABD V V --=三棱锥三棱锥点B 到平面SAD……………12分 19.解:(1)甲方案中派送员日薪y (单位:元)与送货单数n 的函数关系式为:N ,100∈+=n n y …………………………3分乙方案中派送员日薪y (单位:元)与送单数n 的函数关系式为:⎩⎨⎧∈>-∈≤=N),55(,52012N),55(,140n n n n n y ………………………6分(2)①、由表格可知,甲方案中,日薪为152元的有20天,日薪为154元的有30天,日薪为156元的有20天,日薪为158元的有20天,日薪为160元的有10天,则1=15220+15430+15620+15820+16010100x ⨯⨯⨯⨯⨯甲()=155.4, ()()()()()2222221=[20152155.4+30154155.4+20156155.4+20158155.4+10010160155.4]=6.44S ⨯-⨯-⨯-⨯-⨯-甲------------8分乙方案中,日薪为140元的有50天,日薪为152元的有20天,日薪为176元的有20天,日薪为200元的有10天,则1=14050+15220+17620+20010100x ⨯⨯⨯⨯乙()=155.6, ()()()()222221=[50140155.6+20152155.6+20176155.6+10200155.6]100=404.64S ⨯-⨯-⨯-⨯-乙-------------10分②、答案一:由以上的计算可知,虽然x x <乙甲,但两者相差不大,且2S 甲远小于2S 乙,即甲方案日薪收入波动相对较小,所以小明应选择甲方案。
石家庄市高中毕业班模拟考试(一)文科数学(A 卷)一、选择题:本大题共12个小题,每小题5分,共60分.在每小题给出的四个选项中,只有一项是符合题目要求的.1.已知集合{1,2,3,4,5,6,7}U =,{|3,}A x x x N =≥∈,则U C A =( )A .{1,2}B .{3,4,5,6,7}C .{1,3,4,7}D .{1,4,7}2.复数121ii -=+( )A .iB .i -C .132i --D .332i-3.已知四个命题:①如果向量a r 与b r 共线,则a b =r r 或a b =-r r;②3x ≤是3x ≤的必要不充分条件;③命题p :0(0,2)x ∃∈,200230x x --<的否定p ⌝:(0,2)x ∀∈,2230x x --≥;④“指数函数xy a =是增函数,而1()2x y =是指数函数,所以1()2xy =是增函数” 此三段论大前提错误,但推理形式是正确的.以上命题正确的个数为( )A .0B .1C .2D .34.若数列{}n a 满足12a =,111nn n a a a ++=-,则2018a 的值为( )A .2B .-3C .12-D .135.函数()2(0)xf x x =<,其值域为D ,在区间(1,2)-上随机取一个数x ,则x D ∈的概率是( ) A .12 B .13 C .14 D .236. 程序框图如图所示,该程序运行的结果为25s =,则判断框中可填写的关于i 的条件是( )A .4?i ≤B .4?i ≥C .5?i ≤D .5?i ≥ 7. 南宋数学家秦九韶早在《数书九章》中就独立创造了已知三角形三边求其面积的公式:“以小斜幂并大斜幂,减中斜幂,余半之,自乘于上,以小斜幂乘大斜幂减之,以四约之,为实,一为从隅,开方得积.”(即:2222221[()]42c a b S c a +-=-a b c >>),并举例“问沙田一段,有三斜(边),其小斜一十三里,中斜一十四里,大斜一十五里,欲知为田几何?”则该三角形田面积为( )A .84平方里B .108平方里C .126平方里D .254平方里8. 如图,网格纸上小正方形的边长为1,粗线画出的是某几何体的三视图,则该几何体的表面积为( )A .23πB .43πC .2πD .83π9.设()f x 是定义在[2,3]b b -+上的偶函数,且在[2,0]b -上为增函数,则(1)(3)f x f -≥的解集为( )A .[3,3]-B .[2,4]-C .[1,5]-D .[0,6]10.抛物线C :214y x=的焦点为F ,其准线l 与y 轴交于点A ,点M 在抛物线C 上,当2MA MF =时,AMF ∆的面积为( )A .1B .2C .22D .411.在ABC ∆中,2AB =,6C π=,则3AC BC +的最大值为( )A 7B .27C .37D .712.已知1F ,2F 分别为双曲线22221(0,0)x y a b a b -=>>的左焦点和右焦点,过2F 的直线l 与双曲线的右支交于A ,B两点,12AF F ∆的内切圆半径为1r ,12BF F ∆的内切圆半径为2r ,若122r r =,则直线l 的斜率为( )A .1B 2C .2D .2二、填空题:本大题共4小题,每题5分,共20分.13.设向量(1,2)a m =r ,(1,1)b m =+r ,若a b ⊥r r ,则m = .14.x ,y 满足约束条件:11y xx y y ≤⎧⎪-≤⎨⎪≥-⎩,则2z x y =+的最大值为 .15.甲、乙、丙三位同学,其中一位是班长,一位是体育委员,一位是学习委员,已知丙的年龄比学委的大,甲与体委的年龄不同,体委比乙年龄小.据此推断班长是 .16.一个直角三角形的三个顶点分别在底面棱长为2的正三棱柱的侧棱上,则该直角三角形斜边的最小值为 .三、解答题:共70分.解答应写出文字说明、证明过程或演算步骤.第17~21题为必考题,每个试题考生都必须作答.第22、23题为选考题,考生根据要求作答. (一)必考题:共60分 17.已知{}n a 是公差不为零的等差数列,满足37a =,且2a 、4a 、9a 成等比数列.(Ⅰ)求数列{}n a 的通项公式;(Ⅱ)设数列{}n b 满足1n n n b a a +=⋅,求数列1n b ⎧⎫⎨⎬⎩⎭的前n 项和n S.18.四棱锥S ABCD -的底面ABCD 为直角梯形,//AB CD ,AB BC ⊥,222AB BC CD ===,SAD∆为正三角形.(Ⅰ)点M 为棱AB 上一点,若//BC 平面SDM ,AM AB λ=u u u u r u u u r,求实数λ的值; (Ⅱ)若BC SD ⊥,求点B 到平面SAD 的距离.19.小明在石家庄市某物流派送公司找到了一份派送员的工作,该公司给出了两种日薪薪酬方案.甲方案:底薪100元,每派送一单奖励1元;乙方案:底薪140元,每日前55单没有奖励,超过55单的部分每单奖励12元.(Ⅰ)请分别求出甲、乙两种薪酬方案中日薪y (单位:元)与送货单数n 的函数关系式;日均派送单数 52 54 56 58 60 频数(天) 20 30 20 20 10 ①根据以上数据,设每名派送员的日薪为X (单位:元),试分别求出这100天中甲、乙两种方案的日薪X 平均数及方差;②结合①中的数据,根据统计学的思想,帮助小明分析,他选择哪种薪酬方案比较合适,并说明你的理由.(参考数据:20.60.36=,21.4 1.96=,22.6 6.76=,23.411.56=,23.612.96=,24.621.16=,215.6243.36=,220.4416.16=,244.41971.36=)20.已知椭圆C :22221(0)x y a b a b +=>>的左、右焦点分别为1F ,2F ,且离心率为2,M 为椭圆上任意一点,当1290F MF ∠=o时,12F MF ∆的面积为1.(Ⅰ)求椭圆C 的方程;(Ⅱ)已知点A 是椭圆C 上异于椭圆顶点的一点,延长直线1AF ,2AF 分别与椭圆交于点B ,D ,设直线BD 的斜率为1k ,直线OA 的斜率为2k ,求证:12k k ⋅为定值. 21.已知函数()()()xf x x b e a =+-,(0)b >,在(1,(1))f --处的切线方程为(1)10e x ey e -++-=. (Ⅰ)求a ,b ;(Ⅱ)若0m ≤,证明:2()f x mx x ≥+. (二)选考题:共10分,请考生在22、23题中任选一题作答,并用2B 铅笔将答题卡上所选题目对应的题号右侧方框涂黑,按所涂题号进行评分;多涂、多答,按所涂的首题进行评分;不涂,按本选考题的首题进行评分.22.选修4-4:坐标系与参数方程在平面直角坐标系xOy 中,曲线C 的参数方程为3cos 1sin x r y r ϕϕ⎧=⎪⎨=+⎪⎩(0r >,ϕ为参数),以坐标原点O 为极点,x 轴正半轴为极轴建立极坐标系,直线l 的极坐标方程为sin()13πρθ-=,若直线l 与曲线C 相切;(Ⅰ)求曲线C 的极坐标方程;(Ⅱ)在曲线C 上取两点M ,N 与原点O 构成MON ∆,且满足6MON π∠=,求面积MON ∆的最大值.23.选修4-5:不等式选讲已知函数()f x =R ;(Ⅰ)求实数m 的取值范围;(Ⅱ)设实数t 为m 的最大值,若实数a ,b ,c 满足2222a b c t ++=,求222111123a b c +++++的最小值.石家庄市高中毕业班第一次模拟考试试题文科数学答案一、选择题1-5: ACDBB 6-10: CABBB 11、12:DD 二、填空题13.13-14. 3 15. 乙 16. 23三、解答题17. 解:(1)设数列{}n a 的公差为d ,且0d ≠由题意得242937a a a a ⎧=⎪⎨=⎪⎩,即21(7)(7)(76)27d d d a d ⎧+=-+⎨+=⎩,解得13,1d a ==,所以数列{}n a 的通项公式32n a n =-.(2)由(1)得1(32)(31)nn n b a a n n +=⋅=-+1111()33231n b n n ∴=--+,12111111111......(1)34473231n n S b b b n n =+++=-+-++--+L 11(1)33131n n n =-=++. 18.(1)因为//BC 平面SDM ,BC ⊂平面ABCD ,平面SDM I 平面ABCD=DM , 所以DM BC //,因为DC AB //,所以四边形BCDM 为平行四边形,又CD AB 2=,所以M 为AB 的中点.因为AB AM λ=,12λ∴=.(2)因为BC ⊥SD , BC ⊥CD , 所以BC ⊥平面SCD , 又因为BC ⊂平面ABCD , 所以平面SCD ⊥平面ABCD , 平面SCD I 平面ABCD CD =,在平面SCD 内过点S 作SE ⊥直线CD 于点E ,则SE ⊥平面ABCD ,在Rt SEA V和Rt SED V 中, 因为SA SD =,所以AE DE ==,又由题知45EDA ∠=o, 所以AE ED ⊥,由已知求得AD =1AE ED SE ===,连接BD ,则111133S ABD V -=⨯⨯=三棱锥, 又求得SAD V的面积为, 所以由B ASD S ABDV V --=三棱锥三棱锥点B 到平面SAD的距离为3. 19.解:(1)甲方案中派送员日薪y (单位:元)与送货单数n 的函数关系式为: N ,100∈+=n n y , 乙方案中派送员日薪y (单位:元)与送单数n 的函数关系式为:⎩⎨⎧∈>-∈≤=N),55(,52012N),55(,140n n n n n y ,k.KS5U(2)①、由表格可知,甲方案中,日薪为152元的有20天,日薪为154元的有30天,日薪为156元的有20天,日薪为158元的有20天,日薪为160元的有10天,则1=15220+15430+15620+15820+16010100x ⨯⨯⨯⨯⨯甲()=155.4, ()()()()()2222221=[20152155.4+30154155.4+20156155.4+20158155.4+10010160155.4]=6.44S ⨯-⨯-⨯-⨯-⨯-甲,乙方案中,日薪为140元的有50天,日薪为152元的有20天,日薪为176元的有20天,日薪为200元的有10天,则1=14050+15220+17620+20010100x ⨯⨯⨯⨯乙()=155.6, ()()()()222221=[50140155.6+20152155.6+20176155.6+10200155.6]100=404.64S ⨯-⨯-⨯-⨯-乙, ②、答案一:由以上的计算可知,虽然x x <乙甲,但两者相差不大,且2S 甲远小于2S 乙,即甲方案日薪收入波动相对较小,所以小明应选择甲方案. 答案二:由以上的计算结果可以看出,x x <乙甲,即甲方案日薪平均数小于乙方案日薪平均数,所以小明应选择乙方案. 20解:(1)设,,2211r MF r MF ==由题122221212224112c e a r r a r r c r r ⎧==⎪⎪+=⎪⎨+=⎪⎪⋅=⎪⎩,解得1a c ==,则21b =, ∴椭圆C 的方程为2212x y +=.(2)设0000(,)(0)A x y x y ⋅≠,1122(,),(,)B x yC x y ,当直线1AF 的斜率不存在时,设(1,)2A -,则(1,)2B --,直线2AF的方程为(1)4y x =--代入2212x y +=,可得25270x x --=,275x ∴=,210y =-,则7(,510D -,∴直线BD的斜率为1(10276(1)5k ---==--,直线OA的斜率为2k =,121()626k k ∴⋅=⋅-=-,当直线2AF 的斜率不存在时,同理可得1216k k ⋅=-. 当直线1AF 、2AF 的斜率存在时,10±≠x ,设直线1AF 的方程为00(1)1y y x x =++,则由0022(1)112y y x x x y ⎧=+⎪+⎪⎨⎪+=⎪⎩消去x 可得:22222200000[(1)2]422(1)0x y x y x y x ++++-+=,又220012x y +=,则220022y x =-,代入上述方程可得 2220000(32)2(2)340x x x x x x ++---=,2000101003434,3232x x x x x x x x ----∴⋅=∴=++,则000100034(1)13232y x y y x x x --=+=-+++ 000034(,)2323x y B x x +∴--++,设直线2AF 的方程为00(1)1y y x x =--,同理可得000034(,)2323x y D x x ---,∴直线BD 的斜率为000000001220000002323434341224362323y y x x x y x y k x x x x x x +-+===-+--+-+,Q 直线OA 的斜率为20y k x =,∴20200001222200001123636366x x y y y k k x x x x -⋅=⋅===----. 所以,直线BD 与OA 的斜率之积为定值16-,即1216k k ⋅=-. 21.解:(Ⅰ)由题意()10f -=,所以()1(1)10f b a e ⎛⎫-=-+-= ⎪⎝⎭,又()()1xf x x b e a '=++-,所以1(1)1b f a e e '-=-=-+, 若1a e =,则20b e =-<,与0b >矛盾,故1a =,1b =. (Ⅱ)由(Ⅰ)可知()()()11x f x x e =+-, (0)0,(1)0f f =-=,由0m ≤,可得2x mx x ≥+,令()()()11x g x x e x=+--,()()22x g x x e '=+-,当2x ≤-时,()()2220x g x x e '=+-<-<,当2x >-时, 设()()()22x h x g x x e '==+-,()()30x h x x e '=+>,故函数()g x '在()2,-+∞上单调递增,又(0)0g '=, 所以当(),0x ∈-∞时,()0g x '<,当()0,x ∈+∞时,()0g x '>,所以函数()g x 在区间(),0-∞上单调递减,在区间()0,+∞上单调递增,故()()2()(0)011x g x g x e x mx x ≥=⇒+-≥≥+故2()f x mx x ≥+. 法二:(Ⅱ)由(Ⅰ)可知()()()11x f x x e =+-, (0)0,(1)0f f =-=,由0m ≤,可得2x mx x ≥+,令()()()11x g x x e x=+--,()()22x g x x e '=+-,令当时,,单调递减,且;当时,,单调递增;且,所以在上当单调递减,在上单调递增,且,故()()2()(0)011x g x g x e x mx x≥=⇒+-≥≥+,故2()f x mx x ≥+. 选作题22(1)由题意可知直线l 的直角坐标方程为32y x =+,曲线C 是圆心为(3,1),半径为r 的圆,直线l 与曲线C 相切,可得:33122r ⋅-+==;可知曲线C的方程为22(3)(1)4x y -+-=, 所以曲线C 的极坐标方程为223cos 2sin 0ρρθρθ--=,即4sin()3ρθπ=+. (2)由(1)不妨设M (1,ρθ),)6,(2πθρ+N ,(120,0ρρ>>),6sin21πON OM S MON =∆,,当12πθ=时, 32+≤∆MON S ,所以△MON 面积的最大值为23.23. 【解析】 (1)由题意可知32x x m--≥恒成立,令3()2x g x x-=-,去绝对值可得:36,(3)()263,(03)6,(0)x x x g x x x x x x --≥⎧⎪=-=-<<⎨⎪-≤⎩,画图可知()g x 的最小值为-3,所以实数m 的取值范围为3m ≤-;(2)由(1)可知2229a b c ++=,所以22212315a b c +++++=,222222222111()(123)11112312315a b c a b c a b c ++⋅++++++++++=+++22222222222221313239312132315155b a c a c b a b a c b c ++++++++++++++++++=≥=,当且仅当2221235a b c +=+=+=,即2224,3,2a b c ===等号成立,所以222111123a b c +++++的最小值为35.石家庄市2017-2018学年高中毕业班第一次模拟考试试题 文科数学答案选择题(A 卷答案)1-5 ACDBB 6-10CABBB 11-12 DD (B 卷答案)1-5 BCDAA 6-10CBAAA 11-12 DD 二、填空题13.13-14. 3 15. 乙 16. 23三、解答题(解答题仅提供一种解答,其他解答请参照此评分标准酌情给分)17. 解:(1)设数列{}n a 的公差为d ,且0d ≠由题意得242937a a a a ⎧=⎪⎨=⎪⎩,……………2分即21(7)(7)(76)27d d d a d ⎧+=-+⎨+=⎩,解得13,1d a ==,……………4分所以数列{}n a 的通项公式32n a n =-,………………………………6分(2)由(1)得1(32)(31)nn n b a a n n +=⋅=-+1111()33231n b n n ∴=--+,…………………………8分12111111111......(1)34473231n n S b b b n n =+++=-+-++--+L…………………10分11(1)33131n n n =-=++ (12)分.18.(1)因为//BC 平面SDM,BC ⊂平面ABCD,平面SDM I 平面ABCD=DM,所以DM BC //……………………2分因为DC AB //,所以四边形BCDM 为平行四边形,又, CD AB 2=,所以M 为AB 的中点。
石家庄市高中毕业班模拟考试(一) 文科数学(A 卷)一、选择题:本大题共12个小题,每小题5分,共60分.在每小题给出的四个选项中,只有一项是符合题目要求的.1.已知集合{1,2,3,4,5,6,7}U =,{|3,}A x x x N =≥∈,则U C A =( )A .{1,2}B .{3,4,5,6,7}C .{1,3,4,7}D .{1,4,7}2.复数121ii -=+()A .iB .i -C .132i --D .332i -3.已知四个命题:①如果向量a 与b 共线,则a b =或a b =-; ②3x ≤是3x ≤的必要不充分条件;③命题p :0(0,2)x ∃∈,200230x x --<的否定p ⌝:(0,2)x ∀∈,2230x x --≥;④“指数函数xy a =是增函数,而1()2x y =是指数函数,所以1()2xy =是增函数”此三段论大前提错误,但推理形式是正确的.以上命题正确的个数为( )A .0B .1C .2D .34.若数列{}n a 满足12a =,111nn n a a a ++=-,则2018a 的值为( )A .2B .-3C .12-D .135.函数()2(0)xf x x =<,其值域为D ,在区间(1,2)-上随机取一个数x ,则x D ∈的概率是( ) A .12 B .13 C .14 D .236. 程序框图如图所示,该程序运行的结果为25s =,则判断框中可填写的关于i 的条件是( )A .4?i ≤B .4?i ≥C .5?i ≤D .5?i ≥ 7. 南宋数学家秦九韶早在《数书九章》中就独立创造了已知三角形三边求其面积的公式:“以小斜幂并大斜幂,减中斜幂,余半之,自乘于上,以小斜幂乘大斜幂减之,以四约之,为实,一为从隅,开方得积.”(即:2222221[()]42c a b S c a +-=-a b c >>),并举例“问沙田一段,有三斜(边),其小斜一十三里,中斜一十四里,大斜一十五里,欲知为田几何?”则该三角形田面积为( )A .84平方里B .108平方里C .126平方里D .254平方里8. 如图,网格纸上小正方形的边长为1,粗线画出的是某几何体的三视图,则该几何体的表面积为( )A .23πB .43πC .2πD .83π9.设()f x 是定义在[2,3]b b -+上的偶函数,且在[2,0]b -上为增函数,则(1)(3)f x f -≥的解集为( )A .[3,3]-B .[2,4]-C .[1,5]-D .[0,6]10.抛物线C :214y x=的焦点为F ,其准线l 与y 轴交于点A ,点M 在抛物线C 上,当2MA MF =时,AMF ∆的面积为( )A .1B .2C .22D .411.在ABC ∆中,2AB =,6C π=,则3AC BC +的最大值为( )A 7B .7C .37D .712.已知1F ,2F 分别为双曲线22221(0,0)x y a b a b -=>>的左焦点和右焦点,过2F 的直线l 与双曲线的右支交于A ,B 两点,12AF F ∆的内切圆半径为1r,12BF F ∆的内切圆半径为2r ,若122r r =,则直线l 的斜率为( )A .1B 2C .2D .22二、填空题:本大题共4小题,每题5分,共20分.13.设向量(1,2)a m =,(1,1)b m =+,若a b ⊥,则m = .14.x ,y 满足约束条件:11y x x y y ≤⎧⎪-≤⎨⎪≥-⎩,则2z x y =+的最大值为 .15.甲、乙、丙三位同学,其中一位是班长,一位是体育委员,一位是学习委员,已知丙的年龄比学委的大,甲与体委的年龄不同,体委比乙年龄小.据此推断班长是 .16.一个直角三角形的三个顶点分别在底面棱长为2的正三棱柱的侧棱上,则该直角三角形斜边的最小值为 .三、解答题:共70分.解答应写出文字说明、证明过程或演算步骤.第17~21题为必考题,每个试题考生都必须作答.第22、23题为选考题,考生根据要求作答. (一)必考题:共60分 17.已知{}n a 是公差不为零的等差数列,满足37a =,且2a 、4a 、9a 成等比数列.(Ⅰ)求数列{}n a 的通项公式;(Ⅱ)设数列{}n b 满足1n n n b a a +=⋅,求数列1n b ⎧⎫⎨⎬⎩⎭的前n 项和n S.18.四棱锥S ABCD -的底面ABCD 为直角梯形,//AB CD ,AB BC ⊥,222AB BC CD ===,SAD ∆为正三角形.(Ⅰ)点M 为棱AB 上一点,若//BC 平面SDM ,AM AB λ=,求实数λ的值;(Ⅱ)若BC SD ⊥,求点B 到平面SAD 的距离.19.小明在石家庄市某物流派送公司找到了一份派送员的工作,该公司给出了两种日薪薪酬方案.甲方案:底薪100元,每派送一单奖励1元;乙方案:底薪140元,每日前55单没有奖励,超过55单的部分每单奖励12元.(Ⅰ)请分别求出甲、乙两种薪酬方案中日薪y (单位:元)与送货单数n 的函数关系式;日均派送单数 52 54 56 58 60 频数(天) 20 30202010①根据以上数据,设每名派送员的日薪为X (单位:元),试分别求出这100天中甲、乙两种方案的日薪X 平均数及方差;②结合①中的数据,根据统计学的思想,帮助小明分析,他选择哪种薪酬方案比较合适,并说明你的理由.(参考数据:20.60.36=,21.4 1.96=,22.6 6.76=,23.411.56=,23.612.96=,24.621.16=,215.6243.36=,220.4416.16=,244.41971.36=)20.已知椭圆C :22221(0)x y a b a b +=>>的左、右焦点分别为1F ,2F ,且离心率为22,M 为椭圆上任意一点,当1290F MF ∠=时,12F MF ∆的面积为1.(Ⅰ)求椭圆C 的方程;(Ⅱ)已知点A 是椭圆C 上异于椭圆顶点的一点,延长直线1AF ,2AF 分别与椭圆交于点B ,D ,设直线BD 的斜率为1k ,直线OA 的斜率为2k ,求证:12k k ⋅为定值. 21.已知函数()()()xf x x b e a =+-,(0)b >,在(1,(1))f --处的切线方程为(1)10e x ey e -++-=. (Ⅰ)求a ,b ;(Ⅱ)若0m ≤,证明:2()f x mx x ≥+. (二)选考题:共10分,请考生在22、23题中任选一题作答,并用2B 铅笔将答题卡上所选题目对应的题号右侧方框涂黑,按所涂题号进行评分;多涂、多答,按所涂的首题进行评分;不涂,按本选考题的首题进行评分.22.选修4-4:坐标系与参数方程在平面直角坐标系xOy 中,曲线C 的参数方程为3cos 1sin x r y r ϕϕ⎧=⎪⎨=+⎪⎩(0r >,ϕ为参数),以坐标原点O 为极点,x 轴正半轴为极轴建立极坐标系,直线l 的极坐标方程为sin()13πρθ-=,若直线l 与曲线C 相切;(Ⅰ)求曲线C 的极坐标方程;(Ⅱ)在曲线C 上取两点M ,N 与原点O 构成MON ∆,且满足6MON π∠=,求面积MON ∆的最大值.23.选修4-5:不等式选讲已知函数()f x =R ;(Ⅰ)求实数m 的取值范围;(Ⅱ)设实数t 为m 的最大值,若实数a ,b ,c 满足2222a b c t ++=,求222111123a b c +++++的最小值.石家庄市2017-2018学年高中毕业班第一次模拟考试试题文科数学答案一、选择题1-5: ACDBB 6-10: CABBB 11、12:DD二、填空题13.13-14. 315. 乙16. 23三、解答题17. 解:(1)设数列{}na的公差为d,且0d ≠由题意得242937a a aa⎧=⎪⎨=⎪⎩,即21(7)(7)(76)27d d da d⎧+=-+⎨+=⎩,解得13,1d a==,所以数列{}na的通项公式32na n=-.(2)由(1)得1(32)(31)n n nb a a n n+=⋅=-+1111()33231nb n n∴=--+,12111111111 (1)34473231nnSb b b n n=+++=-+-++--+11(1)33131nn n=-=++.18.(1)因为//BC平面SDM,BC⊂平面ABCD,平面SDM 平面ABCD=DM,所以DMBC//,因为DCAB//,所以四边形BCDM为平行四边形,又CDAB2=,所以M为AB的中点. 因为ABAMλ=,12λ∴=.(2)因为BC⊥SD,BC⊥CD,所以BC⊥平面SCD,又因为BC⊂平面ABCD,所以平面SCD⊥平面ABCD,平面SCD平面ABCD CD=,在平面SCD 内过点S 作SE ⊥直线CD 于点E ,则SE ⊥平面ABCD , 在Rt SEA 和Rt SED 中,因为SA SD =,所以AE DE ==, 又由题知45EDA ∠=, 所以AE ED ⊥,由已知求得AD =1AE ED SE ===,连接BD ,则111133S ABD V -=⨯⨯=三棱锥, 又求得SAD的面积为,所以由B ASD S ABDV V --=三棱锥三棱锥点B 到平面SAD的距离为3. 19.解:(1)甲方案中派送员日薪y (单位:元)与送货单数n 的函数关系式为: N ,100∈+=n n y , 乙方案中派送员日薪y (单位:元)与送单数n 的函数关系式为:⎩⎨⎧∈>-∈≤=N),55(,52012N),55(,140n n n n n y ,k.KS5U(2)①、由表格可知,甲方案中,日薪为152元的有20天,日薪为154元的有30天,日薪为156元的有20天,日薪为158元的有20天,日薪为160元的有10天,则1=15220+15430+15620+15820+16010100x ⨯⨯⨯⨯⨯甲()=155.4, ()()()()()2222221=[20152155.4+30154155.4+20156155.4+20158155.4+10010160155.4]=6.44S ⨯-⨯-⨯-⨯-⨯-甲,乙方案中,日薪为140元的有50天,日薪为152元的有20天,日薪为176元的有20天,日薪为200元的有10天,则1=14050+15220+17620+20010100x ⨯⨯⨯⨯乙()=155.6, ()()()()222221=[50140155.6+20152155.6+20176155.6+10200155.6]100=404.64S ⨯-⨯-⨯-⨯-乙, ②、答案一:由以上的计算可知,虽然x x <乙甲,但两者相差不大,且2S 甲远小于2S 乙,即甲方案日薪收入波动相对较小,所以小明应选择甲方案.答案二:由以上的计算结果可以看出,x x <乙甲,即甲方案日薪平均数小于乙方案日薪平均数,所以小明应选择乙方案. 20解:(1)设,,2211r MF r MF ==由题12222121224112c e a r r a r r c r r ⎧==⎪⎪+=⎪⎨+=⎪⎪⋅=⎪⎩,解得1a c ==,则21b =, ∴椭圆C 的方程为2212x y +=.(2)设0000(,)(0)A x y x y ⋅≠,1122(,),(,)B x yC x y ,当直线1AF 的斜率不存在时,设(1,)2A -,则(1,)2B --, 直线2AF的方程为(1)4y x =--代入2212x y +=,可得25270x x --=,275x ∴=,210y =-,则7(,510D -, ∴直线BD的斜率为1(10276(1)5k ---==--,直线OA的斜率为22k =-,121()626k k ∴⋅=⋅-=-,当直线2AF 的斜率不存在时,同理可得1216k k ⋅=-. 当直线1AF 、2AF 的斜率存在时,10±≠x ,设直线1AF 的方程为00(1)1y y x x =++,则由0022(1)112y y x x x y ⎧=+⎪+⎪⎨⎪+=⎪⎩消去x 可得:22222200000[(1)2]422(1)0x y x y x y x ++++-+=,又220012x y +=,则220022y x =-,代入上述方程可得 2220000(32)2(2)340x x x x x x ++---=,2000101003434,3232x x x x x x x x ----∴⋅=∴=++,则000100034(1)13232y x y y x x x --=+=-+++ 000034(,)2323x y B x x +∴--++,设直线2AF 的方程为0(1)1y y x x =--,同理可得000034(,)2323x y D x x ---,∴直线BD 的斜率为000000001220000002323434341224362323y y x x x y x y k x x x x x x +-+===-+--+-+,直线OA 的斜率为20y k x =,∴20200001222200001123636366x x y y y k k x x x x -⋅=⋅===----. 所以,直线BD 与OA 的斜率之积为定值16-,即1216k k ⋅=-. 21.解:(Ⅰ)由题意()10f -=,所以()1(1)10f b a e ⎛⎫-=-+-= ⎪⎝⎭,又()()1xf x x b e a '=++-,所以1(1)1b f a e e '-=-=-+, 若1a e =,则20b e =-<,与0b >矛盾,故1a =,1b =. (Ⅱ)由(Ⅰ)可知()()()11x f x x e =+-, (0)0,(1)0f f =-=,由0m ≤,可得2x mx x ≥+,令()()()11x g x x e x=+--,()()22x g x x e '=+-,当2x ≤-时,()()2220x g x x e '=+-<-<,当2x >-时,设()()()22x h x g x x e '==+-,()()30x h x x e '=+>,故函数()g x '在()2,-+∞上单调递增,又(0)0g '=, 所以当(),0x ∈-∞时,()0g x '<,当()0,x ∈+∞时,()0g x '>,所以函数()g x 在区间(),0-∞上单调递减,在区间()0,+∞上单调递增,故()()2()(0)011x g x g x e x mx x≥=⇒+-≥≥+故2()f x mx x ≥+. 法二:(Ⅱ)由(Ⅰ)可知()()()11x f x x e =+-, (0)0,(1)0f f =-=,由0m ≤,可得2x mx x ≥+,令()()()11x g x x e x=+--,()()22x g x x e '=+-,令当时,,单调递减,且;当时,,单调递增;且,所以在上当单调递减,在上单调递增,且,故()()2()(0)011x g x g x e x mx x≥=⇒+-≥≥+,故2()f x mx x ≥+. 选作题22(1)由题意可知直线l 的直角坐标方程为32y x =+,曲线C 是圆心为(3,1),半径为r 的圆,直线l 与曲线C 相切,可得:33122r ⋅-+==;可知曲线C的方程为22(3)(1)4x y -+-=,所以曲线C 的极坐标方程为223cos 2sin 0ρρθρθ--=,即4sin()3ρθπ=+. (2)由(1)不妨设M (1,ρθ),)6,(2πθρ+N ,(120,0ρρ>>),6sin21πON OM S MON =∆,,当12πθ=时, 32+≤∆MON S ,所以△MON 面积的最大值为23.23. 【解析】 (1)由题意可知32x x m--≥恒成立,令3()2x g x x-=-,去绝对值可得:36,(3)()263,(03)6,(0)x x x g x x x x x x --≥⎧⎪=-=-<<⎨⎪-≤⎩,画图可知()g x 的最小值为-3,所以实数m 的取值范围为3m ≤-;(2)由(1)可知2229a b c ++=,所以22212315a b c +++++=,222222222111()(123)11112312315a b c a b c a b c ++⋅++++++++++=+++22222222222221313239312132315155b a c a c b a b a c b c ++++++++++++++++++=≥=,当且仅当2221235a b c +=+=+=,即2224,3,2a b c ===等号成立,所以222111123a b c +++++的最小值为35.石家庄市2017-2018学年高中毕业班第一次模拟考试试题 文科数学答案选择题(A 卷答案)1-5 ACDBB 6-10CABBB 11-12 DD (B 卷答案)1-5 BCDAA 6-10CBAAA 11-12 DD 二、填空题13.13-14. 3 15. 乙 16. 23三、解答题(解答题仅提供一种解答,其他解答请参照此评分标准酌情给分)17. 解:(1)设数列{}n a 的公差为d ,且0d ≠由题意得242937a a a a ⎧=⎪⎨=⎪⎩,……………2分即21(7)(7)(76)27d d d a d ⎧+=-+⎨+=⎩,解得13,1d a ==,……………4分所以数列{}n a 的通项公式32n a n =-,………………………………6分(2)由(1)得1(32)(31)nn n b a a n n +=⋅=-+1111()33231n b n n ∴=--+,…………………………8分12111111111......(1)34473231n n S b b b n n =+++=-+-++--+…………………10分11(1)33131n n n =-=++ (12)分.18.(1)因为//BC 平面SDM,BC ⊂平面ABCD,平面SDM 平面ABCD=DM,所以DM BC //……………………2分因为DC AB //,所以四边形BCDM 为平行四边形,又, CD AB 2=,所以M 为AB 的中点。
2013年高中毕业班第一次模拟考试(数学文科答案)一、选择题 A 卷答案1-5 DCBCA 6-10 CACAB 11-12 DB B 卷答案1-5 DBCBA 6-10 BABAC 11-12 DC 二、填空题 13.12 14.3635 15.3724二 解答题17.解:(Ⅰ)法一:由B a A b c cos cos )2(=-及正弦定理得: B A A B C cos sin cos )sin sin 2(=-……………2分 则B A A B A C cos sin cos sin cos sin 2+=sin()B A =+,sin()sin A B C A B C π++=∴+=Q C A C sin cos sin 2=由于sin 0C ≠,所以,22cos =A ……………… 4分 又0A π<<,故4π=A . …………………… 6分或解:(Ⅰ)由B a A b c cos cos )2(=-及余弦定理得:ac b c a a bc a c b b c 22)2(222222-+=-+- ……………………… 2分整理得:bc a c b 2222=-+222cos 222=-+=bc a c b A …………………… 4分又0A π<<,故4π=A . ……………………… 6分(Ⅱ) ABC ∆的面积S =1sin 2bc A =1,故bc =22 ① ………………… 8分根据余弦定理 2222cos a b c bc A =+- 和a,可得22c b +=6…… ② ………………… 10分解①②得2b c =⎧⎪⎨=⎪⎩2b c ⎧=⎪⎨=⎪⎩ …………………… 12分 18.解:证明:(Ⅰ)90ABC ADC ∠=∠=oQ ,,AD AB =AC 为公共边, Rt ABC Rt ADC ∴∆≅∆ ,………………… 2分PA BDCO则BO=DO,又在ABD ∆中,AB AD =,所以ABD ∆为等腰三角形. AC BD ∴⊥ ,…………………… 4分 而⊥PA 面ABCD ,BD PA ⊥, 又⊥∴=BD A AC PA ,I 面PAC ,又⊂BD 面PBD ,∴平面⊥PAC 平面PBD .…………………… 6分(Ⅱ) 在R t ABC ∆中,1AB =,60BAC ∠=o,则3BC =,01sin1202ABD S AB AD ∆=⋅ 13311=224=⨯⨯⨯,……………………8分 01sin 602BCD S BC CD ∆=⋅ 133333=224=⨯⨯⨯,…………………10分 113=133ABD D ABP P ABD ABD B PCD P BCD BCD BCD S PAV V S V V S S PA ∆--∆--∆∆⋅===⋅ . …………………12分19.解:(Ⅰ)设估计上网时间不少于60分钟的人数x ,依据题意有30750100x =,…………………4分 解得:225x = ,所以估计其中上网时间不少于60分钟的人数是225人.………………… 6分 (Ⅱ)根据题目所给数据得到如下列联表: 上网时间少于60分钟 上网时间不少于60分钟 合计 男生 60 40 100 女生 70 30 100 合计13070200…………… 8分其中22200(60304070)2002.198 2.7061001001307091K ⨯-⨯==≈<⨯⨯⨯………………10分 因此,没有90%的把握认为“学生周日上网时间与性别有关”.…………………12分20. 解:(Ⅰ)由椭圆的定义知12122AF AF BF BF a +=+=,ABC ∴∆周长为4a , 因为2ABF ∆为正三角形,所以22AF BF =,11AF BF =, 12F F 为边AB 上的高线,…………………………2分02cos3043ca ∴=, ∴椭圆的离心率3c e a ==.………………… 4分(Ⅱ)设11(,)A x y ,22(,)B x y因为0e <<,1c =,所以12a +>…………6分 ①当直线AB x 与轴垂直时,22211y a b +=,422b y a=,4121221b OA OB x x y y a ⋅=+=-u u u r u u u r ,42231a a a -+-=22235()24a a --+, 因为2532+>a ,所以0OA OB ⋅<u u u r u u u r , AOB ∴∠为钝角.………………………8分②当直线AB 不与x 轴垂直时,设直线AB 的方程为:(1)y k x =+,代入22221x y a b+=,整理得:2222222222()20b a k x k a x a k a b +++-=,22122222a k x x b a k -+=+,222212222a k ab x x b a k-=+ 1212OA OB x x y y ⋅=+u u u r u u u r212121212(1)(1)x x y y x x k x x +=+++ 2221212(1)()x x k k x x k =++++22222242222222()(1)2()a k ab k a k k b a k b a k -+-++=+ 2222222222()k a b a b a b b a k +--=+ 24222222(31)k a a a b b a k-+--=+………………10分 令42()31m a a a =-+-, 由 ①可知 ()0m a <, AOB ∴∠恒为钝角.………………12分21.解:(Ⅰ)当1a =时,e ()1x f x x =+-,(1)e f =,e ()1x f x '=+,e (1)1f '=+, 函数()f x 在点(1,(1))f 处的切线方程为e (e 1)(1)y x -=+- 即(e 1)1y x =+- ……………… 2分 设切线与x 、y 轴的交点分别为A ,B . 令0x =得1y =-,令0y =得1e 1x =+,∴1(,0)e 1A +,(0,1)B - 11112e 12(e 1)S =⨯⨯=++△OAB . 在点(1,(1))f 处的切线与坐标轴围成的图形的面积为12(e 1)+ …………………4分(Ⅱ)由2()f x x ≥得2e 1xx a x+-≥,令2e e 11()x xx h x x x x x+-==+-,222e e (1)(1)(1)1()1x x x x x h x x x x --+-'=--=令e ()1x k x x =+-,…………………… 6分 e ()1x k x '=-,∵(0,1)x ∈,∴e ()10x k x '=-<,()k x 在(0,1)x ∈为减函数∴()(0)0k x k <= ,……………………8分 又∵10x -<,20x >∴2e (1)(1)()0x x x h x x -+-'=>∴()h x 在(0,1)x ∈为增函数,…………………………10分 e ()(1)2h x h <=-,因此只需2e a -≥. …………………………………12分 22.证明:(Ⅰ)∵∠BAD =∠BMF ,所以A,Q,M,B 四点共圆,……………3分 所以PA PB PM PQ ⋅=⋅.………………5分 (Ⅱ)∵PA PB PC PD ⋅=⋅ , ∴PC PD PM PQ ⋅=⋅ ,又 CPQ MPD ∠=∠ , 所以~CPQ MPD ∆∆,……………7分 ∴PMD PCQ ∠=∠ ,则DCB FMD ∠=∠,………………8分 ∵BAD BCD ∠=∠,∴2BMD BMF DMF BAD ∠=∠+∠=∠, 2BOD BAD ∠=∠,所以BMD BOD ∠=∠.…………………10分23.解:(Ⅰ)依题意22sin cos ρθρθ=………………3分 得:x y =2∴曲线1C 直角坐标方程为:x y =2.…………………5分(Ⅱ)把⎪⎪⎩⎪⎪⎨⎧=-=t y t x 22222代入x y =2整理得:0422=-+t t ………………7分0>∆总成立,221-=+t t ,421-=t t23)4(4)2(221=-⨯--=-=t t AB ………………10分另解:(Ⅱ)直线l 的直角坐标方程为x y -=2,把x y -=2代入x y =2得:0452=+-x x ………………7分0>∆总成立,521=+x x ,421=x x23)445(212212=⨯-=-+=x x k AB …………………10分24. 解:(Ⅰ)⎩⎨⎧>-+-≥32222x x x 解得37>x⎩⎨⎧>-+-<<322221x x x 解得φ∈x⎩⎨⎧>-+-≤32221x x x 解得13x <…………………3分不等式的解集为17(,)(,)33-∞+∞U ………………5分(Ⅱ)时,2>a ⎪⎩⎪⎨⎧≥--<<-+-≤++-=a x a x a x a x x a x x f ,2232,222,223)(; 时,2=a 36,2()36,2x x f x x x -+≤⎧=⎨->⎩; 时,2<a ⎪⎩⎪⎨⎧≥--<<+-≤++-=2,2232,22,223)(x a x x a a x a x a x x f ; ∴)(x f 的最小值为)()2(a f f 或;………………8分则⎩⎨⎧≥≥1)2(1)(f a f ,解得1≤a 或3≥a .………………10分。
石家庄市2017-2018学年高中毕业班第一次模拟考试试题文科数学答案一、选择题 (A 卷答案)1-5 ACDBB 6-10CABBB 11-12 DD (B 卷答案)1-5 BCDAA 6-10CBAAA 11-12 DD 二、填空题13. 13-14. 3 15. 乙 16. 23 三、解答题(解答题仅提供一种解答,其他解答请参照此评分标准酌情给分)17. 解:(1)设数列{}n a 的公差为d ,且0d ≠由题意得242937a a a a ⎧=⎪⎨=⎪⎩,……………2分即21(7)(7)(76)27d d d a d ⎧+=-+⎨+=⎩,解得13,1d a ==,……………4分 所以数列{}n a 的通项公式32n a n =-,………………………………6分 (2)由(1)得1(32)(31)n n n b a a n n +=⋅=-+1111()33231n b n n ∴=--+,…………………………8分 12111111111......(1)34473231n n S b b b n n =+++=-+-++--+…………………10分11(1)33131nn n =-=++.………………………12分. 18.(1)因为//BC 平面SDM, BC ⊂平面ABCD,平面SDM 平面ABCD=DM,所以DM BC //……………………2分因为DC AB //,所以四边形BCDM 为平行四边形,又,CD AB 2=,所以M 为AB 的中点。
…………………4分因为AM λ=12λ∴=…………………6分 (2)因为BC ⊥SD , BC ⊥CD , 所以BC ⊥平面SCD , 又因为BC ⊂平面ABCD , 所以平面SCD ⊥平面ABCD , 平面SCD 平面ABCD CD =,在平面SCD 内过点S 作SE ⊥直线CD 于点E ,则SE ⊥平面ABCD ,……………………………7分 在Rt SEA 和Rt SED 中, 因为SA SD =,所以AE DE ==,又由题知45EDA ∠=, 所以AE ED ⊥,由已知求得AD =,所以1AE ED SE ===……………………………9分连接BD ,则111133S ABD V -=⨯⨯=三棱锥,…………………………………10分 又求得SAD所以由B ASD S ABD V V --=三棱锥三棱锥点B 到平面SAD……………12分 19.解:(1)甲方案中派送员日薪y (单位:元)与送货单数n 的函数关系式为:N ,100∈+=n n y …………………………3分乙方案中派送员日薪y (单位:元)与送单数n 的函数关系式为:⎩⎨⎧∈>-∈≤=N),55(,52012N),55(,140n n n n n y ………………………6分(2)①、由表格可知,甲方案中,日薪为152元的有20天,日薪为154元的有30天,日薪为156元的有20天,日薪为158元的有20天,日薪为160元的有10天,则1=15220+15430+15620+15820+16010100x ⨯⨯⨯⨯⨯甲()=155.4, ()()()()()2222221=[20152155.4+30154155.4+20156155.4+20158155.4+10010160155.4]=6.44S ⨯-⨯-⨯-⨯-⨯-甲------------8分乙方案中,日薪为140元的有50天,日薪为152元的有20天,日薪为176元的有20天,日薪为200元的有10天,则1=14050+15220+17620+20010100x ⨯⨯⨯⨯乙()=155.6, ()()()()222221=[50140155.6+20152155.6+20176155.6+10200155.6]100=404.64S ⨯-⨯-⨯-⨯-乙-------------10分②、答案一:由以上的计算可知,虽然x x <乙甲,但两者相差不大,且2S 甲远小于2S 乙,即甲方案日薪收入波动相对较小,所以小明应选择甲方案。
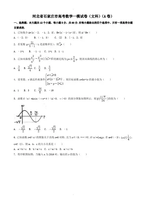
河北省石家庄市高考数学一模试卷(文科)(A卷)一、选择题:本大题共12个小题,每小题5分,共60分.在每小题给出的四个选项中,只有一项是符合题目要求的.1.已知集合A={x|﹣2,﹣1,2,3},B={x|﹣1<x<3},则A∩B=()A.(﹣2,3)B.(﹣1,3)C.{2} D.{﹣1,2,3}2.若复数(i是虚数单位),则=()A.﹣1+i B.﹣1﹣i C.1+i D.1﹣i3.已知双曲线的渐近线为,则该双曲线的离心率为()A.B.C.D.4.设变量,y满足约束条件,则目标函数z=3x+4y的最小值为()A.1 B.3 C.D.﹣195.函数f(x)=Asin(ωx+φ)(A>0,ω>0)的部分图象如图所示,则的值为()A.B.C.D.﹣1x,若a=f(﹣3),,6.已知函数y=f(x)的图象关于直线x=0对称,且当x∈(0,+∞)时,f(x)=log2c=f(2),则a,b,c的大小关系是()A.a>b>c B.b>a>c C.c>a>b D.a>c>b7.程序框图如图,当输入x为2016时,输出的y的值为()A.B.1 C.2 D.48.为比较甲、乙两地某月11时的气温情况,随机选取该月中的5天中11时的气温数据(单位:℃)制成如图所示的茎叶图,考虑以下结论:①甲地该月11时的平均气温低于乙地该月11时的平均气温②甲地该月11时的平均气温高于乙地该月11时的平均气温③甲地该月11时的气温的标准差小于乙地该月11时的气温的标准差④甲地该月11时的气温的标准差大于乙地该月11时的气温的标准差其中根据茎叶图能得到的正确结论的编号为()A.①③ B.①④ C.②③ D.②④9.如图所示的数阵中,用A(m,n)表示第m行的第n个数,则依此规律A(8,2)为()A.B.C.D.10.某几何体的三视图如图所示,图中网格小正方形边长为1,则该几何体的体积是()A .4B .C .D .1211.A ,B ,C 是圆0上不同的三点,线段C0与线段AB 交于点D ,若=λ+μ(λ∈R ,μ∈R ),则λ+μ的取值范围是( ) A .(1,+∞)B .(0,1)C .(1,] D .(﹣1,0)12.若函数f (x )=x 3+ax 2+bx (a ,b ∈R )的图象与x 轴相切于一点A (m ,0)(m ≠0),且f (x )的极大值为,则m 的值为( ) A . B .C .D .二、填空题(每题5分,满分20分,将答案填在答题纸上) 13.已知命题p :“”,则¬p 为 .14.已知椭圆的左、右焦点为F 1、F 2,点F 1关于直线y=﹣x 的对称点P 仍在椭圆上,则△PF 1F 2的周长为 . 15.已知△ABC 中,AC=4,BC=2,∠BAC=60°,AD ⊥BC 于D ,则的值为 .16.在三棱锥P ﹣ABC 中,PA=BC=4,PB=AC=5,,则三棱锥P ﹣ABC 的外接球的表面积为 .三、解答题(本大题共5小题,共70分.解答应写出文字说明、证明过程或演算步骤.) 17.已知等差数列{a n }中,2a 2+a 3+a 5=20,且前10项和S 10=100. (I )求数列{a n }的通项公式; (II )若,求数列{b n }的前n 项和.18.在平面四边形ACBD (图①)中,△ABC 与△ABD 均为直角三角形且有公共斜边AB ,设AB=2,∠BAD=30°,∠BAC=45°,将△ABC 沿AB 折起,构成如图②所示的三棱锥C′﹣ABC . (Ⅰ)当时,求证:平面C′AB⊥平面DAB ;(Ⅱ)当AC′⊥BD 时,求三棱锥C′﹣ABD 的高.19.某篮球队对篮球运动员的篮球技能进行统计研究,针对篮球运动员在投篮命中时,运动员在篮筐中心的水平距离这项指标,对某运动员进行了若干场次的统计,依据统计结果绘制如下频率分布直方图:(Ⅰ)依据频率分布直方图估算该运动员投篮命中时,他到篮筐中心的水平距离的中位数;(Ⅱ)若从该运动员投篮命中时,他到篮筐中心的水平距离为2到5米的这三组中,用分层抽样的方法抽取7次成绩(单位:米,运动员投篮命中时,他到篮筐中心的水平距离越远越好),并从抽到的这7次成绩中随机抽取2次.规定:这2次成绩均来自到篮筐中心的水平距离为4到5米的这一组,记1分,否则记0分.求该运动员得1分的概率.20.已知抛物线C:y2=2px(p>0)过点M(m,2),其焦点为F,且|MF|=2.(Ⅰ)求抛物线C的方程;(Ⅱ)设E为y轴上异于原点的任意一点,过点E作不经过原点的两条直线分别与抛物线C和圆F:(x﹣1)2+y2=1相切,切点分别为A,B,求证:A、B、F三点共线.21.已知函数f(x)=e x﹣3x+3a(e为自然对数的底数,a∈R).(Ⅰ)求f(x)的单调区间与极值;(Ⅱ)求证:当,且x>0时,.请考生在22、23、24三题中任选一题作答,如果多做,则按所做的第一题记分.[选修4-1:几何证明选讲]22.如图所示,过点P分别做圆O的切线PA、PB和割线PCD,弦BE交CD于F,满足P、B、F、A四点共圆.(Ⅰ)证明:AE∥CD;(Ⅱ)若圆O的半径为5,且PC=CF=FD=3,求四边形PBFA的外接圆的半径.[选修4-4:坐标系与参数方程]23.在极坐标系中,已知曲线C 1:ρ=2cosθ和曲线C 2:ρcosθ=3,以极点O 为坐标原点,极轴为x 轴非负半轴建立平面直角坐标系.(Ⅰ)求曲线C 1和曲线C 2的直角坐标方程;(Ⅱ)若点P 是曲线C 1上一动点,过点P 作线段OP 的垂线交曲线C 2于点Q ,求线段PQ 长度的最小值.[选修4-5:不等式选讲]24.已知函数f (x )=|x|+|x ﹣1|.(Ⅰ)若f (x )≥|m ﹣1|恒成立,求实数m 的最大值M ;(Ⅱ)在(Ⅰ)成立的条件下,正实数a ,b 满足a 2+b 2=M ,证明:a+b ≥2ab .河北省石家庄市高考数学一模试卷(文科)(A卷)参考答案与试题解析一、选择题:本大题共12个小题,每小题5分,共60分.在每小题给出的四个选项中,只有一项是符合题目要求的.1.已知集合A={x|﹣2,﹣1,2,3},B={x|﹣1<x<3},则A∩B=()A.(﹣2,3)B.(﹣1,3)C.{2} D.{﹣1,2,3}【考点】交集及其运算.【分析】直接找出两集合的交集即可.【解答】解:集合A={x|﹣2,﹣1,2,3},B={x|﹣1<x<3},则A∩B={2},故选:C.2.若复数(i是虚数单位),则=()A.﹣1+i B.﹣1﹣i C.1+i D.1﹣i【考点】复数代数形式的乘除运算.【分析】直接利用复数代数形式的乘除运算化简得答案.【解答】解:∵=,∴.故选:B.3.已知双曲线的渐近线为,则该双曲线的离心率为()A.B.C.D.【考点】双曲线的简单性质.【分析】求出双曲线的渐近线方程,由题意可得a=4,b=3,求得c,运用离心率公式即可得到所求值.【解答】解:双曲线的渐近线方程为y=±x,由渐近线为,可得a=4,又b=3,可得c==5,检验离心率e==.故选:C.4.设变量,y满足约束条件,则目标函数z=3x+4y的最小值为()A.1 B.3 C.D.﹣19【考点】简单线性规划.【分析】由约束条件作出可行域,化目标函数为直线方程的斜截式,数形结合得到最优解,联立方程组求得最优解的坐标,代入目标函数得答案.【解答】解:由约束条件作出可行域如图,联立,解得A(﹣1,),化目标函数z=3x+4y为y=,由图可知,当直线y=过点A时,直线在y轴上的截距最小,z有最小值为3,故选:B.5.函数f(x)=Asin(ωx+φ)(A>0,ω>0)的部分图象如图所示,则的值为()A.B.C.D.﹣1【考点】由y=Asin(ωx+φ)的部分图象确定其解析式.【分析】根据顶点的纵坐标求A,根据周期求出ω,由五点法作图的顺序求出φ的值,从而求得f(x)的解析式,进而求得f()的值【解答】解:由图象可得A=, =﹣,解得ω=2.再由五点法作图可得2×+φ=π,解得:φ=,故f(x)=sin(2x+),故f()=sin(2×+)=﹣sin=﹣=﹣1.故选:D.6.已知函数y=f(x)的图象关于直线x=0对称,且当x∈(0,+∞)时,f(x)=logx,若a=f(﹣3),,2c=f(2),则a,b,c的大小关系是()A.a>b>c B.b>a>c C.c>a>b D.a>c>b【考点】函数的图象.【分析】根据函数的奇偶性和函数的单调性即可判断.【解答】解:函数y=f(x)的图象关于直线x=0对称,∴f(﹣3)=f(3),x,在x(0,+∞)为增函数,∵f(x)=log2∴f(3)>f(2)>f(),∴a>c>b,故选:D.7.程序框图如图,当输入x为2016时,输出的y的值为()A.B.1 C.2 D.4【考点】程序框图.【分析】由已知中的程序框图可知:该程序的功能是利用循环结构计算并输出变量y的值,模拟程序的运行过程,分析循环中各变量值的变化情况,可得答案.【解答】解:第1次执行循环体后,x=2013,满足进行循环的条件,第2次执行循环体后,x=2010,满足进行循环的条件,第3次执行循环体后,x=2007,满足进行循环的条件,…第n次执行循环体后,x=2016﹣3n,满足进行循环的条件,…第672次执行循环体后,x=0,满足进行循环的条件,第673次执行循环体后,x=﹣3,不满足进行循环的条件,故y=,故选:A8.为比较甲、乙两地某月11时的气温情况,随机选取该月中的5天中11时的气温数据(单位:℃)制成如图所示的茎叶图,考虑以下结论:①甲地该月11时的平均气温低于乙地该月11时的平均气温②甲地该月11时的平均气温高于乙地该月11时的平均气温③甲地该月11时的气温的标准差小于乙地该月11时的气温的标准差④甲地该月11时的气温的标准差大于乙地该月11时的气温的标准差其中根据茎叶图能得到的正确结论的编号为()A.①③ B.①④ C.②③ D.②④【考点】茎叶图.【分析】根据茎叶图中的数据,分别求出甲、乙两地某月11时气温这两组数据的平均数、方差即可.【解答】解:由茎叶图中的数据知,乙两地某月11时的气温分别为:甲:28,29,30,31,32乙:26,28,29,31,31;可得:甲地该月11时的平均气温为=(28+29+30+31+32)=30,乙地该月11时的平均气温为=(26+28+29+31+31)=29,故甲地该月11时的平均气温高于乙地该月11时的平均气温;①错误,②正确;又甲地该月11时温度的方差为= [(28﹣30)2+(29﹣30)2+(30﹣30)2+(31﹣30)2+(32﹣30)2]=2乙地该月14时温度的方差为= [(26﹣29)2+(28﹣29)2+(29﹣29)2+(31﹣29)2+(31﹣29)2]=3.6,故<,所以甲地该月11时的气温标准差小于乙地该月11时的气温标准差,③正确,④错误.综上,正确的命题是②③.故选:C.9.如图所示的数阵中,用A(m,n)表示第m行的第n个数,则依此规律A(8,2)为()A.B.C.D.【考点】数列递推式.【分析】由已知中的数阵,可得第n行的第一个数和最后一个数均为:,其它数字等于上一行该数字“肩膀“上两个数字的和,结合裂项相消法,可得答案.【解答】解:由已知中:归纳可得第n行的第一个数和最后一个数均为:,其它数字等于上一行该数字“肩膀“上两个数字的和,故A(8,2)=A(7,1)+A(7,2)=A(7,1)+A(6,1)+A(6,2)=A(7,1)+A(6,1)+A(5,1)+A (5,2)=A(7,1)+A(6,1)+A(5,1)+A(4,1)+A(4,2)=A(7,1)+A(6,1)+A(5,1)+A(4,1)+A(3,1)+A(3,2)=A(7,1)+A(6,1)+A(5,1)+A(4,1)+A(3,1)+A(2,1)+A(2,2)=++++++=2()+==,故选:D.10.某几何体的三视图如图所示,图中网格小正方形边长为1,则该几何体的体积是()A.4 B.C.D.12【考点】由三视图求面积、体积.【分析】画出图形,说明几何体的形状,然后利用三视图的数据求解即可.【解答】解:由三视图可知几何体的图形如图.是三棱柱截去两个四棱锥的几何体,原三棱柱的高为:4,底面是等腰直角三角形,直角边长为2.截去的四棱锥如图:几何体的体积为:﹣=.故选:B.11.A,B,C是圆0上不同的三点,线段C0与线段AB交于点D,若=λ+μ(λ∈R,μ∈R),则λ+μ的取值范围是()A.(1,+∞)B.(0,1)C.(1,] D.(﹣1,0)【考点】平面向量的基本定理及其意义.【分析】可作图:取∠AOB=120°,∠AOC=∠BOC=60°,从而便得到四边形AOBC为菱形,这样便有,从而根据平面向量基本定理即可得到λ+μ=2,这样便可排除选项B,C,D,从而便可得出正确选项.【解答】解:∵A,B,C是圆0上不同的三点,线段C0与线段AB交于点D;∴如图所示,不妨取∠AOB=120°,∠AOC=∠BOC=60°,则四边形AOBC为菱形;∴;又;∴λ=μ=1,λ+μ=2,∴可排除B,C,D选项.故选:A.12.若函数f(x)=x3+ax2+bx(a,b∈R)的图象与x轴相切于一点A(m,0)(m≠0),且f(x)的极大值为,则m的值为()A.B.C.D.【考点】利用导数研究函数的极值;利用导数研究曲线上某点切线方程.【分析】联立方程组,求出a,b,求出f(x)的导数,通过讨论m的范围,得到函数f(x)的单调区间,求出f(x)的极大值,得到关于m的方程,解出即可.【解答】解:∵f(x)=x3+ax2+bx(a,b∈R),∴f′(x)=3x2+2ax+b,∵f(x)的图象与x轴相切于一点A(m,0)(m≠0),∴,解得,∴f′(x)=(3x﹣m)(x﹣m),m>0时,令f′(x)>0,解得:x>m或x<,令f′(x)<0,解得:<x<m,∴f(x)在(﹣∞,)递增,在(,m)递减,在(m,+∞)递增,=f()=,解得:m=,∴f(x)极大值m<0时,令f′(x)>0,解得:x<m或x>,令f′(x )<0,解得:>x >m ,∴f (x )在(﹣∞,m )递增,在(m ,)递减,在(,+∞)递增, ∴f (x )极大值=f (m )=,而f (m )=0,不成立, 综上,m=, 故选:D .二、填空题(每题5分,满分20分,将答案填在答题纸上) 13.已知命题p :“”,则¬p 为 ∀x∈R,|x|+x 2≥0 .【考点】命题的否定.【分析】直接利用特称命题的否定是全称命题写出结果即可. 【解答】解:因为特称命题的否定是全称命题,所以命题p :“”,则¬p 为:∀x ∈R ,|x|+x 2≥0.故答案为:∀x ∈R ,|x|+x 2≥0.14.已知椭圆的左、右焦点为F 1、F 2,点F 1关于直线y=﹣x 的对称点P 仍在椭圆上,则△PF 1F 2的周长为 2+2 .【考点】椭圆的简单性质.【分析】设出椭圆的左焦点,关于直线y=﹣x 的对称点P (m ,n ),由两直线垂直的条件:斜率之积为﹣1,以及中点坐标公式解得m=0,n=c ,由椭圆方程可得b=c=1,进而得到a 的值,再由椭圆的定义可得周长为2a+2c .【解答】解:设椭圆的左焦点为(﹣c ,0), 点F 1关于直线y=﹣x 的对称点P (m ,n ), 由=1, =﹣,解得m=0,n=c ,即P (0,c ),由题意方程可得b=c=1,a==,由题意的定义可得△PF 1F 2的周长为2a+2c=2+2.故答案为:2+2.15.已知△ABC 中,AC=4,BC=2,∠BAC=60°,AD ⊥BC 于D ,则的值为 6 .【分析】设AB=x ,由余弦定理可得: =x 2+42﹣2x ×4ccos60°,解得x=6.设BD=m ,CD=n .由于AD ⊥BC 于D ,可得=,m+n=2,解出即可得出.【解答】解:设AB=x , 由余弦定理可得: =x 2+42﹣2x ×4ccos60°, 化为x 2﹣4x ﹣12=0, 解得x=6. 设BD=m ,CD=n . ∵AD ⊥BC 于D , ∴=,m+n=2,解得m=,n=,∴==6.故答案为:6.16.在三棱锥P ﹣ABC 中,PA=BC=4,PB=AC=5,,则三棱锥P ﹣ABC 的外接球的表面积为 26π .【考点】球内接多面体;球的体积和表面积.【分析】构造长方体,使得面上的对角线长分别为4,5,,则长方体的对角线长等于三棱锥P ﹣ABC 外接球的直径,即可求出三棱锥P ﹣ABC 外接球的表面积. 【解答】解:∵三棱锥P ﹣ABC 中,PA=BC=4,PB=AC=5,,∴构造长方体,使得面上的对角线长分别为4,5,,则长方体的对角线长等于三棱锥P ﹣ABC 外接球的直径.设长方体的棱长分别为x ,y ,z ,则x 2+y 2=16,y 2+z 2=25,x 2+z 2=11, ∴x 2+y 2+z 2=26∴三棱锥P ﹣ABC 外接球的直径为,∴三棱锥P ﹣ABC 外接球的表面积为4=26π.故答案为:26π.三、解答题(本大题共5小题,共70分.解答应写出文字说明、证明过程或演算步骤.) 17.已知等差数列{a n }中,2a 2+a 3+a 5=20,且前10项和S 10=100. (I )求数列{a n }的通项公式; (II )若,求数列{b n }的前n 项和.【分析】(I )利用等差数列的通项公式及其前n 项和公式即可得出. (II )==,利用“裂项求和”方法即可得出.【解答】解:(I )设等差数列{a n }的公差为d ,∵2a 2+a 3+a 5=20,且前10项和S 10=100, ∴4a 1+8d=20, d=100,联立解得a 1=1,d=2. ∴a n =1+2(n ﹣1)=2n ﹣1. (II )==,∴数列{b n }的前n 项和=+…+==.18.在平面四边形ACBD (图①)中,△ABC 与△ABD 均为直角三角形且有公共斜边AB ,设AB=2,∠BAD=30°,∠BAC=45°,将△ABC 沿AB 折起,构成如图②所示的三棱锥C′﹣ABC . (Ⅰ)当时,求证:平面C′AB⊥平面DAB ;(Ⅱ)当AC′⊥BD 时,求三棱锥C′﹣ABD 的高.【考点】平面与平面垂直的判定;点、线、面间的距离计算.【分析】(I )取AB 的中点O ,连C′O,DO ,利用直角三角形的性质解出OC′,DO ,利用勾股定理的逆定理得出OC′⊥OD ,由等腰三角形三线合一得OC′⊥AB ,故OC′⊥平面ABD ,于是平面C′AB⊥平面DAB ; (II )由AC′⊥BC′,AC′⊥BD 得出AC′⊥平面BC′D,故AC′⊥C′D,利用勾股定理解出C′D,由勾股定理的逆定理得出BD ⊥C′D,使用等积法求出棱锥的高. 【解答】解:(I )取AB 的中点O ,连C'O ,DO ,∵△ABC′,△ABD 是直角三角形,∠AC′B=∠ADB=90°,AB=2, ∴C′O=DO==1,又C′D=,∴C′O2+DO2=C′D2,即C′O⊥OD,∵∠BAC′=45°,∴AC′=BC′,∵O是AB中点,∴OC′⊥AB,又∵AB∩OD=O,AB⊂平面ABD,OD⊂平面ABD,∴C′O⊥平面ABD,∵OC′⊂平面ABC′,∴平面C′AB⊥平面DAB.(II)∵AC′⊥BD,AC′⊥BC′,BD⊂平面BC′D,BC′⊂平面BC′D,∴AC′⊥平面BDC′,又C′D⊂平面BDC',∴AC′⊥C′D,∴△AC′D为直角三角形.∵AB=2,∠BAC′=45°,∠BAD=30°,∠AC′B=∠ADB=90°,∴AC′=BC′=,BD=1,AD=,∴C′D==1,∴C′D2+BD2=BC′2,∴VA﹣BC′D =S△BC′D•AC′==,设三棱锥C'﹣ABD的高为h,则VC′﹣ABD===,解得.19.某篮球队对篮球运动员的篮球技能进行统计研究,针对篮球运动员在投篮命中时,运动员在篮筐中心的水平距离这项指标,对某运动员进行了若干场次的统计,依据统计结果绘制如下频率分布直方图:(Ⅰ)依据频率分布直方图估算该运动员投篮命中时,他到篮筐中心的水平距离的中位数;(Ⅱ)若从该运动员投篮命中时,他到篮筐中心的水平距离为2到5米的这三组中,用分层抽样的方法抽取7次成绩(单位:米,运动员投篮命中时,他到篮筐中心的水平距离越远越好),并从抽到的这7次成绩中随机抽取2次.规定:这2次成绩均来自到篮筐中心的水平距离为4到5米的这一组,记1分,否则记0分.求该运动员得1分的概率.【考点】列举法计算基本事件数及事件发生的概率;古典概型及其概率计算公式.【分析】(Ⅰ)由中位数两边矩形的面积相等列式求得中位数的估计值;(Ⅱ)由题意知,抽到的7次成绩中,有1次来自到篮筐的水平距离为2到3米的这一组,记作A1;有2次来自到篮筐的水平距离为3到4米的这一组,记作B1,B2;有4次来自到篮筐的水平距离为4到5米的这一组,记作C1,C2,C3,C4,然后由古典概型概率计算公式得答案.【解答】解:( I)设该运动员到篮筐的水平距离的中位数为x,∵0.05×2+0.10+0.20<0.5,且(0.40+0.20)×1=0.6>0.5,∴x∈[4,5],由0.40×(5﹣x)+0.20×1=0.5,x=4.25,∴该运动员到篮筐的水平距离的中位数是4.25(米).(II)由题意知,抽到的7次成绩中,有1次来自到篮筐的水平距离为2到3米的这一组,记作A1;有2次来自到篮筐的水平距离为3到4米的这一组,记作B1,B2;有4次来自到篮筐的水平距离为4到5米的这一组,记作C1,C2,C3,C4.从7次成绩中随机抽取2次的所有可能抽法如下:(A1,B1),(A1,B2),(A1,C1),(A1,C2),(A1,C3),(A1,C4),(B1,B2),(B1,C1),(B1,C2),(B1,C3),(B1,C4),(B2,C1),(B2,C2),(B2,C3),(B2,C4),(C1,C2),(C1,C3),(C1,C4),(C2,C3),(C2,C4),(C3,C4)共21个基本事件.其中两次成绩均来自到篮筐的水平距离为4到5米的这一组的基本事件有6个.所以该运动员得的概率P=.20.已知抛物线C:y2=2px(p>0)过点M(m,2),其焦点为F,且|MF|=2.(Ⅰ)求抛物线C的方程;(Ⅱ)设E为y轴上异于原点的任意一点,过点E作不经过原点的两条直线分别与抛物线C和圆F:(x﹣1)2+y2=1相切,切点分别为A,B,求证:A、B、F三点共线.【考点】抛物线的简单性质;直线与圆锥曲线的综合问题.【分析】(Ⅰ)利用抛物线的定义,结合抛物线C:y2=2px(p>0)过点M(m,2),且|MF|=2,求出p,即可求抛物线C的方程;(Ⅱ)设EA:y=kx+t联立,消去y,可得k2x2+(2kt﹣4)x+t2=0,利用直线EA与抛物线C相切,得到kt=1代入,求出A的坐标;由几何性质可以判断点O,B关于直线EF:y=﹣tx+t对称,求出B的坐标,证明kAF =kBF,即A,B,F三点共线;当t=±1时,A(1,±2),B(1,±1),此时A,B,F共线.【解答】(I)解:抛物线C的准线方程为:,∴,又抛物线C:y2=2px(p>0)过点M(m,2),∴4=2pm,即…∴p2﹣4p+4=0,∴p=2,∴抛物线C的方程为y2=4x.…(II)证明;设E(0,t)(t≠0),已知切线不为y轴,设EA:y=kx+t联立,消去y,可得k2x2+(2kt﹣4)x+t2=0∵直线EA与抛物线C相切,∴△=(2kt﹣4)2﹣4k2t2=0,即kt=1.代入,∴x=t2,即A(t2,2t),…设切点B(x0,y),则由几何性质可以判断点O,B关于直线EF:y=﹣tx+t对称,则,解得:,即…直线AF的斜率为,直线BF的斜率为,∴kAF =kBF,即A,B,F三点共线.…当t=±1时,A(1,±2),B(1,±1),此时A,B,F共线.综上:A,B,F三点共线.…21.已知函数f(x)=e x﹣3x+3a(e为自然对数的底数,a∈R).(Ⅰ)求f(x)的单调区间与极值;(Ⅱ)求证:当,且x>0时,.【考点】利用导数研究函数的单调性;利用导数研究函数的极值;选择结构.【分析】(Ⅰ)求出函数的导数,列出变化表,求出函数的单调区间,从而求出函数的极值即可;(Ⅱ)问题等价于,设,根据函数的单调性证明即可.【解答】( I)解由f(x)=e x﹣3x+3a,x∈R知f′(x)=e x﹣3,x∈R.…令f′(x)=0,得x=ln 3,…于是当x变化时,f′(x),f(x)的变化情况如下表.x (﹣∞,ln 3)ln 3 (ln 3,+∞)f′(x)﹣0 +f(x)↓3(1﹣ln 3+a)↑故f(x)的单调递减区间是(﹣∞,ln 3],单调递增区间是[ln3,+∞),…f(x)在x=ln 3处取得极小值,极小值为f(ln 3)=e ln3﹣3ln 3+3a=3(1﹣ln 3+a).…(II)证明:待证不等式等价于…设,x∈R,于是g'(x)=e x﹣3x+3a,x∈R.由( I)及知:g'(x)的最小值为g′(ln 3)=3(1﹣ln 3+a)>0.…于是对任意x∈R,都有g'(x)>0,所以g(x)在R内单调递增.于是当时,对任意x∈(0,+∞),都有g(x)>g(0).…而g(0)=0,从而对任意x∈(0,+∞),g(x)>0.即,故…请考生在22、23、24三题中任选一题作答,如果多做,则按所做的第一题记分.[选修4-1:几何证明选讲]22.如图所示,过点P分别做圆O的切线PA、PB和割线PCD,弦BE交CD于F,满足P、B、F、A四点共圆.(Ⅰ)证明:AE∥CD;(Ⅱ)若圆O的半径为5,且PC=CF=FD=3,求四边形PBFA的外接圆的半径.【考点】与圆有关的比例线段.【分析】(Ⅰ)连接AB ,利用P 、B 、F 、A 四点共圆,PA 与圆O 切于点A ,得出两组角相等,即可证明:AE ∥CD ;(Ⅱ)四边形PBFA 的外接圆就是四边形PBOA 的外接圆,OP 是该外接圆的直径,由切割线定理可得PA ,即可求四边形PBFA 的外接圆的半径. 【解答】( I )证明:连接AB .∵P 、B 、F 、A 四点共圆,∴∠PAB=∠PFB . … 又PA 与圆O 切于点A ,∴∠PAB=∠AEB ,… ∴∠PFB=∠AEB ∴AE ∥CD .…( II )解:因为PA 、PB 是圆O 的切线,所以P 、B 、O 、A 四点共圆, 由△PAB 外接圆的唯一性可得P 、B 、F 、A 、O 共圆,四边形PBFA 的外接圆就是四边形PBOA 的外接圆,∴OP 是该外接圆的直径.… 由切割线定理可得PA 2=PC•PD=3×9=27 … ∴. ∴四边形PBFA 的外接圆的半径为.…[选修4-4:坐标系与参数方程]23.在极坐标系中,已知曲线C 1:ρ=2cosθ和曲线C 2:ρcosθ=3,以极点O 为坐标原点,极轴为x 轴非负半轴建立平面直角坐标系.(Ⅰ)求曲线C 1和曲线C 2的直角坐标方程;(Ⅱ)若点P 是曲线C 1上一动点,过点P 作线段OP 的垂线交曲线C 2于点Q ,求线段PQ 长度的最小值. 【考点】简单曲线的极坐标方程;参数方程化成普通方程.【分析】(Ⅰ)根据极坐标和普通坐标之间的关系进行转化求解即可. (Ⅱ)设出直线PQ 的参数方程,利用参数的几何意义进行求解即可. 【解答】解:( I )C 1的直角坐标方程为(x ﹣1)2+y 2=1,…,C的直角坐标方程为x=3;…2( II)设曲线C与x轴异于原点的交点为A,1∴PQ过点A(2,0),设直线PQ的参数方程为,可得t2+2tcosθ=0,解得,代入C1|=|2cosθ|…可知|AP|=|t2可得2+tcosθ=3,解得,代入C2可知…所以PQ=,当且仅当时取等号,所以线段PQ长度的最小值为.…[选修4-5:不等式选讲]24.已知函数f(x)=|x|+|x﹣1|.(Ⅰ)若f(x)≥|m﹣1|恒成立,求实数m的最大值M;(Ⅱ)在(Ⅰ)成立的条件下,正实数a,b满足a2+b2=M,证明:a+b≥2ab.【考点】函数恒成立问题.【分析】( I)求出函数的解析式,然后求解函数的最小值,通过|m﹣1|≤1,求解m的范围,得到m的最大值M.( II)法一:综合法,利用基本不等式证明即可.法二:利用分析法,证明不等式成立的充分条件即可.【解答】解:( I)由已知可得,所以f(x)=1,…min所以只需|m﹣1|≤1,解得﹣1≤m﹣1≤1,∴0≤m≤2,所以实数m的最大值M=2…( II)法一:综合法∴ab≤1∴,当且仅当a=b时取等号,①…又∴∴,当且仅当a=b时取等号,②…由①②得,∴,所以a+b≥2ab…法二:分析法因为a>0,b>0,所以要证a+b≥2ab,只需证(a+b)2≥4a2b2,即证a2+b2+2ab≥4a2b2,,所以只要证2+2ab≥4a2b2,…即证2(ab)2﹣ab﹣1≤0,即证(2ab+1)(ab﹣1)≤0,因为2ab+1>0,所以只需证ab≤1,下证ab≤1,因为2=a2+b2≥2ab,所以ab≤1成立,所以a+b≥2ab…。
河北省石家庄市数学高三文数一模试卷姓名:________ 班级:________ 成绩:________一、单选题 (共12题;共24分)1. (2分)已知复数在复平面内对应的点在二象限,且,则实数的取值范围是()A . 或B .C . 或D .2. (2分) (2020高一上·天津月考) 集合,则集合为()A .B .C .D .3. (2分)在等差数列中a3+a4+a5=12,为数列的前项和,则S7=()A . 14B . 21C . 28D . 354. (2分)已知,则“”是“”的()A . 必要不充分条件B . 充分不必要条件C . 充分且必要条件D . 既不充分也不必要条件5. (2分) (2020高三上·浠水月考) 某商场为了了解毛衣的月销售量(件)与月平均气温()之间的关系,随机统计了某4个月的月销售量与当月平均气温,其数据如下表:月平均气温171382月销售量(件)24334055由表中数据算出线性回归方程中的,气象部门预测下个月的平均气温为,据此估计该商场下个月毛衣销售量约为()A . 58件B . 40件C . 38件D . 46件6. (2分)若直线与圆相切,则的值为()A . 0B . 1C . 2D . 0或27. (2分) (2019高一上·忻州月考) 已知函数在区间上是增函数,则的取值范围是()A .B .C .D .8. (2分) (2018高二上·浙江期中) 设是两条不同的直线,是两个不同的平面,下列命题中,正确的命题是()A .B .C .D .9. (2分) (2017高一下·西华期末) 函数y=Asin(ωx+φ)在一个周期内的图象如图,此函数的解析式为()A . y=2sin(2x+ )B . y=2sin(2x+ )C . y=2sin(﹣)D . y=2sin(2x﹣)10. (2分) (2016高一下·延川期中) 半径为π cm,中心角为120°的弧长为()A . cmB . cmC . cmD . cm11. (2分)设双曲线的一条渐近线与抛物线只有一个公共点,则双曲线的离心率为()A .B . 5C .D .12. (2分) (2019高三上·浙江月考) 已知函数,以下哪个是的图象()A .B .C .D .二、填空题 (共4题;共4分)13. (1分)(2019·禅城期中) 若,则 ________.14. (1分) (2016高三上·辽宁期中) 已知α、β是三次函数f(x)= x3+ ax2+2bx(a,b∈R)的两个极值点,且α∈(0,1),β∈(1,2),则的取值范围是________.15. (1分) (2019高三上·西安月考) 在平面五边形中, , ,, ,且 .将五边形沿对角线折起,使平面与平面所成的二面角为 ,则沿对角线折起后所得几何体的外接球的表面积是________.16. (1分) (2019高三上·上海期中) 设正数,满足恒成立,则的最小值是________.三、解答题 (共7题;共35分)17. (5分) (2020高二上·六安开学考) 设为首项不为零等差数列的前n项和,已知,.(1)求数列的通项公式;(2)设为数列的前n项和,求的最大值.18. (5分)(2018·山东模拟) 为了治理大气污染,某市2017年初采用了一系列措施,比如“煤改电”,“煤改气”,“整治散落污染企业”等.下表是该市2016年11月份和2017年11月份的空气质量指数()(指数越小,空气质量越好)统计表.根据表中数据回答下列问题:(1)将2017年11月的空气质量指数数据用该天的对应日期作为样本编号,再用系统抽样方法从中抽取6个数据,若在2017年11月16日到11月20日这五天中用简单随机抽样抽取到的样本的编号是19号,写出抽出的样本数据;(2)从(1)中抽出的6个样本数据中随机抽取2个,求这2个数据之差的绝对值小于30的概率;(3)根据《环境空气质量指数()技术规定(试行)》规定:当空气质量指数为(含50)时,空气质量级别为一级,求出这两年11月空气质量指数为一级的概率,你认为该市2017年初开始采取的这些大气污染治理措施是否有效?19. (5分)如图,AB是圆O的直径,点C在圆O上,矩形DCBE所在的平面垂直于圆O所在的平面,AB=4,BE=1.(1)证明:平面ADE⊥平面ACD;(2)当三棱锥C﹣ADE的体积最大时,求点C到平面ADE的距离.20. (5分) (2019高二上·大兴期中) 已知椭圆的两个焦点分别是,,且椭圆经过点 .(1)求椭圆的标准方程;(2)当取何值时,直线与椭圆有两个公共点;只有一个公共点;没有公共点?21. (5分) (2019高二下·南昌期末) 已知函数(),其中为自然对数的底数.(1)讨论函数的单调性及极值;(2)若不等式在内恒成立,求证: .22. (5分) (2018高二下·保山期末) 在平面直角坐标系中,曲线的参数方程是以坐标原点为极点,轴的非负半轴为极轴,建立极坐标系,直线的极坐标方程为.(Ⅰ)写出曲线的普通方程和直线的直角坐标方程;;(Ⅱ)已知点为直线上的两个动点,且点为曲线上任意一点,求面积的最大值及此时点的直角坐标.23. (5分)(2019·河北模拟) 设函数 .(1)当时,求不等式的解集;(2),都有恒成立,求的取值范围.参考答案一、单选题 (共12题;共24分)答案:1-1、考点:解析:答案:2-1、考点:解析:答案:3-1、考点:解析:答案:4-1、考点:解析:答案:5-1、考点:解析:答案:6-1、考点:解析:答案:7-1、考点:解析:答案:8-1、考点:解析:答案:9-1、考点:解析:答案:10-1、考点:解析:答案:11-1、考点:解析:答案:12-1、考点:解析:二、填空题 (共4题;共4分)答案:13-1、考点:解析:答案:14-1、考点:解析:答案:15-1、考点:解析:答案:16-1、考点:解析:三、解答题 (共7题;共35分)答案:17-1、答案:17-2、考点:解析:答案:18-1、答案:18-2、答案:18-3、考点:解析:答案:19-1、考点:解析:答案:20-1、答案:20-2、考点:解析:答案:21-1、答案:21-2、考点:解析:答案:22-1、考点:解析:答案:23-1、。
石家庄2019届高中毕业班模拟考试(一)文科数学答案一、选择题A卷答案:1-5CAACB 6-10CCDBD 11-12DBB卷答案:1-5CBBCA 6-10CCDAD 11-12DA二、填空题三、解答题17. 解: (1)∵△ABC三内角A、B、C依次成等差数列,∴B=60°设A、B、C……2分……4分△ABC……6分(2)∵BD是AC……8分=”……10分即BD长的最小值为3. ……12分18. 解:(1)证明:2分4分6分(27分9分11分1:2。
…………12分19.2分4分当购进17份时,利润为分分当购进18份时,利润为分10分63.2>60可见,当购进17份时,利润更高!……12分20. 解:(1) 由抛物线定义,得02pPF x =+,由题意得: 00022240p x x px p ⎧=+⎪⎪=⎨⎪>⎪⎩……2分 解得021p x =⎧⎨=⎩所以,抛物线的方程为24y x = ……4分 (2)由题意知,过P 引圆()2223(02)x y r r -+=<≤的切线斜率存在,设切线PA 的方程为1(1)2y k x =-+,则圆心M 到切线PA 的距离121221k d r k +==+,整理得,22211(4)840r k k r --+-=.设切线PB 的方程为2(1)2y k x =-+,同理可得22222(4)840r k k r --+-=.所以,12,k k 是方程222(4)840r k k r --+-=的两根,121228,14k k k k r +==-. ……6分设11(,)A x y ,22(,)B x y由12(1)24y k x y x=-+⎧⎨=⎩得,2114480k y y k --+=,由韦达定理知,111842k y k -=,所以11211424242k y k k k -==-=-,同理可得2142y k =-. ……8分 设点D 的横坐标为0x ,则222121212122()2()12()2()3k k k k k k k k =+-++=+-+- ……10分设12t k k =+,则[)284,24t r =∈---, 所以,20223x t t =--,对称轴122t =>-,所以0937x <≤ ……12分 21. (1)由81=a ,221ln )(x x x x g -=(0>x ),1ln )(+-='x x x g .............. 2分 令1ln )(+-=x x x h ,xxx h -='1)( 故)(x h 在)1,0(递增,在),1(+∞递减,0)1()(max ==h x h ....................... 4分 从而当0>x 时,0)(≤'x g 恒成立,故)(x g 的单调减区间为),0(+∞ ........................................... 5分 (2)xaxa x x f 4141)(-=-=' ............................................. 6分 由0>a ,令0)(='x f ,得a x 41=,故)(x f 在)41,0(a 递增,),41(+∞a递减 所以141ln )41()(max -==aa f x f , ......................................... 8分 只需证明241141ln-≤-a a ............................................... 9分 (法1)令041>=at ,即证01ln ≤+-t t (*) 由(1)易知(*)式成立,证毕 ……12分(法2)令 ,……10分令,得,令,得<, 所以在递增,所以 所以,原不等式得证 ……12分22.(Ⅰ)曲线C 的普通方程为:, ……2分令, ……3分化简得;……5分(Ⅱ)解法1:把……6分令,……7分方程的解分别为点A,B的极径,……8分,……10分解法2:射线的参数方程为,把参数方程代入曲线C的平面直角坐标方程中得,, ……6分令,得,……7分方程的解分别为点A,B的参数,……8分,……10分23.(Ⅰ)不等式可化为……1分或……2分或……3分解得的解集为……5分(Ⅱ)……6分,……8分当且仅当时,即时,取“=”,的最小值为.……10分方法2:……6分,……8分当时,取得最小值为.……10分精品文档精品文档。
河北省石家庄市2021届高中毕业班第|一次模拟考试文科数学试题(时间120分钟 ,总分值150分)考前须知:1. 本试卷分第I 卷 (选择题 )和第II 卷 (非选择题 )两局部 ,答卷前 ,考生务必将自己的姓名、准考证号填写在答题卡上2. 答复第I 卷时 ,选出每题答案后 ,用铅笔把答题卡上对应题目的答案标号涂黑.如 需改动 ,用橡皮擦干净后 ,再选涂其他答案标号.写在本试卷上无效.3. 答复第II 卷时 ,将答案写在答题卡上 ,写在本试卷上无效.4. 考试结束后 ,将本试卷和答题卡一并交回.第I 卷(选择题,共60分 )-、选择题:本大题共12小题 ,每题5分,在每题给出的四个选项中 ,只有一项为哪一项符合题目 要求的.A.第|一象限B.第二象限C.第三象跟D.第四象限2. 假设集合}822|{2≤<∈=+x Z x A ,}02|{2>-∈=x x R x B ,那么)(B C A R 所含的元素个数为A. OB. 1C. 2D. 33. 某学校高三年级|一班共有60名学生 ,现采用系统抽样的方法从中抽取6名学生做 "早餐与健康〞的调查 ,为此将学生编号为1、2、…、60 ,选取的这6名学生的编号可能是A. 1,2,3,4,5,6B. 6 ,16 ,26 ,36 ,46 ,56C. 1,2 ,4 ,8 ,16 ,32D. 3,9,13 ,27,36,544 双曲线的一个焦点与抛物线x 2 =20y 的焦点重合 ,且其渐近线的方程为3x ±4y =0,那么 该双曲线的标准方程为C. 116922=-x yD. 191622=-x y5.设l 、m 是两条不同的直线 ,a,β是两个不同的平面,有以下命题:①l//m,m ⊂a,那么l//a② l//a,m//a 那么 l//m③a 丄β ,l ⊂a ,那么l 丄β④l 丄a ,m 丄a,那么l//m其中正确的命题的个数是A. 1B. 2C. 3D. 46. 执行右面的程序框图 ,输出的S 值为 A. 1B. 9C. 17D. 207. 等比数列{a n } ,且a 4 +a 8 = -2,那么a 6(a 2 +2a 6 +a 10 )的值为 A. 4B. 6C. 8D. -98. 现采用随机模拟的方法估计该运发动射击4次 ,至|少击中3次的 概率:先由计算器给出0到9之间取整数值的随机数 ,指定0、1表 示没有击中目标 ,2、3、4、5、6、7、8、9表示击中目标 ,以4个随机数 为一组 ,代表射击4,次的结果 ,经随机模拟产生了 20组随机数:7527 0293 7140 9857 0347 4373 8636 6947 1417 46980371 6233 2616 8045 6011 3661 9597 7424 7610 4281 根据以上数据估计该射击运发动射击4次至|少击中3次的概率为 A. 0.85B. 0.8C, 0.75D.9. 巳知点(x,y)在ΔABC 所包围的阴影区域内(包含边界),假设B(3, 25)是 使得z =ax -y 取得最|大值的最|优解,那么实数a 的取值范围为A. 21-≥a B. 0≥a C. 21-≤a D.021≤≤-a 10. 函数|)62sin(|)(π-=x x f ,下面说法正确的选项是A.函数的周期为4π B.函数图象的一条对称轴方程为3π=xC.函数在区间]65,32[ππ上为减函数 D 函数是偶函数 11. 正三棱锥P -ABC 的主视图和俯视图如图所 示,那么此三棱锥的外接球的外表积为A 4π B, 12π12. [x]表示不超过x 的最|大整数 ,例如[2.9] =2] = -5 ,f(x) =x -[x](x ∈R),g(x) =log 4(x -1),那么函数h(x) =f(x) -g(x)的零点个数是 A. 1 B. 2C. 3D. 4 第II 卷 (非选择题 ,共90分 )本卷包括必考题和选考题两局部 ,第13题〜第21题为必考题,每个试题考生都必须作 答.第22题~第24题为选考题,考生根据要求作答.二、填空题:本大题共4小题 ,每题5分 ,共20分a 13.向量a =(1,2),b =(x,1) ,u =a +2b,v =2a -b,且 u//v ,那么实数x 的值是______15. 点P(x,y)在直线x +2y =3上移动 ,当2x三、解答题:本大题共6小通 ,共70分.解容许写出文字说明 ,证明过程或演算步職‘17. (本小题总分值12分 )(I)求角A 的大小;18. (本小题总分值12分 )如图 ,在四棱锥P -ABCD 中 ,PA 丄平面ABCD ,ABC ∠ =ADC ∠ =90°BAD ∠ =1200,AD =AB =1,AC 交 BD 于 O 点.(I)求证:平面PBD 丄平面PAC;(II )求三棱锥D -ABP 和三棱锥P -PCD 的体积之比.19. (本小题总分值12分 )为了调查某大学学生在周日上网的时间 ,随机对1OO 名男生和100名女生进行了不记 名的问卷调查.得到了如下的统计结果: 表1:男生上网时间与频数分布表表2:女生上网时间与频数分布表(I)假设该大学共有女生750人,试估计其中上网时间不少于60分钟的人数;(II)完成下面的2x2列联表 ,并答复能否有90%的把握认为 "学生周日上网时间与性 别有关〞 ?表3 :20. (本小題总分值12分 )椭圆)0(12222>>=+b a by a x 的左、右焦点分别为F 1( -1 ,0) ,F 2(1,0) ,过F 1作与x 轴不重合的直线l 交椭圆于A,B 两点.(I)假设ΔABF 2为正三角形 ,求椭圆的离心率; (II )假设椭圆的离心率满足2150-<<e ,0为坐标原点 ,求证AOB ∠为钝角.21(本小题总分值12分 )函数f(x) =e x+ax -1(e 为自然对数的底数).(I)当a =1时,求过点 (1,f(1))处的切线与坐标轴围成的三角形的面积; (II)假设f(x)≥x 2在(0,1 )上恒成立,求实数a 的取值范围.请考生在22〜24三题中任选一题做答 ,如果多做 ,那么按所做的第|一题记分. 22. (本小题总分值10分)选修4 -l:几何证明选讲如图,过圆O 外一点P 作该圆的两条割线PAB 和PCD,分别交圆 O 于点A,B,C,D 弦AD 和BC 交于Q 点 ,割线PEF 经过Q 点交圆 O 于点E 、F ,点M在EF 上 ,且BMF BAD ∠=∠:(I)求证:PA·PB =PM·PQ (II)求证:BOD BMD ∠=∠23. (本小题总分值10分 )选修4 -4:坐标系与参数方程在平面直角坐标系.x0y 中 ,以原点O 为极点,x 轴的正半轴为极轴建立极坐标系 ,曲线 C 的极坐标方程为: θθρcos sin 2=(I)求曲线l的直角坐标方程;|AB|的值24. (本小题总分值10分)选修4 -5:不等式选讲 巳知函数f(x) =|x -2| +2|x -a|(a∈R). (I)当a =1时 ,解不等式f(x)>3;(II)不等式1)(≥x f 在区间 ( -∞ , +∞)上恒成立 ,求实数a 的取值范围高中毕业班第|一次模拟考试(数学文科答案 )一、选择题 A 卷答案1 -5 DCBCA 6 -10 CACAB 11 -12 DB B 卷答案1 -5 DBCBA 6 -10 BABAC 11 -12 DC 二、填空题13.12 14.363515. 16 .3724二 解答题17.解:(Ⅰ)法一:由B a A b c cos cos )2(=-及正弦定理得: B A A B C cos sin cos )sin sin 2(=-……………2分 那么B A A B A C cos sin cos sin cos sin 2+=sin()B A =+,sin()sin A B C A B C π++=∴+=C A C sin cos sin 2=由于sin 0C ≠ ,所以 ,22cos =A ……………… 4分又0A π<< ,故4π=A . …………………… 6分或解:(Ⅰ)由B a A b c cos cos )2(=-及余弦定理得:ac b c a abc a c b b c 22)2(222222-+=-+- ……………………… 2分整理得:bc a c b 2222=-+222cos 222=-+=bc a c b A …………………… 4分又0A π<< ,故4π=A . ……………………… 6分(Ⅱ) ABC ∆的面积S =1sin 2bc A=1,故bc =22 ① ………………… 8分根据余弦定理 2222cos a b c bc A =+- 和a可得22c b + =6…… ② ………………… 10分 解①②得2b c =⎧⎪⎨=⎪⎩2b c ⎧=⎪⎨=⎪⎩. …………………… 12分18.解:证明:(Ⅰ)90ABC ADC ∠=∠=,,AD AB =AC 为公共边,Rt ABC Rt ADC ∴∆≅∆ ,………………… 2分那么BO =DO,又在ABD ∆中 ,AB AD =,所以ABD ∆为等腰三角形.AC BD ∴⊥ ,…………………… 4分而⊥PA 面ABCD ,BD PA ⊥ , 又⊥∴=BD A AC PA , 面PAC ,又⊂BD 面PBD ,∴平面⊥PAC 平面PBD .…………………… 6分 (Ⅱ) 在R t ABC ∆中 ,1AB = ,60BAC ∠= ,那么BC =,01sin1202ABD S AB AD ∆=⋅1112=⨯⨯ ,……………………8分 01sin 602BCD S BC CD ∆=⋅12=,…………………10分PA B DCO113=133ABD D ABP P ABDABD B PCD P BCDBCD BCD S PAV V S V V S S PA ∆--∆--∆∆⋅===⋅ . …………………12分19.解: (Ⅰ )设估计上网时间不少于60分钟的人数x ,依据题意有30750100x =,…………………4分解得:225x = ,所以估计其中上网时间不少于60分钟的人数是225人.………………… 6分 (Ⅱ )根据题目所给数据得到如以下联表: 上网时间少于60分钟 上网时间不少于60分钟 合计 男生 60 40 100 女生 70 30 100 合计13070200…………… 8分其中22200(60304070)200 2.198 2.7061001001307091K ⨯-⨯==≈<⨯⨯⨯………………10分因此 ,没有90%的把握认为 "学生周日上网时间与性别有关〞.…………………12分 20. 解: (Ⅰ )由椭圆的定义知12122AF AF BF BF a +=+= ,ABC ∴∆周长为4a , 因为2ABF ∆为正三角形 ,所以22AF BF = ,11AF BF = ,12F F 为边AB 上的高线 ,…………………………2分02cos3043ca ∴= ,∴椭圆的离心率33c e a ==.………………… 4分(Ⅱ )设11(,)A x y ,22(,)B x y因为0e <<,1c = ,所以a >…………6分①当直线AB x 与轴垂直时 ,22211y a b += ,422b y a = ,4121221b OA OB x x y y a ⋅=+=-, 42231a a a -+- =22235()24a a --+ , 因为2532+>a ,所以0OA OB ⋅< , AOB ∴∠为钝角.………………………8分②当直线AB 不与x 轴垂直时 ,设直线AB 的方程为:(1)y k x =+ ,代入22221x y a b += ,整理得:2222222222()20b a k x k a x a k a b +++-= , 22122222a k x x b a k -+=+ ,222212222a k a b x x b a k -=+1212OA OB x x y y ⋅=+212121212(1)(1)x x y y x x k x x +=+++ 2221212(1)()x x k k x x k =++++22222242222222()(1)2()a k ab k a k k b a k b a k -+-++=+ 2222222222()k a b a b a b b a k +--=+24222222(31)k a a a b b a k -+--=+………………10分令42()31m a a a =-+- , 由 ①可知 ()0m a < , AOB ∴∠恒为钝角.………………12分21.解: (Ⅰ )当1a =时 ,e ()1x f x x =+- ,(1)e f = ,e ()1x f x '=+ ,e (1)1f '=+ ,函数()f x 在点(1,(1))f 处的切线方程为e (e 1)(1)y x -=+- 即(e 1)1y x =+- ……………… 2分 设切线与x 、y 轴的交点分别为A ,B . 令0x =得1y =- ,令0y =得1e 1x =+ ,∴1(,0)e 1A + ,(0,1)B -11112e 12(e 1)S =⨯⨯=++△OAB .在点(1,(1))f 处的切线与坐标轴围成的图形的面积为12(e 1)+ …………………4分(Ⅱ )由2()f x x ≥得2e 1xx a x +-≥ , 令2e e 11()x xx h x x x x x +-==+- , 222e e (1)(1)(1)1()1x x x x x h x x x x --+-'=--=令e ()1xk x x =+- ,…………………… 6分e ()1x k x '=- ,∵(0,1)x ∈ ,∴e ()10x k x '=-< ,()k x 在(0,1)x ∈为减函数 ∴()(0)0k x k <= ,……………………8分又∵10x -< ,20x > ∴2e (1)(1)()0x x x h x x -+-'=>∴()h x 在(0,1)x ∈为增函数 ,…………………………10分e ()(1)2h x h <=- ,因此只需2e a -≥. …………………………………12分22.证明: (Ⅰ )∵∠BAD =∠BMF ,所以A,Q,M,B 四点共圆 ,……………3分所以PA PB PM PQ ⋅=⋅.………………5分(Ⅱ)∵PA PB PC PD ⋅=⋅ ,∴PC PD PM PQ ⋅=⋅ ,又 CPQ MPD ∠=∠ , 所以~CPQ MPD ∆∆ ,……………7分 ∴PMD PCQ ∠=∠ ,那么DCB FMD ∠=∠,………………8分 ∵BAD BCD ∠=∠ ,∴2BMD BMF DMF BAD ∠=∠+∠=∠,2BOD BAD ∠=∠,所以BMD BOD ∠=∠.…………………10分23.解:(Ⅰ)依题意22sin cos ρθρθ=………………3分 得:x y =2 ∴曲线1C 直角坐标方程为:x y =2.…………………5分(Ⅱ)把⎪⎪⎩⎪⎪⎨⎧=-=t y t x 22222代入x y =2整理得:0422=-+t t ………………7分0>∆总成立 ,221-=+t t ,421-=t t23)4(4)2(221=-⨯--=-=t t AB ………………10分另解:(Ⅱ)直线l 的直角坐标方程为x y -=2 ,把x y -=2代入x y =2得: 0452=+-x x ………………7分0>∆总成立 ,521=+x x ,421=x x23)445(212212=⨯-=-+=x x k AB …………………10分24. 解:(Ⅰ)⎩⎨⎧>-+-≥32222x x x 解得37>x ⎩⎨⎧>-+-<<322221x x x 解得φ∈x ⎩⎨⎧>-+-≤32221x x x 解得13x <…………………3分 不等式的解集为17(,)(,)33-∞+∞………………5分(Ⅱ)时,2>a ⎪⎩⎪⎨⎧≥--<<-+-≤++-=a x a x ax a x x a x x f ,2232,222,223)(;时,2=a 36,2()36,2x x f x x x -+≤⎧=⎨->⎩;时,2<a ⎪⎩⎪⎨⎧≥--<<+-≤++-=2,2232,22,223)(x a x x a a x a x a x x f ;∴)(x f 的最|小值为)()2(a f f 或;………………8分那么⎩⎨⎧≥≥1)2(1)(f a f ,解得1≤a 或3≥a .………………10分。
河北省石家庄市高考数学一模试卷(文科)一、选择题详细信息1.难度:中等已知集合A={x|0<x<1},B={x|x≥},则A∪B=()A.{x|x>0}B.{x|0<x<1}C.{x|x>1}D.{x|x≥}详细信息2.难度:中等复数=()A.iB.-iC.1-iD.1+i详细信息3.难度:中等下列函数中,既是奇函数,又在(0,+∞)上单调递减的函数是()A.y=sinB.y=-|x|C.y=-x3D.y=x2+1详细信息4.难度:中等一元二次方程x2+2x+m=0有实数解的充要条件为()A.m<1B.m≤1C.m≥1D.m>1详细信息5.难度:中等已知向量=(1,3),=(3,-1),且,则点P的坐标为()A.(2,-4)B.(,-)C.(,-)D.(-2,4)详细信息6.难度:中等函数f(x)=Asin(ωx+φ)(A,ω,φ是常数,A>0,ω>0)的部分图象如图所示,则f(0)的值是()A.B.C.D.详细信息7.难度:中等已知等差数列{an }的前n项和为Sn,a1=-9,a2+a3=-12,则使Sn取得最小值时n的值为()A.2B.4C.5D.7详细信息8.难度:中等已知实数x,y满足,则z=|x+4y|的最大值为()A.9B.17C.5D.159.难度:中等已知程序框图如图所示,当输入2与-2时,输出的值均为10,则输入1时输出的值为()A.2B.4C.6D.8详细信息10.难度:中等已知A、B、C是球O的球面上三点,三棱锥O-ABC的高为2且∠ABC=60°,AB=2,BC=4,则球O的表面积为()A.24πB.32πC.48πD.192π详细信息11.难度:中等设F1,F2分别为双曲线的左、右焦点,点P在双曲线的右支上,且|PF2|=|1FF2|,F2到直线PF1的距离等于双曲线的实轴长,则该双曲线的离心率为()A.B.C.D.12.难度:中等若实数X满足log3x=sinθ+cosθ,其中θ∈[-,0],则函数f(x)=|2x-1|+x的值域为()A.[,2]B.[,8]C.[,2]D.[,8]二、解答题详细信息13.难度:中等抛物线的x2=16y焦点坐标为.详细信息14.难度:中等各项均为正数的等比数列{an }的前n项和为Sn,a1=1,a2•a4=16则S4= .详细信息15.难度:中等天气预报说,在今后的三天中每一天下雨的概率均为40%,用随机模拟的方法进行试验,由1、2、3、4表示下雨,由5、6、7、8、9、0表示不下雨,利用计算器中的随机函数产生0〜9之间随机整数的20组如下:907 966 191 925 271 932 812 458 569 683431 257 393 027 556 488 730 113 537 989通过以上随机模拟的数据可知三天中恰有两天下雨的概率近似为.详细信息16.难度:中等已知点P在曲线y=e x(e为自然对数的底数)上,点Q在曲线y=lnx上,则丨PQ丨的最小值是.详细信息17.难度:中等如图,已知△ABC中,AB=,∠C=30°,AD=2DC,∠BDA=60°,求△ABC的面积.详细信息18.难度:中等四棱锥A-BCDE的正视图和俯视图如下,其中正视图是等边三角形,俯视图是直角梯形.(I)若F为AC的中点,当点M在棱AD上移动时,是否总有BF丄CM,请说明理由.(II)求三棱锥的高.详细信息19.难度:中等有一批货物需要用汽车从城市甲运至城市乙,已知从城市甲到城市乙只有两条公路,且通过这两条公路所用的时间互不影响.据调查统计,通过这两条公路从城市甲到城市乙的200辆汽车所用时间的频数分布如表:所用的时间(天10 11 12 13数)通过公路1的频数20 40 20 20通过公路2的频数10 40 40 10(I)为进行某项研究,从所用时间为12天的60辆汽车中随机抽取6辆.(i)若用分层抽样的方法抽取,求从通过公路1和公路2的汽车中各抽取几辆;(ii)若从(i)的条件下抽取的6辆汽车中,再任意抽取两辆汽车,求这两辆汽车至少有一辆通过公路1的概率.(II)假设汽车4只能在约定日期(某月某日)的前11天出发,汽车1只能在约定日期的前12天出发.为了尽最大可能在各自允许的时间内将货物运往城市乙,估计汽车4和汽车1应如何选择各自的路径.详细信息20.难度:中等在平面直角坐标系xOy中,已知定点A(-2,0)、B(2,0),M是动点,且直线MA与直线MB的斜率之积为-,设动点M的轨迹为曲线C.(I)求曲线C的方程;(II)过定点T(-1,0)的动直线l与曲线C交于P,Q两点,若S(-,0),证明:•为定值.详细信息21.难度:中等已知函数f(x)=(e为自然对数的底数).(I )若函数f(x)有极值,求实数a的取值范围;(II)若a=1,m>4(ln2-1),求证:当x>0时,f(x)>.详细信息22.难度:中等选修4-1几何证明选讲已知△ABC中AB=AC,D为△ABC外接圆劣弧,上的点(不与点A、C重合),延长BD至E,延长AD交BC的延长线于F.(I)求证.∠CDF=∠EDF(II)求证:AB•AC•DF=AD•FC•FB.详细信息23.难度:中等选修4-4坐标系与参数方程在平面直角坐标系中,取原点为极点x轴正半轴为极轴建立极坐标系,已知曲线C1的极坐标方程为:ρ=2cosθ,直线C2的参数方程为:(t为参数)(I )求曲线C1的直角坐标方程,曲线C2的普通方程.(II)先将曲线C1上所有的点向左平移1个单位长度,再把图象上所有点的横坐标伸长到原来的倍得到曲线C3,P为曲线C3上一动点,求点P到直线C2的距离的最小值,并求出相应的P点的坐标.详细信息24.难度:中等选修4-5不等式选讲解不等式:.。
2021届河北省石家庄市高三复习教学质量检测一文科数学试卷(带解----9e54a1e5-6ea1-11ec-a36c-7cb59b590d7d2021届河北省石家庄市高三复习教学质量检测一文科数学试卷(带(解析)一、选择题1.已知集合a.b。
c.d。
,则[答:]C[分析]试题分析:由题意知,考点:1、集合间的基本关系;2.复数a.b.【答案】b【解析】试题分析:因为所以,故应选.(是一个虚单位),然后是Cd.2所以,故应选.测试点:1。
复数的基本运算;2.复数的基本概念;3.在下列函数中,a是(0,+∞)b.c。
d.[答:]C[分析]试题分析:对于选项,函数是(0,+∞); 对于选项,函数(0, + ∞) 是一个递增函数;对于选项,函数的数量在(0,+∞)上是增函数;故应选c.是(0,+∞); 对于选项,函数考点:1、函数的单调性;4.已知向量然后的值为a、 -1b。
7c。
13天。
11[答]B[分析]试题分析:因为测试点:1。
平面向量的量积;,所以应选.5.执行如图所示的程序框图,输出值为a.4b.5c.6d.7【答案】a【解析】试题分析:执行第一个循环体时,;当执行第二个循环体时,;当执行第三个循环时,;当执行第四个循环时,;此时,输出为,因此应该选择它考点:1、程序框图与算法;6.已知双曲线a.怪癖是,则的值为b、 3c.8d。
【答案】b【解析】试题分析:从试题的意义来看,,所以,得到解决方案,故应选.测试点:1。
双曲线的概念;2.双曲线的简单几何性质;7.正数然后的最大值为a、 B.c.1d。
[答:[分析]问题分析:因为,所以运用基本不等式可得所以,当且仅当时间等号成立,所以应该选择它考点:1、基本不等式的应用;8.函数部分图像如图所示,然后=a、不列颠哥伦比亚省。
【答案】d【解析】试题分析:从图中可以看出,它是,所以,所以,故应选.测试点:1。
功能9循环与图像及其属性;的位置关系为所以,所以,所以所以,又因a、分离B.相切C.相交D.以上所有情况都是可能的[答案]C[分析]试题分析:由题意知,直线恒过点,而所以点在圆里,所以圆的位置关系为相交的,故应选.测试点:1。
2017届石家庄市高中毕业班第一次模拟考试试卷数学(文科)A 卷 第Ⅰ卷(共60分)一、选择题:本大题共12个小题,每小题5分,共60分.在每小题给出的四个选项中,只有一项是符合题目要求的.1.已知集合{}|05A x x =≤≤,{}*|12B x N x =∈-≤,则A B =( )A .{}|13x x ≤≤B .{}|03x x ≤≤C .{}1,2,3D . {}0,1,2,32.设1sin()3πθ-=,则cos 2θ=( )A .B .79C .D .79-3.若z 是复数,121iz i-=+,则z z ⋅=( )A B C .52D .14.下列说法错误的是( ) A .回归直线过样本点的中心(,)x yB .两个随机变量的线性相关性越强,则相关系数的绝对值就越接近于1C .在回归直线方程0.20.8y x =+中,当解释变量x 每增加1个单位时,预报变量y 平均增加0.2个单位D .对分类变量X 与Y ,随机变量2K 的观测值k 越大,则判断“X 与Y 有关系”的把握程度越小5.若定义在R 上的函数()f x 当且仅当存在有限个非零自变量x ,使得()()f x f x -=,则称()f x 为类偶函数,则下列函数中为类偶函数的是( ) A .()cos f x x =B .()sin f x x =C .2()2f x x x =- D .3()2f x x x =-6.已知三个向量a ,b ,c 共面,且均为单位向量,0a b ⋅=,则||a b c +-的取值范围是( )A.1⎤⎦B.⎡⎣C.1,1⎤⎦D.7.某几何体的三视图如图所示(在如图的网格线中,每个小正方形的边长为1),则该几何体的表面积为( ) A .48B .54C .60D .648.已知函数()f x 的图象关于1x =-对称,且()f x 在(1,)-+∞上单调,若数列{}n a 是公差不为0的等差数列,且5051()()f a f a =,则{}n a 的前100项的和为( ) A .200-B .100-C .50-D .09.已知抛物线22(0)y px p =>过点1(2A ,其准线与x 轴交于点B ,直线AB 与抛物线的另一个交点为M ,若MB AB λ=,则实数λ为( ) A .13B .12C .2D .310.已知x ,y 满足约束条件20,220,220,x y x y x y +-≤⎧⎪--≤⎨⎪-+≥⎩且2b x y =--,当b 取得最大值时,直线20x y b ++=被圆22(1)(2)25x y -+-=截得的弦长为( )A .10B.C.D.11.祖暅是南北朝时代的伟大科学家,5世纪末提出体积计算原理,即祖暅原理:“幂势既同,则积不容异”.意思是:夹在两个平行平面之间的两个几何体,被平行于这两个平面的任何一个平面所截,如果截面面积都相等,那么这两个几何体的体积一定相等.现有以下四个几何体:图①是从圆柱中挖出一个圆锥所得的几何体;图②、图③、图④分别是圆锥、圆台和半球,则满足祖暅原理的两个几何体为( ) A .①②B .①③C .①④D .②④12.已知函数()xe f x kx x=-(e 为自然对数的底数)有且只有一个零点,则实数k 的取值范围是( ) A .(0,2)B .2(0,)4eC .(0,)eD .(0,)+∞第Ⅱ卷(共90分)二、填空题(每题5分,满分20分,将答案填在答题纸上) 13.已知命题p :n N ∀∈,22n n <,则p ⌝为 .14.程序框图如图所示,若输入1S =,1k =,则输出的S 为 .15.已知1F 、2F 分别为双曲线22221x y a b-=(0a >,0b >)的左、右焦点,点P 为双曲线右支上一点,M 为12PF F ∆的内心,满足1212MPF MPF MF F S S S λ∆∆∆=+,若该双曲线的离心率为3,则λ= (注:1MPF S ∆、2MPF S ∆、12MF F S ∆分别为1MPF ∆、2MPF ∆、12MF F ∆的面积).16.已知等比数列{}n b 满足1132n n n a a -++=⋅,*n N ∈.设数列{}n a 的前n 项和为n S ,若不等式2n n S ka >-对一切*n N ∈恒成立,则实数k 的取值范围为 .三、解答题 (本大题共6小题,共70分.解答应写出文字说明、证明过程或演算步骤.) 17.在ABC ∆中,内角A ,B ,C 的对边分别是a ,b ,c ,且sin sin sin C a bA B a c+=--. (Ⅰ)求角B 的大小;(Ⅱ)点D 满足2BD BC =,且线段3AD =,求2a c +的最大值.18.在四棱锥S ABCD -中,底面ABCD 为平行四边形,60DBA ∠=︒,30SAD ∠=︒,AD SD ==,4BA BS ==.(Ⅰ)证明:BD ⊥平面SAD ; (Ⅱ)求点C 到平面SAB 的距离.19.某港口有一个泊位,现统计了某月100艘轮船在该泊位停靠的时间(单位:小时),如果停靠时间不足半小时按半小时计时,超过半小时不足1小时按1小时计时,以此类推,统计结果如表:停靠时间 2.5 3 3.5 4 4.5 5 5.5 6 轮船数量12121720151383(Ⅰ)设该月100艘轮船在该泊位的平均停靠时间为a 小时,求a 的值;(Ⅱ)假定某天只有甲、乙两艘轮船需要在该泊位停靠a 小时,且在一昼夜的时间段中随机到达,求这两艘轮船中至少有一艘在停靠该泊位时必须等待的概率.20.已知椭圆C :2212x y +=的左顶点为A ,右焦点为F ,O 为原点,M ,N 是y 轴上的两个动点,且MF NF ⊥,直线AM 和AN 分别与椭圆C 交于E ,D 两点. (Ⅰ)求MFN ∆的面积的最小值; (Ⅱ)证明:E ,O ,D 三点共线. 21.已知函数21()ln 2f x x x a x =-+,a R ∈. (Ⅰ)若函数()f x 为定义域上的单调函数,求实数a 的取值范围; (Ⅱ)当209a <<时,函数()f x 的两个极值点为1x ,2x ,且12x x <.证明:12()51ln 3123f x x >--. 请考生在22、23两题中任选一题作答,如果多做,则按所做的第一题记分. 22.选修4-4:坐标系与参数方程在平面直角坐标系,将曲线1C 上的每一个点的横坐标保持不变,纵坐标缩短为原来的12,得到曲线2C ,以坐标原点O 为极点,x 轴的正半轴为极轴,建立极坐标系,1C 的极坐标方程为2ρ=.(Ⅰ)求曲线2C 的参数方程;(Ⅱ)过原点O 且关于y 轴对称的两条直线1l 与2l 分别交曲线2C 于A 、C 和B 、D ,且点A 在第一象限,当四边形ABCD 的周长最大时,求直线1l 的普通方程. 23.选修4-5:不等式选讲已知函数()|24|||f x x x a =++-.(Ⅰ)当2a <-时,()f x 的最小值为1,求实数a 的值; (Ⅱ)当()|4|f x x a =++时,求x 的取值范围.2017届石家庄市高中毕业班第一次模拟考试试卷数学(文科)A 卷答案一、选择题1-5:CBCDD 6-10:ACBCB 11、12:CB 二、填空题13.0n N ∃∈,0202nn ≥ 14.57 15.1316.(,2]-∞ 三、解答题 17.解:(Ⅰ)∵sin sin sin C a b A B a c +=--,由正弦定理得c a ba b a c+=--, ∴()()()c a c a b a b -=+-, 即222a c b ac +-=,又∵2222cos a c b ac B +-=, ∴1cos 2B =, ∵(0,)B π∈,∴3B π=.(Ⅱ)在ABC ∆中由余弦定理知:222(2)22cos 603c a a c +-⋅⋅⋅︒=, ∴2(2)932a c ac +-=⋅,∵ 222()2a c ac +≤, ∴223(2)9(2)4a c a c +-≤+,即2(2)36a c +≤,当且仅当2a c =,即32a =,3c =时取等号,所以2a c +的最大值为6.18.(Ⅰ)证明:在ABD ∆中,sin sin AB ADADB DBA=∠∠,由已知60DBA ∠=︒,AD =4BA =,解得sin 1ADB ∠=,所以90ADB ∠=︒,即AD BD ⊥,可求得2BD =. 在SBD ∆中,∵SD =4BS =,2BD =,∴222DB SD BS +=,∴SD BD ⊥,∵BD ⊄平面SAD ,SD AD D =,∴BD ⊥平面SAD .(Ⅱ)由题意可知,//CD 平面SAB ,则C 到面SAB 的距离等于D 到面SAB 的距离, 在SAD ∆中,易求6SA =,1sin1202SAD S ∆=⨯︒=,且162SAB S ∆=⨯=BD ⊥面SAD , 则B SAD D SAB V V --=,即11233h ⨯=⨯,则h =, 即点C 到平面ABF的距离为h =. 19.解:(Ⅰ) 2.512312 3.517420 4.515513 5.58634100a ⨯+⨯+⨯+⨯+⨯+⨯+⨯+⨯==.(Ⅱ)设甲船到达的时间为x ,乙船到达的时间为y ,则024,024,x y <<⎧⎨<<⎩若这两艘轮船在停靠该泊位时至少有一艘船需要等待,则||4y x -<,所以必须等待的概率为22201112436P =-=.答:这两艘轮船中至少有一艘在停靠该泊位时必须等待的概率为1136. 20.解:(Ⅰ)设(0,)M m ,(0,)N n ,∵MF NF ⊥,可得1mn =-,11||||||22AMFN S AF MN MN ==, ∵222||||||2||||MN MF NF MF NF =+≥⋅,当且仅当||||MF NF =时等号成立. ∴min ||2MN =, ∴min 1()||12MFN S MN ==, ∴四边形AMFN 的面积的最小值为1.(Ⅱ)∵(A ,(0,)M m ,∴直线AM的方程为y x m =+,由22,22,y x m x y ⎧=+⎪⎨⎪+=⎩得2222(1)2(1)0m x x m +++-=,由222(1)1E m x m -=+,得E x =,①同理可得221)1D n x n -=+,∵1m n ⋅=-,∵221()11()1D m x m⎤-⎥⎣⎦=+=② 故由①②可知:E D x x =-,代入椭圆方程可得22E D y y =∵MF NF ⊥,故M ,N 分别在x 轴两侧,E D y y =-, ∴E DE Dy y x x =,∴E ,O ,D 三点共线. 21.解:(Ⅰ)函数()f x 的定义域为(0,)+∞.由题意'()1a f x x x=-+2x x a x -+=,0x >,14a ∆=-.①若140a ∆=-≤,即14a ≥,则20x x a -+≥恒成立,则()f x 在(0,)+∞上为单调减函数;②若140a ∆=->,即14a <,方程20x x a -+=的两个根为1x =,2x =,当21(,)2x x ∈时,'()0f x <,所以函数()f x 单调递减,当2(,)x x ∈+∞时,'()0f x >,所以函数()f x 单调递增,不符合题意.综上,若函数()f x 为定义域上的单调函数,则实数a 的取值范围为14a ≥. (Ⅱ)因为函数()f x 有两个极值点,所以'()0f x =在0x >上有两个不等的实根,即20x x a -+=有两个不等的实根1x ,2x ,可得14a <,且12121,x x x x a +=⎧⎨⋅=⎩,因为2(0,)9a ∈,则1120(1)9x x <-<,可得11(0,)3x ∈.2211111121122211ln ln ()22x x a x x x x x x f x x x x -+-+==21111112ln 1x x x x x -=+-, 11(0,)3x ∈.令212()ln 1x x g x x x x -=+-,212()1x xh x x-=-,()ln m x x x =, ∵211'()02(1)2h x x =--<-,又'()1ln m x x =+,1(0,)x e∈时,'()0m x <,而113e <,故'()0m x <在1(0,)3x ∈上恒成立, 所以'()()()0g x h x m x =+<在1(0,)3x ∈上恒成立,即212()ln 1x xg x x x x-=+-在1(0,)3x ∈上单调递减,所以151()()ln 33123g x g >=--,得证.22.解:(Ⅰ)2214x y +=,2cos sin x y θθ=⎧⎨=⎩(θ为参数). (Ⅱ)设四边形ABCD 的周长为l ,设点(2cos ,sin )A q q ,8cos 4sin l θθ=+))θθθϕ==+,且cos ϕ=,sin ϕ=, 所以,当22k πθϕπ+=+(k Z ∈)时,l 取最大值,此时22k πθπϕ=+-,所以,2cos 2sin θϕ==sin cos θϕ==此时,A ,1l 的普通方程为14y x =.23.解:(Ⅰ)当2a <-时,函数34,,()|24|||4,2,34, 2.x a x a f x x x a x a a x x a x -+-<⎧⎪=++-=---≤≤-⎨⎪-+>-⎩可知,当2x =-时,()f x 的最小值为(2)21f a -=--=,解得3a =-. (Ⅱ)因为()|24||||(24)()||4|f x x x a x x a x a =++-≥+--=++, 当且仅当(24)()0x x a +-≤时,()|4|f x x a =++成立, 所以,当2a <-时,x 的取值范围是{}|2x a x ≤≤-; 当2a =-时,x 的取值范围是{}2-;当2a >-时,x 的取值范围是{}|2x x a -≤≤.。