分式的乘除法 同步练习1(含答案)
- 格式:doc
- 大小:29.50 KB
- 文档页数:2
15.2.1分式的乘除一、单选题1.计算÷•的结果是()A.4xyB.x C.D.2y【答案】A【分析】原式从左到右依次计算即可求出值.【详解】原式==4xy.故选:A.【点评】本题考查了分式的乘除法,熟练掌握运算法则是解本题的关键.2.下列计算正确的是()A.B.C. D.【答案】C【分析】A、B两项利用同底数幂的乘除法即可求解,C项利用合并同类项法则计算即可,D项利用分式的乘方即可得到结果,即可作出判断.【详解】A、原式=a3,不符合题意;B、原式=a4,不符合题意;C、原式=-a2b,符合题意;D、原式=,不符合题意,故选:C.【点评】此题考查了分式的乘方,合并同类项,以及同底数幂的乘除法,熟练掌握运算法则是解本题的关键.3.计算:2x y x yx y xy-⋅-=()A.x B.C.y D.【答案】A【分析】根据分式乘法计算法则解答.【详解】2x y x yx y xy-⋅-=x,故选:A.【点评】此题考查分式的乘法计算法则,熟记计算法则是解题的关键.4.2222x y x yx y x y-+÷+-的结果是()A.222()x yx y++B.222()x yx y+-C.222()x yx y-+D.【答案】C【分析】根据分式的除法法则计算即可.【详解】2222 x y x y x y x y -+÷+-【点评】此题考查分式的除法法则:先把除式的分子分母颠倒位置,再化为最简分式即可.5.22()-nba(为正整数)的值是()A.222+nnbaB.42nnbaC.212+-nnbaD.42-nnba【答案】B【分析】根据分式的乘方计算法则解答.【详解】2422 ()-=nnnb ba a.故选:B.【点评】此题考查分式的乘方计算法则:等于分子、分母分别乘方,熟记法则是解题的关键.6.计算的结果是()A.B.C.D.【答案】C【分析】先把除法变成乘法,然后约分即可.【详解】,故选:C.【点评】本题考查了分式的乘除混合运算,解题的关键是熟练掌握乘除混合运算法则.7.在等式22211a a aa a M+++=+中,M为()A.B.C.a-D.【答案】A【分析】将等式左边的分式的分子、分母分别因式分解后约去相同的因式,利用等式的性质即可求解.【详解】,即,∴,故选:A.【点评】本题考查了等式的性质,分式的乘除,解题的关键是对分式的分子与分母分别因式分解,然后约去公因式,分式的约分是分式运算的基础.8.下列计算结果正确的有()①;②;③;④;⑤.A.1个B.2个C.3个D.4个【答案】D【分析】根据分式的乘法法则计算可判断①②,根据分式的除法法则计算可判断③,根据分式的乘除混合运算法则计算可判断④⑤,进而可得答案.【详解】,故①计算正确;,故②计算正确;,故③计算正确;,故④计算错误;,故⑤计算正确.故选:D .【点评】本题考查了分式的乘除运算,属于常考题型,熟练掌握分式的乘除运算法则是解题的关键.二、填空题目9.计算(﹣)3÷(﹣)2的结果是__. 【答案】﹣42a b 【分析】原式先计算乘方运算,再计算除法运算即可得到结果. 【详解】原式===.故答案为:﹣42a b . 【点评】本题考查含乘方的分式乘除混合运算,熟练掌握含乘方的分式乘除混合运算的法则和顺序是解题关键. 10.当,时,代数式22222-⋅++x y xx x xy y的值为________. 【答案】-5【分析】根据平方差公式、完全平方公式和分式运算的性质,先化简代数式;再将,代入到代数式计算,即可得到答案.【详解】22222-⋅++x y xx x xy y∵,∴22222-⋅++x y xx x xy y故答案为:-5.【点评】本题考查了乘法公式、分式运算、代数式的知识;解题的关键是熟练掌握分式运算、乘法公式的性质,从而完成求解.11.定义新运算:,则化简的结果是______.【答案】【分析】根据定义的新运算,可得,根据多项式乘法法则计算化简,即可使问题得解.【详解】,故答案为:.【点评】本题考查的是定义新运算的题目,正确理解定义新运算的意义是解题的关键,在解答此问题时严格按照新定义的运算规则,把已知数代入,按照基本运算过程、规律进行运算.12.如果,那么代数式的值是_____________.【答案】【分析】对所求代数式进行化简,分母是平方差公式展开后,分子分母可以约掉,再根据,可以得到,将其代入化简后的代数式,通分计算即可得出答案.【详解】,.故答案为.【点评】熟练掌握因式分解、分式约分等基础计算.三、解答题13.计算下列各式(1)222536c a ba b c⋅;(2)241(2)22xxx x-÷-⋅+-.【答案】(1),(2);【分析】(1)按照分式的乘法法则进行计算即可;(2)按照分式乘除混合运算顺序和法则进行计算即可.【详解】(1)22253562c a b ca b c⋅=;(2)241(2)22xxx x-÷-⋅+-,=(2)(2)11222x xx x x+-⨯⋅+--,=.【点评】本题考查了分式的运算,解题关键是熟练运用分式运算法则,正确进行计算.14.阅读下面的解题过程,然后回答问题:计算解: =…………①=………………………②=1 …………………………………………………③解题过程中,第步出现错误,写出正确的解答【答案】②,-1【分析】根据运算过程中应用的法则,逐步判断即可确定哪步是错的,再按照分式化简的法则写出正确答案即可.【详解】(1)由第①步到第②步时,变成没有变号,故答案为:②解:, = , =-,=-1.【点评】本题考查了分式的化简运算,解题关键是熟悉每步运算法则,准确进行计算. 15.先化简:,然后在的非负整数集中选取一个合适的数作为的值代入求值.【答案】2-a ,当a =0时,原式=2,当a =2时,原式=0.【分析】原式的括号内根据平方差和完全平方公式化简约分,括号外根据分式的除法法则即可化简原式,最后a 的负整数解是0,1,2,注意分式的分母不能为零,所以a 不能取1. 【详解】原式===1-a +1=2-a∵不等式的非负整数解是0,1,2,分式分母不能为零,a 不取1∴当a =0时,原式=2,当a =2时,原式=0【点评】本题考查了分式的混合运算,平方差和完全平方公式,除法法则等知识,要注意分式的分母不能为零.16.先化简,再求值:,其中x =﹣2,y =5.【答案】122x y -, .【分析】根据完全平方公式和单项式乘以多项式法则展开后合并同类项,再根据多项式除以单项式法则进行计算即可. 【详解】,=222[445]2x xy y xy y x ++--÷, =2][42x xy x -÷, =122x y -, 当x =﹣2,y =5时, 原式=()11322522⨯--⨯=-。
分式的乘除乘方专题练习例1、下列分式abc 1215,a b b a --2)(3,)(222b a b a ++,b a b a +-22中最简分式的个数是( ). A.1 B.2 C.3 D.4例23234)1(x y y x • aa a a 2122)2(2+⋅-+ x y xy 2263)3(÷ 41441)4(222--÷+--a a a a a1.约分把一个分式的分子与分母的公因式约去,叫做约分.约分的依据是分式的基本性质. 若分式的分子、分母是多项式,必须先把分子、分母分解因式,然后才能约去公因式. 分子与分母没有公因式的分式,叫做最简分式,又叫做既约分式.分式的运算结果一定要化为最简分式.2.分式的乘法3.分式的除法 例3、 若432z y x ==,求222z y x zx yz xy ++++的值.例4、计算(1)3322)(cb a - (2)43222)()()(x y x y y x -÷-⋅-(3)2332)3()2(c b a bc a -÷- (4)232222)()()(x y xy xy x y y x -⋅+÷-分式的乘方求n 个相同分式的积的运算就是分式的乘方,用式子表示就是(ba )n .分式的乘方,是把分子、分母各自乘方.)56(3)1(122ab cd c b a -÷-、计算: (2)432643xy y x ÷-(3)(xy -x 2)÷x y xy -(4)2223ba a ab -+÷b a b a -+3 (5)3224)3()12(y x y x -÷-(6)322223322322)2()2()34(cb ab ac b a b a ab c +-÷-⋅2、如果32=b a ,且a ≠2,求51-++-b a b a 的值、 计算(1))22(2222a b ab b a a b ab ab a -÷-÷+-- (2)(2334b a )2·(223a b -)3·(a b 3-)2(3)(22932x x x --+)3·(-xx --13)22、先化简,再求值:(b a ab 22+)3÷2223)b a ab (-·[)(21b a -]2,其中a=-21,b=323、(1)先化简后求值:2(5)(1)5a a a a-+-÷(a 2+a ),其中a=-13.(2)先化简,再求值:21x x x -+÷1x x +,其中x=1.4.已知m+1m=2,计算4221m m m ++的值.7.(宁夏)计算:(9a 2b -6ab 2)÷(3ab )=_______.8.(北京)已知x -3y=0,求2222x y x x y +-+·(x -y )的值. 9.(杭州)给定下面一列分式:3x y ,-52x y ,73x y ,-94x y,…(其中x ≠0). (1)把任意一个分式除以前面一个分式,你发现了什么规律?(2)根据你发现的规律,试写出给定的那列分式中的第7个分式..11.(结论开放题)请你先化简,再选取一个使原式有意义而你又喜爱的数代入求值:322m m m m --÷211m m -+.12.(阅读理解题)请阅读下列解题过程并回答问题:计算:22644x x x--+÷(x+3)·263x x x +-+. 解:22644x x x --+÷(x+3)·263x x x +-+ =22644x x x--+·(x 2+x -6)① =22(3)(2)x x --·(x+3)(x -2)② =22182x x -- ③ 上述解题过程是否正确?如果解题过程有误,请给出正确解答.13.已知a 2+10a+25=-│b -3│,求代数式42()b a b -·32232a ab a b b +-÷222b a ab b -+的值.(一)、填空题1.把一个分式的分子与分母的 约去,叫做分式的约分.2.在分式xyxy y x 222+中,分子与分母的公因式是 . 3.将下列分式约分: (1)258x x = (2)22357mn n m -= (3)22)()(a b b a --= 4.计算2223362c ab b c b a ÷= . 5.计算42222ab a a ab ab a b a --÷+-= . 6.计算(-y x )2·(-32yx )3÷(-y x )4= . (二)、解答题7.计算下列各题316412446222+⋅-+-÷+--x x x x x x x y x y xy x -+-24422 ÷(4x 2-y 2)(3) 4344516652222+-÷-++⋅-+-a a a a a a a a (4)22222xa bx x ax a ax -÷+-8、某厂每天能生产甲种零件a 个或乙种零件b 个,且a ∶b=2∶3.甲、乙两种零件各一个配成一套产品,30天内能生产的产品的最多套数为多少?1、已知x 2+4y 2-4x+4y+5=0,求22442y xy x y x -+-·22y xy y x --÷(y y x 22+)2的值.2、已知a b c =1,求a a ba b b cb c a c c ++++++++111的值。
分式的乘除测试题满分100分 时间45分钟一、填空题。
3x10=30分1.计算:23b 3ab _________2a -÷=。
2.若代数式x 1x 2x 1x 2+-÷-+有意义,则x _______________。
3.计算:2n 13b ()_____________2a +⎡⎤=⎢⎥⎣⎦。
4.22m 3m 2__________m 2m 3-+=+-。
5.当a 3=时,22a 2a 1___________a a 2-+=--+。
6.计算:22x 2x 4__________x 3x 6x 9--÷=--+。
7、当13+=x 时,代数式()()13113-++•++x x x x x 的值等于 8、÷-)(2a a 1-a a = 。
9、若4y -3x=0 ,则(x+y):y=10、342y y ___________x x ⎛⎫-⎛⎫-÷= ⎪ ⎪⎝⎭⎝⎭二、选择题4x4=16分11、下列约分正确的是( )A 、326x x x =;B 、0=++y x y x ;C 、x xy x y x 12=++;D 、214222=y x xy 12、计算:)2()2()2(232x y x y yx -÷⋅-的结果是( ) A 、638yx - B 、638y x C 、5216y x - D 、5216y x 13、下列式子(1)y x y x y x -=--122;(2)c a b a a c a b --=--;(3)1-=--b a ab ;(4)yx y x y x y x +-=--+-中正确的是( ) A 、1个 B 、2 个 C 、 3 个 D 、 4 个14、下列分式中,最简分式是( )A 、)1(21+-x xB 、2242y x y x --C 、24212+++x x x D 、223x x x + 15、计算:6x5=30分(1)yx x x y xy x 22+⋅+ (2) 222)11(11-+⋅-÷--a a a a a a a(3)262--x x ÷ 4432+--x x x (4)⎪⎪⎭⎫ ⎝⎛-⋅⎪⎪⎭⎫ ⎝⎛-÷-223224)2(y x x y xy(5)232x 4(64a b)().24a x --⋅ (6)23224x 4xy+y (4x y ).2x-y --÷16、7分化简求值: 3222232b a ab 2a b b a ,a b b ab b +--⋅÷-+其中2a=,b 3.3=-17、7分计算:222x 2x 1x x 2x 1.2x 8x 8x+1+++-÷+⋅++()18、7分 若532z y x ==,且3x+2y -z=14,求x, y , z.19、观察下面一列有规律的数:3分31,82,153,244,355,486,…… 根据规律可知第n 个数应是 (n 为正整数)【答案】1、33; 2、(a-1)2;3、37; 4、A ;5、C ;6、D ;7、B ;8、(1)21y ,(2)aa -+11,(3)2(x-2),(4)25y x -; 9、)2(+n n n 10、解:令532z y x ===a 则有x=2a , y=3a , z=5a3x+2y -z=14即6a+6a-5a=14∴a=2∴x=4,y=6,z=10.一、1.(1)22a b - (2)2xy -2.解:要使x 1x 2x-1x 2+-÷+有意义,必须x 1≠,且x 2,x -2≠≠。
分式乘除法计算练习题及答案x?2x2?6x?93xy28z2问题1 计算:.; 2x?3x?44zy名师指导这道例题就是直接应用分式的乘法法则进行运算.值得注意的是运算结果应约分到不好约分为止,同时还应注意在计算时跟整式运算一样,先确定符号,再进行相关计算,求出结果.这道例题中分式的分子、分母是多项式,应先把分子、分母中的多项式分解因式,再进行约分.解题示范3xy28z224xy2z2解:6xy;z2y4yz2x?2x2?6x?9x?222x?3. 2x?3x?4x?3x?2归纳提炼类比分数的乘法运算不难理解,分式的乘法运算就是根据分式乘法法则,将各式分子、分母分别相乘后再进行约分运算,值得注意的地方有三点:一是要确定好运算结果的符号;二是计算结果中分子和分母能约分则要约分;三是有时计算结果的分母不一定是单一的多项式,而是多个多项式相乘,这时也不必把它们展开. a2b?2axa?2a2?4??问题计算:;. a?3a2?6a?93cd6cd名师指导分式除法运算,根据分式除法法则,将分式除法变为分式乘法运算,注意点同分式乘法.解题示范a2b?2axa2b6cd6a2bcdab;解:3cd6cd3cd2ax6acdxxa?2a2?4a?222a?3. ?2a?3a?6a?9a?3a?2a3b?a2b2a2?ab?2问题已知:a?2b?2?2的值.2a?2ab?ba?b名师指导完成这类求值题时,如果把已知条件直接代入,计算将会较为繁杂,容易导致错误产生.解决这种问题,一般应先将代数式进行化简运算,然后再把已知条件代入化简后的式子中进行计算,这样的处理方式可以使运算量少很多.解题示范解:化简代数式得,a3b?a2b2a2?ab?222a?2ab?ba?ba2b ?2aa2b2 ?2aab.把a?2b?2ab,所以原式?·2xy. x?y2y22.计算:?3xy?.x33.计算:?9ab____. b3x2yxy?..计算:a3am2?4m?3?25.若m等于它的倒数,则分式的值为m?2m?3mA.-1B.3C.-1或D.?6.计算?21 x?y的结果是 xA.2B.x2?yC.x2D.x7.计算32的结果是A.3a2-1 B.3a2-C.3a2+6a+ D.a2+2a+1 8.已知x等于它的倒数,则x2?x?6x?3x?3x2?5x?6的值是A.- B.-C.-1 D.09.计算a2?1a2?aa2?2a?1÷a?1.10.观察下列各式:x?1x2?x?1x3?x2?x?1x4?x3?x2?x?1你能得到一般情况下?的结果吗?根据这一结果计算:1?2?22?23??22006?22007.) xn?1?n?2?x?1,22008ax??17.B.A分数乘除法计算题专项练习1一、直接写出得数57?34=79?97=5?43=7?152=?354=1= 191591120?38= 10?32==7×1= 1+17= 1953×0=?778=3?9= 134?5 =4÷34=10÷10%= 12÷23=1.8×15926=?10?5= 1715×60=二、看谁算得又对又快58?167?141135248?6?351926?3855?511 12?35?32533545×4÷×48?3+8?458÷71521÷ 10 ÷×姓名:6÷310-310÷ 13353×4÷[523713133-]÷314÷ 16718×14+34×7114×57÷14×5 736× ×9+2312×3.2+5.6×0.5+1.2×50%211?3?2?5955711[2-]×12三、解方程78x=218239x?4=15x+215x=23 56x=308x-113=6x+5×4.4=40÷x =5122x+215x=20四、求下面各比的比值1052:8467:46.7106345:0.610:140 19:12五、化简下面各比65:1 123: 1.1:114.9:0.152:15:0.12六、列式计算1.4个131的和除以8,商是多少?.112减去2乘23的积,差是多少?3.一个数的比它的34多,求这个数。
分式的乘除练习题及答案问题1计算:(1)22238()4xy zz y-g;(2)2226934x x xx x+-+--g.名师指导(1)这道例题就是直接应用分式的乘法法则进行运算.值得注意的是运算结果应约分到不好约分为止,同时还应注意在计算时跟整式运算一样,先确定符号,再进行相关计算,求出结果.(2)这道例题中分式的分子、分母是多项式,应先把分子、分母中的多项式分解因式,再进行约分.解题示范解:(1)2222223824()644xy z xy zxyz y yz-=-=-g;(2)22222692(3)(2)(3)3 343(2)(2)(3)(2)(2)2x x x x x x x xx x x x x x x x x+-++-+--===---+--+--g g.归纳提炼类比分数的乘法运算不难理解,分式的乘法运算就是根据分式乘法法则,将各式分子、分母分别相乘后再进行约分运算,值得注意的地方有三点:一是要确定好运算结果的符号;二是计算结果中分子和分母能约分则要约分;三是有时计算结果的分母不一定是单一的多项式,而是多个多项式相乘,这时也不必把它们展开.问题2计算:(1)2236a b axcd cd-÷;(2)2224369a aa a a--÷+++.名师指导分式除法运算,根据分式除法法则,将分式除法变为分式乘法运算,注意点同分式乘法.解题示范解:(1)22226636326a b ax a b cd a bcd ab cd cd cd ax acdx x -÷=-=-=-g;(2)2222242(3)(2)(3)33693(2)(2)(3)(2)(2)2a a a a a a a a a a a a a a a a a ---+-++÷===+++++-++-+g .问题3 已知:2a =,2b =322222222a b a b a ab a ab b a b+-÷++-的值. 名师指导完成这类求值题时,如果把已知条件直接代入,计算将会较为繁杂,容易导致错误产生.解决这种问题,一般应先将代数式进行化简运算,然后再把已知条件代入化简后的式子中进行计算,这样的处理方式可以使运算量少很多.解题示范解:化简代数式得,322222222a b a b a ab a ab b a b +-÷++- 22()()()()()a b a b a b a b a b a a b ++-=+-g 222()()()()a b a b a b a a b a b +-=+- ab =.把2a =2b =ab ,所以原式22(222=+=-=.归纳提炼许多化简求值题,有的在题目中会明确要求先化简,再求值,这时必须按要求的步骤进行解题.但有的在题目中未必会给出明确的要求或指示,与整式中的求代数式值的问题一样,分式中的求值题一般也是先化简,然后再代入已知条件,这样可以简化运算过程.【自主检测】1.计算:2()xy x -·xy x y-=___ _____. 2.计算:23233y xy x -÷____ ____.3.计算:3()9a ab b-÷=____ ____. 4.计算:233x y xy a a÷=____ ____. 5.若m 等于它的倒数,则分式mm m m m 332422--÷--的值为 ( ) A .-1 B .3 C .-1或3 D .41-6.计算2()x yx xy x ++÷的结果是( ) A .2()x y + B .y x +2 C .2x D .x7.计算2(1)(2)3(1)(1)(2)a a a a a -++++g 的结果是( ) A .3a 2-1 B .3a 2-3 C .3a 2+6a +3 D .a 2+2a +18.已知x 等于它的倒数,则263x x x ---÷2356x x x --+的值是( ) A .-3 B .-2 C .-1 D .09.计算22121a a a -++÷21a aa -+.10.观察下列各式:2324325432(1)(1)1(1)(1)1(1)(1)1(1)(1)1x x x x x x x x x x x x x x x x x x -÷-=+-÷-=++-÷-=+++-÷-=++++L L(1)你能得到一般情况下(1)(1)n x x -÷-的结果吗?(2)根据这一结果计算:2320062007122222++++++L .【自主评价】一、自主检测提示8.因为x 等于它的倒数,所以1x =±,2263356x x x x x x ---÷--+(3)(2)(2)(3)33x x x x x x -+--=--g (2)(2)x x =+-224(1)43x =-=±-=-.10.根据所给一组式子可以归纳出:122(1)(1)1n n n x x x x x x ---÷-=+++++L .所以232006200720082008122222(21)(21)21++++++=--=-L .二、自我反思1.错因分析2.矫正错误3.检测体会4.拓展延伸参考答案1.2x y - 2. 292x y- 3. 213b - 4.9x 5.C 6.C 7.B8.A 9.1a 10.(1)121n n x x x --++++L ,(2)200821-。
分式的乘除练习题及答案问题1计算:(1)22238()4xy zz y-;(2)2226934x x xx x+-+--.名师指导(1)这道例题就是直接应用分式的乘法法则进行运算.值得注意的是运算结果应约分到不好约分为止,同时还应注意在计算时跟整式运算一样,先确定符号,再进行相关计算,求出结果.(2)这道例题中分式的分子、分母是多项式,应先把分子、分母中的多项式分解因式,再进行约分.解题示范解:(1)2222223824()644xy z xy zxyz y yz-=-=-;(2)22222692(3)(2)(3)3 343(2)(2)(3)(2)(2)2x x x x x x x xx x x x x x x x x+-++-+--===---+--+--.归纳提炼类比分数的乘法运算不难理解,分式的乘法运算就是根据分式乘法法则,将各式分子、分母分别相乘后再进行约分运算,值得注意的地方有三点:一是要确定好运算结果的符号;二是计算结果中分子和分母能约分则要约分;三是有时计算结果的分母不一定是单一的多项式,而是多个多项式相乘,这时也不必把它们展开.问题2计算:(1)2236a b axcd cd-÷;(2)2224369a aa a a--÷+++.名师指导分式除法运算,根据分式除法法则,将分式除法变为分式乘法运算,注意点同分式乘法.解题示范解:(1)22226636326a b ax a b cd a bcd ab cd cd cd ax acdx x -÷=-=-=-;(2)2222242(3)(2)(3)33693(2)(2)(3)(2)(2)2a a a a a a a a a a a a a a a a a ---+-++÷===+++++-++-+.问题3 已知:2a =,2b =322222222a b a b a ab a ab b a b+-÷++-的值. 名师指导完成这类求值题时,如果把已知条件直接代入,计算将会较为繁杂,容易导致错误产生.解决这种问题,一般应先将代数式进行化简运算,然后再把已知条件代入化简后的式子中进行计算,这样的处理方式可以使运算量少很多.解题示范解:化简代数式得,322222222a b a b a ab a ab b a b +-÷++- 22()()()()()a b a b a b a b a b a a b ++-=+- 222()()()()a b a b a b a a b a b +-=+- ab =.把2a =2b =ab ,所以原式22(222=+=-=.归纳提炼许多化简求值题,有的在题目中会明确要求先化简,再求值,这时必须按要求的步骤进行解题.但有的在题目中未必会给出明确的要求或指示,与整式中的求代数式值的问题一样,分式中的求值题一般也是先化简,然后再代入已知条件,这样可以简化运算过程.【自主检测】1.计算:2()xy x -·xy x y-=___ _____. 2.计算:23233y xy x -÷____ ____.3.计算:3()9a ab b-÷=____ ____. 4.计算:233x y xy a a÷=____ ____. 5.若m 等于它的倒数,则分式mm m m m 332422--÷--的值为 ( ) A .-1 B .3 C .-1或3 D .41-6.计算2()x yx xy x ++÷的结果是( ) A .2()x y + B .y x +2 C .2x D .x7.计算2(1)(2)3(1)(1)(2)a a a a a -++++的结果是( ) A .3a 2-1 B .3a 2-3 C .3a 2+6a +3 D .a 2+2a +18.已知x 等于它的倒数,则263x x x ---÷2356x x x --+的值是( ) A .-3 B .-2 C .-1 D .09.计算22121a a a -++÷21a aa -+.10.观察下列各式:2324325432(1)(1)1(1)(1)1(1)(1)1(1)(1)1x x x x x x x x x x x x x x x x x x -÷-=+-÷-=++-÷-=+++-÷-=++++(1)你能得到一般情况下(1)(1)n x x -÷-的结果吗?(2)根据这一结果计算:2320062007122222++++++.【自主评价】一、自主检测提示8.因为x 等于它的倒数,所以1x =±,2263356x x x x x x ---÷--+(3)(2)(2)(3)33x x x x x x -+--=--(2)(2)x x =+-224(1)43x =-=±-=-.10.根据所给一组式子可以归纳出:122(1)(1)1n n n x x x x x x ---÷-=+++++.所以232006200720082008122222(21)(21)21++++++=--=-.二、自我反思1.错因分析2.矫正错误3.检测体会4.拓展延伸参考答案1.2x y - 2. 292x y- 3. 213b - 4.9x 5.C 6.C 7.B8.A 9.1a 10.(1)121n n x x x --++++,(2)200821-。
分式的乘除练习题及答案问题1计算:(1)22238()4xy zz y-;(2)2226934x x xx x+-+--.名师指导(1)这道例题就是直接应用分式的乘法法则进行运算.值得注意的是运算结果应约分到不好约分为止,同时还应注意在计算时跟整式运算一样,先确定符号,再进行相关计算,求出结果。
(2)这道例题中分式的分子、分母是多项式,应先把分子、分母中的多项式分解因式,再进行约分。
解题示范解:(1)2222223824()644xy z xy zxyz y yz-=-=-;(2)22222692(3)(2)(3)3 343(2)(2)(3)(2)(2)2x x x x x x x xx x x x x x x x x+-++-+--===---+--+--.归纳提炼类比分数的乘法运算不难理解,分式的乘法运算就是根据分式乘法法则,将各式分子、分母分别相乘后再进行约分运算,值得注意的地方有三点:一是要确定好运算结果的符号;二是计算结果中分子和分母能约分则要约分;三是有时计算结果的分母不一定是单一的多项式,而是多个多项式相乘,这时也不必把它们展开。
问题2计算:(1)2236a b axcd cd-÷;(2)2224369a aa a a--÷+++.名师指导分式除法运算,根据分式除法法则,将分式除法变为分式乘法运算,注意点同分式乘法.解题示范解:(1)22226636326a b ax a b cd a bcd ab cd cd cd ax acdx x -÷=-=-=-;(2)2222242(3)(2)(3)33693(2)(2)(3)(2)(2)2a a a a a a a a a a a a a a a a a ---+-++÷===+++++-++-+.问题3 已知:2a =,2b =322222222a b a b a ab a ab b a b+-÷++-的值. 名师指导完成这类求值题时,如果把已知条件直接代入,计算将会较为繁杂,容易导致错误产生.解决这种问题,一般应先将代数式进行化简运算,然后再把已知条件代入化简后的式子中进行计算,这样的处理方式可以使运算量少很多.解题示范解:化简代数式得,322222222a b a b a ab a ab b a b +-÷++- 22()()()()()a b a b a b a b a b a a b ++-=+- 222()()()()a b a b a b a a b a b +-=+- ab =.把2a =2b =ab ,所以原式22(222=+=-=.归纳提炼许多化简求值题,有的在题目中会明确要求先化简,再求值,这时必须按要求的步骤进行解题.但有的在题目中未必会给出明确的要求或指示,与整式中的求代数式值的问题一样,分式中的求值题一般也是先化简,然后再代入已知条件,这样可以简化运算过程.【自主检测】1.计算:2()xy x -·xy x y-=___ _____. 2.计算:23233y xy x -÷____ ____.3.计算:3()9a ab b-÷=____ ____. 4.计算:233x y xy a a÷=____ ____. 5.若m 等于它的倒数,则分式mm m m m 332422--÷--的值为 ( ) A .-1 B .3 C .-1或3 D .41-6.计算2()x yx xy x ++÷的结果是( ) A .2()x y + B .y x +2 C .2x D .x7.计算2(1)(2)3(1)(1)(2)a a a a a -++++的结果是( ) A .3a 2-1 B .3a 2-3 C .3a 2+6a +3 D .a 2+2a +18.已知x 等于它的倒数,则263x x x ---÷2356x x x --+的值是( ) A .-3 B .-2 C .-1 D .09.计算22121a a a -++÷21a aa -+.10.观察下列各式:2324325432(1)(1)1(1)(1)1(1)(1)1(1)(1)1x x x x x x x x x x x x x x x x x x -÷-=+-÷-=++-÷-=+++-÷-=++++(1)你能得到一般情况下(1)(1)n x x -÷-的结果吗?(2)根据这一结果计算:2320062007122222++++++.【自主评价】一、自主检测提示8.因为x 等于它的倒数,所以1x =±,2263356x x x x x x ---÷--+(3)(2)(2)(3)33x x x x x x -+--=--(2)(2)x x =+-224(1)43x =-=±-=-.10.根据所给一组式子可以归纳出:122(1)(1)1n n n x x x x x x ---÷-=+++++.所以232006200720082008122222(21)(21)21++++++=--=-.二、自我反思1.错因分析2.矫正错误3.检测体会4.拓展延伸参考答案1.2x y - 2. 292x y- 3. 213b - 4.9x 5.C 6.C 7.B8.A 9.1a 10.(1)121n n x x x --++++,(2)200821-。
分式的乘除一、课前预习 (5分钟训练)1.下列分式运算,结果正确的是( ) A.n m mn n m =∙3454 B.bc ad d c b a =∙ C. 632x x x = D.33343)43(y x y x = 2.计算)21(22x x x -÷-的结果是( ) A.x B.x1- C.x 1 D.x x 2-- 3.22442bca ab -∙=_________________. 4.若m 等于它的倒数,则分式22444222-+÷-++m m m m m m 的值为_______________. 二、课中强化(10分钟训练)1.下列计算正确的是( )A.a÷b·b 1=a B.a·b÷a·b=1 C.m 1÷m·m÷m 1=1 D.m 3÷m1÷m 3=1 2.化简y x y x +-÷(y -x)·yx -1的结果是( ) A.221y x - B.y x x y +- C.221xy - D.y x y x +- 3.计算24462x x x +--÷(x+3)·x x x --+362的结果为( ) A.22--x B.x -21 C.2)2(2-x D.24--x 4.已知a -b≠0,且2a -3b=0,则代数式ba b a --2的值是( ) A.-12 B.0 C.4 D.4或-125.计算:41441222--÷+--a a a a a .三、课后巩固(30分钟训练)1.在分式x a 3,y x xy 226+,222)(y x y x +-,2)(y x x y --,22)(y x y x -+中,不能进行约分的有( ) A.1个 B.2个 C.3个 D.4个2.下列各式正确的是( ) A.y x y x y x y x +-=+-2222 B.222)11(1212-+-=--++x x x x x x C.b b a b a 2+= D.2222)(b a c b a c +=+ 3.已知2a -b≠0,且5a -6b=0,那么代数式ba b a -+262的值是( ) A.-12 B.0 C.6 D.8或-124.判断正误: (1)y x x y x x y y x y x y y x x +=÷+=+∙+÷+2122.( ) (2)33632)(zy x z y x +=+.( ) (3)246223)(z y x z y x =.( ) (4)n nn ab a b 2422)(-=-(n 为正整数).( ) (5)69323278)32(a b a b -=-.( ) 5.(科学探究思维点拨)观察下列各等式:4-2=4÷2;329329÷=-;21)21(21)21(÷-=--…… (1)以上各等式都有一个共同的特征:某两个实数的________等于这两个实数的_____________;如果等号左边的第一个实数用x 表示,第二个实数用y 表示,那么这些等式的共同特征可用含x 、y 的等式表示为______________.(2)将以上等式变形,用含y 的代数式表示x 为______________.(3)请你再找出一组满足以上特征的两个实数,并写成等式形式: ______________.6.计算:1121222+-÷++-a a a a a a . 7.计算:)242(2222---∙+a a a a a a .8.计算:mnm n m -+2÷(m+n)·(m 2-n 2).参考答案一、课前预习 (5分钟训练)1答案:A 2. 答案:C 3.22442bc a a b -∙=_________________.解析:22222224)2(448442ca c ab a ab abc b a bc a a b -=∙-∙=-=-∙. 答案:22c a - 4.若m 等于它的倒数,则分式22444222-+÷-++m m m m m m 的值为_______________. 解析:因m 等于它的倒数,则m=±1,化简分式得m 1再代入求值;或分别将m=1或m=-1代入原式计算即可. 答案:±1二、课中强化(10分钟训练)1.下列计算正确的是( ) A.a÷b·b 1=a B.a·b÷a·b=1 C.m 1÷m·m÷m 1=1 D.m 3÷m1÷m 3=1 解析:A 、B 、D 均是运算顺序不对,C 中m 1÷m·m÷m 1=m 1·m1·m·m=1,所以C 正确. 答案:C 2.化简y x y x +-÷(y -x)·y x -1的结果是( ) A.221y x - B.y x x y +- C.221x y - D.y x y x +- 解析:y x y x +-÷(y -x)·221111x y y x x y y x y x y x -=-∙-∙+-=-. 答案:C 3.计算24462x x x +--÷(x+3)·x x x --+362的结果为( ) A.22--x B.x -21 C.2)2(2-x D.24--x 解析:24462xx x +--÷(x+3)·x x x --+362 =3)3)(2(31)2()3(22-+-∙+∙---x x x x x x =22--x . 答案:A 4.已知a -b≠0,且2a -3b=0,则代数式ba b a --2的值是( ) A.-12 B.0 C.4 D.4或-12解析:因为a -b≠0,由2a -3b=0,可得a=1.5b,将其代入bb b b b b b a b a 5.025.132=--=--=4. 答案:C5.计算:41441222--÷+--a a a a a . 解析:先将除法转化成乘法,对分子、分母进行分解,再约分. 答案:)1)(2(2+-+a a a . 三、课后巩固(30分钟训练)1.在分式x a 3,y x xy 226+,222)(y x y x +-,2)(y x x y --,22)(y x y x -+中,不能进行约分的有( ) A.1个 B.2个 C.3个 D.4个解析:x 2-y 2=(x+y)(x -y),y -x 可变形为-(x -y),找出公因式进行约分.故后4个全部可以约分. 答案:A2.下列各式正确的是( ) A.y x y x y x y x +-=+-2222 B.222)11(1212-+-=--++x x x x x x C.b b a b a 2+= D.2222)(ba cb ac +=+ 解析:选项A 和D 犯的是同一个类型的错误,即误认为x 2+y 2=(x+y)2,而选项C 不符合分式的基本性质,故A 、C 、D 错误. 答案:B3.已知2a -b≠0,且5a -6b=0,那么代数式ba b a -+262的值是( ) A.-12 B.0 C.6 D.8或-12 解析:将a=b 56代入上式即可求得. 答案:C 4.判断正误: (1)y x x y x x y y x y x y y x x +=÷+=+∙+÷+2122.( ) (2)33632)(zy x z y x +=+.( ) (3)246223)(z y x z y x =.( ) (4)n nn ab a b 2422)(-=-(n 为正整数).( ) (5)69323278)32(a b a b -=-.( ) 解析:(1)运算顺序是从左到右,而本题先算了后面的乘法.(2)商的立方等于分子、分母分别立方,分子的立方是两数和的完全立方,其展开式应为x 6+3x 4y+3x 2y 2+y 3.(3)商的平方等于分子、分母分别平方,分子的平方属于积的平方,等于积中各因式分别平方.(4)负数的偶次幂为正.(5)先确定结果的符号,负数的奇次幂为负,然后分子、分母再分别乘方.答案:(1)× (2)× (3)√ (4)× (5)√5.(科学探究思维点拨)观察下列各等式:4-2=4÷2;329329÷=-;21)21(21)21(÷-=--…… (1)以上各等式都有一个共同的特征:某两个实数的________等于这两个实数的_____________;如果等号左边的第一个实数用x 表示,第二个实数用y 表示,那么这些等式的共同特征可用含x 、y 的等式表示为______________.(2)将以上等式变形,用含y 的代数式表示x 为______________.(3)请你再找出一组满足以上特征的两个实数,并写成等式形式: ______________.解析:本题从特殊到一般,归纳总结出规律,然后利用规律解决特殊问题.由x=12-y y ,得y≠1.当y=4时,x=3161442=-. 答案:(1)差 商 x -y=y x (2)x=1112-=-y y y y(3)3164316=-÷4 6.计算:1121222+-÷++-a a a a a a . 解:原式=a a a a a a a a a a a a a 1)1(1)1()1)(1(1)1()1()1)(1(22=-+∙+-+=+-÷+-+. 7.计算:)242(2222---∙+a a a a a a . 解:原式=24)2(22--⨯+a a a a a =a. 8.计算:mn m n m -+2÷(m+n)·(m 2-n 2). 解:mnm n m -+2÷(m+n)·(m 2-n 2) =n m n m m n m +∙-+1)(·(m+n)(m -n)=mn m +.。
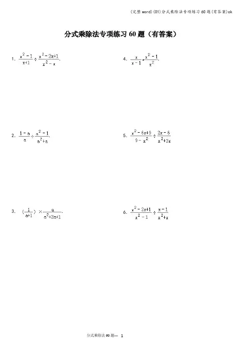
分式乘除法专项练习60题(有答案)1..2..3..4..5.6.7.把分式化成两个分式的乘积的形式.8.9.•.10..11.•(x2﹣9)12.(1﹣)÷() 13.÷•14.(完整word)(01)分式乘除法专项练习60题(有答案)ok15.16.a÷a •.17.18.•19..20.÷.21.(1)÷(a2﹣4)•;(2)÷(x+1)•(完整word)(01)分式乘除法专项练习60题(有答案)ok22..23..24.(1)(12a3b2﹣8a2b3)÷4ab (2)25.×÷(﹣xy4).26.(1)(2)27.×÷.28.(1)÷;(2)(﹣)•(x﹣y)2.29.30..31.•÷.32.(﹣)2÷(﹣)3•()2 33.34.(1)÷;(2).35..36..37..38..39..40..41..42..43..44..45.(﹣2ab )÷•.46..47.÷(a2﹣4)•.48。
.49..50..51..52..53..54.•.55..56..57.÷.58..59..60.•÷(﹣)3.参考答案:1.原式=•=x.2.原式=÷=×=﹣1.3.原式=•=,故答案为4.原式==.5.原式==6.原式=÷=•=x 7.==•(答案不唯一)8.原式==9.原式=•=.10.原式==x.11.原式=•(x+3)(x﹣3)=x+3.12.原式=,=,=﹣2.13.原式==.14.原式==15.原式=••=.16.a÷a•=a××=.17.==18.•==19.原式==45a﹣6b﹣6.20.÷==﹣.21.(1)原式=••=;(2)原式==22.==23.原式===24.(1)原式=12a3b2÷4ab﹣8a2b3÷4ab=3a2b﹣2ab2;(2)原式==.25.÷(﹣xy4)=.26.原式=; (分子有个x)(2)原式=()÷()=×=.27.×÷==.28.(1)原式=•=;(2)原式=•(x﹣y)2=•(x﹣y)2=x﹣y29.原式=÷÷=••(x+2)(x﹣2)=3.30。
5.2分式的乘除法题型1:分式的乘法运算1.(技能题)222384xy z z y ⎛⎫⋅- ⎪⎝⎭等于( ) A .6xyz B .23384xy z yz -- C .6xyz - D .26x yz2.(技能题)计算:2226934x x x x x +-+⋅--题型2:分式的除法运算3.(技能题)2324ab axcd cd -÷等于( )A .223b xB .232b xC .223b x -D .222238a b xc d -4.(技能题)计算:2224369a a a a a --÷+++.课后系统练基础能力题5.36a ab b ⎛⎫-÷ ⎪⎝⎭的结果是( )A .28a -B .2a b -C .218a b -D .212b -6.2233y xy x -÷的值等于( )A .292x y -B .22y -C .229yx - D .222x y -7.若x 等于它的倒数,则2263356x x x x x x ---÷--+的值是( )A .3-B .2-C .1-D .08.计算:2()xyxy x x y -⋅=-________.9.将分式22x x x +化简得1xx +,则x 应满足的条件是________.10.下列公式中是最简分式的是( )A .21227b aB .22()a b b a --C .22x y x y ++D .22x y x y -- 11.计算2(1)(2)5(1)(1)(2)a a a a a -+⋅+++的结果是( ) A .251a - B .255a - C .25105a a ++ D .221a a ++12.(2005·南京市)计算2221211a a a a a a --÷+++.13.已知111m n m n +=+,则n m m n+等于( ) A .1 B .1- C .0 D .2拓展创新题14.(巧解题)已知2519970x x --=,则代数式32(2)(1)12x x x ---+-的值是( ) A .1999 B .2000 C .2001 D .200215.(学科综合题)使代数式3234x x x x ++÷--有意义的x 的值是( ) A .3x ≠且2x -≠ B .3x ≠且4x ≠C .3x ≠且3x -≠D .2x -≠且3x ≠且4x ≠16.(数学与生活)王强到超市买了a 千克香蕉,用了m 元钱,又买了b 千克鲜橙,•也用了m 元钱,若他要买3千克香蕉2千克鲜橙,共需多少钱?(列代数式表示).参考答案1.C 2.32x x -- •3.C 4.32a a ++ 5.D 6.A 7.A 8.2x y - 9.0x ≠ 10.C 11.B 12.1a 13.B 14.•C •15.D 16.32m m ab ⎛⎫+ ⎪⎝⎭元。
16.2.1 分式的乘除◆知能点分类训练 知能点1 分式的乘除1.计算:(1)2283;94x y y x -g 2225628(2)264a a a a a a +++-+-g2.计算:(1)23();n n m m --÷ 2222224(2)2a b a b a ab a ab b +-÷--+3.计算:(1)254();125y xy x-g32(2)6();y x x y x x y ÷-÷g222522223111212(3)()()()6189a b a y ay cx c x b x---÷g4.计算:(1)(xy-x )÷22;(2)();x yx y x y xyxy --÷- 2222242(3)2x y x y x xy y x xy-+÷+++5.求值:(1)221122x x x x x +-÷+-+,其中x=12;(2)322()(1)()1y y x y y xy x y x -+÷+-++,其中x=-11,y=112.知能点2 分式的乘方 6.计算:322322342351(1)();(2)();(3)()()();23a xy x y bz y x xy----g g124(4)();5n n x y + 2223(5)()().a b a ab a b--g7.计算:32232(1)()()();22a ab b b -÷-g2223(2)()()();x y x x y xy x y -÷+-g22222242412(3)()(2).442643x x x x x x x x x x x +++++÷÷÷-+++-+g8.先化简,再求值:22322231()()[]22()a b a b ab ab a b +-÷÷-,其中a=-12,b=23.◆规律方法应用9.已知n=1n,求(mn-n 2)÷22222m mn n mn m mn m -+-g 的值.10.有这样一道题:“计算2222111x x x x x x-+-÷-+-x 的值,其中x=2008”,甲同学把“x=2008•”错抄成“x=2080”,但他的计算结果是正确的,你说这是怎么回事?11.下面是小亮计算221112111x x xx x x x-+-÷-+-+g 的过程:解答:222221111(1)(1)211121(1)(1)(2)(1)1.(3)1x x x x x x x x x x x x x x x-+--÷=÷--+-+-+-+=-+=-g(1)小亮的解答是否正确?如有错误,错在第_____步,错误的原因是_______.(2)给出正确的解答.12.如图所示, 有两种盛装液体的圆柱形容器,甲容器底面半径为R ,容器高为h ,容器里有一个铁制的圆柱实心体,其底面半径为r (r<R ),高为h ,乙容器的底面半径为R+r ,高度为2h,现在甲、乙两种容器分别盛装质量为m 的汽油和质量为n 的柴油. (1)求两个容器的体积比.(2)若汽油的单位体积的质量为x ,柴油的单位体积的质量为y ,用R ,r ,h 表示x•和y ,并计算xy的值.◆开放探索创新13.观察下列各等式: 4-2=4÷2;92-3=92÷3; (-12)-12=(-12)÷12.(1)以上各等式都有一个共同特征:•某两个实数的______,•等于这两个实数的_______,如果等号左边的第一个实数用x 表示,第二个实数用y 表示,那么这些等式的共同特征可用含x ,y 的等式表示为_________.(2)将以上等式变形,用含y 的代数式表示x 为_________.(3)请你再找一组满足以上特征的两个实数,并写成等式形式:__________. ◆中考真题实战14.(江西)化简:23xx x-·(x 2-9); 15.(广西)计算:22221x xy y x xy x ++÷+.16.(山西)化简求值:22112122x x x x -++-g ,其中x=-12.17.(厦门)先化简,再求值:211x x xx x -÷++,其中+1.18.(山西)课堂上李老师给大家出了一道题:当x=3,5-2,7+时求代数式22212211x x x x x -+-÷-+的值,•小明一看,“太复杂了,怎么算呢?”你能帮小明解决这个问题吗?请写出具体过程.答案:1.(1)原式=24323343x x y xy y x y=--g g g . (2)原式=(2)(3)(4)(2)42(3)(2)(2)2a a a a a a a a +++-+=++-g .2.(1)原式=32222()n m n m m m m n m n n -=-=--g g g .(2)原式=222()()(2)(2)2a b a b a ba ab a b a b a ab+--=-+--g .3.(1)原式=-3x 2y ·254125yxy xg =-1. (2)原式=-6x 3y ·5322232166x x x y x y y x x y y=-=-g g . (3)原式=-222532222331118226121933a b c x ay acy cx a y b x bx =-g g . 4.(1)原式=(xy-x 2)·xy x y -=-x (x-y )·xyx y-=-x 2y . (2)原式=()()1x y x y x y xy x y xy+-+=-g .(3)原式=22(2)(2)()(2)2()2x y x y x x y x x y x xyx y x y x y x y+-+--==++++g .5.(1)原式=22111(1)(1)2x =--=4. (2)原式=1111(1)()131(111)(11)12x x y ==-+---+.32634322222272516.(1).(2).(3).8916()(4).(5).25()n n a x y b z xx a a b y b a b +-===-+==-原式原式原式原式原式 7.(1)原式=32324.(2).(3)163b x x xy y x +==-+原式原式.8.原式=121231262()2a b a -++==-⨯-.9.原式=-n 2.由已知n=1n,得n 2=1.∴原式=-12=-1.10.原式=2(1)(1)(1)(1)1x x x x x x -++--g -x=0,计算结果与x 的取值无关. 11.解:(1)① 没有按运算顺序进行计算(2)正确:原式=222111(1)(1)1112111(1)111x x x x x x x xx x x x x x x x----+---==-+++-+++g g g g .12.解:(1)甲容器的体积V 甲=πR 2h-πr 2h=πh (R 2-r 2),乙容器的体积V 乙=π(R+r )2·2h,则 2222()()()2()()()22V h R r h R r R r R r h h V R r R r R r ππππ-+--===+++甲乙. (2)汽油单位体积的质量x=22()mh R r π-,柴油单位体积的质量y=22()nh R r π+,则x y =22()m h R r π-÷22()nh R r π+=2()()()222m h R r mR mr h R r R r n nR nr ππ++=+--g .13.(1)差 商 x-y=xy(y ≠0) (2)x=21y y -(y ≠0且y ≠1)(3)163-4=163÷4(答案不唯一) 14.原式=(3)xx x -·(x+3)(x-3)=x+3.15.原式=2()()x y x x y ++·x=x+y .16.原式=122x +.当x=-12时,原式=1.17.原式=x-1.当+1时,原式.18.解:原式=2(1)1(1)(1)2(1)x x x x x -++--g =12,与x 的取值无关.。
分式的乘除(北师版)(基础)一、单选题(共10道,每道10分)1.计算的结果是( )A. B.C.-D.3b答案:D解题思路:根据分式的乘法法则:所以结果是3b故选D试题难度:三颗星知识点:略2.计算结果是( )A. B.C. D.答案:A解题思路:根据分式的乘法法则:所以结果是故选A试题难度:三颗星知识点:略3.计算的结果是( )A. B.C. D.答案:A解题思路:根据分式的乘法法则:所以结果是故选A试题难度:三颗星知识点:略4.计算的结果为( )A.aB.C. D.-答案:C解题思路:根据分式的除法法则:=所以结果是故选C试题难度:三颗星知识点:略5.化简的结果为,则a的值为( )A.4B.3C.2D.1答案:A解题思路:∴3-a=-1∴a=4故选A试题难度:三颗星知识点:略6.化简的结果为( )A. B.C. D.答案:A解题思路:故选A.试题难度:三颗星知识点:略7.化简的结果为( )A. B.C. D.答案:C解题思路:故选C.试题难度:三颗星知识点:略8.化简的结果为( )A. B.C. D.答案:B解题思路:故选B.试题难度:三颗星知识点:略9.化简的结果是( )A. B.C. D.答案:A解题思路:原式==故选A试题难度:三颗星知识点:略10.化简的结果为( )A. B.C. D.答案:A解题思路:故选A.试题难度:三颗星知识点:略。
10.3 分式的乘除法
自主学习
主干知识←提前预习 勤于归纳→
阅读课本,回答下列问题:
1.分式乘以分式,用________做积的分子,用________做积的分母.用式子表示为:=∙c
d a b ________.
答案:分子的积 分母的积 ac bd 2.分式除以分式,把除式的________颠倒位置后,与被除式相乘.用式子表示为:c
d a b ÷=_______.
答案:分子、分母 ad bc 3.分式的乘方是把分式的分子、分母分别乘方.用式子表示为:=n b
a )(________(n 为正整数). 答案:n n
b a 4.计算下列各题: (1)=∙b a a b 2 (2)=÷322x
y x y (3)=22)(m n 答案:(1)a 1;(2)xy;(3)42m
n . 点击思维←温故知新 查漏补缺→
1.计算:222222553b
a y x xy
b a ∙. 答案:解析:by
x b a y x xy b a 23255322222=∙.
2.计算:3
2
2423452cd b a cd b a ∙. 答案:解析:.58452724
5322423d
c b a c
d b a cd b a =∙ 3.化简:22)()(x x y y x xy -∙-. 答案:解析:原式222222)()(y x y x x y y x =∙--∙=.。