最新苏科版八年级下册数学《分式的乘除》同步练习题及答案.docx
- 格式:docx
- 大小:304.45 KB
- 文档页数:13
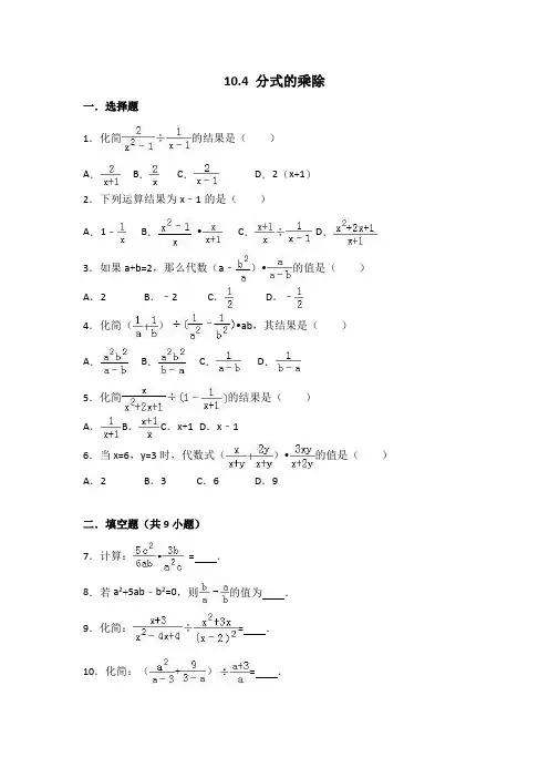
《分式的乘除》典型例题例1 下列分式中是最简分式的是( )A .264ab B .b a a b --2)(2 C .y x y x ++22 D .yx y x --22 例2 约分(1)36)(12)(3a b a b a ab -- (2)44422-+-x x x (3)b b 2213432-+ 例3 计算(分式的乘除)(1)22563ab cd c b a -⋅- (2)422643mn nm ÷- (3)233344222++-⋅+--a a a a a a (4)22222222bab a b ab b ab b ab a +-+÷-++ 例4 计算(1))()()(4322xy xy y x -÷-⋅- (2)xx x x x x x --+⨯+÷+--36)3(446222 例5 化简求值22232232b ab b a b b a ab a b a b +-÷-+⋅-,其中32=a ,3-=b . 例6 约分(1)3286b ab ; (2)222322xyy x y x x --例7 判断下列分式,哪些是最简分式?不是最简分式的,化成最简分式或整式.(1)44422-+-x x x ; (2)36)(4)(3a b b a a --; (3)222y y x -; (4)882122++++x x x x 例8 通分:(1)223c a b , ab c 2-,cba 5 (2)a 392-, a a a 2312---,652+-a a a参考答案例1 分析:(用排除法)4和6有公因式2,排除A .2)(a b -与)(b a -有公因式)(b a -,排除B ,22y x -分解因式为))((y x y x -+与)(y x -有公因式)(y x -,排除D 。
故选择C.解 C例2 分析(1)中分子、分母都是单项式可直接约分.(2)中分子、分母是多项式,应该先分解因式,再约分.(3)中应该先把分子、分母的各项系数都化为整数,把分子、分母中的最高次项系数化为正整数,再约分.解:(1)36)(12)(3a b a b a ab --)4()(3)()(3333-⋅--⋅-=b a a b b a b a a 3)(41b a b --= (2)44422-+-x x x )2)(2()2(2-+-=x x x 22+-=x x (3)原式2123486)221(6)3432(bb b b -+=⋅-⋅+=312482-+-=b b b b b b 634)12)(12(3)12(4-=-++-= 例3 分析(1)可以根据分式乘法法则直接相乘,但要注意符号。
10.4分式的乘除一、选择题1.计算的结果是A. B. C. 2x D. 42.计算的结果是A. B. C. D.3.化简的结果是A. B. C. D.4.已知,且,则的值等于A. 2B.C.D. 35.当,代数式的值是A. B. C. D.6.当时,A. 4B. 3C. 2D. 17.化简,其结果是A. B. C. D.8.已知,则的值等于A. 1B. 0C.D.9.如果,那么代数式的值是A. B. C. 2 D. 310.若,且,则的值为A. 1B. 0C.D.二、解答题11.先化简,再求值的值,其中.12.先化简,再求值:,其中x满足.13.已知,求代数式的值.14.已知,求下列各式的值:.15.化简求值:,并从中任意选一个数代入求值.16.已知,求的值.17.先化简,再求值:,其中.【答案】1. B2. B3. D4. C5. B6. C7. D8. C9. C10. D11. 解:原式当时,原式.12. 解:原式当时,除式,所以x不能为0,所以.当时,原式13. 解:原式,,设,则.原式.14. 解:,,;,,.15. 解:原式,当时,原式.16. 解:,..,原式.17. 解:原式,当时,原式.。
苏科版数学八年级下册 10.1分式 同步练习(含答案)一、基础训练1.甲每小时做x 个零件,则他8小时做零件 个,做80个零件需 小时.2.形如A B的式子叫分式.其中A 、B 均为 ,B 中含有 ,且B ≠0. 3.当x =2时,分式x +33x +4的值为 . 4.要使分式x -1x -2有意义,则x 应满足 . 5.当a = 时,分式a +3a -2的值为0. 二、典型例题例1 下列各式中,哪些是整式?哪些是分式?12x +1,x +y 3,x +15x ,hr 2π,18(a -1),x +12y 分析 运用分式的定义加以分辨.例2 当x 取什么数时,下列分式有意义?⑴ x 2x +1⑵ 1x 2-9 ⑶ x 2-4x +2 ⑷ x +5x 2+1 分析 分式有意义,只要使分式的分母不为零即可.例3 当m 为何值时,分式的值为0?⑴ m m -1⑵ m 2-1m +1 分析 分式的值为0时,必须同时..满足两个条件:⑴ 分母不能为零;⑵ 分子为零.三、拓展提升1.若分式15-x的值为正数,求x 的取值范围. 2.如果分式| x |-3x -3的值为1,求x 的取值范围.四、课后作业1.当x =__________时,3x | x |-2无意义,当____ x 时,这个分式的值为零. 2.当x __________时,-11-x的值为负数. 3.当x =2时,分式4x -13x -a没有意义,则a = . 4.判断下列各式哪些是整式,哪些是分式?9x +4,7x ,9+x 20,m -45,8y -3y 2,1x -9,3x -12π,a 2-4a +2整式:____________________________________________;分式:____________________________________________.5.求下列分式的值:⑴x +82x 2-1,其中x =-12; ⑵ | x |2x -y 2,中x =-1,y =-12.6.当x =3时,分式4x x +3m 没有意义,求当x =4时,分式x +m 2m -x的值.7.是否存在x 的值,使得当a =2时,分式a +x a 2-x 2的值为0?8.使分式122x -1的值是正数,又使分式| x |+2x -5的值为负数的所有整数x 的积是多少?答案一、基础训练1.8x ,80x ;2.整式,字母;3.12;4.x ≠2;5.-3; 二、典型例题例1 整式:x +y 3,hr 2π,18(a -1),分式:12x +1,x +15x,x +12y 例2 ⑴ x ≠-1,⑵ x ≠±3,⑶ x ≠-2,⑷ x 为一切实数;例3 ⑴ m =0,⑵ m =1;三、拓展提升1.x <5;2.x ≥0且x ≠3;四、课后作业1.±2;0;2.<1;3.6;4.整式:9x +4,9+x 20,m -45,3x -12π,分式:7x ,8y -3y 2,1x -9,a 2-4a +2; 5.⑴ -15,⑵ -49;6.-12;7.不存在;8.24。
苏科新版八年级下学期《第10章分式》单元测试卷一.选择题(共21小题)1.下列各式中,分式的个数是().A.2B.3C.4D.52.使分式有意义的x的取值范围是()A.x≠1B.x≠2C.x≠1且x≠2D.x可为任何数3.若分式的值为0,则x的值是()A.±3B.﹣3C.3D.04.已知﹣=5,则分式的值为()A.1B.5C.D.5.一件工作,甲单独完成需要a天,乙单独完成需要b天,如果甲、乙二人合作,那么每天的工作效率是()A.a+b B.+C.D.6.不改变分式的值,使分子、分母的最高次项的系数都为正,正确的变形是()A.B.C.D.7.化简的结果是()A.1B.C.D.08.若=﹣,则a﹣2b的值是()A.﹣6B.6C.﹣2D.29.下列分式中,最简分式是()A.B.C.D.10.张萌将分式进行通分,则这两个分式的最简公分母为()A.2(x+y)(x﹣y)B.4(x+y)(x﹣y)C.(x+y)(x﹣y)D.4(x+y)211.计算(a2b)3•的结果是()A.a5b5B.a4b5C.ab5D.a5b612.已知,则的值为()A.1B.0C.﹣1D.﹣213.张阿姨,李阿姨到农贸市场买大米,第一次,张阿姨买了100千克大米,李阿姨买了100元的大米;第二次,张阿姨还是买了100千克大米,李阿姨还是买了100元的大米.下列说法正确的是()A.如果米价下降张阿姨买的合算B.如果米价上涨张阿姨买的合算C.无论米价怎样变化李阿姨买的合算D.无法判断谁买的合算14.已知+=3,则代数式的值为()A.3B.﹣2C.﹣D.﹣15.下列方程是分式方程的是()A.B.C.x2﹣1=3D.2x+1=3x 16.若关于x的分式方程无解,则m的值为()A.﹣1.5B.1C.﹣1.5或2D.﹣0.5或﹣1.5 17.方程=的解是()A.﹣B.C.﹣D.18.用换元法解方程,若设=y,则原方程可化为()A.y2﹣7y+6=0B.y2+6y﹣7=0C.6y2﹣7y+1=0D.6y2+7y+1=0 19.若分式方程有增根,则a的值是()A.﹣2B.0C.2D.0或﹣2 20.小明坐滴滴打车前去火车高铁站,小明可以选择两条不同路线:路线A的全程是25千米,但交通比较拥堵,路线B的全程比路线A的全程多7千米,但平均车速比走路线A时能提高60%,若走路线B的全程能比走路线A少用15分钟.若设走路线A时的平均速度为x千米/小时,根据题意,可列分式方程()A.=15B.=15C.=D.21.甲志愿者计划用若干个工作日完成社区的某项工作,从第三个工作日起,乙志愿者加盟此项工作,且甲、乙两人工效相同,结果提前3天完成任务,则甲志愿者计划完成此项工作的天数是()A.8B.7C.6D.5二.解答题(共7小题)22.下面是售货员与小明的对话:根据对话内容解答下列问题:(1)A、B两种文具的单价各是多少元?(2)若购买A、B两种文具共20件,其中A种文具的数量少于B种文具的数量,且购买总费用不超过260元,共有几种购买方案.23.两列火车分别行驶在两平行的轨道上,其中快车车长100米,慢车车长150米,当两车相向而行时,快车驶过慢车某个窗口(快车车头到达窗口某一点至车尾离开这一点)所用的时间为5秒.(1)求两车的速度之和及两车相向而行时慢车驶过快车某个窗口(慢车车头到达窗口某一点至车尾离开这一点)所用的时间;(2)如果两车同向而行,慢车的速度不小于8米/秒,快车从后面追赶慢车,那么从快车的车头赶上慢车的车尾开始到快车的车尾离开慢车的车头所需时间至少为多少秒?24.某工厂计划生产一种创新产品,若生产一件这种产品需A种原料1.2千克、B种原料1千克.已知A种原料每千克的价格比B种原料每千克的价格多10元.(1)为使每件产品的成本价不超过34元,那么购入的B种原料每千克的价格最高不超过多少元?(2)将这种产品投放市场批发销售一段时间后,为拓展销路又开展了零售业务,每件产品的零售价比批发价多30元.现用10000元通过批发价购买该产品的件数与用16000元通过零售价购买该产品的件数相同,那么这种产品的批发价是多少元?25.济南在创建全国文明城市的进程中,高新区为美化城市环境,计划种植树木30000棵,由于志愿者的加入,实际每天植树比原计划多20%.结果提前10天完成任务,求原计划每天植树多少棵.26.在某校举办的2012年秋季运动会结束之后,学校需要为参加运动会的同学们发纪念品.小王负责到某商场买某种纪念品,该商场规定:一次性购买该纪念品200个以上可以按折扣价出售;购买200个以下(包括200个)只能按原价出售.小王若按照原计划的数量购买纪念品,只能按原价付款,共需要1050元;若多买35个,则按折扣价付款,恰好共需1050元.设小王按原计划购买纪念品x个.(1)求x的范围;(2)如果按原价购买5个纪念品与按打折价购买6个纪念品的钱数相同,那么小王原计划购买多少个纪念品?27.一项工程,甲队单独完成比乙队单独完成需少用9天,甲队单独做3天的工作乙队单独做需要4天,(1)甲、乙两队单独完成此项工程各需几天?(2)该项工程先由甲、乙两队合作,再由甲队单独完成,若完成此项工程不超过18天,甲乙两队至少合作几天?28.今年我区的葡萄喜获丰收,葡萄一上市,水果店的王老板用2400元购进一批葡萄,很快售完;老板又用5000元购进第二批葡萄,所购件数是第一批的2倍,但进价比第一批每件多了5元.(1)第一批葡萄每件进价多少元?(2)王老板以每件150元的价格销售第二批葡萄,售出80%后,为了尽快售完,决定打折促销,要使第二批葡萄的销售利润不少于640元,剩余的葡萄每件售价最少打几折?(利润=售价﹣进价)苏科新版八年级下学期《第10章分式》单元测试卷参考答案与试题解析一.选择题(共21小题)1.下列各式中,分式的个数是().A.2B.3C.4D.5【分析】判断分式的依据是看代数式的分母中是否含有字母,如果含有字母则是分式,如果不含有字母则不是分式.【解答】解:,的分母中均不含有字母,因此它们是整式,而不是分式;a+的分子不是整式,因此不是分式.,,的分母中含有字母,因此是分式.故选:B.【点评】本题考查了分式的定义:如果A、B表示两个整式,并且B中含有字母,那么式子叫做分式,A叫做分式的分子,B叫做分式的分母.注意π不是字母,是常数,所以不是分式,是整式.2.使分式有意义的x的取值范围是()A.x≠1B.x≠2C.x≠1且x≠2D.x可为任何数【分析】分式有意义的条件是分母≠0,即x2﹣3x+2≠0,解得x.【解答】解:∵x2﹣3x+2≠0即(x﹣1)(x﹣2)≠0,∴x﹣1≠0且x﹣2≠0,∴x≠1且x≠2.故选:C.【点评】本题考查的是分式有意义的条件:当分母不为0时,分式有意义.3.若分式的值为0,则x的值是()A.±3B.﹣3C.3D.0【分析】分式的值等于零,分子等于零,且分母不等于零.【解答】解:依题意,得x2﹣9=0且x+3≠0,解得,x=3.故选:C.【点评】本题考查了分式的值为零的条件.若分式的值为零,需同时具备两个条件:(1)分子为0;(2)分母不为0.这两个条件缺一不可.4.已知﹣=5,则分式的值为()A.1B.5C.D.【分析】已知等式左边通分并利用同分母分式的减法法则变形,整理后代入原式计算即可得到结果.【解答】解:已知等式整理得:=5,即x﹣y=﹣5xy,则原式===1,故选:A.【点评】此题考查了分式的值,熟练掌握运算法则是解本题的关键.5.一件工作,甲单独完成需要a天,乙单独完成需要b天,如果甲、乙二人合作,那么每天的工作效率是()A.a+b B.+C.D.【分析】合作的工作效率=甲的工作效率+乙的工作效率,据此可得.【解答】解:∵甲单独完成需要a天,乙单独完成需要b天,∴甲的工效为,乙的工效为,∴甲、乙二人合作每天的工作效率是+,故选:B.【点评】本题主要考查列代数式,解题的关键是熟练掌握工程问题中关于合作的工作效率的相等关系.6.不改变分式的值,使分子、分母的最高次项的系数都为正,正确的变形是()A.B.C.D.【分析】首先判断出分式的分子、分母的最高次项的系数分别为﹣1、﹣5,它们都是负数;然后根据分式的基本性质,把分式的分子、分母同时乘以﹣1,使分子、分母的最高次项的系数都为正即可.【解答】解:==∴不改变分式的值,使分子、分母的最高次项的系数都为正,正确的变形是.故选:C.【点评】此题主要考查了分式的基本性质的应用,要熟练掌握,解答此题的关键是要明确:分式的分子与分母同乘(或除以)一个不等于0的整式,分式的值不变.7.化简的结果是()A.1B.C.D.0【分析】将分子利用平方差公式分解因式,再进一步计算可得.【解答】解:原式=====1,故选:A.【点评】本题主要考查约分,解题的关键是掌握平方差公式分解因式和约分的定义.8.若=﹣,则a﹣2b的值是()A.﹣6B.6C.﹣2D.2【分析】先去分母,得4x=(a﹣b)x+(﹣2a﹣2b),再根据对应相等求出a、b 的值,代入计算即可.【解答】解:化简得,4x=(a﹣b)x+(﹣2a﹣2b),∴a﹣b=4,﹣2a﹣2b=0,解得a=2,b=﹣2,∴a﹣2b=2﹣2×(﹣2)=6,故选:B.【点评】本题考查了通分以及解二元一次方程组,是基础知识要熟练掌握.9.下列分式中,最简分式是()A.B.C.D.【分析】根据最简分式的定义对各选项逐一判断即可得.【解答】解:A、==,不符合题意;B、==,不符合题意;C、是最简分式,符合题意;D、==,不符合题意;故选:C.【点评】本题主要考查最简分式,解题的关键是掌握一个分式的分子与分母没有公因式时,叫最简分式.10.张萌将分式进行通分,则这两个分式的最简公分母为()A.2(x+y)(x﹣y)B.4(x+y)(x﹣y)C.(x+y)(x﹣y)D.4(x+y)2【分析】确定最简公分母的方法是:(1)取各分母系数的最小公倍数;(2)凡单独出现的字母连同它的指数作为最简公分母的一个因式;(3)同底数幂取次数最高的,得到的因式的积就是最简公分母.【解答】解:分式的分母分别是2x+2y=2(x+y)、4x﹣4y=4(x ﹣y),故最简公分母是4(x+y)(x﹣y).故选:B.【点评】本题考查了最简公分母的定义及求法.通常取各分母系数的最小公倍数与字母因式的最高次幂的积作公分母,这样的公分母叫做最简公分母.一般方法:①如果各分母都是单项式,那么最简公分母就是各系数的最小公倍数,相同字母的最高次幂,所有不同字母都写在积里.②如果各分母都是多项式,就可以将各个分母因式分解,取各分母数字系数的最小公倍数,凡出现的字母(或含字母的整式)为底数的幂的因式都要取最高次幂.11.计算(a2b)3•的结果是()A.a5b5B.a4b5C.ab5D.a5b6【分析】根据积的乘方等于乘方的积,分式的乘法,可得答案.【解答】解:原式=a6b3•=a5b5,故选:A.【点评】本题考查了分式的乘除法,熟记法则并根据法则计算是解题关键.12.已知,则的值为()A.1B.0C.﹣1D.﹣2【分析】解决本题首先将已知条件转化为最简形式,再把所求分式通分、代值即可.本题考查了分式的加减运算.【解答】解:把已知+=去分母,得(a+b)2=ab,即a2+b2=﹣ab∴+===﹣1.故选C.【点评】分式中的一些特殊求值题并非是一味的化简,代入,求值.许多问题还需运用到常见的数学思想,如化归思想(即转化)、整体思想等,了解这些数学解题思想对于解题技巧的丰富与提高有一定帮助.13.张阿姨,李阿姨到农贸市场买大米,第一次,张阿姨买了100千克大米,李阿姨买了100元的大米;第二次,张阿姨还是买了100千克大米,李阿姨还是买了100元的大米.下列说法正确的是()A.如果米价下降张阿姨买的合算B.如果米价上涨张阿姨买的合算C.无论米价怎样变化李阿姨买的合算D.无法判断谁买的合算【分析】先设第一次大米的单价为a,第二次大米的单价为b,分别计算两人两次所卖大米的平均单价,求出单价,再比较两者的差,根据结果来比较大小.【解答】解:设第一次大米的单价为a,第二次大米的单价为b,张阿姨两次购买的平均单价为,李阿姨两次购买的平均单价为则﹣=≥0.所以无论米价怎样变化都是李阿姨买的合算.故选:C.【点评】本题考查了分式的混合运算,解题的关键是求出两人两次所买大米的平均单价,再比较单价的大小.14.已知+=3,则代数式的值为()A.3B.﹣2C.﹣D.﹣【分析】已知等式左边通分并利用同分母分式的加法法则计算,整理得到a+2b =6ab,代入原式计算即可得到结果.【解答】解:+==3,即a+2b=6ab,则原式===﹣,故选:D.【点评】此题考查了分式的化简求值,熟练掌握运算法则是解本题的关键.15.下列方程是分式方程的是()A.B.C.x2﹣1=3D.2x+1=3x【分析】依据分式方程的定义进行判断即可.【解答】解:A、﹣=0是一元一次方程,故A错误;B、=﹣2是分式方程,故B正确;C、x2﹣1=3是一元二次方程,故C错误;D、2x+1=3x是一元一次方程,故D错误.故选:B.【点评】本题主要考查的是分式方程的定义,熟练掌握分式方程的定义是解题的关键.16.若关于x的分式方程无解,则m的值为()A.﹣1.5B.1C.﹣1.5或2D.﹣0.5或﹣1.5【分析】去分母得出方程①(2m+x)x﹣x(x﹣3)=2(x﹣3),分为两种情况:①根据方程无解得出x=0或x=3,分别把x=0或x=3代入方程①,求出m;②求出当2m+1=0时,方程也无解,即可得出答案.【解答】解:方程两边都乘以x(x﹣3)得:(2m+x)x﹣x(x﹣3)=2(x﹣3),即(2m+1)x=﹣6,分两种情况考虑:①∵当2m+1=0时,此方程无解,∴此时m=﹣0.5,②∵关于x的分式方程无解,∴x=0或x﹣3=0,即x=0,x=3,当x=0时,代入①得:(2m+0)×0﹣0×(0﹣3)=2(0﹣3),解得:此方程无解;当x=3时,代入①得:(2m+3)×3﹣3(3﹣3)=2(3﹣3),解得:m=﹣1.5,∴m的值是﹣0.5或﹣1.5,故选:D.【点评】本题考查了对分式方程的解的理解和运用,关键是求出分式方程无解时的x的值,题目比较好,难度也适中.17.方程=的解是()A.﹣B.C.﹣D.【分析】根据解分式方程的步骤:①去分母;②求出整式方程的解;③检验;④得出结论解答可得.【解答】解:两边都乘以2(x+2),得:2(2x﹣1)=x+2,解得:x=,当x=时,2(x+2)≠0,所以x=是分式方程的解,故选:D.【点评】本题主要考查解分式方程,解题的关键是掌握解分式方程的步骤:①去分母;②求出整式方程的解;③检验;④得出结论.18.用换元法解方程,若设=y,则原方程可化为()A.y2﹣7y+6=0B.y2+6y﹣7=0C.6y2﹣7y+1=0D.6y2+7y+1=0【分析】观察方程的两个分式具备的关系,若设=y,则原方程另一个分式为6×.可用换元法转化为关于y的方程.去分母、整理即可.【解答】解:把=y代入原方程得:y+6×=7,方程两边同乘以y整理得:y2﹣7y+6=0.故选:A.【点评】换元法解分式方程时常用方法之一,它能够把一些分式方程化繁为简,化难为易,对此应注意总结能用换元法解的分式方程的特点,寻找解题技巧.19.若分式方程有增根,则a的值是()A.﹣2B.0C.2D.0或﹣2【分析】增根是分式方程化为整式方程后产生的使分式方程的分母为0的根.把增根代入化为整式方程的方程即可求出未知字母的值.【解答】解:方程两边都乘(x+a)(x﹣2),得x+a+3(x﹣2)(x+a)=(a﹣x)(x﹣2),∵原方程有增根,∴最简公分母(a+x)(x﹣2)=0,∴增根是x=2或﹣a,当x=2时,方程化为:2+a=0,解得:a=﹣2;当x=﹣a时,方程化为﹣a+a=2a(﹣a﹣2),即a(a+2)=0,解得:a=0或﹣2.当a=﹣2时,原方程可化为+3=,化为整式方程得,1+3(x﹣2)=﹣x﹣2,即:x=,不存在增根,故不符合题意,当a=0时,原方程可化为,化为整式方程得,x+3x(x﹣2)=﹣x(x﹣2),解得x=或x=0,此时,有增根为x=0,∴a=0符合题意,故选:B.【点评】增根确定后可按如下步骤进行:①化分式方程为整式方程;②把增根代入整式方程即可求得相关字母的值.20.小明坐滴滴打车前去火车高铁站,小明可以选择两条不同路线:路线A的全程是25千米,但交通比较拥堵,路线B的全程比路线A的全程多7千米,但平均车速比走路线A时能提高60%,若走路线B的全程能比走路线A少用15分钟.若设走路线A时的平均速度为x千米/小时,根据题意,可列分式方程()A.=15B.=15C.=D.【分析】若设走路线A时的平均速度为x千米/小时,则走路线B时的平均速度为1.6x千米/小时,根据路线B的全程比路线A的全程多7千米,走路线B 的全程能比走路线A少用15分钟可列出方程.【解答】解:设走路线A时的平均速度为x千米/小时,根据题意,得﹣=.故选:D.【点评】本题考查了由实际问题抽象出分式方程,找到关键描述语,找到合适的等量关系是解决问题的关键.21.甲志愿者计划用若干个工作日完成社区的某项工作,从第三个工作日起,乙志愿者加盟此项工作,且甲、乙两人工效相同,结果提前3天完成任务,则甲志愿者计划完成此项工作的天数是()A.8B.7C.6D.5【分析】工效常用的等量关系是:工效×时间=工作总量,本题的等量关系为:甲工作量+乙工作量=1,根据从第三个工作日起,乙志愿者加盟此项工作,本题需注意甲比乙多做2天.【解答】解:方法1、设甲志愿者计划完成此项工作需x天,故甲的工效都为:,由于甲、乙两人工效相同,则乙的工效为甲前两个工作日完成了,剩余的工作量甲完成了,乙在甲工作两个工作日后完成了,则+=1,解得x=8,经检验,x=8是原方程的解.故选:A.方法2、设甲志愿者计划完成此项工作需a天,则一天完成工作总量的,由于甲、乙两人工效相同,则乙的一天完成工作总量的,甲实际工作了(a﹣3)天,乙比甲少工作两天,实际工作了(a﹣5)天,即用甲的工作量加乙的工作量=1,建立方程×(a﹣3)+×(a﹣5)=1,∴a=8,故选:A.【点评】本题主要考查分式方程的应用,还考查了工效×时间=工作总量这个等量关系.二.解答题(共7小题)22.下面是售货员与小明的对话:根据对话内容解答下列问题:(1)A、B两种文具的单价各是多少元?(2)若购买A、B两种文具共20件,其中A种文具的数量少于B种文具的数量,且购买总费用不超过260元,共有几种购买方案.【分析】(1)设A种文具的单价为x元,则B种文具单价为(25﹣x)元,根据用80元购买A种文具的数量是用120元购买B种文具的数量的2倍,列方程求解;(2)设学校购进A种文具a件,则购进B种文具(20﹣a)件,根据其中A种文具的数量少于B种文具的数量,且购买总费用不超过260元,列不等式求出a的取值范围,结合a为正整数,确定购买方案.【解答】解:(1)设A种文具的单价为x元,则B种文具单价为(25﹣x)元,由题意得,=,解得:x=10,经检验,x=10是分式方程的解,且符合题意,25﹣x=15答:种文具的单价为10元,则B种文具单价为15元;(2)设学校购进A种文具a件,则购进B种文具(20﹣a)件,由题意得,解得:8≤a<10,∵a是正整数,∴a为8或9∴共有两种购买方案.【点评】本题考查了分式方程和一元一次不等式的应用,解答本题的关键是读懂题意,设出未知数,找出合适的等量关系,列方程求解,注意检验.23.两列火车分别行驶在两平行的轨道上,其中快车车长100米,慢车车长150米,当两车相向而行时,快车驶过慢车某个窗口(快车车头到达窗口某一点至车尾离开这一点)所用的时间为5秒.(1)求两车的速度之和及两车相向而行时慢车驶过快车某个窗口(慢车车头到达窗口某一点至车尾离开这一点)所用的时间;(2)如果两车同向而行,慢车的速度不小于8米/秒,快车从后面追赶慢车,那么从快车的车头赶上慢车的车尾开始到快车的车尾离开慢车的车头所需时间至少为多少秒?【分析】(1)快车驶过慢车某个窗口等量关系为:两车的速度之和×所用时间=快车车长;慢车驶过快车某个窗口等量关系为:两车的速度之和×所用时间=慢车车长;(2)等量关系为:两车速度之差×时间=两车车长之和.【解答】解:(1)设快,慢车的速度分别为x米/秒,y米/秒.根据题意得x+y==20,即两车的速度之和为20米/秒;设慢车驶过快车某个窗口需用t1秒,根据题意得x+y=,∴t1=.即两车相向而行时,慢车驶过快车某个窗口所用时间为7.5秒.答:两车的速度之和为20米/秒,两车相向而行时,慢车驶过快车某个窗口所用时间为7.5秒;(2)所求的时间t2=,∴,依题意,当慢车的速度为8米/秒时,t2的值最小,t2=,∴t2的最小值为62.5秒.答:从快车的车头赶上慢车的车尾开始到快车的车尾离开慢车的车头所需时间至少为62.5秒.【点评】找到相应的等量关系是解决问题的关键;难点是得到相应的车速和路程.24.某工厂计划生产一种创新产品,若生产一件这种产品需A种原料1.2千克、B种原料1千克.已知A种原料每千克的价格比B种原料每千克的价格多10元.(1)为使每件产品的成本价不超过34元,那么购入的B种原料每千克的价格最高不超过多少元?(2)将这种产品投放市场批发销售一段时间后,为拓展销路又开展了零售业务,每件产品的零售价比批发价多30元.现用10000元通过批发价购买该产品的件数与用16000元通过零售价购买该产品的件数相同,那么这种产品的批发价是多少元?(1)设B种原料每千克的价格为x元,则A种原料每千克的价格为(x+10)【分析】元,根据每件产品的成本价不超过34元,即可得出关于x的一元一次不等式,解之取其中的最大值即可得出结论;(2)设这种产品的批发价为a元,则零售价为(a+30)元,根据数量=总价÷单价结合用10000元通过批发价购买该产品的件数与用16000元通过零售价购买该产品的件数相同,即可得出关于a的分式方程,解之经检验后即可得出结论.【解答】解:(1)设B种原料每千克的价格为x元,则A种原料每千克的价格为(x+10)元,根据题意得:1.2(x+10)+x≤34,解得:x≤10.答:购入B种原料每千克的价格最高不超过10元.(2)设这种产品的批发价为a元,则零售价为(a+30)元,根据题意得:=,解得:a=50,经检验,a=50是原方程的根,且符合实际.答:这种产品的批发价为50元.【点评】本题考查了分式方程的应用以及一元一次不等式的应用,解题的关键是:(1)根据各数量间的关系,正确列出一元一次不等式;(2)找准等量关系,正确列出分式方程.25.济南在创建全国文明城市的进程中,高新区为美化城市环境,计划种植树木30000棵,由于志愿者的加入,实际每天植树比原计划多20%.结果提前10天完成任务,求原计划每天植树多少棵.【分析】设原计划每天种树x棵,则实际每天栽树的棵数为(1+20%),根据题意可得,实际比计划少用10天,据此列方程求解.【解答】解:设原计划每天种树x棵,则实际每天栽树的棵数为(1+20%),由题意得,﹣=10,解得:x=500,经检验,x=500是原分式方程的解,且符合题意.答:原计划每天种树500棵.【点评】本题考查了分式方程的应用,解答本题的关键是读懂题意,设出未知数,找出合适的等量关系,列方程求解,注意检验.26.在某校举办的2012年秋季运动会结束之后,学校需要为参加运动会的同学们发纪念品.小王负责到某商场买某种纪念品,该商场规定:一次性购买该纪念品200个以上可以按折扣价出售;购买200个以下(包括200个)只能按原价出售.小王若按照原计划的数量购买纪念品,只能按原价付款,共需要1050元;若多买35个,则按折扣价付款,恰好共需1050元.设小王按原计划购买纪念品x个.(1)求x的范围;(2)如果按原价购买5个纪念品与按打折价购买6个纪念品的钱数相同,那么小王原计划购买多少个纪念品?【分析】(1)根据商场的规定确定出x的范围即可;(2)设小王原计划购买x个纪念品,根据按原价购买5个纪念品与按打折价购买6个纪念品的钱数相同列出分式方程,求出解即可得到结果.【解答】解:(1)根据题意得:0<x≤200,且x∈N;(2)设小王原计划购买x个纪念品,根据题意得:×5=×6,整理得:5x+175=6x,解得:x=175,经检验x=175是分式方程的解,且满足题意,则小王原计划购买175个纪念品.【点评】此题考查了分式方程的应用,弄清题中的等量关系“按原价购买5个纪念品与按打折价购买6个纪念品的钱数相同”是解本题的关键.27.一项工程,甲队单独完成比乙队单独完成需少用9天,甲队单独做3天的工作乙队单独做需要4天,(1)甲、乙两队单独完成此项工程各需几天?(2)该项工程先由甲、乙两队合作,再由甲队单独完成,若完成此项工程不超过18天,甲乙两队至少合作几天?【分析】(1)设甲队单独完成此项工程需x天,则乙队单独完成此项工程需(x+9)天,根据甲队单独做3天的工作乙队单独做需要4天,即可得出关于x的分式方程,解之经检验后即可得出结论;(2)设甲乙两队合作y天,根据完成此项工程不超过18天,即可得出关于y的一元一次不等式,解之即可得出y的取值范围,取其中的最小值即可得出结论.【解答】解:(1)设甲队单独完成此项工程需x天,则乙队单独完成此项工程需(x+9)天,根据题意得:=,解得:x=27,经检验,x=27是原方程的解,且符合题意,∴x+9=36.答:甲队单独完成此项工程需27天,乙队单独完成此项工程需36天.(2)设甲乙两队合作y天,根据题意得:+≥1,解得:y≥12.。
初中数学试卷马鸣风萧萧姓名:__________ 2013.12一、选择题1.计算1a aa÷⨯的结果为( )A.1 B.a C.1aD.21a2.化简2111aa---的结果为( )A.a+1 B.a+2 C.a-1 D.1-a3.(2009·陕西)化简2b aaa a b⎛⎫-⎪-⎝⎭的结果为( )A.a-b B.a+b C.1a b-D.1a b+4.化简2422a a aa a a-⎛⎫-⎪-+⎝⎭的结果为( )A.-4 B.4 C.2a D.2a+4 二、填空题5.计算:()222124x xx x x--=________;6.计算:11xx y⎛⎫÷-⎪⎝⎭=_________.7.计算:2222y y yx x x⎛⎫-÷⎪⎝⎭=_________.8.(2009·烟台)设a>b>0.a2+b2-6ab=0,则a bb a+-=_________.9.化简(1)(2009·太原)2411422x x x ⎛⎫+÷ ⎪-+-⎝⎭; (2)23224x x x x x x ⎛⎫-÷ ⎪-+-⎝⎭.10.计算:(1)()22222x xy y x y xy x xy x -+--÷; (2)1122x y x y x x y x +⎛⎫--- ⎪+⎝⎭.11.(2009·綦江)先化简,再求值:2241222x x x x x⎛⎫-⨯ ⎪--+⎝⎭,其中14x =.12.(2009·河北) 已知a=2,b=-1,求22211a b a ab a-+÷-的值.13.已知两个分式244A x =-,1122B x x=++-,其中x ≠±2,下列三个结论:①A=B ;②A ·B=1;③A+B=0,请问哪个正确?为什么?一、选择题 1.分式方程11222x x x-+=--的解为 ( ) A .x=1 B .x=2 C .x =-2 D .此方程无解 2.如果解关于x 的分式方程()2422a x x x x =+--时出现增根,那么增根一定是 ( ) A .0或2 B .2 C .1 D .03.下列关于分式方程增根的说法中,正确的是 ( ) A .只要是分式方程,就一定有增根 B .分式方程的解为0就是增根 C .使分子的值为0的解就是增根D .使最简公分母的值为0的解是增根 4.解分式方程2236111x x x +=+--,分以下四步,其中错误的一步是 ( ) A .方程两边分式的最简公分母是(x -1)(x+1)B .方程两边都乘以(x -1)(x+1),得整式方程2(x -1)+3(x+1)=6C .解这个整式方程,得x=1D .原方程的解为x=1 5.若关于x 的方程1011m xx x --=--有增根,则m 的值为 ( ) A .-2 B .2 C .1 D .-16.关于x 的方程(2)75a x x +=-的解为负数,则a 的取值范围是 ( ) A .a >5 B .a <5 C .a ≥5 D .a ≤5 二、填空题7.(2009·潍坊)方程3123x x =+的解是__________. 8.当a=_________时,方程112x a-=的解为1.9.(2008·襄樊)当m=________时,关于x 的分式方程213x mx +=--无解. 10.一根蜡烛经凸透镜成一实像,物距u ,像距v 和凸透镜的焦距f 满足关系式111u v f+=.若u=12 cm ,f=3 cm ,则v =________.(3)113122=--++x x x (4) 0122242=+-+-xx x x12.下面是小亮课堂作业中的一道题. 解方程11455x x x+-=--. 解:去分母,得(x+1)+1=4. 解得x=2.当x=2时,公分母x -5=-3≠0. 所以x=2是原方程的根.你同意他的做法吗?为什么?14.(2009·本溪)“五一”期间,九年级(1)班的同学从学校出发,去距学校6千米远的本溪水洞游玩,同学们分为步行和骑自行车两组,在去水洞的全过程中,骑自行车的同学比步行的同学少用40分钟,已知骑自行车的速度是步行速度的3倍.(1)求步行的同学每分钟走多少千米.(2)右图是两组同学前往水洞时路程y(千米)与时间x(分钟)的函数图象.完成下面的填空:①表示骑车同学的函数图象是线段_________.②已知A点的坐标为(30,0),则B点的坐标为________.。
(新课标)苏科版2017-2018学年八年级下册10.1 分式一.选择题1.若代数式在实数范围内有意义,则实数x的取值范围是()A.x<3 B.x>3 C.x≠3 D.x=32.已知分式的值为0,那么x的值是()A.﹣1 B.﹣2 C.1 D.1或﹣23.已知x2﹣3x﹣4=0,则代数式的值是()A.3 B.2 C.D.4.当x=6,y=﹣2时,代数式的值为()A.2 B.C.1 D.5.小昱和阿帆均从同一本书的第1页开始,逐页依顺序在每一页上写一个数.小昱在第1页写1,且之后每一页写的数均为他在前一页写的数加2;阿帆在第1页写1,且之后每一页写的数均为他在前一页写的数加7.若小昱在某页写的数为101,则阿帆在该页写的数为何?()A.350 B.351 C.356 D.3586.若分式,则分式的值等于()A .﹣B .C .﹣D .二.填空题7.若分式有意义,则a 的取值范围是 .8.当x= 时,分式的值为0.9.当a=2016时,分式的值是 .10.两个正数a ,b 满足a 2﹣2ab ﹣3b 2=0,则式子的值为 .11.某超市从我国西部某城市运进两种糖果,甲种a 千克,每千克x 元,乙种b 千克,每千克y 元,如果把这两种糖果混合后销售,保本价是 元/千克.三.解答题 12.探索:(1)如果=3+,则m= ;(2)如果=5+,则m= ;总结:如果=a+(其中a 、b 、c 为常数),则m ;应用:利用上述结论解决:若代数式的值为整数,求满足条件的整数x 的值.13.已知分式M=+.(1)若x=6且分式M 的值等于4,求y 的值; (2)若y=4,当x 取哪些整数时,M 的值是整数?(3)若x 、y 均为正整数,写出使M 的值等于2的所有x 、y 的值.14.已知:,(1)若A=,求m的值;(2)当a取哪些整数时,分式B的值为整数;(3)若a>0,比较A与B的大小关系.15.已知a,b,c均为非零实数,且满足==,求:的值.16.已知x2+4x+1=0,且,求t的值.参考答案一.选择题1.(2016•武汉)若代数式在实数范围内有意义,则实数x 的取值范围是()A.x<3 B.x>3 C.x≠3 D.x=3【分析】分式有意义时,分母x﹣3≠0,据此求得x的取值范围.【解答】解:依题意得:x﹣3≠0,解得x≠3,故选:C.【点评】本题考查了分式有意义的条件.(1)分式有意义的条件是分母不等于零.(2)分式无意义的条件是分母等于零.2.(2016•天水)已知分式的值为0,那么x的值是()A.﹣1 B.﹣2 C.1 D.1或﹣2【分析】直接利用分式的值为零,则分子为零,且分母不为零,进而得出答案.【解答】解:∵分式的值为0,∴(x﹣1)(x+2)=0且x2﹣1≠0,解得:x=﹣2.故选:B.【点评】此题主要考查了分式的值为零的条件,正确把握分母不为零是解题关键.3.(2016•眉山)已知x2﹣3x﹣4=0,则代数式的值是()A.3 B.2 C.D.【分析】已知等式变形求出x﹣=3,原式变形后代入计算即可求出值.【解答】解:已知等式整理得:x﹣=3,则原式===,故选D【点评】此题考查了分式的值,熟练掌握运算法则是解本题的关键.4.(2016•来宾)当x=6,y=﹣2时,代数式的值为()A.2 B.C.1 D.【分析】把x、y值代入分式进行计算即可得解.【解答】解:∵x=6,y=﹣2,∴===.故选:D.【点评】本题考查了分式的值,是基础题,准确计算是解题的关键.5.(2016•台湾)小昱和阿帆均从同一本书的第1页开始,逐页依顺序在每一页上写一个数.小昱在第1页写1,且之后每一页写的数均为他在前一页写的数加2;阿帆在第1页写1,且之后每一页写的数均为他在前一页写的数加7.若小昱在某页写的数为101,则阿帆在该页写的数为何?()A.350 B.351 C.356 D.358【分析】根据题意确定出小昱和阿帆所写的数字,设小昱所写的第n个数为101,根据规律确定出n的值,即可确定出阿帆在该页写的数.【解答】解:小昱所写的数为1,3,5,7,…,101,…;阿帆所写的数为1,8,15,22,…,设小昱所写的第n个数为101,根据题意得:101=1+(n﹣1)×2,整理得:2(n﹣1)=100,即n﹣1=50,解得:n=51,则阿帆所写的第51个数为1+(51﹣1)×7=1+50×7=1+350=351.故选B【点评】此题考查了有理数的混合运算,弄清题中的规律是解本题的关键.6.若分式,则分式的值等于()A.﹣B.C.﹣D.【分析】根据已知条件,将分式整理为y﹣x=2xy,再代入则分式中求值即可.【解答】解:整理已知条件得y﹣x=2xy;∴x﹣y=﹣2xy将x﹣y=﹣2xy整体代入分式得====.故答案为B.【点评】由题干条件找出x﹣y之间的关系,然后将其整体代入求出答案即可.7.(2016•营口)若分式有意义,则a的取值范围是a≠1 .【分析】直接利用分式有意义则其分母不为0,进而得出答案.【解答】解:分式有意义,则a﹣1≠0,则a的取值范围是:a≠1.故答案为:a≠1.【点评】此题主要考查了分式有意义的条件,正确把握分式的定义是解题关键.8.(2016•苏州)当x= 2 时,分式的值为0.【分析】直接利用分式的值为0,则分子为0,进而求出答案.【解答】解:∵分式的值为0,∴x﹣2=0,解得:x=2.故答案为:2.【点评】此题主要考查了分式的值为零的条件,正确把握定义是解题关键.9.(2016•扬州)当a=2016时,分式的值是2018 .【分析】首先将分式化简,进而代入求出答案.【解答】解:==a+2,把a=2016代入得:原式=2016+2=2018.故答案为:2018.【点评】此题主要考查了分式的值,正确化简分式是解题关键.10.两个正数a,b 满足a2﹣2ab﹣3b2=0,则式子的值为.【分析】直接利用十字相乘法分解因式,进而得出a,b的关系,再化简求出答案.【解答】解:∵a2﹣2ab﹣3b2=0,∴(a﹣3b)(a+b)=0,∵两个正数a,b,∴a﹣3b=0,∴a=3b,∴==.故答案为:.【点评】此题主要考查了分式的值,正确得出a,b的关系是解题关键.11.某超市从我国西部某城市运进两种糖果,甲种a千克,每千克x元,乙种b千克,每千克y元,如果把这两种糖果混合后销售,保本价是元/千克.【分析】保本价即要计算其平均价=总价格÷总质量=.【解答】解:甲种a千克,每千克x元,乙种b千克,每千克y 元,保本价=(ax+by)÷(a+b)=.【点评】注意代数式的正确书写:出现除法写成分数线的形式.列代数式的关键是正确理解文字语言中的关键词,找到其中的数量关系.12.探索:(1)如果=3+,则m= 1 ;(2)如果=5+,则m= ﹣13 ;总结:如果=a+(其中a、b、c为常数),则m b﹣ac ;应用:利用上述结论解决:若代数式的值为整数,求满足条件的整数x的值.【分析】(1)已知等式右边通分并利用同分母分式的加法法则计算,再利用分式相等的条件确定出m的值即可;(2)已知等式右边通分并利用同分母分式的加法法则计算,再利用分式相等的条件确定出m的值即可;归纳总结表示出m即可;根据得到的结论确定出整数x的值即可.【解答】解:探索:(1)已知等式整理得:=,即3x+4=3x+3+m,解得:m=1;故答案为:1;﹣13(2)已知等式整理得:=,即5x﹣3=5x+10+m,解得:m=﹣13;总结:m=b﹣ac;故答案为:m=b﹣ac;应用:==4+,∵x为整数且为整数,∴x﹣1=±1,∴x=2或0.【点评】此题考查了分式的值,弄清题中的规律是解本题的关键.13.已知分式M=+.(1)若x=6且分式M的值等于4,求y的值;(2)若y=4,当x取哪些整数时,M的值是整数?(3)若x、y均为正整数,写出使M的值等于2的所有x、y的值.【分析】(1)直接将x,M的值代入,进而化简求出答案;(2)利用y=4时,代入进而利用整数的定义求出答案;(3)利用M=2,分别得出符合题意的答案.【解答】解:(1)∵x=6且分式M的值等于4,∴4=+,整理得:2=解得:y=6;(2)∵y=4,∴M=+4,当x=0时,M=4,当x=2时,M=2,当x=4时,M=0,当x=6时,M=6;(3)∵x、y均为正整数,使M的值等于2,∴2=+,∴所有x、y的值为:x=2,y=4;x=4,y=2.【点评】此题主要考查了分式的值,正确把握整数的定义是解题关键.14.已知:,(1)若A=,求m的值;(2)当a取哪些整数时,分式B的值为整数;(3)若a>0,比较A与B的大小关系.【分析】(1)根据分式的值相等,可得关于m的方程,根据解方程,可得答案;(2)根据拆项法,可得1﹣,根据是整数,可得a 的值;(3)根据作差法,可得答案.【解答】解:(1)由A=,得=1﹣=,2﹣m=1,解得m=1;(2)B==1﹣,∴当a+4=±1时B 为整数a=﹣3,a=﹣5.(3)当a >0时,A ﹣B=﹣<0,A <B .【点评】本题考查了分式的值,利用分式的值得出方程是解题关键.15.已知a ,b ,c 均为非零实数,且满足==,求:的值. 【分析】首先利用已知得出a+b ﹣c=c ,a ﹣b+c=b ,﹣a+b+c=a ,进而求出答案.【解答】解:∵==,∴=1,∴===1, ∴a+b ﹣c=c ,a ﹣b+c=b ,﹣a+b+c=a ,即a+b=2c ,a+c=2b ,b+c=2a ,∴==8.【点评】此题主要考查了分式的值,正确化简已知是解题关键.16.已知x2+4x+1=0,且,求t的值.【分析】由题意先求出x+以及x2+的值,再整体代入,把问题转化为方程即可解决问题.【解答】解:∵x2+4x+1=0,∴x+=﹣4,∴x2+=14。
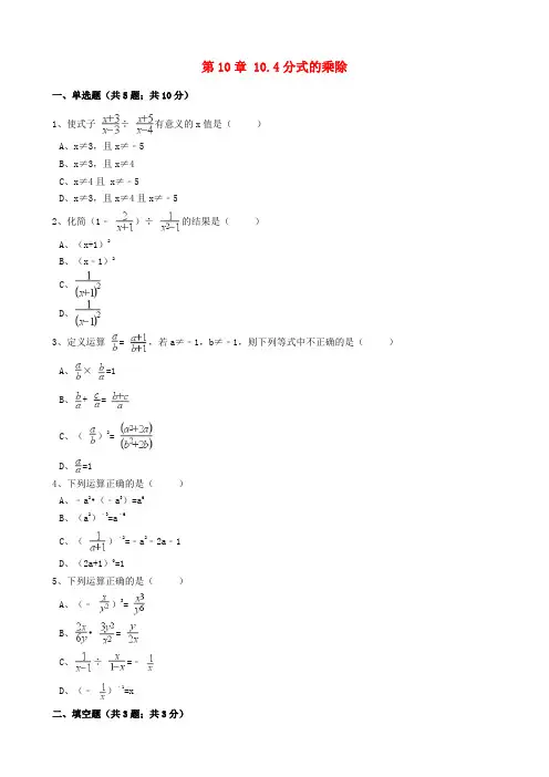
第10章 10.4分式的乘除一、单选题(共5题;共10分)1、使式子÷ 有意义的x值是()A、x≠3,且x≠﹣5B、x≠3,且x≠4C、x≠4且x≠﹣5D、x≠3,且x≠4且x≠﹣52、化简(1﹣)÷ 的结果是()A、(x+1)2B、(x﹣1)2C、D、3、定义运算= ,若a≠﹣1,b≠﹣1,则下列等式中不正确的是()A、× =1B、+ =C、()2=D、=14、下列运算正确的是()A、﹣a2•(﹣a3)=a6B、(a2)﹣3=a﹣6C、()﹣2=﹣a2﹣2a﹣1D、(2a+1)0=15、下列运算正确的是()A、(﹣)3=B、•=C、÷ =﹣D、(﹣)﹣1=x二、填空题(共3题;共3分)6、当m=﹣5时,分式(m+2﹣)•的值是________.7、计算:x2y÷()3=________.8、当x________时,分式的值为0三、计算题(共9题;共45分)9、化简:﹣÷ ,然后在不等式组的非负整数解中选择一个适当的数代入求值.10、先化简,再选择一个你喜欢的数字代入求值:(﹣)÷ .11、先化简,(﹣)÷ ,再选一个合适的数作为a的值计算.12、先化简再求值:(﹣)÷ (取一个你认为合适的数)13、先化简,再求值:÷(+1),其中x=2.14、已知a+b=2,求(+ )•的值.15、先化简,再求值:,其中x= +1.16、先化简,再求值:(a﹣)÷(),其中a满足a2﹣3a+2=0.17、先化简,再求值:÷(x﹣2﹣),其中x=3.四、解答题(共3题;共15分)18、在数学课上,教师对同学们说:“你们任意说出一个x的值(x≠0,1,2),我立刻就知道式子的计算结果”.请你说出其中的道理.19、先化简,再求值:,其中,.20、先化简,再求值:[1+]÷ ,其中x=6.五、综合题(共1题;共10分)21、先化简,再求值:(1)(4ab3﹣8a2b2)÷4ab+(2a+b)(2a﹣b),其中a=2,b=1;(2)(﹣)÷ ,其中a﹣3b=0.答案解析部分一、单选题1、【答案】D【考点】分式有意义的条件,分式的乘除法【解析】【解答】解:由题意得:x﹣3≠0,x﹣4≠0,x+5≠0,解得:x≠3,4,﹣5,故选:D.【分析】根据分式有意义的条件可得x﹣3≠0,x﹣4≠0,根据除数不能为零可得x+5≠0,再解即可.2、【答案】B【考点】分式的混合运算【解析】【解答】解:(1﹣)÷ ===(x﹣1)2,故选B.【分析】先对括号内的式子通分,然后再将除法转化为乘法即可解答本题.3、【答案】B【考点】分式的混合运算【解析】【解答】解:A、正确.∵= ,= .∴× = × =1.B、错误.+ = + = .C、正确.∵()2=()2= = .D、正确.= =1.故选B.【分析】根据定义:= ,一一计算即可判断.4、【答案】B【考点】同底数幂的乘法,分式的乘除法,零指数幂,负整数指数幂【解析】【解答】解:A、原式=a5,错误; B、原式=a﹣6,正确;C、原式=(a+1)2=a2+2a+1,错误;D、当2a+1≠0,即a≠﹣时,原式=1,错误,故选B【分析】原式各项计算得到结果,即可作出判断.5、【答案】C【考点】分式的乘除法,负整数指数幂【解析】【解答】解:A、原式=﹣,错误; B、原式= ,错误;C、原式=﹣•=﹣,正确;D、原式=﹣x,错误,故选C【分析】原式各项计算得到结果,即可作出判断.二、填空题6、【答案】4【考点】分式的化简求值【解析】【解答】解:原式= •= •=﹣2(m+3),当m=﹣5时,原式=﹣2×(﹣5+3)=﹣2×(﹣2)=4,故答案为:4.【分析】将计算括号内分式的加法,再计算乘法即可化简原式,最后代入化简后的式子即可得答案.7、【答案】【考点】分式的乘除法【解析】【解答】解:原式=x2y• = ,故答案为:【分析】原式先计算乘方运算,再计算除法运算即可得到结果.8、【答案】x=-1【考点】分式的化简求值【解析】【解答】分式的值为0时,x-2≠0,x+1=0,则x=-1.故答案为-1.【分析】分式的值为0,分母不为0,但分子为0.三、计算题9、【答案】解:﹣÷ = ﹣×= ﹣== ,∵不等式组的解集为x<2,x<2的非负整数解是0,1,∵(x+1)(x﹣1)≠0,x+2≠0,∴x≠±1,x≠﹣2,∴把x=0代入=2【考点】分式的化简求值,一元一次不等式组的整数解【解析】【分析】首先利用分式的混合运算法则将原式化简,然后解不等式组,选择使得分式有意义的值代入求解即可求得答案.10、【答案】解:原式=[ ﹣]• = •= •= •=﹣.当x=3时,原式=﹣=1【考点】分式的化简求值【解析】【分析】首先括号内的分式的分母分解因式,把除法转化为乘法,然后括号内的分式通分相减,再计算乘法即可化简,最后代入适当的x的值计算即可.11、【答案】解:原式=(﹣)•(a+1)(a﹣1) =2a(a+1)﹣a(a﹣1)=2a2+2a﹣a2+a=a2+3a.当a=0时,原式=0【考点】分式的化简求值【解析】【分析】首先把除法转化为乘法,利用分配律计算,然后合并同类项即可化简,然后代入使分式有意义的a的值求解.12、【答案】解:原式= •= ,∵x≠±1,﹣2,∴取x=0,原式= =﹣1【考点】分式的化简求值【解析】【分析】先通分,再根据同分母的分式进行加减,把分子分母因式分解再约分,进行计算,选择分母不为0的数代入计算即可.13、【答案】解:原式= ÷ = ÷= ÷= •= .当x=2时,原式= =1【考点】分式的化简求值【解析】【分析】首先把括号内的分式通分相加,然后把出发转化为乘法,分子和分母分解因式,然后计算乘法即可化简,然后解方程求得x的值代入求解.14、【答案】解:(+ )•=== ,当a+b=2时,原式=【考点】分式的化简求值【解析】【分析】先化简题目中的式子,然后将a+b的值代入化简后的式子即可解答本题.15、【答案】解:原式= •﹣= ,当x= +1时,原式= =【考点】分式的混合运算,二次根式的化简求值【解析】【分析】先根据分式混合运算的顺序,化简分式,再代入x值计算.16、【答案】解:(a﹣)÷() ====a,由a2﹣3a+2=0,得a=1或a=2,∵当a=1时,a﹣1=0,使得原分式无意义,∴a=2,原式=2.【考点】分式的化简求值【解析】【分析】先化简题目中的式子,然后根据a2﹣3a+2=0可得a的值,注意a的值要使得原分式有意义,本题得以解决.17、【答案】解:原式= ÷ = ÷= •= .当x=3时,原式=1【考点】分式的化简求值【解析】【分析】先算括号里面的,再算除法,最后把x=3代入进行计算即可.四、解答题18、【答案】解:∵原式= ÷ , = ×=x.∴任意说出一个x的值(x≠0,1,2)均可以为此式的计算结果【考点】分式的化简求值【解析】【分析】先根据分式混合运算的法则把原式进行化简,再根据化简结果即可得出结论.19、【答案】解:== = ,把,代入上式,得原式= .【考点】分式的化简求值,二次根式的化简求值【解析】【分析】先对通分,再对x2+2xy+y2分解因式,进行化简求值.20、【答案】==当x=6时,原式=5.【考点】分式的化简求值【解析】【分析】分式的混合运算中,分子和分母可因式分解的先因为分解,再一步一步的计算.五、综合题21、【答案】(1)解:原式=b2﹣2ab+4a2﹣b2=4a2﹣2ab.当a=2,b=1时,原式=4×22﹣2×2×1=12.(2)解:原式= × == ×=∵a﹣3b=0,即a=3b,∴原式=【考点】分式的化简求值【解析】【分析】(1)先做除法和乘法,再算加减,化简后代入求值;(2)先算括号里面的,再做除法运算,化为最简分式再代入求值.。
分式的乘除1.若代数式1324x x x x --÷--有意义,则x 的取值范围是 ( ) A .x ≠2 B .x ≠2且x ≠4 C .x ≠3且x ≠4 D .x ≠2,x ≠3且x ≠42.下列各式与223a a b ⎛⎫- ⎪+⎝⎭相等的是 ( )A .()226a a b -+B .()426a a b + C .()429a a b +D .4229a a b+3.计算xy ÷y x的结果是_______. 4.填空:(1)2x 2÷343x =_______; (2)322a b b a ⨯=_______;(3)(ab -b 2)÷a b ab-_______; (4)3xy 2÷26y x =_______.5.(2013.新疆)化简2212124x x x x x --+÷--=_______. 6.(2013.随州)先化简,再求值:2222111x x x xx x +++÷--,其中x =2.7.(2013.南京)计算a 3·21a ⎛⎫⎪⎝⎭的结果是 ( )A .aB .a 5C .a 6D .a 98.若x 等于它的倒数,则()()22216923x x x x x +÷++-+的值是 ( )A .-3B .-2C .-1D .09.一份工作,甲单独做需a 天完成,乙单独做需6天完成,那么甲、乙两人合作完成这份工作,所需的时间是 ( ) A .aba b+ B .2a b+ C .11a b+D .a bab+ 10.计算:(1)2221265xy x y x÷=_______;(2)22222a a a a a+⨯=-+ _______. 11.若2x =3y(y ≠0),则2283x y=_______.12.计算: (1)222932b c a a bc ⎛⎫-• ⎪⎝⎭(2) (-6x 2y)2÷323x y ⎛⎫- ⎪⎝⎭(3)22242369x x x x x x --÷+++(4) (2013.成都)(a 2-a)÷2211a a a -+-13.已知x 、y 是方程组214x y x y +=⎧⎨-=⎩的解,求代数式222222222x xy x y x xy y x xy y +-•-+++的值.14.已知0237ab c ==≠,求分式a b ca-+的值. 参考答案1.D 2.C 3.x 24.(1)32x(2)a b (3)a b 2(4)22x 6.原式=1x ,原式=127.A 8.A 9.A 10.(1)225x (2)2a a - 11.6 12.(1)3abc - (2)5243y x -(3)26x x+ (4)a 13.x =3,y =-1,34 14.3考点综合专题:一元二次方程与其他知识的综合◆类型一 一元二次方程与三角形、四边形的综合1.(雅安中考)已知等腰三角形的腰和底的长分别是一元二次方程x 2-4x +3=0的根,则该三角形的周长可以是( )A .5B .7C .5或7D .102.(广安中考)一个等腰三角形的两条边长分别是方程x 2-7x +10=0的根,则该等腰三角形的周长是( )A .12B .9C .13D .12或93.(罗田县期中)菱形ABCD 的一条对角线长为6,边AB 的长是方程x 2-7x +12=0的一个根,则菱形ABCD 的周长为( )A .16B .12C .16或12D .244.(烟台中考)等腰三角形边长分别为a ,b ,2,且a ,b 是关于x 的一元二次方程x 2-6x +n -1=0的两根,则n 的值为( )A .9B .10C .9或10D .8或105.(齐齐哈尔中考)△ABC的两边长分别为2和3,第三边的长是方程x2-8x+15=0的根,则△ABC的周长是.6.(西宁中考)若矩形的长和宽是方程2x2-16x+m=0(0<m≤32)的两根,则矩形的周长为.【方法8】7.已知一直角三角形的两条直角边是关于x的一元二次方程x2+(2k-1)x +k2+3=0的两个不相等的实数根,如果此直角三角形的斜边是5,求它的两条直角边分别是多少.【易错4】◆类型二一元二次方程与函数的综合8.(泸州中考)若关于x的一元二次方程x2-2x+kb+1=0有两个不相等的实数根,则一次函数y=kx+b的大致图象可能是()9.(安顺中考)若一元二次方程x2-2x-m=0无实数根,则一次函数y=(m +1)x+m-1的图象不经过()A.第四象限B.第三象限C.第二象限D.第一象限10.(葫芦岛中考)已知k、b是一元二次方程(2x+1)(3x-1)=0的两个根,且k>b,则函数y=kx+b的图象不经过()A.第一象限B.第二象限C.第三象限D.第四象限11.(广元中考)从3,0,-1,-2,-3这五个数中抽取一个数,作为函数y=(5-m2)x和关于x的一元二次方程(m+1)x2+mx+1=0中m的值.若恰好使函数的图象经过第一、三象限,且使方程有实数根,则满足条件的m的值是.12.(甘孜州中考)若函数y=-kx+2k+2与y=kx(k≠0)的图象有两个不同的交点,则k的取值范围是..◆类型三一元二次方程与二次根式的综合13.(达州中考)方程(m-2)x2-3-mx+14=0有两个实数根,则m的取值范围为()A.m>52B.m≤52且m≠2C.m≥3 D.m≤3且m≠214.(包头中考)已知关于x的一元二次方程x2+k-1x-1=0有两个不相等的实数根,则k 的取值范围是 .考点综合专题:一元二次方程与其他知识的综合1.B 2.A 3.A 4.B 5.86.16 解析:设矩形的长和宽分别为x 、y ,根据题意得x +y =8,所以矩形的周长为2(x +y)=16.7.解:∵一元二次方程x 2+(2k -1)x +k 2+3=0有两个不相等的实数根,∴Δ>0,∴(2k -1)2-4(k 2+3)>0,即-4k -11>0,∴k<-114,令其两根分别为x 1,x 2,则有x 1+x 2=1-2k ,x 1·x 2=k 2+3,∵此方程的两个根分别是一直角三角形的两条直角边,且此直角三角形的斜边长为5,∴x 21+x 22=52,∴(x 1+x 2)2-2x 1·x 2=25,∴(1-2k)2-2(k 2+3)=25,∴k 2-2k -15=0,∴k 1=5,k 2=-3,∵k<-114,∴k =-3, ∴把k =-3代入原方程得到x 2-7x +12=0,解得x 1=3,x 2=4,∴直角三角形的两直角边分别为3和4.8.B9.D 解析:∵一元二次方程x 2-2x -m =0无实数根,∴Δ<0,∴Δ=4-4×1×(-m)=4+4m <0,∴m <-1,∴m +1<1-1,即m +1<0,m -1<-1-1,即m -1<-2,∴一次函数y =(m +1)x +m -1的图象不经过第一象限.故选D.10.B 11.-2 12.k>-12且k≠013.B 14.k≥1。
10.4 分式的乘除一.选择题1.化简÷的结果是()A.B.C.D.2(x+1)2.下列运算结果为x﹣1的是()A.1﹣B.•C.÷D.3.如果a+b=2,那么代数(a﹣)•的值是()A.2 B.﹣2 C.D.﹣4.化简()•ab,其结果是()A.B.C.D.5.化简的结果是()A. B. C.x+1 D.x﹣16.当x=6,y=3时,代数式()•的值是()A.2 B.3 C.6 D.9二.填空题(共9小题)7.计算:=.8.若a2+5ab﹣b2=0,则的值为.9.化简:÷=.10.化简:(+)=.11.计算(a﹣)÷的结果是.12.a,b互为倒数,代数式÷(+)的值为.三.解答题(共10小题)13.化简:(1+)÷.14.计算:(﹣).15.化简:().16.先化简,再求(+)×的值,其中x=3.17.先化简,再求值:(﹣)+,其中a=2,b=.18.有一列按一定顺序和规律排列的数:第一个数是;第二个数是;第三个数是;…对任何正整数n,第n个数与第(n+1)个数的和等于.(1)经过探究,我们发现:,,,设这列数的第5个数为a,那么,,,哪个正确?请你直接写出正确的结论;(2)请你观察第1个数、第2个数、第3个数,猜想这列数的第n个数(即用正整数n表示第n数),并且证明你的猜想满足“第n个数与第(n+1)个数的和等于”;(3)设M表示,,,…,,这2016个数的和,即,求证:.答案与解析一.选择题1.(2016•济南)化简÷的结果是()A. B.C.D.2(x+1)【分析】原式利用除法法则变形,约分即可得到结果.【解答】解:原式=•(x﹣1)=,故选A【点评】此题考查了分式的乘除法,熟练掌握运算法则是解本题的关键.2.(2016•河北)下列运算结果为x﹣1的是()A.1﹣B.•C.÷D.【分析】根据分式的基本性质和运算法则分别计算即可判断.【解答】解:A、1﹣=,故此选项错误;B、原式=•=x﹣1,故此选项正确;C、原式=•(x﹣1)=,故此选项错误;D、原式==x+1,故此选项错误;故选:B.【点评】本题主要考查分式的混合运算,熟练掌握分式的运算顺序和运算法则是解题的关键.3.(2016•北京)如果a+b=2,那么代数(a﹣)•的值是()A.2 B.﹣2 C.D.﹣【分析】原式括号中两项通分并利用同分母分式的减法法则计算,约分得到最简结果,把已知等式代入计算即可求出值.【解答】解:∵a+b=2,∴原式=•=a+b=2故选:A.【点评】此题考查了分式的化简求值,将原式进行正确的化简是解本题的关键.4.(2016•包头)化简()•ab,其结果是()A.B.C.D.【分析】原式括号中两项通分并利用同分母分式的加减法则计算,约分即可得到结果.【解答】解:原式=••ab=,故选B【点评】此题考查了分式的混合运算,熟练掌握运算法则是解本题的关键.5.(2016•荆门)化简的结果是()A. B. C.x+1 D.x﹣1【分析】原式括号中两项通分并利用同分母分式的减法法则计算,同时利用除法法则变形,约分即可得到结果.【解答】解:原式=÷=•=,故选A【点评】此题考查了分式的化简求值,熟练掌握运算法则是解本题的关键.6.(2016•桂林)当x=6,y=3时,代数式()•的值是()A.2 B.3 C.6 D.9【分析】先对所求的式子化简,然后将x=6,y=3代入化简后的式子即可解答本题.【解答】解:()•==,当x=6,y=3时,原式=,故选C.【点评】本题考查分式的化简求值,解题的关键是对所求式子进行灵活变化.然后对分式进行化简.二.填空题(共9小题)7.(2016•新疆)计算:=.【分析】先约分,再根据分式的乘除法运算的计算法则计算即可求解.【解答】解:=•=.故答案为:.【点评】考查了分式的乘除法,规律方法总结:①分式乘除法的运算,归根到底是乘法的运算,当分子和分母是多项式时,一般应先进行因式分解,再约分.②整式和分式进行运算时,可以把整式看成分母为1的分式.③做分式乘除混合运算时,要注意运算顺序,乘除法是同级运算,要严格按照由左到右的顺序进行运算,切不可打乱这个运算顺序.8.(2016•毕节市)若a2+5ab﹣b2=0,则的值为5.【分析】先根据题意得出b2﹣a2=5ab,再由分式的减法法则把原式进行化简,进而可得出结论.【解答】解:∵a2+5ab﹣b2=0,∴﹣===5.故答案为:5.【点评】本题考查的是分式的化简求值,分式求值题中比较多的题型主要有三种:转化已知条件后整体代入求值;转化所求问题后将条件整体代入求值;既要转化条件,也要转化问题,然后再代入求值.9.(2016•永州)化简:÷=.【分析】将分子、分母因式分解,除法转化为乘法,再约分即可.【解答】解:原式=•=,故答案为:.【点评】本题主要考察了分式的除法的知识,解答本题的关键是掌握分式除法的运算法则,此题比较简单.10.(2016•内江)化简:(+)=a.【分析】先括号里面的,再算除法即可.【解答】解:原式=•=(a+3)•=a.故答案为:a.【点评】本题考查的是分式的混合运算,熟知分式混合运算的法则是解答此题的11.(2016•黄冈)计算(a﹣)÷的结果是a﹣b.【分析】原式括号中两项通分并利用同分母分式的减法法则计算,同时利用除法法则变形,约分即可得到结果.【解答】解:原式=•=•=a﹣b,故答案为:a﹣b【点评】此题考查了分式的混合运算,熟练掌握运算法则是解本题的关键.12.(2016•咸宁)a,b互为倒数,代数式÷(+)的值为1.【分析】先算括号里面的,再算除法,根据a,b互为倒数得出a•b=1,代入代数式进行计算即可.【解答】解:原式=÷=(a+b)•=ab,∵a,b互为倒数,∴a•b=1,∴原式=1.故答案为:1.【点评】本题考查的是分式的化简求值,在解答此类题目时要注意把原式化为最简形式,再代入求值.三.解答题13.(2016•资阳)化简:(1+)÷.【分析】首先把括号内的式子通分相加,把除法转化为乘法,然后进行乘法运算【解答】解:原式=÷=•=a﹣1.【点评】本题主要考查分式的混合运算,通分、因式分解和约分是解答的关键.14.(2016•聊城)计算:(﹣).【分析】原式括号中两项通分并利用同分母分式的减法法则计算,同时利用除法法则变形,约分即可得到结果.【解答】解:原式=•=•=﹣.【点评】此题考查了分式的混合运算,熟练掌握运算法则是解本题的关键.15.(2016•玉林)化简:().【分析】先把括号内通分,再把除法运算化为乘法运算,然后把分子分解因式后约分即可.【解答】解:原式=•=•=1.【点评】本考查了分式的混合运算:分式的混合运算,要注意运算顺序,式与数有相同的混合运算顺序;先乘方,再乘除,然后加减,有括号的先算括号里面的.最后结果分子、分母要进行约分,注意运算的结果要化成最简分式或整式.16.(2016•盐城)先化简,再求(+)×的值,其中x=3.【分析】原式括号中两项通分并利用同分母分式的加法法则计算,约分得到最简结果,把x的值代入计算即可求出值.【解答】解:原式=•=•=,当x=3时,原式=1.【点评】此题考查了分式的化简求值,熟练掌握运算法则是解本题的关键.17.(2016•长沙)先化简,再求值:(﹣)+,其中a=2,b=.【分析】先对所求式子进行化简,然后根据a=2,b=可以求得化简后式子的值,本题得以解决.【解答】解:(﹣)+===,当a=2,b=时,原式=.【点评】本题考查分式的化简求值,解题的关键是会对所求的式子化简并求值.18.(2016•云南)有一列按一定顺序和规律排列的数:第一个数是;第二个数是;第三个数是;…对任何正整数n,第n个数与第(n+1)个数的和等于.(1)经过探究,我们发现:,,,设这列数的第5个数为a,那么,,,哪个正确?请你直接写出正确的结论;(2)请你观察第1个数、第2个数、第3个数,猜想这列数的第n个数(即用正整数n表示第n数),并且证明你的猜想满足“第n个数与第(n+1)个数的和等于”;(3)设M表示,,,…,,这2016个数的和,即,求证:.【分析】(1)由已知规律可得;(2)先根据已知规律写出第n、n+1个数,再根据分式的运算化简可得;(3)将每个分式根据﹣=<<=﹣,展开后再全部相加可得结论.【解答】解:(1)由题意知第5个数a==﹣;(2)∵第n个数为,第(n+1)个数为,∴+=(+)=×=×10.3 分式的加减一.选择题1.化简﹣(a+1)的结果是()A.B.﹣C.D.﹣2.化简﹣的结果是()A.B.C. D.3.化简﹣的结果为()A.B.C.D.4.化简+的结果是()A.m+n B.n﹣m C.m﹣n D.﹣m﹣n 5.化简﹣的结果是()A.m+3 B.m﹣3 C.D.二.填空题6.化简=.7.计算:﹣=.8.已知x﹣=4,则x2﹣4x+5的值为.三.解答题9.化简:a﹣b﹣.10.计算﹣.11.化简:.12.化简: +.答案与解析一.选择题1.(2016•绥化)化简﹣(a+1)的结果是()A.B.﹣C.D.﹣【分析】先根据通分法则把原式变形,再根据平方差公式、合并同类项法则计算即可.【解答】解:原式=﹣=,故选:A.【点评】本题考查的是分式的加减法,掌握分式的加减法法则、平方差公式是解题的关键.2.(2015•山西)化简﹣的结果是()A.B.C. D.【分析】原式第一项约分后,利用同分母分式的减法法则计算,即可得到结果.【解答】解:原式=﹣=﹣==,故选A.【点评】此题考查了分式的加减法,熟练掌握运算法则是解本题的关键.3.(2015•百色)化简﹣的结果为()A.B.C.D.【分析】先通分,再把分子相加减即可.【解答】解:原式=﹣====.故选C.【点评】本题考查的是分式的加减法,熟知异分母分式的加减法法则是解答此题的关键.4.(2016•攀枝花)化简+的结果是()A.m+n B.n﹣m C.m﹣n D.﹣m﹣n【分析】首先进行通分运算,进而分解因式化简求出答案.【解答】解: +=﹣==m+n.故选:A.【点评】此题主要考查了分式的加减运算,正确分解因式是解题关键.5.(2015•济南)化简﹣的结果是()A.m+3 B.m﹣3 C.D.【分析】原式利用同分母分式的减法法则计算,约分即可得到结果.【解答】解:原式===m+3.故选A.【点评】此题考查了分式的加减法,熟练掌握运算法则是解本题的关键.二.填空题(共9小题)6.(2016•临沂)化简=a+1.【分析】首先把两个分式的分母变为相同再计算.【解答】解:原式=﹣=a+1.故答案为:a+1.【点评】此题考查的知识点是分式的加减法,关键是先把两个分式的分母化为相同再计算.7.(2016•昆明)计算:﹣=.【分析】同分母分式加减法法则:同分母的分式相加减,分母不变,把分子相加减;再分解因式约分计算即可求解.【解答】解:﹣===.故答案为:.【点评】考查了分式的加减法,注意通分是和约分是相反的一种变换.约分是把分子和分母的所有公因式约去,将分式化为较简单的形式;通分是分别把每一个分式的分子分母同乘以相同的因式,使几个较简单的分式变成分母相同的较复杂的形式.8.(2016•德阳)已知x﹣=4,则x2﹣4x+5的值为6.【分析】首先根据x﹣=4,求出x2﹣4x的值是多少,然后把求出的x2﹣4x的值代入x2﹣4x+5,求出算式的值是多少即可.【解答】解:∵x﹣=4,∴x2﹣1=4x,∴x2﹣4x=1,∴x2﹣4x+5=1+5=6.故答案为:6.【点评】此题主要考查了分式的加减法,要熟练掌握,注意代入法的应用.三.解答题(共10小题)9.(2016•福州)化简:a﹣b﹣.【分析】先约分,再去括号,最后合并同类项即可.【解答】解:原式=a﹣b﹣(a+b)=a﹣b﹣a﹣b=﹣2b.【点评】此题考查了分式的加减法,熟练掌握运算法则是解本题的关键.10.(2016•南京)计算﹣.【分析】首先进行通分运算,进而合并分子,进而化简求出答案.【解答】解:﹣=﹣==。
(新课标)苏科版八年级下册
10.4 分式的乘除
一.选择题
1.化简÷的结果是()
A. B. C. D.2(x+1)
2.下列运算结果为x﹣1的是()
A.1﹣ B.•C.÷D.
3.如果a+b=2,那么代数(a﹣)•的值是()A.2 B.﹣2 C. D.﹣
4.化简()•ab,其结果是()A.B.C.D.
5.化简的结果是()
A.B.C.x+1 D.x﹣1
6.当x=6,y=3时,代数式()•的值是()A.2 B.3 C.6 D.9
二.填空题(共9小题)
7.计算: = .
8.若a2+5ab﹣b2=0,则的值为.
9.化简:÷= .
10.化简:(+)= .
11.计算(a﹣)÷的结果是.
12.a,b互为倒数,代数式÷(+)的值为.
三.解答题(共10小题)
13.化简:(1+)÷.
14.计算:(﹣).
15.化简:().
16.先化简,再求(+)×的值,其中x=3.17.先化简,再求值:(﹣)+,其中a=2,b=.18.有一列按一定顺序和规律排列的数:
第一个数是;
第二个数是;
第三个数是;
…
对任何正整数n,第n个数与第(n+1)个数的和等于.(1)经过探究,我们发现:,,,设这列数的第5个数为a,那么,,,哪
个正确?
请你直接写出正确的结论;
(2)请你观察第1个数、第2个数、第3个数,猜想这列数的第n个数(即用正整数n表示第n数),并且证明你的猜想满足“第n个数与第(n+1)个数的和等于”;
(3)设M表示,,,…,,这2016个数的和,即
,
求证:.
答案与解析
一.选择题
1.(2016•济南)化简÷的结果是()A.B.C.D.2(x+1)
【分析】原式利用除法法则变形,约分即可得到结果.
【解答】解:原式=•(x﹣1)=,
故选A
【点评】此题考查了分式的乘除法,熟练掌握运算法则是解本题的关键.
2.(2016•河北)下列运算结果为x﹣1的是()
A.1﹣ B.•C.÷D.
【分析】根据分式的基本性质和运算法则分别计算即可判断.【解答】解:A、1﹣=,故此选项错误;
B、原式=•=x﹣1,故此选项正确;
C、原式=•(x﹣1)=,故此选项错误;
D、原式==x+1,故此选项错误;
故选:B.
【点评】本题主要考查分式的混合运算,熟练掌握分式的运算顺序和运算法则是解题的关键.
3.(2016•北京)如果a+b=2,那么代数(a﹣)•的值是()
A.2 B.﹣2 C.D.﹣
【分析】原式括号中两项通分并利用同分母分式的减法法则计算,约分得到最简结果,把已知等式代入计算即可求出值.
【解答】解:∵a+b=2,
∴原式=•=a+b=2
故选:A.
【点评】此题考查了分式的化简求值,将原式进行正确的化简是解本题的关键.
4.(2016•包头)化简()•ab,其结果是()
A.B.C.D.
【分析】原式括号中两项通分并利用同分母分式的加减法则计算,约分即可得到结果.
【解答】解:原式=••ab=,
故选B
【点评】此题考查了分式的混合运算,熟练掌握运算法则是解本题的关键.
5.(2016•荆门)化简的结果是()A.B.C.x+1 D.x﹣1
【分析】原式括号中两项通分并利用同分母分式的减法法则计算,同时利用除法法则变形,约分即可得到结果.
【解答】解:原式=÷=•=,
故选A
【点评】此题考查了分式的化简求值,熟练掌握运算法则是解本题的关键.
6.(2016•桂林)当x=6,y=3时,代数式()•的值是()
A.2 B.3 C.6 D.9
【分析】先对所求的式子化简,然后将x=6,y=3代入化简后的式子即可解答本题.
【解答】解:()•
=
=,
当x=6,y=3时,原式=,
故选C.
【点评】本题考查分式的化简求值,解题的关键是对所求式子进行灵活变化.然后对分式进行化简.
二.填空题(共9小题)
7.(2016•新疆)计算: = .
【分析】先约分,再根据分式的乘除法运算的计算法则计算即可求解.
【解答】解: =•=.
故答案为:.
【点评】考查了分式的乘除法,规律方法总结:
①分式乘除法的运算,归根到底是乘法的运算,当分子和分母是多项式时,一般应先进行因式分解,再约分.②整式和分式进行运算时,可以把整式看成分母为1的分式.③做分式乘除混合运算时,要注意运算顺序,乘除法是同级运算,要严格按照由左到右的顺序进行运算,切不可打乱这个运算顺序.
8.(2016•毕节市)若a2+5ab﹣b2=0,则的值为 5 .【分析】先根据题意得出b2﹣a2=5ab,再由分式的减法法则把原式进行化简,进而可得出结论.
【解答】解:∵a2+5ab﹣b2=0,
∴﹣===5.
故答案为:5.
【点评】本题考查的是分式的化简求值,分式求值题中比较多的题型主要有三种:转化已知条件后整体代入求值;转化所求问题后将条件整体代入求值;既要转化条件,也要转化问题,然后再代入求值.
9.(2016•永州)化简:÷= .
【分析】将分子、分母因式分解,除法转化为乘法,再约分即可.【解答】解:原式=•
=,
故答案为:.
【点评】本题主要考察了分式的除法的知识,解答本题的关键是掌握分式除法的运算法则,此题比较简单.
10.(2016•内江)化简:(+)= a .
【分析】先括号里面的,再算除法即可.
【解答】解:原式=•
=(a+3)•
=a.
故答案为:a.
【点评】本题考查的是分式的混合运算,熟知分式混合运算的法则是解答此题的关键.
11.(2016•黄冈)计算(a﹣)÷的结果是a﹣b .【分析】原式括号中两项通分并利用同分母分式的减法法则计算,同时利用除法法则变形,约分即可得到结果.
【解答】解:原式=•=•=a﹣b,
故答案为:a﹣b
【点评】此题考查了分式的混合运算,熟练掌握运算法则是解本题的关键.
12.(2016•咸宁)a,b互为倒数,代数式÷(+)的值为 1 .
【分析】先算括号里面的,再算除法,根据a,b互为倒数得出a•b=1,代入代数式进行计算即可.
【解答】解:原式=÷
=(a+b)•
=ab,
∵a,b互为倒数,
∴a•b=1,
∴原式=1.
故答案为:1.
【点评】本题考查的是分式的化简求值,在解答此类题目时要注意把原式化为最简形式,再代入求值.
三.解答题
13.(2016•资阳)化简:(1+)÷.
【分析】首先把括号内的式子通分相加,把除法转化为乘法,然后进行乘法运算即可.
【解答】解:原式=÷
=•
=a﹣1.
【点评】本题主要考查分式的混合运算,通分、因式分解和约分是解答的关键.
14.(2016•聊城)计算:(﹣).
【分析】原式括号中两项通分并利用同分母分式的减法法则计算,同时利用除法法则变形,约分即可得到结果.
【解答】解:原式=•
=•
=﹣.
【点评】此题考查了分式的混合运算,熟练掌握运算法则是解本题的关键.
15.(2016•玉林)化简:().
【分析】先把括号内通分,再把除法运算化为乘法运算,然后把分子分解因式后约分即可.
【解答】解:原式=•
=•
=1.
【点评】本考查了分式的混合运算:分式的混合运算,要注意运算顺序,式与数有相同的混合运算顺序;先乘方,再乘除,然后加减,有括号的先算括号里面的.最后结果分子、分母要进行约分,注意运算的结果要化成最简分式或整式.
16.(2016•盐城)先化简,再求(+)×的值,其中x=3.
【分析】原式括号中两项通分并利用同分母分式的加法法则计算,约分得到最简结果,把x的值代入计算即可求出值.
【解答】解:原式=•=•=,
当x=3时,原式=1.
【点评】此题考查了分式的化简求值,熟练掌握运算法则是解本题的关键.
17.(2016•长沙)先化简,再求值:(﹣)+,其中a=2,b=.
【分析】先对所求式子进行化简,然后根据a=2,b=可以求得化简后式子的值,本题得以解决.
【解答】解:(﹣)+
=
=
=,
当a=2,b=时,原式=.
【点评】本题考查分式的化简求值,解题的关键是会对所求的式子化简并求值.
18.(2016•云南)有一列按一定顺序和规律排列的数:
第一个数是;
第二个数是;
第三个数是;
…
对任何正整数n,第n个数与第(n+1)个数的和等于.(1)经过探究,我们发现:,,,设这列数的第5个数为a,那么,,,哪个正确?
请你直接写出正确的结论;
(2)请你观察第1个数、第2个数、第3个数,猜想这列数的第n个数(即用正整数n表示第n数),并且证明你的猜想满足“第n个数与第(n+1)个数的和等于”;
(3)设M表示,,,…,,这2016个数的和,即
,
求证:.
【分析】(1)由已知规律可得;
(2)先根据已知规律写出第n、n+1个数,再根据分式的运算化简可得;
(3)将每个分式根据﹣=<<=﹣,展开后再全部相加可得结论.
【解答】解:(1)由题意知第5个数a==﹣;
(2)∵第n个数为,第(n+1)个数为,
∴+=(+)
=×
=×。