高三数学《一题多解 一题多变》试题及详解答案
- 格式:doc
- 大小:1.57 MB
- 文档页数:36
一题多解、一题多变考查知识点:函数的对称中心原题:函数)lg(12++=x x y 的图象关于原点对称。
解:该函数定义域为R :且))-(-lg()()-(12++=+x x x f x f +)lg(12++x x =))(-lg(1122++++x x x x =01=lg)(-)-(x f x f =∴:∴该函数图像关于原点对称变题1:已知函数)(x f y =满足)(-)-(11+=+x f x f 则)(x f y =的图象的关于),(01对称解: )(-)-(11+=+x f x f ∴)(1+=x f y 为奇函数:即)(1+=x f y 的图象关于原点),(00对称:故)(x f y =的图象关于),(01对称。
变题2:已知函数)(x f y =满足2=+)-()(x f x f :则函数)(x f y =的图象关于),(10对称解:由2=+)-()(x f x f 得:∴]-)([--)-(11x f x f =:)(x f y =-1为奇函数:即)(x f y =-1的图象关于(0:0)对称:∴)(x f y =的图象关于),(10对称变题3:已知函数)(x f y =满足22=++)()(x f x f :则)(x f y =的图象关于(1:1)对称解:令1-t x =:则t x --1=:故由22=++)()(x f x f 得211=++)-()(t f t f :即)(x f 满足211=++)-()(x f x f :即]-)([--)-(1111+=+x f x f :∴11-)(+=x f y 的图象关于原点(0:0)对称:故)(x f y =的图象关于(1:1)对称。
结论:若函数)(x f y =满足b x c f x a f =++)-()(:则)(x f y =的图象关于()22bc a ,+对称。
变题4:已知244+=x xx f )(求证:(1)11=+)-()(x f x f (2)指出该函数图象的对称中心并说明理由。
高三《一题多解 一题多变》题目一题多解 一题多变(一)原题:482++=x mx x f )( 的定义域为R ,求m 的取值范围 解:由题意0482≥++x mx 在R 上恒成立0>∴m 且Δ0≤,得4≥m变1:4823++=x mx x f log )(的定义域为R ,求m 的取值范围 解:由题意0482>++x mx 在R 上恒成立0>∴m 且Δ0<,得4>m变2:)(log )(4823++=x mx x f 的值域为R ,求m 的取值范围 解:令=t 482++x mx ,则要求t 能取到所有大于0的实数,∴ 当0=m 时,t 能取到所有大于0的实数当0≠m 时,0>m 且Δ0≥4≤0⇒m <40≤≤∴m变3:18223+++=x nx mx x f log )(的定义域为R,值域为[]20,,求m,n 的值 解:由题意,令[]911822,∈+++=x nx mx y ,得0-8--2=+n y x x m y )( m y ≠时,Δ0≥016-)(-2≤++⇒mn y n m y -∴ 1和9时0162=++-)(-mn y n m y 的两个根∴ 5==n m∴ 当m y =时,08==mn x - R x ∈ ,也符合题意 ∴5==n m一 题 多 解-解不等式523<<3-x解法一:根据绝对值的定义,进行分类讨论求解(1)当03-≥x 2时,不等式可化为53-<<x 2343<<x ⇒ (2)当03-<x 2时,不等式可化为0x -1⇒53-2x <<<+<3 综上:解集为}{0x 1-<<<<或43x x 解法二:转化为不等式组求解原不等式等价于014353232<<<<<>x x x x ⇒-3-或且 综上:解集为}{0x 1-<<<<或43x x 解法三:利用等价命题法 原不等式等价于-33-2x 5-53-<<<<或x 23,即0x 1-<<<<或43x 解集为}{0x 1-<<<<或43x x 解法四:利用绝对值的集合意义原不等式可化为2523<<23-x ,不等式的几何意义时数轴上的点23到x 的距离大于23,且小于25,由图得, 解集为}{0x 1-<<<<或43x x一题多解 一题多变(二)已知n s 是等比数列的前n 想项和,963s s s ,,成等差数列,求证:852a a a ,,成等差数列法一:用公式qq a s n n 一一111)(=,因为963s s s ,,成等差数列,所以9632s s s =+且1≠q 则6396391613121121121111q q q q q q qq a q q a q q a =+=+=+⇒)≠(⇒)()()(一一一一一一 所以8716141152222a q a q q a q a q a a a ===+=+)( 所以 852a a a ,,成等差数列` 法二用公式q q a a s n n 一一11=,qq a a q q a a q q a a s s s 一一一一一一12112916131963)(∴,=+=+ 则q a q a q a a a a 85296322=+⇒=+8522a a a =+⇒,所以 852a a a ,,成等差数列`证法三:(用公式)(),(n n n n n n n q q s s q s s 23211++=+=) 3333213654361s q q a a a s a a a s s )()(+=+++=+++=)()()(633333963633912121q q s q s s s s s q q s s ++=++⇒=+++=解得213一=q (下略)变题:已知54=αsin 且α是第二象限角,求αtan 解:α是第二象限角,54=αsin 345312一一一一===αααtan ,sin cos ⇒ 变1:54=αsin ,求αtan解:054>=αsin ,所以α是第一或第二象限角若是第一象限角,则3453==ααtan ,cos若是第二象限角,则3454一一==ααtan ,cos变2:已知)(sin 0>=m m α求αtan 解:由条件10≤<m ,所以当 10<<m 时,α是第一或第二象限角 若是第一象限角时2211mm αm α一一==tan ,cos 若是第二象限角2211mm αm α一一一一tan ,cos ==当1=m 时αtan 不存在变3:已知)(sin 1≤=m m α,求αtan 解:当11一,=m 时,αtan 不存在 当0=m 时, 0=αtan当α时第一、第四象限角时,21mm α一=tan当α是第二、第三象限角时,21mm α一一=tan一题多解 一题多变(三)题目:求函数)()(01 x xx x f +=的值域 方法一:判别式法 --设xx y 1+= ,则01yx -=+2x ,由Δ2y =-204≥⇒≥y 当2=y 时,2x -012=+x 1=⇒x , 因此当1=x 时,)()(01x xx x f +=有最小值2,即值域为[)+∞,2方法二:单调性法先判断函数)()(01 x xx x f +=的单调性 任取210x x ,则212121211x x x x x x x f x f )-)(-()(-)(=当2021≤x x 时,即)()(21x f x f ,此时)(x f 在(]10,上时减函数 当212x x 时,)()(21x f x f )(x f 在()+∞,2上是增函数由)(x f 在(]10,上是减函数,)(x f 在()∞,+1上是增函数,知 1=x 时,)(x f 有最小值2,即值域为[)+∞,2方法三:配方法 2112+=+=)-()(xx xx x f ,当01=xx -时,1=x ,此时)(x f 有最小值2,即值域为[)+∞,2方法四:基本不等式法x x x f 1+=)(212122=≥+=xxx x )()( )(x f 有最小值2,即值域为[)+∞,2变 题原题:若函数1212++=x ax x f )(的定义域为R ,求实数a 的取值范围解:由题意得0122 ++x ax 在R 上恒成立,则要求0 a 且Δ1044 a a ⇒=-变式一:函数)(log )(1222++=x ax x f 的定义域为R ,求实数a 的取值范围解:由题意得0122 ++x ax 在R 上恒成立,则要求0 a 且Δ1044 a a ⇒=-变式二:函数)(l o g )(1222++=x ax x f 的值域为R ,求实数a 的取值范围解:令=u 122++x ax 能取到所有大于0的实数,则 0=a 时,1+=zx u 能取到所有大于0的实数 0≠a 时,0 a 且Δ1a 004a -≤⇒≥= 4综上10≤≤a一题多解 一题多变(四)题目:求函数)()(01 x xx x f +=的值域 方法一:判别式法 --设xx y 1+= ,则01yx -=+2x ,由Δ2y =-204≥⇒≥y当2=y 时,2x -012=+x 1=⇒x , 因此当1=x 时,)()(01x xx x f +=有最小值2,即值域为[)+∞,2方法二:单调性法先判断函数)()(01 x xx x f +=的单调性 任取210x x ,则212121211x x x x x x x f x f )-)(-()(-)(=当2021≤x x 时,即)()(21x f x f ,此时)(x f 在(]10,上时减函数 当212x x 时,)()(21x f x f )(x f 在()+∞,2上是增函数由)(x f 在(]10,上时减函数,)(x f 在()∞,+1上是增函数,知 1=x 时,)(x f 有最小值2,即值域为[)+∞,2方法三:配方法2112+=+=)-()(x x x x x f ,当01=xx -时,1=x ,此时 )(x f 有最小值2,即值域为[)+∞,2方法四:基本不等式法x x x f 1+=)(212122=≥+=xxx x )()( )(x f 有最小值2,即值域为[)+∞,2变 题原题:若函数1212++=x ax x f )(的定义域为R ,求实数a 的取值范围解:由题意得0122 ++x ax 在R 上恒成立,则要求0 a 且Δ1044 a a ⇒=-变式一:函数)(log )(1222++=x ax x f 的定义域为R ,求实数a 的取值范围解:由题意得0122 ++x ax 在R 上恒成立,则要求0 a 且Δ1044 a a ⇒=-变式二:函数)(l o g )(1222++=x ax x f 的值域为R ,求实数a 的取值范围解:令=u 122++x ax 能取到所有大于0的实数,则 0=a 时,1+=zx u 能取到所有大于0的实数 0≠a 时,0 a 且Δ1a 004a -≤⇒≥= 4综上10≤≤a一题多解 一题多变(五)题目:椭圆1162522=+y x 的焦点是21F F 、,椭圆上一点P 满足21PF PF ⊥,下面结论正确的是———————————————————————( )(A )P 点有两个 (B )P 点有四个(C )P 点不一定存在 (D )P 点一定不存在解法一:以21F F 为直径构圆,知:圆的半径b c r =<==43,即圆与椭圆不可能有交点。
一题多解、一题多变考查知识点:函数的对称中心原题:函数)lg(12++=x x y 的图象关于原点对称。
解:该函数定义域为R ,且))-(-lg()()-(12++=+x x x f x f +)lg(12++x x =))(-lg(1122++++x x x x =01=lg)(-)-(x f x f =∴,∴该函数图像关于原点对称变题1:已知函数)(x f y =满足)(-)-(11+=+x f x f 则)(x f y =的图象的关于),(01对称解: )(-)-(11+=+x f x f ∴)(1+=x f y 为奇函数,即)(1+=x f y 的图象关于原点),(00对称,故)(x f y =的图象关于),(01对称。
变题2:已知函数)(x f y =满足2=+)-()(x f x f ,则函数)(x f y =的图象关于),(10对称解:由2=+)-()(x f x f 得,∴]-)([--)-(11x f x f =,)(x f y =-1为奇函数,即)(x f y =-1的图象关于(0,0)对称,∴)(x f y =的图象关于),(10对称变题3:已知函数)(x f y =满足22=++)()(x f x f ,则)(x f y =的图象关于(1,1)对称解:令1-t x =,则t x --1=,故由22=++)()(x f x f 得211=++)-()(t f t f ,即)(x f 满足211=++)-()(x f x f ,即]-)([--)-(1111+=+x f x f ,∴11-)(+=x f y 的图象关于原点(0,0)对称,故)(x f y =的图象关于(1,1)对称。
结论:若函数)(x f y =满足b x c f x a f =++)-()(,则)(x f y =的图象关于()22bc a ,+对称。
变题4:已知244+=x xx f )(求证:(1)11=+)-()(x f x f (2)指出该函数图象的对称中心并说明理由。
一题多解、一题多变(课本P 102 )证明:222221212122121)()(≤)(,)()(;)()()(,)(x f x f x x f b ax x x f x f x f x x f b ax x f ++++=+=++=则若则)若(变题:1、如图所示,),,,)((4321=i x f i 是定义在[0,1]上的四个函数,其中满足性质:“对[0,1]中的任意的21x x ,,任意1212[0,1],[(1)]()(1)()f x x f x f x λλλλλ∈+-≤+-恒成立”的只有( A )A 、 )(),(31x f x fB 、)(2x fC 、)(),(32x f x fD 、)(4x f变题2、定义在R 上的函数)(x f 满足:如果对于任意R x x ∈21,都有222121)()(≤)(x f x f x x f ++ 则称函数)(x f 是R 上的凹函数。
已知二次函数),()(02≠∈+=a R a x ax x f (1)求证:当0>a 时,函数)(x f 是凹函数;(2)如果],[10∈x 时,1≤|)(|x f ,试求实数a 的取值范围。
(1)证明:略(2)实数a 的取值范围是[2,0)-二、一题多解不查表计算:5235233lg lg lg lg ++解法一:原式=3lg2lg55)lg lg2lg5-2lg )(lg (lg 22+++52=523552222lg lg lg lg lg -lg ++ =5522222lg lg lg lg ++ =1522=+)lg (lg解法二:原式=322(lg 2lg5)3lg 2lg5-3lg 2lg 53lg 2lg5+-+=1-3lg 2lg5(lg 2lg51)+- =1解法三:原式=52352523523lg lg )lg (lg lg lg -)lg (lg +++=5235231lg lg lg lg -+ =1解法四:原式=52352352352352352222233lg lg lg lg -lg lg -lg lg lg lg lg lg ++++=)-lg (lg lg lg -)lg (lg 152523523++=1解法五:原式=15235233×++lg lg lg lg=)lg (lg lg lg lg lg 525235233+×++=352)lg (lg + =1。
一题多解、一题多变参赛题目例、2ax -021≥+ax 恒成立:求a 的取值范围 解:1、当0=a 时021> 2、 0>a20≤<⇒a2a =Δ-214×a 0≤ ∴20≤≤a变式1:已知函数()212+-=ax ax x g 的定义域为R :求实数a 的取值范围。
解:由题意得02≥+21ax -ax 恒成立: ∴1、当0=a 时021> 2、 0>a20≤<⇒a2a =Δ-214×a 0≤ ∴20≤≤a变式2、函数()212+-=ax ax x g 的定义域为R 的充要条件是什么解:由题意得02≥+21ax -ax 恒成立: ∴1、当0=a 时021> 2、 0>a20≤<⇒a2a =Δ-214×a 0≤ ∴20≤≤a变式3、2112+-=ax ax y 的定义域为R :求实数a 的取值范围。
解:由题意得02>+21ax -ax 恒成立: ∴1、当0=a 时021> 2、 0>a20<<a ⇒2a =Δ-214×a 0< ∴20<≤a变式4、2112+-=ax ax y 的定义域为R :求实数a 的取值范围。
解:由题意得2ax -021=+ax 无解即20a ,<Δ-200214<<⇒<×a a 或0=a∴20<≤a变式5、=y 22ax (log -)21+ax 的定义域为R :求a 的取值范围 解:由题意得02>+21ax -ax 恒成立: ∴1、当0=a 时021> 2、 0>a20<<a ⇒2a =Δ-214×a 0< ∴20<≤a一题多解徐晓洲 求2122++=x x y 的值域 法一:常数分离法21+=2x 1-y ∴ 021212102202222<+≤⇒≤+<⇒≥+⇒≥x x x x - 21- 即121≤-1212<+x ∴值域为[21:1)法二:反解法由0122122222≥=⇒+=+⇒++=1-2y -1y x x y yx x x y ∴函数的值域为[21:1)法三:判别式法 由⇒⇒12212222+=+++=x y yx x x y 01-1)x -(2=+y y 2 即:1、当1=y 时 01≠ 故舍去2、当1≠y 时10≤≤⇒≥=y 2101)-1)(2y -4(y -Δ 所以函数的值域为[21:1)。
一题多解、一题多变题目:已知函数[)∞∈+++=,)(122x x a x x x f 若对任意[)01)>(,,x f x ∞+∈恒成立:试求实数a 的取值范围。
解法一:在区间[)∞+,1上:022>++=xa x x x f )(恒成立022>++⇔a x x 恒成立:设a x x y ++=22在[)∞+,1递增 :∴当x=1时a y +=3min :于是当且仅当03>+=a y min 时:函数恒成立:故 a>—3。
解法二:[)∞+∈++=,,)(12x xa x x f 当a 0≥的值恒为正,当a<0时,函数)(x f 为增函数故当x=1时a x f +=3)(min 于是当且仅当3+a>)时恒成立, 故 a>—3。
解法三:在区间[)∞+,1上xa x x x f ++=22)(恒成立022>++⇔a x x 恒成立x x a 22——>⇔恒成立:故a 应大于[)∞+∈=,,——122x x x u 时的最大值—3:()112++>∴x a — 当x=1时:取得最大值 —3 。
—3>∴a题目: 将函数x x f 1)(-=的图象向左平移1个单位:再向上平移1个单位:求所得图象的函数表达式。
解: 将函数x x f 1)(-=中的x 换成x+1:y 换成y-1得1)(111)(111)(+=⇒+-=⇒+-=-x x x f x x f x x f 变题1:作出函数11)(+-=x x x f 的图象 解: 函数11)(+-=x x x f =121+-x :它是由函数x x f 2)(-=的图象向左平移1个单位:再向上平移1变题2:求函数11)(+-=x x x f 的单调递增区间 解: 由图象知 函数11)(+-=x x x f 的单调递增区间为:()()+∞--∞-,1,1, 变题3:求函数11)(+-=x x x f 的单调递增区间 解: 由011≥+-x x 得11-<≥x x 或 所以函数11)(+-=x x x f 的单调递增区间为()[)+∞-∞-,1,1, 变题4: 求函数)11()(log 2+-=x x x f 的单调递增区间 解: 由11011-<>⇒>+-x x x x 或:所以函数)11()(log 2+-=x x x f 的单调递增区间 为()()1,,,1-∞-+∞变题5 函数1)(---=a x x a x f 的反函数的图象的对称中心为(-1:3):求实数a 解: 由)1(111)(+-+-=---=a x a x x a x f 知对称中心为((a+1:-1):所以它的反函数的对称中心为(-1:a+1):由题意知:a+1=3 得a=2。
高考数学一题多解一题多变测试7已知00>>>m b a ,,求证:ab m a m b >++ 变 题1、已知数列}{n a 满足2+=n n a n ,*N n ∈,试比较n a 与1+n a 的大小 2、已知00<>>m b a ,,且00>+>+m b m a ,,求证:ab m a m b <++ 3、已知00>>>m b a ,,求证:a b m a m b <++ 解: 原题:证明:作差-)()-()(bm -ab -a b -m a a b a m m a a am ab m a m b +=++=++‘ 0>>b a ,0>m 0>∴b a - 0>+∴)()-(m a a b a m 0>++a b -∴m a m b 1、 0>n a ∴1233123312221<+++=+++=+++=+n n n n n n n n n n n n a a n n))(()( 1+<∴n n a a 2、)()-()(bm -ab -a b -m a a b a m m a a am ab m a m b +=++=++- 0>>b a ,∴0>b a -,又0>+m a ∴0<+)()-(m a a b a m , ∴a b m a m b <++- 3、作差)()-()()(-)(-m b b a b m m b b m b a m a b b a m b m a +=+++=++ 0>>b a ,0>m 0<∴a b - 0<+∴)()-(m b b a b m ba <++∴mb m a一 题 多 解已知数列}{n a 满足2+=n n a n ,*N n ∈,试比较n a 与1+n a 的大小 方法一:作差1+n a -n a =032231>++=+++))((2n n -n n n n ,n n a a >∴+1 方法二:作商 0>n a ∴1233123312221<+++=+++=+++=+n n n n n n n n n n n n a a n n))(()( 1+<∴n n a a - 方法三:(单调性)=+=2n n a n 2n 2-2n 2- +=++12n ,n a 关于n 单调递增 1+<∴n n a a 方法四:浓度法 把2+=n n a n 看成是一杯溶液(糖)的浓度,随着n 的增大(相当于向溶液中加糖),浓度 因此增大,易得n a <1+n a。
顶角是20度的等腰三角形有关问题的解法比较在解顶角是20度的等腰三角形有关问题时不难发现,它们有共同之处,就是构造适当的等边三角形进行转化。
举例如下:如图1,在△ABC中,AB=AC,∠A=20゜,在AB、AC上分别取点E、D,使∠CBD=60゜,∠BCE=50゜.求∠AED的度数解法(一)解:如图2,作∠CBM=20°,点M在AC上,在AB上取点N,使BN=BM,在AM上取点P,使PM=MN,∵∠A=20゜, AB=AC,∴∠ABC=∠ACB=80° ,∴∠NBM=60°∴△BMN为等边三角形,∵∠CBM=20°∴∠BMC=∠BCM=80°∴BC=BM=BN=MN=PM∴∠BNM=60°, ∠NMP=180°-∠BMN-∠BMC=40°∠MNP=∠MPN=70°∴∠ANP=180°-∠MNP-∠BNM=50°连接CN,在△BMN中,∵BC=BN,∠NBC=80°∴∠BCN=50°,∴点N就是图1中的点E,连接PB,在△PBM中,∵BM=PM,∠PMB=100°∴∠PBM=40°,∵∠CBM=20°∴∠CBP=60°,∴点P就是图1中的点D,∴∠AED=50°解法二解:如图3,作∠CBM=20°,交AC于点M,连接EM,∵∠A=20°, AB=AC,∴∠ABC=∠ACB=80° ,BC=BM,∠NBE=60°∵∠BCE=50°∴∠BEC=180°–80°–50°= 50°∴BE=BC=BM∴△BMN为等边三角形,∴∠BEM=60°∵∠BMC =80°∴∠BMD=100°∵∠DBC =60°,∠CBM=20°∴∠DBM=40°在等腰△MDB中∴∠BDM=180°–100°–40°=40°AB CNMP(图2)AB CDE(图1)AB CEMD(图3)∴DM =BM =EM 在等腰△MDE 中 ∵∠BMD =100°∴∠MED =∠MDE =70°∴∠AED =180°-70°-60°=50°解法三:解:如图4 作等边三角形AGD 交AE 与F∴ ∠AGD =∠DBC =60°∠GAF =40° ∵∠A =20°AB =AC ∴ ∠ABC=∠ACB=80°又∵∠DBC =60°∴∠BDC =40°∴∠GAF =∠BDC ∴∠ABD =∠BAC = 20° ∴AG=AD=DB△ AGF ≌△DBC∴AF=DC 又∵AB =AC∴BF=AD =DG ………① 又∵∠ABC =80°∠BCE =50゜∴∠BEC=50゜∴BE =BC=GF …………..② 由①②得 BF-BE=DG-GF 即:EF =FD又∵∠EFD =∠AFG =80°∴∠AED =(180°-80°)÷2=50° 2、(2004年山东省实验中学招生数学试题)12、在△ABC 中,AB=BC,∠ABC=20°,在AB 边上取点M,使BM=AC,则AMC 的大小为解法一_ 图 4_ GC解:作∠FAC=20°使AF=AB 交AC与E 连结BF CF ∠BAF=80°-20°=60°可得△BAF为等边三角形,∴BA=BF=AF∵BM=AC ∠FAC=∠CBM=20°∴△MBC≌△ACF ∠BMC=∠ACF∠CBF=60°-20°=40°BC=BA=AF∴∠BCF=(180°-40°)÷2=70°∴∠ACF=80°+70°=150°∴∠BMC=150°∠AMC=30°解法二解:作BD⊥AC交AC与D ∴∠DBC=10°在BD上取点E 使EA=AC 连结EC可得△EAC为等边三角形,∴EC=AC=BM∠BCE=80°-60°=20°∴∠BCE=∠CBM BC是公共边∴△BCE≌△CBM ∠BCM=∠DBC=10°∠AMC=∠BCM+∠ABC =30°解法三解:如图作等边三角形△BCN 连结MN ∠MBN=60°+20°=80°=∠BAC∵BM=AC BN=BCC∴△NBM ≌△BAC∠BNM=20° ∠BMN =80° ∠MNC=60°-20°=40° ∵NM=BN=NC∴ ∠NMC=(180°-40°)÷2=70° ∴∠BMC =80°+70°=150° ∴∠AMC=30°补充练习:【题1】等腰三角形ABC ,顶角∠C=20°,D 、E 分别在CA 和CB 上,∠EAB=70°,∠DBA =60°,求∠DEA 度数。
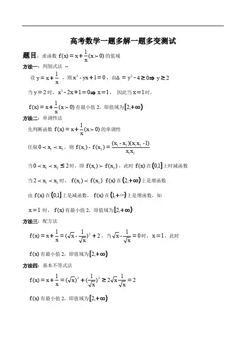
高考数学一题多解一题多变测试题目:求函数)()(01 x x x x f +=的值域 方法一:判别式法 --设xx y 1+= ,则01yx -=+2x ,由Δ2y =-204≥⇒≥y 当2=y 时,2x -012=+x 1=⇒x , 因此当1=x 时,)()(01 x xx x f +=有最小值2,即值域为[)+∞,2 方法二:单调性法先判断函数)()(01 x xx x f +=的单调性 任取210x x ,则212121211x x x x x x x f x f )-)(-()(-)(=当2021≤x x 时,即)()(21x f x f ,此时)(x f 在(]10,上时减函数 当212x x 时,)()(21x f x f )(x f 在()+∞,2上是增函数由)(x f 在(]10,上是减函数,)(x f 在()∞,+1上是增函数,知 1=x 时,)(x f 有最小值2,即值域为[)+∞,2方法三:配方法2112+=+=)-()(x x x x x f ,当01=xx -时,1=x ,此时 )(x f 有最小值2,即值域为[)+∞,2方法四:基本不等式法x x x f 1+=)(212122=≥+=xx x x )()( )(x f 有最小值2,即值域为[)+∞,2变 题原题:若函数1212++=x ax x f )(的定义域为R ,求实数a 的取值范围解:由题意得 0122 ++x ax 在R 上恒成立,则要求0 a 且Δ1044 a a ⇒=-变式一:函数)(log )(1222++=x ax x f 的定义域为R ,求实数a 的取值范围 解:由题意得0122 ++x ax 在R 上恒成立,则要求0 a 且Δ1044 a a ⇒=-变式二:函数)(log )(1222++=x ax x f 的值域为R ,求实数a 的取值范围 解:令=u 122++x ax 能取到所有大于0的实数,则 0=a 时,1+=zx u 能取到所有大于0的实数 0≠a 时,0 a 且Δ1a 004a -≤⇒≥= 4 综上10≤≤a。
高中数学一题多解、一题多变27变题2原题: 的定义域为R,求m的取值范围 f(x)=mx+8x+42解:由题意在R上恒成立 mx+8x+4?0且Δ,得?m,0,0m,42变1:的定义域为R,求m的取值范围 f(x)=logmx+8x+432解:由题意在R上恒成立 mx+8x+4>0且Δ,得?m,0<0m>42f(x)=log(mx+8x+4)变2:的值域为R,求m的取值范围 32解:令,则要求t能取到所有大于0的实数, mx+8x+4t= 当时,t能取到所有大于0的实数 m,0当时,且Δ m,0m>0?0?0,m?40,m,42mx+8x+n[]f(x)=log0,2变3:的定义域为R,值域为,求m,n的值 32x+1 2mx+8x+n2[]y=?1,9(y-m)x-8x,y-n,0解:由题意,令,得 2x+12,y-(m,n)y,mn-16,0时,Δ- y,m?02?y-(m+n)y+mn-16=0 1和9时的两个根m=n=5n-m?当时,,也符合题意 x==0y=m?x,R8m=n=5一题多解-解不等式3<2x-3<5解法一:根据绝对值的定义,进行分类讨论求解 (1)当时,不等式可化为 2x-3?03<2x-3<5?3<x<4(2)当时,不等式可化为 2x-3<03<-2x+3<5?-1<x<0{} 综上:解集为 x3<x<4或-1<x<0解法二:转化为不等式组求解原不等式等价于2x-3>3且2x-3<5?3<x<4或1<x<0- 1 -27综上:解集为 {}x3<x<4或-1<x<0解法三:利用等价命题法原不等式等价于,即 3<2x-3<5或-5<2x-3<-33<x<4或-1<x<0解集为 {}x3<x<4或-1<x<0解法四:利用绝对值的集合意义原不等式可化为33533,不等式的几何意义时数轴上的点的距离大于,且小<x-<x到22222 5于,由图得,解集为 {}x3<x<4或-1<x<02一题多解:ss,s,sa,a,a已知是等比数列的前n想项和,成等差数列,求证:成n369258 等差数列na1一q()1法一:用公式s, =n1一qs+s=2ss,s,s因为成等差数列,所以且q?1则 369369369a(1一q)a(1一q)2a(1一q)11136936 +=?q+q=2q(q?1)?1+q=2q1一q1一q1一q467a+a=aq+aq=aq(2q)=2aq=2a所以 2511118a,a,a所以成等差数列, 258a一aq1ns=法二用公式,n1一qa一aqa一aq2a一aq()131619ss2s?+=,?+= 3691一q1一q1一qa+a=2a?aq+aq=2aq?a+a=2aa,a,a则,所以成等差369258258258数列, nn2ns=s(1+q),s=s(1+q+q)证法三:(用公式) 2nn3nn- 2 -2733?s=s+a+a+a=s+(a+a+a)q=(1+q)s 634563123336336s=s(1+q+q)?s+s=2s?s+s(1+q)=2s(1+q+q) 9336933313 解得(下略) q=一2变题:4α已知sinα=且是第二象限角,求 tanα5α解:是第二象限角,34421sinα= ?cosα=一一sinα=一,tanα=一5534变1:sinα=,求 tanα54α解:,所以是第一或第二象限角 sinα=>0534cosα=,tanα= 若是第一象限角,则 5344cosα=一,tanα=一若是第二象限角,则 53变2:已知sinα=m(m>0)求tanα解:由条件,所以 0<m?1α当时,是第一或第二象限角 0<m<1m2cosα=1一m,tanα= 若是第一象限角时 21一mm2cosα=一1一m,tanα=一若是第二象限角 21一m当时不存在 m=1tanαsinα=m(m?1)变3:已知,求 tanα- 3 -27解:当时,不存在 m=1,一1tanα当时, m=0tanα=0mα当时第一、第四象限角时,tanα= 21一mmαtanα=一当是第二、第三象限角时, 21一m一题多解、一题多变1题目:求函数的值域 f(x)=x+(x,0)x方法一:判别式法 --122x-yx+1=0=y 设,则,由Δ- 4?0?y?2y=x+x2 当时,-,因此当时, y=2x2x+1=0?x=1x=11[)2,+?有最小值2,即值域为 f(x)=x+(x,0)x方法二:单调性法1 先判断函数的单调性 f(x)=x+(x,0)x(x-x)(xx-1)1212f(x)-f(x)=0,x,x 任取,则 1212xx12(]0,x,x?2f(x),f(x)0,1 当时,即,此时f(x)在上时减函数 1212 ()2,x,xf(x),f(x)2,+? 当时,f(x)在上是增函数 1212(()]0,11,+? 由f(x)在上是减函数,f(x)在上是增函数,知[)2,+?f(x) 时,有最小值2,即值域为 x=1方法三:配方法1112f(x)=x+=(x-)+2x-=0 ,当时,,此时 x=1xxx[)2,+?f(x)有最小值2,即值域为方法四:基本不等式法11122=(x)+()?2x=2f(x)=x+ xxx- 4 -27[)有最小值2,即值域为 2,+?f(x)变题1f(x)=原题:若函数的定义域为R,求实数a的取值范围 2ax+2x+1解:由题意得2在R上恒成立,则要求 ax+2x+1,0且Δ a,0=4-4a,0?a,12f(x)=log(ax+2x+1)变式一:函数的定义域为R,求实数a的取值范围 2 解:由题意得2在R上恒成立,则要求 ax+2x+1,0且Δ a,0=4-4a,0?a,12f(x)=log(ax+2x+1) 变式二:函数的值域为R,求实数a的取值范围 2 2u=解:令能取到所有大于0的实数,则 ax+2x+1时,能取到所有大于0的实数 a=0u=zx+1时,且Δ a?0a,0=4-4a?0?0,a?1综上 0?a?1一题多解22xy,,1F、FPF,PF题目:椭圆的焦点是,椭圆上一点P满足,下面结12122516论正确的是———————————————————————( )(A)P点有两个 (B)P点有四个(C)P点不一定存在 (D)P点一定不存在解法一:FF以为直径构圆,知:圆的半径,即圆与椭圆不可能有交点。
一题多解、一题多变参赛题目例、2ax -021≥+ax 恒成立,求a 的取值范围 解:1、当0=a 时021> 2、 0>a20≤<⇒a2a =Δ-214×a 0≤ ∴20≤≤a变式1:已知函数()212+-=ax ax x g 的定义域为R ,求实数a 的取值范围。
解:由题意得02≥+21ax -ax 恒成立, ∴1、当0=a 时021> 2、 0>a20≤<⇒a2a =Δ-214×a 0≤ ∴20≤≤a变式2、函数()212+-=ax ax x g 的定义域为R 的充要条件是什么 解:由题意得02≥+21ax -ax 恒成立, ∴1、当0=a 时021> 2、 0>a20≤<⇒a2a =Δ-214×a 0≤ ∴20≤≤a变式3、2112+-=ax ax y 的定义域为R ,求实数a 的取值范围。
解:由题意得02>+21ax -ax 恒成立, ∴1、当0=a 时021> 2、 0>a20<<a ⇒2a =Δ-214×a 0< ∴20<≤a变式4、2112+-=ax ax y 的定义域为R ,求实数a 的取值范围。
解:由题意得2ax -021=+ax 无解即20a ,<Δ-200214<<⇒<×a a 或0=a∴20<≤a变式5、=y 22ax (log -)21+ax 的定义域为R ,求a 的取值范围 解:由题意得02>+21ax -ax 恒成立, ∴1、当0=a 时021> 2、 0>a20<<a ⇒2a =Δ-214×a 0< ∴20<≤a一题多解徐晓洲 求2122++=x x y 的值域 法一:常数分离法21+=2x 1-y ∴ 021212102202222<+≤⇒≤+<⇒≥+⇒≥x x x x - 21- 即121≤-1212<+x ∴值域为[21,1)法二:反解法由0122122222≥=⇒+=+⇒++=1-2y -1y x x y yx x x y ∴函数的值域为[21,1)法三:判别式法 由⇒⇒12212222+=+++=x y yx x x y 01-1)x -(2=+y y 2 即:1、当1=y 时 01≠ 故舍去2、当1≠y 时10≤≤⇒≥=y 2101)-1)(2y -4(y -Δ 所以函数的值域为[21,1)。
高三《一题多解 一题多变》题目一题多解 一题多变(一)原题:482++=x mx x f )( 的定义域为R ,求m 的取值范围 解:由题意0482≥++x mx 在R 上恒成立0>∴m 且Δ0≤,得4≥m变1:4823++=x mx x f log )(的定义域为R ,求m 的取值范围 解:由题意0482>++x mx 在R 上恒成立0>∴m 且Δ0<,得4>m变2:)(log )(4823++=x mx x f 的值域为R ,求m 的取值范围 解:令=t 482++x mx ,则要求t 能取到所有大于0的实数,∴ 当0=m 时,t 能取到所有大于0的实数当0≠m 时,0>m 且Δ0≥4≤0⇒m <40≤≤∴m变3:18223+++=x nx mx x f log )(的定义域为R,值域为[]20,,求m,n 的值 解:由题意,令[]911822,∈+++=x nx mx y ,得0-8--2=+n y x x m y )( m y ≠时,Δ0≥016-)(-2≤++⇒mn y n m y -∴ 1和9时0162=++-)(-mn y n m y 的两个根∴ 5==n m ∴ 当m y =时,08==mn x - R x ∈ ,也符合题意 ∴5==n m一 题 多 解-解不等式523<<3-x解法一:根据绝对值的定义,进行分类讨论求解(1)当03-≥x 2时,不等式可化为53-<<x 2343<<x ⇒ (2)当03-<x 2时,不等式可化为0x -1⇒53-2x <<<+<3 综上:解集为}{0x 1-<<<<或43x x 解法二:转化为不等式组求解原不等式等价于014353232<<<<<>x x x x ⇒-3-或且 综上:解集为}{0x 1-<<<<或43x x 解法三:利用等价命题法 原不等式等价于-33-2x 5-53-<<<<或x 23,即0x 1-<<<<或43x 解集为}{0x 1-<<<<或43x x 解法四:利用绝对值的集合意义原不等式可化为2523<<23-x ,不等式的几何意义时数轴上的点23到x 的距离大于23,且小于25,由图得, 解集为}{0x 1-<<<<或43x x一题多解 一题多变(二)已知n s 是等比数列的前n 想项和,963s s s ,,成等差数列,求证:852a a a ,,成等差数列法一:用公式qq a s n n 一一111)(=,因为963s s s ,,成等差数列,所以9632s s s =+且1≠q 则6396391613121121121111q q q q q q qq a q q a q q a =+=+=+⇒)≠(⇒)()()(一一一一一一 所以8716141152222a q a q q a q a q a a a ===+=+)( 所以 852a a a ,,成等差数列` 法二用公式qqa a s n n 一一11=,q q a a q q a a q q a a s s s 一一一一一一12112916131963)(∴,=+=+则q a q a q a a a a 85296322=+⇒=+8522a a a =+⇒,所以 852a a a ,,成等差数列`证法三:(用公式)(),(n n n n n n n q q s s q s s 23211++=+=) 3333213654361s q q a a a s a a a s s )()(+=+++=+++=)()()(633333963633912121q q s q s s s s s q q s s ++=++⇒=+++=解得213一=q (下略)变题:已知54=αsin 且α是第二象限角,求αtan 解:α是第二象限角,54=αsin 345312一一一一===αααtan ,sin cos ⇒ 变1:54=αsin ,求αtan解:054>=αsin ,所以α是第一或第二象限角若是第一象限角,则3453==ααtan ,cos若是第二象限角,则3454一一==ααtan ,cos变2:已知)(sin 0>=m m α求αtan 解:由条件10≤<m ,所以当 10<<m 时,α是第一或第二象限角 若是第一象限角时2211mm αm α一一==tan ,cos 若是第二象限角2211mm αm α一一一一tan ,cos ==当1=m 时αtan 不存在变3:已知)(sin 1≤=m m α,求αtan 解:当11一,=m 时,αtan 不存在 当0=m 时, 0=αtan当α时第一、第四象限角时,21mm α一=tan当α是第二、第三象限角时,21mm α一一=tan一题多解 一题多变(三)题目:求函数)()(01 x xx x f +=的值域 方法一:判别式法 --设xx y 1+= ,则01yx -=+2x ,由Δ2y =-204≥⇒≥y 当2=y 时,2x -012=+x 1=⇒x , 因此当1=x 时,)()(01x xx x f +=有最小值2,即值域为[)+∞,2方法二:单调性法先判断函数)()(01 x xx x f +=的单调性 任取210x x ,则212121211x x x x x x x f x f )-)(-()(-)(=当2021≤x x 时,即)()(21x f x f ,此时)(x f 在(]10,上时减函数 当212x x 时,)()(21x f x f )(x f 在()+∞,2上是增函数由)(x f 在(]10,上是减函数,)(x f 在()∞,+1上是增函数,知 1=x时,)(x f 有最小值2,即值域为[)+∞,2方法三:配方法 2112+=+=)-()(xx xx x f ,当01=xx -时,1=x ,此时)(x f 有最小值2,即值域为[)+∞,2方法四:基本不等式法x x x f 1+=)(212122=≥+=xxx x )()( )(x f 有最小值2,即值域为[)+∞,2变 题原题:若函数1212++=x ax x f )(的定义域为R ,求实数a 的取值范围解:由题意得0122 ++x ax 在R 上恒成立,则要求0 a 且Δ1044 a a ⇒=-变式一:函数)(log )(1222++=x ax x f 的定义域为R ,求实数a 的取值范围解:由题意得0122 ++x ax 在R 上恒成立,则要求0 a 且Δ1044 a a ⇒=-变式二:函数)(log )(1222++=x ax x f 的值域为R ,求实数a 的取值范围解:令=u 122++x ax 能取到所有大于0的实数,则 0=a 时,1+=zx u 能取到所有大于0的实数 0≠a 时,0 a 且Δ1a 004a -≤⇒≥= 4综上10≤≤a一题多解 一题多变(四)题目:求函数)()(01 x xx x f +=的值域 方法一:判别式法 --设xx y 1+= ,则01yx -=+2x ,由Δ2y =-204≥⇒≥y当2=y 时,2x -012=+x 1=⇒x , 因此当1=x 时,)()(01x xx x f +=有最小值2,即值域为[)+∞,2方法二:单调性法先判断函数)()(01 x xx x f +=的单调性 任取210x x ,则212121211x x x x x x x f x f )-)(-()(-)(=当2021≤x x 时,即)()(21x f x f ,此时)(x f 在(]10,上时减函数 当212x x 时,)()(21x f x f )(x f 在()+∞,2上是增函数由)(x f 在(]10,上时减函数,)(x f 在()∞,+1上是增函数,知 1=x时,)(x f 有最小值2,即值域为[)+∞,2方法三:配方法 2112+=+=)-()(xx xx x f ,当01=xx -时,1=x ,此时)(x f 有最小值2,即值域为[)+∞,2方法四:基本不等式法x x x f 1+=)(212122=≥+=xxx x )()( )(x f 有最小值2,即值域为[)+∞,2变 题原题:若函数1212++=x ax x f )(的定义域为R ,求实数a 的取值范围解:由题意得0122 ++x ax 在R 上恒成立,则要求0 a 且Δ1044 a a ⇒=-变式一:函数)(log )(1222++=x ax x f 的定义域为R ,求实数a 的取值范围解:由题意得0122 ++x ax 在R 上恒成立,则要求0 a 且Δ1044 a a ⇒=-变式二:函数)(log )(1222++=x ax x f 的值域为R ,求实数a 的取值范围解:令=u 122++x ax 能取到所有大于0的实数,则 0=a 时,1+=zx u 能取到所有大于0的实数 0≠a 时,0 a 且Δ1a 004a -≤⇒≥= 4综上10≤≤a一题多解 一题多变(五)题目:椭圆1162522=+y x 的焦点是21F F 、,椭圆上一点P 满足21PF PF ⊥,下面结论正确的是———————————————————————( )(A )P 点有两个 (B )P 点有四个(C )P 点不一定存在 (D )P 点一定不存在解法一:以21F F 为直径构圆,知:圆的半径b c r =<==43,即圆与椭圆不可能有交点。
故选D解法二:由题知124321)(21max 21=⨯=•⨯=∆b F F S F pF ,而在椭圆中:164tan221==∆πb S F PF ,∴不可能成立,1612>故选D解法三:由题意知当p 点在短轴端点处21PF F <最大,设α221=<PF F ,∴<⇒<=,4,143tan παα此时21PF F <为锐角,与题设矛盾。
故选D解法四:设)sin 4,5(θθcon P ,由,21PF PF ⊥知02121=•⇒⊥PF PF PF PF ,而⇒-=⇒=+-=+-=•970sin 16925)sin 4,35)(sin 4,35(22221θθθθθθθcon con con con PF PF 无解,故选D解法五:设θ=∠21F PF ,假设21PF PF ⊥,则26)4sin(26sin 66||||21≤+=+=+πθθθcon PF PF ,而102||||21==+a PF PF 即:2610≤,不可能。