矩阵理论(新)
- 格式:doc
- 大小:285.00 KB
- 文档页数:6
§8 矩阵多项式与多项式矩阵设A 是n 阶阵,则A E f −=λλ)(为矩阵A 的特征多项式。
事实上,n n n n a a a A E f ++++=−=−−λλλλλ111)( 因此有一、Hamilton -Cayley Th (哈密顿—开莱定理)Th1.每个n 阶矩阵A ,都是其特征多项式的根,即0111=++++−−E a A a A a A n n n n (矩阵) 注意:该定理旨在用于:当一个n 阶矩阵的多项式次数高于n 次时,则可用该定理将它化为次数小于n 的多项式来计算。
eg 1.设,试计算:⎟⎟⎟⎠⎞⎜⎜⎜⎝⎛−=010110201A E A A A A A 432)(2458−++−=ϕ解:A 的特征多项式为12)(23+−=−=λλλλA E f取多项式432)(2458−++−=λλλλλϕ )()()149542(235λλλλλλr f +⋅−+−+=利用多项式除法余项103724)(2+−=λλλr 由上定理0)(=A f ⎟⎟⎟⎠⎞⎜⎜⎜⎝⎛−−−−=+−==∴346106195026483103724)()(2E A A A r A ϕ Df 2.一般地,设)(λϕ是多项式,A 为方阵,若0)(=A ϕ,则称)(λϕ是矩阵A 的零化多项式。
根据定义:每个矩阵都有其零化多项式,即A E f −=λλ)( Df 3.设A 是n 阶矩阵,则把首项系数为1的次数最小的零化多项式)(λm ,称为A 的最小多项式。
性质:.矩阵A 的零化多项式都被其最小多项式整除。
0102.矩阵A 的最小多项式是唯一的03.若B A ~,则)(λA m =)(λB m证明: 由多项式除法可得: 01)(λg =)()()(λλλr h m A + (1) 其中:)(λr 为余项,且)(λr 的次数小于)(λA m 的次数。
若)(λg 不能被)(λA m 整除,根据(1)知:0)(≠λr ,并有:)()()()(λλλλh m g r A −=将A 代入上式得:0)()()()(=−=A h A m A g A r A (阵),即)(λr 亦为A 的零化多项式,且次数小于)(λA m 的次数,这与)(λA m 是A 的最小多项式相矛盾。
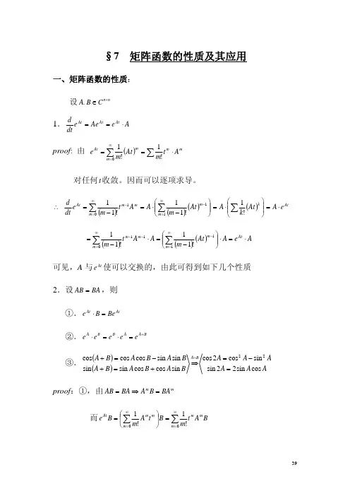
§7 矩阵函数的性质及其应用一、矩阵函数的性质:设 n n C B A ×∈.1.A e Ae e dtd At At At⋅== proof : 由 ()∑∑⋅==∞=m m m m AtA t m At m e !1!1对任何收敛。
因而可以逐项求导。
t ()∑∞=−−=∴01!11m mm At A t m e dt d ()()⎟⎟⎠⎞⎜⎜⎝⎛−⋅=∑∞=−11!11m m At m A ()⎟⎟⎠⎞⎜⎜⎝⎛⋅=∑k At k A !1At e A ⋅= ()()()A e A At m A A t m At m m m m m ⋅=⋅⎟⎟⎠⎞⎜⎜⎝⎛−=⋅−=∑∑∞=∞=−−−01111!11!11 可见,A 与使可以交换的,由此可得到如下几个性质 At e 2.设,则BA AB =①. At At Be B e =⋅②.B A A B B A e e e e e +=⋅=⋅③.()()AA A AA AB A B A B A BA B A B A BA cos sin 22sin sin cos 2cos sin cos cos sin sin sin sin cos cos cos 22=−=⇒+=+−=+= proof :①,由m m BA B A BA AB =⇒=而∑∑∞=∞==⎟⎠⎞⎜⎝⎛=00!1!1m m m m m m AtB A t m B t A m B e()∑∑∞=∞=⋅==00!1!1m mm m m At m B BA t mAt e B ⋅=② 令 ()()A B t At B C t e e e +−−t =⋅⋅ 由于()0=t C dtd)(t C ∴为常数矩阵 因而E e e e C C t C =−⋅===000)0()1()(当时, …………………. (@) 1=t E e e e B A B A =⋅⋅−−+特别地 A B −= 有E e e e A A =⋅⋅−0∴ 有 ()A A e e −−=1∴同理有()B B e e −−=1代入(@)式 因而有 B A B A e e e ⋅=+3.利用绝对收敛级数的性质,可得①A i A e iA sin cos +=()()iA iAiA iAe e iA e e A −−−=+=⇒21sin 21cos ②()()A A A A sin sin cos cos −=−=−4.E A A =+22cos sin ()()A E A AE A cos 2cos sin 2sin ππ+=+A E i A e e =+π2二、矩阵函数在微分方程组中的应用—常用于线性监测系统中 1. 一阶线性常系数齐次方程组的通解AX dtdX= 其中()Tn n n x x x X C A ,,,21"=∈×则有 ()K e t X At ⋅=其中()T n k k k K ,,,21"=1eg解方程:⎪⎪⎪⎩⎪⎪⎪⎨⎧+=+−=+−=313212211234xx dtdx x x dtdxx x dt dx解:原方程变为矩阵形式AX dt dX =⎟⎟⎟⎠⎞⎜⎜⎜⎝⎛−−=201034011A ()T x x x X 321,,=由()(212−−=−λλλA E ) 得⎟⎟⎟⎠⎞⎜⎜⎜⎝⎛=→100110002J A 1200000−⎟⎟⎟⎠⎞⎜⎜⎜⎝⎛=∴P e e e e P e t tt tAt⎟⎟⎟⎠⎞⎜⎜⎜⎝⎛⎟⎟⎟⎠⎞⎜⎜⎜⎝⎛=∴−321120000)(k k k P e e e e P t X t tt t2. 一阶线性常系数微分方程组的定解问题:1Th :一阶线性常数微分方程组的定解问题:()()⎪⎩⎪⎨⎧==Tn x x x X AXdt dX)0(,),0(),0(210" 有唯一解)0(X e X At ⋅=proof :实际上,由AX dtdX=的通解为 K e t X At ⋅=)(将初值代入,得)0(X )0(X k =)0(X e X At =∴由可的定解问题1Th ()⎪⎩⎪⎨⎧==Tn t x t x t x t X AX dt dX)(,),(),()(002010" 的唯一解为()()00)(t X e t X t t A ⋅=−2eg 求定解问题:()()⎪⎩⎪⎨⎧==Tx Axdt dx1,00,的解⎟⎟⎠⎞⎜⎜⎝⎛−−=1221A 解:由 0=−A E λ 得i x 32,1±=对应的特征向量记为:Ti ⎟⎟⎠⎞⎜⎜⎝⎛+=231,1α ⎟⎟⎠⎞⎜⎜⎝⎛−=231,1i β 则,于是矩阵:⎟⎟⎠⎞⎜⎜⎝⎛−+=23123111i i P 13300−−⋅⎟⎟⎠⎞⎜⎜⎝⎛⋅=∴P e e P eit itAt⎟⎟⎟⎟⎠⎞⎜⎜⎜⎜⎝⎛+=⎟⎟⎠⎞⎜⎜⎝⎛=t t t e t X At 3sin 313cos 3sin 3210)( 练习:求微分方程组1132123313383625dx x x dt dx x x x dt dx x x dt ⎧=+⎪⎪⎪=−+⎨⎪⎪=−−⎪⎩满足初始条件的解。
矩阵理论通过学习矩阵理论这门课,发现在这个大数据的时代,矩阵理论是这个时代的基础学科,也是计算机飞速发展的引擎,它的重要性令我咂舌。
一下内容是我对矩阵理论这门课程的总结和描述。
本门课程主要包含以下几部分内容:线性方程组、线性空间与线性变换、内积空间、特殊变换及其矩阵、范数及其应用、矩阵分析及其应用、特征值问题。
一 线性方程组对*m n 矩阵A 施行一次初等行变换(初等行变换),相当于在A 的左边(右边)乘以相应的m 阶(n 阶)初等矩阵。
由于现代计算机处理的数据越来越多,运行的任务越来越大,因此,对矩阵的处理复杂度就是我们关注的重点。
对行列式的拉普拉斯变换是将一个n 阶行列式的计算转化为n 个1n -阶行列式的计算,但是它的计算时间是!n 级。
所以拉普拉斯展开定理在理论上非常重要,但在计算上一般仅用于低阶或特殊的行列式。
判断一个算法的优劣,有很多标准,包括时间复杂度和空间复杂度,显然,时间复杂度越小,说明算法效率越高,因此算法也越有价值;而空间复杂度越小,说明算法越好。
但主要考虑时间复杂度,因为人生苦短嘛哈哈。
对于一些常用的()f n ,成立下列重要关系:23(1)(log )()(log )()()(2)(3)(!)()n n n O O n O n O n n O n O n O O O n O n <<<<<<<<<LU 分解就是致力于对降低对方程组求解的复杂度。
LU 分解就是在可以的情况下,将矩阵A 分解成单位下三角矩阵和一个上三角的乘积。
这样的话,对Ax b =求解,可以转化为对Ly b =求解,然后对Ux y =求解。
但是,不是每一个矩阵都可以这样分解,是要满足一定的要求的,这个要求就是矩阵A 的顺序主子式均不为零。
但是不满足这个条件的矩阵就不能分解了吗?当然不是啦!加入一个方阵A 不是顺序主子式不全为零的时候,但是通过行变换,可以满足要求,这样就得了下面这个定理。
矩阵理论简介在数学中,矩阵是一个重要的概念。
它是一个由数值排列成的长方形的数组,被广泛应用于线性代数、组合数学、物理和工程学等领域。
矩阵可以用来表示一组线性方程的系数矩阵、旋转矩阵、变换矩阵、图像处理等。
矩阵的定义和表示矩阵是一个长方形的数组,可以用一个大写字母表示,如 A。
矩阵中的每个元素可以用 A(i,j) 表示,其中 i 表示行数,j 表示列数。
例如,一个二阶矩阵可以表示为:$$A = \begin{bmatrix} a_{11} & a_{12} \\ a_{21} & a_{22}\end{bmatrix}$$其中,$a_{11}$ 表示矩阵的第一行第一列的元素,$a_{12}$ 表示矩阵的第一行第二列的元素,以此类推。
矩阵的运算矩阵可以进行加、减、乘等运算。
计算两个矩阵的和时,需要将它们对应位置的元素相加,例如:$$\begin{bmatrix} 1 & 2 \\ 3 & 4 \end{bmatrix} + \begin{bmatrix} 5 & 6 \\ 7 & 8 \end{bmatrix} = \begin{bmatrix} 6 & 8 \\ 10 & 12\end{bmatrix}$$矩阵的乘法是比较重要的运算。
两个矩阵的乘积可以表示为:$$C = AB$$其中,矩阵 A 的列数等于矩阵 B 的行数。
例如,一个 2x3 的矩阵 A 和一个 3x2 的矩阵 B 的乘积可以表示为:$$\begin{bmatrix} 1 & 2 & 3 \\ 4 & 5 & 6 \end{bmatrix} \times\begin{bmatrix} 7 & 8 \\ 9 & 10 \\ 11 & 12 \end{bmatrix} =\begin{bmatrix} 58 & 64 \\ 139 & 154 \end{bmatrix}$$矩阵的转置一个矩阵的转置是将它的行和列互换得到的新矩阵。
§4 线性变换的矩阵表示引言:数域P 上线性空间V 上的所有线性变换组成的集合—L (V )是数域P 的线性空间。
若V 是n 维线性空间,那么L (V )的维数是多少呢?L (V )与n n P ⨯之间具有什么关系?为此,我们先研究一下线性变换的矩阵表示。
一、线性变换在一组基下的矩阵表示:设n εεε,,,21 是数域P 上的n 维线性空间V 的一组基,A 是V 上的一个线性变换,对V ∈∀α,则有n n k k k εεεα+++= 2211 )()()(11n n A k A k A εεα++=∴又),1()(n i VA i =∈ε则有:)()()()(22112222112212211111*⎪⎪⎩⎪⎪⎨⎧+++=+++=+++=n nn n n n nn nn a a a A a a a A a a a A εεεεεεεεεεεε用矩阵形式表述(*)有⎪⎪⎪⎪⎪⎭⎫⎝⎛=nn n n n n n n a a a a a a a a a A A A 2122221112112121),,())(),(),((εεεεεε习惯上记上式左边为:),(21n A εεε,,则有:A A n n ),(),(2121εεεεεε,,,, =;这就有了下面的定义:1.Df 1.若A A n n ),(),(2121εεεεεε,,,, =则称A 为线性变换A 在基n εεε,,,21 下的矩阵,且可逆若V ∈α在n εεε,,,21 下的坐标为⎪⎪⎪⎭⎫⎝⎛n k k 1,那么)(αA 在基n εεε,,,21 下的坐标又如何呢?⎪⎪⎪⎭⎫ ⎝⎛=++=n n n n k k A A A A k A k A 12111))(),(),(()()()(εεεεεα⎪⎪⎪⎭⎫ ⎝⎛=⎪⎪⎪⎭⎫ ⎝⎛=n n n n k k A k k A 121121),,,(),,(εεεεεε可见,)(αA 在基n εεε,,,21 下的坐标是由A 与α在n εεε,,,21 下的坐标来确定的。
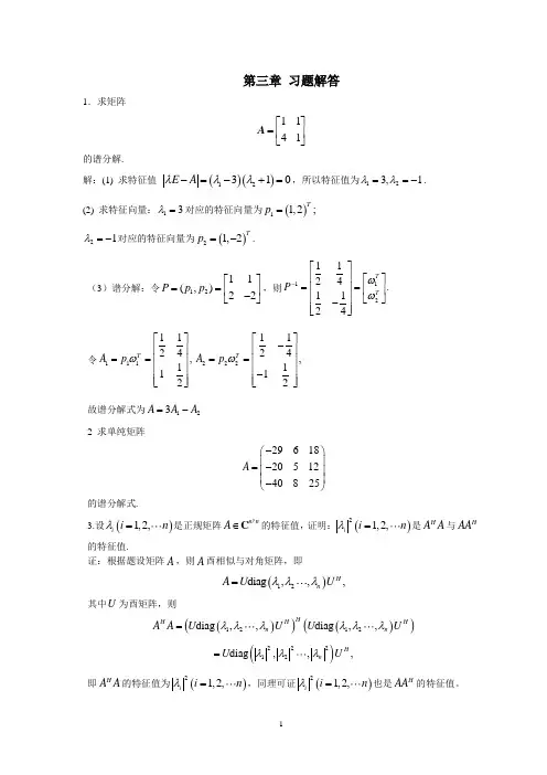
第二章习题答案1.设a 1,a 2,…,a n 均为正数,nC x ∈,且Tn x x x x ),,,(21 =. 证明函数2/112][)(∑==ni i i x a x f在C n 上定义了一个向量范数.证明:(1) 正定性:对0≠∀x ,有f (x )>0,当x =0时,f (x )=0. (2) 奇次性:)(][][)(2/1122/112x f x a x a x f ni i i ni i i ⋅=⋅==∑∑==λλλλ.(3) 三角不等式:])([][)(122122∑∑==+++=+=+ni i i i i i i i ni i i iy x y x y x a y x ay x f)2()()()2()()(122122∑∑==⋅++≤⋅++≤ni i i i ni i i i y x a y f x f y x a y f x f∑∑∑===⋅++≤⋅++≤ni i i ni i i ni i i i i y a x a y f x f y a x a y f x f 12/1212/1222122)()(2)()()2()()( 222)]()([)()(2)()(y f x f y f x f y f x f +=⋅++=. 所以函数f (x )是一个向量范数.2. 证明:在R 1中任何向量范数x ,一定有x x λ= 0>λ.证明:对任意向量范数x ,根据向量范数的定义和性质,又因为1R x ∈,有 x x x x λ=⋅=⋅=11,其中01>=λ.3. 设x 是P n 中的向量范数,nn P A ⨯∈,则Ax 也是P n 中的向量范数的充要条件为A是可逆矩阵.证明:必要性:如果矩阵A 不可逆,则存在0≠x ,使得0=Ax ,即0=Ax ,这与向量范数的正定性矛盾,所以矩阵A 可逆.充分性:矩阵A 可逆,对0≠∀x ,则0≠Ax ,所以0>Ax ,正定性满足;Ax Ax ⋅=λλ,奇次性满足;Ay Ax Ay Ax y x A +≤+=+)(,三角不等式也满足,故Ax 是向量范数.4. 证明(1) 2/1)]([2A A tr A H m =;(2) 2m A与2x 是相容的;(3) a A 与1x 、2x 均相容; (4) {}22222min ,m m m m ABABAB≤⋅.证明:(1) 设nn PA ⨯∈,令),,(1n A αα =. 根据定义有∑∑===ni nj ijm a A 11222,∑==ni ijja 1222α,n j ,,1 =,所以有∑==nj mjA 1222α,同时有,⎪⎪⎪⎭⎫⎝⎛=⎪⎪⎪⎭⎫ ⎝⎛=n Hn H n n H H n H n H HA A αααααααααααα111111)( ,所以有212)(m n j j H j H A A A tr ==∑=αα.(2) 见课本61页下.(3) 令()Tn x x x x ,,,21 =,nn ij Pa A ⨯∈=)(. 因为j n i nj ijji n i n j jijx ax a Ax ⋅≤=∑∑∑∑====11,111max11,11,}{max max x A x a n x a a ij ji nj j ni ij ji ⋅=⋅⋅≤⋅≤∑∑==. 所以,a A 与1x 相容;因为∑∑∑∑∑∑∑=======⋅=⋅≤+++=n i nj j nj ij n i nj j nj ij ni n in i i x a x a x a x a x a Ax112121121212221122)()(22222}{max }{max x a n x a n ij ijij ij⋅⋅=⋅⋅≤. 所以,a A 与2x 相容.(4) 令),,,,(1n j B βββ =,因为222j jA A ββ≤,n j ,,1 =,同时有222222212222221212222)(),,(m n nm n m BA A A A A AB =++≤++==ββββββ有上述结果有2222222)(m m HHm HH m Hm A BA B A B AB AB=≤==,所以(4)成立.5. 若rm PA ⨯∈,且r HE A A =,则12=A ,r A m =2.证明:根据定义1)()(2===E r A A r A H ;r E tr A A tr A H m ===)()(2.6. 设x ,Ax 的向量范数为2∙,证明:它对应的算子范数是{}n xAx A σσσ,,,m ax m ax 212122===.证明:对任意矩阵A ,存在酉矩阵U ,V ,得到矩阵A 的奇异值分解A =UDV . 其中n σσ,,1 是矩阵A 的奇异值,D =diag(n σσσ,,,21 ). 根据定义,有)()())(()(222D r V D V r UDV UDV r A A r A H H H =====max{n σσσ,,,21 }.7. 若∙是算子范数,则 (1) 1=E ; (2) 11--≥A A;(3) xAxAx 011min≠--=. 证明:根据算子范数定义xAxA x 0max≠=, (1) 1max max00===≠≠x xxEx E x x ; (2) 111--≤==A A AA E ,11--≥A A ;(3) xx A Ax 101max-≠-=,令x A y 1-=,则Ay x =,得AyyAy 01max≠-=,从而xAxy Ay Ayy A x y y 00011minminmax 1≠≠≠--===. 8. 设v A ,μA 是对应于两个向量范数v x ,v Bx x=μ的算子范数,B 可逆,则νμ1-=BAB A .证明:根据定义,有μμμxAx Ax 0max≠=,把νμBx x=代入上式,得到ννμBx BAx A x 0max≠=,令y =Bx ,则y B x 1-=,则νννμ110max--≠==BAB y y BAB Ay .9. 设a x ,b x 是C n 上的两个向量范数,a 1,a 2是两个正实数,证明 (1) c b a x x x =},max{; (2) d b ax x a xa =+21都是C n 上的向量范数.证明:需要证明(1)和(2)满足范数定义中的三个条件即可.(1) (正定性) 当0≠x 时,0>ax ,0>b x ,则0>c x ;当x =0时,0=a x ,0=b x ,则0=cx. 奇次性显然成立. (三角不等式)},m a x {},m a x {b b a a b a cy x y x y x y x yx ++≤++=+c c b a b a y x y y x x +=+≤},max{},max{. (1)证毕.(2) 正定性和奇次性同(1),容易得到. 下面证明三角不等式:d d b b a a b a d y x y x a y x a y x a y x a y x +=+++≤+++=+)()(2121. 证毕.10. 证明F F A A A n≤≤21. 证明:因为22122)()()(F Hn HA A A tr A A r A ==+++≤=λλλ ,即F A A ≤2,其中i λ为半正定矩阵A H A 的特征值. 又由于22212)()(A n A A r n A H n F ⋅=⋅≤+++=λλλ ,即21A A nF ≤. 证毕. 11.设a A 是nn C⨯上的相容矩阵范数,B ,C 都是n 阶可逆矩阵,且aB1-及aC1-都是小于或等于1,证明对任何nn CA ⨯∈a b BAC A =定义了nn C⨯上的一个相容矩阵范数.证明:首先证明a b BAC A =是一个矩阵范数。
《矩阵理论》课程教学大纲一、课程基本信息1、课程英文名称:Matrix Theory2、课程类别:基础课程3、课程性质:学位课4、课程学时:总学时 365、学分:26、先修课程:《线性代数》7、授课方式:多媒体演示、演讲与板书相结合,讨论8、适用专业:适用于理、工等专业9、大纲执笔:应用数学教研室10、大纲审批:理学院教授委员会11、制定(修订)时间:2015年6月二、课程的目的与任务《矩阵理论》是《线性代数》的后继课程,主要讲授线性空间与线性变换,内积空间,矩阵的标准形,矩阵分解,范数理论及其应用等内容。
矩阵理论作为一种基本的数学工具,在数学学科与其他科学技术领域(如数值分析、优化理论、微分方程、概率统计、系统工程等)都有广泛应用。
电子计算机及计算技术的发展也为矩阵理论的应用开辟了更广阔的前景。
开设本课程的目的是不仅使学生系统地获得矩阵分析的经典结果和现代结果,在数学的抽象性、逻辑性与严密性方面受到必要的训练和熏陶,使他们具有理解和运用逻辑关系、研究和领会抽象事物的能力,培养学生用矩阵分析的方法去思考问题的意识和兴趣,培养学生的抽象思维能力、逻辑推理能力与归纳判断能力、空间想象能力与数值计算能力,特别培养学生具有综合运用所学知识去分析问题和解决问题的能力,为学生将来进行科学研究奠定良好的基础。
三、课程的基本要求本课程的教学要重视矩阵分析的历史背景知识介绍,要注重基本概念和定理的几何背景和实际应用背景的介绍,要充分展示基本概念的形成过程,每个概念的引入应遵循实例——抽象——概念的形成过程,多角度说明有关概念的实质;要加强对基本数学方法的介绍,传授一些数学科学的基本学习方法和研究方法,强调在解决实际问题中有重要应用的数学思想方法,揭示重要数学方法的本质;要结合节次教学内容,增加具有启发性和讨论性的内容,加强应用实例的介绍,特别是一些来自实际的真实问题的解决方法介绍,对传统教学内容的应用问题进行更新和充实,扩大信息量,灵活采用探究式、启发式和讨论式等教学方法,做到抽象内容与具体例题相结合,教师提问与学生回答相结合,教师授课与学生练习相结合,要掌握好例题的难易程度,对例题要有分析、解答和归纳总结,充分调动学生学习数学的主动性和创造性,活跃课堂气氛;要突出矩阵分析的基本思想,要适当渗透一些现代数学思想,引入一些现代数学观点、概念、方法和术语等,为学生进一步接触现代数学奠定了一定基础。
线性代数的矩阵理论线性代数是数学中的一个重要分支,涉及向量空间以及在这些空间中的线性变换。
矩阵是线性代数核心的工具之一,其不仅在理论上具有深远的意义,还在计算和应用中起着不可或缺的作用。
本文将探讨矩阵的基本概念、性质、运算以及在实际中的应用。
一、矩阵的基本概念定义矩阵是按照矩形排列的复数或实数集合,用方括号或圆括号表示。
一个 m 行 n 列的矩阵称为 m x n 矩阵。
矩阵元素通常用 a_ij 表示,其中 i 表示行索引,j 表示列索引。
特例矩阵零矩阵:所有元素均为零的矩阵称为零矩阵,记作 O。
单位矩阵:对角线元素为1,其余元素为0的方阵称为单位矩阵,记作 I。
对称矩阵:若 A = A^T(A 的转置),则称 A 为对称矩阵。
逆矩阵:若存在一个 B 使得 AB = I,则 B 称为 A 的逆矩阵,记作 A^(-1)。
二、矩阵的性质加法性质两个同型矩阵相加结果也是同型矩阵,即对于任意的 m x n 矩阵 A 和 B,有 C = A + B 也是 m x n 矩阵。
乘法性质矩阵乘法并不满足交换律,但满足结合律和分配律。
在计算时,如果 A 是 m x n 矩阵,B 是 n x p 矩阵,则 C = AB 是 m x p 矩阵。
转置性质矩阵的转置乘积法则为 (AB)^T = B^T A^T,可以利用这个性质简化计算。
行列式与迹方阵的行列式是标量,拥有判别矩阵可逆性的意义。
迹是方阵对角线元素之和,在多种计算中具有重要作用。
三、矩阵运算加法与减法对于同型矩阵,可以逐元素进行加法或减法。
例如:数乘对任意实数或复数 k,与矩阵 A 的乘积 kA 是新的一组修改后的元素,该运算对每个元素进行扩展。
乘法假设 A 为 m x n 矩阵,B 为 n x p 矩阵,对应元素乘积规则如下:转置与逆转置是一种符号操作,将行列互换。
逆是求解 Ax = b 的重要方法,只有当行列式不为零时才存在。
四、特征值与特征向量定义及求解给定一个方阵 A,若存在标量λ 和非零向量 v,使得 Av = λv,则称λ 为 A 的特征值,而 v 为对应的特征向量。
2011学年 (A)
学号姓名成绩
考试科目:《矩阵理论》(A)考试日期:2011年 1 月10 日
注意事项:1、考试7个题目共7页
2、考试时间120分钟
题目:一(本题35分)
二(本题18分)
三(本题14分)
四(本题08分)
五(本题07分)
六(本题09分)
七(本题09分)
(注: I表示单位矩阵;H
A表示H转置;det(A)代表行列式)
姓名: 学号: A
一. 填空(35分) ( 任意选择填写其中35个空即可 )
(1)1113A ⎛⎫= ⎪-⎝⎭
,则2(2)A I -= ,A 的Jordan 形A J = (2)若3阶阵2≠A I ,且2440-+=A A I ,则Jordan 形A J =
(3) I 是单位矩阵,则范数1||I||||I||∞== ;cos 0n n ⨯=
(4)Hermite 阵的特征根全为 , 斜(反)Hermite 阵的特征根必为纯虚数或
(5)秩 ()()()r A B r A r B ⊗-= ; ()A B A B +++⊗-⊗= ;;
()T T T A B A B ⊗-⊗= ;()H H H A B A B ⊗-⊗=
(6) 若2320++=A A I ,则A 一定相似于 (7)d dt tA
e = ,d dt
tA e -= ,dsin(At)dt = (8)2()A A += ;00A B +⎛⎫= ⎪⎝⎭ ; (, 0)0A A ++⎛⎫- ⎪⎝⎭
= (9)设A 的各列互相正交且模长为1,则 H A A +-=
(10)(),ij A a =则 22
,,()()H H ij ij i j i j A A a AA a -=-=∑∑tr ||tr ||
(11) 若 ()0H A A =tr 则A =
(12) (正规阵无偏性)若A 是上三角形正规阵,则A 一定是
(13) 若0n n
n n B D C ⨯⨯⎛⎫ ⎪⎝⎭
为正规阵, 则D = (14)021, ,103a A B b ⎛⎫⎛⎫== ⎪ ⎪⎝⎭⎝⎭
则A B ⊗的特征根为 (15) 0.20.30.210.50.20.310.30.40.21A x ⎛⎫⎡⎤ ⎪⎢⎥== ⎪⎢⎥ ⎪⎢⎥⎝⎭⎣
⎦, , 则谱半径(最大特征根) ()A ρ范围是 ;且A x ∞= ;||A||∞=
(16)01,10A -⎛⎫= ⎪⎝⎭
则 ()=A H A e e
(17)111⎛⎫ ⎪⎝⎭
1A=11A x ⎛⎫= ⎪⎝⎭则的极小二数解是 ; +A = .. (18)设矩阵A 中各列都可用B 的列线性表示,则有矩阵P 使A=
(19)n阶阵A 的谱半径()A ρ与矩阵范数||||A 的关系是 .
(20)A 是方阵(k 是自然数),则矩阵范数||||,||||k k
A A 的关系为 且()()]k k A A ρρ-= [
(21)⎛⎫
⎪= ⎪ ⎪⎝⎭1 1 2A 1 1 2 2 2 4的满秩分解为 (22)如果AC , BD 有意义,则()()()()A B C D AC BD ⊗⊗-⊗=
(23)ABC 有意义,则有拉直公式:()T ABC A C B -⊗=
(24)已知方阵A ,B , 则AX
XB C -=有唯一解⇔⇔A 和B 没有公共
二.(18分)计算下列各题
1.设1123
121211
212A i ⎛⎫ ⎪ ⎪ ⎪⎝⎭=,100x ⎛⎫ ⎪ ⎪ ⎪⎝⎭=, (1)求行范数||||A ∞,向量范数||||Ax ∞.
(2)画出A 的盖尔园 ,判断A 是否可逆
2. (1)0.50 ,1
0.4A ⎛⎫= ⎪⎝⎭设判定收敛性并计算:0
()k k I A A ∞=-∑
(2)I 为单位矩阵,用Taylor 公式验证tI t e e I =且0n n e I ⨯=
三.(14分)1已知52525252222132t t t
t tA t t t t e e e e e e e e e ⎛⎫
+-= ⎪-+⎝⎭用导数求矩阵A (4分)
2.若已知sin()()At B t =, 如何用导数公式求A (写一个公式)(3分)
3.设,A ⎛⎫
⎪= ⎪ ⎪⎝⎭
210
020002(1)求A 极小式; (2) 计算cos(2)A π (7分)
四.(8分)已知矩阵A 的最小式为2(2)(1)λλ--),可知有以下公式(广谱公式) :
12()(1)(2)(2)f A f P f P f P '=++,()f x 为任意解析式.
用选取()f x 的方法求出11,,P P P 的表达式, 并求cos(2)A π
五.(7分) 设
11111
(1,1,1,1)
22211
B
⎛⎫⎛⎫
===
⎪ ⎪
⎝⎭⎝⎭
T
, D, b,
45
B
A
⨯
⎛⎫
= ⎪
⎝⎭
D
.
求A+与Ax=b的极小范数解或最佳极小二乘解
六.(9分)求
10
01
20
A
⎛⎫
⎪
⎪
⎪
⎝⎭
=的正奇异值与简化奇异值分解,写出A+的简化奇异分解
七. 1设3214A ⎛⎫= ⎪⎝⎭,求tA
e 的谱分解与谱半径()A ρ (5分)
2设110011001A ⎛⎫
⎪= ⎪ ⎪⎝⎭
,求一个矩阵B (具有正的特征根),使10
B A = (5分)
附加题:简证下题(任选1题) (3分)
(1)m n A ⨯∈证明 ()()H A A ⊥R N ; (2)A n n ⨯∈可逆, 则1||||||||1A A -∞∞≥。