第二章 直流电路试题及答案
- 格式:doc
- 大小:309.85 KB
- 文档页数:8
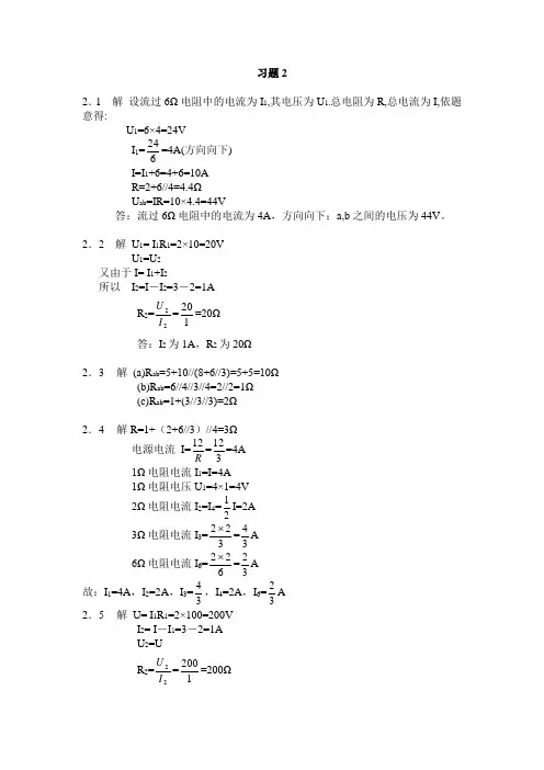
习题22.1 解 设流过6Ω电阻中的电流为I 1,其电压为U 1,总电阻为R,总电流为I,依题意得:U 1=6×4=24VI 1=624=4A(方向向下) I=I 1+6=4+6=10AR=2+6//4=4.4ΩU ab =IR=10×4.4=44V答:流过6Ω电阻中的电流为4A ,方向向下;a,b 之间的电压为44V 。
2.2 解 U 1= I 1R 1=2×10=20VU 1=U 2又由于I= I 1+I 2所以 I 2=I -I 2=3-2=1AR 2=22I U =120=20Ω 答:I 2为1A ,R 2为20Ω2.3 解 (a)R ab =5+10//(8+6//3)=5+5=10Ω(b)R ab =6//4//3//4=2//2=1Ω(c)R ab =1+(3//3//3)=2Ω2.4 解R=1+(2+6//3)//4=3Ω电源电流 I=R 12=312=4A 1Ω电阻电流I 1=I=4A1Ω电阻电压U 1=4×1=4V2Ω电阻电流I 2=I 4=21I=2A 3Ω电阻电流I 3=322⨯=34A 6Ω电阻电流I 6=622⨯=32A 故:I 1=4A ,I 2=2A ,I 3=34,I 4=2A ,I 6=32A 2.5 解 U= I 1R 1=2×100=200VI 2= I -I 1=3-2=1AU 2=UR 2=22I U =1200=200Ω答:I 2为1A ,R 2为200Ω.2.6 解 根据KVL 定律,可列出方程组为:I 1R 1-U SI -U S2-I 2 R 2=0――――①I=I 1+I 2 ――――②由①和②得:I 1=3A, I 2=0A2.7 解 R 1=6101003-⨯-1×103=29KΩ R 2=61010030-⨯-(1+29)×103=270KΩ R 3=610100300-⨯-(1+29+270) ×103=2700 KΩ 答:分压电阻R 1,,R 2,,R 3的数值为29KΩ, 270KΩ, 2700 KΩ2.8 解3Ω电阻电流 I 3=6+12=18A(向右下)12Ω电阻电流 I 12=18-15=3A(向上)I R =17-3=14A(向左下)I=15-14=1A(向右)U 3==3×12=36V36-I R R -15×1=0由此式得:R=1421=1.5Ω U S =18×3+12×3=54+36=90VP S = 12 ×U S =10×90=900W答:电路的电流I 是1A,电源电压U S 是90V ,电阻R 是1.5Ω,电源发出的功率P S 是900W.(注: I 3流过3Ω电阻的电流,以此类推)2.9 解设流过10Ω电阻的电流为I 1I 1=10U =1024=2.4A U R =2.4(15+10)=60VI=1.1160120-=5.41A I R =I -I 1=5.41-2.4=3.01AR=R R I U =01.360≈20Ω 答:电阻R 的阻值为20Ω2.10 解 I N =N N U P =22040=0.182AR=N N I U =182.0220=1.21 KΩ 答:额定电流和灯丝的电阻分别为0.182A, 1.21 KΩ。
第二章直流电路一.填空题1.电阻串联可获得阻值的电阻,可限制和调节电路中的,可构成。
还可扩大电表测量的量程。
2.有两个电阻R1和R2已知R1/R2=1/2,若他们在电路中串联,则两电阻上的电压比U1/U2= ;两电阻中的电流之比I1/I2= 。
他们消耗的功率比P1/P2= 。
3.电阻并联可获得阻值的电阻,还可以扩大电表测量的量程,相同的负载都采用并联的工作方式。
4.有两个电阻R1和R2,已知R1/R2=1/2,若他们在电路中并联,则两电阻上的电压比U1/U2= ;两电阻中的电流之比I1/I2= . 他们消耗的功率比P1/P2= 。
5.当用电器的额定电流比单个电池允许的通过最大电流时,可采用电池组供电,但这是用电器的额定电压必须单个电池的电动势。
6.电路中元件既有又有的连接方式称为混联。
7.电阻负载串联时,因为相等,所以负载消耗的功率与电阻成比。
而电阻负载并联时,因为相等,所以负载消耗的功率与电阻成比。
8.如图所示电路,流过R2的电流为3A,流过R3的电流为A,这是E为A。
9.如图所示电路,当开关S打开时,C.D两点间的电压为V;当S合上时,C.D两点间的电压又为V。
50Ω电阻消耗的功率为W.10.电桥的平衡的条件是,电桥平衡时的重要特征是。
11.不能用电阻串.并联方法化简的电路叫。
12.基尔霍夫第一定律又叫,其内容是,其数字表达式是。
13.基尔霍夫第二定律又叫,其内容是,其数学表达式是。
14.所谓支路电流法就是以的未知量,依据列出方程式,然后解联立方程得到的数值。
15.依据支路电流法解得的电流为负值时,说明电流的方向和方向相反。
16.叠加原理之适用于电路,而且叠加原理只能用来计算和,不能直接用于计算。
17.如图所示,已知E1单独作用时,通过R1.R2.R3的电流分别是-4A.2A.-2A;E2单独作用时,通过R1.R2.R3的电流分别为3A.2A.5A,则各支路的电流I1= A,I2= A,I3= A。
直流电路(二)——电功和电热【知识归纳】:1.电功就是电场力做的功,因此是W=UIt ;由焦耳定律,电热Q=I 2Rt 。
其微观解释是:电流通过金属导体时,自由电子在加速运动过程中频繁与正离子相碰,使离子的热运动加剧,而电子速率减小,可以认为自由电子只以某一速率定向移动,电能没有转化为电子的动能,只转化为内能。
(1)对纯电阻而言,电功等于电热:W=Q=UIt =I 2R t =t RU2(2)对非纯电阻电路(如电动机和电解槽),由于电能除了转化为电热以外还同时转化为机械能或化学能等其它能,所以电功必然大于电热:W >Q ,这时电功只能用W=UIt 计算,电热只能用Q=I 2Rt 计算,两式不能通用。
为了更清楚地看出各概念之间区别与联系,列表如下:注意:a 、电功和电热的区别:(1)纯电阻用电器:电流通过用电器以发热为目的,例如电炉、电熨斗、电饭锅、电烙铁、 白炽灯泡等。
(2)非纯电阻用电器:电流通过用电器是以转化为热能以外的形式的能为目的,发热不是目的,而是不可避免的热能损失,例如电动机、电解槽、给蓄电池充电、日光灯等。
在纯电阻电路中,电能全部转化为热能,电功等于电热,即W=UIt=I 2Rt =RU 2t 是通用的,没有区别,同理P=UI=I 2R =RU 2也无区别,在非纯电阻电路中,电路消耗的电能,即W=UIt 分为两部分,一大部分转化为其它形式的能;另一小部分不可避免地转化为电热Q=I 2Rt ,这里W=UIt 不再等于Q=I 2Rt ,应该是:W=E 其它+Q ,电 功就只能用W=UIt 计算,电热就只能用Q=I 2Rt 计算。
b 、关于用电器的额定值问题额定电压是指用电器在正常工作的条件下应加的电压,在这个条件下它消耗的功率就是额定功率,流经它的电流就是它的额定电流。
如果用电器在实际使用时,加在其上的实际电压不等于额定电压,它消耗的功率也不再是额定功率,在这种情况下,一般可以认为用电器的电阻与额定状态下的值是相同的,并据此来进行计算。
电工技术基础与技能第二章简单电路练习题班别:高二()姓名:学号:成绩:一、是非题(1.5X20)1、当外电路开路时,电源端电压等于零。
()2、短路状态下,电源内阻的压降为零。
()3、电阻值为R1=20Ω,R2=10Ω的两个电阻串联,因电阻小对电流的阻碍作用小,故R2中通过的电流比R1中的电流大些。
()4、一条马路上路灯总是同时亮,同时灭,因此这些灯都是串联接入电网的。
()5、通常照明电路中灯开得越多,总的负载电阻就越大。
()6、万用表的电压、电流及电阻档的刻度都是均匀的。
()7、通常万用表黑表笔所对应的是内电源的正极。
()8、改变万用表电阻挡倍率后,测量电阻之前必须进行电阻调零。
()9、电路中某两点的电位都很高,则这两点间的电压也一定很高。
()10、电路中选择的参考点改变了,各点的电位也将改变。
()二、选择题(2X20)请将正确的答案填在题后的答题卡中,否则无效。
1、在图2-29所示电路中,E=10V,R0=1Ω,要使Rp获得最大功率,Rp应为( )Ω。
A.0.5B.1C.1.5D.02、在闭合电路中,负载电阻增大,则端电压将( )。
A.减小B.增大C.不变D.不能确定3、将R1>R2>R3的三只电阻串联,然后接在电压为U的电源上,获得功率最大的电阻是( )。
A. R1B. R2C. R3D.不能确定4、若将上题三只电阻并联后接在电压为U的电源上,获得功率最大的电阻是( )。
A. R1B. R2C. R3D.不能确定5、一个额定值为220V、40W的白炽灯与一个额定值为220V、60W的白炽灯串联接在220V电源上,则( )。
A.40W灯较亮B.60W较亮C.两灯亮度相同D.不能确定6、两个电阻R1、R2并联,等效电阻值为( )。
A.两者的和除以两者的乘积B. R1-R2C.两者的乘积除以两者的和D. 倒数和7、两个阻值均为555Ω的电阻,作串联时的等效电阻与作并联时的等效电阻之比为( )。
直流电路试题及答案一、选择题(每题5分,共20分)1. 直流电路中,电流的方向是如何规定的?A. 从正极流向负极B. 从负极流向正极C. 从电源内部正极流出,外部负极流入D. 从电源内部负极流出,外部正极流入答案:A2. 电路中,电阻的单位是:A. 欧姆B. 伏特C. 安培D. 瓦特答案:A3. 以下哪个公式用于计算直流电路中的功率?A. P = IVB. P = V^2/RC. P = I^2RD. P = R/I答案:A4. 并联电路中,总电阻与各支路电阻的关系是:A. 总电阻等于各支路电阻之和B. 总电阻等于各支路电阻之积C. 总电阻小于任何一个支路电阻D. 总电阻等于各支路电阻的倒数之和答案:C二、填空题(每题5分,共20分)1. 直流电路中,电压的单位是_______。
答案:伏特2. 欧姆定律的公式是_______。
答案:V = IR3. 电路中,电流的单位是_______。
答案:安培4. 电阻的串联和并联公式分别是_______和_______。
答案:R_total = R1 + R2 + ... + Rn;1/R_total = 1/R1 + 1/R2 + ... + 1/Rn三、计算题(每题10分,共20分)1. 已知一个直流电路中,电阻R1=10Ω,电阻R2=20Ω,电源电压V=12V,求电路的总电阻和总电流。
答案:总电阻R_total = R1 + R2 = 10Ω + 20Ω = 30Ω;总电流I_total = V / R_total = 12V / 30Ω = 0.4A2. 一个直流电路中,电阻R=50Ω,通过电阻的电流I=0.2A,求电路的功率。
答案:功率P = I * V = I * (I * R) = 0.2A * (0.2A * 50Ω) = 2W四、简答题(每题10分,共20分)1. 什么是直流电路?答案:直流电路是指电流方向不随时间变化的电路,电流从电源的正极流向负极。
第2章直流电路一、填空题1.已知R1=5Ω,R2=10Ω,把R1、R2串联起来,并在其两端加15 V的电压,此时R1所消耗的功率是5W 。
2.有两个电阻R1和R2,已知R1=2R2,把它们并联起来的总电阻为4Ω,则R1=12Ω,R2= 6Ω。
3.有两个电阻,把它们串联起来的总电阻为10Ω,把它们并联起来的总电阻为2.4Ω,这两个电阻的阻值分别为_4Ω__和_6Ω_。
4.已知R1和R2两个电阻,且R2=3R1,若串联在电路中,则R1消耗功率与R2消耗功率之比为1:3;若并联在电路中,则R1消耗功率与R2消耗功率之比为3:1。
5.有两电阻R1和R2,已知R1:R2=1:4。
若它们在电路中串联,则电阻两端的电压比U1:U2=1:4;流过电阻的电流比I1:I2= 1:1,它们消耗的功率比P1:P2=1:4 。
若它们并联接在电路中,则电阻两端的电压之比U1:U2=1:1;流过电阻的电流之比I1:I2=4:1;它们消耗的功率之比P1:P2=4:1。
6.电阻负载并联时,因为电压相等,所以负载消耗的功率与电阻成反比;电阻负载串联时,因为电流相等,所以负载消耗的功率与电阻成正比。
7.有5个相同的蓄电池,每个电池的电动势均为2V,内阻均为0.1Ω,串联后与R=4.5Ω的负载电阻相连,则流过电阻R的电流为2A,R两端的电压为9V,消耗的功率为18W。
8.如图2.34所示,每个电阻的阻值均为30Ω,电路的等效电阻R ab=6Ω。
图2.34 图2.359.如图2.35所示的电路中,流过4Ω电阻的电流为0.6A,A、B两点间的电压为5.4V,3Ω电阻的功率是3W。
10.如图2.36所示电路,A点的电位V A等于21V 。
图2.36 图2.3711.基尔霍夫电流定律指出:在任一时刻,通过电路任一节点的电流的代数和为零,其数学表达式为ΣI=0;基尔霍夫电压定律指出:对电路中的任一闭合回路,各电阻上电压降的代数和等于各电源电动势的代数和,其数学表达式为ΣRI=ΣE 。
直流电路测试题及答案测试题:1.什么是直流电路?2.直流电路中有哪些基本元件?3.什么是电阻?它在直流电路中的作用是什么?4.什么是电流?它有哪些基本物理量?5.什么是电压?它有哪些基本物理量?6.欧姆定律的内容是什么?7.什么是基尔霍夫定律?它包括哪些内容?8.理想电压源和理想电流源的特点是什么?9.如何计算电阻上的电压和电流?10.如何计算电源的电动势和内阻?答案:1.直流电路是指电流方向保持不变的电路。
2.直流电路中有电阻、电源、负载等基本元件。
3.电阻是导体对电流的阻碍作用,它在直流电路中的作用是限制电流的大小。
4.电流是单位时间内通过导体横截面的电荷量,它有电流强度、方向和时间三个基本物理量。
5.电压是电场中两点之间的电势差,它有电压强度、方向和参考点三个基本物理量。
6.欧姆定律的内容是:在同一电路中,通过导体的电流与导体两端的电压成正比,与导体的电阻成反比。
7.基尔霍夫定律包括基尔霍夫电流定律和基尔霍夫电压定律。
基尔霍夫电流定律的内容是:在电路中,任意一个节点上,流入节点的电流之和等于流出节点的电流之和;基尔霍夫电压定律的内容是:在电路中,任意一条闭合回路上,各段电压的代数和等于零。
8.理想电压源输出的电压值恒定,输出的电流值由它本身和外电路共同决定;理想电流源输出的电流值恒定,输出的电压由它本身和外电路共同决定。
9.电阻上的电压等于通过电阻的电流乘以电阻值;电阻上的电流等于电源电动势除以电阻值。
10.电源的电动势等于电源开路时的电压;电源的内阻等于电源短路时的电流除以电动势。
第3节 电阻的串联、并联及其应用 一、单项选择题 1.如图所示电路由8个不同的电阻组成,已知R 1=12 Ω,其余电阻阻值未知,测量A 、B 间的总电阻为4 Ω.今将R 1换成6 Ω的电阻,则A 、B 间的总电阻变为( )A .6 ΩB .4 ΩC .3 ΩD .2 Ω解析:不管这8个不同的电阻连接有多复杂,都可将除R 1之外的其他部分看成一个电阻R 2,由并联电阻计算公式可得R AB =R 1R 2R 1+R 2=4 Ω,将R 1=12 Ω代入可得R 2=6 Ω;将R 1换成6 Ω的电阻后R AB ′=R 1′R 2R 1′+R 2=3 Ω,故选项C 正确.答案:C2.如图所示,电阻R 1、R 2、R 3、R 4满足R 1∶R 2∶R 3∶R 4=1∶2∶3∶4,则当A 、B 间接上直流电压时,流过R 1、R 2、R 3、R 4的电流之比I 1∶I 2∶I 3∶I 4为( )A .1∶2∶3∶4B .3∶2∶1∶6C .6∶3∶2∶11D .3∶2∶1∶4解析:设流过R 4的电流为I ,R 1∶R 2∶R 3=1∶2∶3,由电流分配与电阻成反比可知,流过R 1、R 2、R 3的电流之比为I 1∶I 2∶I 3=6∶3∶2,故I 1=611I ,I 2=311I ,I 3=211I ,故I 1∶I 2∶I 3∶I 4=6∶3∶2∶11,故C 正确. 答案:C3.有一只电压表,它的内阻是100 Ω,量程为0.2 V ,现要改装成量程为10 A 的电流表,电压表上应( )A .并联0.002 Ω的电阻B .并联0.02 Ω的电阻C .并联50 Ω的电阻D .串联4 900 Ω的电阻解析:改装前电压表的满偏电流为I g =U g R g =0.2 V 100 Ω=2×10-3 A , 由电流表的改装原理可知需再并联一只R x 的电阻,R x =U g I -I g =0.210-2×10-3Ω=0.02 Ω, 故选项B 正确.答案:B4.如图所示电路,滑动变阻器R 1的总阻值是200 Ω,定值电阻R 2的阻值是300 Ω,电源电压是6 V ,且保持不变,内阻忽略不计.当滑动变阻器的滑片P 由a 点滑到b 点时,电压表的变化是( )A .2.4~6 VB .3.6~6 VC .6~3.6 VD .6~2.4 V解析:由电路图可知电阻R 1、R 2串联.由U =IR 可知:电流不变时,滑片P 到b 之间的电阻越大,电压表的示数越大;当滑动变阻器的滑片P 在a 点时,电压表的示数最大,此时电压表测量电源的电压,即U 最大=6 V ;当滑动变阻器的滑片P 在b 点时,电压表的示数最小,此时电路中的电流I =U R 总=6500A =0.012 A ,电压表的示数U 最小=IR 2=0.012 A×300 Ω=3.6 V .所以,滑动变阻器的滑片P 由a 滑到b 时,电压表的变化是6~3.6 V ,选项C 正确.答案:C5.一个电流表由小量程的电流表G 与电阻R 并联而成.若在使用中发现此电流表读数比准确值稍小些,下列采取的措施正确的是( )A .在R 上串联一个比R 小得多的电阻B .在R 上串联一个比R 大得多的电阻C .在R 上并联一个比R 小得多的电阻D .在R 上并联一个比R 大得多的电阻解析:电流表读数比准确值稍小些,是由于并联的电阻R 阻值偏小,而使流经小量程的电流表的电流偏小造成的,所以应该给电阻R 串联一个阻值比R 小得多的电阻,从而使通过G 的电流变大.答案:A二、多项选择题6.下列说法正确的是( )A .一个电阻R 和一根电阻为零的理想导线并联,总电阻为零B .并联电路的总电阻一定小于并联支路中最小的电阻C .在并联电路中,任意支路电阻增大或减小时,总电阻将随之增大或减小D .电阻R 和阻值无穷大的电阻并联,总电阻为无穷大解析:理想导线把电阻R 短路,总电阻为零,A 正确.在并联电路中,由并联电路的特点知总电阻小于并联支路中的最小电阻,若一无穷大的电阻和电阻R 并联,阻值为R ,B 正确,D 错误.当并联支路的某一电阻增大或减小时,总电阻也随着增大或减小,C 正确.答案:ABC7.在如图所示的电路中,通过电阻R 1的电流I 1是( )A .I 1=UR 1B .I 1=U 1R 1C .I 1=U 2R 2D .I 1=U 1R 1+R 2解析:由串联电路的特点可知I 1=U 1R 1=I 2=U 2R 2=I =U R 1+R 2,故B 、C 正确. 答案:BC8.两个电压表V 1和V 2是由完全相同的两个小量程电流表改装成的,V 1的量程是5 V ,V 2的量程是15 V ,为了测量15~20 V 的电压,把两个电压表串联起来使用,下列说法正确的是( )A .V 1和V 2的示数相等B .V 1和V 2的指针偏转角度相同C .V 1和V 2的示数不相等,指针偏转角度也不相同D .V 1和V 2的示数之比等于两个电压表的内阻之比解析:该题可以按以下两个过程求解:(1)两表指针偏转角度大小的确定:两电压表串联,通过它们的电流相同,指针偏转角度相同,B 对,C 错.(2)两表示数大小的确定:V 1和V 2的示数就是两电压表的分压,根据串联电路的特点,V 1和V 2的示数之比等于两个电压表的内阻之比,A 错,D 对.答案:BD9.用两个相同的电流表G 改装成量程不同的电流表A 1和A 2,其中A 1的量程是A 2的2倍,现将它们接入电路,下列说法正确的是( )A .若两表串联,则指针偏角θ1<θ2,两表示数相等B .若两表串联,则指针偏角θ1=θ2,A 1示数大于A 2示数C .若两表并联,则指针偏角θ1=θ2,A 1示数大于A 2示数D .若两表并联,则指针偏角θ1>θ2,两表示数相等解析:电流表G 并联一个电阻R 就改装成电流表A ,A 1的量程比A 2的大,则与A 1对应所并联的电阻R 1比与A 2对应所并联的电阻R 2小,即R 1<R 2.若两电流表串联,如图甲所示,因R 1<R 2,则R 1分的电流比R 2分的电流多,所以电流表A 1中的表头电流就比电流表A 2中的表头电流小,指针偏角θ1<θ2,但两电流表示数相等,故A 正确,B 错误.若两电流表并联,如图乙所示,因两表头并联,电压相等,流过表头的电流相等,指针偏角θ1=θ2,但两电流表示数不相等,A 1的示数大于A 2示数,故C 正确,D 错误.答案:AC三、非选择题10.用伏安法测电阻,可采用如图所示的甲、乙两种接法.其所用电压表内阻为5 000 Ω,电流表内阻为0.5 Ω.(1)当测量100 Ω左右的电阻时,宜采用________电路.(2)现采用乙电路测量某电阻的阻值时,两电表的读数分别为10 V 、0.5 A ,则此电阻的测量值为________Ω,真实值为________Ω.解析:(1)R A R V =0.5×5 000 Ω=50 Ω<R x ,R x 为大电阻,故电流表采用内接法误差较小,应用甲电路.(2)如果采用乙电路,则有R 测=U I =100.5 Ω=20 Ω, U R x +U R V=I解得R x ≈20.1 Ω.答案:(1)甲 (2)20 20.111.现有一块小量程电流表G(表头),满偏电流为50 μA,内阻约为850 Ω.计划把它改装成1 mA 、10 mA 的双量程电流表.可供选择的器材有:滑动变阻器R 1,最大阻值20 Ω;滑动变阻器R 2,最大阻值100 kΩ;电阻箱R ′,最大阻值9 999 Ω;定值电阻R 0,阻值1 kΩ;电源E 1,电动势1.5 V ;电源E 2,电动势3.0 V ;电源E 3,电动势4.5 V(电池内阻均不计);标准电流表A ,满偏电流1.5 mA ;单刀单掷开关S 1和S 2,单刀双掷开关S 3;电阻丝及导线若干.(1)采用如图甲所示电路测量表头的内阻,为提高测量精确度,选用的滑动变阻器为________;选用的电池为________.(2)将G 改装成双量程电流表,现有两种备选电路,如图乙和图丙所示.其中图________为合理电路.另一电路不合理的理由是____________________.(3)将改装后的电流表与标准电流表逐格进行校对(仅校对1 mA 量程),画出所用电路图,图中待校对的电流表符号用A G 表示.解析:(1)半偏法测电阻时,要求干路电流几乎不变,为此滑动变阻器阻值应远大于电流表内阻,同时电源电动势越大越好,故滑动变阻器应选R 2,电源选E 3.(2)图乙为合理的电路.若采用图丙所示电路,在电路工作的情况下更换量程时,即S 3由R d 换至R c 的过程中,两电阻R d 、R c 都未与G 并联,这时G 会因电流过大而被烧坏.(3)为了从零到量程范围内进行逐格校对,滑动变阻器应选用分压接法,所以滑动变阻器选择阻值较小的R 1即可.改装成量程为1 mA 的电流表时需要并联的电阻R x =I g R g I m -I g≈45 Ω,改装后的电流表A G 的内阻R A ≈43 Ω.因43 Ω×1 mA=0.043 V ,所以电源选电动势最小的E 1即可.当选用E 1=1.5 V 的电源后,必须再串联一电阻R 0加以保护,才能使其安全工作.校表电路如图所示.答案:(1)R 2 E 3 (2)见解析 (3)图见解析12.在如图所示的电路中,小量程电流表的内阻R g =100 Ω,满偏电流I g =1 mA ,R 1=900 Ω,R 2=100999Ω. (1)当S 1和S 2均断开时,改装成的表是什么表?量程为多大?(2)当S 1和S 2均闭合时,改装成的表是什么表?量程为多大?解析:(1)S 1和S 2均断开时,电阻R 1与小量程电流表串联,可组成较大量程的电压表,电压表的内阻R V =R g +R 1=1 000 Ω.所以,电压表两端的电压最高为U =I g R V =0.001×1 000 V=1 V ,即改装而成的电压表的量程为1 V.(2)S 1和S 2均闭合时,电阻R 1被短路,电阻R 2与小量程电流表并联,组成较大量程的电流表. 当小量程电流表满偏时,通过R 2的电流为I R 2=I g R g R 2=0.001×100100999A =0.999 A , 故改装后电流表量程为I =I R 2+I g =0.999 A +0.001 A =1 A. 答案:(1)电压表 1 V (2)电流表 1 A。
《电工基础》第二章简单直流电路单元测试卷一、判断题(本大题共10小题,每小题1分,共10分)1.在通路状态下,负载电阻变大,电源的端电压下降。
( )2.一个全电路中,电源的输出功率随负载电阻的增加而增加。
()3. 若额定电流为100A的发电机,所接负载的电流为60 A,则还有40A的电流被线路吸收了。
()4.短路状态下,电源的内阻压降为零。
()5. 电路中两点间的电压与路径无关。
( )6. 用伏安法测电阻时,安培表内接法适用于R R v的场合。
()7.改变万用表欧姆挡量程时都要进行欧姆调零。
()8.“110 V, 40 W”和“110 V, 100W”的两负载能串接在220V的电路中。
( )9.万用表测交流电压时,只要在表头串联一个二极管即可。
( )10. 电源E向负载RL供电,R L的一端断开时,UL=E。
( )二、选择题(本大题共10小题,每小题3分,共30分)11. 在如图所示电路中,已知E、U、R,求I的公式是()A.I=(U-E)/R B. I=(E-U)/RC.I=(U+E)/R D. I=(-U-E)/R12.有一电源分别接8Ω和2 Ω电阻,单位时间内放出的热量相等(导线电阻不计),则电源内阻为()A. 1ΩB.2ΩC.4 Ω D. 8 Ω13. 在如图所示电路中,电灯L1、L2都标有“220 V,100 W”;电灯L3、L4都标有“220V, 40W”,将A、B两端接入电源,最暗的灯是( )A. L1B.L2C. L3 D.L4第11题图第13题图第14题图第16题图14.在如图所示电路中,R0是电源E的内阻,则( )A.R2=R0时,R2获得最大功率B. R2=R1时,R2获得最大功率C. R2=R1+R0时,R2获得最大功率D. R2=∞时,R2获得最大功率15.某用电器离供电电源L米,线路上的电流为I安,若要求线路上的电压降不超过U伏,已知输出电线的电阻率为ρ欧·米。
直流电路一、填空题1、电力系统中一般以为参考点,参考点的电位为(零)电位。
2、欧姆定律一般可分为(部分电路)的欧姆定律和(全电路)的欧姆定律。
3、部分电路的欧姆定律是用来说明电路中(电压电流电阻)三个物理量之间关系的定律。
4、全电路欧姆定律,说明了回路中电流Ⅰ与电源电动势的代数和成(正)比,而与回路中的(负载电阻)及(电阻)之和成反比。
5、导体电阻的单位是(欧姆),简称(欧),用符号(Ω )表示,而电阻率则用符号(ρ )表示。
6、已知电源电动势为E,电源的阻压降为U0,则电源的端电压U=( E-U0 )。
7、有一照明线路,电源端电压为220伏,负载电流为100安,线路的总阻抗为0.2欧姆,那么负载端电压为(200V)伏。
8、串联电路中的(电流)处处相等,总电压等于各电阻上(电压降)之和。
9、一只220伏15瓦的灯泡与一只220伏100瓦的灯泡串联后,接到220伏电源上,则( 15 )瓦灯泡较亮,而( 100 )瓦灯泡较暗。
10、1度电就是1千瓦的功率做功1小时所消耗的电量,所以它的单位又叫(千瓦小时)。
11、用万用表测量电路的电流时必须先断开电路,然后按照电流从正到负的方向,将万用表直流电流挡(串)联到被测电路中。
12、一条均匀电阻丝对折后,通以和原来相同的电流,则在相同时间里,电阻丝所产生的热量是原来的( 1/4 )倍。
13、有一只阻为0.15Ω,量程为1A的电流表,现给它并联的一只0.05Ω的小电阻,则这只电流表的量程扩大为( 4A )。
14、用电压表测量电源路端电压为零,这说明外电路处于(短路)状态。
15、一电炉电阻为44Ω,额定工作电压220V,则此电炉额定功率为( 1100W )。
16、如下图1-1的电路中有( 3 )节点,( 5 )条支路,( 6 )个回路,( 3 )个网孔。
图1-1 图1-217、如图1-2所示,已知E=50V,I=20A,R=20Ω,则A点的电位是()18.在串联电路中,等效电阻等于各电阻()。
《电工基础》第二章简单直流电路的分析试卷一、单项选择题1.不属于电阻串联的应用的是( )。
(2 分)A.分压作用B.限流作用C.开关D.电流表扩程2.欲精确测量中电阻的阻值,应选用( )。
(2 分)A.万用表B.兆欧表C.单臂电桥D.双臂电桥3.利用电阻的并联可用扩大( )的量程。
(2 分)A.电流表B.电压表C.欧姆表D.功率表4.如图2-13所示电路中,当开关S合上和断开时,各白炽灯的亮度变化是( )。
(2 分)A.没有变化B.S合上时各灯亮些,S断开时各灯暗些C.S合上时各灯暗些,S断开时各灯亮些D.无法回答,因为各灯的电阻都不知道5.一只10Ω的电阻和一只5Ω的电阻串联,通过的电流为5A,则串联电路的总电压为( )V。
(2 分)A.3B.25C.50D.756.已知R1>R2>R3,若将此三只电阻并联接在电压为U的电源上,获得最大功率的电阻将是( )。
(2 分)A.R1B.R2C.R37.如下图所示电路中,开关S闭合与打开时,电阻R上电流之比为3:1,则R的阻值为( )。
(2 分)A.120ΩB.60ΩC.4 0Ω8.要测量中电阻的阻值,应优先选用( )。
(2 分)A.万用表B.兆欧表C.单臂电桥D.双臂电桥9.在闭合电路中,电源内阻变大,电源两端电压将( )。
(2 分)A.升高B.降低C.不变D.不确定10.下图示电路中,已知各电阻的阻值均为R,则R AB=。
(2 分)A.RB.2RC.4RD.6R二、判断题11.( )用电桥测量电阻的方法准确度比较高。
(2 分)12.( )直流单臂电桥就是惠斯登电桥。
(2 分)13.( )只要电桥上检流计的指针指零,电桥一定平衡。
(2 分)14.( )在串联电路中,各电阻上的电压与电阻的阻值成正比。
(2 分)15.( )计算简单电路的依据是欧姆定律和电阻串、并联规律。
(2 分)16.( )将电源看作是电压源还是电流源,主要依据是所带负载的性质和大小。
第2章直流电路一、填空题1.已知R1=5Ω,R2=10Ω,把R1、R2串联起来,并在其两端加15 V的电压,此时R1所消耗的功率是5W 。
2.有两个电阻R1和R2,已知R1=2R2,把它们并联起来的总电阻为4Ω,则R1=12Ω,R2= 6Ω。
3.有两个电阻,把它们串联起来的总电阻为10Ω,把它们并联起来的总电阻为2.4Ω,这两个电阻的阻值分别为_4Ω__和_6Ω_。
4.已知R1和R2两个电阻,且R2=3R1,若串联在电路中,则R1消耗功率与R2消耗功率之比为1:3;若并联在电路中,则R1消耗功率与R2消耗功率之比为3:1。
5.有两电阻R1和R2,已知R1:R2=1:4。
若它们在电路中串联,则电阻两端的电压比U1:U2=1:4;流过电阻的电流比I1:I2= 1:1,它们消耗的功率比P1:P2=1:4 。
若它们并联接在电路中,则电阻两端的电压之比U1:U2=1:1;流过电阻的电流之比I1:I2=4:1;它们消耗的功率之比P1:P2=4:1。
6.电阻负载并联时,因为电压相等,所以负载消耗的功率与电阻成反比;电阻负载串联时,因为电流相等,所以负载消耗的功率与电阻成正比。
7.有5个相同的蓄电池,每个电池的电动势均为2V,内阻均为0.1Ω,串联后与R=4.5Ω的负载电阻相连,则流过电阻R的电流为2A,R两端的电压为9V,消耗的功率为18W。
8.如图2.34所示,每个电阻的阻值均为30Ω,电路的等效电阻R ab=6Ω。
图2.34 图2.359.如图2.35所示的电路中,流过4Ω电阻的电流为0.6A,A、B两点间的电压为5.4V,3Ω电阻的功率是3W。
10.如图2.36所示电路,A点的电位V A等于21V 。
图2.36 图2.3711.基尔霍夫电流定律指出:在任一时刻,通过电路任一节点的电流的代数和为零,其数学表达式为ΣI=0;基尔霍夫电压定律指出:对电路中的任一闭合回路,各电阻上电压降的代数和等于各电源电动势的代数和,其数学表达式为ΣRI=ΣE 。
第二章《直流电路》测试题★夯实基础一、选择题1.一根粗细均匀阻值为8Ω的电阻丝,在温度不变的条件下,先将它等分成四段,每段电阻为;再将这四段电阻丝并联,并联后总电阻为。
则与的大小依次为()A.1Ω,0.5Ω B.4Ω,lΩ C.2Ω,0.5Ω D.2Ω,lΩ2.根据电阻定律,电阻率。
对于温度一定的某种金属导线来说,它的电阻率()A.跟导线的电阻成正比B.跟导线的横截面积成正比C.跟导线的长度成反比D.由所用金属材料本身特性决定3.一只普通白炽灯,不通电时灯丝的电阻为;正常发光时灯丝电阻。
比较和的大小,应是()A.>B.<C.= D.条件不足,无法判断4.由甲地向乙地输电,输送的电功率一定,输电线的材料一定。
设输电电压为U,输电线横截面积为S,输电线因发热损失的电功率为P。
那么()A.若U一定,则P与S成反比B.若U一定,则P与S2成反比C.若S一定,若P与U2成正比D.若S一定,则P与U成反比5.一台电动机,额定电压是100V,电阻是1Ω,正常工作时通过的电流为5A,则电动机因发热损失的功率为()A.500W B.25W C.2 000W D.475W6.如图所示的电路中,R1=1Ω,R2=2Ω,R3=3Ω。
那么通过电阻R1、R2、R3的电流之比I1: I2: I3为()A.l:2:3B.3:2:1C.2:1:3D.3:1:27.两个相同的电阻R,串联起来接在电动势为E的电源上,通过一个电阻的电流为I。
若把这两个电阻并联起来,仍接在该电源上,此时通过一个电阻R的电流变为,则电源的内阻为()A.4R B.R C.R/2 D.11R/28.在一个全电路中,若只将外电阻R变为原来的3倍,电流随之变为原来的一半。
那么电源的内电阻一定满足()A.r=R B.r>R C.r<R D.r=09.如图所示电路中,L是并联在电阻R2上的一段电阻忽略不计的导线。
电路两端的电压U恒定,开关S闭合,则()A.通过电阻R1和R2的电流相等B.通过电阻R1和导线L的电流相等C.R1两端电压小于电路两端电压UD.如果断开开关S,R1两端电压将增大10.将内阻为0.5Ω的电池组用电阻为0.75Ω的导线与标有“6V 7.2W”的小灯泡串联,就可以使这个灯泡正常发光。
第二章简单直流电路试题一、是非题(每小题1分,共10分)(1)当电路处于通路状态时,外电路负载上的电压等于电源的电动势。
()(2)电源电动势的大小由电源本身的性质决定,与外电路无关。
()(3)当实际电源外接负载的阻值与其内阻相等时,输出功率最大,此时电路的电能利用率也最高。
()(4)220V60W的白炽灯与220V、15W的白炽灯串联后接到220V电源上,则15W的白炽灯比60W的灯亮()(5)几个电阻并联后的总电阻值一定小于其中任一个电阻的阻值。
()(6)在电阻分压电路中,电阻值越大,其两端的电压越高。
()(7)在电阻分流电路中,电阻越大,流过它的电流也就越大。
()(8)若电路中a、b两点的电位相等,则用导线将这两点起来并不影响电路的工作。
()(9)规定自负极通过电源内部指向正极的方向为电动势的方向。
()(10)若选择不同的零电位点,电路中各点的电位将发生变化,但电路中任意两点间的电压却不会改变。
()二、选择题(每小题2分,共20分)(1)有段电阻是16Ω的导线,把它对折起来作为一条导线用,电阻是________。
A.8ΩB.16ΩC.4ΩD.32Ω(2)电源电动式是2V,内电阻是0.1Ω,当外电路断路时,电路中的电流和端电压分别是______。
A.0、2VB.20A、2VC.20A、0D.0、0(3)在上题中,当外电路短路时,电路中的电流和端电压分别是________。
A.20A 、2VB.20A、0 C.0、2V D.0、0(4)如图1所示,电流表内阻R A=600Ω,满偏电流I A=400μA,电阻R1=400Ω,R2=9400Ω。
当开关S闭合时,即改成_____表,量程是_______。
A.电流表,0.6mA B.电压表,4VC. 电压表,1VD.电流表, 1mA(5)如图2所示,已知可变电阻器滑动触电C在AB的中点,则电路中电阻R两端的电压是_____。
A.½U ABB.大于½U ABC.小于½U ABD.U AB(6)如图3所示,三只白炽灯A、B、C完全相同。
直流电路试题及答案一、选择题1. 直流电路中,电流的方向是:A. 从正极流向负极B. 从负极流向正极C. 任意方向D. 不存在电流答案:A2. 欧姆定律的表达式是:A. V = IRB. I = V/RC. V = R/ID. R = V/I答案:B3. 串联电路中,总电阻与各部分电阻的关系是:A. 总电阻等于各部分电阻之和B. 总电阻等于各部分电阻之积C. 总电阻等于各部分电阻之差D. 总电阻与各部分电阻无关答案:A4. 并联电路中,总电阻与各部分电阻的关系是:A. 总电阻等于各部分电阻之和B. 1/总电阻等于各部分电阻倒数之和C. 总电阻等于各部分电阻之积D. 总电阻等于各部分电阻之差答案:B二、填空题5. 当电阻R1和R2串联时,总电阻R等于________。
答案:R1 + R26. 当电阻R1和R2并联时,总电阻R等于________。
答案:1 / (1/R1 + 1/R2)7. 电源的电动势E与内阻r的关系可以表示为________。
答案:E = V + Ir8. 基尔霍夫电压定律表明,在一个闭合电路中,沿任何闭合路径的电压之和等于________。
答案:0三、简答题9. 解释什么是基尔霍夫电流定律,并给出其数学表达式。
答案:基尔霍夫电流定律,又称为节点电流定律,表明在任何电路节点上,流入节点的电流之和等于流出节点的电流之和。
其数学表达式为:∑I_in = ∑I_out10. 描述如何使用欧姆定律来计算一个电阻的阻值。
答案:使用欧姆定律计算电阻的阻值,首先需要知道通过电阻的电流I 和电阻两端的电压V。
然后应用欧姆定律的公式 R = V/I,将已知的电流和电压值代入公式,即可求得电阻的阻值。
四、计算题11. 一个电路中有两个电阻R1 = 100Ω和R2 = 200Ω串联,求总电阻。
答案:总电阻R_total = R1 + R2 = 100Ω + 200Ω = 300Ω12. 如果上述电路两端的电压为12V,求通过R1的电流。
直流电路分析试题库及答案(二)一、填空题1、以客观存在的支路电流为未知量,直接应用 KCL定律和KVL 定律求解电路的方法,称为支路电流法。
2、当复杂电路的支路数较多、网孔数较少时,应用网孔电流法可以适当减少方程式数目。
这种解题方法中,是以假想的网孔电流为未知量,直接应用KVL定律求解电路的方法。
3、当复杂电路的支路数较多、结点数较少时,应用结点电压法可以适当减少方程式数目。
这种解题方法中,是以结点电压为未知量,直接应用 KCL定律和欧姆定律求解电路的方法。
4、当电路只有两个结点时,应用结点电压法只需对电路列写1 个方程式,方程式的一般表达式为RRUVS /1/1 ,称作弥尔曼定律。
5、在多个电源共同作用的线性电路中,任一支路的响应均可看成是由各个激励单独作用下在该支路上所产生的响应的叠加,称为叠加定理。
6、具有两个引出端钮的电路称为二端网络,其内部含有电源称为有源二端网络,内部不包含电源的称为无源二端网络。
7、“等效”是指对端口处等效以外的电路作用效果相同。
戴维南等效电路是指一个电阻和一个电压源的串联组合,其中电阻等于原有源二端网络除源后的入端电阻,电压源等于原有源二端网络的开路电压。
8、为了减少方程式数目,在电路分析方法中我们引入了回路(网孔)电流法、结点电压法;叠加定理只适用线性电路的分析。
三、单项选择题1、叠加定理只适用于( C )A、交流电路B、直流电路C、线性电路2、必须设立电路参考点后才能求解电路的方法是( C )A、支路电流法B、回路电流法C、结点电压法3、只适应于线性电路求解的方法是( C )A、弥尔曼定理B、戴维南定理C、叠加定理五、计算分析题1、已知图电路中电压U=4.5V,试应用已经学过的电路求解法求电阻R。
(18Ω(1、提示思路:先将R支路去掉,用“两种实际电源等效变换法化简电路,求出UOC及Req”,再补上R支路求解所得)2、求解图2.5.2所示电路的戴维南等效电路。
第二章直流电路一、填空题1、电力系统中一般以大地为参考点,参考点的电位为()电位。
2、欧姆定律一般可分为()的欧姆定律和()的欧姆定律。
3、部分电路的欧姆定律是用来说明电路中()三个物理量之间关系的定律。
4、全电路欧姆定律,说明了回路中电流Ⅰ与电源电动势的代数和成()比,而与回路中的()及()之和成反比。
5、导体电阻的单位是(),简称(),用符号()表示,而电阻率则用符号()表示。
6、已知电源电动势为E,电源的内阻压降为U0,则电源的端电压U=( )。
7、有一照明线路,电源端电压为220伏,负载电流为100安,线路的总阻抗为0.2欧姆,那么负载端电压为()伏。
8、串联电路中的()处处相等,总电压等于各电阻上()之和。
9、一只220伏15瓦的灯泡与一只220伏100瓦的灯泡串联后,接到220伏电源上,则()瓦灯泡较亮,而()瓦灯泡较暗。
10、1度电就是1千瓦的功率做功1小时所消耗的电量,所以它的单位又叫()。
11、用万用表测量电路的电流时必须先断开电路,然后按照电流从正到负的方向,将万用表直流电流挡()联到被测电路中。
12、一条均匀电阻丝对折后,通以和原来相同的电流,则在相同时间里,电阻丝所产生的热量是原来的()倍。
13、有一只内阻为0.15Ω,量程为1A的电流表,现给它并联的一只0.05Ω的小电阻,则这只电流表的量程扩大为()。
14、用电压表测量电源路端电压为零,这说明外电路处于()状态。
15、一电炉电阻为44Ω,额定工作电压220V,则此电炉额定功率为()。
16、如下图1-1的电路中有()节点,()条支路,()个回路,()个网孔。
图1-1 图1-217、如图1-2所示,已知E=50V,I=20A,R=20Ω,则A点的电位是()18.在串联电路中,等效电阻等于各电阻()。
串联的电阻越多,等效电阻越()。
19.在串联电路中,流过各电阻的电流(),总电压等于各电阻电压(),各电阻上电压与其阻值成()。
20.利用串联电阻的()原理可以扩大电压表的量程。
21.在并联电路中,等效电阻的倒数等于各电阻倒数()。
并联的的电阻越多,等效电阻值越()。
22.利用并联电阻的()原理可以扩大电流表的量程。
23.在220V电源上串联额定值为220V、60W和220V、40W的两个灯泡,灯泡亮的是();若将它们并联,灯泡亮的是()。
24.图2-1所示电路中,已知U ab=6V, U=2V, 则R=()Ω。
25.图2-2所示电路中,R=()Ω。
图2-1 图2-226.电路的运行装态一般分为()、()、()。
27.负载获得最大功率时称负载与电源相()。
28.当负载被短路时,负载上电压为(),电流为(),功率为()。
29.负载获得最大功率的条件是()。
30.所谓支路电流法就是以()为未知量,依据()列出方程式,然后解联立方程得到()的数值。
31.用支路电流法解复杂直流电路时,应先列出()个独立节点电流方程,然后再列出()个回路电压方程(假设电路有n条支路,m各节点,且n>m)。
32.图2—29所示电路中,可列出()个独立节点方程,()个独立回路方程。
33.图2—30电路中,独立节点电流方程为(),独立网孔方程为()、( )。
34.根据支路电流法解得的电流为正值时,说明电流的参考方向与实际方向( );电流为负值时,说明电流的参考方向与实际方向( )。
35.某支路用支路电流法求解的数值方程组如下:10201002020502321321=-+=--=++I I I I I I I 则该电路的节点数为( ),网孔数为( )。
图2—29 图2—30 图2—3636.以( )为解变量的分析方法称为网孔电流法。
37.两个网孔之间公共支路上的电阻叫( )。
38.网孔自身所有电阻的总和称为该网孔的( )。
39.图2—36所示电路中,自电阻R 11=( ),R 22=( ),互电阻R 12=( )。
40.电路主要由( )、( )、( )、( )四个基本部分组成。
41.负载是取用电能的装置,它的功能是( )。
42.电源是提供能量的装置,它的功能是( )。
43.所谓理想电路元件,就是忽略实际电器元件的次要性质,只表征它( )的“理想”化的元件。
44.用理想元件构成的电路叫做( ),用特定的符号代表元件连接成的图形叫( )。
二、选择题1、一段电路欧姆定律的数学表达式是( )。
A、I=URB、I=R/UC、I=U/R2、全电路欧姆定律的数学表达式是()。
A、I=R/(E+ro)B、I=E/(R+ro)C、I=E/R3、某直流电路的电压为220伏,电阻为40欧,其电流为()。
A、5.5安B、4.4安C、1.8安D、8.8安4、我国低压供电电压单相为220伏,三相线电压为380伏,此数值指交流电压的()。
A、平均值B、最大值C、有效值D、瞬时值5、某长度的1平方毫米铜线的电阻为3.4欧,若同长度的4平方毫米铜线,其电阻值为()。
A、6.8欧B、5.1欧C、1.7欧D、0.85欧6、6欧与3欧的两个电阻并联,它的等效电阻值应为()。
A、3欧B、2欧C、0.5欧D、9欧7、三个阻值相同的电阻串联,其总电阻等于一个电阻值的()。
A、1/3倍B、3倍C、6倍D、4/3倍8、将2 欧与3欧的两个电阻串联后,接在电压为10伏的电源上,2欧电阻上消耗的功率为()。
A、4瓦B、6瓦C、8瓦D、10瓦9、当导体材料及长度确定之后,如果导体截面越小,导体的电阻值则()。
A、不变B、越大C、越小10、三个阻值相同的电阻R,两个并联后与另一个串联,其总电阻等于()。
A、RB、(1/3)RC、(1/2)RD、1.5R三、判断题1.电路中电流的方向是电子运动的方向。
()2.几个不等值的电阻串联,每个电阻中通过的电流也不相等。
()3.两个电阻相等的电阻并联,其等效电阻(即总电阻)比其中任何一个电阻的阻值都大。
()4. 并联电路的电压与某支路的电阻值成正比,所以说并联电路中各支路的电流相等。
()5. 导体在磁场中做切割磁力线运动时,导体内就会产生感应电动势。
()6.当负载被断开时,负载上电流、电压、功率都是零。
()7.我们所说的负载增加、减少,是指负载电阻值的增加、减少。
( ) 8.当负载取得最大功率时,电源的效率为100%。
( )9.电路图上标出的电压、电流方向是实际方向。
( ) 10.电路图中参考点改变,任意两点间的电压也随之改变。
( ) 11.电路图中参考点改变,各点电位也随之改变。
( ) 12.一个实际的电压源,不论它是否接负载,电压源端电压恒等于该电源电动势。
( )四、简答题1.串联电阻电路有哪几个特点? 2.并联电阻电路有哪几个特点? 3.负载获得最大功率的条件是什么?4.我们讲负载增加时,通常是指负载电流增加还是指负载电阻增加? 5.一个负载的额定功率大时,是否等于说它消耗的能量多? 6.一个电源在什么情况下给出功率,什么情况下吸取功率? 7.叙述电路的定义及其主要组成部分。
8.举例说明,若按工作任务划分,电路的功能有哪两类? 9.叙述电路模型及理想元件的定义,常见的理想元件有哪几种?五、计算题1.若3min 通过导体横截面的电荷量是1.8C ,则导体中的电流是多少?2.图1-6所示电路中,已知V U V U cd ce 2,3==,若分别以e 和c 作参考点电位,求c 、d 、e 三点的电位及ed U 。
图1-6c de3.有一卷铜线,已知长度为100m,有哪几种方法可以求出它的电阻?{要求三种方法} 4.如图1-11所示电路,求U ad 、U bc 、U ac 。
5.如图1-12所示电路,求I ,U ab 。
第二章 直流电路填空题1、零2、部分电路 全电路 3、电压 电流 电阻4、正 负载电阻 内电阻 5、欧姆 欧 Ω ρ 6、E-U 7、200V8、电流 电压降 9、15 100 10、千瓦小时 11、串 12、1/4 13、4A 14、短路 15、1100W16、3 5 6 3 17、350V18.之和,越大19.相等,之和,正比 20.分压21.之和,越小 22.分流23.220V 、40W ,220V 、60W 在 24.2 25.126.断路状态 、 短路状态 、 一般运行状态5Ω12V36V8ΩI=2Aabcd图1-11_R 12Ω 10V 2ΩR 2 aR 3 tu 图1-1227.匹配28.0,029.R L=R030.支路电流,KCL、KVL,各支路电流31.m–1,n–(m–1)32.3,333.2,234.一致,相反35.1,236.网孔电流37.互阻38.自阻39.R1+R2, R3+R2,R240.电源,导线,负载,控制和保护装置。
41.将电能转换为其他能量。
42.把其他能量转换为电能。
43.单一的电或磁性质。
44.电路模型,电路图。
选择题1、C 2、B 3、A 4、C 5、D6、B 7、B 8、C 9、B 10、D判断题1、错2、错3、错4、错5、对6、错7、错8、错 9、错 10、错11、对 12、错简答题1、(1)各电阻中的电流相等 (2)各电阻上电压降之和等于总电压 (3)电路中的总电阻等于各个分电阻之和;(4)各电阻上电压降与各电阻成正比。
2、(1)并联电阻两端承受同一电压 (2)并联电路的总电流等于各分电流之和 (3)并联电阻的等效电阻的倒数等于各支路电阻倒数之和;(4)并联电路的各支路对总电流有分流作用。
3、R L=R04、负载电流增加5、是6、电压电流实际方向相反;电压电流实际方向相同。
7.电路就是电流流通的路径,是各种电气元件按一定方式连接起来组成的总体。
电路由四部分组成,分别为电源,导线,负载,控制和保护装置。
8.一类是进行能量的转换、传输和分配,如供电系统、电风扇等。
另一类是进行信号处理,如扩音机电路。
9.在工程上采用理想化的科学抽象方法,忽略次要因素,突出单一的电或磁性质的电路元件称为理想电路元件,用理想元件构成的电路称为电路模型。
常用的理想元件有电阻、电感、电容、电源等。
计算题1.0.01A2.V c V d V e U cde 3V 1V 0V -1Vc 0V -2V -3V -1V 3.利用电阻定律公式求,利用欧姆定律求,利用万用表测量4.U ad=-2V、U bc=-16V、U ac=-38V5.I=1A,U ab=5V。