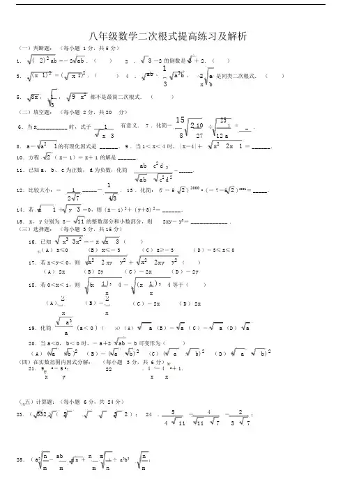
八年级初二数学 提高题专题复习二次根式练习题附解析
- 格式:doc
- 大小:993.50 KB
- 文档页数:17
一、选择题1.若5,a =17=b ,则0.85的值用a 、b 可以表示为 ( ) A .10a b+ B .10-b aC .10ab D .b a2.若01x <<,则221144x x x x ⎛⎫⎛⎫-+-+-= ⎪ ⎪⎝⎭⎝⎭( ). A .2xB .2x-C .2x -D .2x3.已知实数a 在数轴上的位置如图所示,则化简2||(-1)a a +的结果为( )A .1B .﹣1C .1﹣2aD .2a ﹣14.下列方程中,有实数根的方程是( ) A 240x += B 210x -= C 12x +=D 331x x --=.5.()()a x a a y a x a a y --=--a 、x 、y 是两两不同的实数,则22223x xy y x xy y +--+的值是( )A .3B .13C .2D .536.“分母有理化”是我们常用的一种化简的方法,如:33)(23)74323(23)(23)==+--+3535+-3535x =+-3535+>-,故0x >,由22(3535)35352(35)(35)2x =+-=-+-=,解得2x 35352+-=3263363332-++结果为( ) A .536+B .56+C .56D .536-7.下列计算正确的是( )A .235+=B .623÷=C .23(3)86--=-D .321-=8.下列计算正确的是( ) A .235+=B .236⋅=C .2434÷=D .()233-=-9.如果12与最简二次根式72a -是同类二次根式,那么a 的值是( ) A .﹣2 B .﹣1 C .1 D .2 10.下列二次根式中是最简二次根式的是( )A .6B .18C .27D .12二、填空题11.将2(3)(0)3a a a a-<-化简的结果是___________________.12.化简322+=___________.13.定义:对非负实数x “四舍五入”到个位的值记为()f x z , 即:当n 为非负整数时,如果1122n x n -<+≤,则()f x n =z .如:(0)(0.48)0f f ==z z ,(0.64)(1.49)1f f ==z z ,(4)(3.68)4f f ==z z ,试解决下列问题:①(3)f =z __________;②2(33)f +=z __________; ③222222(11)(22)(22)(33)(33)(44)f f f f f f ++++⋅++⋅++⋅+z z z z z z22(20172017)(20182018)f f +=+⋅+z z __________.14.已知x=3+1,y=3-1,则x 2+xy +y 2=_____. 15.实数a ,b 在数轴上的位置如图所示,则化简()22b a b +-﹣|a +b |的结果是_____.16.已知函数1x f x x,那么21f _____.17.把1m m-_____________. 18.若实数x ,y ,m 满足等式()23532322x y m x y m x y x y +--+-=+---m+4的算术平方根为________.19.若0xy >,则二次根式________. 20.n 为________.三、解答题21.阅读材料,回答问题:两个含有二次根式的代数式相乘,如果它们的积不含有二次根式,我们就说这两个代数式a =,)111=11互为有理化因式.(1)1的有理化因式是 ;(2)这样,化简一个分母含有二次根式的式子时,采用分子、分母同乘以分母的有理化因式的方法就可以了,例如:3==,25384532++====-进行分母有理化. (3)利用所需知识判断:若a =,2b =a b,的关系是 . (4)直接写结果:)1=.【答案】(1)1;(2)7-;(3)互为相反数;(4)2019 【分析】(1)根据互为有理化因式的定义利用平方差公式即可得出; (2)原式分子分母同时乘以分母的有理化因式(2,化简即可; (3)将a=(4)化简第一个括号内的式子,里面的每一项进行分母有理化,然后利用平方差公式计算即可. 【详解】解:(1)∵()()1111=, ∴1的有理化因式是1;(22243743--==--(3)∵2a===,2b=-,∴a和b互为相反数;(4))1 ++⨯=)11⨯=)11=20201-=2019,故原式的值为2019.【点睛】本题考查了互为有理化因式的定义及分母有理化的方法,并考查了利用分母有理化进行计算及探究相关式子的规律,本题属于中档题.22.先化简再求值:4y x⎛-⎝,其中3x-=.【答案】(2x-【分析】先根据二次根式的混合运算顺序和运算法则化简原式,再利用非负数的性质得出x,y的值,继而将x、y的值代入计算可得答案.【详解】解:4y x⎛-⎝((=-(2x=-∵30x-∴3,4x y==当3,4x y==时原式(23=-==【点睛】本题主要考查了二次根式的化简求值,解题的关键是掌握非负数的性质和二次根式的混合运算顺序和法则.23.计算(11)1)⨯; (2)【答案】(12+;(2). 【解析】分析:先将二次根式化为最简,然后再进行二次根式的乘法运算.详解:(1)11+;=()31-2 ;(2)原式=(22⨯,==3⨯==点睛:此题考查了二次根式的混合运算,熟练化简二次根式后,在加减的过程中,有同类二次根式的要合并;相乘的时候,被开方数简单的直接让被开方数相乘,再化简;较大的也可先化简,再相乘,灵活对待.24.计算:(1(2|a ﹣1|,其中1<a 【答案】(1)1;(2)1 【分析】(1)根据二次根式的乘法法则计算;(2)由二次根式的非负性,a 的取值范围进行化简. 【详解】解:(1-1=2-1=1(2)∵1<a ,a ﹣1=2﹣a +a ﹣1=1. 【点睛】本题考查二次根式的性质、二次根式的乘法法则,主要检验学生的计算能力.25.计算:(1;(2+2)2+2).【答案】(1-2)【分析】(1)直接化简二次根式进而合并得出答案; (2)直接利用乘法公式计算得出答案. 【详解】解:(1)原式=-(2)原式=3434++-=6+. 【点睛】本题考查了二次根式的运算,在进行二次根式运算时,可以运用乘法公式,运算率简化运算.26.计算(1(2)21)-【答案】(1)4;(2)3+ 【分析】(1)先把各根式化为最简二次根式,再去括号,合并同类项即可; (2)利用平方差公式和完全平方公式计算即可. 【详解】解:(1)解:原式=4=+4=-(2)解:原式()22161=---63=-+3=+【点睛】本题考查了二次根式的混合运算,注意先化简,再进一步利用计算公式和计算方法计算.27.计算:(1 ;(2)))213【答案】(1)2)1-. 【分析】(1)根据二次根式的混合运算法则可以算得答案. (2)结合整式的乘法公式和二次根式的运算法则计算. 【详解】(1)原式==(2)原式=212---=1-. 【点睛】本题考查二次根式的运算,熟练掌握二次根式的意义、性质和运算法则是解题关键.28.02020((1)π-.【答案】 【分析】本题根据零次幂,最简二次根式,整数次幂的运算规则求解即可. 【详解】原式11=-= 【点睛】本题考查幂的运算与二次根式的综合,需牢记非零常数的零次幂为1,二次根式运算时需化为最简二次根式,其次注意计算仔细.【参考答案】***试卷处理标记,请不要删除一、选择题 1.C 解析:C 【分析】化简即可. 【详解】10ab. 故选C . 【点睛】的形式. 2.D解析:D 【分析】根据二次根式的意义先化简各项,再进行分式的加减运算可得出解. 【详解】 解:∵0<x <1, ∴0<x <1<1x, ∴10x x +>,10x x-<.原式=11x x x x+-- =11x x x x ++- =2x . 故选D .点睛:本题考查了二次根式的性质和绝对值化简,也考查了分式的加减.3.A解析:A 【分析】先由点a 在数轴上的位置确定a 的取值范围及a-1的符号,再代入原式进行化简即可 【详解】由数轴可知0<a <1,所以,||1a a a =+-=1,选A . 【点睛】此题考查二次根式的性质与化简,实数与数轴,解题关键在于确定a 的大小4.C解析:C 【分析】k =的形式,再根据二次根式成立的条件逐个进行判断即可. 【详解】 解:A 、x 2+4=0,此时方程无解,故本选项错误;B10=,1-,∵算术平方根是非负数,∴此时方程无解,故本选项错误;C2 =,∴x+1=4,∴x=3,故本选项正确;D1 =,∴x-3≥0且3-x≥0,解得:x=3,代入得:0+0=1,此时不成立,故本选项错误;故选:C.【点睛】本题考查了二次根式的意义,能根据二次根式成立的条件进行判断是解此题的关键.5.B解析:B【分析】根据根号下的数要是非负数,得到a(x-a)≥0,a(y-a)≥0,x-a≥0,a-y≥0,推出a≥0,a≤0,得到a=0,代入即可求出y=-x,把y=-x代入原式即可求出答案.【详解】由于根号下的数要是非负数,∴a(x-a)≥0,a(y-a)≥0,x-a≥0,a-y≥0,a(x-a)≥0和x-a≥0可以得到a≥0,a(y-a)≥0和a-y≥0可以得到a≤0,所以a只能等于0,代入等式得,所以有x=-y,即:y=-x,由于x,y,a是两两不同的实数,∴x>0,y<0.将x=-y代入原式得:原式=()()()()2222313x x x xx x x x+---=--+-.故选B.【点睛】本题主要考查对二次根式的化简,算术平方根的非负性,分式的加减、乘除等知识点的理解和掌握,根据算术平方根的非负性求出a、x、y的值和代入求分式的值是解此题的关键.6.D解析:D【分析】进行化简,然后再进行合并即可.【详解】设x=<x<,∴0∴266x=-+,∴212236x=-⨯=,∴x=∵5=-,∴原式5=-5=-故选D.【点睛】本题考查了二次根式的混合运算,涉及了分母有理化等方法,弄清题意,理解和掌握题中介绍的方法是解题的关键.7.B解析:B【分析】根据二次根式加减运算和二次根式的性质逐项排除即可.【详解】与A选项错误;===B选项正确;=-=,所以C选项错误;321与D选项错误;故选答案为B.【点睛】本题考查了二次根式加减运算和二次根式的性质,掌握同类二次根式的定义和二次根式的性质是解答本题的关键.8.B解析:B【分析】由二次根式的乘法、除法,二次根式的性质,分别进行判断,即可得到答案.【详解】解:A A错误;B=,故B正确;C==C错误;=,故D错误;D3故选:B.【点睛】本题考查了二次根式的乘法、除法,二次根式的性质,解题的关键是熟练掌握运算法则进行解题.9.D解析:D【分析】根据最简二次根式与同类二次根式的定义列方程组求解.【详解】由题意,得7-2a=3,解得a=2,故选D.【点睛】此题主要考查了同类二次根式的定义,即:二次根式化成最简二次根式后,被开方数相同的二次根式叫做同类二次根式.10.A解析:A【分析】根据最简二次根式的定义判断即可.【详解】A是最简二次公式,故本选项正确;BCD=故选A.【点睛】本题考查了最简二次根式,掌握最简二次根式的定义是解题的关键.二、填空题11..【分析】根据二次根式的性质化简即可.【详解】∵a<0.∴a-3<0,∴==.故答案为:.【点睛】本题考查了二次根式的性质与化简,正确判断根号内的符号是解题的关键.解析:【分析】根据二次根式的性质化简即可.【详解】∵a<0.∴a-3<0,∴(a-=-=故答案为:【点睛】本题考查了二次根式的性质与化简,正确判断根号内的符号是解题的关键.12.+1【分析】先将用完全平方式表示,再根据进行化简即可.【详解】因为,所以,故答案为:.【点睛】本题主要考查利用完全平方公式对无理式进行因式分解,二次根式的性质,解决本题的关键是要将二+1【分析】先将3+,()()()00a aa aa a⎧>⎪===⎨⎪-<⎩进行化简即可.【详解】因为(2231211+=+=+=+,11===故答案为:1.【点睛】本题主要考查利用完全平方公式对无理式进行因式分解,二次根式的性质,解决本题的关键是要将二次根式利用完全平方公式分解. 13.3【解析】1、;2、根据题意,先推导出等于什么,(1)∵,∴,(2)再比较与的大小关系,①当n=0时,;②当为正整数时,∵,∴,∴,综合(1)、(2)可得:,解析:320172018 【解析】1、(1.732)2z z f f ==;2、根据题意,先推导出f 等于什么,(1)∵2221142n n n n n ⎛⎫+<++=+ ⎪⎝⎭,12n <+, (2)12n -的大小关系,①当n=012n >-; ②当n 为正整数时,∵2212n n n ⎛⎫+-- ⎪⎝⎭1204n =->, ∴2212n n n ⎛⎫+>- ⎪⎝⎭,12n>-,综合(1)、(2)可得:1122n n-<+,∴f n=z,∴3f=z.3、∵f n=z,∴(2017zf+111112233420172018=++++⨯⨯-⨯111111112233420172018=-+-+-++-112018=-20172018=.故答案为(1)2;(2)3;(3)20172018.点睛:(1)解第②小题的关键是应用“完全平方公式”和“作差的方法”分别证明到当n为非负整数时,1122n n-<+,从而得到f n=z;(2)解题③的要点是:当n为正整数时,111(1)1n n n n=-++.14.10【解析】根据完全平方式的特点,可得x2+xy+y2=(x+y)2﹣xy=(2)2﹣(+1)(﹣1)= 12﹣2=10.故答案为10.解析:10【解析】根据完全平方式的特点,可得x2+xy+y2=(x+y)2﹣xy=(2﹣1)=12﹣2=10.故答案为10.15.3b【分析】先判断a,b的取值范围,并分别判断a-b,a+b的符号,再根据二次根式的性质和绝对值的性质化简,计算即可求解.【详解】解:由数轴可知:b>0,a﹣b<0,a+b<0,∴原式=|解析:3b【分析】先判断a,b的取值范围,并分别判断a-b,a+b的符号,再根据二次根式的性质和绝对值的性质化简,计算即可求解.【详解】解:由数轴可知:b>0,a﹣b<0,a+b<0,∴原式=|b|+|a﹣b|﹣|a+b|=b﹣(a﹣b)+(a+b)=b﹣a+b+a+b=3b,故答案为:3b【点睛】a=和绝对值的性质是解题的关键.16.【分析】根据题意可知,代入原函数即可解答.【详解】因为函数,所以当时,.【点睛】本题主要考查了代数式求值问题,熟练掌握相关知识点以及二次根式的运算是解题关键.解析:2+【分析】根据题意可知1x=,代入原函数即可解答.【详解】因为函数1xf xx,所以当1x=时,211()2221f x.【点睛】本题主要考查了代数式求值问题,熟练掌握相关知识点以及二次根式的运算是解题关键. 17.-【解析】【分析】根据二次根式的性质,可得答案【详解】由题意可得:,即∴故答案为【点睛】本题考查了二次根式的性质与化简,利用了二次根式的性质.解答关键在于根据二次根式的性质确定解析:【解析】【分析】根据二次根式的性质,可得答案【详解】由题意可得:1m,即0m∴11mm m mm mm故答案为【点睛】本题考查了二次根式的性质与化简,利用了二次根式的性质.解答关键在于根据二次根式的性质确定m的取值范围.18.3【解析】【分析】先根据二次根式有意义的条件得出x+y的值,再根据非负数的性质列出关于x,y ,m的方程组,求出m的值,进而可得出结论.【详解】依题意得:,解得:x=1,y=1,m=5,∴3解析:3【解析】【分析】先根据二次根式有意义的条件得出x+y的值,再根据非负数的性质列出关于x,y,m的方程组,求出m 的值,进而可得出结论.【详解】依题意得:35302302x y m x y m x y +--=⎧⎪+-=⎨⎪+=⎩,解得:x =1,y =1,m =5,∴==3.故答案为3.【点睛】 本题考查了二次根式有意义得条件及非负数的性质,熟知二次根式具有非负性是解答此题的关键.19.-【分析】首先判断出x ,y 的符号,再利用二次根式的性质化简求出答案.【详解】解:∵,且有意义,∴,∴.故答案为.【点睛】此题主要考查了二次根式的性质与化简,正确掌握二次根式的性质是 解析:【分析】首先判断出x ,y 的符号,再利用二次根式的性质化简求出答案.【详解】解:∵0xy >∴00x y <,<,∴x ==.故答案为.【点睛】此题主要考查了二次根式的性质与化简,正确掌握二次根式的性质是解题关键.即(0)(0)a a a a a ≥⎧==⎨-<⎩=(a ≥0,b >0). 20.7【分析】把28分解因数,再根据二次根式的定义判断出n 的最小值即可.【详解】解:∵28=4×7,4是平方数,∴若是整数,则n的最小正整数值为7,故答案为7.【点睛】本题考查了二次根式解析:7【分析】把28分解因数,再根据二次根式的定义判断出n的最小值即可.【详解】解:∵28=4×7,4是平方数,n的最小正整数值为7,故答案为7.【点睛】本题考查了二次根式的定义,把28分解成平方数与另一个数相乘的形式是解题的关键.三、解答题21.无22.无23.无24.无25.无26.无27.无28.无。
填空题1. 使式子x 4 有意义的条件是。
【答案】x≥4【分析】二次根号内的数必须大于等于零,所以x-4≥ 0,解得x≥ 4 2. 当__________时,x 2 1 2 x 有意义。
【答案】 -2≤x≤12【分析】 x+2≥ 0, 1-2x≥ 0 解得 x≥- 2, x≤1123. 若m有意义,则 m 的取值范围是。
m 1【答案】 m≤0且m≠﹣1【分析】﹣ m≥0 解得 m≤ 0,因为分母不能为零,所以m+1≠ 0 解得 m≠﹣ 14.当 x __________ 时, 1 x 2 是二次根式。
【答案】 x 为任意实数【分析】﹙1- x﹚2是恒大于等于0 的,不论 x 的取值,都恒大于等于0,所以 x 为任意实数5.在实数范围内分解因式: x49 __________, x2 2 2x 2__________ 。
【答案】﹙x 2+ 3﹚﹙ x+3﹚﹙ x-3﹚,﹙ x- 2 ﹚2【分析】运用两次平方差公式:x 4- 9=﹙ x 2+ 3﹚﹙ x 2-3﹚=﹙ x 2+ 3﹚﹙ x+ 3 ﹚﹙x - 3 ﹚,运用完全平方差公式:x 2- 2 2 x+ 2=﹙ x- 2 ﹚26.若 4 x22x ,则 x 的取值范围是。
【答案】 x≥0【分析】二次根式开根号以后得到的数是正数,所以2x≥ 0,解得 x≥07.已知x22 x ,则x的取值范围是。
2【答案】 x≤2【分析】二次根式开根号以后得到的数是正数,所以2- x≥0,解得 x≤ 2 8.化简: x2 2 x 1 x p 1的结果是。
【答案】 1-x【分析】x2 2 x 1 =(x1)22,因为 x 1 ≥0,x<1所以结果为1-x9.当1x p5时,x2x 5 _____________ 。
1【答案】 4【分析】因为 x≥1 所以x 1 2= x 1,因为x<5所以x-5的绝对值为5-x,x- 1+5- x= 410.把 a1的根号外的因式移到根号内等于。
初二数学二次根式试题答案及解析1.计算(1)(2)【答案】(1);(2)2.【解析】(1)根据二次根式的乘除法则运算;(2)根据二次根式有意义的条件得到-(a+2)2≥0,得到a=-2,然后把a=-2代入原式进行计算.试题解析:(1)原式===(2)∵-(a+2)2≥0,∴a=-2,原式==3-5+4=2.【考点】二次根式的混合运算.2.计算:【答案】.【解析】先进行二次根式的乘法运算得到原式=3﹣3+2+2+1,然后合并即可.试题解析:原式=3﹣3+2+2+1=.【考点】二次根式的混合运算.3.化简的结果是()A.-3B.3C.±3D.【答案】B.【解析】.故选B.【考点】二次根式化简.4.下列变形中,正确的是………()A.(2)2=2×3=6B.C.D.【答案】D.【解析】A、(2)2=4×3=12,故本选项错误;B、,故本选项错误;C、,故本选项错误;D、,正确.故选D.【考点】二次根式的化简与计算.5.当1≤x≤5时,【答案】4.【解析】根据x的取值范围,可判断出x-1和x-5的符号,然后再根据二次根式的性质和绝对值的性质进行化简.试题解析:∵1≤x≤5,∴x-1≥0,x-5≤0.故原式=(x-1)-(x-5)=x-1-x+5=4.考点: 二次根式的性质与化简.6.有一个数值转换器,原理如下:当输入的x=64时,输出的y等于()A.2B.8C.D.【答案】D.【解析】由图表得,64的算术平方根是8,8的算术平方根是.故选D.【考点】算术平方根.7.下列计算正确的是()A.B.C.D.【答案】A.【解析】根据根式运算法则.不是同类项不能合并同类项【考点】根式运算.8.=________________.【答案】6【解析】由题, .,由题, .【考点】二次根式的化简.9.函数中自变量x的取值范围是.【答案】x≥4【解析】二次根式有意义的条件:二次根号下的数为非负数,二次根式才有意义.由题意得,.【考点】二次根式有意义的条件点评:本题属于基础应用题,只需学生熟练掌握二次根式有意义的条件,即可完成.10.的平方根是()A.4B.±4C.±2D.2【答案】C【解析】一个正数有两个平方根,且它们互为相反数,其中正的平方根叫它的算术平方根.,平方根是±2,故选C.【考点】平方根点评:本题属于基础应用题,只需学生熟练掌握平方根的定义,即可完成.11.函数y=中,自变量x的取值范围是。
填空题1. 使式子x 4 有意义的条件是。
【答案】x≥4【分析】二次根号内的数必须大于等于零,所以x-4≥ 0,解得x≥ 4 2. 当__________时,x 2 1 2 x 有意义。
【答案】 -2≤x≤12【分析】 x+2≥ 0, 1-2x≥ 0 解得 x≥- 2, x≤1123. 若m有意义,则 m 的取值范围是。
m 1【答案】 m≤0且m≠﹣1【分析】﹣ m≥0 解得 m≤ 0,因为分母不能为零,所以m+1≠ 0 解得 m≠﹣ 14.当 x __________ 时, 1 x 2 是二次根式。
【答案】 x 为任意实数【分析】﹙1- x﹚2是恒大于等于0 的,不论 x 的取值,都恒大于等于0,所以 x 为任意实数5.在实数范围内分解因式: x49 __________, x2 2 2x 2__________ 。
【答案】﹙x 2+ 3﹚﹙ x+3﹚﹙ x-3﹚,﹙ x- 2 ﹚2【分析】运用两次平方差公式:x 4- 9=﹙ x 2+ 3﹚﹙ x 2-3﹚=﹙ x 2+ 3﹚﹙ x+ 3 ﹚﹙x - 3 ﹚,运用完全平方差公式:x 2- 2 2 x+ 2=﹙ x- 2 ﹚26.若 4 x22x ,则 x 的取值范围是。
【答案】 x≥0【分析】二次根式开根号以后得到的数是正数,所以2x≥ 0,解得 x≥07.已知x22 x ,则x的取值范围是。
2【答案】 x≤2【分析】二次根式开根号以后得到的数是正数,所以2- x≥0,解得 x≤ 2 8.化简: x2 2 x 1 x p 1的结果是。
【答案】 1-x【分析】x2 2 x 1 =(x1)22,因为 x 1 ≥0,x<1所以结果为1-x9.当1x p5时,x2x 5 _____________ 。
1【答案】 4【分析】因为 x≥1 所以x 1 2= x 1,因为x<5所以x-5的绝对值为5-x,x- 1+5- x= 410.把 a1的根号外的因式移到根号内等于。
初二数学专题练习《二次根式》一.选择题1.式子在实数范围内有意义,则x 的取值范围是()A .x<1 B.x≤1 C .x> 1D. x≥ 12.若 1<x<2,则的值为() A .2x﹣4 B.﹣ 2 C .4﹣2x D.2 3.下列计算正确的是() A .=2B.=C.=x D.=x 4.实数 a , b 在数轴上对应点的位置如图所示,化简|a|+的结果是()A .﹣ 2a+b B.2a ﹣b C .﹣ b D.b5.化简+ ﹣的结果为() A . 0 B. 2 C .﹣ 2 D. 26.已知 x<1,则化简的结果是() A . x﹣ 1 B.x+1 C .﹣ x﹣1D . 1﹣ x7.下列式子运算正确的是() A .B. C .D.8.若,则 x3﹣ 3x2+3x 的值等于()A .B. C .D.二.填空题9.要使代数式有意义,则 x 的取值范围是.10.在数轴上表示实数 a 的点如图所示,化简+|a ﹣2| 的结果为.11.计算:=.12 .化简:=.13.计算:(+)=.14.观察下列等式:第 1 个等式: a 1==﹣1,第 2 个等式: a 2==﹣,第 3 个等式: a 3==2,第 4 个等式: a 4==2,按上述律,回答以下:( 1)写出第 n 个等式: a n=;( 2) a 1+a 2+a 3+⋯+a n =.15.已知 a 、b 有理数,m 、n 分表示16.已知: a <0,化17.,的整数部分和小数部分,且 amn+bn 2=1 , 2a+b=.=.,,⋯,., S=(用含n的代数式表示,其中n 正整数).三.解答18.算或化:(3+);19.算:( 3)(3+)+(2)20.先化,再求:,其中x=3(π 3)0.21.算:(+ )× .22.算:×() +| 2 |+ ()﹣3.23.算:(+1 )(1)+ ()0.24.如,数 a 、b 在数上的位置,化:.25.材料,解答下列.例:当 a >0 ,如 a=6|a|=|6|=6,故此a的是它本身;当a=0 , |a|=0 ,故此 a 的是零;当a <0 ,如 a= 6 |a|=|6|= ( 6),故此 a 的是它的相反数.∴ 合起来一个数的要分三种情况,即,种分析方法渗透了数学的分思想.:( 1)仿照例中的分的方法,分析二次根式的各种展开的情况;( 2)猜想与|a|的大小关系.26.已知: a=,b=.求代数式的.27.下列材料,然后回答.在行二次根式的化与运算,我有会碰上如,,一的式子,其我可以将其一步化:(一)==(二)===1(三)以上种化的步叫做分母有理化.可以用以下方法化:====1(四)( 1)用不同的方法化.( 2=;=.( 3)化:+++⋯+.28.化求:,其中..参考答案与解析一.选择题1.( 2016? 贵港)式子在实数范围内有意义,则x 的取值范围是()A . x< 1B.x≤1 C . x>1D.x≥1【分析】被开方数是非负数,且分母不为零,由此得到:x﹣1>0,据此求得 x 的取值范围.【解答】解:依题意得: x﹣ 1> 0,解得 x>1.故选: C .【点评】考查了二次根式的意义和性质.概念:式子(a≥0)叫二次根式.性质:二次根式中的被开方数必须是非负数,否则二次根式无意义.注意:本题中的分母不能等于零..2.( 2016? 呼伦贝尔)若 1<x<2,则的值为()A . 2x﹣4 B.﹣ 2 C .4﹣2x D.2【分析】已知 1< x< 2,可判断 x﹣3<0,x﹣ 1>0,根据绝对值,二次根式的性质解答.【解答】解:∵ 1< x< 2,∴x﹣ 3< 0, x﹣ 1>0,原式 =|x ﹣ 3|+=|x ﹣3|+|x﹣1|=3﹣x+x ﹣ 1=2.故选 D.【点评】解答此题,要弄清以下问题:1、定义:一般地,形如(a≥0)的代数式叫做二次根式.当 a > 0 时,表示a的算术平方根;当 a=0 时,=0 ;当 a 小于 0 时,非二次根式(若根号下为负数,则无实数根).2、性质:=|a|.3.( 2016? 南充)下列计算正确的是()A .=2B.= C .=x D.=x【分析】直接利用二次根式的性质分别化简求出答案.【解答】解: A 、=2,正确;B、=,故此选项错误;C 、=﹣x,故此选项错误;D、=|x|,故此选项错误;故选: A ..【点评】此题主要考查了二次根式的化简,正确掌握二次根式的性质是解题关键.4.( 2016? 潍坊)实数 a ,b 在数轴上对应点的位置如图所示,化简|a|+的结果是()A .﹣ 2a+b B. 2a ﹣ b C .﹣ bD .b【分析】直接利用数轴上 a ,b 的位置,进而得出 a <0,a ﹣b < 0,再利用绝对值以及二次根式的性质化简得出答案.【解答】解:如图所示: a <0,a ﹣b <0,则 |a|+=﹣a ﹣( a ﹣b )=﹣2a+b .故选: A .【点评】此题主要考查了二次根式的性质以及实数与数轴,正确得出各项符号是解题关键.5.( 2016? 营口)化简+﹣的结果为()A . 0 B.2 C .﹣ 2D. 2【分析】根据根式的开方,可化简二次根式,根据二次根式的加减,可得答案.【解答】解:+﹣=3 +﹣2=2,故选: D.【点评】本题考查了二次根式的加减,先化简,再加减运算.6.已知 x<1,则化简的结果是()A . x﹣ 1B.x+1 C .﹣ x﹣1 D.1﹣x【分析】先进行因式分解, x2﹣2x+1= (x﹣1)2,再根据二次根式的性质来解题即可..【解答】解:==|x ﹣1|∵x< 1,∴原式 =﹣( x﹣ 1) =1﹣ x,故选 D.【点评】根据完全平方公式、绝对值的运算解答此题.7.下列式子运算正确的是()A .B. C .D.【分析】根据二次根式的性质化简二次根式:=|a|;根据二次根式分母有理化的方法“同乘分母的有理化因式”,进行分母有理化;二次根式的加减实质是合并同类二次根式.【解答】解: A 、和不是同类二次根式,不能计算,故 A 错误;B、=2,故B错误;C 、=,故C错误;D、=2 ﹣+2+ =4,故 D 正确.故选: D.【点评】此题考查了根据二次根式的性质进行化简以及二次根式的加减乘除运算,能够熟练进行二次根式的分母有理化.8.若,则x3﹣3x2+3x的值等于()A .B. C .D..【分析】把 x 的值代入所求代数式求值即可.也可以由已知得(x﹣1)2 =3,即 x2﹣ 2x﹣2=0,则 x3 ﹣3x2+3x=x (x2﹣ 2x﹣2)﹣( x2﹣2x ﹣2)+3x ﹣ 2=3x﹣ 2,代值即可.【解答】解:∵ x3﹣3x2 +3x=x ( x2﹣3x+3 ),∴当时,原式 =()[﹣3()+3]=3+1 .故选 C .【点评】代数式的三次方不好求,就先提取公因式,把它变成二次方后再代入化简合并求值.二.填空题9.( 2016? 贺州)要使代数式有意义,则x的取值范围是x≥﹣ 1 且 x≠0.【分析】根据二次根式和分式有意义的条件:被开方数大于等于0,分母不等于 0,列不等式组求解.【解答】解:根据题意,得,解得 x≥﹣ 1 且 x≠0.【点评】本题考查的知识点为:分式有意义,分母不为0;二次根式的被开方数是非负数.本题应注意在求得取值范围后,应排除不在取值范围内的值.10.( 2016? 乐山)在数轴上表示实数 a 的点如图所示,化简+|a ﹣2| 的结果为3.【分析】直接利用二次根式的性质以及绝对值的性质分别化简求出答案.【解答】解:由数轴可得: a ﹣5<0,a ﹣ 2> 0,则+|a ﹣ 2|=5﹣a+a ﹣2=3..【点评】此题主要考查了二次根式的性质以及绝对值的性质,正确掌握掌握相关性质是解题关键.11.( 2016? 聊城)计算:= 12 .【分析】直接利用二次根式乘除运算法则化简求出答案.【解答】解:=3×÷=3=12 .故答案为: 12.【点评】此题主要考查了二次根式的乘除运算,正确化简二次根式是解题关键.12.( 2016? 威海)化简:=.【分析】先将二次根式化为最简,然后合并同类二次根式即可.【解答】解:原式 =3﹣2=.故答案为:.【点评】此题考查了二次根式的加减运算,属于基础题,解答本题的关键是掌握二次根式的化简及同类二次根式的合并.13.( 2016? 潍坊)计算:(+)=12.【分析】先把化简,再本括号内合并,然后进行二次根式的乘法运算.【解答】解:原式 = ?(+3)=×4=12 ..【点】本考了二次根式的算:先把各二次根式化最二次根式,再行二次根式的乘除运算,然后合并同二次根式.在二次根式的混合运算中,如能合目特点,灵活运用二次根式的性,恰当的解途径,往往能事半功倍.14.( 2016? 黄石)察下列等式:第 1 个等式: a 1= = 1,第 2 个等式: a 2= = ,第 3 个等式: a 3= =2,第 4 个等式: a 4= = 2,按上述律,回答以下:( 1)写出第 n 个等式: a n= = ;;( 2) a 1+a 2+a 3+⋯+a n = 1 .【分析】( 1)根据意可知,a 1= = 1,a 2 = = ,a 3= =2,a4==2,⋯由此得出第 n 个等式: a n = = ;( 2)将每一个等式化即可求得答案.【解答】解:(1)∵第 1 个等式: a 1= = 1,第 2 个等式: a 2= = ,第 3 个等式: a 3= =2 ,第 4 个等式: a 4= =2,∴第 n 个等式: a n= = ;(2) a 1+a 2+a 3+⋯+a n=(1)+()+(2)+(2) +⋯ +()故答案为=﹣;﹣1.【点评】此题考查数字的变化规律以及分母有理化,要求学生首先分析题意,找到规律,并进行推导得出答案.15.已知 a 、b 为有理数, m 、n 分别表示的整数部分和小数部分,且amn+bn2=1,则2a+b= 2.5.【分析】只需首先对估算出大小,从而求出其整数部分 a ,其小数部分用﹣a表示.再分别代入 amn+bn 2=1 进行计算.【解答】解:因为 2<<3,所以2<5﹣<3,故m=2,n=5﹣﹣2=3﹣.把 m=2 ,n=3 ﹣代入amn+bn2=1得,2(3﹣)a+(3﹣)2b=1化简得( 6a+16b )﹣(2a+6b)=1,等式两边相对照,因为结果不含,所以 6a+16b=1且2a+6b=0,解得a=1.5,b=﹣0.5.所以 2a+b=3 ﹣0.5=2.5 .故答案为: 2.5.【点评】本题主要考查了无理数大小的估算和二次根式的混合运算.能够正确估算出一个较复杂的无理数的大小是解决此类问题的关键.16.已知: a <0,化简=﹣2.【分析】根据二次根式的性质化简.【解答】解:∵原式 =﹣=﹣又∵二次根式内的数为非负数∴a=0∴a=1 或 1∵a <0∴a= 1∴原式 =0 2= 2.【点】解决本的关是根据二次根式内的数非数得到 a 的.17.,,,⋯,., S=(用含n的代数式表示,其中n 正整数).【分析】由 S n =1++===,求,得出一般律.【解答】解:∵ S n =1++===,∴==1+=1+,∴S=1+1+1++⋯ +1+=n+1==.故答案:.【点】本考了二次根式的化求.关是由S n形,得出一般律,找抵消律.三.解答(共11 小)18.( 2016? 泰州)算或化:( 3+);【解答】解:(1)﹣( 3 + )=﹣( + )=﹣﹣=﹣;【点评】本题考查了二次根式的加减法以及分式的混合运算,正确化简是解题的关键.19.( 2016? 盐城)计算:( 3﹣)(3+)+(2﹣)【分析】利用平方差公式和二次根式的乘法法则运算.【解答】解:原式 =9 ﹣7+2﹣ 2=2.【点评】本题考查了二次根式的计算:先把各二次根式化为最简二次根式,再进行二次根式的乘除运算,然后合并同类二次根式.在二次根式的混合运算中,如能结合题目特点,灵活运用二次根式的性质,选择恰当的解题途径,往往能事半功倍.20.( 2016? 锦州)先化简,再求值:,其中x=﹣3﹣(π﹣3)0.【分析】先根据分式混合运算的法则把原式进行化简,再把化简后x 的值代入进行计算即可.【解答】解:,=÷,=×,=.x=﹣3﹣(π﹣3)0,=× 4﹣﹣1,=2 ﹣﹣1,=﹣1.把 x=﹣1代入得到:==.即=.【点评】本题考查的是分式的化简求值,在解答此类题目时要注意通分及约分的灵活应用.21.计算:(+)×.【分析】首先应用乘法分配律,可得(+)×合运算顺序,先计算乘法,再计算加法,求出算式(【解答】解:(+)×= ×+×;然后根据二次根式的混+)×的值是多少即可.=×+×=1+9=10【点评】此题主要考查了二次根式的混合运算,要熟练掌握,解答此题的关键是要明确:①与有理数的混合运算一致,运算顺序先乘方再乘除,最后加减,有括号的先算括号里面的.②在运算中每个根式可以看做是一个“单项式”,多个不同类的二次根式的和可以看作“多项式”.22.计算:×(﹣)+|﹣2|+ ()﹣3.【分析】根据二次根式的乘法法则和负整数整数幂的意义得到原式=﹣+2+8 ,然后化简后合并即可.【解答】解:原式 =﹣+2 +8=﹣3 +2 +8=8﹣.【点评】本题考查了二次根式的计算:先把各二次根式化为最简二次根式,再进行二次根式的乘除运.算,然后合并同类二次根式.也考查了负整数整数幂、23.计算:(+1 )(﹣1)+﹣()0.【分析】先根据平方差公式和零指数幂的意义得到原式=3﹣ 1+2﹣1,然后进行加减运算.【解答】解:原式 =3﹣ 1+2﹣1=1+2.【点评】本题考查了二次根式的计算:先把各二次根式化为最简二次根式,再进行二次根式的乘除运算,然后合并同类二次根式.也考查了零指数幂.24.如图,实数 a 、b 在数轴上的位置,化简:.【分析】本题综合性较强,不仅要结合图形,还需要熟悉算术平方根的定义.【解答】解:由数轴知, a <0,且 b >0,∴a ﹣b <0,∴,=|a| ﹣|b|﹣[﹣(a﹣b)],=(﹣ a )﹣ b+a ﹣b ,=﹣2b .【点评】本小题主要考查利用数轴表示实数取值范围、二次根式的化简、代数式的恒等变形等基础知识,考查基本的代数运算能力.观察数轴确定 a 、 b 及 a ﹣ b 的符号是解答本题的关键,本题巧用数轴给出了每个数的符号,渗透了数形结合的思想,这也是中考时常考的知识点.本题考查算术平方根的化简,应先确定 a 、b 及 a ﹣b 的符号,再分别化简,最后计算.25.阅读材料,解答下列问题.例:当 a >0 时,如 a=6 则|a|=|6|=6,故此时a的绝对值是它本身;当a=0 时, |a|=0 ,故此时 a 的绝对值是零;当a <0 时,如 a= ﹣ 6 则|a|=| ﹣ 6|= ﹣(﹣ 6),故此时 a 的绝对值是它的相反数.∴综合起来一个数的绝对值要分三种情况,即,这种分析方法渗透了数学的分类讨论思想.问:( 1)请仿照例中的分类讨论的方法,分析二次根式的各种展开的情况;( 2)猜想与|a|的大小关系.【分析】应用二次根式的化简,首先应注意被开方数的范围,再进行化简.【解答】解:(1)由题意可得=;( 2)由( 1)可得:=|a|.【点评】本题主要考查二次根式的化简方法与运用:①当 a >0 时,=a ;②当 a < 0 时,= ﹣ a ;③当 a=0 时,=0.26.已知: a=,b=.求代数式的值.【分析】先求得 a+b=10 ,ab=1 ,再把求值的式子化为 a 与 b 的和与积的形式,将整体代入求值即可.【解答】解:由已知,得 a+b=10 ,ab=1 ,∴===.【点】本关是先求出a+b 、ab 的,再将被开方数形,整体代.27.下列材料,然后回答.在行二次根式的化与运算,我有会碰上如,,一的式子,其我可以将其一步化:(一)==(二)===1(三)以上种化的步叫做分母有理化.可以用以下方法化:====1(四)( 1)用不同的方法化.( 2=;=.( 3)化:+++⋯+.【分析】(1 )中,通察,:分母有理化的两种方法:1、同乘分母的有理化因式;2、因式分解达到分的目的;( 2)中,注意找律:分母的两个被开方数相差是2,分母有理化后,分母都是2,分子可以出抵消的情况.【解答】解:(1)=,=;.(2)原式 =+⋯+=++⋯+=.【点】学会分母有理化的两种方法.28.化求:,其中.【分析】由 a=2+,b=2,得到a+b=4,ab=1,且a>0,b>0,再把代数式利用因式分解的方法得到原式 =+,分后得+,接着分母有理化和通分得到原式=,然后根据整体思想行算.【解答】解:∵ a=2+>0,b=2>0,∴a+b=4 ,ab=1 ,∴原式 =+=+=+=,当 a+b=4 ,ab=1 ,原式 =×=4.【点】本考了二次根式的化求:先把各二次根式化最二次根式,再合并同二次根式,然后把字母的代入(或整体代入)行算.。
一、选择题1.下列各式中,运算正确的是( ) A2=-B4=C= D.2=2.下列计算正确的是( ) A3=±B2=C.2=D2=3.下列根式是最简二次根式的是( ) ABCD.4.下列运算正确的是 ( ) A.3= B=C.=D=5.若2019202120192020a =⨯-⨯,b =,c a ,b ,c 的大小关系是( ) A .a b c << B .a c b <<C .b a c <<D .b c a <<6.如图,是按一定规律排成的三角形数阵,按图中数阵的排列规律,第9行从左至右第5个数是( )123A .BC .D7.2=) A .3B .4C .5D .68.给出下列化简①()2=2=2=12=,其中正确的是( ) A .①②③④B .①②③C .①②D .③④9.已知实数x 、y满足2y =,则yx 值是( )A .﹣2B .4C .﹣4D .无法确定10.下列根式中是最简二次根式的是( ) ABCD二、填空题11.若mm 3﹣m 2﹣2017m +2015=_____.12.已知a ,b 是正整数,且满足是整数,则这样的有序数对(a ,b )共有____对.13.实数a 、b 10-b 4-b-2=+,则22a b +的最大值为_________.14.3=,且01x <<=______.15.设12211112S =++,22211123S =++,32211134S =++,设...S =S=________________ (用含有n 的代数式表示,其中n 为正整数).16.10=,则222516x y +=______.17.若2x ﹣x 2﹣x=_____.18.化简二次根式_____.19.,则x+y=_______. 20.若实数a =,则代数式244a a -+的值为___. 三、解答题21.若x ,y 为实数,且y 12.求x y y x ++2-xy y x +-2的值.【分析】根据二次根式的性质,被开方数大于等于0可知:1﹣4x ≥0且4x ﹣1≥0,解得x =14,此时y =12.即可代入求解. 【详解】解:要使y 有意义,必须140410x x -≥⎧⎨-≤⎩,即1414x x ⎧≤⎪⎪⎨⎪≥⎪⎩∴ x =14.当x =14时,y =12. 又∵x y y x ++2-x yy x +-2=-| ∵x =14,y =12,∴ x y <y x.∴+当x =14,y =12时,原式=.【点睛】(a ≥0)叫二次根式.性质:二次根式中的被开方数必须是非负数,否则二次根式无意义.22.阅读材料,回答问题:两个含有二次根式的代数式相乘,如果它们的积不含有二次根式,我们就说这两个代数式a =,)111=11互为有理化因式.(1)1的有理化因式是 ;(2)这样,化简一个分母含有二次根式的式子时,采用分子、分母同乘以分母的有理化因式的方法就可以了,例如:==25384532++====-进行分母有理化. (3)利用所需知识判断:若a =,2b =a b ,的关系是 .(4)直接写结果:)1=.【答案】(1)1;(2)7-;(3)互为相反数;(4)2019【分析】(1)根据互为有理化因式的定义利用平方差公式即可得出;(2)原式分子分母同时乘以分母的有理化因式(2,化简即可;(3)将a=(4)化简第一个括号内的式子,里面的每一项进行分母有理化,然后利用平方差公式计算即可.【详解】解:(1)∵()()1111=,∴1的有理化因式是1;(2227 -==-(3)∵2a===,2b=-,∴a和b互为相反数;(4))1 ++⨯=)11⨯=)11=20201-=2019,故原式的值为2019.【点睛】本题考查了互为有理化因式的定义及分母有理化的方法,并考查了利用分母有理化进行计算及探究相关式子的规律,本题属于中档题.23.计算(1)(4﹣3)+2(2)(3)甲、乙两台机床同时生产一种零件,在10天中,两台机床每天出次品的数量如表:请计算两组数据的方差.【答案】(1)6﹣3;(2)-6(3)甲的方差1.65;乙的方差0.76【解析】试题分析:(1)先去括号,再合并;(2)先进行二次根式的乘法运算,然后去绝对值合并;(3)先分别计算出甲乙的平均数,然后根据方差公式分别进行甲乙的方差.试题解析:(1)原式=4﹣3+2=6﹣3;(2)原式=﹣3﹣2+﹣3=-6;(3)甲的平均数=(0+1+0+2+2+0+3+1+2+4)=1.5,乙的平均数=(2+3+1+1+0+2+1+1+0+1)=1.2,甲的方差=×[3×(0﹣1.5)2+2×(1﹣1.5)2+3×(2﹣1.5)2+(3﹣1.5)2+(4﹣1.5)2]=1.65;乙的方差=×[2×(0﹣1.2)2+5×(1﹣1.2)2+2×(2﹣1.2)2+(3﹣1.2)2]=0.76.考点:二次根式的混合运算;方差.24.【分析】先化为最简二次根式,再将被开方数相同的二次根式进行合并.【详解】.【点睛】本题考查了二次根式的加减运算,在进行此类运算时,先把二次根式化为最简二次根式的形式后再运算.25.计算:(1)11(233÷【答案】(12+;(2)【分析】(1)根据二次根式的加减法法则和乘除法法则进行计算,注意运算顺序与实数的混合运算顺序相同;(2)根据二次根式的加减法法则和乘除法法则进行计算,注意运算顺序与实数的混合运算顺序相同. 【详解】解:)1131-=233÷3==【点睛】本题考查了二次根式的混合运算,二次根式的混合运算顺序与实数的混合运算顺序一样,先乘方,再乘除,最后加减,有括号时要先算括号里的或先去括号.26.计算(11)1)⨯; (2)【答案】(12+;(2). 【解析】分析:先将二次根式化为最简,然后再进行二次根式的乘法运算.详解:(1)11+;=()31-2 ;(2)原式=(2,==3⨯==点睛:此题考查了二次根式的混合运算,熟练化简二次根式后,在加减的过程中,有同类二次根式的要合并;相乘的时候,被开方数简单的直接让被开方数相乘,再化简;较大的也可先化简,再相乘,灵活对待.27.一样的式子,其实我3====,1===;以上这种化简的步骤叫做分母有理化还可以用以下方法化简:221111===-=(12)化简:2n+++【答案】(1-2.【解析】试题分析:(12看出5-3,根据平方差公式分解因式,最后进进约分即可.(2)先每一个二次根式分母有理化,再分母不变,分子相加,最后合并即可.试题解析:(1)=====(2)原式2n+++=.考点:分母有理化.28.计算:(1;(2+2)2+2).【答案】(1-2)【分析】(1)直接化简二次根式进而合并得出答案;(2)直接利用乘法公式计算得出答案.【详解】解:(1)原式=-++-=6+.(2)原式=3434【点睛】本题考查了二次根式的运算,在进行二次根式运算时,可以运用乘法公式,运算率简化运算.【参考答案】***试卷处理标记,请不要删除一、选择题1.B解析:B【分析】=(a≥0,b≥0),被开数相同的二次根式可以合并进行计算即可.【详解】=,故原题计算错误;A2B=,故原题计算正确;C=D、2不能合并,故原题计算错误;故选B.【点睛】此题主要考查了二次根式的混合运算,关键是掌握二次根式乘法、性质及加减法运算法则.2.D【分析】根据算术平方根、立方根、二次根式的乘法逐项判断即可得.【详解】A3=,此项错误;B2=-,此项错误;=≠C、27D2==,此项正确;故选:D.【点睛】本题考查了算术平方根、立方根、二次根式的乘法,熟练掌握算术平方根与立方根是解题关键.3.B解析:B【分析】可以根据最简二次根式的定义进行判断.【详解】A,原根式不是最简二次根式;BC=,原根式不是最简二次根式;==D、=4故选B.【点睛】本题考查最简二次根式的定义,熟练掌握最简二次根式的定义及二次根式的化简方法是解题关键.4.A解析:A【分析】根据各个选项中的式子,可以计算出正确的结果,从而可以解答本题.【详解】A、3=,故选项A正确;B B错误;C、18=,故选项C错误;D=D错误;【点睛】本题考查了二次根式的混合运算,解答本题的关键是明确二次根式混合运算的计算方法.5.A解析:A【分析】利用平方差公式计算a,利用完全平方公式和二次根式的化简求出b,利用二次根式大小的比较办法,比较b、c得结论.【详解】解:a=2019×2021-2019×2020=(2020-1)(2020+1)-(2020-1)×2020=20202-1-20202+2020=2019;∵20222-4×2021=(2021+1)2-4×2021=20212+2×2021+1-4×2021=20212-2×2021+1=(2021-1)2=20202,∴b=2020;>∴c>b>a.故选:A.【点睛】本题考查了完全平方公式、平方差公式、二次根式的化简、二次根式大小的比较等知识点.变形2019×2021-2019×2020解决本题的关键.6.B解析:B【解析】【分析】由图形可知,第n(n =案.【详解】由图形可知,第n(n =∴第8=,则第9行从左至右第5=,故选B.【点睛】本题主要考查数字的变化类,解题的关键是根据题意得出第n行最后一个数为7.C解析:C【解析】=,22222x x=-=--+=251510,=.5故选C.8.C解析:C【分析】根据二次根式的性质逐一进行计算即可求出答案.【详解】①原式=2,故①正确;②原式=2,故②正确;③原式==④原式==,故④错误,故选C.【点睛】本题考查二次根式的性质和化简,熟练掌握二次根式的性质是解题的关键.9.C解析:C【分析】依据二次根式中的被开方数是非负数求得x的值,然后可得到y的值,最后代入计算即可.【详解】y=,∵实数x、y满足2∴x=2,y=﹣2,-⨯=-4.∴yx=22故选:C.【点睛】本题主要考查的是二次根式有意义的条件,熟练掌握二次根式有意义的条件是解题的关键.10.B解析:B【分析】根据最简二次根式的条件:①根号下不含能开得尽方的因数或因式;②根号下不含分母,据此逐项判断即可.【详解】解:A 、被开方数含分母,故A 不符合题意;B 、被开方数不含分母;被开方数不含能开得尽方的因数或因式.,故B 符合题意;C 被开方数含能开得尽方的因数或因式,故C 不符合题意;D 、被开方数含能开得尽方的因数或因式,故D 不符合题意;故选:B .【点睛】本题考查了最简二次根式,解题的关键是掌握最简二次根式的两个条件.二、填空题11.4030【分析】利用平方差公式化简m ,整理要求的式子,将m 的值代入要求的式子计算即可.【详解】m== m==+1,∴m3-m2-2017m+2015=m2(m ﹣1)﹣2017m+2015解析:4030【分析】利用平方差公式化简m ,整理要求的式子,将m 的值代入要求的式子计算即可.【详解】mm ), ∴m 3-m 2-2017m +2015=m 2(m ﹣1)﹣2017m +2015= )22017)+2015=(2017+2015﹣2=4030.故答案为4030.【点睛】本题主要考查二次根式的化简以及二次根式的混合运算.12.7【解析】解:∵=+,∴a、b的值为15,60,135,240,540.①当a=15,b=15时,即=4;②当a=60,b=60时,即=2;③当a=15,b=60时,即=3;④当a=60解析:7【解析】解:∵2,∴a、b的值为15,60,135,240,540.①当a=15,b=15时,即2=4;②当a=60,b=60时,即2=2;③当a=15,b=60时,即2=3;④当a=60,b=15时,即2=3;⑤当a=240,b=240时,即2=1;⑥当a=135,b=540时,即2=1;⑦当a=540,b=135时,即2=1;故答案为:(15,15)、(60、60)、(15,60)、(60,15)、(240,240)、(135,540)、(540,135).所有满足条件的有序数对(a,b)共有7对.故答案为:7.点睛:本题考查了二次根式的性质和化简,解决此题的关键是分类讨论思想,得出a、b可能的取值.13.【分析】首先化简,可得|a-2|+|a-6|+|b+4|+|b-2|=10,然后根据|a-2|+|a-6|≥4,|b+4|+|b-2|≥6,判断出a,b的取值范围,即可求出的最大值.【详解】解析:【分析】10-b 4-b-2=+,可得|a-2|+|a-6|+|b+4|+|b-2|=10,然后根据|a-2|+|a-6|≥4,|b+4|+|b-2|≥6,判断出a ,b 的取值范围,即可求出22a b +的最大值.【详解】10-b 4-b-2=+,1042b b =-+--, ∴261042a a b b -+-=-+--, ∴264210a a b b -+-+++-=,∵264a a -+-≥,426b b ++-≥,∴ 264a a -+-=,42=6b b ++-,∴2≤a≤6,-4≤b≤2,∴22a b +的最大值为()226452+-=,故答案为52.【点睛】本题考查了二次根式的性质与化简,绝对值的意义,算术平方根的性质.解题的关键是要明确化简二次根式的步骤:①把被开方数分解因式;②利用算术平方根的性质,把被开方数中能开得尽方的因数(或因式)都开出来;③化简后的二次根式中的被开方数中每一个因数(或因式)的指数都小于根指数2. 14..【分析】利用题目给的求出,再把它们相乘得到,再对原式进行变形凑出的形式进行计算.【详解】∵,∴,∴,∴,∵,∴,∴,∴原式.故答案是:.【点睛】本题考查二次根式的运.【分析】,再把它们相乘得到1xx-,再对原式进行变形凑出1xx-的形式进行计算.【详解】3=,∴221239xx=++==,∴17xx+=,∴212725xx=-+=-=,∵01x<<,=,∴1xx=-=-∴原式====..【点睛】本题考查二次根式的运算和乘法公式的应用,解题的关键是熟练运用乘法公式对式子进行巧妙运算.15.【分析】先根据题目中提供的三个式子,分别计算的值,用含n 的式子表示其规律,再计算S 的值即可.【详解】解:∵,∴;∵,∴;∵,∴;……∵,∴;∴.故答案为:【点睛】本题 解析:221n n n ++ 【分析】n 的式子表示其规律,再计算S 的值即可.【详解】 解:∵1221191=124S =++311122===+-; ∵222114912336S =++=7111116623===+=+-; ∵32211169134144S =++=1311111121234===+=+-; …… ∵()()()222222111111n n n S n n n n ++=++=++,()()2111111111n n n n n n n n ++===+=+-+++;∴...S =1111111112231n n =+-++-++-+…+ 111n n =+-+. 221n n n +=+ 故答案为:221n n n ++ 【点睛】本题为规律探究问题,难度较大,根据提供的式子发现规律,并表示规律是解题的关键,同时要注意对于式子()11111n n n n =-++的理解. 16.【解析】【分析】把带根号的一项移项后平方,整理后再平方,然后整理即可得解.【详解】移项得,两边平方得,整理得,两边平方得,所以,两边除以400得,1.故答案为1.【点睛】解析:【解析】【分析】把带根号的一项移项后平方,整理后再平方,然后整理即可得解.【详解】10=-两边平方得,()()22223=1003x y x y ++--+整理得,253x =- 两边平方得,22225150225256251509x x y x x -++=-+ 所以,221625400x y +=两边除以400得,22 2516x y+=1.故答案为1.【点睛】本题考查了非负数的性质,此类题目难点在于把两个算术平方根通过移项分到等式左右两边.17.【解析】【分析】根据完全平方公式以及整体的思想即可求出答案.【详解】解:∵2x﹣1= ,∴(2x﹣1)2=3∴4x2﹣4x+1=3∴4(x2﹣x)=2∴x2﹣x=故答案为【点解析:1 2【解析】【分析】根据完全平方公式以及整体的思想即可求出答案.【详解】解:∵2x﹣,∴(2x﹣1)2=3∴4x2﹣4x+1=3∴4(x2﹣x)=2∴x2﹣x=12故答案为1 2【点睛】本题考查二次根式的运算,解题的关键是熟练运用完全平方公式,本题属于基础题型.18.【解析】根据二次根式的性质,可知a≠0,-(a+1)≥0,因此可知a≤-1,因此可知a==.故答案为.解析:【解析】根据二次根式的性质,可知a≠0,-(a+1)≥0,因此可知a≤-1,因此可知=故答案为19.8+2【解析】根据配方法,由完全平方公式可知x+y==()2-2,然后把+=+,=-整体代入可得原式=(+)2-2(-)=5+3+2-2+2=8+2.故答案为:8+2.解析:【解析】根据配方法,由完全平方公式可知x+y=2222+=+-)2整体代入可得原式=2-2)故答案为:20.3【解析】∵ =,∴=(a-2)2==3,故答案为3.解析:3【解析】∵a =∴244a a -+=(a-2)2=()222+=3, 故答案为3.三、解答题21.无22.无23.无24.无25.无26.无27.无28.无。
八年级数学二次根式提高练习及解析(一)判断题: (每小题 1 分,共 5 分)1. ( 2) 2 ab =- 2 ab .( ) 2 .3 -2 的倒数是 3 + 2.()3.( x 1) 2= (x 1)2.() 4 . ab 、1a 3b 、 2 a 是同类二次根式. ()3x b5. 8x , 1 ,9 x 2 都不是最简二次根式. ()3(二)填空题: (每小题 2 分,共 20 分)6.当 x __________ 时,式子1有意义. 7 .化简- 152 10÷253=_ .x 38 2712 a8. a -a 2 1 的有理化因式是 ______. 9 .当 1< x < 4 时, | x -4| +x 2 2x 1 = ______.10.方程 2 ( x - 1)= x + 1 的解是 ______.11.已知 a 、 b 、 c 为正数, d 为负数,化简 ab c 2 d 2= ______.abc 2d 212.比较大小:-1 _____- 1. 13 .化简: (7 - 5 2 ) 2000·( - 7-5 2 ) 2001= _____.2 7 4 314.若 x1 + y 3 =0,则 ( x - 1) 2+ ( y +3) 2= ______.15. x , y 分别为 8- 11 的整数部分和小数部分,则2xy - y 2= ____________ .(三)选择题: (每小题 3 分,共 15 分)16.已知x 33x 2 =- x x 3 ()( A ) x ≤0(B ) x ≤- 3( C ) x ≥- 3( D )- 3≤ x ≤ 0 17.若 x <y < 0,则x 2 2 xy y 2 + x 2 2xy y 2 ()( A ) 2x( B ) 2y ( C )- 2x( D )- 2y18.若 0<x < 1,则(x1 )2 4 - ( x 1 ) 2 4 等于( )x x( A )2( B )-2( C )- 2x( D ) 2xxx19.化简a 3( a < 0 ) ()( A )a (B )- a ( C )-a (D ) aa20.当 a <0, b < 0 时,- a +2 ab - b 可变形为()( A ) ( ab )2 ( B )- ( a b) 2 (C ) ( ab) 2( D ) (ab) 2(四)在实数范围内因式分解: (每小题 3 分,共 6 分)21. 9 x 2- 5 2; 22.4 4- 4 x 2+ 1. yx( 五)计算题:(每小题 6 分,共 24 分)23.( 532 )( 53 2 ); 24 .5 - 4 - 2 ;11 74 11 3725.( a 2n-ab mn + n m )÷ a 2b 2n;m m m n m26.(a+b ab)÷(a+b-ab)( a ≠b ).ababbabaab(六)求 :(每小 7 分,共 14 分)27.已知 x =3 2 , y = 3 2 ,求 x 3 xy 2的 .4 y 2x 3 y 2 x 2 y 33232x七、 作 :(每小8 分,共 16 分)28.当 x =1-2 ,求a 2 x a 2 + 2x x 2 a 2 + 1 的 .x 2 x x 2x 2 x x 2 a 2x 2 a 229. 算( 2 5 + 1)(1 +1 +1+⋯+1).23991 23 4 10030.若 x ,y 数,且 y = 1 4x + 4x 1 + 1.求x2y-x 2 y的 .2yxyx二次根式》提高测试答案(一)判断 : (每小1 分,共 5 分)1. ( 2) 2 ab =- 2 ab .⋯⋯⋯⋯⋯⋯⋯()【提示】( 2) 2 = | - 2| = 2.【答案】×.2. 3 - 2 的倒数是 3 +2.( )【提示】1=3 23 + 2).【答案】×.33 =-(2 43. (x 1) 2= ( x 1)2.⋯( )【提示】(x 1)2 = | x - 1| , ( x 1)2= x - 1( x ≥1).两式相等,必 x ≥ 1.但等式左 x 可取任何数.【答案】×.4. ab 、1a 3b 、2 a是同 二次根式.⋯()3x b【提示】1a 3b 、2a化成最 二次根式后再判断. 【答案】√.3x b5. 8x ,1 , 9 x2 都不是最 二次根式. ()【答案】 ×. 9 x 2 是最 二次根式.3(二)填空 : (每小2 分,共 20 分)6 当 x _____ , 式 子1有 意 .【 提 示 】 x 何 有 意 ? x ≥ 0分 式 何 有 意 ? 分 母 不 等 于x3零.7.化 -【答案】 x ≥ 0 且 x ≠ 9.15 10 25 3 =_.【答案】 - 2aa .【点 】 注意除法法 和 的算 平方根性 的运用.2÷12a 8278 . a -a 2 1 的有理化因式是____________ .【提示】 ( a - a 21 )( ________ )= a 2- (a 2 1)2 . a +a 21 .【答案】 +a 21 .a9.当 1< x < 4 , | x - 4| + x 2 2x 1 = ________________ .【提示】 x 2-2x + 1=( )2, x - 1.当 1< x <4 , x -4, x - 1 是正数 是 数? x - 4 是 数, x - 1 是正数. 【答案】 3.10.方程( -1)= x + 1 的解是 ____________【. 提示】把方程整理成ax = b 的形式后, 、 分 是多少?2 1 ,2 xa b2 1.【答案】 x = 3+22 .11.已知 a 、 b 、 c 正数, d 数,化ab c 2d 2 = ______.【提示】c 2d 2 = | cd | =- cd .ab c 2d 2【答案】 ab + cd .【点 】∵ ab = ( ab ) 2 ( ab > 0),∴ ab - c 2d 2=( ab cd )(abcd ).12.比 大小:-1 _________- 1 3 .【提示】 27 = 28 , 4 3 = 48 .2 7 4【答案】<.【点 】先比28 , 48 的大小,再比1 ,1的大小,最后比 -1 与-1 的大28482848小.13.化 : (7 - 5 2 ) 2000·( - 7- 5 2 ) 2 001= ______________.【提示】 ( - 7- 52 ) 2001= ( - 7- 5 2 ) 2000·( _________) [ -7- 52 . ]( 7- 5 2 )·(- 7- 52 )=? [1 . ]【答案】- 7- 52 .【点 】注意在化 程中运用 的运算法 和平方差公式.14.若x 1 + y 3 = 0, ( x - 1) 2+( y + 3) 2= ____________.【答案】 40.【点 】x 1 ≥ 0,y 3 ≥ 0.当 x 1+y 3 = 0 , x + 1=0, y - 3= 0.15. x , y 分8- 11 的整数部分和小数部分,2xy - y 2= ____________.【提示】∵3< 11 < 4,∴ _______< 8- 11 < __________ .[4 ,5] .由于 8- 11 介于 4 与 5 之 , 其整数部分 =?小数部分 y =? [ x = 4, y = 4-11 ]【答案】 5.x【点 】求二次根式的整数部分和小数部分 ,先要 无理数 行估算.在明确了二次根式的取 范 后,其整数部分和小数部分就不 确定了.(三) : (每小 3 分,共 15 分)16.已 知 x 3 3x 2=- x x 3 , ⋯⋯⋯⋯⋯⋯()( A ) x ≤ 0 ( B ) x ≤- 3 (C ) x ≥- 3 ( D )- 3≤ x ≤0 【答案】 D . 【点 】本 考 的算 平方根性 成立的条件,( A )、( C )不正确是因 只考 了其中一个算 平方根的意 .17.若 x <y < 0,x 2 2 xy y 2 + x 2 2xy y 2=⋯⋯⋯⋯⋯⋯⋯⋯⋯()( A ) 2( B ) 2 y ( C )- 2 x ( D )- 2xy【提示】∵x < y <0,∴ x - y < 0,x + y < 0.∴x 22xy y 2 = ( x y) 2=| x - y | =y - x .x 2 2xy y 2 = (x y)2= | x + y | =- x -y .【答案】 C .【点 】本 考 二次根式的性a2= | a| .18.若 0<x < 1,(x 1 ) 2 4 - ( x 1 ) 2 4 等于⋯⋯⋯⋯⋯⋯⋯⋯⋯()x x( A )2( B )-2( C )- 2x( D ) 2xxx【提示】 ( x -1 ) 2+ 4=( x +1) 2, ( x +1) 2- 4= ( x -1) 2.又∵0< x <1,xxxx∴x + 1> 0, x - 1< 0.【答案】 D .xx0< x < 1 , x - 1<【点 】 本 考 完全平方公式和二次根 式的性 .( A )不正确是因 用性 没有注意当0.x19.化a 3 ( a < 0 ) 得⋯⋯⋯⋯⋯⋯⋯⋯⋯⋯⋯⋯⋯⋯⋯⋯⋯⋯⋯⋯⋯⋯⋯⋯()a( A )a(B )-a( C )-a( D ) a【提示】 a 3 =a a 2 =a · a 2 = | a |a =- aa .【答案】 C . 20.当 <0,< 0 ,- a+2ab - b 可 形 ⋯⋯⋯⋯⋯⋯⋯⋯⋯⋯⋯⋯⋯⋯⋯()ab( A ) ( ab )2( B )- ( a b )2 ( C ) (ab) 2 ( D ) (ab) 2【提示】∵a < 0,b < 0,∴ - a > 0,- b > 0.并且- a = ( a ) 2 ,- b = (b) 2 , ab = ( a)( b) .【答案】C( a ) 2 = a (a 0A Ba.【点 】本 考 逆向运用公式 ≥ )和完全平方公式.注意()、( )不正确是因< 0, b < 0 , a 、 b 都没有意 .【答案】 C .(四)在 数范 内因式分解:(每小3 分,共 6 分)21. 9x 2- 5y 2;【提示】用平方差公式分解,并注意到5y 2= ( 5 y) 2.【答案】( 3x +5 y )( 3x - 5 y ).22. 4x 4- 4x 2+1.【提示】先用完全平方公式,再用平方差公式分解.【答案】 ( 2 x + 1) 2( 2 x - 1) 2.(五) 算 : (每小 6 分,共 24 分) 23.( 53 2 )( 53 2 );【提示】将53 看成一个整体,先用平方差公式,再用完全平方公式.【解】原式= (53 ) 2- ( 2)2 = 5- 2 15 + 3- 2= 6- 2 15 .24.5-4- 2;【提示】先分别分母有理化,再合并同类二次根式.4 1111 7 37【解】原式=5(411) - 4( 117) - 2(37 )= 4+ 11 - 11 - 7 - 3+7 = 1.16 1111 79 7 25.( a 2n - ab mn +n m)÷ a 2b 2 n ;m mm nm【提示】先将除法转化为乘法,再用乘法分配律展开,最后合并同类二次根式. 【解】原式=( a 2n - ab mn +nm)·1mmmm na 2b2 n =1n m - 1mnm+n m m b 2 m n mab nma 2 b 2n n1 1 1 a2 ab 1=2-ab + 2 2 =2 b 2.ba ba26.( a +bab)÷(a + b- a b)( a ≠ b ).abab b ab aab【提示】本题应先将两个括号内的分式分别通分,然后分解因式并约分.【解】原式=aab babx y a a ( ab) b b( ab) (a b)(a b)÷aby2ab( ab )( ab )x2222a=aa =ab÷ a aab b ab b a b ab( a b )( ab)bb ·ab( a b )( ab)ab .ab (a b)=-b【 点评】本题如果先分母有理化,那么计算较烦琐.(六)求值:(每小题 7 分,共 14 分)27.已知 x =32 , y =3 2,求x 3 xy 23 的值.43y 22y3 23 2 x y 2xx【提示】先将已知条件化简,再将分式化简最后将已知条件代入求值. 【解】∵x = 32= ( 32)2 = 5+26 ,3 2y = 32= ( 32) 2 = 5- 2 6 .3 2∴ x + y = 10,x - y = 4 6 , xy = 52- (2x3xy2= x(x y)( x y) x 4 y 2x 3 y 2x 2 y(x y)2 x 2 y 36 ) 2= 1. = x y = 46 = 26 .xy (x y) 1 10 5 【点评】本题将 x 、y 化简后,根据解题的需要,先分别求出“ x + y ”、“ x - y ”、“ xy ”.从而使求值的过程更简捷.28.当 x =1-2 时,求x+2xx 2 a 21 的值. a 2x x 2a 2 x 2 x x 2+x 2x 2a 2a 2【提示】注意: x 2 + a 2 =( x2a 2) 2,∴ x 2+ a 2- x x 2 a 2 = x 2 a 2 ( x 2 a 2 - x ),x 2- x x 2 a 2 =- x ( x 2 a 2 - x ). 【解】原式=x -2x x 2 a 2 1x 2 a 2 ( x 2a 2x( x 2 a 2+x 2 a 2x)x)x 2x 2 a 2 (2x x 2 a 2 ) x( x 2a 2x)=x x 2a 2 ( x 2 a 2x)= x 22x x 2a 2 ( x 2 a 2 )2x x 2 a 2 x 2 = ( x 2a 2 ) 2 x x 2 a 2 = x 2 a 2 ( x 2 a 2 x)x x 2a 2 ( x 2 a 2x)x x 2a 2 ( x 2 a 2x)x x 2 a 2 ( x 2a 2x)= 1.当 x = 1-2 ,原式= 1 =- 1- 2 .【点 】本 如果将前两个“分式”分拆成两个“分式”之差,x1 2 1那么化 会更 便.即原式=x- 2 x 2 2+x 2 a 2 ( x 2a 2x a x 2 a 2x) x( x 2 a 2 x )= (1 1) - (x 21 x 1) +1= 1.x 2 a 2 x x 2 a 2 a 2xx 2 a 2 x七、解答 :(每小8 分,共 16 分 )29. 算( 25 + 1)(1+1+ 1 +⋯+1).1234 9923100【提示】先将每个部分分母有理化后,再 算.【解】原式=( 25 + 1)( 2 1 + 32 2 + 43 3+⋯+ 100 99 )2 13 4100 99=( 2 5 + 1)[ ( 2 1)+( 3 2 )+( 4 3 )+⋯+( 10099 ) ]=( 25 + 1)( 100 1 )= 9( 2 5 + 1).【点 】本 第二个括号内有 99 个不同分母,不可能通分. 里采用的是先分母有理化,将分母化 整数,从而使每一 化成两数之差,然后逐 相消. 种方法也叫做裂 相消法. 30.若 x ,y 数,且 y = 14x + 4x 1 + 1.求x 2 y - x 2y的 .2yx y x14x 0x 14 ]y 有意 ,必 足什么条件?【提示】要使[] 你能求出 x , y 的 ? [4x 1 0.y1 .21 4xx1x = 1 .当 x = 1, y = 1.4 ∴【解】要使 y 有意 ,必 [,即4 x 1 0x 1 . 4424又∵x 2 y-=( x y ) 2 - ( x y 2y x y x yx )= | xy| - |x y| ∵ x = 1 , y = 1,∴x < y .yxyx42y x∴ 原式=x y - y x = 2 x 当 x = 1,y = 1,yxxyy421原式= 2 4 =2 .【点 】解本 的关 是利用二次根式的意 求出x 的 , 而求出 y 的12。
一、选择题1.下列式子为最简二次根式的是( ) A .22a b +B .2aC .12aD .122.下列运算正确的是( ) A .732-= B .()255-=-C .1232÷=D .03812+=3.下列计算结果正确的是( ) A .2+5=7 B .3223-= C .2510⨯=D .25105= 4.下列计算正确的是( ) A .93=±B .8220-=C .532-=D .2(5)5-=-5.若ab <0,则代数式可化简为( ) A .aB .aC .﹣aD .﹣a6.已知2225152x x ---=,则222515x x -+-的值为( ) A .3B .4C .5D .6 7.实数a ,b 在数轴上的位置如图所示,则化简﹣+b 的结果是( )A .1B .b+1C .2aD .1﹣2a 8.751m +m 的值为( ) A .7B .11C .2D .19.下列运算一定正确的是( ) A 2a a =B ab a b =C .222()a b a b ⋅=⋅D ()0n mnaa m=≥ 10.已知,5x y +=-,3xy =则y x x y x y的结果是( ) A .3B .3-C .32D .32-二、填空题11.已知412x =-()21142221x x x x -⎛⎫+⋅= ⎪-+-⎝⎭_________12.若0a >,把4ab-化成最简二次根式为________. 13.已知()2117932x x x y ---+-=-,则2x ﹣18y 2=_____.14.实数a 、b 满足22a -4a 436-12a a 10-b 4-b-2+++=+,则22a b +的最大值为_________.15.为了简洁、明确的表示一个正数的算术平方根,许多数学家进行了探索,期间经历了400余年,直至1637年法国数学家笛卡儿在他的《几何学》中开始使用“”表示算数平方根.我国使用根号是由李善兰(1811-1882年)译西方数学书时引用的,她在《代数备旨》中把图1所示题目翻译为: 22164?a x a x +=则图2所示题目(字母代表正数)翻译为_____________,计算结果为_______________.16.把1m m-_____________. 17.下面是一个按某种规律排列的数阵:11第行325 62第行722310 11 233第行 13 1541732 19254第行根据数阵排列的规律,第 5 行从左向右数第 3 个数是 ,第 n (n 3≥ 且 n 是整数)行从左向右数第 n 2- 个数是 (用含 n 的代数式表示). 18.计算:652015·652016=________. 19.观察分析下列数据:0,36,-3,231532的规律得到第10个数据应是__________. 20.4x -x 的取值范围是_____三、解答题21.计算:(1(041--;(2⎛- ⎝【答案】(1;(2)【解析】试题分析:根据二次根式的性质及分母有理化,化简二次根式,然后合并同类二次根式即可解答.试题解析:(1(041--(2⎛- ⎝-0-=22.-10 【分析】先根据二次根式的性质和平方差公式化简,然后再进行计算即可 【详解】=(22⎡⎤--⎢⎥⎣⎦=()212--10+.10. 【点睛】本题主要考查了二次根式的性质、平方差公式,灵活运用二次根式的性质化简是解答本题的关键.23.计算:(1)+(2(33+-【答案】(1)2) -10 【分析】(1)原式二次根式的乘除法法则进行计算即可得到答案;(1)原式第一项运用二次根式的性质进行化简,第二项运用平方差公式进行化简即可. 【详解】解:(1)+===(2(33+-=5+9-24=14-24 =-10. 【点睛】此题主要考查了二次根式的化简,熟练掌握二次根式的性质是解答此题的关键.24.先化简,再求值:(()69x x x x --+,其中1x =.【答案】化简得6x+6,代入得 【分析】根据整式的运算公式进行化简即可求解. 【详解】(()69x x x x +--+=22369x x x --++ =6x+6把1x =代入原式=61)【点睛】此题主要考查实数的运算,解题的关键熟知整式的运算法则.25.计算(1(2)(()21-【答案】(1);(2)24+ 【分析】(1)先将各二次根式化为最简二次根式,再进行合并即可得到答案;(2)原式运用平方差公式和完全平方公式把括号展开后,再合并同类二次根式即可得到答案. 【详解】解:(1=2+=(2-+=2(2)(()21-=22(181)---=452181--+=24+. 【点睛】此题主要考查了二次根式的混合运算,熟练掌握运算法则和运算顺序是解答此题的关键.26.计算:(1 (2)()()2221-【答案】2)1443 【分析】(1)先化成最简二次根式,然后再进行加减运算即可; (2)套用平方差公式和完全平方式进行运算即可. 【详解】解:(1)原式=23223323,(2)原式(34)(12431)1124311443,故答案为:1443.【点睛】本题考查二次根式的四则运算,熟练掌握二次根式的四则运算是解决本题的关键.27.已知长方形的长a =b =. (1)求长方形的周长;(2)求与长方形等面积的正方形的周长,并比较其与长方形周长的大小关系.【答案】(1)2)长方形的周长大. 【解析】试题分析:(1)代入周长计算公式解决问题;(2)求得长方形的面积,开方得出正方形的边长,进一步求得周长比较即可. 试题解析:(1)()11222223a b ⎛+=⨯=⨯⨯⨯=⨯= ⎝∴长方形的周长为 .(2)114.23=⨯⨯=正方形的面积也为4. 2.= 周长为:428.⨯=8.>∴长方形的周长大于正方形的周长.28.化简求值:212(1)211x x x x -÷-+++,其中1x =.【解析】分析:先把小括号内的通分,按照分式的减法和分式除法法则进行化简,再把字母的值代入运算即可. 详解:原式2112,2111x x x x x x -+⎛⎫=÷- ⎪++++⎝⎭2112,211x x x x x -+-=÷+++ ()211,11x x x x -+=⋅-+ 1.1x =+当1x =时,11x ==+ 点睛:考查分式的混合运算,掌握运算顺序是解题的关键.【参考答案】***试卷处理标记,请不要删除一、选择题 1.A 解析:A 【分析】判断一个二次根式是否为最简二次根式主要方法是根据最简二次根式的定义进行,或直观地观察被开方数的每一个因数(或因式)的指数都小于根指数2,且被开方数中不含有分母,被开方数是多项式时要先因式分解后再观察. 【详解】AB |a |,可以化简,故不是最简二次根式;C =D 2=,可以化简,故不是最简二次根式; 故选:A . 【点睛】本题考查最简二次根式的定义,最简二次根式必须满足两个条件:被开方数不含分母;被开方数不含能开得尽方的因数或因式.2.C解析:C 【分析】由二次根式的性质,二次根式的混合运算,分别进行计算,即可得到答案. 【详解】解:A A 错误;B 5=,故B 错误;C 2==,故C 正确;D 01213=+=,故D 错误; 故选:C .【点睛】本题考查了二次根式的性质,二次根式的混合运算,立方根,零指数幂,解题的关键是熟练掌握运算法则进行解题.3.C解析:C【分析】根据二次根式的加法、减法、乘法、分母有理化逐一进行计算判断即可.【详解】A.2与5不能合并,故A选项错误;B.32222-=,故B选项错误;C.2510⨯=,正确;D.225105555⨯==⨯,故D选项错误,故选C.【点睛】本题考查了二次根式的运算,分母有理化,熟练掌握各运算法则是解题的关键.4.B解析:B【分析】直接利用二次根式的性质化简得出答案.【详解】A. 93=,故此选项错误;B. 8220-=,正确;C. 53-,无法计算,故此选项错误;D. 2(5)5-=,故此选项错误;故选:B【点睛】此题主要考查了二次根式的加减,正确掌握二次根式的性质是解题关键.5.C解析:C【解析】【分析】二次根式有意义,就隐含条件b<0,由ab<0,先判断出a、b的符号,再进行化简即可.【详解】解:若ab<0,且代数式有意义;故由b>0,a<0;则代数式故选:C . 【点睛】本题主要考查二次根式的化简方法与运用:当a >0时,,当a <0时,,当a=0时,.6.C解析:C 【解析】∵2225152x x ---=,2222222222(2515)(2515)(25)(15)251510x x x x x x x x ----+-=---=--+=,∴2225155x x -+-=. 故选C.7.A解析:A 【解析】﹣+b=111a a b b a a b b ---+=-+-+= ,故选A.8.C解析:C 【分析】几个二次根式化为最简二次根式后,如果被开方数相同,则这几个二次根式即为同类二次根式. 【详解】解7553=m=7时1822m +==,故A 错误;当m=11时11223m +==1m +B 错误;当m=1时12m +=故D 错误;当m=2时13m +=故C 正确;故选择C. 【点睛】本题考查了同类二次根式的定义.9.C解析:C 【分析】直接利用二次根式的性质与化简以及积的乘方运算法则分别计算即可得出答案. 【详解】A 2a |a |,故此选项错误;B.,则a,b均为非负数,故此选项错误;C.a2•b2=(a•b)2,正确;D m n a(a≥0),故此选项错误.故选C.【点睛】本题主要考查了二次根式的性质与化简以及积的乘方运算,正确掌握相关运算法则是解题的关键.10.B解析:B【分析】由x+y=-5,xy=3可得到x<0,y<0,再利用二次根式的性质化简得到原式==-,然后把xy=3代入计算即可.【详解】∵x+y=−5,xy=3,∴x<0,y<0,∴原式===-(x<0,y<0),当xy=3时,原式=-故选B.【点睛】此题考查二次根式的化简求值,解题关键在于先化简.二、填空题11.【分析】利用完全平方公式化简,得到;化简分式,最后将代入化简后的分式,计算即可.【详解】将代入得:故答案为:【点睛】本题考查二次根式的化简以及分式的化简求值,难度较大,难点在解析:1-利用完全平方公式化简x =1x =;化简分式,最后将1x =代入化简后的分式,计算即可.【详解】1x =====()211422(2)(2)2221(2)(2)2(1)x x x x x x x x x x x -++-+-⎛⎫+⋅= ⎪-+--+-⎝⎭ 1x x =-将1x =1=-故答案为:1-【点睛】本题考查二次根式的化简以及分式的化简求值,难度较大,难点在于化简x =熟练掌握相关知识点是解题关键. 12.【分析】先判断b 的符号,再根据二次根式的性质进行化简即可.【详解】解:∵∴∴所以答案是:【点睛】本题考查了二次根式的性质.解析: 【分析】先判断b 的符号,再根据二次根式的性质进行化简即可. 【详解】 解:∵40,0a a b-≥> ∴0b <2a b b b b=--所以答案是:=.a13.【分析】直接利用二次根式的性质将已知化简,再将原式变形求出答案.【详解】解:∵一定有意义,∴x≥11,∴﹣|7﹣x|+=3y﹣2,﹣x+7+x﹣9=3y﹣2,整理得:=3y,∴x﹣解析:22【分析】直接利用二次根式的性质将已知化简,再将原式变形求出答案.【详解】一定有意义,∴x≥11,|7﹣x=3y﹣2,﹣x+7+x﹣9=3y﹣2,=3y,∴x﹣11=9y2,则2x﹣18y2=2x﹣2(x﹣11)=22.故答案为:22.【点睛】本题考查二次根式有意义的应用,以及二次根式的性质应用,属于提高题.14.【分析】首先化简,可得|a-2|+|a-6|+|b+4|+|b-2|=10,然后根据|a-2|+|a-6|≥4,|b+4|+|b-2|≥6,判断出a,b的取值范围,即可求出的最大值.【详解】解析:【分析】10-b4-b-2=+,可得|a-2|+|a-6|+|b+4|+|b-2|=10,然后根据|a-2|+|a-6|≥4,|b+4|+|b-2|≥6,判断出a,b的取值范围,即可求出22+的最大值.a b【详解】=+,10-b4-b-21042b b =-+--, ∴261042a a b b -+-=-+--, ∴264210a a b b -+-+++-=,∵264a a -+-≥,426b b ++-≥,∴ 264a a -+-=,42=6b b ++-,∴2≤a≤6,-4≤b≤2,∴22a b +的最大值为()226452+-=,故答案为52.【点睛】本题考查了二次根式的性质与化简,绝对值的意义,算术平方根的性质.解题的关键是要明确化简二次根式的步骤:①把被开方数分解因式;②利用算术平方根的性质,把被开方数中能开得尽方的因数(或因式)都开出来;③化简后的二次根式中的被开方数中每一个因数(或因式)的指数都小于根指数2. 15.a+3【分析】根据题意可知图中的甲代表a,据此可写出图2中表示的式子.再根据二次根式的性质进行化简.【详解】解:根据题意可知图中的甲代表a,∴图2所示题目(字母代表正数)翻【分析】根据题意可知图中的甲代表a,据此可写出图2中表示的式子.再根据二次根式的性质进行化简.【详解】解:根据题意可知图中的甲代表a,∴图2∵a >0+3.a =a+3. 【点睛】本题考查阅读理解的能力,正确理解题意是关键. 16.-【解析】【分析】根据二次根式的性质,可得答案【详解】由题意可得:,即∴故答案为【点睛】本题考查了二次根式的性质与化简,利用了二次根式的性质.解答关键在于根据二次根式的性质确定解析:【解析】【分析】根据二次根式的性质,可得答案【详解】由题意可得:1m,即0m∴11mm m mm mm故答案为【点睛】本题考查了二次根式的性质与化简,利用了二次根式的性质.解答关键在于根据二次根式的性质确定m的取值范围.17.;.【分析】根据被开方数是连续的自然数写出即可;根据每一行的最后一个数的被开方数是所在的行数乘比行数大1的数写出第(n-1)行的最后一个数,然后被开方数加上(n-2)即可求解.【详解】观察表【分析】根据被开方数是连续的自然数写出即可;根据每一行的最后一个数的被开方数是所在的行数乘比行数大1的数写出第(n-1)行的最后一个数,然后被开方数加上(n-2)即可求解.【详解】观察表格中的数据可得,第5行从左向右数第3=∵第(n-1,∴第n (n ≥3且n 是整数)行从左向右数第n-2个数是..【点睛】本题是对数字变化规律的考查,观察出被开方数是连续自然数并且每一行的最后一个数的被开方数是所在的行数乘比行数大1的数是解题的关键.18.【解析】原式=.故答案为.【解析】原式=20152015=19.6【分析】通过观察可知,根号外的符号以及根号下的被开方数依次是:,,…,可以得到第13个的答案.【详解】解:由题意知道:题目中的数据可以整理为:,,…,∴第13个答案为:.故答案为6.解析:6【分析】 通过观察可知,根号外的符号以及根号下的被开方数依次是:11(1)30,21(1)31,31(1)32…1(1)3(1)n n ,可以得到第13个的答案.【详解】 解:由题意知道:题目中的数据可以整理为:11(1)30,21(1)31,31(1)32…1(1)3(1)n n ,∴第13个答案为:131(1)3(131)6.故答案为6.【点睛】此题主要考查了二次根式的运算以及学生的分析、总结、归纳的能力,规律型的习题一般是从所给的数据和运算方法进行分析,从特殊值的规律上总结出一般性的规律.20.x≥4【解析】试题分析:根据算术平方根的意义,可知其被开方数为非负数,因此可得x-4≥0,解得x≥4.故答案为x≥4.点睛:此题主要考查了平方根的意义,解题时要注意被开方数为非负数的条件,然解析:x≥4【解析】试题分析:根据算术平方根的意义,可知其被开方数为非负数,因此可得x-4≥0,解得x≥4.故答案为x≥4.点睛:此题主要考查了平方根的意义,解题时要注意被开方数为非负数的条件,然后列不等式求解即可,是一个中考常考的简单题.三、解答题21.无22.无23.无24.无25.无26.无27.无28.无。
八年级数学二次根式32道典型题(含答案和解析)1.如果式子√x+1在实数范围内有意义,那么x的取值范围是.答案:x≥-1.解析:二次根式有意义的条件是根号内的式子不小于零,所以x+1≥0,即x≥-1. 考点:式——二次根式——二次根式的基础——二次根式有意义的条件.2.当x 时,√3x+2有意义..答案:x≥−23解析:由题意得:3x+2≥0.解得:x≥−2.3考点:式——二次根式——二次根式的基础——二次根式有意义的条件.3.已知化简√12−n的结果是正整数,则实数n的最大值为().A.12B.11C.8D.3答案:B.解析:当√12−n等于最小的正整数1时,n取最大值,则n=11.考点:式——二次根式.4.如果式子√x+3有意义,那么x的取值范围在数轴上表示出来,正确的是().答案:C.解析:如果式子√x+3有意义,则x+3≥0,即x≥-3,数轴表示为C图.考点:式——二次根式——二次根式的基础——二次根式有意义的条件.5.二次根式√3−x在实数范围内有意义,则x的取值范围是.答案:x≤3.解析:二次根式√3−x在实数范围内有意义,则需满足3-x≥0,即x≤3. 考点:式——二次根式——二次根式的基础——二次根式有意义的条件.6.下列等式成立的是().A.√32=±3B.√172−82=9C.(√−7)2=7D.√(−7)2=7答案:D.解析:√32=3,故A选项错误.√172−82=√225=15,故B选项错误.√−7无意义,故C选项错误.√(−7)2=7,故D选项正确.考点:式——二次根式——二次根式的基础——二次根式化简.7.若x<2,则化简√(x−2)2的结果是().A.2-xB.x-2C.x+2D.x-2√x+2答案:A.解析:∵x<2.∴x-2<0.∴√(x−2)2=|x−2|=2−x.考点:式——二次根式——二次根式的基础——二次根式化简.8.计算√(−2)2的结果是.答案:2.解析:√(−2)2=|−2|=2.考点:式——二次根式——二次根式的基础——二次根式化简.9.若a<1,化简√(a−1)2−1等于.答案:-a.解析:当a<1时,a-1<0.∴√(a−1)2−1=1-a-1=-a.考点:式——二次根式——二次根式的化简求值.10.已知x<1,那么化简√x2−2x+1的结果是().A.x-1B.1-xC.-x-1D.x+1 答案:B.解析:∵x<1.∴x-1<0.∴√x2−2x+1=√(x−1)2=|x−1|=1−x.考点:式——二次根式——二次根式的化简求值.11.结合数轴上的两点a、b,化简√a2−√(a−b)2的结果是.答案:b.解析:由数轴可知,b<0<a.∴a-b>0.∴√a2−√(a−b)2=a−a+b=b.考点:式——二次根式——二次根式的化简求值.12.下列二次根式中,是最简二次根式的是().A.√5abB.√4a2C.√8aD.√a2答案:A.解析:√5ab是最简二次根式,故选项A正确.√4a2=2|a|,不是最简二次根式,故选项B错误.√8a=2√2a,不是最简二次根式,故选项C错误.√a中含有分母,即不是最简二次根式,故选项D错误.2考点:式——二次根式——二次根式的基础——最简二次根式.13.下列各式中,最简二次根式是().A.√0.2B.√18C.√x2+1D.√x2答案:C.,不是最简二次根式,故选项A错误.解析:√0.2=√55√18=3√2,不是最简二次根式,故选项B错误.√x2=|x|,不是最简二次根式,故选项D错误.√x2+1是最简二次根式,故选项C正确.考点:式——二次根式——二次根式的基础——最简二次根式.14. 若m =√13,估计m 的值所在的范围是( ).A.0<m <1B.1<m <2C.2<m <3D.3<m <4 答案:D.解析:3=√9<√13<√16=4.所以3<m <4.考点:数——实数——估算无理数的大小.15. 已知a 、b 为两个连续的整数,且a <√28<b ,则a +b = . 答案:11.解析:∵52=25,62=36.∴a =5,b =6.∴a +b =11.考点:数——实数——估算无理数的大小.16. 已知:x 2−3x +1=0,求√x √x 的值.答案:√5.解析:∵x 2−3x +1=0. ∴x +1x =3.∴(√x √x )2=x +1x +2=5.∴√x √x =√5.考点:式——二次根式——二次根式的化简求值.17. 若实数a ,b 满足(a +√2)2+√b −4=0,则a 2b = .答案:12. 解析:(a +√2)2+√b −4=0.又(a +√2)2≥0,√b −4≥0.∴{a +√2=0√b −4=0. 即a =−√2,b =4.∴a 2b =12. 考点:数——有理数——非负数的性质:偶次方.式——二次根式——二次根式的基础——二次根式化简.18. 若实数x ,y 满足√x −2+(y +√2)2=0,则代数式y x 的值是 . 答案:2.解析:由题意得,x −2=0,y +√2=0.解得x =2,y =−√2.则y x =2.考点:数——有理数——非负数的性质:偶次方.式——二次根式——二次根式的基础——二次根式化简.19. 下列各式计算正确的是( ).A.√2+√3=√5B.4√3−3√3=1C.2√2×3√3=6√3D.√27÷√3=3 答案:D.解析:√2+√3无法计算,故A 错误.4√3−3√3=√3,故B 错误.2√2×3√3=6×3=18,故C 错误.√27÷√3=√273=√9=3,D 正确.考点:式——二次根式——二次根式的乘除法——二次根式的加减法.20. 下列计算正确的是( ).A.√a 2=aB.√a +√b =√a +bC.(√a)2=aD.√ab =√a ×√b 答案:C.解析:√a 2=±a ,所以A 错误.√a +√b 中a 和b 的值未知,故不能进行加减运算,所以B 错误. (√a)2=a ,所以C 正确.√ab =√|a |×√|b |,所以D 错误.考点:式——二次根式——二次根式的混合运算.21. 计算:13√27−√6×√8+√12.答案:−√3.解析:原式=13×3√3−4√3+2√3=−√3.考点:式——二次根式——二次根式的混合运算.22. 计算:(√2−√3)2−(√2+√3)(√2−√3). 答案:6−2√6.解析:原式=2−2√6+3−2+3=6−2√6. 考点:数——实数——实数的运算.23. 计算:√18−4√18−2(√2−1).答案:2.解析:原式=3√2−4×√24−2√2+2=3√2−√2−2√2+2=2.考点:式——二次根式——二次根式的加减法.24. 计算:(12)−2−(π−√7)0+|√3−2|+4×√32.答案:5+√3.解析:原式=4−1+2−√3+2√3=5+√3. 考点:数——实数——实数的运算.25. 计算:|2−√5|−√83+(−12)−2.答案:√5.解析:原式=(√5−2)−2+1(−12)2=√5−2−2+4=√5.考点:数——实数——实数的运算.26. 计算:(√3−√2)2−√3(√2−√3). 答案:8−3√6.解析:原式=3−2√6+2−(√6−3)=5−2√6−√6+3=8−3√6.考点:式——二次根式——二次根式的混合运算.27. 计算:√4−(π−3)0−(12)−1+|−3|.答案:2.解析:原式=2−1−2+3=2.考点:数——实数——实数的运算.28. 计算:(1−√3)0+|2−√3|−√12+√643.答案:7−3√3.解析:原式=1+2−√3−2√3+4=7−3√3.考点:数——实数——实数的运算.29.计算:(√2+1)×(√6−√3).答案:√3.解析:原式=√12−√6+√6−√3=√12−√3=2√3−√3=√3.考点:式——二次根式——二次根式的混合运算.30.计算:√27+√6×√8−6√13.答案:5√3.解析:原式=3√3+4√3−2√3=5√3.考点:式——二次根式——二次根式的加减法.31.计算:√9−√83+|−√2|−(√3−√2)0.答案:√2.解析:原式=3−2+√2−1=√2.考点:数——实数——实数的运算.32.计算:(π−3.14)0+|√3−2|−√48+(13)−2.答案:12−5√3.解析:原式=1+2−√3−4√3+9=12−5√3. 考点:数——实数——实数的运算.。
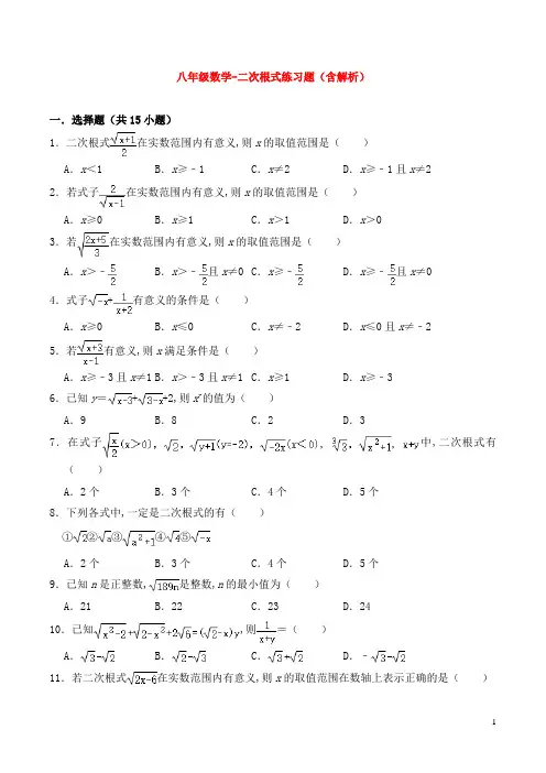
八年级数学-二次根式练习题(含解析)一.选择题(共15小题)1.二次根式在实数范围内有意义,则x的取值范围是()A.x<1 B.x≥﹣1 C.x≠2 D.x≥﹣1且x≠22.若式子在实数范围内有意义,则x的取值范围是()A.x≥0 B.x≥1 C.x>1 D.x>03.若在实数范围内有意义,则x的取值范围是()A.x>﹣B.x>﹣且x≠0 C.x≥﹣D.x≥﹣且x≠04.式子+有意义的条件是()A.x≥0 B.x≤0 C.x≠﹣2 D.x≤0且x≠﹣25.若有意义,则x满足条件是()A.x≥﹣3且x≠1 B.x>﹣3且x≠1 C.x≥1 D.x≥﹣36.已知y=++2,则x y的值为()A.9 B.8 C.2 D.37.在式子中,二次根式有()A.2个B.3个C.4个D.5个8.下列各式中,一定是二次根式的有()①②③④⑤A.2个B.3个C.4个D.5个9.已知n是正整数,是整数,n的最小值为()A.21 B.22 C.23 D.2410.已知,则=()A.B.C.D.﹣11.若二次根式在实数范围内有意义,则x的取值范围在数轴上表示正确的是()A.B.C.D.12.如果y=,则2x﹣y的平方根是()A.﹣7 B.1 C.7 D.±113.若是二次根式,则下列说法正确的是()A.x≥0 B.x≥0且y>0C.x、y同号D.x≥0,y>0或x≤0,y<014.若,则a的取值范围是()A.a>0 B.a≥1 C.0<a<1 D.0<a≤115.使下列式子有意义的实数x的取值都满足x≥1的式子的是()A.B.C.+D.二.填空题(共10小题)16.若实数a,b满足,则a﹣b的平方根是.17.当x时,在实数范围内有意义.18.若在实数范围内有意义,则x的取值范围是.19.若|2017﹣m|+=m,则m﹣20172=.20.使代数式有意义的整数x的和是.21.观察与思考:形如的根式叫做复合二次根式,把变成=叫复合二次根式的化简,请化简=.22.若代数式﹣(x﹣2)0+(x﹣3)﹣2有意义,则x的取值范围是.23.设x,y为实数,且,则点(x,y)在第象限.24.代数式﹣3﹣的最大值为,若有意义,则=.25.当a时,无意义;有意义的条件是.三.解答题(共15小题)26.已知+=b+8.(1)求a、b的值;(2)求a2﹣b2的平方根和a+2b的立方根.27.(1)若++y=16,求﹣的值(2)若a,b互为相反数,c,d互为倒数,m的绝对值为2,求+m﹣cd的值28.若y=++x3,求10x+2y的平方根.29.已知n=﹣6,求的值.30.若b=+﹣a+10.(1)求ab及a+b的值;(2)若a、b满足x,试求x的值.31.(1)已知y=+x+3,求的值.(2)比较大小:3与2.32.已知x,y为实数,y=,求xy的平方根.33.若x,y为实数,且y=++.求﹣的值.34.已知a,b分别为等腰三角形的两条边长,且a•b满足b=4++3,求此三角形的周长.35.若a,b是一等腰三角形的两边长,且满足等式,试求此等腰三角形的周长.36.(1)已知a+3与2a﹣15是一个正数的平方根,求a的值;(2)已知x,y为实数,且y=﹣+4,求的值.37.(1)计算:(﹣)﹣1﹣|﹣3|﹣20160+()2;(2)解方程:4(x﹣1)2﹣1=24;(3)已知y=++3,则xy的算术平方根.38.请认真阅读下列这道例题的解法,并完成后面两问的作答:例:已知y=+2018,求的值.解:由,解得:x=2017,∴y=2018.∴.请继续完成下列两个问题:(1)若x、y为实数,且y>+2,化简:;(2)若y•=y+2,求的值.39.若a,b为实数,且,求.40.已知a、b、c为一个等腰三角形的三条边长,并且a、b满足b=2,求此等腰三角形周长.参考答案与试题解析一.选择题(共15小题)1.【分析】直接利用二次根式的定义得出x的取值范围进而得出答案.【解答】解:∵二次根式在实数范围内有意义,∴x+1≥0,解得:x≥﹣1.故选:B.2.【分析】根据被开方数是非负数、除数不等于0,确定x的取值范围.【解答】解:由题意,可得x﹣1>0,所以x>1故选:C.3.【分析】根据二次根式被开方数是非负数列出不等式,解不等式得到答案.【解答】解:由题意得,2x+5≥0,解得,x≥﹣,故选:C.4.【分析】根据被开方数大于等于0,分母不等于0列式进行计算即可得解.【解答】解:根据题意得﹣x≥0且x+2≠0,解得x≤0且x≠﹣2.故选:D.5.【分析】直接利用二次根式有意义的条件分析得出答案.【解答】解:∵有意义,∴x满足条件是:x+3≥0,且x﹣1≠0,解得:x≥﹣3且x≠1.故选:A.6.【分析】直接利用二次根式有意义的条件得出x的值,进而求出y的值,即可得出答案, 【解答】解:∵y=++2,∴x﹣3=3﹣x=0,解得:x=3,则y=2,则x y=32=9.故选:A.7.【分析】根据二次根式的定义对各数分析判断即可得解.【解答】解:根据二次根式的定义,y=﹣2时,y+1=﹣2+1=﹣1,所以二次根式有(x>0),,(x<0),,共4个.故选:C.8.【分析】利用二次根式定义判断即可.【解答】解:①是二次根式;②,当a≥0时是二次根式;③是二次根式;④是二次根式;⑤,当x≤0时是二次根式,故选:B.9.【分析】如果一个根式是整数,则被开方数是完全平方数,首先把化简,然后求n的最小值.【解答】解:∵189=32×21,∴=3,∴要使是整数,n的最小正整数为21.故选:A.10.【分析】根据二次根式有意义的条件求出x,根据题意求出y,分母有理化化简即可.【解答】解:由题意得,x2﹣2≥0,2﹣x2≥0,∴x2=2,解得,x=±,当x=时,无意义,当x=﹣时,2=2y,解得,y=,∴==+,故选:C.11.【分析】直接利用二次根式有意义的条件结合数轴得出答案.【解答】解:二次根式在实数范围内有意义,则2x﹣6≥0,解得:x≥3,则x的取值范围在数轴上表示为:.故选:A.12.【分析】直接利用二次根式有意义的条件分析得出答案.【解答】解:由题意可得:x2﹣4=0,x+2≠0,解得:x=2,故y=3,则2x﹣y=1,故2x﹣y的平方根是:±1.故选:D.13.【分析】二次根式中的被开方数必须是非负数.【解答】解:依题意有≥0且y≠0,即≥0且y≠0.所以x≥0,y>0或x≤0,y<0.故选:D.14.【分析】直接利用二次根式有意义的条件得出答案.【解答】解:∵,∴,解得:0<a≤1.故选:D.15.【分析】根据分式有意义的条件以及二次根式有意义的条件即可求出答案【解答】解:(A)由,可得:x≤0且x≠﹣1,故x≥1时,无意义,故不选A,(B)由x+1>0,可得:x>﹣1,此时有意义,不都满足x≥1,故不选B;(C)由可得:﹣1≤x≤1,故C不选;(D)解得:x>1,满足x≥1,故选D故选:D.二.填空题(共10小题)16.【分析】直接利用二次根式有意义的条件进而分析得出答案.【解答】解:∵和有意义,则a=5,故b=﹣4,则===3,∴a﹣b的平方根是:±3.故答案为:±3.17.【分析】根据二次根式有意义的条件、分式有意义的条件列出不等式,解不等式得到答案.【解答】解:由题意得,x+1≥0,|x|﹣2≠0,解得,x≥﹣1且x≠2,故答案为:≥﹣1且x≠2.18.【分析】根据被开方数大于等于0,分母不等于0列不等式求解即可.【解答】解:由题意得,﹣>0,解得x<﹣3.故答案为:x<﹣3.19.【分析】根据二次根式的性质求出m≥2018,再化简绝对值,根据平方运算,可得答案.【解答】解:∵|2017﹣m|+=m,∴m﹣2018≥0,m≥2018,由题意,得m﹣2017+=m.化简,得=2017,平方,得m﹣2018=20172,m﹣20172=2018.故答案为:201820.【分析】直接利用二次根式的性质得出不等式组求出答案.【解答】解:使代数式有意义,则,解得:﹣4<x≤,则整数x有:﹣3,﹣2,﹣1,0,故整数x的和是:﹣3﹣2﹣1=﹣6.故答案为:﹣6.21.【分析】直接利用完全平方公式将原式变形进而得出答案.【解答】解:==﹣.故答案为:﹣.22.【分析】直接利用二次根式有意义的条件以及零指数幂的性质和负指数幂的性质分别判断得出答案.【解答】解:∵代数式﹣(x﹣2)0+(x﹣3)﹣2有意义,∴x+1≥0,且x﹣1≠0,x﹣2≠0,x﹣3≠0,解得:x≥﹣1且x≠1,x≠2,x≠3.故答案为:x≥﹣1且x≠1,x≠2,x≠3.23.【分析】直接利用二次根式有意义的条件得出x的值,进而得出y的值,再利用点的坐标特点得出答案.【解答】解:由题意可得:,解得:x=5,故y=﹣4,则点(x,y)为(5,﹣4)在第四象限.故答案为:四.24.【分析】根据算术平方根具有非负性可得当=0时,代数式﹣3﹣有最大值,进而可得代数式﹣3﹣的最大值为﹣3;再根据二次根式被开方数为非负数可得x=0,进而可得答案.【解答】解:∵≥0,∴当=0时,代数式﹣3﹣有最大值,∴代数式﹣3﹣的最大值为﹣3;∵有意义,∴,解得:x=0,则=1,故答案为:﹣3;1.25.【分析】根据二次根式成立的条件:被开方数是非负数;无意义:被开方数小于0,列不等式可得结论.【解答】解:3a﹣2<0,a<,由有意义得:,解得,当a时,无意义;有意义的条件是:x≤2且x≠﹣8,故答案为:a,x≤2且x≠﹣8.三.解答题(共15小题)26.【分析】(1)关键二次根式有意义的条件即可求解;(2)将(1)中求得的值代入即可求解.【解答】解:(1)由题意得a﹣17≥0,且17﹣a≥0,得a﹣17=0,解得a=17,把a=17代入等式,得b+8=0,解得b=﹣8.答:a、b的值分别为17、﹣8.(2)由(1)得a=17,b=﹣8,±=±=±15,===1.答:a2﹣b2的平方根为±15,a+2b的立方根为1.27.【分析】(1)根据二次根式的被开方数是非负数;(2)根据相反数、倒数的定义以及绝对值得到:a+b=0,cd=1,m=±2,代入求值即可.【解答】解:(1)由题意,得解得x=8.所以y=16所以原式=﹣=2﹣4=﹣2.(2)∵a,b互为相反数,c,d互为倒数,m的绝对值为2,∴a+b=0,cd=1,m=±2,∴=+m﹣1=m﹣1.当m=2时,原式=1.当m=﹣2时,原式=﹣2﹣1=﹣3.综上所述,+m﹣cd的值是1或﹣3.28.【分析】根据二次根式有意义的条件可得x=2,进而可得y的值,然后计算出10x+2y的值,再求平方根.【解答】解:由题意得:,解得:x=2,则y=8,10x+2y=20+16=36,平方根为±6.29.【分析】直接利用二次根式的性质得出m,n的值,进而化简得出答案.【解答】解:∵与有意义,∴m=2019,则n=﹣6,故==45.30.【分析】(1)直接利用二次根式有意义的条件得出ab,a+b的值;(2)利用已知结合完全平方公式计算得出答案.【解答】解:(1)∵b=+﹣a+10,∴ab=10,b=﹣a+10,则a+b=10;(2)∵a、b满足x,∴x2=,∴x2===8,∴x=±2.31.【分析】(1)直接利用二次根式有意义的条件分析得出x,y的值,进而答案;(2)直接将二次根式变形进而比较即可.【解答】解:(1)∵y=+x+3,∴x=3,故y=6,∴==3;(2)∵3=,2=,∴>,即3>2.32.【分析】根据被开方数是非负数且分母不等于零,可得x,y的值,根据开平方,可得答案.【解答】解:由题意,得,,且x﹣2≠0解得x=﹣2,y=﹣xy=,xy的平方根是.33.【分析】根据二次根式的被开方数是非负数求得x的值,进而得到y的值,代入求值即可.【解答】解:依题意得:x=,则y=,所以==,==2,所以﹣=﹣=﹣=.34.【分析】根据题意求出a、b的值,根据三角形的三边关系确定三角形的边长,求出此三角形的周长.【解答】解:由题意得,3a﹣6≥0,2﹣a≥0,解得,a≥2,a≤2,则a=2,则b=4,∵2+2=4,∴2、2、4不能组成三角形,∴此三角形的周长为2+4+4=10.35.【分析】根据被开方数大于等于0列式求出a,再求出b,然后分a是腰长与底边两种情况讨论.【解答】解:根据题意得,3a﹣6≥0且2﹣a≥0,解得a≥2且a≤2,所以a=2,b=4,①a=2是腰长时,三角形的三边分别为2、2、4,∵2+2=4,∴不能组成三角形,②a=2是底边时,三角形的三边分别为2、4、4,能组成三角形,周长=2+4+4=10,所以此等腰三角形的周长为10.36.【分析】(1)直接利用平方根的定义分析得出答案;(2)利用二次根式有意义的条件分析得出答案.【解答】解:(1)根据平方根的性质得,a+3+2a﹣15=0,解得:a=4,答:a的值为4;(2)满足二次根式与有意义,则,解得:x=9,∴y=4,∴=+=5.37.【分析】(1)直接利用负指数幂的性质以及零指数幂的性质和绝对值的性质分别化简得出答案;(2)利用直接开平方法解方程得出答案;(3)直接利用二次根式的性质分析得出x,y的值进而得出答案.【解答】解:(1)(﹣)﹣1﹣|﹣3|﹣20160+()2=﹣4﹣3﹣1+2=﹣6;(2)∵4(x﹣1)2﹣1=24,∴(x﹣1)2=,∴x﹣1=±,解得:x1=,x2=﹣;(3)∵y=++3,∴,解得:x=4,∴y=3,则xy=12,故12的算术平方根为:2.38.【分析】根据题意给出的方法即可求出答案.【解答】解:(1)由,解得:x=3,∴y>2.∴;(2)由:,解得:x=1.y=﹣2.∴.39.【分析】根据被开方数是非负数且分母不等于零,可得答案.【解答】解:由题意,得a2﹣1=0,且a+1≠0,解得a=1,b=.﹣=﹣3.40.【分析】由二次根式有意义的条件可得,解不等式可得a的值,进而可得b的值,然后再分两种情况进行计算即可.【解答】解:由题意得:,解得:a=3,则b=5,若c=a=3,此时周长为11,若c=b=5,此时周长为13.。
初二数学二次根式试题答案及解析1.计算:(1)(2)【答案】(1)原式=﹣6;(2)原式=2x﹣x.【解析】(1)根据二次根式的乘法法则运算;(2)先把各二次根式化为最简二次根式,然后合并即可试题解析:(1)原式==﹣6;(2)原式=2+2x﹣x﹣2=2x﹣x.【考点】二次根式的混合运算2.下列式子中,是最简二次根式的是()A.B.C.D.【答案】B.【解析】A、=3,故A选项错误;B、是最简二次根式,故B选项正确;C、=2,不是最简二次根式,故C选项错误;D、=,不是最简二次根式,故D选项错误.故选B.【考点】最简二次根式.3.化简后的结果是()A.B.C.D.【答案】B.【解析】.故选B.【考点】二次根式的化简.4.有一个数值转换器,原理如下:当输入的x=64时,输出的y等于()A.2B.8C.D.【答案】D.【解析】由图表得,64的算术平方根是8,8的算术平方根是.故选D.【考点】算术平方根.5.计算:______.【答案】13【解析】6.在实数,,,,中,无理数有()A.1个B.2个C.3个D.4个【答案】A【解析】因为所以在实数,0,,,中,有理数有,0,,,只有是无理数.7.阅读下面问题:;.试求:(1)的值;(2)(为正整数)的值.(3)的值.【答案】(1)(2)(3)9【解析】解:(1)=.(2).(3)8.在3.14、、、、、0.2020020002这六个数中,无理数有()A.1个B.2个C.3个D.4个【答案】B.【解析】无理数即无限不循环小数,显然3.14、、0.2020020002这三个数是有限小数,不是无理数;而是无理数,所以也是,毫无疑问是无理数,的结果是一个无限循环小数,所以不是无理数,因此无理数有2个,即:故选B.【考点】无理数的定义.9.(1)已知:(x+5)2=16,求x;(2)计算:【答案】(1),;(2).【解析】本题考查了平方根、立方根的定义及性质和绝对值的性质.(1)根据平方根的定义,先得出:,再分别计算出的值;(2)先利用平方根、立方根的性质及绝对值的性质分别计算出每个式子的值,最后相加.试题解析:解:(1)∵∴∴,原式【考点】1、平方根的定义及性质;2、立方根的定义及性质;3、绝对值的性质.10.在数轴上与表示的点距离最近的整数点所表示的数是 .【答案】2【解析】本题主要考查了实数与数轴的对应关系,解题应看这个无理数的被开方数在哪两个能开得尽方的数的被开方数之间,比较无理数的被开方数和这两个能开得尽方的数的被开方数的距离,进而求解.先利用估算法找到与的点两边的两个最近整数点,再比较这两个点与的大小即可解决问题.因为,所以左右两边的整数点是1和2,又因为3与4的距离最近,所以与的点的距离最近的整数点所表示的数是2,故填2.【考点】实数与数轴.11.若(x-3)2+=0,则x-y= .【答案】5.【解析】根据非负数的性质列式求出x、y的值,然后代入代数式进行计算即可求解.解:根据题意得,x-3=0,y+2=0,解得x=3,y=-2,x-y=3-(-2)=3+2=5.故答案为:5.【考点】1.非负数的性质:2.算术平方根;3.偶次方.12.估算的值()A.在1到2之间B.在2到3之间C.在3到4之间D.在4到5之间【答案】C.【解析】因为5<<6,所以3<<4.故选C.【考点】估算无理数的大小.13.若x、y为正实数,且x+y=12那么的最小值为 .【答案】13【解析】若x、y为正实数,且x+y=12,那么y=12-x;因此=;设S=,则==;所以S【考点】最值点评:本题考查最值,解答本题的关键是掌握求代数式最值的方法,本题难度较大,计算量比较大14.观察各数:,,,.其中最小数与最大数的和为(结论化简);【答案】【解析】依题意:;;;,易知最大数为,最小数为。
八年级初二数学 二次根式复习题及解析一、选择题1.下列计算正确的是( )A .()222a b a b -=-B .()322x x 8x ÷=+C .1a a a a ÷⋅=D 4=-2. )A B C D3.已知x 1x 2,则x₁²+x₂²等于( )A .8B .9C .10D .114.下列计算正确的是( )A 3=±B 0-=C =D 5=- 5.下列各式中,正确的是( )A 2=±B =C 3=-D 2=6.下列计算正确的是( )A =B 3=C =D .21= 7.下列式子中,是二次根式的是( )A B C D .x8.已知:x ,y 1,求x 2﹣y 2的值( )A .1B .2CD .9.在函数中,自变量x 的取值范围是( ) A .x≥-2且x≠3 B .x≤2且x≠3C .x≠3D .x≤-210.已知44220,24,180x y x y >+=+=、.则xy=( ) A .8 B .9 C .10D .1111.1在3和4中x 的取值范围是1x ≥-;③3;④5=-;⑤1528->.其中正确的个数为( ) A .1个 B .2个 C .3个 D .4个12.如图直线a ,b 都与直线m 垂直,垂足分别为M 、N ,MN =1,等腰直角△ABC 的斜边,AB 在直线m 上,AB =2,且点B 位于点M 处,将等腰直角△ABC 沿直线m 向右平移,直到点A 与点N 重合为止,记点B 平移平移的距离为x ,等腰直角△ABC 的边位于直线a ,b 之间部分的长度和为y ,则y 关于x 的函数图象大致为( )A .B .C .D .二、填空题13.设四边形ABCD 是边长为1的正方形,以对角线AC 为边作第二个正方形ACEF ,再以对角线AE 为边作第二个正方形AEGH ,如此下去…….⑴记正方形ABCD 的边长为11a =,按上述方法所作的正方形的边长依次为234,,,,n a a a a ,请求出234,,a a a 的值;⑵根据以上规律写出n a 的表达式.14.若2x ﹣3x 2﹣x=_____.15.x y 53xy 153,则x+y=_______.16.已知实数m 、n 、p 满足等式33352m n m n m n p m n p -+--+----,则p =__________.17.3x -x 的取值范围是______. 18.25523y x x =--,则2xy 的值为__________.19.若实数a =,则代数式244a a -+的值为___.20.如果0xy >.三、解答题21.计算:(1(2))((222+-+.【答案】(1)【分析】(1)先化简二次根式,再合并同类二次根式即可;(2)根据平方差公式化简,再化简、合并同类二次根式即可.【详解】(1==(2))((222+-+=2223--+ =5-4-3+2=022.解:设x222x =++2334x =+,x 2=10∴x =10.0.【分析】根据题意给出的解法即可求出答案即可.【详解】设x两边平方得:x2=2+2+即x2=4+4+6,x2=14∴x=.0,∴x.【点睛】本题考查了二次根式的运算,解题的关键是正确理解题意给出的解法,本题属于中等题型.23.计算(2)2;(4)【答案】(1)2)9-;(3)1;(4)【分析】(1)根据二次根式的性质和绝对值的代数意义进行化简后合并即可;(2)根据完全平方公式进行计算即可;(3)根据二次根式的乘除法法则进行计算即可;(4)先进行乘法运算,再合并即可得到答案.【详解】解:==(2)2=22-=63-=9-=1;(4)===【点睛】此题主要考查了二次根式的混合运算,熟练掌握运算法则是解答此题的关键.24.计算(11)1)⨯; (2)【答案】(12+;(2).【解析】分析:先将二次根式化为最简,然后再进行二次根式的乘法运算.详解:(1)11+;=()31-2 ;(2)原式=(2,==3⨯==点睛:此题考查了二次根式的混合运算,熟练化简二次根式后,在加减的过程中,有同类二次根式的要合并;相乘的时候,被开方数简单的直接让被开方数相乘,再化简;较大的也可先化简,再相乘,灵活对待.25.观察下列一组等式,然后解答后面的问题1)1=,1=,1=,1=⋯⋯(1)观察以上规律,请写出第n 个等式: (n 为正整数).(2(3【答案】(1)1=;(2)9;(3【分析】(1)根据规律直接写出,(2)先找出规律,分母有理化,再化简计算.(3)先对两个式子变形,分子有理化,变为分子为1,再比大小.【详解】解:(1)根据题意得:第n个等式为1=;故答案为1=;(2)原式111019 ==-=;(3-==,<∴>.【点睛】本题是一道利用规律进行求解的题目,解题的关键是掌握平方差公式. 26.计算下列各式:(1;(2【答案】(12;(2)【分析】先根据二次根式的性质化简,再合并同类二次根式即可.【详解】(1)原式2=-2=;(2)原式==.【点睛】本题考查了二次根式的加减,熟练掌握性质是解答本题的关键(0)(0)a aaa a≥⎧==⎨-<⎩,)0,0a b=≥≥=(a≥0,b>0).27.(1|5-+;(2)已知实数a 、b 、c 满足|3|a +=,求2(b a +的值.【答案】(1)5;(2)4【分析】(1)先利用二次根式的乘法法则和绝对值的意义计算,再进行回头运算即可;(2)先根据二次根式有意义的条件确定b 的值,再根据非负数的和的意义确定a ,c 的值,然后再计算代数式的值即可.【详解】解:(15-+5)=+5=+5=(2)由题意可知:5050b b -≥⎧⎨-≥⎩, 解得5b =由此可化简原式得,30a +=30a ∴+=,20c -=3a ∴=-,2c =22((534b a ∴+=--=【点睛】可不是考查了二次根式的混合运算以及二次根式的化简求值,熟练掌握运算法则和运算顺序是解答此题的关键.28.计算(1(2)21)-【答案】(1)4;(2)3+【分析】(1)先把各根式化为最简二次根式,再去括号,合并同类项即可;(2)利用平方差公式和完全平方公式计算即可.【详解】解:(1)解:原式=4=+4=-(2)解:原式()22161=---63=-+3=+【点睛】本题考查了二次根式的混合运算,注意先化简,再进一步利用计算公式和计算方法计算.29.计算:(1)13⎛+-⨯ ⎝⎭(2))()2221+.【答案】(1)6-;(2)12-【分析】(1)原式化简后,利用二次根式乘法法则计算即可求出值;(2)原式利用平方差公式,以及完全平方公式计算即可求出值.【详解】解:(1)原式=1(23⨯⨯=3-⨯=⨯⎭=6-;(2)原式=3﹣4+12﹣=12﹣.【点睛】此题考查了二次根式的混合运算,以及平方差公式、完全平方公式,熟练掌握运算法则及公式是解本题的关键.30.先阅读下面的解题过程,然后再解答.a ,b ,使a b m +=,ab n =,即22m +==0)a b ==±>.这里7m =,12n =,由于437+=,4312⨯=,所以22+==,2===..【答案】见解析【分析】应先找到哪两个数的和为13,积为42.再判断是选择加法,还是减法.【详解】根据题意,可知13m =,42n =,由于7613+=,7642⨯=,所以2213+=,====【点睛】此题考查二次根式的性质与化简,解题关键在于求得13m =,42n =.【参考答案】***试卷处理标记,请不要删除一、选择题1.B解析:B【分析】根据完全平方公式,整式的除法,分式的乘除法,二次根式的性质和化简运算法则逐一计算作出判断.【详解】解: A .()222a b a 2ab b -=-+,选项错误;B .()3322x x 8x x 8x ÷=÷=,选项正确;C .111a a 1a a a ÷⋅=⋅=,选项错误; D44=-=,选项错误.故选:B .2.A解析:A【分析】根据二次根式的性质把每一项都化为最简二次根式,再根据同类二次根式的定义判断即可.【详解】解:A=B3C不是同类二次根式,不合题意;D3故选:A .【点睛】本题考查了同类二次根式的定义和二次根式的性质,属于基本题型,熟练掌握基本知识是解题关键.3.C解析:C【详解】12x x +==12321x x ==-=, 所以()2221212122x x x x x x +=+-=(22112210-⨯=-=,故选:C .【点睛】对于形如2212x x +的式子,改变其中两个字母的位置后,并不改变代数式的值,通常将具有这个特点的代数式称为轮换对称式,如1211+x x ,1221x x x x +,12x x -等,轮换对称式都可以用12x x +,12x x 来表示,所以求轮换对称式的值,一般是先将式子用12x x +,12x x 来表示,然后再整体代入计算.4.B解析:B【分析】直接利用二次根式的性质化简得出答案.【详解】3=,故此选项错误;=,正确;D. 5=,故此选项错误;故选:B【点睛】此题主要考查了二次根式的加减,正确掌握二次根式的性质是解题关键.5.B解析:B【分析】本题可利用二次根式的化简以及运算法则判断A、B、C选项;利用立方根性质判断D选项.【详解】A,故该选项错误;B==C3=,故该选项错误;D11223334=(2)2==,故该选项错误;故选:B.【点睛】本题考查二次根式以及立方根,二次根式计算时通常需要化为最简二次根式,然后按照运算法则求解即可,解题关键是细心.6.A解析:A【分析】分别进行二次根式的乘除法、加减法运算,然后选择正确答案.【详解】解:======,原式计算错误;D. 2220=-=,原式计算错误;故应选:A【点睛】本题考查了二次根式的乘除法和加减法,掌握运算法则是解答本题的关键.7.A解析:A【分析】a ≥0)的式子叫做二次根式,据此可得结论.【详解】解:A 是二次根式,符合题意;B 是三次根式,不合题意;C 、当x <0D 、x 属于整式,不合题意;故选:A .【点睛】此题考查二次根式的定义,关键是根据二次根式的定义理解被开方数是非负数.8.D解析:D【分析】先根据x 、y 的值计算x y +、x y -的值,再将所求式子利用平方差公式进行化简,然后代入求值即可.【详解】∵1,1x y ==,∴11112x y x y +==-=-=,则22()()2x y x y y x -=+-==故选:D .【点睛】本题考查了代数式的化简求值、二次根式的加减法与乘法,利用平方差公式对代数式进行化简是解题关键.9.A解析:A【分析】根据二次根式的性质和分式的意义,被开方数大于等于0,分母不等于0,列不等式组求解.【详解】解:根据题意,有2030x x +≥⎧⎨-≠⎩,解得:x ≥-2且x ≠3;故选:A .【点睛】当函数表达式是分式时,考虑分式的分母不能为0;当函数表达式是二次根式时,被开方数为非负数.10.D解析:D【分析】利用完全平方公式、平方差公式化简第二个等式即可.【详解】44180+=配方得22222180⎡⎤+-+⋅=⎣⎦ 222180⎡⎤⎡⎤+=⎣⎦⎣⎦222()180x y +-=22162(2)180xy x xy y +-+=22122()180xy x y ++=将2224x y +=代入得:12224180xy +⨯=计算得:11xy =故选:D.【点睛】本题考查了完全平方公式、平方差公式的综合应用,熟记公式是解题关键,这两个公式是常考点,需重点掌握. 11.A解析:A【分析】答.【详解】 解:①3104<<,415∴<<,故①错误;x 的取值范围是1x ≥-,故②正确;9=,9的平方根是3±,故③错误;④5=,故④错误;⑤∵515459288---=,()22459<,∴51528--<,即51528-<,故⑤错误;综上所述:正确的有②,共1个,故选:A.【点睛】本题考查了故算无理数的大小,解决本题的关键是掌握估算平方法比较无理数大小.12.D解析:D【解析】【分析】根据等腰直角△ABC被直线a和b所截的图形分为三种情况讨论:①当0≤x≤1时,y是BM+BD;②当1<x≤2时,y是CP+CQ+MN;当2<x≤3时,y=AN+AF,分别用x表示出这三种情况下y的函数式,然后对照选项进行选择.【详解】①当0≤x≤1时,如图1所示.此时BM=x,则DM=x,在Rt△BMD中,利用勾股定理得BD=2x,所以等腰直角△ABC的边位于直线a,b之间部分的长度和为y=BM+BD=(2+1)x,是一次函数,当x=1时,B点到达N点,y=2+1;②当1<x≤2时,如图2所示,△CPQ是直角三角形,此时y=CP+CQ+MN=2+1.即当1<x≤2时,y的值不变是2+1.③当2<x≤3时,如图3所示,此时△AFN是等腰直角三角形,AN=3﹣x,则AF=2(3﹣x),y=AN+AF=(﹣1﹣2)x+3+32,是一次函数,当x=3时,y=0.综上所述只有D答案符合要求.故选:D.【点睛】本题主要考查动点问题的函数图象,解题的方法是动中找静,在不同的情况下找到y与x 的函数式.二、填空题13.(1)a2=,a3=2,a4=2;(2)an=(n为正整数).【解析】(1)∵四边形ABCD是正方形,∴AB=BC=1,∠B=90°.∴在Rt△ABC中,AC===.同理:AE=2,EH=2,解析:(1)a22,a3=2,a4=2;(2)a n12n-n为正整数).【解析】(1)∵四边形ABCD是正方形,∴AB=BC=1,∠B=90°.∴在Rt△ABC中,AC22+22AB BC+2AE=2,EH=2,…,11即a22a3=2,a4=2(2)a n n12-n为正整数).14.【解析】【分析】根据完全平方公式以及整体的思想即可求出答案.【详解】解:∵2x﹣1= ,∴(2x﹣1)2=3∴4x2﹣4x+1=3∴4(x2﹣x)=2∴x2﹣x=【点解析:1 2【解析】【分析】根据完全平方公式以及整体的思想即可求出答案.【详解】解:∵2x﹣,∴(2x﹣1)2=3∴4x2﹣4x+1=3∴4(x2﹣x)=2∴x2﹣x=12故答案为1 2【点睛】本题考查二次根式的运算,解题的关键是熟练运用完全平方公式,本题属于基础题型.15.8+2【解析】根据配方法,由完全平方公式可知x+y==()2-2,然后把+=+,=-整体代入可得原式=(+)2-2(-)=5+3+2-2+2=8+2.故答案为:8+2.解析:【解析】根据配方法,由完全平方公式可知x+y=2222+=+-)2整体代入可得原式=2-2)故答案为:16.5【解析】试题解析:由题可知,∴,∴,∴,解方程组得,∴.故答案为:5.解析:5【解析】试题解析:由题可知3030m n m n -+≥⎧⎨--≥⎩, ∴3m n +=,0=, ∴35200m n p m n p +--=⎧⎨--=⎩①②, ①-②得2620m n +-=,31m n +=,解方程组331m n m n +=⎧⎨+=⎩得41m n =⎧⎨=-⎩, ∴4(1)5p m n =-=--=.故答案为:5.17.且【分析】根据分式的分母不能为0、二次根式的被开方数大于或等于0列出式子求解即可得.【详解】由题意得:,解得且,故答案为:且.【点睛】本题考查了分式和二次根式有意义的条件,熟练掌握分解析:3x ≤且2x ≠-【分析】根据分式的分母不能为0、二次根式的被开方数大于或等于0列出式子求解即可得.【详解】由题意得:2030x x +≠⎧⎨-≥⎩, 解得3x ≤且2x ≠-,故答案为:3x ≤且2x ≠-.本题考查了分式和二次根式有意义的条件,熟练掌握分式和二次根式的定义是解题关键.18.【解析】试题分析:根据二次根式的意义和等式的特点,可知2x-5=0,解得x=,y=-3,代入可得=-2××3=-15.解析:15-【解析】试题分析:根据二次根式的意义和等式的特点,可知2x-5=0,解得x=52,y=-3,代入可得2xy =-2×52×3=-15. 19.3【解析】∵ =,∴=(a-2)2==3,故答案为3.解析:3【解析】∵a =∴244a a -+=(a-2)2=()222+=3, 故答案为3.20.【分析】由,且,即知,,据此根据二次根式的性质化简可得.【详解】∵,且,即,∴,,∴,故答案为:. 【点睛】本题主要考查了二次根式的性质与化简,熟练掌握二次根式的性质是解题的关键.解析:-【分析】由0xy >,且20xy -≥,即•0y xy -≥知0x <,0y <,据此根据二次根式的性质化简【详解】∵0xy >,且20xy -≥,即•0y xy -≥,∴0x <,0y <,==-故答案为:-【点睛】本题主要考查了二次根式的性质与化简,熟练掌握二次根式的性质是解题的关键.三、解答题21.无22.无23.无24.无25.无26.无27.无28.无29.无30.无。
一、选择题1.如果0,0a b <<,且6a b -=)A .6B .6-C .6或6-D .无法确定2.下列运算结果正确的是( ) A9=- B3=C .(22= D 5=-3.若01x <<=( ). A .2xB .2x-C .2x -D .2x4.下列各式中,正确的是( )A .B .a 3 • a 2=a 6C .(b+2a) (2a -b) =b 2 -4a 2D .5m + 2m = 7m 25.化简) ABCD6.当4x =-的值为( )A .1 BC .2D .37.若a,b =,则a b 的值为( )A .12 B .14C .321+D8.下列各式计算正确的是() AB.C.D9.已知:,,则a 与b 的关系是( ) A .相等B .互为相反数C .互为倒数D .平方相等10.a 的值是( ) A .2B .-1C .3D .-1或3二、填空题11.==________. 12.设a ﹣b=2b ﹣c=2a 2+b 2+c 2﹣ab ﹣ac ﹣bc=_____.13.观察下列等式:第1个等式:a 11=,第2个等式:a 2=,第3个等式:a 3,第4个等式:a 42=, …按上述规律,回答以下问题: (1)请写出第n 个等式:a n =__________. (2)a 1+a 2+a 3+…+a n =_________14.+的形式(,,a b c 为正整数),则abc =______.15.下面是一个按某种规律排列的数阵:根据数阵排列的规律,第 5 行从左向右数第 3 个数是 ,第 n (n 3≥ 且 n 是整数)行从左向右数第 n 2- 个数是 (用含 n 的代数式表示).16.化简:17.若a 、b 都是有理数,且2222480a ab b a -+++=.18.如果0xy >. 19.x 的取值范围是_____.20. (a ≥0)的结果是_________.三、解答题21.先阅读材料,再回答问题:因为)111=1=;因为1=,所以=1== (1= ,= ; (2⋅⋅⋅+的值.【答案】(12)9 【分析】(1)仿照例子,由1+=的值;由1+=1的值;(2)根据(1)中的规律可将每个二次根式分母有理化,可转化为实数的加减法运算,再寻求规律可得答案. 【详解】解:(1)因为1-=;因为1=1(2⋅⋅⋅+1=+⋅⋅⋅1=1019=-=.【点睛】本题考查了分母有理化,分子分母都乘以分母这两个数的差进行分母有理化是解题关键.22.计算: 21)3)(3--【答案】. 【解析】 【分析】先运用完全平方公式、平方差公式进行化简,然后进行计算. 【详解】解:原式22]-322]-4【点睛】本题主要考查了二次根式的化简;特别是灵活运用全平方公式、平方差公式是解答本题的关键.23.先观察下列等式,再回答下列问题:111111112=+-=+;111112216=+-=+1111133112=+-=+(1) (2)请你按照上面各等式反映的规律,用含n 的等式表示(n 为正整数).【答案】(1)1120(2)()111n n ++(n 为正整数) 【解析】试题分析:(1)从三个式子中可以发现,第一个加数都是1,第二个加数是个分数,设分母为n ,第三个分数的分母就是n+1,结果是一个带分数,整数部分是1,分数部分的分子也是1,分母是前项分数的分母的积.所以由此可计算给的式子;(2)根据(1)找的规律写出表示这个规律的式子.试题解析:(1)=1+14−141+=1120,1120(2)1 n −1 n 1+=1+()1n n 1+ (n 为正整数).a =,也考查了二次根式的运算.此题是一道阅读题目,通过阅读找出题目隐含的条件.总结:找规律的题目,都要通过仔细观察找出和数之间的关系,并用关系式表示出来.24.观察下列各式:11111122=+-=11111236=+-=111113412=+-= 请你根据上面三个等式提供的信息,猜想:(1=_____________ (2)请你按照上面每个等式反映的规律,写出用n (n 为正整数)表示的等式:______________;(3【答案】(1)1120;(211(1)n n =++;(3)1156,过程见解析【分析】(1)仿照已知等式确定出所求即可; (2)归纳总结得到一般性规律,写出即可; (3)原式变形后,仿照上式得出结果即可. 【详解】解:(1111114520=+-=; 故答案为:1120;(2111111(1)n n n n =+-=+++;11(1)n n =++;(31156== 【点睛】此题是一个阅读题目,通过阅读找出题目隐含条件.总结:找规律的题,都要通过仔细观察找出和数之间的关系,并用关系式表示出来.25.在一个边长为(cm 的正方形的内部挖去一个长为()cm ,cm 的矩形,求剩余部分图形的面积.【答案】 【解析】试题分析:用大正方形的面积减去长方形的面积即可求出剩余部分的面积.试题解析:剩余部分的面积为:(2﹣()=()﹣(﹣)=(cm 2). 考点:二次根式的应用26.计算:0(3)|1|π-+.【答案】【分析】根据二次根式的意义和性质以及零次幂的定义可以得到解答. 【详解】解:原式11=+=【点睛】本题考查实数的运算,熟练掌握二次根式的运算和零次幂的意义是解题关键.27.(1|5-+;(2)已知实数a 、b 、c 满足|3|a +=,求2(b a +的值.【答案】(1)5;(2)4 【分析】(1)先利用二次根式的乘法法则和绝对值的意义计算,再进行回头运算即可; (2)先根据二次根式有意义的条件确定b 的值,再根据非负数的和的意义确定a ,c 的值,然后再计算代数式的值即可. 【详解】解:(15-+5)=+5=+5=(2)由题意可知:5050b b -≥⎧⎨-≥⎩, 解得5b =由此可化简原式得,30a +=30a ∴+=,20c -=3a ∴=-,2c =22((534b a ∴+=--=【点睛】可不是考查了二次根式的混合运算以及二次根式的化简求值,熟练掌握运算法则和运算顺序是解答此题的关键.28.已知长方形的长a =b =. (1)求长方形的周长;(2)求与长方形等面积的正方形的周长,并比较其与长方形周长的大小关系.【答案】(1)2)长方形的周长大. 【解析】试题分析:(1)代入周长计算公式解决问题;(2)求得长方形的面积,开方得出正方形的边长,进一步求得周长比较即可. 试题解析:(1)()11222223a b ⎛+=⨯=⨯⨯⨯=⨯= ⎝∴长方形的周长为 .(2)114.23=⨯⨯=正方形的面积也为4. 2.= 周长为:428.⨯=8.>∴长方形的周长大于正方形的周长.【参考答案】***试卷处理标记,请不要删除一、选择题 1.B【解析】=-a-(-b)=b-a=-6.故选B 2.C解析:C 【分析】根据二次根式的性质及除法法则逐一判断即可得答案. 【详解】9=,故该选项计算错误,不符合题意,=C.(22=,故该选项计算正确,符合题意,5=,故该选项计算错误,不符合题意, 故选:C . 【点睛】本题考查二次根式的性质及运算,理解二次根式的性质并熟练掌握二次根式除法法则是解题关键.3.D解析:D 【分析】根据二次根式的意义先化简各项,再进行分式的加减运算可得出解. 【详解】 解:∵0<x <1, ∴0<x <1<1x, ∴10x x +>,10x x-<.原式=11x x x x+-- =11x x x x ++- =2x . 故选D .点睛:本题考查了二次根式的性质和绝对值化简,也考查了分式的加减.4.A【分析】比较两个二次根式的大小可判别A ,根据同底数幂的乘法、平方差公式、合并同类项的运算法则分别计算可判断B 、C 、D 的正误. 【详解】A、=,= ∵1812>,∴>,故该选项正确; B 、3a •25a a =,故该选项错误;C 、()()22224b a a b a b +-=-,故该选项错误;D 、527m m m +=,故该选项错误; 故选:A . 【点睛】本题考查了二次根式大小的比较,同底数幂的乘法、平方差公式、合并同类项的运算,熟练掌握相关运算法则是解题的关键.5.C解析:C 【解析】根据二次根式有意义的条件可知﹣1x>0,求得x <0,然后根据二次根式的化简,可得x. 故选C .6.A解析:A 【分析】根据分式的运算法则以及二次根式的性质即可求出答案. 【详解】 解:原式2223232323x x x x112323x x将4x =代入得, 原式11423423221113133113133131131=.故选:A. 【点睛】本题考查分式的运算以及二次根式的性质,解题的关键是熟练运用分式的运算法则以及观察出分母可以开根号,本题属于较难题型.7.B解析:B【解析】 【分析】 将a可化简为关于b 的式子,从而得到a 和b 的关系,继而能得出a b 的值. 【详解】 a=b 44=.∴14a b =. 故选:B . 【点睛】本题考查二次根式的乘除法,有一定难度,关键是在分母有理化时要观察b 的形式.8.D解析:D 【解析】不是同类二次根式,因此不能计算,故不正确.根据同类二次根式,可知,故不正确; 根据二次根式的性质,可知,故不正确;3==,故正确. 故选D.9.C解析:C【解析】 因为1a b ⨯==,故选C. 10.C解析:C【分析】根据同类二次根式的性质即可求出答案.【详解】由题意可知:a 2-3=2a∴解得:a=3或a=-1当a=-1时,该二次根式无意义,故a=3故选C .【点睛】本题考查二次根式的概念,解题的关键是熟练正确理解最简二次根式以及同类二次根式的概念.二、填空题11.3【解析】设,则 可化为:,∴,两边同时平方得:,即:,∴,解得:,∴.故答案为:.点睛:本题的解题要点是:设原式中的,从而使原式结构变得简单,这样应用二次根式的相关运算法则化简变形解析:【解析】设24x a -====两边同时平方得:128a a +=++4=,∴3216a =,解得:12a =,===故答案为: 点睛:本题的解题要点是:设原式中的24x a -=,从而使原式结构变得简单,这样应用二次根式的相关运算法则化简变形即可求得a 的值,使问题得到解决.12.15【解析】根据题意,由a ﹣b=2+,b ﹣c=2﹣,两式相加得,得到a ﹣c=4,然后根据配方法,把式子各项变为:a2+b2+c2﹣ab ﹣bc ﹣ac=====15.故答案为:15.解析:15【解析】根据题意,由a ﹣b ﹣c=2,两式相加得,得到a ﹣c=4,然后根据配方法,把式子各项变为:a 2+b 2+c 2﹣ab ﹣bc ﹣ac=2222222222a b c ab ac bc ++﹣﹣﹣=2222222222a ab b b bc c a ac c +++++﹣﹣﹣=222()()()2a b b c a c -+-+-=15. 故答案为:15.13.【分析】(1)由题意,找出规律,即可得到答案;(2)由题意,通过拆项合并,然后进行计算,即可得到答案.【详解】解:∵第1个等式:a1=,第2个等式:a2=,第3个等式:=1-【分析】(1)由题意,找出规律,即可得到答案;(2)由题意,通过拆项合并,然后进行计算,即可得到答案.【详解】解:∵第1个等式:a 11=,第2个等式:a 2=,第3个等式:a3,第4个等式:a42=,……∴第n==(2)123(21)(32)(23)(1) na a a a n n+++=-+-+-+++-=121n+++=1-;1-.【点睛】本题考查了二次根式的加减混合运算,以及数字规律问题,解题的关键是掌握题目中的规律,从而进行解题14.【解析】【分析】根据题意,可得到=,利用平方关系把根号去掉,根据、、的系数相等的关系得到关于a,b,c的三元方程组,解方程组即可.【详解】∵=∴,即.解得.【点睛】本题考查了解析:【解析】【分析】a,b,c的三元方程组,解方程组即可.【详解】∴(22118=,即2222118235a b c =+++++. 2222352118,2120,2540,2144,a b c ab ac bc ⎧++=⎪=⎪∴⎨=⎪⎪=⎩ 解得15,4,18.a b c =⎧⎪=⎨⎪=⎩154181080abc ∴=⨯⨯=.【点睛】本题考查了二次根式的加减,解本题的关键是将等式平方去根号,利用等量关系中等式左、.15.;.【分析】根据被开方数是连续的自然数写出即可;根据每一行的最后一个数的被开方数是所在的行数乘比行数大1的数写出第(n-1)行的最后一个数,然后被开方数加上(n-2)即可求解.【详解】观察表【分析】根据被开方数是连续的自然数写出即可;根据每一行的最后一个数的被开方数是所在的行数乘比行数大1的数写出第(n-1)行的最后一个数,然后被开方数加上(n-2)即可求解.【详解】观察表格中的数据可得,第5行从左向右数第3=∵第(n-1,∴第n (n ≥3且n 是整数)行从左向右数第n-2个数是..【点睛】本题是对数字变化规律的考查,观察出被开方数是连续自然数并且每一行的最后一个数的被开方数是所在的行数乘比行数大1的数是解题的关键.16.【解析】根据二次根式的性质,化简为:-=-=-4;==.故答案为 ; .解析: 【解析】根据二次根式的性质,化简为:故答案为 ; 17.【分析】先将原等式两边同时乘2,然后将左侧配方,然后利用平方的非负性即可求出a 和b 的值,然后代入即可.【详解】解:∵∴∴∴∵∴解得:a=-4,b=-2∴=故答案为:.【点睛解析:【分析】先将原等式两边同时乘2,然后将左侧配方,然后利用平方的非负性即可求出a 和b 的值,然后代入即可.【详解】解:∵2222480a ab b a -+++=∴222448160a ab b a -+++=∴()()222448160a ab ba a -+++=+ ∴()()22240ab a +-+=∵()()2220,40a b a +-≥≥∴20,40a b a +-==解得:a=-4,b=-2=故答案为:【点睛】此题考查的是配方法、非负性的应用和化简二次根式,掌握完全平方公式、平方的非负性和二次根式的乘法公式是解决此题的关键.18.【分析】由,且,即知,,据此根据二次根式的性质化简可得.【详解】∵,且,即,∴,,∴,故答案为:.【点睛】本题主要考查了二次根式的性质与化简,熟练掌握二次根式的性质是解题的关键.解析:-【分析】由0xy >,且20xy -≥,即•0y xy -≥知0x <,0y <,据此根据二次根式的性质化简可得.【详解】∵0xy >,且20xy -≥,即•0y xy -≥,∴0x <,0y <,==-故答案为:-【点睛】本题主要考查了二次根式的性质与化简,熟练掌握二次根式的性质是解题的关键.19.x >4【分析】根据二次根式有意义的条件、分式有意义的条件列出不等式,解不等式得到答案.【详解】解:由题意得,x ﹣4>0,解得,x >4,故答案为:x>4.【点睛】本题主要考查的是二次根解析:x>4【分析】根据二次根式有意义的条件、分式有意义的条件列出不等式,解不等式得到答案.【详解】解:由题意得,x﹣4>0,解得,x>4,故答案为:x>4.【点睛】本题主要考查的是二次根式有意义的条件、分式有意义的条件,掌握二次根式的被开方数是非负数、分式分母不为0是解题的关键.20.4a【解析】【分析】根据二次根式乘法法则进行计算即可得.【详解】===4a,故答案为4a.【点睛】本题考查了二次根式的乘法,熟练掌握二次根式乘法法则是解题的关键.解析:4a【解析】【分析】根据二次根式乘法法则进行计算即可得.)0a≥===4a,故答案为4a.【点睛】本题考查了二次根式的乘法,熟练掌握二次根式乘法法则是解题的关键.三、解答题21.无22.无23.无24.无25.无26.无27.无28.无。
八年级初二数学提高题专题复习二次根式练习题及解析一、选择题1.已知21025x x -+=5﹣x ,则x 的取值范围是( ) A .为任意实数B .0≤x≤5C .x≥5D .x≤52.下列计算正确的是( ) A .916916+=+ B .2222-=C .()2236=D .1515533==3.若实数m 、n 满足等式402n m -+=-,且m 、n 恰好是等腰ABC 的两条边的边长,则ABC 的周长( ) A .12B .10C .8D .64.下列运算正确的是( ) A .32-=﹣6 B .31182-=-C .4=±2D .25×32=5105.设等式()()a x a a y a x a a y -+-=---在实数范围内成立,其中a 、x 、y 是两两不同的实数,则22223x xy y x xy y+--+的值是( ) A .3B .13C .2D .536.如图直线a ,b 都与直线m 垂直,垂足分别为M 、N ,MN =1,等腰直角△ABC 的斜边,AB 在直线m 上,AB =2,且点B 位于点M 处,将等腰直角△ABC 沿直线m 向右平移,直到点A 与点N 重合为止,记点B 平移平移的距离为x ,等腰直角△ABC 的边位于直线a ,b 之间部分的长度和为y ,则y 关于x 的函数图象大致为( )A .B .C .D .7.已知a 为实数,则代数式227122a a -+的最小值为( ) A .0B .3C .33D .98.下列计算不正确的是 ( ) A .35525-= B .236⨯=C .7742=D .363693+=+==9.下列二次根式中,与3是同类二次根式的是( ) A .18B .13C 24D 0.310.下列运算中正确的是( ) A .27?3767=B 442323333===C 3313939===D 155315151==11.如果实数x ,y 23x y xy y =-(),x y 在( ) A .第一象限 B .第二象限C .第一象限或坐标轴上D .第二象限或坐标轴上12.下列计算正确的是( ) A .234265= B 842C 2733=D 2(3)3-=-二、填空题13.设42 a,小数部分为 b.则1a b- = __________________________. 14.已知实数,x y 满足(22200820082008x x y y --=,则2232332007x y x y -+--的值为______.15.322+=___________.16.已知3,3-1,则x 2+xy +y 2=_____.17.===据上述各等式反映的规律,请写出第5个等式:___________________________.18.若a 、b 为实数,且b+4,则a+b =_____. 19.若a 、b 都是有理数,且2222480a ab b a -+++=. 20.已知2x =243x x --的值为_______.三、解答题21.若x ,y 为实数,且y12.求x y y x ++2-xy y x +-2的值.【分析】根据二次根式的性质,被开方数大于等于0可知:1﹣4x ≥0且4x ﹣1≥0,解得x =14,此时y =12.即可代入求解. 【详解】解:要使y 有意义,必须140410x x -≥⎧⎨-≤⎩,即1414x x ⎧≤⎪⎪⎨⎪≥⎪⎩∴ x =14.当x =14时,y =12.又∵x y y x ++2-x yy x +-2=-| ∵x =14,y =12,∴ x y <y x.∴+当x =14,y =12时,原式=.【点睛】(a ≥0)叫二次根式.性质:二次根式中的被开方数必须是非负数,否则二次根式无意义.22.我国南宋时期有个著名的数学家秦九韶提出了一个利用三角形的三边求三角形的面积的公式,若三角形三边为a b c 、、,则此三角形的面积为:1S =同样古希腊有个几何学家海伦也提出了一个三角形面积公式:2S =2a b cp ++=(1)在ABC 中,若4AB =,5BC =,6AC =,用其中一个公式求ABC 的面积.(2)请证明:12S S【答案】(12) 证明见解析 【分析】(1)将4AB =,5BC =,6AC =代入1S = (2)对1S 和2S 分别平方,再进行整理化简得出2212S S =,即可得出12S S .【详解】解:(1)将4AB =,5BC =,6AC =代入1S =得:S == (2)222222211[()]24a b a S c b +-=-=222222)1(22(4)a b c a b c ab ab +-+--+ =2222()2(21)4c a c a b b +⋅---⋅ =()(1()()16)c a b c a b a b c a b c +-++-++- 22()()()S p p a p b p c =---∵2a b cp ++=, ∴22()(2)(222)S a a b c a b c a b c a b c b c +++++++-+=--=2222a b c b c a a c b a b c+++-+-+-⋅⋅⋅ =1()()()()16a b c b c a a c b a b c +++-+-+- ∴2212S S =∵10S >,20S >, ∴12S S .【点睛】本题考查了二次根式的运算,解题的关键是理解题中给出的公式,灵活运用二次根式的运算性质进行运算.23.先阅读材料,再回答问题:因为)111=1=;因为1=,所以=1== (1= ,= ; (2⋅⋅⋅+的值.【答案】(12)9 【分析】(1)仿照例子,由1+=的值;由1+=1的值;(2)根据(1)中的规律可将每个二次根式分母有理化,可转化为实数的加减法运算,再寻求规律可得答案. 【详解】解:(1)因为1-=;因为1=1(2⋅⋅⋅+1=+⋅⋅⋅1001=-1019=-=. 【点睛】本题考查了分母有理化,分子分母都乘以分母这两个数的差进行分母有理化是解题关键.24.已知m ,n 满足m 4mn 2m 4n 4n=3+--+,求m 2n 2m 2n 2018+-++的值.【答案】12015【解析】 【分析】由42m 443m mn n n +--+=得出(m +2n )2﹣2(m +2n )﹣3=0,将m 2n +看做整体可得2m n +=-1(舍)或2m n +=3,代入计算即可.【详解】解:∵42m 44m mn n n +--+=3,∴(m )2+4m?2n ()+(2n )2﹣2(m +2n )﹣3=0, 即(m +2n )2﹣2(m +2n )﹣3=0, 则(m +2n +1)(m +2n ﹣3)=0, ∴m +2n =﹣1(舍)或m +2n =3,∴原式=3-23+2012=12015.【点睛】本题主要考查二次根式的混合运算,解题的关键是熟练掌握完全平方公式的运用及二次根式性质.25.先化简,再求值:a+212a a -+,其中a =1007. 如图是小亮和小芳的解答过程.(1) 的解法是错误的;(2)错误的原因在于未能正确地运用二次根式的性质: ; (3)先化简,再求值:269a a -+a =﹣2018. 【答案】(1)小亮(22a (a <0)(3)2013. 【解析】试题分析:(1,判断出小亮的计算是错误的;(2的应用错误;(3)先根据配方法把被开方数配成完全平方,然后根据正确的性质化简,再代入计算即可.试题解析:(1)小亮(2(a<0)(3)原式=a+2(3-a)=6-a=6-(-2007)=2013.+26.计算:(1)+-(2(33【答案】(1)2) -10【分析】(1)原式二次根式的乘除法法则进行计算即可得到答案;(1)原式第一项运用二次根式的性质进行化简,第二项运用平方差公式进行化简即可.【详解】+解:(1)===+-(2(33=5+9-24=14-24=-10.【点睛】此题主要考查了二次根式的化简,熟练掌握二次根式的性质是解答此题的关键.27.【分析】先化为最简二次根式,再将被开方数相同的二次根式进行合并.【详解】.【点睛】本题考查了二次根式的加减运算,在进行此类运算时,先把二次根式化为最简二次根式的形式后再运算.28.计算:(1)11(233÷【答案】(12+;(2)【分析】(1)根据二次根式的加减法法则和乘除法法则进行计算,注意运算顺序与实数的混合运算顺序相同;(2)根据二次根式的加减法法则和乘除法法则进行计算,注意运算顺序与实数的混合运算顺序相同.【详解】解:)1131-=233÷3==【点睛】本题考查了二次根式的混合运算,二次根式的混合运算顺序与实数的混合运算顺序一样,先乘方,再乘除,最后加减,有括号时要先算括号里的或先去括号.29.先化简,再求值:2222212⎛⎫----÷⎪-+⎝⎭x y x yxx x xy y,其中x y==.【答案】原式x yx-=-,把x y ==代入得,原式1=-. 【详解】试题分析:先将括号里面进行通分,再将能分解因式的分解因式,约分化简即可. 试题解析:2222212⎛⎫----÷ ⎪-+⎝⎭x y x y x x x xy y ()()()222=x y x y x x xx x x y x y -⎛⎫---⋅ ⎪+-⎝⎭=y x x y x x y ---⋅+ x yx-=-把x y ==代入得:原式1==-+考点:分式的化简求值.30.先化简,再求值:24224x x x x x x ⎛⎫÷- ⎪---⎝⎭,其中2x =. 【答案】22x x +-,1 【分析】先把分式化简,然后将x 、y 的值代入化简后的式子求值即可. 【详解】 原式(2)(2)22(2)2x x x x x x x x +-+=⋅=---,当2x =时,原式1==.【点睛】本题考查了分式的化简求值这一知识点,把分式化到最简是解题的关键.【参考答案】***试卷处理标记,请不要删除一、选择题1.D 解析:D 【分析】根据二次根式的性质得出5-x≥0,求出即可. 【详解】|5|5x x ==-=-, ∴5-x≥0, 解得:x≤5, 故选D . 【点睛】本题考查了二次根式的性质的应用,注意:当a≥0,当a≤0.2.D解析:D 【解析】5==,=,(24312=⨯=,选项D 正确.3.B解析:B 【分析】先根据绝对值的非负性、二次根式的非负性求出m 、n 的值,再根据三角形的三边关系、等腰三角形的定义求出第三边长,然后根据三角形的周长公式即可得. 【详解】由题意得:20,40m n -=-=, 解得2,4m n ==,设等腰ABC 的第三边长为a ,,m n 恰好是等腰ABC 的两条边的边长, n m a n m ∴-<<+,即26a <<,又ABC 是等腰三角形, 4a n ∴==,则ABC 的周长为24410++=, 故选:B . 【点睛】本题考查了绝对值的非负性、二次根式的非负性、三角形的三边关系、等腰三角形的定义等知识点,根据三角形的三边关系和等腰三角形的定义求出第三边长是解题关键.4.B解析:B分别根据负整数指数幂的运算、立方根和算术平方根的定义及二次根式的乘法法则逐一计算可得.【详解】A 、3311228-==,此选项计算错误; B12=-,此选项计算正确; C2=,此选项计算错误;D 、,此选项计算错误;故选:B .【点睛】本题考查了负整数指数幂、立方根和算术平方根及二次根式的乘法,熟练掌握相关的运算法则是解题的关键.5.B解析:B【分析】根据根号下的数要是非负数,得到a (x-a )≥0,a (y-a )≥0,x-a≥0,a-y≥0,推出a≥0,a≤0,得到a=0,代入即可求出y=-x ,把y=-x 代入原式即可求出答案.【详解】由于根号下的数要是非负数,∴a (x-a )≥0,a (y-a )≥0,x-a≥0,a-y≥0,a (x-a )≥0和x-a≥0可以得到a≥0,a (y-a )≥0和a-y≥0可以得到a≤0,所以a 只能等于0,代入等式得,所以有x=-y ,即:y=-x ,由于x ,y ,a 是两两不同的实数,∴x >0,y <0.将x=-y 代入原式得:原式=()()()()2222313x x x x x x x x +---=--+-. 故选B .【点睛】本题主要考查对二次根式的化简,算术平方根的非负性,分式的加减、乘除等知识点的理解和掌握,根据算术平方根的非负性求出a 、x 、y 的值和代入求分式的值是解此题的关键.解析:D【解析】【分析】根据等腰直角△ABC被直线a和b所截的图形分为三种情况讨论:①当0≤x≤1时,y是BM+BD;②当1<x≤2时,y是CP+CQ+MN;当2<x≤3时,y=AN+AF,分别用x表示出这三种情况下y的函数式,然后对照选项进行选择.【详解】①当0≤x≤1时,如图1所示.此时BM=x,则DM=x,在Rt△BMD中,利用勾股定理得BD=2x,所以等腰直角△ABC的边位于直线a,b之间部分的长度和为y=BM+BD=(2+1)x,是一次函数,当x=1时,B点到达N点,y=2+1;②当1<x≤2时,如图2所示,△CPQ是直角三角形,此时y=CP+CQ+MN=2+1.即当1<x≤2时,y的值不变是2+1.③当2<x≤3时,如图3所示,此时△AFN是等腰直角三角形,AN=3﹣x,则AF2(3﹣x),y=AN+AF=(﹣1﹣2)x2,是一次函数,当x=3时,y=0.综上所述只有D 答案符合要求.故选:D .【点睛】本题主要考查动点问题的函数图象,解题的方法是动中找静,在不同的情况下找到y 与x 的函数式.7.B解析:B【解析】 227122a a -+=22(69)9a a -++22(3)9a -+,可知当(a ﹣3)2=0,即a=3227122a a -+9故选B .8.D解析:D【解析】根据二次根式的加减法,合并同类二次根式,可知35525=故正确; 236=根据二次根式的性质和化简,774=,故正确; 根据二次根式的加减,36不是同类二次根式,故不正确.故选D.9.B解析:B【详解】A 18323不是同类二次根式,故此选项错误;B 1333C 24=63不是同类二次根式,故此选项错误;D 0.3310303不是同类二次根式,故此选项错误;故选B.10.B解析:B【分析】根据二次根式的乘除法则求出每个式子的值,再判断即可.【详解】=⨯==42,故本选项不符合题意;解: A. 67===,故本选项,符合题意;===,故本选项不符合题意;D. ==3,故本选项不符合题意;故选B.【点睛】本题考查二次根式的性质和二次根式的乘除法则,能灵活运用二次根式的乘除法则进行计算是解题关键.11.D解析:D【分析】先判断出点的横纵坐标的符号,进而判断点所在的象限或坐标轴.【详解】=-∴x、y异号,且y>0,∴x<0,或者x、y中有一个为0或均为0.∴那么点(),x y在第二象限或坐标轴上.故选:D.【点睛】根据二次根式的意义,确定被开方数的取值范围,进而确定a、b的取值范围,从而确定点的坐标位置.12.C解析:C【分析】根据合并二次根式的法则、二次根式的性质、二次根式的除法法则即可判定.【详解】A、A错误;B=B错误;C3=,故选项C正确;D3=,故选项D错误;故选:C.【点睛】本题考查了二次根式的混合运算,熟练掌握二次根式的运算法则是解题的关键.二、填空题13.【分析】根据实数的估算求出a,b,再代入即可求解.【详解】∵1<<2,∴-2<-<-1,∴2<<3∴整数部分a=2,小数部分为-2=2-,∴==故填:.【点睛】此题主要考查无理解析:12-【分析】根据实数的估算求出a,b,再代入1ab-即可求解.【详解】∵1<2,∴-2<<-1,∴2<43∴整数部分a=2,小数部分为4,∴1ab -=2222=-=1故填:12-. 【点睛】此题主要考查无理数的估算,分母有理化等,解题的关键熟知实数的性质.14.1【分析】设a=,b=,得出x ,y 及a ,b 的关系,再代入代数式求值.【详解】解:设a=,b=,则x2−a2=y2−b2=2008,∴(x+a)(x−a)=(y+b)(y−b)=2008……解析:1【分析】设x ,y 及a ,b 的关系,再代入代数式求值. 【详解】解:设x 2−a 2=y 2−b 2=2008, ∴(x+a)(x−a)=(y+b)(y−b)=2008……①∵(x−a)(y−b)=2008……②∴由①②得:x+a=y−b ,x−a=y+b∴x=y ,a+b=0,∴, ∴x 2=y 2=2008,∴3x 2﹣2y 2+3x ﹣3y ﹣2007=3×2008−2×2008+3(x−y)−2007=2008+3×0−2007=1.故答案为1.【点睛】本题主要考查了二次根式的化简求值,解题的关键是求出x ,y 及a ,b 的关系.15.+1【分析】先将用完全平方式表示,再根据进行化简即可.【详解】因为,所以,故答案为:.【点睛】本题主要考查利用完全平方公式对无理式进行因式分解,二次根式的性质,解决本题的关键是要将二+1【分析】先将3+,()()()0000a a a a a a ⎧>⎪===⎨⎪-<⎩进行化简即可.【详解】因为(2231211+=+=+=+,11===故答案为:1.【点睛】本题主要考查利用完全平方公式对无理式进行因式分解,二次根式的性质,解决本题的关键是要将二次根式利用完全平方公式分解. 16.10【解析】根据完全平方式的特点,可得x2+xy+y2=(x+y )2﹣xy=(2)2﹣(+1)(﹣1)=12﹣2=10.故答案为10.解析:10【解析】根据完全平方式的特点,可得x 2+xy+y 2=(x+y )2﹣xy=(2﹣1)=12﹣2=10.故答案为10.17.【解析】上述各式反映的规律是(n ⩾1的整数),得到第5个等式为: (n ⩾1的整数).故答案是: (n ⩾1的整数).点睛:这是一道等式规律探寻题,此类题的一般推倒方法为:第一步.标序号;=【解析】上述各式反映的规律是=n ⩾1的整数),得到第5==n ⩾1的整数).=n ⩾1的整数). 点睛:这是一道等式规律探寻题,此类题的一般推倒方法为:第一步.标序号;第二步,找规律,分别比较等式中各部分与序号之间的关系,把其蕴含的规律用含序数的代数式表示出来;第三步,根据找出的规律得出第n 个等式.18.5或3【分析】根据二次根式的性质和分式的意义,被开方数大于或等于0,分母不等于0,可以求出a 的值,b 的值,根据有理数的加法,可得答案.【详解】由被开方数是非负数,得,解得a =1,或a =﹣解析:5或3【分析】根据二次根式的性质和分式的意义,被开方数大于或等于0,分母不等于0,可以求出a 的值,b 的值,根据有理数的加法,可得答案.【详解】由被开方数是非负数,得221010a a ⎧-≥⎨-≥⎩, 解得a =1,或a =﹣1,b =4,当a =1时,a +b =1+4=5,当a =﹣1时,a +b =﹣1+4=3,故答案为5或3.【点睛】本题考查了函数表达式有意义的条件,当函数表达式是整式时,自变量可取全体实数;当函数表达式是分式时,考虑分式的分母不能为0;当函数表达式是二次根式时,被开方数非负.19.【分析】先将原等式两边同时乘2,然后将左侧配方,然后利用平方的非负性即可求出a 和b 的值,然后代入即可.【详解】解:∵∴∴∴∵∴解得:a=-4,b=-2∴=故答案为:.【点睛解析:【分析】先将原等式两边同时乘2,然后将左侧配方,然后利用平方的非负性即可求出a 和b 的值,然后代入即可.【详解】解:∵2222480a ab b a -+++=∴222448160a ab b a -+++=∴()()222448160a ab ba a -+++=+ ∴()()22240ab a +-+=∵()()2220,40a b a +-≥≥∴20,40a b a +-==解得:a=-4,b=-2=故答案为:【点睛】此题考查的是配方法、非负性的应用和化简二次根式,掌握完全平方公式、平方的非负性和二次根式的乘法公式是解决此题的关键.20.-4【分析】把代入计算即可求解.【详解】解:当时,=-4故答案为:-4【点睛】本题考查了求代数式的值,二次根式混合运算,本题直接代入求值即可,能正确进行二次根式的混合运算是解题解析:-4【分析】把2x =243x x --计算即可求解.【详解】解:当2x =243x x --((22423=---4383=--+=-4故答案为:-4【点睛】本题考查了求代数式的值,二次根式混合运算,本题直接代入求值即可,能正确进行二次根式的混合运算是解题关键.三、解答题21.无22.无23.无24.无25.无26.无27.无28.无29.无30.无。
一、选择题1.下列计算正确的是( )A 2=±B 3=-C .(25=D .(23=-2.下列计算正确的是( )A =B =C =D =3.下列二次根式是最简二次根式的是( )A B C D4.)5=( )A .5+B .5+C .5+D .5.估计( ( ) A .4和5之间 B .5和6之间C .6和7之间D .7和8之间 6.下列运算正确的是( )A .32-=﹣6B 12-C =±2D .=7.1在3和4中x 的取值范围是1x ≥-;③3;④5=-58>.其中正确的个数为( ) A .1个 B .2个 C .3个 D .4个8.若化简的结果为2x ﹣5,则x 的取值范围是( )A . x 为任意实数B .1≤x ≤4C .x ≥1D . x ≤4 9.以下运算错误的是( )A =B .2= CD 2=a >0)10.2的结果是( )A .±3B .﹣3C .3D .9二、填空题11.若mm 3﹣m 2﹣2017m +2015=_____.12.==________.13.如果表示a 、b 的实数的点在数轴上的位置如图所示,那么化简|a ﹣b |+2()a b +的结果是_____.14.120654010144152118+++235a b c +的形式(,,a b c 为正整数),则abc =______.15.对于任意实数a ,b ,定义一种运算“◇”如下:a ◇b =a(a -b)+b(a +b),如:3◇2=3×(3-2)+2×(3+2)=1332=_____. 16.若0xy >,则二次根式2y x -________. 17.已知x ,y 为实数,y 22991x x -+-+求5x +6y 的值________. 18.如果332y x x --,那么y x =_______________________.19.函数y 4x -中,自变量x 的取值范围是____________. 20.观察分析下列数据:0,36,-3,231532的规律得到第10个数据应是__________. 三、解答题21.先观察下列等式,再回答问题:2211+2+()1 =1+1=2; 2212+2+()212=2 12; 2213+2+()3=3+13=313;… (1)根据上面三个等式提供的信息,请猜想第四个等式;(2)请按照上面各等式规律,试写出用 n (n 为正整数)表示的等式,并用所学知识证明.【答案】(1221424++=()144+=144;(22212n n ++=()211n n n n ++=,证明见解析.【分析】(1)根据“第一个等式内数字为1,第二个等式内数字为2,第三个等式内数字为3”,221424()++=414+=414;(2=n 211n n n ++=”,再利用222112n n n n++=+()()开方即可证出结论成立. 【详解】(1=1+1=2=212+=212;=313+=313;里面的数字分别为1、2、3,= 144+= 144.(2=1+1=2,=212+=212=313+=313=414+=414= 211n n n n ++=.证明:等式左边==n 211n n n ++==右边.=n 211n n n ++=成立. 【点睛】本题考查了二次根式的性质与化简以及规律型中数的变化类,解题的关键是:(1)猜测出第四个等式中变化的数字为4;(2)找出变化规律=n 211n n n ++=”.解决该题型题目时,根据数值的变化找出变化规律是关键.22.解:设x222x =++2334x =+,x 2=10∴x =10.0.【分析】根据题意给出的解法即可求出答案即可.【详解】设x两边平方得:x2=2+2+即x2=4+4+6,x2=14∴x=.0,∴x.【点睛】本题考查了二次根式的运算,解题的关键是正确理解题意给出的解法,本题属于中等题型.23.已知x=2,求代数式(7+x2+(2)x【答案】2【解析】试题分析:先求出x2,然后代入代数式,根据乘法公式和二次根式的性质,进行计算即可.试题解析:x2=(2)2=7﹣则原式=(7﹣+(2=49﹣24.计算:(1)0 1 2⎛⎫ ⎪⎝⎭(2)(4【答案】(1)-5;(2)9【分析】(1)第一项利用算术平方根的定义计算,后一项利用零指数幂法则计算,即可得到结果;(2)利用平方差公式计算即可.【详解】(1)012⎛⎫ ⎪⎝⎭41=--,5=-;(2)(4 167=-9=.【点睛】本题考查了二次根式的混合运算以及零指数幂,熟练掌握平方差公式是解题的关键.25.先化简,再求值:2222212⎛⎫----÷ ⎪-+⎝⎭x y x y x x x xy y,其中x y ==. 【答案】原式x y x-=-,把x y ==代入得,原式1=-. 【详解】试题分析:先将括号里面进行通分,再将能分解因式的分解因式,约分化简即可. 试题解析: 2222212⎛⎫----÷ ⎪-+⎝⎭x y x y x x x xy y ()()()222=x y x y x x x x x x y x y -⎛⎫---⋅ ⎪+-⎝⎭ =y x x y x x y---⋅+ x y x-=-把x y ==代入得:原式1==-+考点:分式的化简求值.26.(1)计算:21)-(2)已知a ,b 是正数,4a b +=,8ab =【答案】(1)5-2【分析】(1)根据完全平方公式、平方差公式可以解答本题;(2)先将所求式子化简,然后将a+b=4,ab=8代入化简后的式子即可解答本题.【详解】解:(1)原式21)=-(31)(23)=---5=-;(2)原式=== a ,b 为正数,∴原式=把4a b +=,8ab =代入,则原式== 【点睛】本题考查二次根式的化简求值,完全平方公式、平方差公式,解答本题的关键是明确二次根式化简求值的方法.27.已知x²+2xy+y²的值.【答案】16【解析】分析:(1)根据已知条件先计算出x+y=4,再利用完全平方公式得到x²+2xy+y²=(x+y )²,然后利用整体代入的方法计算.本题解析:∵x² +2xy+y² =(x+y)²,∴当∴x²+2xy+y²=(x+y)²=(2−=16.28.已知长方形的长a =b =. (1)求长方形的周长;(2)求与长方形等面积的正方形的周长,并比较其与长方形周长的大小关系.【答案】(1)2)长方形的周长大.【解析】试题分析:(1)代入周长计算公式解决问题;(2)求得长方形的面积,开方得出正方形的边长,进一步求得周长比较即可. 试题解析:(1)()11222223a b ⎛+=⨯=⨯⨯⨯=⨯= ⎝∴长方形的周长为 .(2)11 4.23=⨯⨯=正方形的面积也为4. 2.=周长为:428.⨯=8.>∴长方形的周长大于正方形的周长.【参考答案】***试卷处理标记,请不要删除一、选择题1.C解析:C【分析】直接利用二次根式的性质分别求解,即可得出答案.【详解】解:A ,故A 选项错误;B ,故B 选项错误;C 选项:2=5,故C 选项正确;D 选项:2=3,故D 选项错误,故选:C .【点睛】此题主要考查了二次根式的性质,正确求解二次根式是解题的关键.2.B解析:B【分析】根据二次根式加法法则,二次根式的乘法法则计算后判断即可得到答案.【详解】=3= ,∴A、C、D均错误,B正确,故选:B.【点睛】此题考查二次根式的加法法则,二次根式的乘法法则,熟记计算法则是正确解题的关键. 3.B解析:B【分析】直接利用最简二次根式的定义分析得出答案.【详解】解:ABC0.1,故此选项错误;D故选:A.【点睛】此题主要考查了最简二次根式的定义,正确把握定义是解题关键.4.B解析:B【分析】根据乘法分配律可以解答本题.【详解】)5=5+故选:B.【点睛】本题考查二次根式的混合运算,解答本题的关键是明确二次根式混合运算的计算方法.5.A解析:A【分析】根据二次根式的混合运算法则进行计算,再估算无理数的大小.【详解】(=,∵4<6<9,∵<3,∴<5,故选:A .【点睛】此题考查了二次根式的混合运算,无理数的估算,正确掌握二次根式的运算法则、会进行无理数的大小估算是解题的关键.6.B解析:B【分析】分别根据负整数指数幂的运算、立方根和算术平方根的定义及二次根式的乘法法则逐一计算可得.【详解】A 、3311228-==,此选项计算错误;B 12=-,此选项计算正确;C 2=,此选项计算错误;D 、,此选项计算错误;故选:B .【点睛】本题考查了负整数指数幂、立方根和算术平方根及二次根式的乘法,熟练掌握相关的运算法则是解题的关键.7.A解析:A【分析】答.【详解】 解:①3104<<,415∴<<,故①错误;x 的取值范围是1x ≥-,故②正确;9=,9的平方根是3±,故③错误;④5=,故④错误;⑤∵159288-=,(229<,508-<58<,故⑤错误; 综上所述:正确的有②,共1个,故选:A .【点睛】本题考查了故算无理数的大小,解决本题的关键是掌握估算平方法比较无理数大小.8.B解析:B【分析】根据完全平方公式先把多项式化简为|1-x|-|x-4|,然后根据x 的取值范围分别讨论,求出符合题意的x 的值即可.【详解】原式可化简为|1-x|-|x-4|,当1-x ≥0,x-4≥0时,可得x 无解,不符合题意;当1-x ≥0,x-4≤0时,可得x ≤1时,原式=1-x-4+x=-3;当1-x ≤0,x-4≥0时,可得x ≥4时,原式=x-1-x+4=3;当1-x ≤0,x-4≤0时,可得1≤x ≤4时,原式=x-1-4+x=2x-5,据以上分析可得当1≤x ≤4时,多项式等于2x-5,故选B .【点睛】本题主要考查绝对值及二次根式的化简,要注意正负号的变化,分类讨论.9.C解析:C【分析】利用二次根式的乘法法则对A 、B 进行判断;利用二次根式的化简对C 、D 进行判断.【详解】A .原式=所以A 选项的运算正确;B .原式=所以,B 选项的运算正确;C .原式==5,所以C 选项的运算错误;D .原式=2,所以D 选项的运算正确.故选C .【点睛】本题考查了二次根式的混合运算:先把二次根式化为最简二次根式,然后进行二次根式的乘除运算,再合并即可.在二次根式的混合运算中,如能结合题目特点,灵活运用二次根式的性质,选择恰当的解题途径,往往能事半功倍.10.C解析:C【分析】根据二次根式的性质即可求出答案.【详解】原式=3,故选C .【点睛】本题考查二次根式的性质,解题的关键是熟练运用二次根式的性质,本题属于基础题型.二、填空题11.4030【分析】利用平方差公式化简m ,整理要求的式子,将m 的值代入要求的式子计算即可.【详解】m== m==+1,∴m3-m2-2017m+2015=m2(m ﹣1)﹣2017m+2015解析:4030【分析】利用平方差公式化简m ,整理要求的式子,将m 的值代入要求的式子计算即可.【详解】mm ), ∴m 3-m 2-2017m +2015=m 2(m ﹣1)﹣2017m +2015= )22017)+2015=(2017+2015﹣2=4030.故答案为4030.【点睛】本题主要考查二次根式的化简以及二次根式的混合运算.12.3【解析】设,则 可化为:,∴,两边同时平方得:,即:,∴,解得:,∴.故答案为:.点睛:本题的解题要点是:设原式中的,从而使原式结构变得简单,这样应用二次根式的相关运算法则化简变形解析:【解析】设24x a -====两边同时平方得:128a a +=++4=,∴3216a =,解得:12a =,===故答案为: 点睛:本题的解题要点是:设原式中的24x a -=,从而使原式结构变得简单,这样应用二次根式的相关运算法则化简变形即可求得a 的值,使问题得到解决.13.﹣2b【解析】由题意得:b <a <0,然后可知a-b >0,a+b <0,因此可得|a ﹣b|+=a ﹣b+[﹣(a+b )]=a ﹣b ﹣a ﹣b=﹣2b .故答案为﹣2b .点睛:本题主要考查了二次根式和绝对解析:﹣2b【解析】由题意得:b <a <0,然后可知a-b >0,a+b <0,因此可得|a ﹣=a ﹣b+[﹣(a+b )]=a ﹣b ﹣a ﹣b=﹣2b .故答案为﹣2b .点睛:本题主要考查了二次根式和绝对值的性质与化简.特别因为a .b 都是数轴上的实数,注意符号的变换. 14.【解析】【分析】根据题意,可得到=,利用平方关系把根号去掉,根据、、的系数相等的关系得到关于a ,b ,c 的三元方程组,解方程组即可.【详解】∴,即.解得.【点睛】本题考查了解析:【解析】【分析】a ,b ,c 的三元方程组,解方程组即可.【详解】∴(22118=,即2222118235a b c =+++++. 2222352118,2120,2540,2144,a b c ab ac bc ⎧++=⎪=⎪∴⎨=⎪⎪=⎩ 解得15,4,18.a b c =⎧⎪=⎨⎪=⎩154181080abc ∴=⨯⨯=.【点睛】本题考查了二次根式的加减,解本题的关键是将等式平方去根号,利用等量关系中等式左、.15.5【解析】◇==5.故本题应填5.点睛:理解新定义运算的运算规则,其实就是一个对应关系,a 对应,b 对应,即将a=,b=,代入到代数式a(a -b)+b(a +b)中,再根据二次根式的混合运算解析:5【解析】32==5. 故本题应填5.点睛:理解新定义运算的运算规则,其实就是一个对应关系,a ,b ,即将,代入到代数式a(a -b)+b(a +b)中,再根据二次根式的混合运算法则进行计算,注意最终的结果一定要化为最简二次根式.16.-【分析】首先判断出x ,y 的符号,再利用二次根式的性质化简求出答案.【详解】解:∵,且有意义,∴,∴.故答案为.【点睛】此题主要考查了二次根式的性质与化简,正确掌握二次根式的性质是 解析:【分析】首先判断出x ,y 的符号,再利用二次根式的性质化简求出答案.【详解】解:∵0xy > ∴00x y <,<,∴x ==.故答案为.【点睛】 此题主要考查了二次根式的性质与化简,正确掌握二次根式的性质是解题关键.即(0)(0)a a a a a ≥⎧==⎨-<⎩=(a ≥0,b >0). 17.-16【解析】试题分析:根据分式的有意义和二次根式有意义的条件,可知x2-9=0,且x-3≠0,解得x=-3,然后可代入得y=-,因此可得5x+6y=5×(-3)+6×(-)=-15-1=-16 解析:-16【解析】试题分析:根据分式的有意义和二次根式有意义的条件,可知x 2-9=0,且x-3≠0,解得x=-3,然后可代入得y=-16,因此可得5x+6y=5×(-3)+6×(-16)=-15-1=-16. 故答案为:-16.点睛:此题主要考查了分式的有意义和二次根式有意义,解题关键是利用二次根式的被开方数为非负数和分式的分母不为0,可列式求解. 18.【分析】根据二次根式的有意义的条件可求出x ,进而可得y 的值,然后把x 、y 的值代入所求式子计算即可.【详解】解:∵x-3≥0,3-x≥0,∴x=3,∴y=﹣2,∴.故答案为:.【点睛】 解析:19【分析】根据二次根式的有意义的条件可求出x ,进而可得y 的值,然后把x 、y 的值代入所求式子计算即可.【详解】解:∵x -3≥0,3-x ≥0,∴x =3,∴y =﹣2, ∴2139y x -==. 故答案为:19. 【点睛】本题考查了二次根式有意义的条件和负整数指数幂的运算,属于常考题型,熟练掌握基本知识是解题的关键.19.x≤4且x≠2【分析】根据被开方数是非负数、分母不能为零,可得答案.【详解】解:由y=,得4-x≥0且x-2≠0.解得x≤4且x≠2.【点睛】本题考查了函数自变量的取值范围,利用被开方解析:x≤4且x≠2【分析】根据被开方数是非负数、分母不能为零,可得答案.【详解】解:由,得4-x≥0且x-2≠0. 解得x≤4且x≠2.【点睛】本题考查了函数自变量的取值范围,利用被开方数是非负数、分母不能为零得出4-x≥0且x-2≠0是解题关键.20.6【分析】通过观察可知,根号外的符号以及根号下的被开方数依次是:,,…,可以得到第13个的答案.【详解】解:由题意知道:题目中的数据可以整理为:,,…,∴第13个答案为:.故答案为6.解析:6【分析】 通过观察可知,根号外的符号以及根号下的被开方数依次是:11(1)30,21(1)31,31(1)32…1(1)3(1)n n ,可以得到第13个的答案.【详解】 解:由题意知道:题目中的数据可以整理为:11(1)30,21(1)31,31(1)32…1(1)3(1)n n ,∴第13个答案为:131(1)3(131)6.故答案为6.【点睛】此题主要考查了二次根式的运算以及学生的分析、总结、归纳的能力,规律型的习题一般是从所给的数据和运算方法进行分析,从特殊值的规律上总结出一般性的规律. 三、解答题21.无22.无23.无24.无25.无26.无27.无28.无。