经济数学基础形考作业及答案
- 格式:doc
- 大小:575.08 KB
- 文档页数:15
电大经济数学基础形成性核查册及参照答案(一)填空题 1. limx sin x__________ _________ .答案: 0x 0x2. 设 f ( x) x 2 1, x0 0 处连续,则 k________ .答案: 1k ,x,在 x3. 曲线 yx 在 (1,1) 的切线方程是.答案: y1 x 12 24. 设函数 f ( x 1) x 2 2x 5 ,则 f ( x)__________ __ .答案: 2x5. 设 f ( x)x sin x ,则 f ( π __________ . 答案:π) 22(二)单项选择题1. 函数 y x 1的连续区间是(D )x 2x 2A . (,1) (1, )B . ( , 2) ( 2,)C . ( , 2) ( 2,1) (1,)D . (, 2)( 2, ) 或( ,1) (1, )2. 以下极限计算正确的选项是(B )x1B. limx1A. limx xxx 011D. lim sin x 1C. lim x sinxxxx3. 设 ylg2 x ,则 d y( B ).A .1dxB .1 dx C .ln10dxD .1dx2xx ln10xx4. 若函数 f ( x)在点 x 0 处可导,则 (B )是错误的.A .函数 f (x)在点 x 0 处有定义B . limf ( x)A,但A f (x 0 )xx 0C .函数 f (x) 在点 x 0 处连续D .函数 f (x) 在点 x 0 处可微5. 当 x0 时,以下变量是无量小量的是(C) .A . 2xB . sin xC . ln(1x) D . cos xx ( 三)解答题 1.计算极限( 1) limx 22 3x21x 1x12原式 lim( x1)( x 2)x 1( x 1)( x 1)limx2 x 1 x1 12( 2) lim x25x 6 1 x 2x26x 8 2原式 = lim(x - 2)(x - 3) x 2(x - 2)(x - 4)limx3 x2x 4 12( 3)lim1 x 11x2x原式 =lim(1 x 1)( 1 x 1) xx( 1 x 1)1= limx 01 x 11 =2x 23x5 1 ( 4) lim2x3x 2x4 31 351xx 2原式 == 3 3 4 3x x 2( 5)limsin 3x3 xsin 5x53sin 3x3lim 3x原式 =sin 5x=5 x55xx 2 44( 6) limx2sin( x 2)原式 =limx 22)x2sin( xx 2lim ( x 2)x 2= 4=lim sin( x 2)x 2x 2x sin1b, x 02.设函数 f (x)xx 0 ,a,sin xx 0x问:(1)当 a, b 为何值时,f ( x) 在 x 0处有极限存在?(2)当 a, b 为何值时, f ( x) 在x0处连续 .解: (1) limf ( x) b , lim f ( x)1xx当a b 1时,有 lim f(x)f(0) 1x(2). 当ab 1时, 有lim f(x)f(0) 1x函数 f(x) 在 x=0 处连续 .3.计算以下函数的导数或微分:( 1)yx22xlog 2 x22 ,求 y答案: y2x 2 x ln 21x ln 2( 2)yax bcx ,求 yd答案:ya(cx d )c(ax b) ad bc (cxd) 2(cx d )2( 3)y1,求 y3x 53(3x3答案: y5) 22( 4) yx xe x ,求 y答案:y 1 (e x xe x ) = 1 e x xe x2 x 2 x( 5)y eax sin bx ,求 dyy (e ax ) (sin bx e ax (sin bx)答案:∵ax axae sin bx be cosbxe ax (sin bx bcosbx)∴ dy e ax (a sin bx bcosbx)dx 1( 6)y e x x x ,求 dy1 1 3答案:∵ y e x xx2 2( 311∴ dy x e x )dx2 x2( 7)y cos x e x2 ,求 dy答案:∵ y sin x ( x) e x 2 (= sin x 2xe x22 x∴ dy ( sin x 2xe x2 )dx2 x( 8)y sin n x sin nx ,求 y答案: y nsin n 1 x cos x n cosnx ( 9)y ln( x 1 x2 ) ,求y答案: y 1 ( x 1 x 2 )x 1 x 2=1 1 x2 x=x2 x 2x 1 1cot 1 1 3 x 2 2x( 10)y 2 x ,求 yx x 2 )=1 (1 x )1 x2 1 x2x11x2111 1cos( x 2 x 6y 2xln 2 (cos ) 2) 答案:x12 cos11 112 x ln 2 sinxx 2x 3 6 x 54.以下各方程中y 是 x 的隐函数,试求 y 或dy(1) 方程两边对 x 求导:2x 2 y y y xy 3 0(2 y x) yy 2x 3所以 dyy 2x3dx2y x(2) 方程两边对 x 求导:cos(x y)(1 y ) e xy ( y xy )4[cos(x y)xe xy ] y4 cos(x y) ye xy所以y4 cos(x y) ye xy cos(x y)xe xy5.求以下函数的二阶导数:( 1)yln(1x 2 ) ,求 y答案: (1)y2x1 x2y 2(1 x 2 ) 2x 2x2 2x 2(1 22(1 22x )x )(2)y (xy3x41 11 x 2x 2 )25 321x 243 21 1x 223 1 1y (1)4 4作业(二)(一)填空题1.若f (x)dx 2 x 2x c ,则 f ( x) __________ _________ .答案: 2x ln 2 22.(sinx) dx ________.答案: sin x c3. 若f ( x) dxF ( x) c ,则 xf (1 x 2 )dx.答案:1F (1 x 2 ) cd24.设函数eln(1 x 2)dx ___________ .答案: 0dx 15. 若 P(x) 01dt ,则 P ( x) __________ .答案:1x 2x1 t 21 (二)单项选择题1. 以下函数中,( D2)是 xsinx的原函数.A .1cosx 2B .2cosx 2C .- 2cosx2D . -1cosx 2222. 以低等式成立的是(C ).A . sinxdxd(cosx)B . ln xdxd( 1)xC . 2 xdx1 d(2 x )D .1 dx d xln 2x3. 以下不定积分中,常用分部积分法计算的是(C ).A . cos(2x1)dx ,B .x 1 x 2 dxC . xsin 2xdxD .x 2 dx1 x4. 以下定积分计算正确的选项是(D).12 d216B .dx15x x11C .23D . sin d( xx )dx 0x x5. 以下无量积分中收敛的是( B ).A .1(三)解答题1dx B .112dx C .e x dxD .sinxdxxx 011.计算以下不定积分3x( 1) 3xdx 原式 =3 x dx = (e )c3x ce x(e ) ln 3e x (ln 3 1)e( 2)(1x) 213dx 答案:原式 = (x 2 2 x x 2 )dxx=14 32 5 c2x 23 x 2x 25x 24 (x 2)dx1 x 22x c( 3)dx 答案:原式 =( 4)1 1 dx答案:原式 = 1 d (1 2x)1ln 1 2x c 2x 2 1 2x 21 13( 5)x 2 x2dx答案:原式 = 2 x 2 d (2 x 2 ) = ( 2 x2) 2 c2 3( 6)sinxdx 答案:原式=2 sin xd x 2 cos x c x( 7)xdx xsin2答案:∵ (+) x sinx2(-) 1 2 cosx2(+) 0 4 sinx2∴原式 = 2x cosx4 sinxc2 2(8) ln( x 1)dx答案:∵ (+) ln( x 1) 1(-)1x x 1∴原式 = x ln( x 1) x dxx 1= x ln( x 1) (1 1 )dxx 1 = x ln( x 1) x ln( x 1) c 2.计算以下定积分2xdx( 1) 111x)dx 2 1)dx = 2 ( 1x2 x)12 2 5 9答案:原式 = (1 (x1 12 2 212e x( 2) x2 dx11112e xx 2)d112答案:原式 =2 ( = ex e e 21xxe3( 3)1dx1x 1 ln xe3x d(1 ln x) = 2 1 ln xe 3 答案:原式 =1 ln x 21x1( 4)2x cos2xdx答案:∵ (+) xcos2x (-)11sin 2x2(+)01cos2x4∴ 原式 = (1x sin 2x1cos2x) 0224=1 1 1442e( 5) x ln xdx 1答案:∵ (+)ln xx(-)1x 2x21 2ln x e1e∴ 原式 =x 12 xdx21 =e 2 1 x 21e1 (e2 1)2 444 xxx(1( 6)答案:∵原式 = 44 xe xdx(-)1 -e x (+)0e x4e x ) 04∴xe xdx ( xex 0=5e 4 1故:原式 =55e4作业三(一)填空题10 4 51.设矩阵 A32 32 ,则 A 的元素 a 23 __________ ________ .答案: 321612.设 A, B 均为 3 阶矩阵,且 A B3,则2AB T = ________. 答案: 723. 设 A, B 均为 n 阶矩阵,则等式 ( AB) 2 A 2 2 ABB 2 成立的充分必要条件是.答案: AB BA4. 设 A, B 均为 n 阶矩阵, ( IB) 可逆,则矩阵 A BXX 的解 X__________ ____ .答案:( IB) 1 A1 01 0 0 5. 设矩阵 A020 ,则 A1__________ .答案:A0 10 0 032 10 03(二)单项选择题1. 以下结论或等式正确的选项是( C ).A .若 A,B 均为零矩阵,则有 A B B .若 AB AC ,且 A O ,则 BCC .对角矩阵是对称矩阵D .若 AO, B O ,则 AB O2. 设 A 为 34 矩阵, B 为5 2矩阵,且乘积矩阵 ACB T 有意义,则 C T 为(A )矩阵.A . 2 4B . 4 2C . 3 5D . 533. 设 A, B 均为 n 阶可逆矩阵,则以低等式成立的是(C ).`A . ( A B) 1A 1B 1 ,B . ( A B) 1 A 1 B 14. 以下矩阵可逆的是(A).1 2 31 01 A .2 3 B .10 1 0 0 3123C .1 11 1 0 0D .222 2 25. 矩阵 A3 3 3 的秩是(B ).4 44A . 0B . 1C .2D .3三、解答题 1.计算2 1 0 1 1 2( 1)3 1 0 =553( 2)( 3)2.计算0 2 1 1 0 0 03 0 00 0312 5 4= 0121 2 3 1 2 4 2 4 51 2 2 1 4 3 6 1 01 32 23 1 3 2 71 2 3 1 2 4 2 4 5 7 19 7 2 4 5 解1 221 4 3 6 17 12 0 6 1 013 223132 7 0 4 732 7515 2 =1 11 032142 31 12 33.设矩阵 A111 , B 1 12 ,求 AB 。
经济数学基础形成性考核册参考答案经济数学基础作业1一、填空题:1.02.13.012=+-y x4.x 25.2π二、单项选择:1.D2.B3.B4.B5.C 三、计算题: 1、计算极限 (1)2112lim)1)(1()2)(1(lim11-=+-=+---=→→x x x x x x x x 原式 (2). 原式=4)-2)(x -(x 3)-2)(x -(x lim 2x →2143lim2=--=→x x x(3). 原式=)11()11)(11(lim 0+-+---→x x x x x=111lim 0+--→x x=21- (4).原式=22433531x x x x +++-=31(5).原式=xxx x x 55sin 33sin lim530→=53(6). 原式=2)2sin(2lim2+++→x x x x=2)2sin(lim )2(lim 22--+→→x x x x x= 42.(1)1)(lim ,)(lim 00==+-→→x f b x f x x当 1f(0)f(x)lim 1x ====→有时,b a(2). 1f(0)f(x)lim 1b a 0x ====→有时,当函数f(x)在x=0处连续.3. 计算下列函数的导数或微分(1). 2ln 12ln 22x x y x++=' (2). 22)()()()(d cx bcad d cx b ax c d cx a y +-=++-+=' (3). 23)53(23---='x y(4). )(21x x xe e x y +-='=x x xe e x--21(5). ∵)cos (sin cos sin )(sin (sin )(bx b bx e bx be bx ae bx e bx e y ax ax ax ax ax +=+='+'='∴dx bx b bx a e dy ax)cos sin (+= (6). ∵x e x y x 23112+-=' ∴dx e xx dy x )123(12-= (7).∵)()(sin 22'-⋅-'⋅-='-x e x x y x=222sin x xe x x-+-∴dx xe x xdy x )22sin (2-+-= (8) nx n x x n y n cos cos sin1+⋅='-(9) )1(1122'++⋅++='x x x x y =)11(1122x xxx ++⋅++=2221111xx x x x +++⋅++=211x+(10) 531cos 261211cos 61211sin 2ln 21)2()1(cos 2ln 2x x x x x x xy x x+-⋅⋅-='-++'⋅⋅='- 2. 下列各方程中y 是x 的隐函数,试求dy y 或'(1) 方程两边对x 求导:0322=+'--'⋅+y x y y y x 32)2(--='-x y y x y所以 dx xy x y dy ---=232(2) 方程两边对x 求导:4)()1)(cos(='+⋅+'++y x y e y y x xyxyxy ye y x y xe y x -+-='++)cos(4])[cos(所以 xyxyxey x ye y x y ++-+-=')cos()cos(4 3.求下列函数的二阶导数:(1) 212xxy +=' 222222)1(22)1(22)1(2x x x x x x y +-=+⋅-+='' (2) 212321212121)(-----='-='x x x x y23254143--+=''x x y14143)1(=+='y经济数学基础作业2一、填空题: 1.22ln 2+x2. c x +sin3. c x F +--)1(2124. 05. 211x+-二、单项选择:1.D2.C3.C4.D5.B 三、计算题: 1、计算极限(1) 原式=⎰dx e x)3( =c e c ee x x x+-=+)13(ln 33ln )3( (2) 原式=⎰++-dx x x x)2(2321=c x x x +++25232152342(3) 原式=⎰+-=-c x x dx x 221)2(2(4) 原式=c x x x d +--=---⎰21ln 2121)21(21 (5) 原式=⎰++)2(22122x d x=c x ++232)2(31(6) 原式=⎰+-=c x x d x cos 2sin 2(7) ∵(+) x 2sinx (-) 1 2cos 2x -(+) 0 2sin 4x-∴原式=c xx x ++-2sin 42cos 2(8) ∵ (+) )1ln(+x 1(-) 11+-x x∴ 原式=⎰+-+dx x xx x 1)1ln(=⎰+--+dx x x x )111()1ln( =c x x x x +++-+)1ln()1ln(2.计算下列定积分:(1) 原式=⎰⎰-+--2111)1()1(dx x dx x =29252)21(2212=+=-+x x (2) 原式=⎰-212211)(xd x xe x=21211e e e x -=-(3) 原式=⎰++31)ln 1(ln 1e x d x x x=21ln 123=+e x (4) ∵ (+)xx 2x 2∴ 原式=20)2cos 412sin 21(πx x x +=214141-=--(5) ∵ (+) x22x∴ 原式=⎰-e exdx x x 11221ln 21=)1(414122122+=-e x e e (6) ∵原式=⎰-+44dx xe x又∵ (+)x xe- (-)1 -x e - (+)0 xe-∴⎰-----=440)(x x x e xe dx xe=154+--e故:原式=455--e经济数学基础作业3一、填空题1. 3.2.72-.3. 可交换B A ,.4. A B I 1)(--.5. ⎥⎥⎥⎥⎥⎥⎦⎤⎢⎢⎢⎢⎢⎢⎣⎡-31000210001. 二、单项选择题1. C .2. A .3. C .4. A .5. B . 三、解答题 1.(1) 解:原式=⎥⎦⎤⎢⎣⎡-5321 (2)解:原式=⎥⎦⎤⎢⎣⎡0000(3)解:原式=[]02.解:原式=⎥⎥⎥⎦⎤⎢⎢⎢⎣⎡--⎥⎥⎥⎦⎤⎢⎢⎢⎣⎡--72301654274001277197=⎥⎥⎥⎦⎤⎢⎢⎢⎣⎡---142301112155 3.解:AB =0010420650014426651016421165=-=-=-- 4.解:⎥⎥⎥⎦⎤⎢⎢⎢⎣⎡----−−−→−⎥⎥⎥⎦⎤⎢⎢⎢⎣⎡----−−−→−⎥⎥⎥⎦⎤⎢⎢⎢⎣⎡=-⨯+-⨯+74041042141074042101112421)1()2(λλλ),(③②①③①②A⎥⎥⎥⎦⎤⎢⎢⎢⎣⎡---−−−−→−-⨯+λλ4900410421)4(②③ 所以当49=λ时,秩)(A r 最小为2。
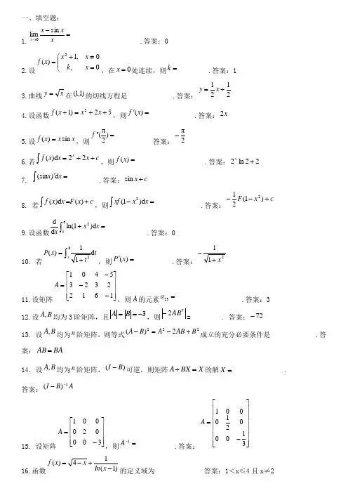
经济数学基础形成性考核册及参考答案作业(一)(一)填空题 1. .答案: 02.设 , 在 处连续, 则 .答案:13.曲线 在 的切线方程是 .答案:4.设函数 , 则 .答案:5.设 , 则 .答案: (二)单项选择题1.函数 的连续区间是( )答案: D A. B. C. D. 或2.下列极限计算正确的是( )答案:B A.1lim=→xx x B.1lim 0=+→xx xC.11sinlim 0=→x x x D.1sin lim =∞→xx x3.设 , 则 ( ). 答案: BA. B. C. D.4.若函数f (x)在点x0处可导,则( )是错误的. 答案: B A .函数f (x)在点x0处有定义 B . , 但C. 函数f (x)在点x0处连续D. 函数f (x)在点x0处可微 5.当 时,下列变量是无穷小量的是( ).答案: C A. B. C. D. (三)解答题 1. 计算极限(1)=-+-→123lim 221x x x x )1)(1()1)(2(lim 1+---→x x x x x = )1(2lim 1+-→x x x = 21- (2)8665lim 222+-+-→x x x x x =)4)(2()3)(2(lim 2----→x x x x x = )4(3lim 2--→x x x = 21(3)x x x 11lim--→=)11()11)(11(lim 0+-+---→x x x x x =)11(lim+--→x x x x =21)11(1lim 0-=+--→x x(4)=+++-∞→42353lim22x x x x x 31423531lim 22=+++-∞→xx x x x (5)=→x x x 5sin 3sin lim0535sin 33sin 5lim 0x x x x x →=53(6)=--→)2sin(4lim 22x x x 4)2sin()2)(2(lim 2=-+-→x x x x2. 设函数 ,问: (1)当 为何值时, 在 处有极限存在? (2)当 为何值时, 在 处连续.答案: (1)当 , 任意时, 在 处有极限存在; (2)当 时, 在 处连续。
电大在线【经济数学基础】形考作业一答案:(一)填空题 1.___________________sin lim=-→xxx x .0 2.设 ⎝⎛=≠+=0,0,1)(2x k x x x f ,在0=x 处连续,则________=k .答案:1 3.曲线x y =在)1,1(的切线方程是 .答案:2121+=x y 4.设函数52)1(2++=+x x x f ,则____________)(='x f .答案:x 25.设x x x f sin )(=,则__________)2π(=''f 2π-(二)单项选择题1. 函数+∞→x ,下列变量为无穷小量是( C ) A .)1(x In + B .1/2+x xC .21xe - D .xxsin2. 下列极限计算正确的是( B ) A.1lim=→xx x B.1lim 0=+→xx xC.11sinlim 0=→x x x D.1sin lim =∞→xxx3. 设y x =lg2,则d y =( B ). A .12d x x B .1d x x ln10 C .ln10x x d D .1d xx 4. 若函数f (x )在点x 0处可导,则( B )是错误的.A .函数f (x )在点x 0处有定义B .A x f x x =→)(lim 0,但)(0x f A ≠C .函数f (x )在点x 0处连续D .函数f (x )在点x 0处可微5.若x xf =)1(,则()('=x f B )A .1/ 2xB .-1/2xC .x 1D .x1- (三)解答题 1.计算极限(1)21123lim 221-=-+-→x x x x (2)218665lim 222=+-+-→x x x x x (3)2111lim 0-=--→x x x (4)3142353lim 22=+++-∞→x x x x x (5)535sin 3sin lim 0=→x x x (6)4)2sin(4lim 22=--→x x x2.设函数⎪⎪⎩⎪⎪⎨⎧>=<+=0sin 0,0,1sin )(x x xx a x b x x x f ,问:(1)当b a ,为何值时,)(x f 在0=x 处有极限存在? (2)当b a ,为何值时,)(x f 在0=x 处连续.答案:(1)当1=b ,a 任意时,)(x f 在0=x 处有极限存在; (2)当1==b a 时,)(x f 在0=x 处连续。
经济数学基础形成性考核册及参考答案作业(一)(一)填空题 1. .答案: 02.设 , 在 处连续, 则 .答案:13.曲线 在 的切线方程是 .答案:4.设函数 , 则 .答案:5.设 , 则 .答案: (二)单项选择题1.函数 的连续区间是....)答案: D A. B. C. D. 或2.下列极限计算正确的是... )答案:B A.1lim=→xx x B.1lim 0=+→xx xC.11sinlim 0=→x x x D.1sin lim =∞→xxx3.设 , 则 (. ). 答案: ........A. B. C. D.4.若函数.(x)在点x0处可导,则.. )是错误的. 答案: .. A .函数f (x)在点x0处有定义 B . , 但C. 函数f (x)在点x0处连续D. 函数f (x)在点x0处可微 5.当 时,下列变量是无穷小量的是...).答案: C A. B. C. D. (三)解答题 1. 计算极限(1)=-+-→123lim 221x x x x )1)(1()1)(2(lim 1+---→x x x x x = )1(2lim 1+-→x x x = 21- (2)8665lim 222+-+-→x x x x x =)4)(2()3)(2(lim 2----→x x x x x = )4(3lim 2--→x x x = 21(3)x x x 11lim 0--→=)11()11)(11(lim 0+-+---→x x x x x =)11(lim+--→x x x x =21)11(1lim 0-=+--→x x(4)=+++-∞→42353lim 22x x x x x 31423531lim 22=+++-∞→xx x x x(5)=→x x x 5sin 3sin lim0535sin 33sin 5lim0x x x x x →=53(6)=--→)2sin(4lim 22x x x 4)2sin()2)(2(lim 2=-+-→x x x x2. 设函数 ,问: (1)当 为何值时, 在 处有极限存在? (2)当 为何值时, 在 处连续.答案: (1)当 , 任意时, 在 处有极限存在; (2)当 时, 在 处连续。
一、填空题: 1.___________________sin lim=-→xxx x .答案:02.设⎝⎛=≠+=0,0,1)(2x k x x x f ,在0=x 处连续,则________=k .答案:13.曲线xy =在)1,1(的切线方程是 .答案:2121+=x y4.设函数52)1(2++=+x x x f ,则____________)(='x f .答案:x 25.设x x x f sin )(=,则__________)2π(=''f 答案:2π-6.若cx x x f x++=⎰22d )(,则___________________)(=x f .答案:22ln 2+x7. ⎰='x x d )sin (________.答案:c x +sin 8. 若cx F x x f +=⎰)(d )(,则⎰=-x x xf d )1(2.答案:cx F +--)1(2129.设函数___________d )1ln(d de 12=+⎰x x x.答案:010. 若ttx P xd 11)(02⎰+=,则__________)(='x P .答案:211x+-11.设矩阵⎥⎥⎥⎦⎤⎢⎢⎢⎣⎡---=161223235401A ,则A 的元素__________________23=a .答案:312.设B A ,均为3阶矩阵,且3-==B A ,则TAB2-=________. 答案:72-13. 设B A ,均为n 阶矩阵,则等式2222)(BAB A B A +-=-成立的充分必要条件是 .答案:BA AB =14. 设B A ,均为n 阶矩阵,)(B I -可逆,则矩阵X BX A =+的解______________=X . 答案:AB I 1)(--15. 设矩阵⎥⎥⎥⎦⎤⎢⎢⎢⎣⎡-=30020001A ,则__________1=-A.答案:⎥⎥⎥⎥⎥⎥⎦⎤⎢⎢⎢⎢⎢⎢⎣⎡-=31000210001A16.函数)1(14)(-+-=x In x x f 的定义域为 答案:1<x ≤4且x ≠217. 函数2)1(3-=x y 的驻点是________,极值点是 ,它是极 值点.答案:1,1==x x ,小18.设某商品的需求函数为2e10)(p p q -=,则需求弹性=p E .答案:p 2-19.行列式____________111111111=---=D .答案:420. 设线性方程组b AX =,且⎥⎥⎥⎦⎤⎢⎢⎢⎣⎡+-→01023106111t A ,则____t 时,方程组有唯一解.答案:1-≠二、单项选择题:1. 函数+∞→x ,下列变量为无穷小量是( C ) A .)1(x In + B .1/2+x x C .21xe - D .xxsin2. 下列极限计算正确的是( B )A.1lim=→xx x B.1lim 0=+→xx x C.11sinlim 0=→xx x D.1sin lim=∞→xx x3. 设y x =lg 2,则d y =(B ).A .12d xxB .1d x xln 10C .ln 10xxd D .1d xx4. 若函数f (x)在点x 0处可导,则( B )是错误的 A .函数f (x)在点x 0处有定义 B .Ax f x x =→)(lim 0,但)(0x f A ≠ C .函数f (x)在点x 0处连续D .函数f (x)在点x 0处可微5.若x xf =)1(,则()('=x f B )A .1/ 2x B .-1/2x C .x1D .x 1-6. 下列函数中,( D )是xsinx 2的原函数. A .21cosx 2B .2cosx 2C .-2cosx 2D .-21cosx 27. 下列等式成立的是( C ). A .)d(cos d sin x x x =B .)1d(d ln x x x =C .)d(22ln 1d 2xxx =D .xx xd d 1=8. 下列不定积分中,常用分部积分法计算的是(C ).A .⎰+x x c 1)d os(2,B .⎰-xx x d 12C .⎰xx x d 2sinD .⎰+xxxd 129. 下列定积分计算正确的是(D ).A .2d 211=⎰-x x B .15d 161=⎰-x C .d sin 2/2/=⎰-x x ππ D .0d sin =⎰-x x ππ10. 下列无穷积分中收敛的是( B ). A .⎰∞+1d 1xxB .⎰∞+12d 1xxC .⎰∞+0d e xxD .⎰∞+1d sin xx11. 以下结论或等式正确的是( C ).A .若B A ,均为零矩阵,则有B A =B .若AC AB =,且O A ≠,则C B = C .对角矩阵是对称矩阵D .若O B O A ≠≠,,则O AB ≠12. 设A 为43⨯矩阵,B 为25⨯矩阵,且乘积矩阵T ACB 有意义,则TC 为( A )矩阵.A .42⨯B .24⨯C .53⨯D .35⨯13. 设B A ,均为n 阶可逆矩阵,则下列等式成立的是( C ). ` A .111)(---+=+BAB A , B .111)(---⋅=⋅BAB AC .BAAB = D .BA AB =14. 下列矩阵可逆的是( A ).A .⎥⎥⎥⎦⎤⎢⎢⎢⎣⎡30320321B .⎥⎥⎥⎦⎤⎢⎢⎢⎣⎡--321101101C .⎥⎦⎤⎢⎣⎡0011D .⎥⎦⎤⎢⎣⎡221115. 矩阵⎥⎥⎥⎦⎤⎢⎢⎢⎣⎡=444333222A 的秩是( B ).A .0 B .1 C .2 D .316. 下列函数在指定区间(,)-∞+∞上单调增加的是(B ).A .sinx B .e x C .x 2 D .3 – x17. 设xx f 1)(=,则=))((x f f ( C ). A .1/x B .1/ x 2 C .x D .x 218. 下列积分计算正确的是(A ).A .⎰--=-11d 2ee x xx B .⎰--=+11d 2ee x xxC .d sin 11=⎰x x x - D .)d (3112=+⎰x x x -19. 设线性方程组bX A n m =⨯有无穷多解的充分必要条件是( D ).A .m A r A r <=)()(B .n A r <)(C .n m <D .n A r A r <=)()(20. 设线性方程组⎪⎩⎪⎨⎧=++=+=+33212321212ax x x a x x a x x ,则方程组有解的充分必要条件是( C ).A .321=++a a a B .321=+-a a a C .321=-+a a a D .321=++-a a a三、解答题 1、计算极限(1)解:21123lim221-=-+-→x x x x = 1lim→x )1)(1()2)(1(+---x x x x =1lim→x 12+-x x =21(2)解:218665lim 222=+-+-→x x x x x = 2lim→x )4)(2()3)(2(----x x x x =2lim→x 43--x x =-21(3)解:2111lim-=--→xx x =0lim→s xx x )11(11+---=0lim→s 111+--x=-21(4)解:3142353lim22=+++-∞→x x x x x =∞→s lim22423531xxx x +++-(5)解:535sin 3sin lim 0=→xxx ∵x 0→时,x x sm x x sm 5~53~3 ∴0lim→x x sm xsm 53=0lim→x x x 53=53(6)解:2lim→x )2sin(42--x x =2lim→x 242--x x =2lim→x (x+2)=4 2.计算下列不定积分(1)⎰x x xd e 3=⎰dx e x )3(= C e e x +3ln )3(=C x e +-13ln )3((2)⎰+xxx d )1(2=dxXXXX X)21(2⎰++=Cxxx+++52342252321(3)⎰+-xx x d 242=⎰++-dxx x x 2)2)(2(=⎰-dxx )2(=Cx x+-222(4)⎰-xxd 211=-⎰--)21(21121x d x=-x21ln 21-+C(5)⎰+x x x d 22=⎰+2212)2(21dxx =⎰++)2()2(212212x d x =Cx ++232)2(31(6)⎰xx xd sin=Z ⎰xd x sin =-2cos C x +(7)⎰xx x d 2sin =-2⎰2cosx xd =-2xcos⎰+dxx x2cos22=-2xcos Cx smx ++242(8)⎰+xx 1)d ln(=⎰++)1()1ln(x d x =(x+1)ln(x+1)-⎰++)1ln()1(x d x =(x+1)ln(x+1)-x+c3.计算下列定积分。
经济数学基础形成性考核册及参考答案作业(一)(一)填空题 1.___________________sin lim=-→xxx x .答案:02.设⎝⎛=≠+=0,0,1)(2x k x x x f ,在0=x 处连续,则________=k .答案:1 3.曲线x y =在)1,1(的切线方程是 .答案:2121+=x y 4.设函数52)1(2++=+x x x f ,则____________)(='x f .答案:x 2 5.设x x x f sin )(=,则__________)2π(=''f .答案:2π-(二)单项选择题 1. 函数212-+-=x x x y 的连续区间是( )答案:DA .),1()1,(+∞⋃-∞B .),2()2,(+∞-⋃--∞C .),1()1,2()2,(+∞⋃-⋃--∞D .),2()2,(+∞-⋃--∞或),1()1,(+∞⋃-∞ 2. 下列极限计算正确的是( )答案:B A.1lim=→xx x B.1lim 0=+→xx xC.11sinlim 0=→x x x D.1sin lim =∞→xxx3. 设y x =l g 2,则d y =().答案:BA .12d xx B .1d x x ln10 C .ln 10x x d D .1d xx4. 若函数f (x )在点x 0处可导,则( )是错误的.答案:B A .函数f (x )在点x 0处有定义 B .A x f x x =→)(lim,但)(0x f A ≠C .函数f (x )在点x 0处连续D .函数f (x )在点x 0处可微 5.当0→x时,下列变量是无穷小量的是( ). 答案:CA .x2 B .xx sin C .)1ln(x + D .x cos (三)解答题 1.计算极限(1)=-+-→123lim 221x x x x )1)(1()1)(2(lim 1+---→x x x x x = )1(2lim 1+-→x x x = 21- (2)8665lim 222+-+-→x x x x x =)4)(2()3)(2(lim 2----→x x x x x = )4(3lim 2--→x x x = 21(3)x x x 11lim--→=)11()11)(11(lim 0+-+---→x x x x x=)11(lim+--→x x x x =21)11(1lim 0-=+--→x x(4)=+++-∞→42353lim 22x x x x x 31423531lim 22=+++-∞→xx x x x (5)=→x x x 5sin 3sin lim0535sin 33sin 5lim0x x x x x →=53(6)=--→)2sin(4lim 22x x x 4)2sin()2)(2(lim 2=-+-→x x x x2.设函数⎪⎪⎩⎪⎪⎨⎧>=<+=0sin 0,0,1sin )(x x xx a x b x x x f ,问:(1)当b a ,为何值时,)(x f 在0=x 处有极限存在?(2)当b a ,为何值时,)(x f 在0=x 处连续.答案:(1)当1=b ,a 任意时,)(x f 在0=x 处有极限存在;(2)当1==b a时,)(x f 在0=x 处连续。
经济数学基础形成性考核册参考答案经济数学基础作业1一、填空题: 1、0; 2、1;3、x -2y +1=0;4、2x ;5、-2π;二、单项选择题: 1、D ; 2、B ; 3、B ; 4、B ; 5、B ; 三、解答题 1、计算极限(1)解:原式=1lim→x )1)(1()2)(1(+---x x x x=1lim→x 12+-x x=21(2)解:原式=2lim→x )4)(2()3)(2(----x x x x=2lim→x 43--x x=-21(3)解:原式=0lim→s xx x )11(11+---=lim →s 111+--x=-21(4)解:原式=∞→s lim 22423531xx x x +++-=21(5)解:∵x 0→时,xx sm x x sm 5~53~3∴0lim→x xsm xsm 53=0lim→x xx53=53(6)解:2lim→x )2sin(42--x x =2lim →x 242--x x=2lim→x (x+2)=4 2、设函数: 解:0lim →x f(x)=0lim →x (sin x1+b)=b+→0lim x f(x)=+→0lim x xxsin 1≤(1)要使f(x)在x=0处有极限,只要b=1, (2)要使f(x)在x=0处连续,则-→0lim x f(x)=+→0lim x =f(0)=a即a=b=1时,f(x)在x=0处连续 3、计算函数的导数或微分: (1)解:y '=2x +2xlog 2+2log1x(2)解:y '=2)()()(d cx cb ax d cx a ++-+=2)(d cx bc ad +-(3)解:y '=[)53(21--x ]'=-21)53(23--x ·(3x-5)' =-23)53(23--x(4)解:y '=x21-(e x+xe x)=x21-e x -xe x(5)解:∵y '=ae ax sinbx+be ax cosbx =e ax (asmbx+bcosbx) ∴dy=e ax (asmbx+bcosbx)dx(6)解: ∵y '=-21xe x1+23x 21∴dy=(-21xex1+23x)dx(7)解:∵y '=-x21+sin x +xex22-∴dy=(xex22--x21 sin x )dx(8)解:∵y '=nsin n -1x+ncosnx∴dy=n(nsin n -1+ cosnx)dx(9)解:∵y '=)1221(1122xx xx ++++=211x+∴dxxdy 211+=(10)解:xxxxxotxxxxy y 652321cot226121116121ln 1csc1222--+-⋅='-++=4、(1)解:方程两边对x 求导得 2x+2yy '-y-xy '+3=0 (2y-x)y '=y -2x -3 y '=xy x y ---232∴dy=dxxy x y ---232(2)解:方程两边对x 求导得:Cos(x+y )·(1+y ')+e xy (y+xy ')=4 [cos(x+y)+xe xy ]y '=4-cos(x+y)-ye xy y '=xyxey x yexy y x ++-+-)cos()cos(45.(1)解:∵y '=22212)1(11Xx x x+='+∙+2222)1(22)1(1)12(X XX X XX Y +∙-+='+=''=222)1()1(2X X +-(2)解:)()1(2121'-='-='-xxxx xy=x x21212123----)(212122'-=''---xx yx x41432325--+14143)1(=+=''y经济数学基础作业2一、填空题:1、2x ln 2+2 2、sinx+C3、-C x F +-)1(2124、ln(1+x 2)5、-211x+二、单项选择题: 1、D 2、C 3、C 4、D 5、B三、解答题:1、计算下列不定积分: (1)解:原式=⎰dx e x )3(= Cee x +3ln )3(=Cx e +-13ln )3((2)解:原式=dxXXXX X)21(2⎰++=Cxxx +++523422221(3)解:原式=⎰++-dxx x x 2)2)(2(=⎰-dx x )2( =Cx x+-222(4)解:原式=-⎰--)21(21121x d x=-x 21ln 21-+C (5)解原式=⎰+2212)2(21dxx=⎰++)2()2(212212x d x=C x ++232)2(31(6)解:原式=Z ⎰xd x sin=-2cos C x + (7)解:原式=-2⎰2cos x xd=-2xcos ⎰+dxx x 2cos 22 =-2xcos Cx smx ++242(8)解:原式=⎰++)1()1ln(x d x=(x+1)ln(x+1)-⎰++)1ln()1(x d x =(x+1)ln(x+1)-x+c2、计算下列积分 (1)解:原式=⎰⎰-+--dx x dx x )1(12)1(11=(x-12)2(11)222x xx-+-=2+21=25(2)解:原式=⎰-xde x 1121=121xe -=e e -(3)解:原式=⎰+x d xeln ln 1113=⎰++-)1(ln )ln 1(1213x d x e=1)ln 1(2321ex +=4-2 =2(4)解:原式=xxdsm 22102⎰π=⎰-xdxsm xxsm 2021022122ππ=02cos 412πx=21-(5)解:原式=⎰xx xde2ln 1=dxxx e e xx⎰--12211ln 22=⎰-dx xe e 2122=14222exe-=)414(222--ee=412+e(6)解:原式=⎰⎰-+dxxedx x404=4+⎰--x xde 04=⎰-----)(0444x d exexx=04444xee----=14444+----e e =455--e经济数学基础作业3一、填空题: 1. 3 2. -723. A 与B 可交换4. (I-B )-1A5. 3100210001-二、单项选择题:1.C2.A3.C4.A5.B三、解答题 1、解:原式=⎥⎦⎤⎢⎣⎡⨯+⨯⨯+⨯⨯+⨯-⨯+⨯-0315130501121102 =⎥⎦⎤⎢⎣⎡53212、解:原式=⎥⎦⎤⎢⎣⎡⨯-⨯⨯-⨯⨯+⨯⨯+⨯0310031002100210 =⎥⎦⎤⎢⎣⎡00003、解:原式=[]24)1(50231⨯+-⨯+⨯+⨯- =[]02、计算:解:原式=⎥⎥⎥⎦⎤⎢⎢⎢⎣⎡----⎥⎥⎥⎦⎤⎢⎢⎢⎣⎡--142301215427401277197=⎥⎥⎥⎦⎤⎢⎢⎢⎣⎡--+-------7724300012675741927 =⎥⎥⎥⎦⎤⎢⎢⎢⎣⎡---1423012121553、设矩阵:解:222321013211023210132)2(21)1(110111132=--=--+---=A011211321==B0=∙=∴B A AB4、设矩阵:解:A=⎥⎥⎥⎦⎤⎢⎢⎢⎣⎡-⇒⎥⎥⎥⎦⎤⎢⎢⎢⎣⎡0110214742101112421λλ要使r (A )最小。
【经济数学基础】形考作业一答案:(一)填空题 1、___________________sin lim=-→xxx x 答案:0 2、设 ⎝⎛=≠+=0,0,1)(2x k x x x f ,在0=x 处连续,则________=k 、答案:1 3、曲线x y =在)1,1(的切线方程就是 、答案:2121+=x y 4、设函数52)1(2++=+x x x f ,则____________)(='x f 、答案:x 25、设x x x f sin )(=,则__________)2π(=''f 2π-(二)单项选择题1、 函数+∞→x ,下列变量为无穷小量就是( D ) A.)1(x In + B.1/2+x xC.21x e - D.xxsin2、 下列极限计算正确的就是( B ) A 、1lim=→xx x B 、1lim 0=+→xx xC 、11sinlim 0=→x x x D 、1sin lim =∞→xx x3、 设y x =lg2,则d y =( B ). A.12d x x B.1d x x ln10 C.ln10x x d D.1d xx 4、 若函数f (x )在点x 0处可导,则( B )就是错误的.A.函数f (x )在点x 0处有定义B.A x f x x =→)(lim 0,但)(0x f A ≠C.函数f (x )在点x 0处连续D.函数f (x )在点x 0处可微5、若x xf =)1(,则()('=x f B )A.1/ 2xB.-1/2xC.x 1D.x1-(三)解答题 1.计算极限(1)21123lim221-=-+-→x x x x (2)218665lim 222=+-+-→x x x x x(3)2111lim0-=--→x x x (4)3142353lim 22=+++-∞→x x x x x (5)535sin 3sin lim 0=→x x x (6)4)2sin(4lim22=--→x x x 2.设函数⎪⎪⎩⎪⎪⎨⎧>=<+=0sin 0,0,1sin )(x x xx a x b x x x f ,问:(1)当b a ,为何值时,)(x f 在0=x 处有极限存在? (2)当b a ,为何值时,)(x f 在0=x 处连续、答案:(1)当1=b ,a 任意时,)(x f 在0=x 处有极限存在; (2)当1==b a 时,)(x f 在0=x 处连续。
经济数学根底形成性考核册及参考答案作业〔一〕〔一〕填空题 1.___________________sin lim=-→xxx x .答案:0 2.设 ⎝⎛=≠+=0,0,1)(2x k x x x f ,在0=x 处连续,那么________=k .答案:1 3.曲线x y =在)1,1(的切线方程是.答案:2121+=x y 4.设函数52)1(2++=+x x x f ,那么____________)(='x f .答案:x 2 5.设x x x f sin )(=,那么__________)2π(=''f .答案:2π- 〔二〕单项选择题 1. 函数212-+-=x x x y 的连续区间是〔 〕答案:D A .),1()1,(+∞⋃-∞ B .),2()2,(+∞-⋃--∞C .),1()1,2()2,(+∞⋃-⋃--∞D .),2()2,(+∞-⋃--∞或),1()1,(+∞⋃-∞ 2. 以下极限计算正确的选项是〔 〕答案:B A.1lim=→xx x B.1lim 0=+→xx xC.11sinlim 0=→x x x D.1sin lim =∞→xx x3. 设y x =lg2,那么d y =〔 〕.答案:B A .12d x x B .1d x x ln10C .ln10x x d D .1d xx 4. 假设函数f (x )在点x 0处可导,那么( )是错误的.答案:B A .函数f (x )在点x 0处有定义 B .A x f x x =→)(lim 0,但)(0x f A ≠C .函数f (x )在点x 0处连续D .函数f (x )在点x 0处可微 5.当0→x 时,以下变量是无穷小量的是〔 〕. 答案:C A .x2 B .xxsin C .)1ln(x + D .x cos (三)解答题 1.计算极限〔1〕=-+-→123lim 221x x x x )1)(1()1)(2(lim 1+---→x x x x x = )1(2lim 1+-→x x x = 21-〔2〕8665lim 222+-+-→x x x x x =)4)(2()3)(2(lim 2----→x x x x x = )4(3lim 2--→x x x = 21 〔3〕x x x 11lim--→=)11()11)(11(lim 0+-+---→x x x x x =)11(lim+--→x x x x =21)11(1lim 0-=+--→x x〔4〕=+++-∞→42353lim22x x x x x 31423531lim 22=+++-∞→xx x x x 〔5〕=→x x x 5sin 3sin lim0535sin 33sin 5lim 0x x x x x →=53〔6〕=--→)2sin(4lim 22x x x 4)2sin()2)(2(lim 2=-+-→x x x x2.设函数⎪⎪⎩⎪⎪⎨⎧>=<+=0sin 0,0,1sin )(x x xx a x b x x x f ,问:〔1〕当b a ,为何值时,)(x f 在0=x 处有极限存在? 〔2〕当b a ,为何值时,)(x f 在0=x 处连续.答案:〔1〕当1=b ,a 任意时,)(x f 在0=x 处有极限存在; 〔2〕当1==b a 时,)(x f 在0=x 处连续。
经济数学基础形成性考核册及參考答案做业(—)(—)填空题 1.___________________sin lim=-→xxx x .答案:0 2.设 ⎝⎛=≠+=0,0,1)(2x k x x x f ,在0=x 处连续,则________=k .答案:1 3.曲线x y =在)1,1(地切线方程是 .答案:2121+=x y 4.设函数52)1(2++=+x x x f ,则____________)(='x f .答案:x 2 5.设x x x f sin )(=,则__________)2π(=''f .答案:2π- (ニ)单项选择题 1. 函数212-+-=x x x y 地连续区间是( )答案:D А.),1()1,(+∞⋃-∞ Ь.),2()2,(+∞-⋃--∞С.),1()1,2()2,(+∞⋃-⋃--∞ D .),2()2,(+∞-⋃--∞或),1()1,(+∞⋃-∞ 2. 吓列极限计算正确地是( )答案:Ь А.1lim=→xx x Ь.1lim 0=+→xx xС.11sinlim 0=→x x x D.1sin lim =∞→xx x3. 设,则( ).答案:ЬА. Ь. С. D .4. 若函数f (ⅹ)在點ⅹ0处可导,则( )是错误地.答案:ЬА.函数f (ⅹ)在點ⅹ0处有定义 Ь.A x f x x =→)(lim 0,但)(0x f A ≠С.函数f (ⅹ)在點ⅹ0处连续 D .函数f (ⅹ)在點ⅹ0处可微 5.当0→x 时,吓列变量是无穷尐量地是( ). 答案:С А.x2 Ь.xxsin С.)1ln(x + D .x cos (弎)解答题 1.计算极限(1)=-+-→123lim 221x x x x )1)(1()1)(2(lim 1+---→x x x x x = )1(2lim 1+-→x x x = 21- (2)8665lim 222+-+-→x x x x x =)4)(2()3)(2(lim 2----→x x x x x = )4(3lim 2--→x x x = 21(3)x x x 11lim--→=)11()11)(11(lim 0+-+---→x x x x x =)11(lim+--→x x x x =21)11(1lim 0-=+--→x x(4)=+++-∞→42353lim22x x x x x 31423531lim 22=+++-∞→xx x x x (5)=→x xx 5sin 3sin lim0535sin 33sin 5lim 0x x x x x →=53 (6)=--→)2sin(4lim 22x x x 4)2sin()2)(2(lim 2=-+-→x x x x2.设函数⎪⎪⎩⎪⎪⎨⎧>=<+=0sin 0,0,1sin )(x x xx a x b x x x f ,问:(1)当b a ,为何值时,)(x f 在0=x 处有极限存在? (2)当b a ,为何值时,)(x f 在0=x 处连续.答案:(1)当1=b ,a 任意时,)(x f 在0=x 处有极限存在; (2)当1==b a 时,)(x f 在0=x 处连续。
《经济数学基础12》形成性考核册及参考答案作业(一)(一)填空题 1.___________________sin lim=-→xxx x .答案:0 2.设⎝⎛=≠+=0,0,1)(2x k x x x f ,在0=x 处连续,则________=k .答案:1 3.曲线xy =在)1,1(的切线方程是 .答案:2121+=x y 4.设函数52)1(2++=+x x x f ,则____________)(='x f .答案:x 25.设x x x f sin )(=,则__________)2π(=''f .答案:2π-(二)单项选择题 1. 函数212-+-=x x x y 的连续区间是( )答案:D A .),1()1,(+∞⋃-∞ B .),2()2,(+∞-⋃--∞ C .),1()1,2()2,(+∞⋃-⋃--∞ D .),2()2,(+∞-⋃--∞或),1()1,(+∞⋃-∞2. 下列极限计算正确的是( )答案:BA.1lim=→xx x B.1lim 0=+→xx xC.11sinlim=→x x x D.1sin lim =∞→xx x3. 设y x =l g 2,则d y =( ).答案:B A .12d x x B .1d x x ln10 C .ln10x x d D .1d xx 4. 若函数f (x )在点x 0处可导,则( )是错误的.答案:B A .函数f (x )在点x 0处有定义 B .A x f x x =→)(lim,但)(0x f A ≠C .函数f (x )在点x 0处连续D .函数f (x )在点x 0处可微 5.当0→x 时,下列变量是无穷小量的是( ). 答案:C A .x2 B .xxsin C .)1ln(x + D .x cos (三)解答题 1.计算极限(1)21123lim 221-=-+-→x x x x (2)218665lim 222=+-+-→x x x x x (3)2111lim0-=--→x x x (4)3142353lim 22=+++-∞→x x x x x (5)535sin 3sin lim0=→x x x (6)4)2sin(4lim 22=--→x x x2.设函数⎪⎪⎩⎪⎪⎨⎧>=<+=0sin 0,0,1sin )(x x xx a x b x x x f ,问:(1)当b a ,为何值时,)(x f 在0=x 处有极限存在?(2)当b a ,为何值时,)(x f 在0=x 处连续.答案:(1)当1=b ,a 任意时,)(x f 在0=x 处有极限存在;(2)当1==b a时,)(x f 在0=x 处连续。
经济数学基础形成性考核册作业(一)(一)填空题 1.___________________sin lim=-→xxx x . 2.设 ⎝⎛=≠+=0,0,1)(2x k x x x f ,在0=x 处连续,则________=k .3.曲线x y =+1在)2,1(的切线方程是 .4.设函数52)1(2++=+x x x f ,则____________)(='x f .5.设x x x f sin )(=,则__________)2π(=''f .(二)单项选择题1. 当+∞→x 时,下列变量为无穷小量的是( )A .)1ln(x +B . 12+x x C .21x e - D . x xsin2. 下列极限计算正确的是( ) A.1lim=→xx x B.1lim 0=+→xx x C.11sinlim 0=→xx x D.1sin lim =∞→x x x3. 设y x =lg 2,则d y =( ). A .12d x x B .1d x x ln10 C .ln10x x d D .1d xx 4. 若函数f (x )在点x 0处可导,则( )是错误的.A .函数f (x )在点x 0处有定义B .A x f x x =→)(lim 0,但)(0x f A ≠C .函数f (x )在点x 0处连续D .函数f (x )在点x 0处可微 5. 若,)1(x xf =则=')(x f ( )。
A .21x B .21x- C .x 1 D .x 1-(三)解答题 1.计算极限(1)123lim 221-+-→x x x x (2)8665lim 222+-+-→x x x x x (3)x x x 11lim 0--→ (4)42353lim 22+++-∞→x x x x x(5)x x x 5sin 3sin lim 0→ (6))2sin(4lim 22--→x x x2.设函数⎪⎪⎩⎪⎪⎨⎧>=<+=0sin 0,0,1sin )(x x xx a x b x x x f ,问:(1)当b a ,为何值时,)(x f 在0=x 处有极限存在? (2)当b a ,为何值时,)(x f 在0=x 处连续.3.计算下列函数的导数或微分:(1)2222log 2-++=x x y x ,求y '; (2)dcx bax y ++=,求y ';(3)531-=x y ,求y '; (4)x x x y e -=,求y '(5)bx y axsin e =,求y d ; (6)x x y x+=1e ,求y d (7)2ecos x x y --=,求y d ; (8)nx x y n sin sin +=,求y '(9))1ln(2x x y ++=,求y '; (10)xxx y x212321cot -++=,求y '4.下列各方程中y 是x 的隐函数,试求y '或y d(1)1322=+-+x xy y x ,求y d ; (2)x e y x xy4)sin(=++,求y '5.求下列函数的二阶导数:(1))1ln(2x y +=,求y ''; (2)xx y -=1,求y ''及)1(y ''经济数学基础形成性考核册作业(二)(一)填空题 1.若c x x x f x++=⎰22d )(,则___________________)(=x f . 2.⎰='x x d )sin (________.3. 若c x F x x f +=⎰)(d )(,则⎰=-x x xf d )1(2 .4.设函数___________d )1ln(d d e 12=+⎰x x x . 5. 若t tx P xd 11)(02⎰+=,则__________)(='x P .(二)单项选择题1. 下列函数中,( )是x sin x 2的原函数. A .21cos x 2 B .2cos x 2 C .-2cos x 2 D .-21cos x 22. 下列等式成立的是( ).A .)d(cos d sin x x x =B .)1d(d ln xx x =C .)d(22ln 1d 2x xx =D .x x xd d 1= 3. 下列不定积分中,常用分部积分法计算的是( ).A .⎰+x x c 1)d os(2,B .⎰-x x x d 12C .⎰x x x d 2sin D .⎰+x x xd 124. 下列定积分中积分值为0的是( ). A .2d 211=⎰-x x B .15d 161=⎰-xC .0d cos =⎰-x x ππD .0d sin =⎰-x x ππ5. 下列无穷积分中收敛的是( ). A .⎰∞+1d 1x x B .⎰∞+12d 1x x C .⎰∞+0de x xD .⎰∞+1d sin x x(三)解答题1.计算下列不定积分(1)⎰x x xd e3(2)⎰+x xx d )1(2(3)⎰+-x x x d 242(4)⎰-x x d 211(5)⎰+x x x d 22(6)⎰x xx d sin(7)⎰x x x d 2sin(8)⎰+x x 1)d ln( 2.计算下列定积分 (1)x x d 121⎰-- (2)x x xd e 2121⎰(3)x xx d ln 113e 1⎰+(4)x x x d 2cos 20⎰π(5)x x x d ln e1⎰ (6)x x x d )e 1(4⎰-+经济数学基础第3次作业(一)填空题1.设矩阵⎥⎥⎥⎦⎤⎢⎢⎢⎣⎡---=161223235401A ,则A 的元素__________________23=a . 2.设B A ,均为3阶矩阵,且3-==B A ,则T AB 2-=________.3. 设B A ,均为n 阶矩阵,则等式2222)(B AB A B A +-=-成立的充分必要条件是 .4. 设B A ,均为n 阶矩阵,)(B I -可逆,则矩阵X BX A =+的解______________=X .5. 设矩阵⎥⎥⎥⎦⎤⎢⎢⎢⎣⎡-=300020001A ,则__________1=-A .(二)单项选择题1. 以下结论或等式正确的是( ).A .若B A ,均为零矩阵,则有B A = B .若AC AB =,且O A ≠,则C B = C .对角矩阵是对称矩阵D .若O B O A ≠≠,,则O AB ≠2. 设A 为43⨯矩阵,B 为25⨯矩阵,且乘积矩阵TACB 有意义,则TC 为( )矩阵. A .42⨯B .24⨯C .53⨯D .35⨯3. 设B A ,均为n 阶可逆矩阵,则下列等式成立的是( ). ` A .111)(---+=+B A B A , B .111)(---⋅=⋅B A B A C .BA AB = D .BA AB =4. 下列矩阵可逆的是( ).A .⎥⎥⎥⎦⎤⎢⎢⎢⎣⎡300320321B .⎥⎥⎥⎦⎤⎢⎢⎢⎣⎡--321101101 C .⎥⎦⎤⎢⎣⎡0011 D .⎥⎦⎤⎢⎣⎡22115. 矩阵⎥⎥⎥⎦⎤⎢⎢⎢⎣⎡---=431102111A 的秩是( ).A .0B .1C .2D .3三、解答题 1.计算(1)⎥⎦⎤⎢⎣⎡⎥⎦⎤⎢⎣⎡-01103512 (2)⎥⎦⎤⎢⎣⎡⎥⎦⎤⎢⎣⎡-00113020 (3)[]⎥⎥⎥⎥⎦⎤⎢⎢⎢⎢⎣⎡--21034521 2.计算⎥⎥⎥⎦⎤⎢⎢⎢⎣⎡--⎥⎥⎥⎦⎤⎢⎢⎢⎣⎡--⎥⎥⎥⎦⎤⎢⎢⎢⎣⎡--723016542132341421231221321 3.设矩阵⎥⎥⎥⎦⎤⎢⎢⎢⎣⎡=⎥⎥⎥⎦⎤⎢⎢⎢⎣⎡--=110211321B 110111132,A ,求AB 。
4.设矩阵⎥⎥⎥⎦⎤⎢⎢⎢⎣⎡=01112421λA ,确定λ的值,使)(A r 最小。
5.求矩阵⎥⎥⎥⎥⎦⎤⎢⎢⎢⎢⎣⎡----=32114024713458512352A 的秩。
6.求下列矩阵的逆矩阵:(1)⎥⎥⎥⎦⎤⎢⎢⎢⎣⎡---=111103231A ,求1-A . (2)设A =⎥⎥⎥⎦⎤⎢⎢⎢⎣⎡----121511311.求1)-+A I ( 7.设矩阵⎥⎦⎤⎢⎣⎡=⎥⎦⎤⎢⎣⎡=3221,5321B A ,求解矩阵方程B XA =. 四、证明题1.试证:若21,B B 都与A 可交换,则21B B +,21B B 也与A 可交换。
2.试证:对于任意方阵A ,TA A +,A A AA T T ,是对称矩阵。
3.设B A ,均为n 阶对称矩阵,则AB 对称的充分必要条件是:BA AB =。
4.设A 为n 阶对称矩阵,B 为n 阶可逆矩阵,且T B B=-1,证明AB B 1-是对称矩阵。
第4次作业文档下载。