指数函数练习题
- 格式:doc
- 大小:379.00 KB
- 文档页数:6
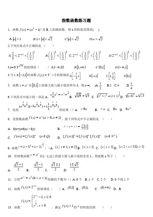
指数函数练习题1.函数x a x f )1()(2-=是R 上的减函数,则a 的取值范围是( ) A.2.2.21.1><<<>a D a C a B a2.下列关系式中正确的是 ( )3231312121.21232.5.1⎪⎭⎫ ⎝⎛<⎪⎭⎫ ⎝⎛⎪⎭⎫ ⎝⎛<<-B A C.3231313221212.212125.15.1⎪⎭⎫⎝⎛<⎪⎭⎫ ⎝⎛<⎪⎭⎫ ⎝⎛<⎪⎭⎫ ⎝⎛<--D3.y=13.0-x 的值域是( )()[)(](]1,.1,0.,1.0,.∞-+∞∞-D C B A4当[]1,1-∈x 时函数23)(-=x x f 的值域是[][]1,0.35,1.1,1.1,35.D C B A ⎥⎦⎤⎢⎣⎡-⎥⎦⎤⎢⎣⎡-5.函数x a y =在[]1,0上的最大值与最小值的和为3,则a =( )A.21 B.2 C.4 D.41 6下列各式中成立的一项是A .7177)(m n m n=B .3339= C .43433)(y x y x +=+D .31243)3(-=-7.化简)31()3)((656131212132b a b a b a ÷-的结果()A .a 9-B .a -C .a 6D .29a8.设指数函数)1,0()(≠>=a a a x f x,则下列等式中不正确的是 ( ) A .f(x+y)=f(x)·f(y) B .)()(y f x f y x f =-)(C .)()]([)(Q n x f nx f n∈= D .)()]([·)]([)]([+∈=N n y f x f xy f nn n9.函数210)2()5(--+-=x x y ( )A .}2,5|{≠≠x x x B .}2|{>x x C .}5|{>x x D .}552|{><<x x x 或 10.若指数函数xa y =在[-1,1]上的最大值与最小值的差是1,则底数a 等于 ( )A .215+ B . 215- C .215± D .251±11.方程)10(2||<<=a x a x 的解的个数为()A. 0个 B. 1个 C. 2个 D. 0个或1个 12.函数||2)(x x f -=的值域是( )A .]1,0( B .)1,0(C .),0(+∞D .R13.函数⎪⎩⎪⎨⎧>≤-=-0,0,12)(21x x x x f x ,满足1)(>x f 的x 的取值范围( )A .)1,1(-B . ),1(+∞-C .}20|{-<>x x x 或D .}11|{-<>x x x 或14.已知2)(xx e e x f --=,则下列正确的是A 奇函数,在R 上为增函数B 偶函数,在R 上为增函数C .奇函数,在R 上为减函数D .偶函数,在R 上为减函数15.函数22)21(++-=x x y 得单调递增区间是()A .]1,(--∞B .),2[+∞ C .]2,21[D .]21,1[- 二、填空题1.若点(2,41)既在函数b ax y +=2的图象上,又在它的反函数的图象上,则ba ,=2.函数()101)(1≠>+=+a a a x f x 且的图象一定通过点3.已知0.622,0.6a b ==,则实数a b 、的大小关系为 .4.不用计算器计算:48373271021.097203225.0+-⎪⎭⎫⎝⎛++⎪⎭⎫⎝⎛--π=__________________.5.不等式xx 283312--<⎪⎭⎫ ⎝⎛的解集是____.6.已知{}2,1,0,1,2,3n ∈--,若11()()25n n ->-,则=n _____.7.不等式2221212-++⎪⎭⎫ ⎝⎛<⎪⎭⎫⎝⎛a x axx 恒成立,则a 的取值范围是 .8.定义运算:⎩⎨⎧>≤=⊗)()(b a b b a a b a ,则函数()xx x f -⊗=22的值域为_________________三、解答题:1.已知17a a -+=,求下列各式的值:(1)33221122a aa a----; (2)1122a a-+; 3)22(1)a a a -->. 2.已知函数)1(122>-+=a a a y xx 在区间[-1,1]上的最大值是14,求a 的值. 3.求函数xx y +⎪⎭⎫ ⎝⎛=221的值域和单调区间4.已知093109≤+⋅-xx 求函数2214411+⎪⎭⎫⎝⎛-⎪⎭⎫⎝⎛=-xx y 的最大值与最小值。
指数函数练习题1. 某公司A股股票价格的年度涨幅可以用指数函数来描述。
假设2018年初该公司A股的价格为100元,且每年涨幅为8%(即每年增长8%)。
求该公司A股股价在2022年年底的预估值。
解析:设年份为x,股价为y。
根据题意可得指数函数的表达式为y = 100 * (1+0.08)^x。
将x取值为2022,代入函数中计算股价y的值即可。
经过计算,该公司A股在2022年年底的预估值为100 * (1+0.08)^4 ≈ 128.68元。
2. 某房地产项目的销售价格按指数函数递增。
2019年初,该项目的售价为200万元,每年涨幅为5%。
问:如果按照这个增长速度,到2025年年底,该房地产项目的售价会达到多少万元?解析:设年份为x,售价为y。
根据题意可得指数函数的表达式为y = 200 * (1+0.05)^x。
将x取值为2025,代入函数中计算售价y的值即可。
经过计算,到2025年年底,该房地产项目的售价预计会达到200 * (1+0.05)^6 ≈ 267.03万元。
3. 某农田的耕地面积按指数函数递减。
2017年初,该农田的耕地面积为1000亩,每年减少3%。
问:如果按照这个减少速度,到2021年年底,该农田的耕地面积会缩小到多少亩?解析:设年份为x,耕地面积为y。
根据题意可得指数函数的表达式为y = 1000 * (1-0.03)^x。
将x取值为2021,代入函数中计算耕地面积y的值即可。
经过计算,到2021年年底,该农田的耕地面积预计会缩小到1000* (1-0.03)^4 ≈ 837.34亩。
4. 某存款账户的余额按指数函数递增。
2010年初,该账户的余额为10万元,每年增长2%。
问:如果按照这个增长速度,到2030年年底,该存款账户的余额会增长到多少万元?解析:设年份为x,余额为y。
根据题意可得指数函数的表达式为y = 10 * (1+0.02)^x。
将x取值为2030,代入函数中计算余额y的值即可。
练习题一,选择题1.下列函数是指数函数的是()A.y = -2xB. y = 2x+,C. y = 2_xD. y=l x2.函数y =@—2尸在R上为增函数,则a的取值范围是()A. a>0 且a7^1B. a>3C. a<3D. 2<a<33.函数y=厂2+1@〉0, a^l)的图象必经过点( )A. (0,1)B. (1,1)C. (2,0)D. (2,2)4.f(x)=|jl|x|, xGR,那么班0是()A.奇函数且在(0, + <-)上是增函数B.偶函数且在(0, + 8)上是增函数C.奇函数且在(0, + 8)上是减函数D.偶函数且在(0,5.方程广「命的解为()A. 2B. -2C. -1D. 16.方程4^=令的解为()A. 2B. -2C. -1D. 17.某种细菌在培养过程中,每20分钟分裂一次(一个分裂为两个)。
经过3个小时,这种细菌由1个nJ繁殖成()A.511 个B.512 个C.1O23 个D1024 个8.在统一平面直角坐标系中,函数/(兀)8. 设a,b,c,d 都是不等于1的正数,y = a\y = h\y = c\y = d x 在同一•处标系中的图像如图所示,则a,b,c,d 的10. y= 0.3戶的值域是( )4. (-oo,0) B.[l,+x) C.(0,l] 0.(- oo,l]11. 当xe[-l,l]时函数/(x) = 3v -2的值域是()A. --,1 B\-1,1] C. 1,- D.[0,l3 3 2 2 1 1 | £ 512. 化简(/沪)(—3决质)十(丄,沪)的结果 ( ) A . 6a B • -a C . -9a D . 9a 2设指数函数/(x) = a x (a > 0卫主1),则下列等式中不正确的是(0,1] B • (04) C • (0,+o>)13. 14. f(nx) = [f(x)]n (n e Q) f(xyy=[f(x)]n {f(y)Y (n G N") 函数 y = (x-5)°4-(x-2p{x \ x 5,x 工 2} B . {x\x > 2}{x\x>5} D . {x\2< x < 5^x > 5}15. 函数/(x) = 2-,A 1的值域是16. 若指数函数y = (a + \)x 在(—oo, + 00)上是减函数,那么(A 、 0 < a < IB 、 -l<a <0C 、D 、 a <-11&函数/(x) = 2V , g(x) = x + 2,便.f(x) = g(x)成立的x 的值的集合() A 、是0 B 、有且只有一个元索C 、有两个元素D 、有无数个元素19.下列关系式中正确的是( )9 ( 1 \3 ( 1 \3 ( \ \3 A.-<2_L5 < 丄 B.- < - 3 \2 J(2 丿 \ 2> (1 < 1 \3 (1、 1 r 1 \i c. 2-1-5 < 1 —< A D.2 15 < - < 1 (2丿a二,填空题1. 两数y=pa"—1的定义域是( — 8, 0],则实数a 的取值范围为 _________2. 函数 f (x )=(*)_l, xe [ — 1, 2]的值域为 _______ ・3. 函数/(兀)=G 沏+1(。
指数函数与幂函数练习题1. 指数函数练习题(1) 求解方程:2^x = 8(2) 计算:3^(1/2) × 3^(3/2)(3) 简化表达式:4^(x+2) × 2^(3-x) ÷ 8^2x(4) 求函数 y = 2^x 的定义域和值域2. 幂函数练习题(1) 求解方程:x^2 = 16(2) 计算:(2^3)^x - 2^(2x + 2)(3) 简化表达式:(5^3)^(x+2) ÷ (5^4)^x(4) 求函数 y = 3^x 的定义域和值域3. 综合练习题(1) 求解方程:2^x = x^2(2) 计算:(3^2)^(x+1) × 3^(2x-1) - (9^x) ÷ (3^2x)(3) 简化表达式:(4^x)^(1/3) × (8^x)^(1/2)(4) 求函数 y = 5^x - 2 的定义域和值域解答:1. 指数函数练习题(1) 2^x = 8由指数函数与对数函数的互反关系可知,等式两边取对数,得到 x = log2(8) = 3。
(2) 3^(1/2) × 3^(3/2)由指数函数的乘法法则可知,指数相加,底数不变。
因此,3^(1/2) × 3^(3/2) = 3^(1/2 + 3/2) = 3^2 = 9。
(3) 4^(x+2) × 2^(3-x) ÷ 8^2x首先简化指数部分:4^(x+2) × 2^(3-x) ÷ 8^2x = 2^2(x+2) × 2^(3-x) ÷ (2^3)^2x = 2^(2x+4) × 2^(3-x) ÷ 2^(6x) = 2^(2x+4+3-x-6x) = 2^(2-3x)。
简化后的表达式为 2^(2-3x)。
(4) 函数 y = 2^x 的定义域和值域指数函数的定义域为实数集,即 x ∈ℝ。
指数与指数函数最有效训练题(限时45分钟)1.函数2(33)x y a a a =-+是指数函数,则有( )A a=1或a=2B a=1C a=2D 0a >且1a ≠2.设0.90.48 1.512314,8,()2y y y -===,则( )A 312y y y >>B 213y y y >>C 123y y y >>D 132y y y >>3.设函数()f x 定义在实数集上,其图像关于直线x=1对称,且当1x ≥时,()31x f x =-,则有( ) A 132()()()323f f f << B 231()()()323f f f << C 213()()()332f f f << D 321()()()233f f f << 4. 函数()22x x f x -=-是( )A 奇函数,在区间(0,)+∞上单调递增B 奇函数,在区间(0,)+∞上单调递减C 偶函数,在区间(,0)-∞上单调递增D 偶函数,在区间(,0)-∞上单调递减.5.若关于x 的方程9(4)340x x a ++•+=有解,则实数a 的取值范围是( ) A (,8)[0,)-∞-+∞ B (,4)-∞- C [8,4)- D (,8]-∞- 6.函数221(0)(1)(0)(){ax ax x a e x f x +≥-<=在R 上单调,则a 的取值范围是( )A (,(1,2]-∞B [1)[2,)-+∞C (1)D )+∞7.不等式2223330x x a a •-+-->,当01x ≤≤时,恒成立,则实数a 的取值范围为 .8. 函数1(2y =的单调递增区间是 .9.已知关于x 的方程923310x x k -⨯+-=有两个不同实数根,则实数k 的取值范围为 .10. 偶函数()f x 满足 (1)(1)f x f x -=+,且在[0,1]x ∈时,()f x x =,则关于x 的方程1()()10x f x =,在[0,2014]x ∈上的解的个数是 . 11.已知函数()x f x b a =⋅(其中a,b 为常数且0,1)a a >≠的图像经过点A (1,6),B (3,24).(1)确定()f x .(2)若不等式11()()0x x m a b +-≥在(,1]x ∈-∞时恒成立,求实数m 的取值范围.12.已知函数1()(),[1,1]3x f x x =∈-,函数2()[()]2()3g x f x af x =-+的最小值为h(a).(1)求h(a);(2)是否存在实数m,n 同时满足下列条件:①3m n >>;②当h(a)的定义域为[n,m]时,值域为22[,]n m .若存在,求出m,n 的值;若不存在,说明理由.。
高中数学必修一指数函数专题练习题1•下列以x 为自变量的函数中,是指数函数的是( )(A) y ( 4)x (C) y 4x (D) y a x2,(a 0且a 1)2•若a 0,则函数y a x 1 1的图像经过定点 ( )(A)( 1, 2) (B)(2, 1) (C)(0, 1 1) (D) (2, 1+ a ) am3.若1 0.25n ,则m,n 的关系是 ( )44•下列命题中,正确命题的个数为 ( )(1)函数y 2,(a 0且a 1)不是指数函数; a(2)指数函数不具有奇偶性;⑶指数函数在其定义域上是单调函数。
(A) 0 (B) 1 (C) 2 (D) 3 5•若a,b 满足0 a b 1,则下列不等式中成立的是 ( )(A) a a a b (B) b a b b (C) a a b a (D) b b a b1.如果函数f(x) (a 1)x 在R 上是减函数,那么实数 a 的取值范围 是 ______________ . ___________2.比较大小:1.72'5 _______ 1.73 , 0.8 0.1 ___ 1.250'2 , 1.70'3_0.93'1 , 4.54'1 _3.73"4.函数y 2x 1的定义域是 ________________.____________一、选择题(每小题5分,共计30分)(B)y(A)m (B) m n (C)m n (D) m n112(6分)指数函数f(x) a x图像过点(2,丄),求f(0), f(1), f( 2).163(6分)画出函数y 2x 11图像,并求定义域与值域.5(8分)求函数y 32' 3x 6的单调递减区间.6(8 分)设 a 是实数,f (x) a x2 (x R),2 1(1) 试证明:对于任意a, f (x)在R为增函数;(2) 试确定a的值,使f(x)为奇函数.7(8分)已知奇函数f (x)定义域为R,当x 0时有f(x) (了 2 x,求f (x).。
指数函数的练习题指数函数是高中数学中的重要内容,它在数学和实际生活中都有广泛的应用。
通过练习题的形式,我们可以更好地理解和掌握指数函数的相关概念和性质。
下面,我将给大家提供一些指数函数的练习题,希望能够对大家的学习有所帮助。
练习题一:简单指数函数计算1. 计算 $2^3$ 和 $(-3)^2$ 的值。
2. 计算 $10^{-2}$ 和 $\left(\frac{1}{2}\right)^{-3}$ 的值。
练习题二:指数函数的性质1. 如果 $a > 1$,那么 $a^x$ 是否是递增函数?为什么?2. 如果 $0 < a < 1$,那么 $a^x$ 是否是递增函数?为什么?3. 如果 $a > 1$,那么 $a^x$ 是否有上界?为什么?练习题三:指数函数的图像1. 画出函数 $y = 2^x$ 和 $y = \left(\frac{1}{2}\right)^x$ 的图像。
2. 画出函数 $y = 3^x$ 和 $y = \left(\frac{1}{3}\right)^x$ 的图像。
练习题四:指数函数的应用1. 假设某种细菌的数量每小时增加50%,现在有1000个细菌,经过多少小时后细菌的数量会达到5000个?2. 一笔投资每年以5%的利率复利计算,如果初始投资为10000元,经过多少年后投资会翻倍?练习题五:指数函数的方程1. 解方程 $2^x = 8$。
2. 解方程 $3^{2x-1} = \frac{1}{9}$。
通过以上的练习题,我们可以加深对指数函数的理解和运用。
在计算指数函数的值时,我们需要注意底数的正负以及指数的大小。
指数函数的性质也是我们需要掌握的重要内容,它们对于理解函数的增减性和图像的变化有着重要的影响。
通过绘制指数函数的图像,我们可以更直观地观察函数的特点和变化趋势。
指数函数在实际生活中也有广泛的应用。
在金融领域中,复利计算常常使用指数函数的概念。
2.函数f (x )=x 2-bx +c 满足f (1+x )=f (1-x )且A .f (b x )≤f (c x) B .f (b x )≥f (c x) lg(a x -2x-5 ≥5 [9,(9,1,,1[1,[1,,1)上的最大值比最小值大,则234x x ---+11.(2011·银川模拟)若函数y =a 2x +2a x-1(a >0且a ≠1)在x ∈[-1,1]上的最大值为14,求a 的值.的值.12.已知函数f (x )=3x ,f (a +2)=18,g (x )=λ·3ax -4x的定义域为[0,1]. (1)求a 的值;的值;(2)若函数g (x )在区间[0,1]上是单调递减函数,求实数λ的取值范围.的取值范围.指数函数答案指数函数答案1.1.解析:由解析:由a ⊗b =îïíïìa a ≤bba >b得f (x )=1⊗2x=îïíïì2xx,1x答案:答案:A A 2. 2. 解析:∵解析:∵f (1(1++x )=f (1(1--x ),∴f (x )的对称轴为直线x =1,由此得b =2. 又f (0)(0)==3,∴c =3.3.∴∴f (x )在(-∞,-∞,1)1)1)上递减,在上递减,在上递减,在(1(1(1,+∞)上递增.,+∞)上递增.,+∞)上递增.若x ≥0,则3x ≥2x ≥1,∴f (3x )≥f (2x).若x <0<0,则,则3x<2x<1<1,∴,∴f (3x)>f (2x). ∴f (3x )≥f (2x ). 答案:答案:A A3.3.解析:由于函数解析:由于函数y =|2x-1|1|在在(-∞,-∞,0)0)0)内单调递减,在内单调递减,在内单调递减,在(0(0(0,+∞)内单调递增,而函数在,+∞)内单调递增,而函数在区间区间((k -1,k +1)1)内不单调,所以有内不单调,所以有k -1<0<k +1,解得-,解得-1<1<k <1. 答案:答案:C C4. 4. 解析:由题意得:解析:由题意得:A =(1,2)(1,2),,a x -2x >1且a >2>2,由,由A ⊆B 知a x -2x>1在(1,2)(1,2)上恒成立,即上恒成立,即a x -2x -1>0在(1,2)(1,2)上恒成立,令上恒成立,令u (x )=a x -2x -1,则u ′(x )=a x ln a -2x ln2>0ln2>0,所以函数,所以函数u (x )在(1,2)(1,2)上单调递增,则上单调递增,则u (x )>u (1)(1)==a -3,即a ≥3.≥3. 答案:答案:B B5. 5. 解析:数列解析:数列解析:数列{{a n }满足a n =f (n )(n ∈N *),则函数f (n )为增函数,为增函数,注意a 8-6>(3>(3--a )×7-)×7-33,所以îïíïìa >13-a >0a8-6-a -3,解得2<a <3.答案:答案:C C6. 6. 解析:解析:f (x )<12⇔x 2-a x <12⇔x 2-12<a x ,考查函数y =a x 与y =x 2-12的图象,的图象,当a >1时,必有a -1≥12,即1<a ≤2,≤2,当0<a <1时,必有a ≥12,即12≤a <1<1,,综上,12≤a <1或1<a ≤2.≤2.答案:答案:C C7. 7. 解析:当解析:当a >1时,y =a x 在[1,2][1,2]上单调递增,故上单调递增,故a 2-a =a 2,得a =32.当0<a <1时,y =ax 在[1,2][1,2]上单调递减,故上单调递减,故a -a 2=a 2,得a =12.故a =12或32.答案:12或328. 8. 解析:分别作出两个函数的图象,通过图象的交点个数来判断参数的取值范围.解析:分别作出两个函数的图象,通过图象的交点个数来判断参数的取值范围.解析:分别作出两个函数的图象,通过图象的交点个数来判断参数的取值范围.曲线曲线||y |=2x+1与直线y =b 的图象如图所示,由图象可得:如果的图象如图所示,由图象可得:如果||y |=2x+1与直线y =b 没有公共点,则b 应满足的条件是b ∈[-1,1]1,1].. 答案:答案:[[-1,1]9. 9. 解析:如图满足条件的区间解析:如图满足条件的区间解析:如图满足条件的区间[[a ,b ],当a =-=-11,b =0或a =0,b =1时区间长度最小,最小值为1,当a =-=-11,b =1时区间长度最大,最大值为2,故其差为1. 答案:答案:1 110. 10. 解:要使函数有意义,则只需-解:要使函数有意义,则只需-x 2-3x +4≥0,即x 2+3x -4≤0,解得-4≤x ≤1.≤1. ∴函数的定义域为∴函数的定义域为{{x |-4≤x ≤1}.≤1}. 令t =-x 2-3x +4,则t =-x 2-3x +4=-=-((x +32)2+254,∴当-4≤x ≤1时,t max =254,此时x =-32,t min =0,此时x =-=-44或x =1.∴0≤t ≤254.∴0≤-x 2-3x +4≤52.∴函数y =2341()2x x ---+的值域为的值域为[[28,1]1]..+)+(≤-时,≤234()2x x ---+在,-32]-32,-32,,-32][1a,,1a ]=1a,即(1a+=13或-15(或13.。
指数函数习题新泰一中闫辉一、选择题1.以下函数中指数函数的个数是( ).①②③④A.0 个B.1 个C.2 个D.3 个2.假设,,那么函数的图象必然在〔〕A.第一、二、三象限 B .第一、三、四象限C.第二、三、四象限D.第一、二、四象限3.,当其值域为时,的取值范围是〔〕A. B .C.D.4.假设,,以下不等式成立的是〔〕A. B . C . D .5.且,,那么是〔〕A.奇函数 B .偶函数C.非奇非偶函数 D .奇偶性与有关6.函数〔〕的图象是〔〕7.函数与的图象大体是().8.当时,函数与的图象只可能是〔〕9.在以以下图象中,二次函数与指数函数的图象只可能是〔〕10.计算机本钱不断降低 , 假设每隔 3 年计算机价格降低 , 现在价格为 8100 元的计算机 , 那么 9 年后的价格为 ( ).A.2400 元 B.900 元C.300 元D.3600 元二、填空题1.比较大小:〔1〕;〔2〕______ 1 ;〔3〕______2.假设,那么的取值范围为 _________.3.求函数的单调减区间为__________.4.的反函数的定义域是__________.5.函数的值域是__________.6.的定义域为, 那么的定义域为 __________.7.当时,, 那么的取值范围是 __________. 8.时,的图象过定点 ________ .9.假设, 那么函数的图象必然不在第 _____象限 .10.函数的图象过点, 又其反函数的图象过点 (2,0),那么函数的剖析式为 ____________.11.函数的最小值为 ____________.12.函数的单调递加区间是 ____________.13.关于的方程有两个实数解 , 那么实数的取值范围是 _________.14.假设函数〔且〕在区间上的最大值是14,那么等于_________.三、解答题1.按从小到大排列以下各数:,,,,,,,2.设有两个函数与,要使〔 1〕;〔 2〕,求、的取值范围.3., 试比较的大小.4.假设函数是奇函数,求的值.5.,求函数的值域.6.解方程:〔1〕;〔2〕.7.函数〔且〕〔1〕求的最小值;〔2〕假设,求的取值范围.8.试比较与的大小,并加以证明.9.某工厂从年到年某种产品的本钱共下降了19%,假设每年下降的百分率相等,求每年下降的百分率10.某工厂今年 1 月、 2 月、 3 月生产某产品分别为 1 万件、 1.2 件、 1.3 万件,为了估测今后每个月的产量,以这三个月的产品数量为依据,用一个函数模拟该产品的月产量与月份数的关系,模拟函数可以采纳二次函数或函数〔其中、、为常数〕,四月份该产品的产量为 1.37 万件,请问用以上哪个函数作为模拟函数较好?请说明原由.11.设,求出的值.12.解方程.参照答案:一、1.B 2.A 3.D4.B5.A 6.B 7.D8.A 9.A 10.A二、 1.〔 1〕〔2〕〔3〕2.3.4.〔0,1〕5.6.7 .8.恒过点〔 1,3〕 9 .四 10 .11.12.13.14.或三、 1.解:除以外,将其余的数分为三类:〔1〕负数:〔2〕小于 1 的正数:,,〔3〕大于 1 的正数:,,在〔 2〕中,;在〔 3〕中,;综上可知说明:对几个数比较大小的详尽方法是:〔1〕与 0 比,与 1 比,将所有数分成三类:,,,〔2〕在各样中两两比2.解:〔 1〕要使由条件是,解之得〔2〕要使,必定分两种情况:当时,只要,解之得;当时,只要,解之得或说明:假设是与比较大小,平时要分和两种情况考虑.3.4.解:为奇函数,,即,那么,5.解:由得,即,解之得,于是,即,故所求函数的值域为6.解:〔 1〕两边同除可得,令,有,解之得或,即或,于是或〔2〕原方程化为,即,由求根公式可获取,故7.解:〔 1〕,当即时,有最小值为〔2〕,解得当时,;当时,.8.当时,>,当时,>.9.解:设每年下降的百分率为,由题意可得,,,故每年下降的百分率为 10%10.解:设模拟的二次函数为,由条件,,,可得,解得又由及条件可得,解得下面比较,与的差,比的误差较小,从而作为模拟函数较好11.解:故12.解:令,那么原方程化为解得或,即或〔舍去〕,习题二1.求不等式 a2 x 7a4x1( a 0 ,且 a1) 中 x 的取值范围.x2.. 指数函数y b的图象以以下图,求二次函数 y ax2bx 的极点的横坐标的取值范围.ay1o x3. 函数f ( x)a x〔a0 ,且 a 1〕关于任意的实数x ,y都有〔〕A. f (xy) f ( x) f ( y)B. f (xy ) f ( x) f ( y)C. f ( x y) f (x) f ( y)D. f (x y) f (x) f ( y)4. 假设(1)x(1) x,那么 x 满足〔〕23A. x 0B. x0 C. x≤ 0D. x ≥ 0 5. (1) (a a 1) 23,求 a3 a 3;(2) a2 x 2 1,求 a3x aa x a 3xx;(3) x31 a ,求 a22ax 3x 6的值.6.函数 f (x) a x〔a0 ,a1〕在2,2 上函数值总小于 2,求实数 a 的取值范围.7 函数 f ( x)a x a x〔 a0, a1〕,且 f (1)3,那么 f(0) f (1) f (2)的值是.8. 假设关于x的方程22x2x ga a10 有实根,试求 a 的取值范围.9.当 a0 且 a 1 时,函数 f ( x)a x2 3 必过定点.10.设 y1a3x1, y2a2x其中 a0 ,且 a 1 .确定x为何值时,有:〔1〕 y1y2;〔2〕 y1y2.11 当a0时,函数 y ax b 和 y b ax的图象是〔〕y y11x xO OABy y11O xOxCD12.函数 y f x的图象与 y2x的图象关于 x 轴对称,那么f x 的表达式为.13.假设函数 Fx12gf x x0是偶函数,且f x 不恒等于 0,那么f x 为〔〕2x1A.奇函数B.偶函数C.可能是奇函数,也可能是偶函数D.非奇非偶函数14. 函数 f x 2x1,g x 1 x2,构造函数 F x 定义以下:当 f x ≥ g x 时, F x f x ;当f xg x 时, F xg x ,那么 F x 〔〕A.有最大值 1,无最小值 B.有最小值 0,无最大值C.有最小值 1,无最大值D.无最小值,也无最大值15. 当 x 0 时,函数 f xa 2x1,那么实数 a 的取值范围是1 的值总大于 .16. 函数f x 满足对任意实数x 1x 2 有 f x 1f x 2 且 f x 1 x 2f x 1 gf x 2 假设写出一个满足这些条件的函数那么这个函数可以写为.习题三一、选择题〔每题4 分,共计 40 分〕1.以下各式中成立的一项为哪一项〔〕A . ( n) 713n 7 m 7 B .3933 C .4 x 3 y 3( x y) 4 D .12( 3)4 33m211 11 52.化简 (a 3 b 2 )( 3a 2 b 3) (1a 6b 6 ) 的结果3A . 9aB .aC . 6aD . 9a 2 3.设指数函数f ( x) a x ( a 0, a1) ,那么以低等式中不正确 的是...A . f ( x +y )= f(x ) · f ( y )B . f 〔 xy 〕 f ( x)f ( y)C . f ( nx)[ f ( x)] n (nQ )D . [ f (xy)] n[ f ( x)] n ·[f ( y)] n5)01 4.函数 y(x( x 2)2〔〕〔〕( n N )〔〕A . { x | x 5, x 2}B . { x | x 2}C . { x | x 5}D . { x | 2 x 5或 x 5}5.假设指数函数ya x 在 [ -1,1] 上的最大值与最小值的差是 1,那么底数 a 等于〔〕A .5 1 B .5 1 C .5 1 D .1522226.方程 a |x| x 2 (0a 1) 的解的个数为〔〕A. 0 个个C. 2个D. 0个或 1个7.函数 f (x) 2|x|的值域是〔〕A . (0,1]B . (0,1)C . (0, )D . R2 x1, x 08.函数 f (x)1,满足 f ( x)1的 x 的取值范围〔〕x 2 , x 0A . ( 1,1)B . ( 1, )C . { x | x 0或 x 2}D. { x | x 1或 x1}9. f (x)e x e x〔〕,那么以下正确的选项是2A .奇函数,在 R 上为增函数B .偶函数,在 R 上为增函数C .奇函数,在 R 上为减函数 D.偶函数,在 R 上为减函数10.函数 y( 1) x 2 x 2得单调递加区间是〔 〕2C .[ 1,2]D . [ 1,1]A .( , 1]B .[2,)22二、填空题〔每题 4 分,共计 28 分〕11. a2 ,b 2 ,那么实数 a 、b 的大小关系为 .12:不用计算器计算272 100.12927233 037=___________.481x 2813.不等式3 2 x 的解集是 __________________________ .314. n2, 1,0,1,2,3 ,假设 ( 1)n( 1)n,那么 n ___________ .251 x 2ax2 x a 215.不等式1恒成立,那么 a 的取值范围是.2216.定义运算:aa (a b)2 x的值域为 _________________b(a,那么函数 f x 2xb b)17. 以以下图的是某池塘中的浮萍延长的面积( m 2 ) 与时间 t ( 月 ) 的关系 : y a t , 有以下表达 :① 这个指数函数的底数是 2;y/m 2 ② 第 5 个月时 , 浮萍的面积就会高出30m 2 ;8③ 浮萍从 4m 2 延长到 12m 2需要经过1.5 个月;④ 浮萍每个月增加的面积都相等;⑤ 假设浮萍延长到2m 2、 3m 2 、 6m 24所经过的时间分别为 t 1 、 t 2 、 t 3 ,那么t 1t 2t 3 .21其中正确的选项是.0 1 2 3t/ 月三、解答题:〔 10+10+12=32 分〕18. aa 17 ,求以下各式的值:3 31122〔 1〕a1 a1 ; 〔 2〕 a 2a 2 ; 〔 3〕 a 2 a 2 ( a 1) .a2a 219. 函数y a 2 x2a x1(a1)在区间[-1,1]上的最大值是14,求a的值.20. 〔 1〕 f ( x)2m 是奇函数,求常数 m 的值;3x1〔 2〕画出函数 y | 3x 1 | 的图象,并利用图象答复:k 为何值时,方程 | 3x 1| k 无解?有一解?有两解?参照答案一、选择题〔 4*10=40 分〕题号 1 2 3 4 5 6 7 8 9 10答案BADDCCADAC二、填空题〔 4*7=28 分〕11. a b ;; 13. { x | x 4或 x2} ; 14.-1或 215.(-2, 2); 16.(0,1]17.①②⑤三、解答题:〔 10+10+12=32 分〕111118.解 : 〔1〕原式 (a2)3(a 2 )3( a2a 2 )(a a 11)a a18 。
指数函数习题及答案Document serial number【NL89WT-NY98YT-NC8CB-NNUUT-NUT108】指数函数习题一、选择题1.定义运算ab=,则函数f(x)=12x的图象大致为( )2.函数f(x)=x2-bx+c满足f(1+x)=f(1-x)且f(0)=3,则f(b x)与f(c x)的大小关系是( )A.f(b x)≤f(c x)B.f(b x)≥f(c x)C.f(b x)>f(c x)D.大小关系随x的不同而不同3.函数y=|2x-1|在区间(k-1,k+1)内不单调,则k的取值范围是( ) A.(-1,+∞)B.(-∞,1)C.(-1,1) D.(0,2)4.设函数f(x)=ln[(x-1)(2-x)]的定义域是A,函数g(x)=lg(-1)的定义域是B,若AB,则正数a的取值范围( )A.a>3 B.a≥3C.a> D.a≥5.已知函数f(x)=若数列{a n}满足a n=f(n)(n∈N*),且{a n}是递增数列,则实数a的取值范围是( )A.[,3) B.(,3)C.(2,3) D.(1,3)6.已知a>0且a≠1,f(x)=x2-a x,当x∈(-1,1)时,均有f(x)<,则实数a 的取值范围是( )A.(0,]∪[2,+∞)B.[,1)∪(1,4]C.[,1)∪(1,2]D.(0,)∪[4,+∞)二、填空题7.函数y=a x(a>0,且a≠1)在[1,2]上的最大值比最小值大,则a的值是________.8.若曲线|y|=2x+1与直线y=b没有公共点,则b的取值范围是________.9.(2011·滨州模拟)定义:区间[x1,x2](x1<x2)的长度为x2-x1.已知函数y=2|x|的定义域为[a,b],值域为[1,2],则区间[a,b]的长度的最大值与最小值的差为________.三、解答题10.求函数y=211.(2011·银川模拟)若函数y=a2x+2a x-1(a>0且a≠1)在x∈[-1,1]上的最大值为14,求a的值.12.已知函数f(x)=3x,f(a+2)=18,g(x)=λ·3ax-4x的定义域为[0,1].(1)求a的值;(2)若函数g(x)在区间[0,1]上是单调递减函数,求实数λ的取值范围.指数函数答案1.解析:由ab=得f(x)=12x=答案:A2.解析:∵f (1+x )=f (1-x ),∴f (x )的对称轴为直线x =1,由此得b =2. 又f (0)=3,∴c =3.∴f (x )在(-∞,1)上递减,在(1,+∞)上递增. 若x ≥0,则3x ≥2x ≥1,∴f (3x )≥f (2x ). 若x <0,则3x <2x <1,∴f (3x )>f (2x ). ∴f (3x )≥f (2x ). 答案:A3.解析:由于函数y =|2x -1|在(-∞,0)内单调递减,在(0,+∞)内单调递增,而函数在区间(k -1,k +1)内不单调,所以有k -1<0<k +1,解得-1<k <1. 答案:C4.解析:由题意得:A =(1,2),a x -2x >1且a >2,由AB 知a x -2x >1在(1,2)上恒成立,即a x -2x -1>0在(1,2)上恒成立,令u (x )=a x -2x -1,则u ′(x )=a x ln a -2x ln2>0,所以函数u (x )在(1,2)上单调递增,则u (x )>u (1)=a -3,即a ≥3. 答案:B5.解析:数列{a n }满足a n =f (n )(n ∈N *),则函数f (n )为增函数, 注意a 8-6>(3-a )×7-3,所以,解得2<a <3. 答案:C6.解析:f (x )<x 2-a x <x 2-<a x ,考查函数y =a x 与y =x 2-的图象, 当a >1时,必有a -1≥,即1<a ≤2, 当0<a <1时,必有a ≥,即≤a <1, 综上,≤a <1或1<a ≤2. 答案:C7.解析:当a >1时,y =a x 在[1,2]上单调递增,故a 2-a =,得a =.当0<a <1时,y =a x 在[1,2]上单调递减,故a -a 2=,得a =.故a =或. 答案:或8.解析:分别作出两个函数的图象,通过图象的交点个数来判断参数的取值范围.曲线|y |=2x +1与直线y =b 的图象如图所示,由图象可得:如果|y |=2x +1与直线y =b 没有公共点,则b 应满足的条件是b ∈[-1,1]. 答案:[-1,1]9.解析:如图满足条件的区间[a ,b ],当a =-1,b =0或a =0,b =1时区间长度最小,最小值为1,当a =-1,b =1时区间长度最大,最大值为2,故其差为1. 答案:110.解:要使函数有意义,则只需-x 2-3x +4≥0,即x 2+3x -4≤0,解得-4≤x ≤1.∴函数的定义域为{x |-4≤x ≤1}.令t =-x 2-3x +4,则t =-x 2-3x +4=-(x +)2+,∴当-4≤x ≤1时,t max =,此时x =-,t min =0,此时x =-4或x =1. ∴0≤t ≤.∴0≤≤.∴函数y =2341()2x x --+[,1].由t =-x 2-3x +4=-(x +)2+(-4≤x ≤1)可知,当-4≤x ≤-时,t 是增函数, 当-≤x ≤1时,t 是减函数. 根据复合函数的单调性知:y =1()2[-4,-]上是减函数,在[-,1]上是增函数.∴函数的单调增区间是[-,1],单调减区间是[-4,-].11.解:令a x =t ,∴t >0,则y =t 2+2t -1=(t +1)2-2,其对称轴为t =-1.该二次函数在[-1,+∞)上是增函数.①若a >1,∵x ∈[-1,1],∴t =a x ∈[,a ],故当t =a ,即x =1时,y max =a 2+2a -1=14,解得a =3(a =-5舍去). ②若0<a <1,∵x ∈[-1,1],∴t =a x∈[a ,],故当t =,即x =-1时, y max =(+1)2-2=14. ∴a =或-(舍去). 综上可得a =3或.12.解:法一:(1)由已知得3a +2=183a =2a =log 32. (2)此时g (x )=λ·2x -4x , 设0≤x 1<x 2≤1,因为g (x )在区间[0,1]上是单调减函数,所以g (x 1)-g (x 2)=(2x 1-2x 2)(λ-2x 2-2x 1)>0恒成立,即λ<2x 2+2x 1恒成立.由于2x 2+2x 1>20+20=2,所以实数λ的取值范围是λ≤2. 法二:(1)同法一.(2)此时g (x )=λ·2x -4x ,因为g (x )在区间[0,1]上是单调减函数,所以有g ′(x )=λln2·2x -ln4·4x =ln2[-2·(2x )2+λ·2x ]≤0成立. 设2x =u ∈[1,2],上式成立等价于-2u 2+λu ≤0恒成立. 因为u ∈[1,2],只需λ≤2u 恒成立, 所以实数λ的取值范围是λ≤2.。
指数函数习题大全(1)新泰一中 闫辉一,填空题1有下列四个命题:其中正确的个数是( )①正数的偶次方根是一个正数; ②正数的奇次方根是一个正数; ③负数的偶次方根是一个负数; ④负数的奇次方根是一个负数。
A .0 B .1 C .2 D .3 2、38-的值是( )A .2B .-2C .2±D .83、给出下列等式:①2a a =;②2()a a =;③33a a =;④33()a a =.其中不一定正确的是( ) A .① B .② C .③ D .④ 4、042(4)a a -+-有意义,则实数a 的取值范围是( )A .2a ≥B .24a ≤<或4a >C .2a ≠D .4a ≠ 5、若233441(12)a a a -+=-,则实数a 的取值范围是( ) A .12a ≥ B .12a ≤ C .1122a -≤≤ D .R 6、1216-的值为( )A .4B .14 C .2 D .127、下列式子正确的是( )A .1236(1)(1)-=- B .3355(2)2-=- C .255()a a -=- D .120-=8、将322-化为分数指数幂的形式为( ) A .122- B .122-- C .132- D .562-9. 函数13xy =-的定义域是( )A 、(,0]-∞B 、(,1]-∞C 、[0,)+∞D 、[1,)+∞ 10.01,1a b <<<-,则函数()xf x a b =+的图象不经过( ) A 、第一象限 B 、第二象限 C 、第三象限 D 、第四象限 11. 设137x=,则( ) A 、21x -<<- B 、32x -<<- C 、10x -<< D 、01x << 12、若13()273x<<,则( ) A 、13x -<< B 、1x <-或3x > C 、31x -<<- D 、13x <<二,填空题1、已知0a >,将a a a 化为分数指数幂的形式为_________________.2、计算或化简:(1)238()27-=___________ (2)12113342(2)(3)x y x y --=_________________;3、已知38,35ab==,则233a b -=________________;4、若416,x =且x R ∈,则x =_________________. 5、求下列各式的值:(1)4823=____________; (2)425625=_________ (3)3313630.12548--=____________6.若0a >,且1a ≠,则函数21x y a -=+的图象一定过定点___________.7. 比较下列各组数的大小:(1)0.2(3)_______25(3) ; (2)0.63()4-_______343()4-;(3)134()5-_______0.35()4; (4)0.53()2_______22()5 8. 已知0.80.81m n>>,则m 、n 、0的大小关系为___________.9. 0.70.50.80.8,0.8, 1.3,ab c ===则a 、b 、c 的大小关系为___________.10. 函数121x y =-的定义域是___________,值域是___________.11. 某厂2004年的产值为a 万元,预计产值每年以5%递增,该厂到2016年的 产值是( ) A 、13(15%)a +万元 B 、12(15%)a +万元 C 、11(15%)a +万元 D 、1210(15%)9+万元 6、函数2282x x y -++=的定义域是___________,值域是___________, 增区间是___________,减区间是___________. 三解答题1. 函数()xf x a b =+的图象如图所示(1)求,a b 的值; (2)当[2,4]x ∈时,求()f x 的最大值与最小值。
指数函数习题新泰一中闫辉一、选择题1.下列函数中指数函数的个数是 ( ).①②③④A.0个 B.1个 C.2个 D.3个2.若,,则函数的图象一定在()A.第一、二、三象限 B.第一、三、四象限C.第二、三、四象限 D.第一、二、四象限3.已知,当其值域为时,的取值范围是()A. B.C. D.4.若,,下列不等式成立的是()A. B. C. D.5.已知且,,则是()A.奇函数 B.偶函数C.非奇非偶函数 D.奇偶性与有关6.函数()的图象是()7.函数与的图象大致是( ).8.当时,函数与的图象只可能是()9.在下列图象中,二次函数与指数函数的图象只可能是()10.计算机成本不断降低,若每隔3年计算机价格降低 ,现在价格为8100元的计算机,则9年后的价格为( ).A.2400元 B.900元 C.300元 D.3600元二、填空题1.比较大小:(1);(2) ______ 1;(3) ______2.若,则的取值范围为_________.3.求函数的单调减区间为__________.4.的反函数的定义域是__________.5.函数的值域是__________ .6.已知的定义域为 ,则的定义域为__________.7.当时, ,则的取值范围是__________.8.时,的图象过定点________ .9.若 ,则函数的图象一定不在第_____象限.10.已知函数的图象过点 ,又其反函数的图象过点(2,0),则函数的解析式为____________.11.函数的最小值为____________.12.函数的单调递增区间是____________.13.已知关于的方程有两个实数解,则实数的取值范围是_________.14.若函数(且)在区间上的最大值是14,那么等于_________.三、解答题1.按从小到大排列下列各数:,,,,,,,2.设有两个函数与,要使(1);(2),求、的取值范围.3.已知 ,试比较的大小.4.若函数是奇函数,求的值.5.已知,求函数的值域.6.解方程:(1);(2).7.已知函数(且)(1)求的最小值;(2)若,求的取值范围.8.试比较与的大小,并加以证明.9.某工厂从年到年某种产品的成本共下降了19%,若每年下降的百分率相等,求每年下降的百分率10.某工厂今年1月、2月、3月生产某产品分别为1万件、1.2件、1.3万件,为了估测以后每个月的产量,以这三个月的产品数量为依据,用一个函数模拟该产品的月产量与月份数的关系,模拟函数可以选用二次函数或函数(其中、、为常数),已知四月份该产品的产量为1.37万件,请问用以上哪个函数作为模拟函数较好?请说明理由.11.设,求出的值.12.解方程.参考答案:一、1.B 2.A 3.D 4.B 5.A 6.B 7.D 8.A 9.A 10.A二、1.(1)(2)(3)2. 3. 4.(0,1) 5.6. 7.8.恒过点(1,3) 9.四 10.11. 12. 13. 14.或三、1.解:除以外,将其余的数分为三类:(1)负数:(2)小于1的正数:,,(3)大于1的正数:,,在(2)中,;在(3)中,;综上可知说明:对几个数比较大小的具体方法是:(1)与0比,与1比,将所有数分成三类:,,,(2)在各类中两两比2.解:(1)要使由条件是,解之得(2)要使,必须分两种情况:当时,只要,解之得;当时,只要,解之得或说明:若是与比较大小,通常要分和两种情况考虑.3.4.解:为奇函数,,即,则,5.解:由得,即,解之得,于是,即,故所求函数的值域为6.解:(1)两边同除可得,令,有,解之得或,即或,于是或(2)原方程化为,即,由求根公式可得到,故7.解:(1),当即时,有最小值为(2),解得当时,;当时,.8.当时, > ,当时, > .9.解:设每年下降的百分率为,由题意可得,,,故每年下降的百分率为10%10.解:设模拟的二次函数为,由条件,,,可得,解得又由及条件可得,解得下面比较,与1.37的差,比的误差较小,从而作为模拟函数较好11.解:故12.解:令 ,则原方程化为 解得 或 ,即 或 (舍去),习题二1. 求不等式2741(0x x a a a -->>,1)a ≠且中x 的取值范围.2. . 指数函数xb y a ⎛⎫= ⎪⎝⎭的图象如图所示,求二次函数2y ax bx =+的顶点的横坐标的取值范围.3. 函数()xf x a =(0a >,且1a ≠)对于任意的实数x ,y 都有( )A.()()()f xy f x f y =B.()()()f xy f x f y =+ C.()()()f x y f x f y +=D.()()()f x y f x f y +=+oyx14. 若11()()23x x <,则x 满足( ) A.0x > B.0x < C.0x ≤D.0x ≥5. (1)已知12()3a a -+=,求33a a -+;(2)已知221xa =+,求33x xx xa a a a--++; (3)已知31x a -+=,求2362a ax x ---+的值.6. 已知函数()x f x a =(0a >,1a ≠)在[]22-,上函数值总小于2,求实数a 的取值范围. 7 已知函数()x x f x a a -=+(0a >,1a ≠),且(1)3f =,则(0)(1)(2)f f f ++的值 是 .8. 若关于x 的方程22210x x a a +++= 有实根,试求a 的取值范围.9. 当0a >且1a ≠时,函数2()3x f x a -=-必过定点 . 10. 设311x y a +=,22x y a -=其中0a >,且1a ≠.确定x 为何值时,有: (1)12y y =; (2)12y y >.11 当0a ≠时,函数y ax b =+和ax y b =的图象是( )12. 函数()y f x =的图象与2xy =的图象关于x 轴对称,则()f x 的表达式为 .13. 若函数()()()21021xF x f x x ⎛⎫=+≠ ⎪-⎝⎭是偶函数,且()f x 不恒等于0,则()f x 为( ) A.奇函数 B.偶函数C.可能是奇函数,也可能是偶函数 D.非奇非偶函数14. 已知函数()()2211xf xg x x =-=-,,构造函数()F x 定义如下:当()()f x g x ≥时,()()F x f x =;当1yOxyOx1yOx1yOx1ABCD()()f x g x <时,()()F x g x =-,那么()F x ( )A.有最大值1,无最小值 B.有最小值0,无最大值 C.有最小值1-,无最大值D.无最小值,也无最大值15. 当0x >时,函数()()21xf x a =-的值总大于1,则实数a 的取值范围是 .16. 已知函数()f x 满足对任意实数12x x <有()()12f x f x <且()()()1212f x x f x f x += 若写出一个满足这些条件的函数则这个函数可以写为 .习题三一、选择题(每小题4分,共计40分) 1.下列各式中成立的一项是( )A .7177)(m n mn= B .3339= C .43433)(y x y x +=+ D .31243)3(-=-2.化简)31()3)((656131212132b a b a b a ÷-的结果( )A .a 9-B .a -C .a 6D .29a3.设指数函数)1,0()(≠>=a a a x f x ,则下列等式中不正确...的是 ( )A .f (x +y )=f(x )·f (y )B .)()(y f x f y x f =-)( C .)()]([)(Q n x f nx f n∈=D .)()]([·)]([)]([+∈=N n y f x f xy f n n n4.函数210)2()5(--+-=x x y( )A .}2,5|{≠≠x x xB .}2|{>x xC .}5|{>x xD .}552|{><<x x x 或 5.若指数函数x a y =在[-1,1]上的最大值与最小值的差是1,则底数a 等于( )A .215+ B .215- C .215± D .251± 6.方程)10(2||<<=a x ax 的解的个数为 ( )A. 0个B. 1个C. 2个D. 0个或1个 7.函数||2)(x x f -=的值域是( )A .]1,0(B .)1,0(C .),0(+∞D .R8.函数⎪⎩⎪⎨⎧>≤-=-0,0,12)(21x x x x f x ,满足1)(>x f 的x 的取值范围 ( )A .)1,1(-B . ),1(+∞-C .}20|{-<>x x x 或D .}11|{-<>x x x 或9.已知2)(xx e e x f --=,则下列正确的是 ( )A .奇函数,在R 上为增函数B .偶函数,在R 上为增函数C .奇函数,在R 上为减函数D .偶函数,在R 上为减函数 10.函数22)21(++-=x x y 得单调递增区间是( )A .]1,(--∞B .),2[+∞C .]2,21[D . ]21,1[-二、填空题(每小题4分,共计28分)11.已知0.622,0.6a b ==,则实数a b 、的大小关系为 .12:不用计算器计算48373271021.097203225.0+-⎪⎭⎫⎝⎛++⎪⎭⎫ ⎝⎛--π=___________. 13.不等式x x 283312--<⎪⎭⎫ ⎝⎛的解集是__________________________.14.已知{}2,1,0,1,2,3n ∈--,若11()()25nn->-,则=n ___________.15.不等式2221212-++⎪⎭⎫ ⎝⎛<⎪⎭⎫ ⎝⎛a x axx 恒成立,则a 的取值范围是 .16.定义运算:⎩⎨⎧>≤=⊗)()(b a b b a a b a ,则函数()x x x f -⊗=22的值域为_________________17.如图所示的是某池塘中的浮萍蔓延的面积(2m )与时间t (月)的关系:t y a =,有以下叙述: ① 这个指数函数的底数是2;② 第5个月时,浮萍的面积就会超过230m ; ③ 浮萍从24m 蔓延到212m 需要经过1.5个月; ④ 浮萍每个月增加的面积都相等;⑤ 若浮萍蔓延到22m 、23m 、26m 所经过的时间 分别为1t 、2t 、3t ,则123t t t +=. 其中正确的是 . 三、解答题:(10+10+12=32分)18.已知17a a -+=,求下列各式的值:(1)33221122a a a a----; (2)1122a a-+; (3)22(1)a a a -->.19.已知函数)1(122>-+=a a a y x x在区间[-1,1]上的最大值是14,求a 的值.2 1 0 y/m 2t/月2 381 420.(1)已知m x f x+-=132)(是奇函数,求常数m 的值; (2)画出函数|13|-=x y 的图象,并利用图象回答:k 为何值时,方程|31|x k -=无解?有一解?有两解?参考答案一、选择题(4*10=40分) 题号 1 2 3 4 5 6 7 8 9 10 答案BADDCCADAC二、填空题(4*7=28分)11.b a >; 12.100; 13.}24|{-<>x x x 或; 14.-1或2 15.(-2, 2) ; 16.]1,0( 17.①②⑤ 三、解答题:(10+10+12=32分) 18.解: (1)原式=11113312222111112222()()()(1)1718a a a a a a a a a aa a--------++==++=+=--。
指数函数基础练习题一、选择题1. 若 f(x) = 2^x,则 f(3) 的值为:A. 2B. 4C. 8D. 162. 若 g(x) = 5^x,则 g(0) 的值为:A. 0B. 1C. 5D. 103. 若 h(x) = (1/3)^x,则 h(2) 的值为:A. 1/9B. 1/6C. 1/3D. 9/14. 若 k(x) = 10^x,则 k(-1) 的值为:A. 0.1B. 1C. 10D. 1005. 若 p(x) = e^x,则 p(1) 的值为:A. 1B. eC. e^2D. e^-1二、填空题1. 若 f(x) = 2^x,解方程 f(x) = 64,x 的值为 _______。
2. 若 g(x) = 5^x,解不等式 g(x) < 1,x 的取值范围为 _______。
3. 若 h(x) = (1/4)^x,解不等式 h(x) > 16,x 的取值范围为 _______。
4. 若 k(x) = 10^x,解方程 k(x) = 1000,x 的值为 _______。
5. 若 p(x) = e^x,解方程 p(x) = 5,x 的值约为 _______(保留两位小数)。
三、计算题1. 计算 f(2) + f(0) + f(-1) 的值。
2. 计算 g(3) - g(2) 的值。
3. 计算 h(1/2) + h(1/3) 的值。
4. 计算 k(-2) - k(0) 的值。
5. 若指数函数 f(x) = a * b^x,已知 f(0) = 3,f(2) = 27,求 a 和 b 的值。
四、解答题1. 将函数 f(x) = 4 * 2^x 的图像完整地画在坐标系中,并标出至少三个点的坐标。
2. 设函数 f(x) = 3 * 5^x,求函数 f(x) 的反函数,并说明反函数的定义域和值域。
3. 证明:指数函数 f(x) = b^x (其中 b > 0 且b ≠ 1)的图像经过点(0, 1)。
指数函数练习题(一)1.设y 1=40.9,y 2=80.48,y 3=(12)-1.5,则( )A .y 3>y 1>y 2B .y 2>y 1>y 3C .y 1>y 2>y 3D .y 1>y 3>y 2 解析:选D.y 1=40.9=21.8,y 2=80.48=21.44,y 3=(12)-1.5=21.5,∵y =2x 在定义域内为增函数, 且1.8>1.5>1.44, ∴y 1>y 3>y 2.2.若函数f (x )=⎩⎨⎧a x ,x >14-a2x +2,x ≤1是R 上的增函数,则实数a 的取值范围为( )A .(1,+∞)B .(1,8)C .(4,8)D .[4,8)解析:选 D.因为f (x )在R 上是增函数,故结合图象(图略)知⎩⎪⎨⎪⎧a >14-a 2>04-a 2+2≤a ,解得4≤a <8.3.函数y =(12)1-x 的单调增区间为( )A .(-∞,+∞)B .(0,+∞)C .(1,+∞)D .(0,1)解析:选A.设t =1-x ,则y =⎝ ⎛⎭⎪⎫12t ,则函数t =1-x 的递减区间为(-∞,+∞),即为y =⎝ ⎛⎭⎪⎫121-x 的递增区间.4.已知函数y =f (x )的定义域为(1,2),则函数y =f (2x )的定义域为________. 解析:由函数的定义,得1<2x <2⇒0<x <1.所以应填(0,1). 答案:(0,1)指数函数练习题(二)1.设13<(13)b <(13)a <1,则( )A .a a <a b <b aB .a a <b a <a bC .a b <a a <b aD .a b <b a <a a 解析:选C.由已知条件得0<a <b <1, ∴a b <a a ,a a <b a ,∴a b <a a <b a .2.若(12)2a +1<(12)3-2a ,则实数a 的取值范围是( )A .(1,+∞)B .(12,+∞)C .(-∞,1)D .(-∞,12)解析:选B.函数y =(12)x 在R 上为减函数,∴2a +1>3-2a ,∴a >12.3.下列三个实数的大小关系正确的是( )A .(12011)2<212011<1B .(12011)2<1<212011C .1<(12011)2<212011D .1<212011<(12011)2解析:选B.∵12011<1,∴(12011)2<1,212011>20=1.4.设函数f (x )=a -|x |(a >0且a ≠1),f (2)=4,则( )A .f (-1)>f (-2)B .f (1)>f (2)C .f (2)<f (-2)D .f (-3)>f (-2)解析:选D.由f (2)=4得a -2=4,又a >0,∴a =12,f (x )=2|x |,∴函数f (x )为偶函数,在(-∞,0)上单调递减,在(0,+∞)上单调递增.5.函数f (x )=12x +1在(-∞,+∞)上( ) X k b 1 . c o mA .单调递减无最小值B .单调递减有最小值C .单调递增无最大值D .单调递增有最大值解析:选A.u =2x+1为R 上的增函数且u >0,∴y =1u在(0,+∞)为减函数.即f (x )=12x +1在(-∞,+∞)上为减函数,无最小值. 6.若x <0且a x >b x >1,则下列不等式成立的是( ) A .0<b <a <1 B .0<a <b <1 C .1<b <a D .1<a <b解析:选B.取x =-1,∴1a >1b>1,∴0<a <b <1. 7.当x ∈[-1,1]时,f (x )=3x -2的值域为________.解析:x ∈[-1,1],则13≤3x ≤3,即-53≤3x -2≤1.答案:⎣⎢⎡⎦⎥⎤-53,18.讨论y =(13)x 2-2x 的单调性.解:函数y =(13)x 2-2x 的定义域为R ,令u =x 2-2x ,则y =(13)u .列表如下:9.已知2x≤(14)x -3,求函数y =(12)x 的值域.解:由2x≤(14)x -3,得2x ≤2-2x +6,∴x ≤-2x +6,∴x ≤2.∴(12)x ≥(12)2=14,即y =(12)x 的值域为[14,+∞).。
指数函数练习题1.指数函数的基本概念指数函数是数学中一类重要的函数,常用于描述指数增长或指数衰减的情况。
其一般形式为:$y = a \cdot b^x$,其中 $a$ 和$b$ 是常数,$b。
0$ 且 $b \neq 1$。
指数函数的特点包括:当 $b。
1$ 时,函数呈指数增长趋势;当 $0 < b < 1$ 时,函数呈指数衰减趋势;当 $b = 1$ 时,函数退化为常数函数。
2.指数函数的求解与应用指数函数的求解主要涉及确定常数 $a$ 和 $b$ 的值,以及利用函数的性质进行计算。
示例1.已知函数 $y = 3 \cdot 2^x$,求当 $x = 2$ 时的函数值。
示例1.已知函数 $y = 3 \cdot 2^x$,求当 $x = 2$ 时的函数值。
解答:将 $x = 2$ 代入函数表达式中,得到 $y = 3 \cdot 2^2 = 12$。
因此,当 $x = 2$ 时,函数值为 12.示例2.某车辆的初始价格为 10 万元,每年贬值 5%,求经过 5 年后车辆的价格。
示例2.某车辆的初始价格为 10 万元,每年贬值5%,求经过 5 年后车辆的价格。
解答:设经过 $x$ 年后车辆的价格为 $y$,则满足指数衰减的函数关系为 $y = 10 \times (1-0.05)^x$。
代入 $x = 5$,得到 $y = 10 \times (1-0.05)^5 \approx 7.788$ 万元。
因此,经过 5 年后车辆的价格约为 7.788 万元。
指数函数在实际生活中有广泛的应用,例如金融领域的复利计算、生物学中的指数增长模型、电子电路中的放大器响应曲线等。
3.指数函数的练习题练习题1.若指数函数 $y = a \cdot b^x$ 过点 $(1,4)$,并且在$x = 2$ 处的斜率为 1,求函数的表达式。
练习题1.若指数函数 $y = a \cdot b^x$ 过点 $(1,4)$,并且在 $x = 2$ 处的斜率为 1,求函数的表达式。
$
指数与指数函数练习题
姓名 学号
(一)指数
1、化简[32)5(-]4
3的结果为 ( ) A .5 B .5 C .-5 D .-5
2、将322-化为分数指数幂的形式为 ( ) A .212- B .3
12- C .2
12-
- D .6
52-
3.333
4)2
1
()21()
2()2(---+-+----的值 ( )
)
A 4
3
7
B 8
C -24
D -8
4(a, b 为正数)的结果是_________.
5、3
21
41()6437
---+-=__________.
6、)3
1
()3)((65
613
1212132b a b a b a ÷-=__________。
(二)指数函数
一.选择题: 1. 函数x y 24-=
的定义域为 ( )
"
A ),2(+∞
B (]2,∞-
C (]2,0
D [)+∞,1 2. 下列函数中,在),(+∞-∞上单调递增的是 ( )
A ||x y =
B 2
y x = C 3x
y = D x
y 5.0= 3.某种细菌在培养过程中,每20分钟分裂一次(一个分裂为两个)。
经过3个小时,这种细菌由1个可繁殖成( )
511.A 个 512.B 个 1023.C 个 1024.D 个
4.在统一平面直角坐标系中,函数ax x f =)(与x
a x g =)(的图像可能是 ( )
5.设d c b a
,,,都是不等于1的正数,x
x x x
d y c y b y a y ====,,,在同一坐标系中的图像如图所示,则
d c b a ,,,的大小顺序是
( )
d c b a A <<<. c d b a B <<<. c d a b C <<<. d c a b D <<<.
|
6.函数0.(12
>+=-a a
y x 且)1≠a 的图像必经过点
)1,0.(A )1,1.(B )0,2.(C )2,2.(D
7 .若01<<-x ,那么下列各不等式成立的是 ( )
x x x A 2.022.<<- x x x B -<<22.02. x x x C 222.0.<<- x x x D 2.022.<<-
8. 函数x
a x f )1()(2
-=在R 上是减函数,则a 的取值范围是 ( )
1.>a A
2.<a B 2.<a C 21.<<a D
9.某厂1998年的产值为a 万元,预计产值每年以n %递增,则该厂到2010年的产值(单位:万元)是( )
n a A +1(.%13) n a B +1(.%12) n a C +1(.%11) n D -1(9
10
.
%12)
二.填空题:
1、已知)(x f 是指数函数,且25
5
)23(=
-f ,则=)3(f 2、 已知指数函数图像经过点P(1,3)-,则(2)f =
3、 比较大小12
2
- 1
3
2-
, 0.32()3 0.22
()3
, 0.31.8 1
4、 31
1
2
13,32,2-⎪⎭
⎫
⎝⎛的大小顺序有小到大依次为_________ 。
5、 设10<<a ,使不等式5
31
22
2+-+->x x
x x a a 成立的x 的集合是
6、 )
7、
函数y =
8、 函数y =
8、若函数1
41
)(++
=x
a x f 是奇函数,则a =_________ 三、解答题:
1、函数0()(>=a a x f x
且)1≠a 在区间]2,1[上的最大值比最小值大2
a
,求a 的值。
、
2、求函数
225
1
3
x x
y
++
⎛⎫
= ⎪
⎝⎭
的最大值。
#
3、已知函数
21 ()
21
x
x
f x
-
=
+
,
(1)判断函数的奇偶性; (2)证明()
f x是R上的增函数。
—
:
对数与对数函数练习题
\
姓名 学号
(一)对数运算
1、计算
5log 125 = 3
1
log 27 = lg 0.001 =
4log 8 = ln
5log 35= 3log 23-= 32log (42)⨯=
1
lg lg 0.066
+= 22l g 6l g 12o o -=
~
29l g 3l g 8o o =
237lo g 49lo g 16lo g 27=
4912
log 3log 2log ⋅-
2lg 2lg 2lg 5+lg 5+=
2、把log a
表示成log a x ,log a y ,log a z 的形式。
3、已知 2log 3 = a , 3log 7 = b ,用 a ,b 表示42log 56.
4、求出x 的值:
(1)log 163x = (2)23log 1log 66-=x。