浙江省杭州市西湖高级中学2015届高三9月月考数学(理)试题
- 格式:doc
- 大小:899.50 KB
- 文档页数:11
浙江省杭州市西湖高级中学2015届高三10月月考化学试题一、选择题:(本题包括25小题,每小题2分,共50分,每小题只有一个选项符合题意.) 1.“纳米技术”广泛的应用于催化及军事科学中,“纳米技术”是指粒子直径在几纳米到几十纳米的材料。
如将“纳米材料”分散到液体分散剂中,所得的混合物具有的性质是A.能全部通过半透膜 B.能发生丁达尔现象C.一定能导电 D.一定为悬浊液或乳浊液2.设N A为阿伏加德罗常数,下列有关叙述正确的是A.1 mol Cl2与足量金属铝反应,转移的电子数为3N AB.标准状况下,11.2 L氦气中约含有N A个氦原子C.将N A个NH3分子溶于1 L水中得到1 mol·L-1的氨水D.常温下32 g含有少量臭氧的氧气中,共含有2N A个氧原子(氧的相对原子质量:16) 3.下列叙述正确的是A.强电解质都是离子化合物,因此NaCl是离子化合物B.醋酸溶液的导电能力可能比稀硫酸强C.SO3溶于水,其水溶液能导电,SO3是电解质D.硫磺是单质,不导电,因此硫磺是非电解质4.下列物质的检验,其结论一定正确的是A.向某溶液中加入BaCl2溶液,产生白色沉淀,加入HNO3后,白色沉淀不溶解,也无其他现象,说明原溶液中一定含有SO42—B.向某溶液中加盐酸产生无色气体,该气体能使澄清的石灰水变浑浊,说明该溶液中一定含有CO32—或SO32—C.取少量久置的Na2SO3样品于试管中加水溶解,再加盐酸酸化,然后加BaCl2溶液,若加HCl时有气体产生,加BaCl2时有白色沉淀产生,说明Na2SO3样品已部分被氧化D.能使湿润的碘化钾淀粉试纸变蓝的一定是Cl25.经氯气消毒的自水,若用于配制以下溶液:①NaOH ②AgNO3③Na2CO3④FeSO4 ⑤KI ⑥Na2S ⑦Na2SO3,会使配制的溶液变质的是A.全部B.②④⑤⑥⑦C.①②⑤D.④⑥6.将SO2通入BaCl2溶液至饱和,未见沉淀生成,继续通入另一种气体,仍无沉淀,则通入的气体可能是A、CO2B、NH3C、NO2D、H2S7.下列能够检验出KI溶液中含有Br一的实验是A.加入足量的新制氯水,溶液变色则有Br—B.加入酸性KMn04溶液,观察溶液颜色是否褪去,褪色则含有Br—C.加入少量的碘水,再加入CCl4振荡,有机层有色,则有Br—D.加入足量FeCl3溶液,用CCl4萃取后,在水层中加入氯水,溶液呈橙色,则含有Br一8.下列氧化还原反应中,水作为氧化剂的是A .CO +H 2O(g)=====高温CO 2+H 2B .3NO 2+H 2O===2HNO 3+NOC .2Na 2O 2+2H 2O===4NaOH +O 2↑D .2F 2+2H 2O===4HF +O 211.已知下列氧化还原反应:2BrO 3-+Cl 2==Br 2+2ClO 3-,5Cl 2+I 2+6H 2O==2IO 3-+10Cl -+12H +,ClO 3-+5Cl -+6H +==3Cl 2↑+3H 2O 。
浙江省杭州市西湖⾼级中学2014-2015学年⾼⼆下学期5⽉⽉考数学(理)试题Word版含答案杭西⾼2015年5⽉⾼⼆数学试卷问卷出卷⼈:徐斌华审卷⼈:钱敏剑⼀、选择题(本⼤题共8⼩题,每⼩题3分,共24分.在每⼩题给出的四个选项中,只有⼀项是符合题⽬要求的)1.设全集U R =,集合{}{}2,1,1,(1)(2)0A B x x x =--=+-<,则U AC B =(▲). A .{}2,1-- B .{}2,1- C .{}1,1- D .{}2,1,1-- 2. 某⼏何体的正视图如左图所⽰,则该⼏何体的俯视图不可能...的是(▲)3.要得到函数sin 2y x =的图象,只需将函数πcos(2)3y x =-的图象(▲)A .向右平移π6个单位长度 B .向左平移π6个单位长度 C .向右平移π12个单位长度 D .向左平移π12个单位长度 4.已知两条不同的直线,l m 和两个不同的平⾯,αβ,有如下命题:①若,,//,////l m l m ααββαβ??,则;②若,//,//l l m l m αβαβ??=,则;③若,//l l αββα⊥⊥,则,其中正确命题的个数是( ▲ ) A.3B.2C.1D.05.若函数()(01)xxf x ka a a a -=->≠且在(-∞,+∞)上既是奇函数⼜是增函数,则函数()log ()a g x x k =+的图象是(▲)6.已知直线)(2sin cos :R y x l ∈=?+?ααα,圆0sin 2cos 2:22=?+?++y x y x C θθ )(R ∈θ,则直线l 与圆C 的位置关系是(▲)A .相交B .相切C .相离D .与θα,相关7.已知函数?>-≤+=0,420,1)(x x x x f x ,若函数])([a x f f y +=有四个零点,则实数a 的取值范围为(▲)A .)2,2[-B .)5,1[C .)2,1[D .)5,2[-8.如图,⊙O :1622=+y x ,)0,2(-A ,)0,2(B 为两个定点,l 是⊙O 的⼀条切线,若过A ,B 两点的抛物线以直线l 为准线,则该抛物线的焦点的轨迹是(▲ )A .圆B .双曲线C .椭圆D .抛物线⼆、填空题(本⼤题共7⼩题,第9-12题每题6分,第13-15题每题4分,共36分)9.已知等差数列}{n a 的公差0≠d ,⾸项41=a ,且1351,,a a a 依次成等⽐数列,则该数列的通项公式=n a ▲,数列}2{n a 的前6项和为▲ .10.若实数y x ,满⾜不等式组??-≥≤+≥-1422y y ax y x ,⽬标函数y x z 2+=.若1=a ,则z 的最⼤值为▲;若z 存在最⼤值,则a 的取值范围为▲.11. M 是抛物线x y 42=上⼀点,F 是焦点,且4=MF .过点M 作准线l 的垂线,垂⾜为K ,则三⾓形MFK的⾯积为▲.该抛物线的焦点与双曲线22221x y a b-=的⼀个焦点相同,且双曲线的离⼼率为2,那么该双曲线22221x y a b-=的渐近线⽅程为___▲______.12.设函数3[11]()93(13)22x x f x x x ?∈-?=?-∈??,,,,,,则3(log 2)f -=____ ▲____;若(())[01]f f t ∈,,则实数t 的取值范围是___▲_ __.13.已知ABC ?的⾯积为S ,且S AC AB 2=?.求cos A = ▲.14.设函数12()log f x x =,给出下列四个命题:①函数()f x 为偶函数;②若()()f a f b = 其中0,0,a b a b >>≠,则1ab =;③函数2(2)f x x -+在()1,2上为单调增函数;④若01a <<,则(1)(1)f a f a +<-。
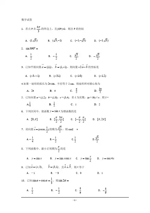
数学试卷 1.若点P 在34π的终边上,且|OP|=2,则点P 的坐标 A .)3,1( B .)1,3(-C .)3,1(--D .)3,1(-2.0sin 390= A .21 B .21- C .23 D .23- 3.已知平面向量)1,1(=→a ,)1,1(-=→b ,则向量2a b →→--的坐标是 A .(31)--, B .(31)-, C .(10)-,D .(12)-,4.如果一扇形的弧长为2π cm ,半径等于2 cm ,则扇形所对圆心角为A .2πB .πC . π2D .3π25.已知向量a =(1,2),b =(1,0),c =(3,4).若λ为实数,(a +λb )∥c ,则λ=A.14 B .12 C .1 D .2 6.下列区间中,使函数sin y x =为增函数的是A .[0,]πB .3[,]22ππC .[,]22ππ-D .[,2]ππ7.设向量)21,(cos α=→a 的模为22,则cos2=A.41-B.21- C.21 D.238.下列函数中,最小正周期为2π的是 A .sin y x = B .sin cos y x x = C .tan 2xy = D .cos 4y x = 9.已知(,3)a x =,(3,1)b =, 且a b ⊥, 则x 等于A .-1B .-9C .9D .1 10.已知1sin cos 3αα+=,则sin 2α= A .21 B .21- C .89 D .89-11.在sin sin cos cos ,ABC A B A B ∆⋅<⋅中,则这个三角形的形状是A 锐角三角形B .钝角三角形C .直角三角形D .等腰三角形 12.设x ∈Z ,则函数f (x )=cos π3x 的值域是A .{-1,12}B .{-1,-12,12,1}C .{-1,-12,0,12,1}D .{12,1}15.已知a ,b 满足:||3a =,||2b =,||4a b +=,则||a b -=A B C .3 D .1016.右图是π2sin()2y x ωϕϕ⎛⎫=+< ⎪⎝⎭的图象,则A .10π116ωϕ==, B .10π116ωϕ==-, C .π26ωϕ==, D .π26ωϕ==-, 17.己知12,e e 是夹角为60的两单位向量,则122a e e =+与1232b e e =-+夹角余弦值是A12 B. 12- C D .18.已知1(2,1)P -, 2(0,5)P 且点P 在12PP 的延长线上, 12||2||PP PP =, 则点P 的坐标为A .(2,7)-B .4(,3)3C .2(,3)3D .(2,11)-19.已知2tan()5αβ+=, 1tan()44πβ-=, 则tan()4πα+的值为A .16 B .2213 C .322 D .131820.向量→a ,→b ,→c ,满足,2=⋅==→→→→b a b a 0)2()(=-⋅-→→→→c b c a ,则→→-c b 最小值为A B C D 卷II二、填空题(本大题共6小题,每题4分,共24分) 21.在△ABC 中,内角A 、B 、C 所对的边分别是,若,则△ABC 的形状为________.22.如图,在平行四边形ABCD 中 ,AP ⊥BD ,垂足为P , AP=2,=___ .23.已知函数4411()11sin cos f x x x ⎛⎫⎛⎫=--⎪⎪⎝⎭⎝⎭,则函数()f x 的最小值为 . 24.设角α的终边在第一象限,函数的定义域为,且,当时,有,则使等式成立的α为 . 25. O 是面α上一定点,C B A 、、是面α上ABC ∆的三个顶点,C B ∠∠,分别是边AB AC ,对应的角.以下命题正确的序号是 .①点P 满足+=+,则ABC ∆的外心在P 点集合中. ②点P 满足+=)0>λλ,则ABC ∆的内心在P 点集合中.③点P 满足+=)0>+λλ,则ABC ∆重心在P 点集合中.④点P 满足+=OA OP )0>λλ,则ABC ∆垂心在P 点集合中.26.如图,已知正方形ABCD 的边长为1,E 在CD 延长线上,且DE CD =.动点P 从点A 出发,沿正方形ABCD 的边按逆时针方向运动一周回到A 点,其中,则下列命题正确..的是 . ①0,0λμ≥≥;②当点P 为AD 中点时,1λμ+=;③若2λμ+=,则点P 有且只有一个;④λμ+的最大值为3;⑤的最大值为1. 三、解答题(本大题共3小题,每题12分,共36分)27.(12分)两非零向量,a b 满足:2a b b -与垂直,集合{}2()0A x x a b x a b =+++=是单元素集合。
杭西高2013年9月高三数学理试卷一、选择题(每小题只有1个正确答案,每小题5分,共50分) 1.已知集合2{|22},{|log (1)},M x x N x y x M N =-≤<==- 则= (▲ )A .{|20}x x -≤<B .{|10}x x -<<C .{|12}x x <<D .{—2,0}2.已知ln x π=,5log 2y =,12z e -=,则 (▲ )A .x y z <<B . z x y <<C . z y x <<D .y z x <<3.已知,αβ的终边在第一象限,则“αβ>”是“sin sin αβ>” (▲ )A .充分不必要条件B .必要不充分条件C .充要条件D .既不充分与不必要条件4.下列函数既是奇函数,又在区间]1,1[-上单调递减的是( ▲ ) A. x x f sin )(= B. |1|)(+-=x x fC. 1()()(01)2x x f x a a a a -=->≠且 D. x x x f +-=22ln )(5.函数sin()(0)y x ϕϕ=π+>与x 轴的交点,则tan APB ∠=(▲ )A.8B.10C.87D.476.函数()log (21)(01)x a f x b a a =+->≠, A .101a b -<<<B .101b a -<<< C .101b a -<<<- D .1101a b --<<<7.已知奇函数)0,()(-∞在x f 上是单调减函数,且0)2(=f ,则不等式0)1()1(>--x f x 的解集为(▲ )xA .}13|{-<<-x xB .}3111|{<<<<-x x x 或C .}3103|{<<<<-x x x 或D .}213|{><<-x x x 或8.设函数sin cos y x x x =+的图象上的点00(,)x y 处的切线的斜率为k ,若0()k g x =,则函数0()k g x =的图象大致为( ▲ )9.设f(x)是定义在R 上的偶函数,对x 错误!未找到引用源。
浙江省杭州市西湖高级中学2015届高三10月月考地理试题一、选择题:(共56分,每小题2分,每小题只有一项最符合题意)读“等高线示意图”,已知a<b,完成1~2题。
1.下列判断正确的是()A.P为山坡上的洼地, Q为山坡上的洼地B.P为山坡上的小丘, Q为山坡上的小丘C.P为山坡上的小丘, Q为山坡上的洼地D.P为山坡上的洼地, Q为山坡上的小丘2.关于P、Q两点海拔的范围,正确的是()A.P的海拔为2b-a <H p<aB.P的海拔为a<H p<2a-bC.Q的海拔为2a-b <H q<bD.Q的海拔为b<H q<2b-a如右图为某日甲、乙、丙、丁四地的昼长或夜长示意图。
读图,回答3~4题:3.若甲地位于东八区的中央经线上,乙地位于东西半球分界线上,当甲地日落时,乙地的地方时可能是()①8时40分②4时40分③16时40分④20时40分A.①④B.②③C.①③D.②④4.若图中有两地位于南半球,下列叙述正确的是()A.甲地一年中正午太阳高度角只有一次最大值B.乙地位于南半球C.丙地的地球自转线速度大于丁地D.丁地水平运动的物体向右偏转如图是某观测站在一天中两个不同时刻观测到的旗杆影长和太阳高度。
回答5~6题。
5.这一天太阳直射点的纬度是()A.0ºB.15ºNC.20ºSD.20ºN6.该观测站的纬度位置为()A.60ºNB.70ºSC.80ºND.80ºS丹霞地貌发育在大陆陆相红色砂砾岩层上,由于受到构造抬升和一系列外力作用,形成了以赤壁丹山、峰林峡谷为特征的独特景观,因在中国广东省北部仁化县丹霞山有典型发育而得名。
回答7~8题。
7.材料中提到的沙砾岩从成因上说,属于()A.侵入岩B.喷出岩C.沉积岩 D变质岩.8.“赤壁丹山、峰林峡谷为特征的独特景观”成因主要是()A.流水沉积和化学风化B.流水侵蚀和物理风化C.风力侵蚀和物理风化D.流水侵蚀和化学风化下图为我国季风区某地地质剖面图,读图完成9~10题。
浙江省杭州市西湖高级中学2015届高三9月月考生物试题一、选择题部分(1—20,每小题1分,21—40每小题2分,共60分)1.下列结构或物质肯定不含有...核糖参与组成的是A.线粒体B.核糖体C.染色体D.酶2.下列有关生命的物质基础和结构基础的叙述正确的是A.同一个体的不同体细胞中,核酸分子相同,蛋白质完全不相同B.生物体内的绝大多数膜结构都含有脂质、蛋白质两种重要组成成分,但不一定都有糖 C.在绿色植物的叶肉细胞中,细胞质基质、线粒体基质及叶绿体基质都能生成ATP D.白化病人的头发呈白色是头发基部黑色素细胞内酪氨酸酶活性降低所致3.下列关于原核细胞和真核细胞的比较中,正确的是A.原核细胞只有一个DNA分子,真核细胞有多个DNA分子B.原核细胞的DNA分子为单链,真核细胞的DNA分子为双链C.原核细胞中与DNA结合的蛋白质较少,不形成真核细胞那样的染色体D.原核细胞的遗传信息部分储存在RNA中,真核细胞的遗传信息全部储存在DNA4. 如图甲、乙为组成生物体的相关化合物,乙为一个由α、β、γ三条多肽链形成的蛋白质分子,共含271个氨基酸,图中每条虚线表示由两个巯基(-SH)脱氢形成的一个二硫键(-S-S-).下列相关叙述错误的是A 甲为组成乙的基本单位,且乙中最多含有20种甲B 由不同的甲形成乙后,相对分子质量比原来少了4832C丙主要存在于细胞核中,且在乙的生物合成中具有重要作用D 如果甲中的R基为C3H5O2,则由两分子甲形成的化合物中含有16个H5.蛋白质、糖类和脂肪都是生物体内重要的有机物,下列说法不正确的是A组成蛋白质的氨基酸都至少含有一个氨基、一个羧基和一个含碳的R基B 糖类和脂肪相比较,脂肪完全氧化分解需要更多的氧气C 糖类是生物体主要的能源物质,但并非所有的糖都可以作为能源物质D 糖蛋白可以与某些信息分子特异性结合而起到传递信息的作用6.下列叙述能够说明细胞(或生物)代谢旺盛的有①细胞内水的含量最多②线粒体的数量多③细胞核的核孔数量多④细胞膜上的蛋白质含量多A ①②③B ①②④C ②③④D ①③④7.最新研究发现,内皮素分布不均是造成色斑的主要原因。
浙江省杭州市西湖高级中学2015届高三9月月考化学试题一、选择题(每小题只有一个选项符合题意,每小题2分,共48分)1.化学与日常生活密切相关,下列说法错误的是A.碘酒是指单质碘的乙醇溶液B.84消毒液的有效成分是NaClOC.生石灰用作食品抗氧剂D.小苏打是面包发酵粉的主要成分2.下列关于物质的分类说法正确的是:A.金刚石、白磷都属于单质B.漂白粉、石英都属于纯净物C.氯化铵、次氯酸都属于强电解质D.葡萄糖、蛋白质都属于高分子化合物3.下列关于化学用语的表示正确的是A.过氧化钠的电子式:B.质子数为35、中子数为45的溴原子:8035BrC.硫离子的结构示意图:D.乙烯的结构简式:CH2CH24.下列说法正确的是A.向NaOH溶液中慢慢滴加FeCl3饱和溶液,可制得Fe(OH)3胶体B.胶体与其他分散系的本质区别是胶体能发生丁达尔效应C.除去Fe(OH)3胶体中的Na+和Cl-可用过滤的方法D.Fe(OH)3胶体中逐滴加入稀硫酸,会产生沉淀而后沉淀溶解5.下列各项中的“黄色”,不属于因化学反应而产生的是A.将钠在石棉网上加热熔化,冷却后得到淡黄色固体B.在氯化亚铁溶液中通入氯气,反应后得到黄色溶液C.久置的碘化钾溶液呈黄色D.食盐在无色的火焰上灼烧时,火焰呈黄色6.下列离子组在溶液中能大量共存的是A.Fe3+、SCN-、I-、K+B.K+、Al3+、SO2-4、MnO-4C.H+、NO-3、Fe2+、Na+D.Cu2+、NH+4、Br-、OH-7.下图是某同学用500 mL容量瓶配制0.10 mol·L-1 NaOH溶液的过程:该同学的错误步骤有A.1处B.2处C.3处D.4处8.下列说法不正确的是①将BaSO4放入水中不能导电,所以BaSO4是非电解质②氨溶于水得到的氨水能导电,所以氨水是电解质③固态共价化合物不导电,熔融态的共价化合物可以导电④固态的离子化合物不导电,熔融态的离子化合物也不导电⑤强电解质溶液的导电能力一定比弱电解质溶液的导电能力强A.①④ B.①④⑤C.①②③④D.①②③④⑤9.下列叙述正确的是A.在氧化还原反应中,肯定有一种元素被氧化,另一种元素被还原B.元素由化合态变成游离态时,它可能被氧化,也可能被还原C.失电子难的原子,获得电子的能力一定强D.有单质参加或生成的反应一定属于氧化还原反应10.设N A为阿伏加德罗常数的值,下列说法正确的是:A.5.6 g铁分别与足量的盐酸、氯气反应,电子转移总数均为0.3N AB.14g乙烯、丙烯的混合气体含有C-H数为2N AC.标准状况下,4.48L重水(D2O)中含有的中子数为2N AD.向FeI2溶液中通入适量Cl2,当有1 mol Fe2+被氧化时,共转移的电子的数目为N A11.下列说法正确的是①氯气的性质活泼,它与氢气混合后立即发生爆炸②实验室制取氯气时,为了防止环境污染,多余的氯气可以用氢氧化钙溶液吸收③新制氯水的氧化性强于久置氯水的④检验HCl气体中是否混有Cl2,方法是将气体通入硝酸银溶液⑤除去HCl气体中的Cl2,可将气体通入饱和食盐水中A.①②③B.②③④C.③D.③⑤12.下列化学实验事实及其解释不正确的是A.滴有酚酞的NaHCO3溶液呈浅红色,微热后红色加深,是因为NaHCO3分解生成了Na2CO3B.钠保存在煤油中,是因为煤油不与钠发生反应,钠比煤油密度大,煤油可以使钠隔绝空气和水蒸气C.用洁净的玻璃管向包有Na2O2的脱脂棉吹气,脱脂棉燃烧,说明CO2、H2O与Na2O2的反应是放热反应D.钠长期暴露在空气中的产物是Na2CO3,原因是钠与氧气生成的Na2O与水和二氧化碳反应13.1.0 g镁在氧气中燃烧后增重0.64 g,但在空气中燃烧时增重不足0.64 g,其原因可能是A.空气中镁燃烧肯定不完全B.空气中部分镁与CO2反应C.空气中镁部分与N2反应D.空气中镁部分与水蒸气反应14.某同学通过系列实验探讨Mg及其化合物的性质,操作正确且能达到目的的是A.将水加入浓硫酸中得稀硫酸,置镁片于其中探讨Mg的活泼性B.将NaOH溶液缓慢倒入MgSO4溶液中,观察Mg(OH)2沉淀的生成C.将Mg(OH)2浊液直接倒入已装好滤纸的漏斗中过滤,洗涤并收集沉淀D.将Mg(OH)2沉淀转入表面皿中,加足量稀盐酸,加热蒸干得无水MgCl2固体15.如下图所示,利用海洋可提取很多重要的化工原料。
杭西高2014年9月考高三英语试卷第一部分:英语知识运用(共两节,满分30分)第一节:单项填空 (共20小题;每小题0.5分,满分10分)1. --- I wonder if I could pay the bill by check.--- ______. The card machine has just broken down.A. No problemB. Take your timeC. Never mindD.I’m sorry2.The driver had to______because the traffic light had turned red.A. set upB. shut upC. catch upD. pull up3. ---I acquired ______ Van Gogh from a businessman from Paris the other day.---Really? Are you sure it’s ______ real one?A. /, aB. /, theC. a, aD. a, the4. All the pictures in this book, ______ otherwise stated, come from those taken by Miss Brown.A. unlessB. untilC. even ifD. as if5. Why____you play the piano in the midnight? It ‘s so noisy.A. doB. willC. mustD. shall6. It is reported that a storm is on its way, but the weather today is ______ warm and sunny.A. luckilyB. fortunatelyC. surprisinglyD. hardly7. If he can____his natural ability with hard work,he should be a success..A. connectB. combineC. linkD. join8. The argument went on for hours as neither side would___.A. give inB. give awayC. give offD. give out9. The lecture was so complex that I simply couldn’t ______ at all. Could you explain it to me?A. bring onB. bring inC. take onD. take in10.Jane,I’m sorry,I___you-you have changed a lot.A. haven’t recognizedB. hadn’t recognizedC. didn’t recognizeD. won’t recognize11. The earthquake was so terrible that in only 15 seconds a large city lay____.A.in tearsB. in terrorC. in ruinsD. in anger12. The police offered a large___for any information leading to the robber’s arrest.A. awardB. rewardC. moneyD. prize13. Whether by accident or____,he arrived too late to help us..A. purposeB.aimC. designD. chance14. After all that hard work,you really____a three-day holiday.A. replaceB. deserveC. respectD. admire15. One of the tourists ______ from the tour group. That was why the tour guide lost his temper.A. kept awayB. broke awayC. took awayD. gave away16. He is really an excellent doctor and he is____to becoming an expert in this field.A. in a wayB. by the wayC. on the wayD. under way17. ----Do you know how to learn English well? ________.----Why? Don’t you think English is quite interesting?It can’t be too interesting. B. I just can’t help it.C. It’s my favorite subjectD. It’s killing me.第二节:完形填空 (共20小题;每小题1分,满分20分)阅读下面短文,掌握其大意,然后从第21—40各题所给的四个选项(A、B、C和D)中,选出最佳选项,并在答题卷上将该项涂黑。
杭州市五校联盟2015学年高三年级9月月考试卷数学(理科)本试卷分为选择题和非选择题两部分,满分150分,考试时间120分钟. 请考生按规定用笔将所有试题的答案标号涂、写在答题纸上.选择题部分一、选择题:本大题共8个小题,每小题5分,共40分。
在每小题给出的四个选项中,只有一项是符合题目要求的。
1.下列命题:① “在三角形ABC 中,若sin sin A B >,则A B >”的逆命题是真命题; ②命题:2p x ≠或3y ≠,命题:5q x y +≠则p 是q 的必要不充分条件;③ “32,10x R x x ∀∈-+≤”的否定是“32,10x R x x ∀∈-+>”;④ “若,221a b a b >>-则”的否命题为“若a b ≤,则221a b -≤”;其中正确的个数是( ) A .1 B .2 C .3 D .4 2.函数()y f x =,()x R ∈为奇函数,当(,0)x ∈-∞时,()()xf x f x '<-,若错误!未找到引用源。
22113(3),(lg 3)(lg 3),(log )(log )44a fb fc f =⋅=⋅=⋅,则a ,b ,c 的大小顺序为( )A .a <b <cB .c <b <aC .c <a <bD .c >a >b3.已知tan 4,θ=21cos 28sin sin 2θθθ++的值是( )A .2033B .654C .4D .424.在平面上,121212,1,AB AB OB OB AP AB AB ⊥===+ .若12OP < ,则OA 的取值范围是( ) A .⎥⎦⎤⎢⎣⎡25,0 B .⎥⎦⎤⎢⎣⎡27,25 C .⎥⎦⎤⎢⎣⎡2,25 D .7,22⎛⎤ ⎥ ⎝⎦5.已知数列{}n a 满足10a =,1331n n n a a a +-=+ (*n N ∈),则20a =( ) .A .0B .32C .3D .-3 6.设x y 、满足约束条件360200,0x y x y x y --≤⎧⎪-+≥⎨⎪≥≥⎩,若目标函数()0,0z ax by a b =+>>的最大值为10,则23a b+的最小值为( )A .524 B .5 C .25 D .24 7.设,a b 是两条不同的直线,,αβ是两个不同的平面,则能得出a b ⊥的是 ( ) A 、a α⊥,//b β,αβ⊥ B 、a α⊥,b β⊥,//αβ C 、a α⊂,b β⊥,//αβ D 、a α⊂,//b β,αβ⊥8.已知双曲线22221(0,0)x y a b a b-=>>与抛物线28y x =有一个公共的焦点F ,且两曲线的一个交点为P ,若5PF =,则双曲线的离心率为( )A .5B .3C .332 D .2 非选择题部分二、填空题:本大题共7小题,共36分。
浙江省杭州市西湖高级中学2015届高三10月月考物理试题一、单项选择题(共24分,只有一个选项是正确的,每题3分)1、在物理学的重大发现中,科学家总结出了许多物理学方法,如:理想实验法、控制变量法、极限思想法、类比法、科学假说法和建立理想模型法等,以下关于物理学研究方法的叙述不正确的是()A.在不需要考虑物体本身的大小和形状时,用质点代替物体的方法叫假设法B.根据速度的定义式,当△t非常小时,就可以表示物体在t时刻的瞬时速度,该定义运用了极限思想方法C.在探究加速度、力和质量三者之间的关系时,先保持质量不变研究加速度与力的关系,再保持力不变研究加速度与质量的关系,该探究运用了控制变量法D.在推导匀变速直线运动位移公式时,把整个运动过程等分成很多小段,每一小段近似看做匀速直线运动,然后把各小段的位移相加,这里运用了微元法2、滑雪运动员由斜坡高速向下滑行时的V—t图象如图乙所示,则由图中AB段曲线可知,运动员在此过程中A.所受外力的合力一定不断增大B.运动轨迹一定是曲线C.加速度一定减小D.斜坡对运动员的作用力一定是竖直向上的3.如图所示,将一个质量为m的球固定在弹性杆AB的上端,今用测力计沿水平方向缓慢拉球,使杆发生弯曲,在测力计的示数逐渐增大的过程中,AB杆对球的弹力方向为A.始终水平向左B.始终竖直向上C.斜向左上方,与竖直方向的夹角逐渐增大D.斜向左下方,与竖直方向的夹角逐渐增大4.石块M自塔顶自由落下m米时,石块N自塔顶n米处自由落下,两石块同时到达地面,则塔高为(A)m+n,(B)(m+n)2/(n-m),(C)m2/4(m+n),(D)(m+n)2/4m.5、如图所示,质量为M的物体放在光滑水平地面上,受与水平方向成α角的恒定拉力F 作用,从静止开始沿水平地面运动,在时间t内,拉力F对物体所做的功为W.若仅改变上述某一个量,物体还是从静止开始沿水平地面运动,下列可使拉力做的功为2W 的是( )A .物体质量减小为M 2B .拉力增大为2FC .做功时间增长为2tD .α角从60°变为0°6、如图所示,某牵引装置,用力拉三个物体在光滑水平面上一起运动,运行到某时刻,在中间物体上加一小物体,仍让它们一起运动,且拉力F 不变,那么中间物体两端绳的拉力F A 、F B 的变化情况是 ( )A .F A 增大,FB 增大 B .F A 增大,F B 减小C .F A 减小,F B 增大D .F A 减小,F B 减小7. 如图(a )所示,两平行正对的金属板A 、B 间加有如图(b )所示的交变电压,一重力可忽略不计的带正电粒子被固定在两板的正中间P 处。
2014-2015学年浙江省杭州市西湖高中高三(下)4月月考数学试卷(文科)一、选择题:1.若集合A={x|lgx≤0},B={x|2x≤1},全集U=R,则∁U(A∪B)=( )A.(﹣∞,1)B.(1,+∞)C.(﹣∞,1]D.[1,+∞)2.已知a,b∈R,下列四个条件中,使a>b成立的必要而不充分的条件是( )A.a>b﹣1B.a>b+1C.|a|>|b|D.2a>2b3.已知变量x,y满足约束条件,则z=2x•4y的最大值为( )A.64B.32C.2D.4.已知a,b,a+b成等差数列,a,b,ab成等比数列,且0<log m(ab)<1,则m的取值范围是( )A.m>1B.1<m<8C.m>8D.0<m<1或m>85.已知锐角α的终边上一点P(sin40°,1+cos40°),则α等于( )A.10°B.20°C.70°D.80°6.若圆C:x2+y2+2x﹣4y+3=0关于直线2ax+by+6=0对称,则由点(a,b)向圆C所作切线长的最小值是( )A.2B.3C.4D.67.长方体ABCD﹣A1B1C1D1的底面是边长为a的正方形,若在侧棱AA1上至少存在一点E,使得∠C1EB=90°,则侧棱AA1的长的最小值为( )A.aB.2aC.3aD.4a8.已知函数f(x)是定义在R上的奇函数,在(0,2]上是增函数,且f(x﹣4)=﹣f(x),给出下列结论:①若0<x1<x2<4且x1+x2=4,则f(x1)+f(x2)>0;②若0<x1<x2<4且x1+x2=5,则f(x1)>f(x2);③若方程f(x)=m在[﹣8,8]内恰有四个不同的实根x1,x2,x3,x4,则x1+x2+x3+x4=﹣8或8;④函数f(x)在[﹣8,8]内至少有5个零点,至多有13个零点其中结论正确的有( )A.1个B.2个C.3个D.4个二、填空题:9.已知f(x)=,则f(2)=__________;f=__________.10.设sinx+cosx=﹣(其中x∈(0,π),则sin2x=__________;cos2x的值为__________.11.已知双曲线﹣=1(a>0,b>0)的两条渐近线均和圆C:x2+y2﹣6x+5=0相切,则此双曲线的离心率为__________;又若双曲线的焦点到渐近线的距离为2,则此双曲线的方程为__________.12.已知数列{a n}满足:a4n﹣3=1,a4n﹣1=0,a2n=a n,n∈N*,则a2013=__________;a2014=__________.13.已知平面向量,,,满足++=,且与的夹角为135°且与的夹角为120°,||=2,则||=__________.14.某几何体的三视图(单位:cm)如图所示,则此几何体的体积为__________cm3.15.已知实数x,y满足x2+xy+y2=3,则x2﹣xy+y2的取值范围为__________.三、解答题:16.(14分)在△ABC中,角A,B,C的对边分别为a,b,c,已知lga﹣lgb=lgcosA﹣lgcosB,(Ⅰ)若,求角A;(Ⅱ)若,求cosB的值.17.(14分)已知数列{a n},{b n}分别满足a1a2…a n=n(n﹣1)…2•1,b1+b2+…+b n=a n2.(1)求数列{a n},{b n}的通项公式;(2)若数列{}的前n项和为S n,若对任意x∈R,a n S n>﹣x2﹣2x+9恒成立,求自然数n的最小值.18.(14分)如图,四边形ABCD为菱形,ACFE为平行四边形,且面ACFE⊥面ABCD,AB=BD=2,AE=,设BD与AC相交于点G,H为FG的中点.(Ⅰ)证明:CH⊥面BFD;(Ⅱ)若CH=,求EF与面EDB所成角的大小.19.已知函数g(x)=ax2﹣2ax+1+b(a>0)在区间[2,3]上有最大值4和最小值1.设f(x)=.(1)求a、b的值;(2)若不等式f(2x)﹣k•2x≥0在x∈[﹣1,1]上恒成立,求实数k的取值范围;(3)若f(|2k﹣1|)+k•﹣3k=0有三个不同的实数解,求实数k的取值范围.20.(17分)如图所示,过抛物线C:x2=4y的对称轴上一点P(0,m)(m>0)作直线l与抛物线交于A(x1,y1),B(x2,y2)两点,点Q是点P关于原点的对称点.(Ⅰ)求证:x1x2=﹣4m;(Ⅱ)若=λ,且⊥(﹣μ),求证:λ=μ.2014-2015学年浙江省杭州市西湖高中高三(下)4月月考数学试卷(文科)一、选择题:1.若集合A={x|lgx≤0},B={x|2x≤1},全集U=R,则∁U(A∪B)=( )A.(﹣∞,1)B.(1,+∞)C.(﹣∞,1]D.[1,+∞)考点:交、并、补集的混合运算.专题:集合.分析:求出A与B中不等式的解集确定出A与B,求出A与B并集的补集即可.解答:解:由A中lgx≤0=lg1,得到0<x≤1,即A=(0,1],由B中2x≤1=20,得到x≤0,即B=(﹣∞,0],∴A∪B=(﹣∞,1],则∁U(A∪B)=(1,+∞),故选:B.点评:此题考查了交、并、补集的混合运算,熟练掌握运算法则是解本题的关键.2.已知a,b∈R,下列四个条件中,使a>b成立的必要而不充分的条件是( )A.a>b﹣1B.a>b+1C.|a|>|b|D.2a>2b考点:必要条件、充分条件与充要条件的判断.专题:计算题.分析:欲求a>b成立的必要而不充分的条件,即选择一个“a>b”能推出的条件,但反之不能推出的条件,对选项逐一分析即可.解答:解:“a>b”能推出“a>b﹣1”,故选项A是“a>b”的必要条件,但“a>b﹣1”不能推出“a>b”,不是充分条件,满足题意;“a>b”不能推出“a>b+1”,故选项B不是“a>b”的必要条件,不满足题意;“a>b”不能推出“|a|>|b|”,故选项C不是“a>b”的必要条件,不满足题意;“a>b”能推出“2a>2b”,且“2a>2b”能推出“a>b”,故是充要条件,不满足题意;故选A.点评:本题主要考查了必要条件、充分条件与充要条件的判断,解题的关键是理解必要而不充分的条件,属于基础题.3.已知变量x,y满足约束条件,则z=2x•4y的最大值为( )A.64B.32C.2D.考点:基本不等式;简单线性规划.专题:计算题.分析:先画出可行域,再把可行域的几个角点分别代入,看哪个角点对应的函数值最大即可.解答:解:由于目标函数z=2x•4y =2x+2y,令m=x+2y,当m最大时,目标函数z就最大.画出可行域如图:可得点C(3,1)为最优解,m最大为5,故目标函数z=2x•4y =2x+2y的最大值为25=32,故选B.点评:本题主要考查简单的线性规划问题,一般在求目标函数的最值时,常用角点法,就是求出可行域的几个角点,分别代入目标函数,即可求出目标函数的最值.4.已知a,b,a+b成等差数列,a,b,ab成等比数列,且0<log m(ab)<1,则m的取值范围是( )A.m>1B.1<m<8C.m>8D.0<m<1或m>8考点:等比数列的性质;等差数列的性质.专题:计算题;等差数列与等比数列.分析:由已知可得b=2a,b2=a2b,联立可求a,b,代入已知不等式即可求解m的范围解答:解:∵a,b,a+b成等差数列,∴2b=2a+b,即b=2a.①∵a,b,ab成等比数列,∴b2=a2b,即b=a2(a≠0,b≠0).②由①②得a=2,b=4.∵0<logm8<1,∴m>1.∵logm8<1,即logm8<logm m∴m>8故选C点评:本题主要考查了等差数列及等比数列的性质及对数不等式的求解,属于知识的简单应用.5.已知锐角α的终边上一点P(sin40°,1+cos40°),则α等于( )A.10°B.20°C.70°D.80°考点:任意角的三角函数的定义.专题:计算题;三角函数的求值.分析:由题意求出PO的斜率,利用二倍角公式化简,通过角为锐角求出角的大小即可.解答:解:由题意可知sin40°>0,1+cos40°>0,点P在第一象限,OP的斜率tanα===cot20°=tan70°,由α为锐角,可知α为70°.故选C.点评:本题考查直线的斜率公式的应用,三角函数的化简求值,考查计算能力.6.若圆C:x2+y2+2x﹣4y+3=0关于直线2ax+by+6=0对称,则由点(a,b)向圆C所作切线长的最小值是( )A.2B.3C.4D.6考点:圆的切线方程;关于点、直线对称的圆的方程.专题:计算题.分析:由题意可知直线经过圆的圆心,推出a,b的关系,利用(a,b)与圆心的距离,半径,求出切线长的表达式,然后求出最小值.解答:解:圆C:x2+y2+2x﹣4y+3=0化为(x+1)2+(y﹣2)2=2,圆的圆心坐标为(﹣1,2)半径为.圆C:x2+y2+2x﹣4y+3=0关于直线2ax+by+6=0对称,所以(﹣1,2)在直线上,可得﹣2a+2b+6=0,即a=b+3.点(a,b)与圆心的距离,,所以点(a,b)向圆C所作切线长:==≥4,当且仅当b=﹣1时弦长最小,为4.故选C.点评:本题考查直线与圆的位置关系,对称问题,圆的切线方程的应用,考查计算能力.7.长方体ABCD﹣A1B1C1D1的底面是边长为a的正方形,若在侧棱AA1上至少存在一点E,使得∠C1EB=90°,则侧棱AA1的长的最小值为( )A.aB.2aC.3aD.4a考点:点、线、面间的距离计算.专题:空间位置关系与距离.分析:设侧棱AA1的长为x,A1E=t,则AE=x﹣t,由已知得t2﹣xt+a2=0,由此利用根的判别式能求出侧棱AA1的长的最小值.解答:解:设侧棱AA1的长为x,A1E=t,则AE=x﹣t,∵长方体ABCD﹣A1B1C1D1的底面是边长为a的正方形,∠C1EB=90°,∴,∴2a2+t2+a2+(x﹣t)2=a2+x2,整理,得:t2﹣xt+a2=0,∵在侧棱AA1上至少存在一点E,使得∠C1EB=90°,∴△=(﹣x)2﹣4a2≥0,解得x≥2a.∴侧棱AA1的长的最小值为2a.故选:B.点评:本题考查长方体的侧棱长的最小值的求法,是中档题,解题时要注意根的判别式的合理运用.8.已知函数f(x)是定义在R上的奇函数,在(0,2]上是增函数,且f(x﹣4)=﹣f(x),给出下列结论:①若0<x1<x2<4且x1+x2=4,则f(x1)+f(x2)>0;②若0<x1<x2<4且x1+x2=5,则f(x1)>f(x2);③若方程f(x)=m在[﹣8,8]内恰有四个不同的实根x1,x2,x3,x4,则x1+x2+x3+x4=﹣8或8;④函数f(x)在[﹣8,8]内至少有5个零点,至多有13个零点其中结论正确的有( )A.1个B.2个C.3个D.4个考点:根的存在性及根的个数判断;奇偶性与单调性的综合.专题:函数的性质及应用.分析:先由“f(x)是奇函数且f(x﹣4)=﹣f(x)”转化得到f(x﹣8)=f(x),即函数f(x)为周期8的周期函数,然后按照条件↓解答:解:∵f(x)是奇函数且f(x﹣4)=﹣f(x),∴f(x﹣8)=﹣f(x﹣4)=f(x),f(0)=0∴函数f(x)为周期8的周期函数,根据题意可画出这样的图形:如图所示,∵定义在R上的奇函数,在(0,2]上是增函数,∴在(﹣2,0]上是增函数,即(﹣2,2)上是增函数,①若0<x1<x2<4且x1+x2=4,则0<x1<2,2<x2<4,0<4﹣x2<2,﹣2<x2﹣4<0,∴f(4﹣x2)>f(x2﹣4),又∵f(x1)=f(4﹣x2),﹣f(x2)=f(x2﹣4),∴f(x1)>﹣f(x2),即f(x1)+f(x2)>0,故①正确;②若0<x1<x2<4且x1+x2=5,则0<x1<,<x2<5,观察可知f(x1)>f(x2),故②正确;③若方程f(x)=m在[﹣8,8]内恰有四个不同的实根x1,x2,x3,x4,当m>0时(如上方虚线所示),可知左边两个交点之和为﹣12(因为两个交点关于﹣6对称,一个交点可表示为﹣6﹣x0,另一个交点可表示为﹣6+x0),y轴右边的两个交点之和为4,则x1+x2+x3+x4=﹣8,同理m<0时x1+x2+x3+x4=8,故③正确;④函数f(x)在[﹣8,8]内有5个零点,故④不正确,结论正确的有①②③,故选:C点评:本题主要考查函数奇偶性周期性和单调性的综合运用,综合性较强题考查了函数的奇偶性,对称性及周期性的性质,解答此题的关键在于由已知等式得到函数对称轴方程和周期,属中档题二、填空题:9.已知f(x)=,则f(2)=1;f=﹣1.考点:抽象函数及其应用;函数的值.专题:函数的性质及应用.分析:直接利用分段函数,逐步求出f(2),判断x>0时函数是周期函数,求出周期,然后转化f求解即可.解答:解:f(x)=,则f(2)=f(1)﹣f(0)=f(0)﹣f(﹣1)﹣f(0)=﹣f(﹣1)=﹣sin(﹣)=1.f(x)=f(x﹣1)﹣f(x﹣2)=f(x﹣2)﹣f(x﹣3﹣1)﹣f(x﹣2)=﹣f(x﹣3),可得f(x+6)=f(x),x>0时函数是周期为6的周期函数.f=f(335×6+4)=f(4)=﹣f(1)=﹣f(0)+f(﹣1)=﹣sin0﹣1=﹣1.故答案为:1;﹣1点评:本题考查分段函数以及抽象函数的应用,函数值的求法,基本知识的考查.10.设sinx+cosx=﹣(其中x∈(0,π),则sin2x=;cos2x的值为.考点:二倍角的正弦;二倍角的余弦.专题:三角函数的求值.分析:由sinx+cosx=﹣,x∈(0,π),可得cosx<0,sin2x=﹣,继而有(sinx﹣cosx)2=1﹣sin2x=,于是利用(sinx+cosx)(sinx﹣cosx)=﹣cos2x即可求得答案.解答:解:∵sinx+cosx=﹣,x∈(0,π),∴cosx<0,且1+2sinxcosx=,∴sin2x=﹣.∴(sinx﹣cosx)2=1﹣sin2x=,∴sinx﹣cosx=,与已知sinx+cosx=﹣联立,∴(sinx+cosx)(sinx﹣cosx)=﹣cos2x=﹣×=﹣,∴cos2x=,故答案为:;.点评:本题考查二倍角的正弦与余弦,考查同角三角函数间的关系式的应用,属于中档题.11.已知双曲线﹣=1(a>0,b>0)的两条渐近线均和圆C:x2+y2﹣6x+5=0相切,则此双曲线的离心率为;又若双曲线的焦点到渐近线的距离为2,则此双曲线的方程为.考点:双曲线的简单性质.专题:计算题;作图题;圆锥曲线的定义、性质与方程.分析:由题意,圆C:x2+y2﹣6x+5=0的方程可化为(x﹣3)2+y2=4;从而可得故=;从而求离心率;再由双曲线的焦点到渐近线的距离为2可得b=2;从而求方程.解答:解:由题意,圆C:x2+y2﹣6x+5=0的方程可化为(x﹣3)2+y2=4;故OC=3,BC=2,OB=;故=;故e===;设双曲线的焦点为(c,0);其一条渐近线方程为=0,即bx+ay=0;故双曲线的焦点到渐近线的距离d==b=2;故a=;故此双曲线的方程为;故答案为:;.点评:本题考查了双曲线的定义及性质应用,属于基础题.12.已知数列{a n}满足:a4n﹣3=1,a4n﹣1=0,a2n=a n,n∈N*,则a2013=1;a2014=0.考点:数列递推式.专题:点列、递归数列与数学归纳法.分析:根据数列之间的递推关系即可得到结论.解答:解:∵2013=504×4﹣3,满足a4n﹣3=1∴a2013=1,∵a2014=a1007,1007=252×4﹣1,满足a4n﹣1=0∴a2014=a1007=0,故答案为:1;0.点评:本题考查数列的递推式在解题中的合理运用,根据递推关系推导项之间的联系是解决本题的关键.13.已知平面向量,,,满足++=,且与的夹角为135°且与的夹角为120°,||=2,则||=.考点:平面向量数量积的运算.专题:平面向量及应用.分析:设=(m,0),由与的夹角为135°且与的夹角为120°,||=2,可取=,=r.=,利用++=,即可得出.解答:解:设=(m,0),∵与的夹角为135°且与的夹角为120°,||=2,∴=,=r.=,∵++=,∴=0,解得.故答案为:.点评:本题考查了向量的正交分解、向量的模的计算公式、向量的坐标运算,考查了推理能力与计算能力,属于中档题.14.某几何体的三视图(单位:cm)如图所示,则此几何体的体积为20cm3.考点:由三视图求面积、体积.专题:空间位置关系与距离.分析:由已知中的三视图可得:该几何体是一个三棱柱挖去一个三棱锥所得的组合体,画出其直观图,进而根据棱柱和棱锥体积公式,可得答案.解答:解:由已知中的三视图可得:该几何体是一个三棱柱挖去一个三棱锥所得的组合体,如下图所示:故该几何体的体积V===20,故答案为:20点评:本题考查的知识点是由三视图求体积和表面积,由已知中的三视图分析出几何体的形状是解答的关键.15.已知实数x,y满足x2+xy+y2=3,则x2﹣xy+y2的取值范围为[1,9].考点:基本不等式.专题:不等式的解法及应用.分析:设x2﹣xy+y2=m,又x2+xy+y2=3,可得3﹣m=2xy.由于x2+y2≥2|xy|,可得﹣3≤xy≤1,即可得出.解答:解:设x2﹣xy+y2=m,∵x2+xy+y2=3,∴3﹣m=2xy.∵x2+y2≥2|xy|,当且仅当x=±y时取等号.∴3≥﹣2xy+xy,3≥2xy+xy,化为﹣3≤xy≤1,∴﹣6≤2xy≤2.∴﹣6≤3﹣m≤2,解得1≤m≤9.∴x2﹣xy+y2的取值范围为[1,9].故答案为:[1,9].点评:本题考查了基本不等式的性质,考查了灵活变形能力,考查了推理能力和计算能力,属于难题.三、解答题:16.(14分)在△ABC中,角A,B,C的对边分别为a,b,c,已知lga﹣lgb=lgcosA﹣lgcosB,(Ⅰ)若,求角A;(Ⅱ)若,求cosB的值.考点:余弦定理;对数的运算性质;正弦定理.专题:计算题;综合题.分析:(Ⅰ)由题意可得A、B∈(0,),tanA=tanB,从而有A=B;又c=b,由余弦定理可求角A;(Ⅱ)由cosC=,利用余弦定理可得c=a,再利用正弦定理将该式转化为角的正弦,利用三角函数间的关系式即可求得cosB的值.解答:解:∵lga﹣lgb=lgcosA﹣lgcosB,∴lg =lg,A、B∈(0,),∴=,∴acosB=bcosA,由正弦定理可得sinAcosB=sinBcosA,sin(A﹣B)=0,∵A、B∈(0,),∴A=B,即a=b,△ABC为等腰三角形.又c=b,由余弦定理得:c2=3b2=b2+a2﹣2abcosC=2b2﹣2b2cosC,∴cosC=﹣,又C∈(0,π),∴C=,又A=B,A+B+C=π,∴A=.(Ⅱ)∵cosC=,∴sinC=,∴由余弦定理c2=b2+a2﹣2abcosC=2a2﹣2a2×=a2,∴c=a,∴sinC=sinA,而sinC=,∴sinA=,又A、B∈(0,),A=B,∴cosB=cosA=.点评:本题考查正弦定理、余弦定理的应用,根据三角函数的值求角,得到tanA=tanB,是解题的关键,考查学生综合运用三角知识解决问题的能力,属于难题.17.(14分)已知数列{a n},{b n}分别满足a1a2…a n=n(n﹣1)…2•1,b1+b2+…+b n=a n2.(1)求数列{a n},{b n}的通项公式;(2)若数列{}的前n项和为S n,若对任意x∈R,a n S n>﹣x2﹣2x+9恒成立,求自然数n的最小值.考点:数列的求和;数列与不等式的综合.专题:等差数列与等比数列.分析:(1)由a1a2…a n=n(n﹣1)…2•1,得a1a2…a n﹣1=(n﹣1)(n﹣2)…2•1,n≥2,两式相除得a n=n;由b1+b2+…+b n=a n2=n2,得b1+b2+…+b n﹣1=(n﹣1)2,两式相减得b n=2n﹣1.(2)由==,利用裂项求和法能求出对任意x∈R,a n S n>﹣x2﹣2x+9恒成立的自然数n的最小值.解答:解:(1)由a1a2…a n=n(n﹣1)…2•1,得a1a2…a n﹣1=(n﹣1)(n﹣2)…2•1,n≥2,两式相除得a n=n,n≥2,又n=1时,a1=1,满足上式,∴a n=n.…由b1+b2+…+b n=a n2=n2,得b1+b2+…+b n﹣1=(n﹣1)2,∴b n=n2﹣(n﹣1)2=2n﹣1,(n≥2),又b1=1,故b n=2n﹣1.…(2)∵==,∴S n===,∴nS n=,而g(x)=﹣x2﹣2x+9的最大值为10,f(n)=>10恒成立即可,n2>10(2n+1),∴n2﹣20n﹣10>0,解得n≥21,∴n的最小值为21.…(14分)点评:本题考查数列的通项公式的求法,考查满足条件的自然数的最小值的求法,是中档题,解题时要注意裂项求和法的合理运用.18.(14分)如图,四边形ABCD为菱形,ACFE为平行四边形,且面ACFE⊥面ABCD,AB=BD=2,AE=,设BD与AC相交于点G,H为FG的中点.(Ⅰ)证明:CH⊥面BFD;(Ⅱ)若CH=,求EF与面EDB所成角的大小.考点:直线与平面所成的角;直线与平面垂直的判定.专题:空间位置关系与距离;空间角.分析:(Ⅰ)首先根据已知条件利用菱形的性质求出垂直的关系,进一步利用面面垂直得到线线垂直,最后利用线面垂直的判定求出结论.(Ⅱ)利用上步的结论,先确定线面的夹角,进一步求出角的大小.解答:(Ⅰ)证明:四边形ABCD为菱形所以:BD⊥AC又面ACEF⊥面ABCD所以:BD⊥平面ACFE所以:BD⊥CH即:CH⊥BD又H为FG的中点,CG=CF=所以:CH⊥FG所以:CH⊥面BFD.(Ⅱ)连接EG,由(Ⅰ)知BD⊥平面ACFE所以:面EFG⊥面BED所以:EF与平面EDB所成的角即为∠FEG.在△FCG中,CG=CF=,CH=,CH⊥GF所以∠GCF=120°,GF=3所以EG=,又因为EF=2.所以在△EFG中,可求得∠FEG=60°点评:本题考查的知识要点:线面垂直的判定,线面的夹角的应用.属于基础题型.19.已知函数g(x)=ax2﹣2ax+1+b(a>0)在区间[2,3]上有最大值4和最小值1.设f(x)=.(1)求a、b的值;(2)若不等式f(2x)﹣k•2x≥0在x∈[﹣1,1]上恒成立,求实数k的取值范围;(3)若f(|2k﹣1|)+k•﹣3k=0有三个不同的实数解,求实数k的取值范围.考点:函数恒成立问题;函数的零点与方程根的关系.专题:函数的性质及应用.分析:(1)由函数g(x)=a(x﹣1)2+1+b﹣a,a>0,所以g(x)在区间[2,3]上是增函数,故,由此解得a、b的值.(2)不等式可化为2x+﹣2≥k•2x,故有k≤t2﹣2t+1,t∈[,2],求出h(t)=t2﹣2t+1的最大值,从而求得k的取值范围.(3)方程f(|2k﹣1|)+k•﹣3k=0⇒|2x﹣1|2﹣(2+3k)|2x﹣1|+(1+2k)=0,(|2x﹣1|≠0),令|2x﹣1|=t,则t2﹣(2+3k)t+(1+2k)=0(t≠0),构造函数h(t)=t2﹣(2+3k)t+(1+2k),通过数形结合与等价转化的思想即可求得k的范围.解答:解:(1)函数g(x)=ax2﹣2ax+b+1=a(x﹣1)2+1+b﹣a,因为a>0,所以g(x)在区间[2,3]上是增函数,故,即,解得.(2)由已知可得f(x)=x+﹣2,所以,不等式f(2x)﹣k•2x≥0可化为2x+﹣2≥k•2x,可化为1+()2﹣2•≥k,令t=,则k≤t2﹣2t+1.因x∈[﹣1,1],故t∈[,2].故k≤t2﹣2t+1在t∈[,2]上能成立.记h(t)=t2﹣2t+1,因为t∈[,2],故h(t)max=h(2)=1,所以k的取值范围是(﹣∞,1].(3)方程f(|2k﹣1|)+k•﹣3k=0可化为:|2x﹣1|2﹣(2+3k)|2x﹣1|+(1+2k)=0,|2x﹣1|≠0,令|2x﹣1|=t,则方程化为t2﹣(2+3k)t+(1+2k)=0(t≠0),∵方程f(|2k﹣1|)+k•﹣3k=0有三个不同的实数解,∴由t=|2x﹣1|的图象知,t2﹣(2+3k)t+(1+2k)=0(t≠0),有两个根t1、t2,且0<t1<1<t2或0<t1<1,t2=1.记h(t)=t2﹣(2+3k)t+(1+2k),则,或∴k>0.点评:本题考查二次函数在闭区间上的最值,考查函数恒成立问题问题,考查数形结合与等价转化、函数与方程思想的综合应用,属于难题.20.(17分)如图所示,过抛物线C:x2=4y的对称轴上一点P(0,m)(m>0)作直线l与抛物线交于A(x1,y1),B(x2,y2)两点,点Q是点P关于原点的对称点.(Ⅰ)求证:x1x2=﹣4m;(Ⅱ)若=λ,且⊥(﹣μ),求证:λ=μ.考点:抛物线的简单性质.专题:圆锥曲线中的最值与范围问题.分析:(Ⅰ)设出直线l的方程,得到方程组,表示出x1•x2即可;(Ⅱ)由⊥(﹣μ),表示出关于λ,μ的方程,解出即可.解答:解:(Ⅰ)设l方程为:y=kx+m,由得:x2﹣4kx﹣4m=0,所以x1•x2=﹣4m;(Ⅱ)=λ,得=λ,由⊥(﹣μ),得2m[y1﹣μy2+(1﹣μ)m]=0,从而﹣μ+(1﹣μ)m=0,把x1•x2=﹣4m;代入上式得﹣(1﹣μ)﹣μ=0,则λ2+(1﹣μ)λ﹣μ=0,所以λ=﹣1或λ=μ,而显然λ>0,所以λ=μ.点评:本题考查了抛物线问题,考查向量的垂直的性质,考查转化思想,是一道中档题.。
N 浙江省杭州市西湖高级中学2015届高三9月月考物理试题一、单选题(每小题3分,共 24 分)1.关于物理学的研究方法,以下说法错误的是( )A .伽利略开创了运用逻辑推理和实验相结合进行科学研究的方法B .质点、点电荷、重心的概念用了“理想化模型”的方法C .电场强度是用比值法定义的,因而电场强度与电场力成正比,与试探电荷的电量成反比D .合力与分力、总电阻用的是“等效替代”的方法2.如图所示,足够长的水平传送带以v 0=2m/s 的速度匀速运行。
t =0时,在最左端轻放一质量为m 的小滑块,t =2s 时,传送带突然制动停下。
已知滑块与传送带之间的动摩擦因数μ=0.2。
下列关于滑块相对地面运动的v -t 图像正确的是( )3.设雨点下落过程中受到的空气阻力与雨点(可看成球形)的横截面积S 成正比,与下落速度v的平方成正比,即f=kSv 2,其中k 为比例常数,且雨滴最终都做匀速运动.已知球体积公式:V=334r π(r 为半径),若两个雨滴的半径之比为1:2,则这两个雨点的落地速度之比为( ) A .12 B .12 C .14 D .184.如图所示,原不带电的绝缘金属导体MN ,在其两端下面都悬挂着金属验电箔,若使带负电的绝缘金属球A 靠近导体的M 端,可能看到的现象是( )A .只有M 端验电箔张开,且M 端带正电B .只有N 端验电箔张开,且N 端带负电C .两端的验电箔都张开,且左端带负电,右端带正电D .两端的验电箔都不张开,且左端带正电,右端带负电5. 一辆公共汽车进站后开始刹车,做匀减速直线运动.开始刹车后的第1 s 内和第2 s 内位移大小依次为9m 和7m .则刹车后6s 内的位移是 ( )A .20 mB .24 mC .25 mD .75 m6.安培提出了著名的分子电流假说,根据这一假说,电子绕核运动可等效为一环形电流。
设电量为e 的电子以速率v 绕原子核沿顺时针方向做半径为r 的匀速圆周运动,关于该环形电流的说法,正确的是( ) A .电流强度为2ve r π,电流方向为顺时针 B .电流强度为ve r,电流方向为顺时针 C .电流强度为2ve r π,电流方向为逆时针 D.电流强度为ve r ,电流方向为逆时针 7.如图所示,水平放置的两块带电平行金属板.板间存在着方向竖直向下、场强大小为E的匀强电场和垂直于纸面的匀强磁场.假设电场、磁场只存在于两板间.一个带正电的粒子,以水平速度v 0从两极板的左端正中央沿垂直于电场、磁场的方向射入极板间,恰好做匀速直线运动.不计粒子的重力及空气阻力.则( )A .板间所加的匀强磁场0EB v ,方向垂直于纸面向里 B .若粒子电量加倍,将会向下偏转C .若粒子从极板的右侧射入,一定沿直线运动D .若粒子带负电,其它条件不变,将向上偏转8.粗细均习的电阻丝围成的正方形线框置于有界匀强磁场中,磁场方向垂直于线框平面,其边界与正方形线框的边平行。
一、选择题(每小题只有1个正确答案,每小题5分,共50分) 1.已知集合2{|22},{|log (1)},M x x N x y x M N =-≤<==-⋂则=A .{|20}x x -≤<B .{|10}x x -<<C .{|12}x x <<D .{—2,0} 2.已知,αβ的终边在第一象限,则“αβ>”是“sin sin αβ>”A .充分不必要条件B .必要不充分条件C .充要条件D .既不充分与不必要条件3.设,,l m n 表示三条不同的直线,,αβ表示两个不同的平面,则下列说法正确的是 A .如l ∥m ,m α⊂,则l ∥α; B .如,,,l m l n m n α⊥⊥⊂,则l α⊥; C .如,,l m l m αβ⊂⊂⊥,则αβ⊥; D .如l ∥α,l ∥β,m αβ⋂=,则l ∥m .4.函数sin()(0)y x ϕϕ=π+>的部分图象如右图所示,设P 是图象的最高点,,A B 是图象与x 轴的交点,则tan APB ∠= A.8 B.10 C.87 D.475. 若椭圆短轴上的两顶点与一焦点的连线互相垂直,则离心率等于A.12D.26.函数()log (21)(01)x a f x b a a =+->≠,的图象如图所示,则a b ,满足的关系是A .101a b -<<<B .101b a -<<<C .101b a -<<<-D .1101a b --<<<7.数列{}n a 满足21=a ,n n n a a 231⋅=++,则=2012a俯视图A .10054B .441005-C .10062D .100648.已知奇函数)0,()(-∞在x f 上是单调减函数,且0)2(=f ,则不等式0)1()1(>--x f x 的解集为A .}13|{-<<-x xB .}3111|{<<<<-x x x 或C .}3103|{<<<<-x x x 或D .}213|{><<-x x x 或9.棱长为1的正方体1111D C B A ABCD -中,点21,P P 分别是线段1,BD AB (不包括端点上的动点,且线段21P P 平行于平面11ADD A ,则四面体121AB P P 的体积的最大值是 A .241B .121 C .61 D .21 10.设函数)(1)(R x xxx f ∈+-=,区间M=[a ,b](a<b),集合N={M x x f y y ∈=),(},则使M=N 成立的实数对(a ,b)有 A .0个 B .1个 C .2个 D .无数多个 二、填空题(每小题4分,共28分)11.一个正四棱锥的所有棱长均为2,其俯视图如右图所示,则该正四棱锥的正视图的面积为 .12.设,x y 满足约束条件⎪⎩⎪⎨⎧≥≥≥-≤--,0,0,0,023y x y x y x 若目标函数)0,0(>>+=b a by ax z 的最大值为1,则ba 11+的最小值为 . 13.已知(2,2),(2,1)A B ,O为坐标原点,若OA tOB -≤uu r uu u r t 的值为 .14.椭圆2x 2+y 2=1上的点到直线y=3x-4的距离的最小值是 .15.若M 为ABC ∆内一点,且满足3144AM AB AC =+uuu r uu u r uuu r,则ABM ∆与ABC ∆的面积之比为 .16、数列{a n }满足2112333 (32)n n na a a a -++++=,则n a = .17.函数(2)y x x =-在2a x ≤≤上的最小值为1-,则实数a 的取值范围为 . 三、解答题(14+15+14+15+14,共72分,请写出必要的解题步骤)18.(本小题满分14分)(I )设全集为R ,集合{|sin(2),}642A t t x x πππ==-≤≤,,若不等式20t at b ++≤的解集是A ,求,a b 的值。
浙江省杭州市西湖高级中学2014-2015学年高二12月月考数学试题试卷 Ⅰ一. 选择题 :本大题共15小题 ,每小题5分,共75分,在每小题给出的四个选择项中,只有一项是符合题目要求的。
1.过点(-1,3)且垂直于直线x -2y+3=0的直线方程为( )A.2x+y -1=0B.2x+y -5=0C.x+2y -5=0D.x -2y+7=02. 已知直线l 的方程为043=++y x ,则直线l 的倾斜角为( )A .030B .060C .0120D .01503.在直角坐标系中,已知A (-1,2),B (3,0),那么线段AB 中点的坐标为( ).A .(2,2) B(1,1) C .(-2,-2) D .(-1,-1)4.若一圆的标准方程为3)5()1(22=++-y x ,则此圆的的圆心和半径分别为 ( )A 、)5,1(-,3B 、)5,1(-, 3C 、 )5,1(-,3D 、 )5,1(-,35.已知直线0323=-+y x 和016=++my x 互相平行,则它们之间的距离是( )A. 4B.13132C. 26135D. 261376.以两点)1,3(--A 和)5,5(B 为直径端点的圆的方程是( )A 、100)2()1(22=++-y xB 、100)2()1(22=-+-y xC 、25)2()1(22=+++y xD 、25)2()1(22=-+-y x7.已知二面角α-l -β的大小为60°,m ,n 为异面直线,且m ⊥α,n ⊥β,则m ,n 所成的角为( )A .30°B .60°C .90°D .120°8.已知某几何体的三视图如右,根据图中标出的尺寸(单位:cm),可得这个几何体的体积是( )A.12 cm 3B.13 cm 3C.16 cm 3D.112 cm 39.已知m ,n 是两条不同直线,α,β,γ是三个不同平面,下列命题中正确的是( )A .若m ∥α,n ∥α,则m ∥nB .若α⊥γ,β⊥γ,则α∥βC .若m ∥α,m ∥β,则α∥βD .若m ⊥α,n ⊥α,则m ∥n10.长方体一个顶点上的三条棱长分别为3、4、5,若它的八个顶点都在同一个球面上,则这个球的表面积是( )A .202πB .252πC .50πD .200π11.当a 为任意实数时,直线(a -1)x -y +a +1=0恒过定点C ,则以C 为圆心,半径为5的圆的方程为( )A .x 2+y 2-2x +4y =0B .x 2+y 2+2x +4y =0C .x 2+y 2+2x -4y =0D .x 2+y 2-2x -4y =012.若P(2,-1)为圆(x -1)2+y 2=25的弦AB 的中点,则直线AB 的方程为( )A .x -y -3=0B .2x +y -3=0C .x +y -1=0D .2x -y -5=013.如图,点P 是等腰△ABC 所在平面外一点,PA ⊥平面ABC ,PA =8,在△ABC 中,底边BC =6,AB =5,则P 到BC 的距离为( )A .4 5 B. 3 C .3 3 D .2 3 14.已知矩形ABCD ,AB =1,BC = 2.将△ABD 沿矩形的对角线BD 所在的直线进行翻折,在翻折过程中( )A .存在某个位置,使得直线AC 与直线BD 垂直B .存在某个位置,使得直线AB 与直线CD 垂直C .存在某个位置,使得直线AD 与直线BC 垂直D .对任意位置,三对直线“AC 与BD”,“AB 与CD”,“AD 与BC”均不垂直15. 如图,在长方体ABCD -A 1B 1C 1D 1中,AB =BC =2,AA 1=1,则BC 1与平面BB 1D 1D所成的角的正弦值为( ) A.63 B.255 C.155 D.105二.填空题:本大题共5小题 ,每小题5分,共25分。
浙江省杭州市西湖高级中学2015届高三9月月考数学(文)试题一、选择题:(每题5分,共50分)1.若全集U ={1,2,3,4,5,6},M ={},N ={},则集合{5,6}等于( )A .M ∪NB .M ∩NC .(∁U M )∪(∁U N )D .(∁U M )∩(∁U N )2.已知向量,的夹角为,则“为锐角”是“”的( )条件A .充分不必要B .必要不充分C .充要D .既不充分也不必要3.已知是不同的平面,是直线,且,则下列三个命题①α⊥⇒ββ⊥αm //m ,②β⇒α⊥β⊥α//m m ,;③β⊥α⇒βα⊥//m ,m .其中正确的是 ( )A .①B .②C .③D .②③4.函数)2|)(|2sin()(πϕϕ<+=x x f 的图象向左平移个单位后关于原点对称,则函数在 上的最小值为( )。
A .B .C .D .5.若,x y 满足10210y x y x y m -≥⎧⎪--≥⎨⎪+≤⎩,若目标函数的最小值为-2,则实数的值为( ) A. 0 B. 2 C. 8 D. -16.若函数在区间上存在一个零点,则的取值范围是( )A .B .或C .D .7.在∆ABC 中,A,B,C 为内角,且sin cos sin cos A A B B =,则∆ABC 是( )三角形A.等腰B.直角C.等腰且直角D.等腰或直角8.若函数()(01)x xf x ka a a a -=->≠且在(,)上既是奇函数又是增函数,则函数的图象是( )9. 向量, =(x, y )若与-的夹角等于,则的最大值为( )A .2B .C .4D . 10.设是关于的一元二次方程的两个实根,则的最小值是 ( )A. B.C. D.二、填空题:(每题4分,共28分)11.函数的周期为=_ _ 。
12.设数列的前n 项的和为,且()111,31,2,n n a a S n +===⋅⋅⋅,则等于_ _.13.某几何体的三视图如右图所示,根据所给尺寸(单位:cm ),则该几何体的体积为 。
杭西高2015年5月考高一数学试卷一、选择题(每小题5分,共8小题)1.若非零实数a , b 满足a >b ,则 ( ) A .a 3>b 3B.2211b a >C.a 2>b 2D.ba 11< 2.为得到函数)32sin(π-=x y 的图象,只需将函数)62sin(π+=x y 的图像( )A .向左平移4π个单位长度 B .向右平移4π个单位长度 C .向左平移2π个单位长度D .向右平移2π个单位长度3.不等式0322322<--+-x x x x 的解集是( ) A .(-∞, -1)∪(1, 2)∪(3, +∞) B .(-1, 1)∪(2, 3) C .(-1, 1) ∪(1, 2)D .(1, 2)∪(2, 3)4. 设F E D ,,分别为ABC ∆的三边AB CA BC ,,的中点,则=+( )A .AD B.12AD C. 12BC D. 5.若βα,为锐角,且满足53)cos(,54cos =+=βαα,则βsin 的值是( )(A )2517 (B )53 (C )257 (D )516.已知平面向量→OA 、→OB 、→OC 为三个单位向量,且→OA 0=⋅→OB , 满足→OC +=→OA x ),(R y x OB y ∈→,则y x +的最大值为( )A .1BCD .2 7.ABC ∆各角的对应边分别为c b a ,,,满足1≥+++ba cc a b ,则角A 的范围是( ) A .(0,]3πB .(0,]6πC .[,)3ππD .[,)6ππ 8.在锐角三角形ABC 中,a ,b ,c 分别为内角A ,B ,C 的对边,若A =2B ,给出下列命题:①64B ππ<<;②a b∈;③22a b bc =+.其中正确的个数是( ) A .0 B .1 C .2 D .3二、填空题 9.已知31)4cos(-=-απ,则)43cos(απ+的值为____ ____ 10.ABC ∆满足AC AB =,2=BC ,G 为ABC ∆的重心,则=⋅ 11.设平面上有4个互异的点,,,A B C D 已知(2)()0DB DC DA AB AC +-⋅-=,则ABC ∆的形状是________________________12.已知:),3(),2,1(m =-=,若⊥,则=m ;若//,则=m13. 已知函数f (x )=(x >1),当且仅当x= 时,f (x )取到最小值为 .14.已知向量(1,2)a =-,(2,3)b =,若m a b λ=+与n a b =-的夹角为钝角,则实数λ的取值范围是________15.已知ABC ∆的内角C B A ,,所对的边为c b a ,,,60,1A a b =︒==,则c = ,=++++CB A cb a sin sin sin ___三、解答题16. 已知向量()1,3cos m α=,()1,4tan n α=,()22ππα∈-,,且5m n ⋅=.(1)求m n +; (2)设向量m 与n 的夹角为β,求tan()αβ+的值.17.设函数()f x m n =⋅,其中向量(2cos ,1)m x =,(cos )n x x =,x R ∈. (1)求)(x f 的最小正周期与单调递减区间;(2)在△ABC 中,a 、b 、c 分别是角A 、B 、C 的对边,已知2)(=A f ,1=b ,△ABC的面积为23,求a .18. 在ABC ∆中,c b a ,,分别是角C B A ,,的对边,已知()b b a c a ⋅-=-22. (Ⅰ)若2cos2B-8cos B +5=0,判断ABC ∆的形状; (Ⅱ)若ABC ∆为锐角三角形,求2abc的取值范围19. 某厂家拟举行促销活动,经调查测算,该产品的年销售量x 万件与年促销费用m 万元(0m ≥)满足31kx m =-+(k 为常数),如果不搞促销活动,该产品的年销售量只能是1万件。
浙江省杭州市西湖高级中学2015届高三9月月考数学(理)试题一、选择题(每小题只有1个正确答案,每小题5分,共50分) 1.已知集合2{|22},{|log (1)},M x x N x y x M N =-≤<==-⋂则=A .{|20}x x -≤<B .{|10}x x -<<C .{|12}x x <<D .{—2,0} 2.已知,αβ的终边在第一象限,则“αβ>”是“sin sin αβ>”A .充分不必要条件B .必要不充分条件C .充要条件D .既不充分与不必要条件3.设,,l m n 表示三条不同的直线,,αβ表示两个不同的平面,则下列说法正确的是 A .如l ∥m ,m α⊂,则l ∥α; B .如,,,l m l n m n α⊥⊥⊂,则l α⊥; C .如,,l m l m αβ⊂⊂⊥,则αβ⊥; D .如l ∥α,l ∥β,m αβ⋂=,则l ∥m .4.函数sin()(0)y x ϕϕ=π+>的部分图象如右图所示,设P 是图象的最高点,,A B 是图象与x 轴的交点,则tan APB ∠= A.8 B.10C.87 D.475. 若椭圆短轴上的两顶点与一焦点的连线互相垂直,则离心率等于A.12B.2D.26.函数()log (21)(01)x a f x b a a =+->≠,的图象如图所示,则a b ,满足的关系是A .101a b -<<<B .101b a -<<<C .101ba -<<<-D .1101ab --<<<7.数列{}n a 满足21=a ,nn n a a 231⋅=++,则=2012aA .10054B .441005-C .10062D .100648.已知奇函数)0,()(-∞在x f 上是单调减函数,且0)2(=f ,则不等式0)1()1(>--x f x俯视图的解集为A .}13|{-<<-x xB .}3111|{<<<<-x x x 或C .}3103|{<<<<-x x x 或D .}213|{><<-x x x 或9.棱长为1的正方体1111D C B A ABCD -中,点21,P P 分别是线段1,BD AB (不包括端点上的动点,且线段21P P 平行于平面11ADD A ,则四面体121AB P P 的体积的最大值是 A .241B .121 C .61 D .21 10.设函数)(1)(R x xxx f ∈+-=,区间M=[a ,b](a<b),集合N={M x x f y y ∈=),(},则使M=N 成立的实数对(a ,b)有 A .0个 B .1个 C .2个 D .无数多个 二、填空题(每小题4分,共28分)11.一个正四棱锥的所有棱长均为2,其俯视图如右图所示,则该正四棱锥的正视图的面积为 .12.设,x y 满足约束条件⎪⎩⎪⎨⎧≥≥≥-≤--,0,0,0,023y x y x y x 若目标函数)0,0(>>+=b a by ax z 的最大值为1,则ba 11+的最小值为 . 13.已知(2,2),(2,1)A B ,O为坐标原点,若OA tOB -≤uur uu u r t 的值为 .14.椭圆2x 2+y 2=1上的点到直线y=3x-4的距离的最小值是 .15.若M 为ABC ∆内一点,且满足3144AM AB AC =+uuu r uu u r uuu r,则A B M ∆与ABC ∆的面积之比为 .16、数列{a n }满足2112333 (32)n n na a a a -++++=,则n a = . 17.函数(2)y x x =-在2a x ≤≤上的最小值为1-,则实数a 的取值范围为 . 三、解答题(14+15+14+15+14,共72分,请写出必要的解题步骤) 18.(本小题满分14分)(I )设全集为R ,集合{|sin(2),}642A t t x x πππ==-≤≤,,若不等式20t at b ++≤的解集是A ,求,a b 的值。
(II )已知集合2641{|()1},{|log ()1}2x x M x N x x m --=≤=+≤,若M N ⋂=Φ,求实数m 的取值范围。
19.(本小题满分15分)ABC ∆中,4,45AB AC BAC ==∠=,以AC 的中线BD 为折痕,将ABD ∆沿BD 折起,构成二面角A BD C --.在面BCD 内作CE CD ⊥,且CE =(I )求证:CE ∥平面ABD ; (II )如果二面角A BD C --的大小为90,求二面角B AC E --的余弦值. 20.(本题满分14分) 在△ABC 中,内角A ,B ,C 对边的边长分别是a ,b ,c ,已知c =2,3π=C .(I )若△ABC 的面积等于3,试判断△ABC 的形状并说明理由 (II )若sin C +sin(B -A)=2sin 2A ,求a ,b .21.(本题满分15分)在等差数列{}n a 中,31=a ,其前n 项和为n S ,等比数列{}n b 的各项均为正数,11=b ,公比为q ,且1222=+S b , 22b S q =. (I )求n a 与n b ; (II )证明:31≤1211123n S S S +++<K .22. (本题满分14分)对于函数()f x 若存在0x R ∈,00()=f x x 成立,则称0x 为()f x 的不动点.已知2()=(1)-1(0)f x ax b x b a +++≠(I )当=1,=-2a b 时,求函数(f x )的不动点;(II )若对任意实数b ,函数()f x 恒有两个相异的不动点,求a 的取值范围; (Ш)在(2)的条件下,若=()y f x 图象上A 、B 两点的横坐标是函数()f x 的不动点,且A 、B 两点关于直线2121y kx a =++对称,求b 的最小值.杭西高2013年9月考高三数学理科试卷答案一、选择题(每小题只有1个正确答案,每小题5分)1.已知集合2{|22},{|log (1)},M x x N x y x M N =-≤<==-则= ( C )A .{|20}x x -≤<B .{|10}x x -<<C .{|12}x x <<D .{—2,0} 2.已知,αβ的终边在第一象限,则“αβ>”是“sin sin αβ>” ( D )A .充分不必要条件B .必要不充分条件C .充要条件D .既不充分与不必要条件3.设,,l m n 表示三条不同的直线,,αβ表示两个不同的平面,则下列说法正确的是(D )A .如l ∥m ,m α⊂,则l ∥α;B .如,,,l m l n m n α⊥⊥⊂,则l α⊥;C .如,,l m l m αβ⊂⊂⊥,则αβ⊥;D .如l ∥α,l ∥β,m αβ=,则l ∥m .4.函数sin()(0)y x ϕϕ=π+>的部分图象如右图所示,设P 是图象的最高点,,A B 是图象与x 轴的交点,则tan APB ∠=( A )A.8B.10C.87D.475. 若椭圆短轴上的两顶点与一焦点的连线互相垂直,则离心率等于( B )A.12BD.26.函数()log (21)(01)x a f x b a a =+->≠,的图象如图所示,则a b ,满足的关系是( A ) A .101a b -<<< B .101b a -<<<C .101b a -<<<-D .1101ab --<<<7.数列{}n a 满足21=a ,nn n a a 231⋅=++,则=2012a (D )A .10054B .441005-C .10062D .10064x8.已知奇函数)0,()(-∞在x f 上是单调减函数,且0)2(=f ,则不等式0)1()1(>--x f x 的解集为(B )A .}13|{-<<-x xB .}3111|{<<<<-x x x 或C .}3103|{<<<<-x x x 或D .}213|{><<-x x x 或9.棱长为1的正方体1111D C B A ABCD -中,点21,P P 分别是线段1,BD AB (不包括端点)上的动点,且线段21P P 平行于平面11ADD A ,则四面体121AB P P 的体积的最大值是(A ) A .241B .121 C .61 D .21三、解答题18.(1)设全集为R ,集合{|sin(2),}642A t t x x πππ==-≤≤,,若不等式20t at b ++≤的解集是A ,求,a b 的值。
(2)已知集合2641{|()1},{|log ()1}2x x M x N x x m --=≤=+≤,若MN =Φ,求实数m 的取值范围。
19.ABC ∆中,4,45AB AC BAC ==∠=,以AC 的中线BD 为折痕,将ABD ∆沿BD 折起,构成二面角A BD C --.在面BCD 内作CE CD ⊥,且CE (I )求证:CE ∥平面ABD ;(II )如果二面角A BD C --的大小为90,求二面角B AC E --的余弦值.解:(1)由4,45AB AC BAC ==∠=得4BC =,所以ABC ∆为等腰直角三角形,由D 为AC 的中点得BD AC ⊥,以AC 的中线BD 为折痕翻折后仍有BD CD ⊥,因为CE CD ⊥,所以CE ∥BD ,又CE ⊄平面ABD ,BD ⊂平面ABD ,所以CE ∥平面ABD .(2)如果二面角A BD C --的大小为90,由A D B D ⊥得AD ⊥平面BDC ,因此AD CE ⊥,又CE CD ⊥,所以CE ⊥平面ACD ,从而CE AC ⊥.由题意AD DC ==,所以R t A D C ∆中,4AC =.设BC 中点为F ,因为4A B B C ==,所以BF AC ⊥,且BF =,设AE 中点A BCDEFG为G ,则FG ∥CE ,由C E A C ⊥得FG AC ⊥,所以BFG ∠为二面角B AC E --的平面角,连结BG ,在BCE ∆中,因为4,135BC CE BCE ==∠=,所以BE .在Rt DCE ∆中DE ,于是在Rt ADE ∆中,AE .在ABE ∆中,2222111332242B G A BB E A E =+-=,所以在BFG ∆中,1312cos BFG +-∠==.因此二面角B AC E --的余弦值为20.在△ABC 中,内角A ,B ,C 对边的边长分别是a ,b ,c ,已知c =2,3π=C .(Ⅰ)若△ABC 的面积等于3,试判断△ABC 的形状并说明理由 (Ⅱ)若sin C +sin(B -A)=2sin 2A ,求a ,b ..解 (1)由余弦定理及已知条件,得a 2+b 2-ab =4. …………2分又因为△ABC 的面积等于3,所以12ab sin C =3,得ab =4. …………4分联立方程组⎩⎪⎨⎪⎧ a 2+b 2-ab =4,ab =4解得⎩⎪⎨⎪⎧a =2,b =2.…………7分(2)由题意,得sin(B +A )+sin(B -A )=4sin A cos A ,即sin B cos A =2sin A cos A . …………9分 当cos A =0,即A =π2时,B =π6,a =433,b =233; …………11分当cos A ≠0时,得sin B =2sin A ,由正弦定理,得b =2a . …………12分联立方程组⎩⎪⎨⎪⎧a 2+b 2-ab =4,b =2a ,解得⎩⎨⎧a =233,b =433.…………14分21.在等差数列{}n a 中,31=a ,其前n 项和为n S ,等比数列{}n b 的各项均为正数,11=b ,公比为q ,且1222=+S b , 22b S q =. (Ⅰ)求n a 与n b ;(Ⅱ)证明:31≤3211121<+++n S S S .22.对于函数()f x 若存在0x R ∈,00()=f x x 成立,则称0x 为()f x 的不动点.已知2()=(1)-1(0)f x ax b x b a +++≠(1)当=1,=-2a b 时,求函数(f x )的不动点;(2)若对任意实数b ,函数()f x 恒有两个相异的不动点,求a 的取值范围; (3)在(2)的条件下,若=()y f x 图象上A 、B 两点的横坐标是函数()f x 的不动点,且A 、B 两点关于直线2121y kx a =++对称,求b 的最小值.。