初一奥数有理数及三角形测试题汇总
- 格式:doc
- 大小:29.50 KB
- 文档页数:8
年初中奥数题及答案初中奥数题试题一一、选择题(每题分,共分).如果,都代表有理数,并且+,那么 ( ).,都是.,之一是.,互为相反数.,互为倒数答案:解析:令,-,满足(-),由此、互为相反数。
.下面的说法中正确的是 ( ).单项式与单项式的和是单项式.单项式与单项式的和是多项式.多项式与多项式的和是多项式.整式与整式的和是整式答案:解析:²,都是单项式.两个单项式,²之和为²是多项式,排除。
两个单项式²,之和为是单项式,排除。
两个多项式与-之和为是个单项式,排除,因此选。
.下面说法中不正确的是 ( ). 有最小的自然数.没有最小的正有理数.没有最大的负整数.没有最大的非负数答案:解析:最大的负整数是,故错误。
.如果,代表有理数,并且+的值大于-的值,那么 ( ).,同号.,异号.>.>答案:.大于-π并且不是自然数的整数有 ( ).个.个.个.无数个答案:解析:在数轴上容易看出:在-π右边的左边(包括在内)的整数只有-,-,-,共个.选。
.有四种说法:甲.正数的平方不一定大于它本身;乙.正数的立方不一定大于它本身;丙.负数的平方不一定大于它本身;丁.负数的立方不一定大于它本身。
这四种说法中,不正确的说法的个数是 ( ).个.个.个.个答案:解析:负数的平方是正数,所以一定大于它本身,故错误。
.代表有理数,那么,和-的大小关系是 ( ).大于-.小于-.大于-或小于-.不一定大于-答案:解析:令,马上可以排除、、,应选。
.在解方程的过程中,为了使得到的方程和原方程同解,可以在原方程的两边( ) .乘以同一个数.乘以同一个整式.加上同一个代数式.都加上答案:解析:对方程同解变形,要求方程两边同乘不等于的数,所以排除。
我们考察方程-,易知其根为.若该方程两边同乘以一个整式-,得(-)(-),其根为及,不与原方程同解,排除。
同理应排除.事实上方程两边同时加上一个常数,新方程与原方程同解,对,这里所加常数为,因此选..杯子中有大半杯水,第二天较第一天减少了,第三天又较第二天增加了,那么,第三天杯中的水量与第一天杯中的水量相比的结果是( ).一样多.多了.少了.多少都可能答案:解析:设杯中原有水量为,依题意可得,第二天杯中水量为×(-);第三天杯中水量为()×()××;第三天杯中水量与第一天杯中水量之比为∶,所以第三天杯中水量比第一天杯中水量少了,选。
精心整理1、2002)1(-的值(B)A.2000B.1C.-1D.-2000 2、a 为有理数,则200011+a 的值不能是(C ) A.1B.-1C.0D.-20003、20074、)1(-5、)1(-6、计算78911练习:.22222222221098765432+--------.2)12(2221n n n n =-=-+ 612、计算:)9897983981(656361()4341(21++++++++++ 结果为:5.612249122121=⨯++⨯+ 13、计算:.200720061431321211⨯++⨯+⨯+⨯ 应用:)111(1)1(+-=+n n d n n d练习:.1051011171311391951⨯++⨯+⨯+⨯ 13、计算:35217106253121147642321⨯⨯+⨯⨯+⨯⨯⨯⨯+⨯⨯+⨯⨯.结果为52 14、求21-++x x 的最小值及取最小值时x 的取值范围.练习:已知实数c b a ,,满足,01b a c <<<<-且,a c b >>求b a c a c ---+-1的值.练习:1、计算2、若m A.C.3、若n A.C.4143678…5、已知系是(C )A.2001+=b aB.2002+=b aC.b a =D.2002-=b a6、计算:.35217201241062531211471284642321⨯⨯+⨯⨯+⨯⨯+⨯⨯⨯⨯+⨯⨯+⨯⨯+⨯⨯52 7、计算:.561742163015201412136121++++++83288、计算:.100321132112111+++++++++++ 9、计算:.999999999999999999999+++++10、计算)100011)(99911)(99811()411)(311211(10201970198019992000-------++-+- .610 11、已知,911,999909999==Q p 比较Q P ,的大小. 12、设n13、又得到一个数,14理数3,(1)15.19981.某工厂去年的生产总值比前年增长a%,则前年比去年少的百分数是 (A)A .a%.B .(1+a)%.C.1100a a + D.100a a+ 2.甲杯中盛有2m 毫升红墨水,乙杯中盛有m 毫升蓝墨水,从甲杯倒出a 毫升到乙杯里,0<a <m ,搅匀后,又从乙杯倒出a 毫升到甲杯里,则这时 (A)A .甲杯中混入的蓝墨水比乙杯中混入的红墨水少.B .甲杯中混入的蓝墨水比乙杯中混入的红墨水多.C .甲杯中混入的蓝墨水和乙杯中混入的红墨水相同.D.甲杯中混入的蓝墨水与乙杯中混入的红墨水多少关系不定.3.已知数x=100,则(A)A.x是完全平方数.B.(x-50)是完全平方数.C.(x-25)是完全平方数.D.(x+50)是完全平方数.4.观察图1中的数轴:用字母a,b,c依次表示点A,B,C对应的数,则111,,ab b a c-的大小关系是(C)A.111ab b a c<<-;B.1b a-<1ab<1c;C.1c<1b a-<1ab;D.1c<1ab<1b a-.5.x=9,y=-4是二元二次方程2x2+5xy+3y2=30的一组整数解,这个方程的不同的整数解共有()A.2123.4.当5121,S2,S3满足关系式S3=13S1=13S2,求S.3.求方程11156x y z++=的正整数解.初中数学竞赛辅导2.设a,b,c为实数,且|a|+a=0,|ab|=ab,|c|-c=0,求代数式|b|-|a+b|-|c-b|+|a-c|的值.3.若m<0,n>0,|m|<|n|,且|x+m|+|x-n|=m+n,求x的取值范围.4.设(3x-1)7=a7x7+a6x6+…+a1x1+a0,试求a0+a2+a4+a6的值.6.解方程2|x+1|+|x-3|=6.8.解不等式||x+3|-|x-1||>2.10.x,y,z均是非负实数,且满足:x+3y+2z=3,3x+3y+z=4,求u=3x-2y+4z的最大值与最小值.11.求x4-2x3+x2+2x-1除以x2+x+1的商式和余式.13.如图1-89所示.AOB是一条直线,OC,OE分别是∠AOD和∠DOB的平分线,∠COD=55°.求∠DOE的补角.14.15.ACB.17与BE 交于F18KL于F1920.下23共有432425(1)(2)26.由?27.甲火车长92米,乙火车长84米,若相向而行,相遇后经过1.5秒(s)两车错过,若同向而行相遇后经6秒两车错过,求甲乙两火车的速度.28.甲乙两生产小队共同种菜,种了4天后,由甲队单独完成剩下的,又用2天完成.若甲单独完成比乙单独完成全部任务快3天.求甲乙单独完成各用多少天?29.一船向相距240海里的某港出发,到达目的地前48海里处,速度每小时减少10海里,到达后所用的全部时间与原速度每小时减少4海里航行全程所用的时间相等,求原来的速度.1630.某工厂甲乙两个车间,去年计划完成税利750万元,结果甲车间超额15%完成计划,乙车间超额10%完成计划,两车间共同完成税利845万元,求去年这两个车间分别完成税利多少万元?31.已知甲乙两种商品的原价之和为150元.因市场变化,甲商品降价10%,乙商品提价20%,调价后甲乙两种商品的单价之和比原单价之和降低了1%,求甲乙两种商品原单价各是多少?32.小红去年暑假在商店买了2把儿童牙刷和3支牙膏,正好把带去的钱用完.已知每支牙膏比每把牙刷多1元,今年暑假她又带同样的钱去该商店买同样的牙刷和牙膏,因为今年的牙刷每把涨到1.68元,牙膏每支涨价30%,小红只好买2把牙刷和2支牙膏,结果找回4角钱.试问去年暑假每把牙刷多少钱?每支牙膏多少钱?33.某商场如果将进货单价为8元的商品,按每件12元卖出,每天可售出400件,据经验,若每件少卖1元,则每天可多卖出200件,问每件应减价多少元才可获得最好的效益?34.从A镇到B镇的距离是28千米,今有甲骑自行车用0.4千米/分钟的速度,从A镇出发驶向B35.20%,含锰501千克.(1)(2)(3)|=-a c-b≥0,a-c≤0原式=-b3.因为x+m≥0时,||x+m4a0+a210因为y,u=3x-2y+4z11.所以商式为x2-3x+3,余式为2x-412.小柱的路线是由三条线段组成的折线(如图1-97所示).我们用“对称”的办法将小柱的这条折线的路线转化成两点之间的一段“连线”(它是线段).设甲村关于北山坡(将山坡看成一条直线)的对称点是甲′;乙村关于南山坡的对称点是乙′,连接甲′乙′,设甲′乙′所连得的线段分别与北山坡和南山坡的交点是A,B,则从甲→A→B→乙的路线的选择是最好的选择(即路线最短)显然,路线甲→A→B→乙的长度恰好等于线段甲′乙′的长度.而从甲村到乙村的其他任何路线,利用上面的对称方法,都可以化成一条连接甲′与乙′之间的折线.它们的长度都大于线段甲′乙′.所以,从甲→A→B→乙的路程最短.13.如图1-98所示.因为OC,OE分别是∠AOD,∠DOB的角平分线,又∠AOD+∠DOB=∠AOB=180°,所以∠COE=90°.因为∠COD=55°,所以∠DOE=90°-55°=35°.因此,∠DOE的补角为180°-35°=145°.14.如图1-99所示.因为BE平分∠ABC,所以∠CBF=从而由∠15所以所以所以∠16.在∠DBC∠A+∠17以,又S△EFD=S△BFG-SEFDG=4S△BFD-SEFDG,所以S△EFGD=3S△BFD.设S△BFD=x,则SEFDG=3x.又在△BCE中,G是BC边上的三等分点,所以S△CEG=S△BCEE,从而所以SEFDC=3x+2x=5x,所以S△BFD∶SEFDC=1∶5.18.如图1-102所示.由已知AC‖KL,所以S△ACK=S△ACL,所以即KF=FL.+b1=9,a+a1=9,于是a+b+c+a1+b1+c1=9+9+9,即2(a十b+c)=27,矛盾!20.答案是否定的.设横行或竖列上包含k个黑色方格及8-k个白色方格,其中0≤k≤8.当改变方格的颜色时,得到8-k个黑色方格及k个白色方格.因此,操作一次后,黑色方格的数目“增加了”(8-k)-k=8-2k个,即增加了一个偶数.于是无论如何操作,方格纸上黑色方格数目的奇偶性不变.所以,从原有的32个黑色方格(偶数个),经过操作,最后总是偶数个黑色方格,不会得到恰有一个黑色方格的方格纸.21.大于3的质数p只能具有6k+1,6k+5的形式.若p=6k+1(k≥1),则p+2=3(2k+1)不是质数,所以,p=6k+5(k≥0).于是,p+1=6k+6,所以,6|(p+1).22.+1)=75于是α所以故23即所以24令而t=1,把t25.(1)有8×7×(2)与男甲结对有8种可能情况,与男乙结对有7种不同情况,…,且两列可对换,所以共有2×8×7×6×5×4×3×2×1=80640种不同情况.26.万位是5的有4×3×2×1=24(个).万位是4的有4×3×2×1=24(个).万位是3,千位只能是5或4,千位是5的有3×2×1=6个,千位是4的有如下4个:34215,34251,34512,34521.所以,总共有24+24+6+4=58个数大于34152.27.两车错过所走过的距离为两车长之总和,即92+84=176(米).设甲火车速度为x米/秒,乙火车速度为y米/秒.两车相向而行时的速度为x+y;两车同向而行时的速度为x-y,依题意有解之得解之得x=9(天),x+3=12(天).解之得x=16(海里/小时).经检验,x=16海里/小时为所求之原速.30解之得31由②有由①得解之得322×1.68即2×即所以若y为去年每支牙膏价格,则y=1.4+1=2.4(元).33.原来可获利润4×400=1600元.设每件减价x元,则每件仍可获利(4-x)元,其中0<x<4.由于减价后,每天可卖出(400+200x)件,若设每天获利y元,则y=(4-x)(400+200x)=200(4-x)(2+x)=200(8+2x-x2)=-200(x2-2x+1)+200+1600=-200(x-1)2+1800.所以当x=1时,y最大=1800(元).即每件减价1元时,获利最大,为1800元,此时比原来多卖出200件,因此多获利200元.34.设乙用x分钟追上甲,则甲到被追上的地点应走了(25+x)分钟,所以甲乙两人走的路程分别是0.4(25+x)千米和0.6x千米.因为两人走的路程相等,所以0.4(25+x)=0.6x,解之得x=50分钟.于是左边=0.4(25+50)=30(千米),右边即乙用35.(1)(2)当(3)x?40y=250重量y而。
初中奥数题试题一一、选择题(每题1分,共10分)1.如果a,b都代表有理数,并且a+b=0,那么 ( )A.a,b都是0B.a,b之一是0C.a,b互为相反数D.a,b互为倒数答案:C解析:令a=2,b=-2,满足2+(-2)=0,由此a、b互为相反数。
2.下面的说法中正确的是 ( )A.单项式与单项式的和是单项式B.单项式与单项式的和是多项式C.多项式与多项式的和是多项式D.整式与整式的和是整式答案:D解析:x²,x3都是单项式.两个单项式x3,x²之和为x3+x²是多项式,排除A。
两个单项式x²,2x2之和为3x2是单项式,排除B。
两个多项式x3+x2与x3-x2之和为2x3是个单项式,排除C,因此选D。
3.下面说法中不正确的是 ( )A. 有最小的自然数B.没有最小的正有理数C.没有最大的负整数D.没有最大的非负数答案:C解析:最大的负整数是-1,故C错误。
4.如果a,b代表有理数,并且a+b的值大于a-b的值,那么 ( )A.a,b同号B.a,b异号C.a>0D.b>0答案:D5.大于-π并且不是自然数的整数有 ( )A.2个B.3个C.4个D.无数个答案:C解析:在数轴上容易看出:在-π右边0的左边(包括0在内)的整数只有-3,-2,-1,0共4个.选C。
6.有四种说法:甲.正数的平方不一定大于它本身;乙.正数的立方不一定大于它本身;丙.负数的平方不一定大于它本身;丁.负数的立方不一定大于它本身。
这四种说法中,不正确的说法的个数是 ( )A.0个B.1个C.2个D.3个答案:B解析:负数的平方是正数,所以一定大于它本身,故C错误。
7.a代表有理数,那么,a和-a的大小关系是 ( )A.a大于-aB.a小于-aC.a大于-a或a小于-aD.a不一定大于-a答案:D解析:令a=0,马上可以排除A、B、C,应选D。
8.在解方程的过程中,为了使得到的方程和原方程同解,可以在原方程的两边( ) A.乘以同一个数B.乘以同一个整式C.加上同一个代数式D.都加上1答案:D解析:对方程同解变形,要求方程两边同乘不等于0的数,所以排除A。
初一奥数竞赛试题及答案试题一:数字逻辑问题题目:有一个数字序列,前三个数字是5,7,9。
从第四个数字开始,每个数字都是前三个数字的和。
请问这个序列的第10个数字是多少?答案:首先,我们可以计算出第四个数字是5+7+9=21。
然后依次计算后面的数字:- 第五个数字是7+9+21=37- 第六个数字是9+21+37=67- 第七个数字是21+37+67=125- 第八个数字是37+67+125=229- 第九个数字是67+125+229=421- 第十个数字是125+229+421=775所以,这个序列的第10个数字是775。
试题二:几何问题题目:在一个直角三角形中,已知直角边长分别为3厘米和4厘米,求斜边的长度。
答案:根据勾股定理,直角三角形的斜边长度可以通过以下公式计算:\[ c = \sqrt{a^2 + b^2} \],其中a和b是直角边的长度。
将题目中给出的数值代入公式中,我们得到:\[ c = \sqrt{3^2 + 4^2} =\sqrt{9 + 16} = \sqrt{25} = 5 \]厘米。
所以,斜边的长度是5厘米。
试题三:组合问题题目:有5个不同的球和3个不同的盒子,每个盒子至少放一个球。
问有多少种不同的放球方法?答案:首先,我们需要将5个球分成3组,其中至少有1个球。
我们可以将这个问题看作是将5个球中的4个球分配到3个盒子中,剩下的一个球可以放在任意一个盒子中。
这相当于在4个球之间插入2个隔板来形成3个部分。
我们有4个空位可以放置隔板,所以总共有\[ C(4,2) \]种方法,即\[ \frac{4!}{2!(4-2)!} = 6 \]种方法。
但是,我们需要排除所有球都在一个盒子里的情况,这种情况有3种。
因此,最终的放球方法有\[ 6 - 3 = 3 \]种。
试题四:数列问题题目:一个数列的前两项是1和2,从第三项开始,每一项都是前两项的差。
求这个数列的第10项。
答案:我们可以列出数列的前几项来找出规律:1, 2, 1, 1, 0, 1, 1, 2, 3, 5, ...数列的规律是斐波那契数列,但是从第三项开始,每一项是前两项的差。
一、选择题(每题5分,共20分)1. 下列各数中,不是有理数的是()A. √4B. -2.5C. πD. 02. 如果a、b是实数,且a+b=0,那么下列说法正确的是()A. a=0,b=0B. a=0,b≠0C. a≠0,b=0D. a≠0,b≠03. 下列各数中,绝对值最小的是()A. -2.3B. -2.2C. 2.3D. 2.24. 下列方程中,解得x=-2的是()A. 2x+3=1B. 2x-3=1C. 2x+3=-1D. 2x-3=-15. 一个长方形的长是4厘米,宽是3厘米,那么它的周长是()A. 10厘米B. 11厘米C. 12厘米D. 13厘米二、填空题(每题5分,共20分)6. 如果一个数的平方等于16,那么这个数是______。
7. 下列数中,有理数是______。
8. 下列数中,无理数是______。
9. 已知一个等腰三角形的底边长为8厘米,腰长为10厘米,那么这个三角形的周长是______厘米。
10. 已知一个梯形的上底长为6厘米,下底长为10厘米,高为4厘米,那么这个梯形的面积是______平方厘米。
三、解答题(每题10分,共30分)11. 已知a、b是实数,且a-b=5,求a²-b²的值。
12. 已知一个正方形的对角线长为10厘米,求这个正方形的面积。
13. 已知一个等腰三角形的底边长为6厘米,腰长为8厘米,求这个三角形的面积。
四、应用题(每题10分,共20分)14. 一辆汽车从A地出发,以每小时60千米的速度匀速行驶,经过2小时到达B 地。
如果汽车的速度提高20%,求汽车从A地到B地所需的时间。
15. 小明从家出发,先向东走了5千米,然后向北走了4千米,最后向西走了3千米。
请问小明家距离他的最终位置有多远?答案:一、选择题1. C2. C3. A4. C5. C二、填空题6. ±47. -2.5,08. π9. 48厘米 10. 32平方厘米三、解答题11. 2512. 50平方厘米13. 16平方厘米四、应用题14. 3小时15. 6千米。
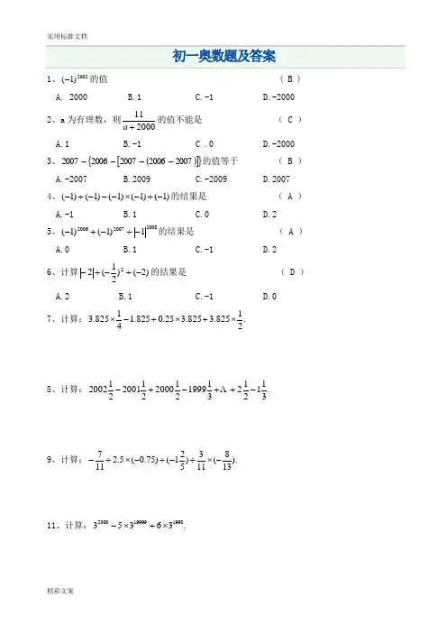
初一奥数题及答案1、2002)1(-的值 ( B )A. 2000B.1C.-1D.-2000 2、a 为有理数,则200011+a 的值不能是 ( C ) A.1 B.-1 C .0 D.-20003、()[]}{20072006200720062007----的值等于 ( B )A.-2007B.2009C.-2009D.20074、)1()1()1()1()1(-÷-⨯---+-的结果是 ( A ) A.-1 B.1 C.0 D.25、2008200720061)1()1(-÷-+-的结果是 ( A ) A.0 B.1 C.-1 D.26、计算)2()21(22-+-÷-的结果是 ( D ) A.2 B.1 C.-1 D.07、计算:.21825.3825.325.0825.141825.3⨯+⨯+-⨯8、计算:.311212311999212000212001212002-++-+- 9、计算:).138(113)521()75.0(5.2117-⨯÷-÷-⨯÷-11、计算:.363531998199992000⨯+⨯-练习:.22222222221098765432+--------.2)12(2221n n n n =-=-+ 612、计算: )9897983981()656361()4341(21++++++++++ 结果为:5.612249122121=⨯++⨯+13、计算:.200720061431321211⨯++⨯+⨯+⨯ 应用:)111(1)1(+-=+n n d n n d练习:.1051011171311391951⨯++⨯+⨯+⨯13、计算:35217106253121147642321⨯⨯+⨯⨯+⨯⨯⨯⨯+⨯⨯+⨯⨯. 结果为5214、求21-++x x 的最小值及取最小值时x 的取值范围.练习:已知实数c b a ,,满足,01b a c <<<<-且,a c b >>求b a c a c ---+-1的值.练习:1、计算2007200619991998)1()1()1()1(-+-++-+- 的值为 ( C )A.1B.-1C.0D.102、若m 为正整数,那么()[])1(11412---m m 的值 ( B ) A.一定是零 B.一定是偶数C.是整数但不一定是偶数D.不能确定3、若n 是大于1的整数,则2)(12)1(n n n p ---+=的值是 ( B )A.一定是偶数B.一定是奇数C.是偶数但不是2D.可以是奇数或偶数4、观察以下数表,第10行的各数之和为 ( C )14 36 7 813 12 11 1015 16 17 18 1926 25 24 23 22 21…A.980B.1190C.595D.4905、已知,200220012002200120022001200220012⨯++⨯+⨯+= a 20022002=b ,则a 与b 满足的关系是 ( C )A.2001+=b aB.2002+=b aC.b a =D.2002-=b a6、计算:.35217201241062531211471284642321⨯⨯+⨯⨯+⨯⨯+⨯⨯⨯⨯+⨯⨯+⨯⨯+⨯⨯527、计算:.561742163015201412136121++++++83288、计算:.100321132112111+++++++++++9、计算: .999999999999999999999+++++10、计算)100011)(99911)(99811()411)(311)(211(10201970198019992000-------++-+- .610 11、已知,911,999909999==Q p 比较Q P ,的大小. Q p ==⨯⨯=⨯⨯=9099909999099119991199)911(12、设n 为正整数,计算:43424131323332312122211+++++++++++ .1112141424344nn n n n n n n n ++-++-+++++++++ 2)1(21+=+++n n n13、2007加上它的21得到一个数,再加上所得的数的31又得到一个数,再加上这次得到的41又得到一个数,… ,依次类推,一直加到上一次得数的20071,最后得到的数是多少? 2005003)200211()311()211(2002=+⨯⨯+⨯+⨯14、有一种“二十四点”的 游戏,其游戏规则是这样的:任取四个1至13之间的 自然数,将这四个(每个数用且只用一次)进行加减四则运算与)321(4++⨯应视作相同方法的运算,现有四个有理数3,4,-6,10.运用上述规则写出三种不同方法的运算,使其结果等于24,运算式:(1)_______________________;(2)________________________;15.黑板上写有1,2,3,…,1997,1998这1998个自然数,对它们进行操作,每次操作规则如下:擦掉写在黑板上的三个数后,再添写上所擦掉三个数之和的个位数字,例如:擦掉5,13和1998后,添加上6;若再擦掉6,6,38,添上0,等等。
同步练习题有理数的巧算 计算下列各式:1. 953821164153136.(|...|)----+-2. |()|()|()|-++-+--73841218146123. {||[||(||||)]}----++--637236 4. 1625233434231213141612075.().+⨯÷⨯--+⨯- 5. ()()914725212112318432015485253112-⨯-+--÷6. 计算2005112123134120032004120042005⨯⨯+⨯+⨯++⨯+⨯()7. 计算()()345678131415161718⨯⨯⨯⨯⨯+++++ 8. 计算:12132314243412006220062004200620052006+++++++++++()()()9. 计算().(.)(.)795636275361436-⨯+⨯-+⨯-10. 计算:()()()()112131412131415112131415121314++++++-++++++ 绝对值1.x 是什么实数时,下列等式成立:(1)|(x-2)+(x-4)|=|x-2|+|x-4|; ( 2)|(7x+6)(3x-5)|=(7x+6)(3x-5).2.化简下列各式:(2)|x+5|+|x-7|+|x+10|.3.若a +b <0,化简|a+b-1|-|3-a-b |.4.已知y=|x+3|+|x-2|-|3x-9|,求y 的最大值.5.设T=|x-p |+|x-15|+|x-p-15|,其中0<p <15,对于满足p ≤x ≤15的x 来说,求T 的最小值6.已知a <b ,求|x-a |+|x-b |的最小值.7.不相等的有理数a ,b ,c 在数轴上的对应点分别为A ,B ,C ,如果|a-b |+|b-c |=|a-c |,那么B 点应为( ).(1)在A ,C 点的右边; (2)在A ,C 点的左边; (3)在A ,C 点之间; (4)以上三种情况都有可能同义句转换 方法一1)用同义词或同义短语替换。
一、选择题(每题5分,共50分)1. 下列各数中,有理数是()A. √9B. √16C. √-9D. √02. 已知 a + b = 0,且 a > 0,则下列结论正确的是()A. a > bB. a < bC. a = bD. 无法确定3. 在△ABC中,若∠A = 45°,∠B = 30°,则∠C的度数是()A. 60°B. 75°C. 90°D. 105°4. 若等差数列{an}中,a1 = 3,d = 2,则第10项an等于()A. 19B. 20C. 21D. 225. 下列函数中,有最大值的是()A. y = x^2B. y = -x^2C. y = 2xD. y = x + 16. 若一个正方形的对角线长为10cm,则其面积是()A. 25cm²B. 50cm²C. 100cm²D. 200cm²7. 在平面直角坐标系中,点P的坐标为(2,-3),则点P关于x轴的对称点坐标是()A.(2,3)B.(-2,-3)C.(-2,3)D.(2,-3)8. 下列各式中,能表示反比例函数的是()A. y = 2x + 3B. y = 3/xC. y = x^2D. y = √x9. 在等腰三角形ABC中,若底边BC的长度为8cm,腰AB的长度为10cm,则高AD 的长度是()A. 6cmB. 8cmC. 10cmD. 12cm10. 若一个正三角形的边长为a,则其面积S是()A. (√3/4)a²B. (√3/2)a²C. (√3/3)a²D. (√3/6)a²二、填空题(每题5分,共50分)11. 若等比数列{an}中,a1 = 2,q = 3,则第5项an等于______。
12. 在△ABC中,若∠A = 40°,∠B = 50°,则∠C的度数是______。
初一数学奥数试题及答案题目一:数列问题题目描述:一个数列的前三项为2, 3, 4,从第四项开始,每一项都是前三项的和。
求第10项的值。
解答:首先,我们可以列出数列的前几项:2, 3, 4, 9, 16, 35, 61, 122, 253, 509第10项的值为509。
题目二:几何问题题目描述:在一个直角三角形中,已知直角边长分别为6和8,求斜边的长度。
解答:根据勾股定理,斜边的长度可以通过以下公式计算:\[ c = \sqrt{a^2 + b^2} \]将已知的直角边长代入公式:\[ c = \sqrt{6^2 + 8^2} = \sqrt{36 + 64} = \sqrt{100} = 10 \] 所以,斜边的长度为10。
题目三:逻辑推理问题题目描述:有5个盒子,编号为1到5。
每个盒子里都装有不同数量的球,但每个盒子里的球的数量都不超过10。
现在知道以下信息:1. 盒子1里的球数是盒子2的两倍。
2. 盒子3里的球数是盒子4的两倍。
3. 盒子5里的球数是盒子1的两倍。
4. 所有盒子里的球数加起来是50。
求每个盒子里各有多少个球。
解答:设盒子1里的球数为x,根据条件1,盒子2里的球数为x/2。
根据条件3,盒子5里的球数为2x。
现在我们有以下等式:\[ x + x/2 + 2x + (50 - x - x/2 - 2x) = 50 \]解这个方程,我们可以得到x=10。
所以:盒子1有10个球,盒子2有5个球,盒子3和盒子4的球数我们还不知道,但它们的和是20(因为50 - 10 - 5 - 20 = 15)。
由于盒子3的球数是盒子4的两倍,我们设盒子4有y个球,那么盒子3有2y个球。
所以:\[ y + 2y = 20 \]解得y=6,所以盒子4有6个球,盒子3有12个球。
题目四:组合问题题目描述:一个班级有15个学生,需要选出5个学生组成一个小组。
求有多少种不同的小组组合方式。
解答:这是一个组合问题,可以使用组合公式来解决:\[ C(n, k) = \frac{n!}{k!(n-k)!} \]其中n是总人数,k是小组的人数。
完整版)初一奥数题集(带答案) 奥数1、求(-1)^2002的值。
答案:12、如果a是有理数,那么a+2000的值不能是多少?答案:03、计算2007-[2006-{2007-(2006-2007)}]的值。
答案:20094、计算(-1)+(-1)-(-1)×(-1)÷(-1)的结果。
答案:-15、计算(-1)^2006+(-1)^2007÷-1^2008的结果。
答案:06、计算-2÷(-2)^2+(-2)的结果。
答案:07、计算3.825×-1.825+0.25×3.825+3.825×0.的结果。
答案:-2.58、计算2002-2001+2000-1999+…+2-1的值。
答案:10019、计算-1÷2.5×(-0.75)^(-1)÷(-1)×(-1)的结果。
答案:0.610、计算-5×+6×的结果。
答案:11、计算2-2+2-3+2-4+…+2-9+2^10的值。
答案:102212、计算(1/3)+(2/4)+(3/6)+…+(n/n+1)的值。
答案:n/(n+1)13、计算1×2×3+2×4×6+7×14×21/2的结果。
答案:10514、求x+1+x-2的最小值及取最小值时x的取值范围。
答案:最小值为-1,x的取值范围为[2,∞)。
已知实数$a,b,c$满足$-1c>a$,求$c-1+a-c-a-b$的值。
解题思路:将$c-1+a-c-a-b$化简,得到$a-2c-b-1$,然后根据题目中的不等式关系,将$a,b,c$表示成$c$的形式,代入化简后的式子中,即可得到答案。
具体步骤如下:由题意得:$c-1c>a$,即$b-a>a-c$,$b-c>c-a$。
将$c-1+a-c-a-b$化简,得到$a-2c-b-1$。
有理数计算 1使用说明:本题集的制作初衷是为学生提供计算题目以便强化计算能力。
此题集共500道,1-445题为基本四则运算,建议每天做10道,如能保证答题准确率在80%以上,说明计算能力比较过关。
446-500题为能力计算题目,涉及等差数列,等比数列,裂项等技巧,建议学完计算技巧后再作题进行巩固。
要相信坚持总有回报,祝愿每位同学取得优异的成绩。
由于时间有限,后面所附答案如有错漏之处,请批评指正。
1. ⨯--÷5324()61152. ÷--⨯-÷7571234(2)525553. ⨯+⨯--÷+⨯1177110.8 4.8() 2.20.822394. --+-⨯-⨯620512)(154)(13475. -⨯⨯-187()( 2.4)736. ÷-⨯÷-7772()(5)3417. -+⨯÷-24528[15(13)](1)113118. ⨯-÷-⨯55(5)()511初一年级《有理数》计算题集500道(含答案)第1页,共64页有理数计算2 9. --+-÷-32114742)()(1132110. -⨯-⨯+⨯--⨯3737130.34(13)0.34221511. -⨯-⨯⨯-1367(13)(134)()1112. ---+--8248(4)(5)(4)3711113. --+÷-(16503)(2)14. (-)-(-)-+420.53 6.7551115. -++-212117887.21435312.7921916. -⨯-+-÷--(6)(4)(32)(8)317. ----+722()|1|21118. -⨯-+-÷(9)(4) (60)12第2页,共64页3有理数计算 19. 9581[()1]()1472142--+÷-20. 1|3|10(15)3--÷--⨯21. 375112532162-⨯-÷()22. 11171(231)(1)(7)32186+÷-⨯--23. 31(820.04)43-⨯--24. []551(0.4)( 2.5)---⨯-25. 251(1)(10.5)3---⨯26.575(7)(243)(246)--+---+-+-27. 213(2)(1)8()312--⨯--÷-⨯-+28. 912311(27)9()(24)1123412-÷-+--⨯-第3页,共64页有理数计算430.()()1120.12533110.25483⎛⎫⎛⎫⎛⎫+++-++- ⎪ ⎪ ⎪⎝⎭⎝⎭⎝⎭31. 211(455)365455211545545365⨯-+⨯-⨯+⨯32. 102131111()[9(3)]314122---⨯--+÷33. 8221211(1)()()[2(3)]0.52368---÷-⨯-----34. 25171()24(5)138612⎡⎤--+⨯÷-⎢⎥⎣⎦35. ()131170.125 1.213213⎛⎫⎛⎫-⨯-÷-⨯- ⎪ ⎪⎝⎭⎝⎭36. ()2342()()0.2534⨯-+-÷-37. ()7511[30()36]59612-+-⨯-÷-()第4页,共64页5有理数计算 38. 23155(1)()()()74148+÷-÷-⨯-39. 31315(1)(1) ()()42424-÷--+÷-40. 8)3(4)2(323+-⨯--⨯41. 2)2(2)1(3210÷-+⨯-42. 2)2(2)2(23322--+----43. ])3(2[61124--⨯--44. ]2)33()4[()10(222⨯+--+-45. ])2(2[31)5.01()1(24--⨯⨯---46. 20022003)2()2(-+-47. 20052004(0.25)4-⨯48. 94)211(42415.0322⨯-----+-第5页,共64页有理数计算6 49. )2()3(]2)4[(3)2(223-÷--+-⨯--50. 32(4)(75)÷-⨯-+-51. 2)2(2)1(3210÷-+⨯-52. ()()574283+-⨯-÷-53. 2225(3)[()](6)439⨯+÷-----54. 31[2(10.54)]⨯-----55. 312123)2122(3)543(31512⨯-÷++÷+-⨯-56. 295(3)(2)4⨯--÷+-57. 3(5)[2(6)]3005-⨯---÷ 58. 2211(1)1339⨯-÷-59. [124(310)]4⨯-÷-第6页,共64页7有理数计算 60. 32(3)4(3)15⨯-⨯--+61. 4211[2(3)]6―⨯---62. 213502()15÷⨯-+-63. 421632()94÷⨯--64. ()1003212181215.20-⨯⎪⎭⎫⎝⎛-+⎪⎭⎫⎝⎛-÷-65. 21002212(1)1221|132|----÷-+--⨯()66. 3483(1)(4)--⨯---67. 3145()2⨯--68. 2)3121(36-⨯69. 24)23(942-⨯÷-第7页,共64页有理数计算8 70. 5434361832411÷⎥⎦⎤⎢⎣⎡⨯⎪⎭⎫ ⎝⎛-+- 71. )12()4332125(-⨯-+72. )4()81()2(163-⨯---÷73. 2111()()(2)(14)236--÷--⨯-+ 74. 33[5(10.2)(2)]5---+-⨯÷-75. 111122399100++⋅⋅⋅+⨯⨯⨯76. 911321321÷⎪⎭⎫⎝⎛-⨯-77. ()124310(49)-⨯-÷-⎡⎤⎣⎦78. 4435222-+--÷-()() 79. 32416210+÷-÷-()() 第8页,共64页9有理数计算 80. 2153233+÷÷-+-()()()81. 3342331---÷-()() 82. 232[3323]43-⨯-⨯--()83. 1293123223-÷+-⨯+()84. )6(23517235)34()235(-⨯-⨯--⨯-85. 15511512277227⎛⎫⎛⎫⨯--⨯+-⨯ ⎪ ⎪⎝⎭⎝⎭86. 23(2)(1)31(2)-⨯--⨯---[] 87. 3223(4)(9)0---⨯-⨯ 88. 31452-⨯-()89. 348311--⨯---()()第9页,共64页有理数计算10 90. 32422()93-÷⨯-91. 211[123]6--⨯--()92. 759015-⨯--÷-()()() 93. 23420.2534⨯-+-÷-()()()94. ()11731348126424⎛⎫-+-⨯- ⎪⎝⎭95. ()113700.2524.5525%42⎛⎫⎛⎫-⨯-+⨯--⨯ ⎪ ⎪⎝⎭⎝⎭96. 333145⎛⎫⨯- ⎪⎝⎭97. ()()()525306⎛⎫-⨯-⨯+⨯- ⎪⎝⎭98. ()5411.5112153⎛⎫-⨯⨯-⨯ ⎪⎝⎭第10页,共64页99. 13810.0434⎛⎫⎛⎫-+-⨯- ⎪ ⎪⎝⎭⎝⎭100. ()()3338878158777⎛⎫⎛⎫-⨯-+-⨯--⨯ ⎪ ⎪⎝⎭⎝⎭101. 1799918⎛⎫⨯- ⎪⎝⎭102. ()17.984⎛⎫-⨯- ⎪⎝⎭103. ()()()450.258-⨯⨯-⨯-104. 130.570445⎛⎫⎛⎫-⨯⨯-⨯ ⎪ ⎪⎝⎭⎝⎭105. 7213.2329213⎡⎤⎛⎫⎛⎫⎛⎫-⨯-⨯-⨯--⨯- ⎪ ⎪ ⎪⎢⎥⎝⎭⎝⎭⎝⎭⎣⎦106. ()74948⨯-107. 157556⎛⎫⨯- ⎪⎝⎭有理数计算12 108. ()24912525⎛⎫-⨯- ⎪⎝⎭109. ()200420062005-⨯110. ()231243412⎛⎫-++⨯- ⎪⎝⎭111. 2211613325⎛⎫⎛⎫⎛⎫⎛⎫-⨯-⨯-⨯- ⎪ ⎪ ⎪ ⎪⎝⎭⎝⎭⎝⎭⎝⎭112. 17371178412⎛⎫⎛⎫-⨯-+- ⎪ ⎪⎝⎭⎝⎭113. 1173332127⎛⎫-⨯⨯ ⎪⎝⎭114. 15511521214142214⎛⎫⎛⎫-⨯--⨯+⨯ ⎪ ⎪⎝⎭⎝⎭115. 4555542792793⎛⎫⨯+⨯+⨯- ⎪⎝⎭116. ()7 1.7516⎛⎫+÷- ⎪⎝⎭117. 31231527⎛⎫⎛⎫⎛⎫-÷-÷- ⎪ ⎪ ⎪⎝⎭⎝⎭⎝⎭118. ()()148121549-÷⨯÷-119. ()()()1084-÷-⨯-120. ()()1177-÷⨯-121. 294.558-⨯÷122. 121311234⎛⎫⎛⎫⎛⎫-÷-÷- ⎪ ⎪ ⎪⎝⎭⎝⎭⎝⎭123. 141315432251518⎛⎫⎛⎫⎛⎫⎛⎫+÷-⨯-÷- ⎪ ⎪ ⎪ ⎪⎝⎭⎝⎭⎝⎭⎝⎭124. ()1347415620512⎛⎫⨯-⨯--+- ⎪⎝⎭125. 111111111111357357357357⎛⎫⎛⎫⎛⎫⎛⎫⎛⎫⎛⎫⨯⨯+-⨯-⨯-+-⨯-⨯+⨯-⨯ ⎪ ⎪ ⎪ ⎪ ⎪ ⎪⎝⎭⎝⎭⎝⎭⎝⎭⎝⎭⎝⎭126. 25(8)(1)--⨯-有理数计算14 127. 11()128--+128. 4(6)(3)-⨯-129. 12()( 3.25)5---130. 313.5(0.7)(5)5-⨯-÷-131. 112167342⎛⎫⎛⎫-+÷- ⎪ ⎪⎝⎭⎝⎭132. ()1230.1434⎛⎫⎛⎫÷---÷- ⎪ ⎪⎝⎭⎝⎭133. 2212162()2-÷⨯-134. 344411117777⎛⎫⎛⎫-⨯÷--+ ⎪ ⎪⎝⎭⎝⎭135. 211110.5210.5100.5323⎛⎫⎛⎫⎛⎫-÷--÷-+÷ ⎪ ⎪ ⎪⎝⎭⎝⎭⎝⎭136. 21.8( 1.8)3--+137. 114254-+138. 1348(1)124-⨯-+139. 220.52(3)⨯--140. 113()1234÷-+141. 322322(2)()(2)2()833-⨯---÷⨯-142. 4327221()()1727173⎡⎤----+-⎢⎥⎣⎦143. 3777(1)()48128--÷-144. 241(7)(30)3 3.25134-÷--⨯+145. 868635.28.642⨯-⨯-+有理数计算16 146. 200720092008-⨯147. 199279-⨯148. 762()(1.5)3-⨯149. 201020111()33-⨯150. 201120102009(7)147(49)(7)-+⨯--⨯-151. 214.732(2.631)33⎡⎤---⎢⎥⎣⎦152. 421(3)(1)()7315-÷-⨯-153. 812763189--+-÷-()() 154. 13122(3)2523-⨯--+÷---155. ()28[710.63]3⎛⎫-⨯-+-⨯÷- ⎪⎝⎭156. 151()46-+-157. 2(0.8)15-+-158. 15631218⎛⎫+- ⎪⎝⎭159. ()(){}1.5 1.80.80.9+-++-⎡⎤⎣⎦160. 112133[2357]32324⎛⎫⎛⎫-++-++- ⎪ ⎪⎝⎭⎝⎭161. 222115[1344]33155⎛⎫-+--+- ⎪⎝⎭162. ()43510.712150.7(15)9494⨯+⨯-+⨯+⨯-163. 45812605615⎛⎫--⨯ ⎪⎝⎭164. ()15154232918⎛⎫-÷-÷- ⎪⎝⎭有理数计算18 165. 142 81614 9÷÷--⨯()166. 1211 4.43.1830+++++-())(167. 41889365036.25525323+-++--()168. 53145119(20)(302.5)(151)119197131717132⎛⎫⎛⎫+-+-+-+-+- ⎪ ⎪⎝⎭⎝⎭169. ()5113(3[(2) 5.1753 6.325]3714837⎛⎫-+-++++-+ ⎪⎝⎭) 170. 53124(3)(3)(1)6565--+---+171. 3511(114662+--+)172. 224411()(0.6)33535⎛⎫-+----- ⎪⎝⎭173. 7131441232555555---++-+174.1116 3253 5.252 3477⎡⎤⎛⎫--+---⎪⎢⎥⎝⎭⎣⎦175.275315 (3(2)(3)5(1)5 58125812⎛⎫++--+--+--⎪⎝⎭)176.21 1(1) 35⨯-177.()56.5()6 -⨯-178.314 ()(1)() 429 -⨯-⨯-179.50.25(4)9 6-⨯⨯-⨯180.51 ()(3) 63 -÷-181.421 (3)(1)(1)7314 -÷-÷-182.12114 ()()(1)(1)(1) 23435 -⨯-⨯-⨯-⨯-有理数计算20 183. 31123.8 2.4799.6()(339)8873-⨯⨯⨯-⨯-⨯⨯184. ()8[3.6(0.2)(0.4)1]-----⨯-⨯-185. 2231356(8)2(2)4⎡⎤⨯-+--⨯-⨯⎢⎥⎣⎦186. 5.7215.8-+()187. 0.47()50347---188. 11(3)(5)24--+189. 1111(()()()6432-+---+--)190. ()23632(2)3482(2)-⨯+-⨯-÷-+-191. 232111(32)4(0.5)(1)325⎡⎤--÷-⨯-⨯-⎣⎦192. 54()(3)(1)(2)65-÷-⨯-⨯-193. 283256(1)(0.5)81477⨯-÷-+-194. 3311112(2)332--⨯-+-195. 235()(4)0.25(5)(4)8-⨯--⨯-⨯-196. 2(3)2--⨯197. 12411()()()23523+-++-+-198. 11( 1.5)4 2.75(5)42-+++-199. 8(5)63-⨯--200. 3145()2-⨯-201. 25()()( 4.9)0.656-+----202. 22(10)5()5-÷⨯-有理数计算22 203. 323(5)()5-⨯-204. 25(6)(4)(8)⨯---÷-205. 1612()(2)472⨯-÷-206. 67()()51313-+--207. 211()1722---+-208. 737()()848-÷-209. 21(50)()510-⨯+210. 2(16503)(2)5--+÷-211. 32(6)8(2)(4)5-⨯----⨯ 212. 21122()(2)2233-+⨯--213. 199711(10.5)3---⨯214. 2232[3()2]23-⨯-⨯--215. 232()(1)043-+-+⨯216. 4211(10.5)[2(3)]3---⨯⨯--217. 4(81)( 2.25)()169-÷+⨯-÷218. 215[4(10.2)(2)]5---+-⨯÷-219. 666(5)(3)(7)(3)12(3)777-⨯-+-⨯-+⨯-220. 235()(4)0.25(5)(4)8-⨯--⨯-⨯-221. 23122(3)(1)6293--⨯-÷-222. 32323(2)()()32-⨯-⨯-有理数计算24 223. 13812711()3(2)()23-⨯⨯-⨯-224. 222172(3)(6)()3+⨯-+÷---225.()43212(8)()(2)2-÷---⨯-226. 81)4(2833--÷-227. 22100(2)(2)()3÷---÷-228. 22(3)(4)-÷-229. 22312()(0.8)2-⨯-÷-230. 2232113()(2)()32-⨯---÷-231. 232()(1)043-⨯-+⨯232. 2162()5+⨯-233. 2108(2)43-+÷--⨯234. []551(0.4)( 2.5)---⨯-235. 251(1)(10.5)3---⨯236. (14)26(14)(16)8-++-+-+ 237. ( 5.5)( 3.2)( 2.5) 4.8-+---- 238. (8)(25)(0.02)-⨯-⨯- 239. 1557()(72)29612-+-⨯-240. 11(2)()32-÷-241. 211(4)()22+-⨯-有理数计算26 242. 51552040.65(31)112280.52-÷⨯+÷--÷243. 2212113()12( 4.53)()233⎡⎤⎡⎤⨯⨯---⨯---+⎣⎦⎢⎥⎣⎦244. 23242341()()()(1)32232-⨯-÷-⨯--+-245. 111512255()()16(1)44543⎧⎫⎡⎤÷-+⨯÷--⨯-⎨⎬⎢⎥⎣⎦⎩⎭246. 20(15)(28)17-+---- 247. 6523157-+-+248. 2113()(1)3838---+-249. ( 5.54)( 3.2)( 2.5) 4.8-+---- 250. 295(3)(2)4+⨯---÷ 251. 32(1)(5)(3)2(5)⎡⎤-⨯-÷-+⨯-⎣⎦252. 32432(2)(1)(2)(2)-+-⨯---÷-253. []3(5)2(6)3005-⨯---÷ 254. 222221()32()4(1)3332-⨯-⨯-+-⨯-255. 221313(5)()240(4)2354⎡⎤-⨯--⨯--÷-⨯-⎢⎥⎣⎦256. 1347()(154)620512--+-⨯-⨯257. 3412()(5)777÷-⨯÷-258. ( 5.5) 3.2 4.5 6.8-⨯+⨯ 259. 2238()(4)()(8)595⨯---⨯-+-⨯260. 11(13)(134)()1367-⨯-⨯⨯-261. ()()()224275543()7811⎡⎤----⨯÷⨯-⎣⎦有理数计算28 262. ()()23210022()(2)3÷---÷-+-263. 222172(3)(6)()3-+⨯-+-÷-264. 2335(2)(10.8)114⎡⎤---+-⨯÷--⎢⎥⎣⎦265. 201023)1()2(161)1()21()21(-÷-⨯⎥⎦⎤⎢⎣⎡--÷--266. )145()2(52825-⨯-÷+-267. 7111(4)(5)(4)38248---+--268. 11(0.5)(3) 6.75542---+-269. (6)(4)(32)(8)3-⨯-+-÷-- 270. 1(5)(16)(2)3-÷-÷-271. 4321(2)(8)()(2)2-÷---⨯-272. 322)43(6)12(7311-⨯⎥⎦⎤⎢⎣⎡÷-+--273. 111117(113)(2)92844⨯-+⨯-274. 235(4)0.25(5)(4)8⎛⎫-⨯--⨯-⨯- ⎪⎝⎭275. 1113|16|2(4)()448⎡⎤⎡⎤---⨯-÷--⎢⎥⎢⎥⎣⎦⎣⎦276. (9)(4)(60)12-⨯-+-÷ 277. 230(3)3(2)--÷⨯-278. 22312()(0.8)2-⨯-÷-279. 37511()2532162-⨯-÷280. 2232113()(2)()32-⨯---÷-281. 2333(2)(3)(1)(3)---⨯---有理数计算30 282. 3233112()()(2)33-÷---⨯-283. 22131(2)2[()3]245--⨯--⨯÷284. 13611754136227231++-285. 22)36()33(24)12581(÷-÷---⨯-286. 2132()5+⨯-287. 222172(3)(6)()3-+⨯-+-÷-288. 225(3)[()]39-⨯-+-289. 28(3)(2)+-⨯- 290. 22100(2)(2)()3÷÷----291. 421232()33÷⨯--292. 24(3)2(3)4--⨯--⨯293. 12411()()()23523+-++-+-294. 11( 1.5)4 2.75(5)42-+++-295. 200612(1)(24)(2 2.75)83-+-⨯+-296. 103(1)2(2)4-⨯+-÷297. 422(10)[(4)(33)2]-+--+⨯298. 33422()93-÷⨯-299. 2310110.25(0.5)()(1)82-÷-+-⨯-300. 4321(2)(8)()(2)2-÷---⨯-301. 222475(5)4(3)()(7)811⎡⎤----⨯÷⨯-⎣⎦有理数计算32 302. 31{(3)[30.4(1)(2)]}2---+⨯-÷-303. 421110.52(3)3-+-⨯⨯⨯-()[]304. 3334[(17)6][(5)3](2)⨯-÷+--÷--305. 332313[8(2)1](3)(2)0.25--÷--+-⨯-÷306. 9.538(2|11.64 1.53 1.36|)----+-307. 73.17(812.03|219.83518|)--+308. 1112(398)-+--309. 95(945)----310. 5.6 4.7| 3.8 3.8-+---|311. 1213521(36)(16)(45)(10)27277+-+-+-++312. 5211()(2)(4)319152⨯-⨯-⨯-313. 555()83()(13)()28666-⨯+-⨯---⨯314. 23181920222...222-----+315. 111 (133519971999)+++⨯⨯⨯316. 3145()2-⨯-317. 25()()( 4.9)0.656-+----318. 22(10)5()5-÷⨯-319. 323(5)()5-⨯-320. 25(6)(4)(8)⨯---÷-321. 1612()(2)472⨯-÷-322. 2(16503)(2)5--+÷-有理数计算34 323. 32(6)8(2)(4)5-⨯----⨯324. 235()(4)0.25(5)(4)8-⨯--⨯-⨯-325. 23122(3)(1)6293--⨯-÷-326. 21122()(2)2233-+⨯--327. 19971(1)(10.5)3----⨯328. 2232[3()2]23-⨯-⨯--329. 232()(1)043-+-+⨯330. 4211(10.5)[2(3)]3---⨯⨯--331. 215[4(10.2)(2)]5---+-⨯÷-332. 666(5)(3)(7)(3)12(3)777-⨯-+-⨯-+⨯-333. 42311[ 2(3)]6--⨯--- 334. 7574.037127.5371236)9618-+-⨯-+(335. 2212[3()0.8](2)35-⨯--÷-336. --+⎛⎝ ⎫⎭⎪+-⎛⎝ ⎫⎭⎪---+3825583521()337. [(3)(4)5][82(6)]4-⨯--⨯--⨯-÷338. -÷--÷-824134()()339. ()[()()]-÷-⨯⨯-11551135340. 42991310.25(1)12 3.7524283⎛⎫⎛⎫-÷-⨯-++-⨯ ⎪ ⎪⎝⎭⎝⎭341. 131********11-÷⨯÷342. ---⎛⎝ ⎫⎭⎪----⎛⎝ ⎫⎭⎪1133411334有理数计算36 343. ()()------22222233344. 1235342123341822--÷-⎛⎝ ⎫⎭⎪+⨯-⎛⎝ ⎫⎭⎪⎡⎣⎢⎢⎤⎦⎥⎥⨯⎧⎨⎪⎩⎪⎫⎬⎪⎭⎪345. -----÷-+--÷--22331349722232()|()()|||||346. 13525(2)2514⎛⎫--÷-⨯- ⎪⎝⎭347. 234( 1.5)1243⎛⎫-÷-⨯- ⎪⎝⎭348. 34311(1)2⎡⎤⎛⎫-----⎢⎥ ⎪⎝⎭⎢⎥⎣⎦349. 210.2343 5.35⎡⎤⎛⎫-⨯--⨯- ⎪⎢⎥⎝⎭⎣⎦350. 222243(3)(5)(0.3)0.95⎛⎫---+-⨯---÷- ⎪⎝⎭351. ()11232311412243⨯⨯-⎛⎝ ⎫⎭⎪--⎡⎣⎢⎢⎤⎦⎥⎥+÷-⎛⎝ ⎫⎭⎪352. 71957180251411313..-⎛⎝ ⎫⎭⎪÷-÷⨯⎛⎝ ⎫⎭⎪353. ()-÷⨯-⨯÷⨯-⎛⎝ ⎫⎭⎪11234021341435..354. ()()11160752116340534+--⎡⎣⎢⎤⎦⎥⨯-⎧⎨⎩⎫⎬⎭÷---⎛⎝ ⎫⎭⎪..355. ()-⨯-⎛⎝ ⎫⎭⎪-⨯--⨯-⎛⎝ ⎫⎭⎪⎡⎣⎢⎢⎤⎦⎥⎥⨯⨯--⎛⎝ ⎫⎭⎪⎡⎣⎢⎤⎦⎥212341351499113192222356. 4211(10.5)2(3)3⎡⎤---⨯⨯--⎣⎦357. 33423(1)(1)--⨯---358. 33510.2(2)5⎡⎤⎛⎫---+-⨯÷- ⎪⎢⎥⎝⎭⎣⎦359. 12(17)1(0.6)4⎡⎤---÷-+-⎢⎥⎣⎦360. 2311(10.6432)⎡⎤----÷⎣⎦有理数计算38 361. 3213322.2512853⎡⎤⎛⎫⎛⎫⎛⎫⎛⎫--÷-+-⨯-⎢⎥ ⎪ ⎪ ⎪ ⎪⎝⎭⎝⎭⎝⎭⎝⎭⎢⎥⎣⎦362. []261(0.4)( 2.5)---⨯-363. 362211362⎛⎫⎛⎫-⨯÷ ⎪ ⎪⎝⎭⎝⎭364. 1448551836615335175123192155⨯÷-+⨯⎛⎝ ⎫⎭⎪-⨯+⎛⎝ ⎫⎭⎪-⎡⎣⎢⎤⎦⎥.....365. ()()()222410.4 3.1 2.610.30.15⎧⎫⎡⎤⎛⎫-⨯---+⨯---÷-⎨⎬ ⎪⎢⎥⎝⎭⎣⎦⎩⎭366. 513113(50)217348⎛⎫⎛⎫⎛⎫⨯-÷-⨯-÷ ⎪ ⎪ ⎪⎝⎭⎝⎭⎝⎭367. ()11572348126824⎛⎫-+-⨯- ⎪⎝⎭368. 4535522723723237⎛⎫⎛⎫⎛⎫⨯---⨯--⨯ ⎪ ⎪ ⎪⎝⎭⎝⎭⎝⎭369. ()199719996661998⎛⎫-⨯- ⎪⎝⎭370. 33371. 4946111(3)20.24911235⎡⎤⎛⎫⎛⎫-÷⨯-⨯-⨯-+ ⎪ ⎪⎢⎥⎝⎭⎝⎭⎣⎦372. 2782411813318833⨯÷⎪⎭⎫ ⎝⎛-⨯373. )2()2(2123322-+--⎪⎭⎫ ⎝⎛-+-374. ⎪⎭⎫⎝⎛----÷⨯⎪⎭⎫ ⎝⎛+⎪⎭⎫ ⎝⎛-⎪⎭⎫ ⎝⎛-2135322132213122375. ()87216543313113)1(61)5.4(187********÷⎪⎭⎫⎝⎛-÷⎪⎭⎫⎝⎛---⨯⎪⎭⎫⎝⎛--⨯+-⨯⎪⎭⎫ ⎝⎛-376. )57(5857-⨯377. ()4443145-÷-378.(有理数计算40 379. ()3330037÷-380. ()()()199084481990199014181990-⨯--⨯--⨯-⨯381. ()()999999999999999999+-⨯-+-382. ()()()()()149297483149297483-÷-⨯-÷-⨯-÷-383. ()()()⎭⎬⎫⎩⎨⎧-⎪⎭⎫ ⎝⎛-÷⎥⎦⎤⎢⎣⎡-⨯⎪⎭⎫ ⎝⎛-+-÷⨯-2314.0411432417384. ()⎥⎥⎦⎤⎢⎢⎣⎡-⎪⎭⎫ ⎝⎛-⨯÷⎪⎭⎪⎬⎫⎪⎩⎪⎨⎧⎥⎦⎤⎢⎣⎡+÷-⨯⨯-⎪⎭⎫ ⎝⎛-÷-12122211341125.0221132322385. ()41611143125.1012112310013+--⎪⎭⎫ ⎝⎛-÷+386. 199519953(0.125)[(2)]⨯-387. 25413()(0.612)()651010⨯+-÷-388. 322333342(-)⨯(-0.6)-(-)⨯1.5-2÷(-)253389. 232006333...3++++390. 199720002000200019971997⨯-⨯391. 22222221949195019511952...199719981999-+-++-+392. 22221111(1)(1)...(1)(1)23910---- 393. 1111 (12123123100)++++++++++394. 987654321987654324987654323987654322⨯-⨯395.1121231299()()...(...)233444100100100++++++++++396. 32)65()43(21--+---397. 38(4)(2)4⎛⎫⨯-⨯-⨯- ⎪⎝⎭有理数计算42398.111135()532114⨯-⨯÷399. 34153()2--⨯-()400. 42223721-+--⨯-()()401. 1031224-⨯+-÷()()402. 2395525-⨯-÷-()()() 403. 333(125)()62187()777-÷-+÷+÷- 404.2725.0)431(218)522(52⨯÷--⨯--÷405. 311252525424⨯--⨯-⨯()406. 38(4)23--÷⨯407. 22733(3)⨯÷+-408. 4435(2)2(2)-+--÷-409. (28)(64)(1)5-÷-++-⨯410. 2(2)07(8)(2)÷-+÷--⨯-411. 13131()24524864⎡⎤-+-⨯÷⎢⎥⎣⎦412. 2332312(3)(2)(9)3÷-÷---÷413. 222122(1)33-÷⨯-414. 32432(2)(1)(2)(2)-+-⨯---÷-415. 32(1)(5)(3)2(5)⎡⎤-⨯-÷-+⨯-⎣⎦416. 75.61258)431(121-----417. 2335(2)(10.8)114⎡⎤---+-⨯÷--⎢⎥⎣⎦418. 75)21(212)75(75211⨯-+⨯--⨯有理数计算44419. 4)2(51232⨯--÷-420. 50)3(15)3(42--÷--⨯421. 3211(10.5)2(3)7⎡⎤---⨯⨯--⎣⎦422. 22)7()6(6112119750-÷⎥⎦⎤⎢⎣⎡-⨯⎪⎭⎫⎝⎛+--423. []3521325.06.05.2)1(⎪⎭⎫⎝⎛-⨯+--÷-424. 111117(113)(2)92844⨯-+⨯-425. 419932(4)(1416)41313⎡⎤--⨯-÷-⎢⎥⎣⎦426. 33221121(5533)22⎡⎤⎛⎫⎛⎫--÷+⨯+⎢⎥ ⎪ ⎪⎝⎭⎝⎭⎢⎥⎣⎦427. 2375(2)(10.8)114⎡⎤----+-⨯÷--⎢⎥⎣⎦428. 151623-÷-÷-()()() 429. 42(3)60.25-+⨯--÷430. 3(5)[1.85(21)7]4-÷--⨯431. []18{10.4 (10.4)0.4}÷-+-⨯432. 1111()636÷-⨯433. –3[4(4 3.51)][2(3)]---⨯⨯-+-434. ()3.57.75 4.25 1.1--÷435. 321612115()|(2)|(2)(|()|)2114332⎡⎤----+-⨯-÷---⎢⎥⎣⎦436. 1110.125(3)(3)()(0.25)488+++-+++-437. 5215[(9)]317.75632-----+有理数计算46438. 1211[3()1](8)8233⨯⨯---⨯--439. 7211()(4)9353-÷--⨯-440. 78(0.125)8-⨯441. 4010(0.25)256⨯442. 12(3)(4)56(7)(8)(23)(24)++-+-+++-+-+⋯+-+-443.1111111142648620102008-+-+-+⋯+-444. 1111(1)(1)(1)(1)2009200820071000-⨯-⨯-⨯⋯⨯- 445. 19(7)128(7)33(7)÷--÷-+÷-446.111111223344556++++⨯⨯⨯⨯⨯447.111 (101111125960)+++⨯⨯⨯448.2222 109985443 ++++⨯⨯⨯⨯449.1111 11212312100 ++++++++++450.1111 133******** ++++⨯⨯⨯⨯451.1111251335572325⎛⎫⨯++++⎪⨯⨯⨯⨯⎝⎭452.251251251251251 4881212162000200420042008 +++++⨯⨯⨯⨯⨯453.3245671 255771111161622222929 ++++++⨯⨯⨯⨯⨯⨯454.11111111()128 8244880120168224288+++++++⨯455.11111111 612203042567290 +++++++456.111111 13610152128 ++++++457.111111111 2612203042567290 --------458.11111 104088154238 ++++459.1111 135357579200120032005 ++++⨯⨯⨯⨯⨯⨯⨯⨯460.74.50.161111 1813153563 13 3.75 3.23⨯+⎛⎫⨯+++⎪⎝⎭-⨯461.11111 123420 261220420 +++++462.11111 20082009201020112012 1854108180270 ++++463.11224 26153577 ++++464.1111111 315356399143195 ++++++465.1511192997019899 2612203097029900 +++++++466.111 123234789 +++⨯⨯⨯⨯⨯⨯467.111 1232349899100 +++⨯⨯⨯⨯⨯⨯有理数计算48468.1111 135246357202224 ++++⨯⨯⨯⨯⨯⨯⨯⨯469.4444...... 135357939597959799 ++++⨯⨯⨯⨯⨯⨯⨯⨯470.9998971 12323434599100101 ++++⨯⨯⨯⨯⨯⨯⨯⨯471.11111 123423453456678978910 +++⋅⋅⋅++⨯⨯⨯⨯⨯⨯⨯⨯⨯⨯⨯⨯⨯⨯⨯472.333...... 1234234517181920 +++⨯⨯⨯⨯⨯⨯⨯⨯⨯473.5719 1232348910 +++⨯⨯⨯⨯⨯⨯474.571719 1155234345891091011⨯++++⨯⨯⨯⨯⨯⨯⨯⨯()475.34512 12452356346710111314 ++++⨯⨯⨯⨯⨯⨯⨯⨯⨯⨯⨯⨯476.12349 223234234523410 +++++⨯⨯⨯⨯⨯⨯⨯⨯⨯477.123456 121231234123451234561234567 +++++⨯⨯⨯⨯⨯⨯⨯⨯⨯⨯⨯⨯⨯⨯⨯⨯⨯⨯⨯⨯⨯有理数计算50478.23993!4!100!+++ 479.234501(12)(12)(123)(123)(1234)(12349)(1250)++++⨯++⨯++++⨯+++++++⨯+++ 480.2341001(12)(12)(123)(123)(1234)(1299)(12100)++++⨯++⨯++++⨯++++++⨯+++ 481. 23101112(12)(123)(1239)(12310)----⨯++⨯++++++⨯++++ ()482.22222211111131517191111131+++++------483. 222222111111(1)(1)(1)(1)(1)(1)23454849-⨯-⨯-⨯-⨯⨯-⨯- 484.222222223571512233478++++⨯⨯⨯⨯ 485. 222222222231517119931199513151711993119951++++++++++-----。
初中一年级奥数题一、有理数运算相关。
1. 计算:(-2)+3 (-5)解析:根据有理数加减法法则,减去一个数等于加上这个数的相反数。
所以(-2)+3 (-5)=(-2)+3 + 5。
先计算(-2)+3 = 1,再计算1 + 5=6。
2. 计算:-2×3×(-4)解析:根据有理数乘法法则,两数相乘,同号得正,异号得负,并把绝对值相乘。
先计算-2×3=-6,再计算(-6)×(-4),因为两个负数相乘得正数,(-6)×(-4)=24。
二、整式相关。
1. 化简:3a + 2b 5a b解析:合并同类项,同类项是指所含字母相同,并且相同字母的指数也相同的项。
对于3a和-5a是同类项,2b和-b是同类项。
3a+2b 5a b=(3a 5a)+(2b b)=-2a + b。
2. 先化简,再求值:(2x^2-3xy + 4y^2)-3(x^2-xy+(5)/(3)y^2),其中x = 2,y = 1解析:先去括号:(2x^2-3xy + 4y^2)-3(x^2-xy+(5)/(3)y^2)=2x^2-3xy + 4y^2-3x^2+3xy 5y^2。
再合并同类项:(2x^2-3x^2)+(-3xy + 3xy)+(4y^2-5y^2)=-x^2-y^2。
当x=-2,y = 1时,代入可得:原式=-(-2)^2-1^2=-4 1=-5。
三、一元一次方程相关。
1. 解方程:3x+5 = 2x 1解析:移项,把含x的项移到等号左边,常数项移到等号右边,移项要变号。
得到3x-2x=-1 5。
合并同类项得x=-6。
2. 某班有学生45人,会下象棋的人数是会下围棋人数的3.5倍,两种棋都会及两种棋都不会的人数都是5人,求只会下围棋的人数。
设会下围棋的有x人,则会下象棋的有3.5x人。
根据全班人数可列方程:x + 3.5x-5 + 5=45。
解析:方程左边x+3.5x是会下棋(包括只会下一种棋和两种棋都会下的)的人数,减去两种棋都会下的5人(因为前面相加时重复计算了一次),再加上两种棋都不会的5人就等于全班人数45人。
初一三角形测试题及答案
一、选择题
1. 下列哪个选项是三角形的内角和?
A. 180°
B. 360°
C. 90°
D. 120°
答案:A
2. 一个三角形的两边长分别为3cm和4cm,第三边长x满足的条件是?
A. x > 1cm
B. x < 7cm
C. x > 1cm 且 x < 7cm
D. x = 7cm
答案:C
3. 等腰三角形的两个底角相等,那么顶角与底角的关系是?
A. 顶角是底角的两倍
B. 顶角等于底角
C. 顶角是底角的一半
D. 顶角与底角无关
答案:A
二、填空题
1. 在直角三角形中,如果一个锐角是30°,那么另一个锐角是____°。
答案:60°
2. 三角形的周长是其三边之和,如果三角形的三边长分别是5cm、6cm
和7cm,那么它的周长是_____cm。
答案:18cm
三、解答题
1. 已知三角形ABC中,∠A=40°,∠B=60°,求∠C的度数。
答案:根据三角形内角和定理,∠C = 180° - ∠A - ∠B = 180° - 40° - 60° = 80°。
2. 一个等腰三角形的底边长为8cm,底边上的高为6cm,求三角形的周长。
答案:首先计算等腰三角形的腰长,利用勾股定理,腰长为√(6² + (8/2)²) = √(36 + 16) = √52。
所以三角形的周长为8cm +
2√52cm。
七年级上册有理数奥数题一、有理数奥数题。
1. 计算:(-1)+2+(-3)+4+·s+(-99)+100- 解析:- 我们可以将相邻的两项分为一组,即(-1 + 2)=1,(-3+4)=1,以此类推。
- 从1到100共有100个数,两两一组,可以分成100÷2 = 50组。
- 所以原式=1×50 = 50。
2. 若| a - 2|+(b + 3)^2 = 0,求a + b的值。
- 解析:- 因为绝对值是非负的,一个数的平方也是非负的。
- 要使| a - 2|+(b + 3)^2 = 0成立,则| a - 2|=0且(b + 3)^2 = 0。
- 由| a - 2|=0可得a - 2 = 0,即a = 2;由(b + 3)^2 = 0可得b+3 = 0,即b=-3。
- 所以a + b=2+(-3)=-1。
3. 计算:1 - 2 - 3+4+5 - 6 - 7 + 8+·s+97 - 98 - 99+100- 解析:- 把原式每四项分为一组,(1-2 - 3 + 4)=0,(5 - 6 - 7+8)=0,以此类推。
- 因为100÷4 = 25,所以原式=0×25 = 0。
4. 已知a、b互为相反数,c、d互为倒数,m的绝对值是2,求(a + b)/(m)+m - cd 的值。
- 解析:- 因为a、b互为相反数,所以a + b = 0;因为c、d互为倒数,所以cd = 1;因为m的绝对值是2,所以m=±2。
- 当m = 2时,(a + b)/(m)+m - cd=(0)/(2)+2 - 1=1;当m=-2时,(a +b)/(m)+m - cd=(0)/(-2)-2 - 1=-3。
5. 计算:(-2019)×(2017)/(2018)- 解析:- 我们将-2019写成(-2018 - 1),则原式=(-2018-1)×(2017)/(2018)- =(-2018)×(2017)/(2018)-1×(2017)/(2018)- =-2017-(2017)/(2018)=-2017(2017)/(2018)。
初中奥数题试题一一、选择题(每题1分,共10分)1.如果a,b都代表有理数,并且a+b=0,那么 ( )A.a,b都是0B.a,b之一是0C.a,b互为相反数D.a,b互为倒数答案:C解析:令a=2,b=-2,满足2+(-2)=0,由此a、b互为相反数。
2.下面的说法中正确的是 ( )A.单项式与单项式的和是单项式B.单项式与单项式的和是多项式C.多项式与多项式的和是多项式D.整式与整式的和是整式答案:D解析:x²,x3都是单项式.两个单项式x3,x²之和为x3+x²是多项式,排除A。
两个单项式x²,2x2之和为3x2是单项式,排除B。
两个多项式x3+x2与x3-x2之和为2x3是个单项式,排除C,因此选D。
3.下面说法中不正确的是 ( )A. 有最小的自然数B.没有最小的正有理数C.没有最大的负整数D.没有最大的非负数答案:C解析:最大的负整数是-1,故C错误。
4.如果a,b代表有理数,并且a+b的值大于a-b的值,那么 ( )A.a,b同号B.a,b异号C.a>0D.b>0答案:D5.大于-π并且不是自然数的整数有 ( )A.2个B.3个C.4个D.无数个答案:C解析:在数轴上容易看出:在-π右边0的左边(包括0在内)的整数只有-3,-2,-1,0共4个.选C。
6.有四种说法:甲.正数的平方不一定大于它本身;乙.正数的立方不一定大于它本身;丙.负数的平方不一定大于它本身;丁.负数的立方不一定大于它本身。
这四种说法中,不正确的说法的个数是 ( )A.0个B.1个C.2个D.3个答案:B解析:负数的平方是正数,所以一定大于它本身,故丙错误。
7.a代表有理数,那么,a和-a的大小关系是 ( )A.a大于-aB.a小于-aC.a大于-a或a小于-aD.a不一定大于-a答案:D解析:令a=0,马上可以排除A、B、C,应选D。
8.在解方程的过程中,为了使得到的方程和原方程同解,可以在原方程的两边( ) A.乘以同一个数B.乘以同一个整式C.加上同一个代数式D.都加上1答案:D解析:对方程同解变形,要求方程两边同乘不等于0的数,所以排除A。
初一奥数考试题型及答案一、选择题(每题3分,共30分)1. 下列哪个数是最小的质数?A. 0B. 1C. 2D. 32. 如果一个数的立方等于它本身,那么这个数是:A. 0B. 1C. -1D. 以上都是3. 一个数的相反数是它自身的数是:A. 0B. 1C. -1D. 以上都是4. 一个数的绝对值是它自身的数是:A. 正数B. 负数C. 0D. 正数和05. 一个数的平方是它自身的数是:A. 0C. -1D. 以上都是6. 一个数的立方是它自身的数是:A. 0B. 1C. -1D. 以上都是7. 如果a + b = 10,那么a - b的可能值是:A. 0B. 2C. 10D. 208. 一个数的倒数是它自身的数是:A. 0B. 1C. -1D. 以上都不是9. 一个数的平方根是它自身的数是:A. 0B. 1C. -1D. 以上都是10. 一个数的立方根是它自身的数是:A. 0B. 1D. 以上都是二、填空题(每题4分,共40分)1. 一个数的平方等于它本身,这个数是______。
2. 一个数的立方等于它本身,这个数是______。
3. 一个数的相反数是它自身,这个数是______。
4. 一个数的绝对值是它自身,这个数是______。
5. 如果a + b = 10,那么a - b的可能值是______。
6. 一个数的倒数是它自身,这个数是______。
7. 一个数的平方根是它自身,这个数是______。
8. 一个数的立方根是它自身,这个数是______。
9. 一个数的平方等于它的立方,这个数是______。
10. 一个数的平方等于它的立方根,这个数是______。
三、解答题(每题10分,共30分)1. 证明:对于任意正整数n,n的平方和n的立方之间存在一个正整数。
2. 找出所有满足条件的整数a和b,使得a + b = 10且a - b = 2。
3. 证明:对于任意实数x,x的平方和x的立方之间不存在一个固定的正整数。
初一奥数有理数及三角形测试题汇总
奥林匹克数学竞赛或数学奥林匹克竞赛,简称奥数。
奥数体现了数学与奥林匹克体育运动精神的共通性:更快、更高、更强。
国际数学奥林匹克作为一项国际性赛事,由国际数学教育专家命题,出题范围超出了所有国家的义务教育水平,难度大大超过大学入学考试。
奥数对青少年的脑力锻炼有着一定的作用,可以通过奥数对思维和逻辑进行锻炼,对学生起到的并不仅仅是数学方面的作用,通常比普通数学要深奥一些。
下面是无忧考网为大家带来的初一奥数有理数及三角形测试题汇总,欢迎大家阅读。
有理数测试题
一、选择题(共30分)
1.下列说法中正确的是( )
A.一个数的相反数是负数
B.一个数的绝对值一定不是负数
C.一个数的绝对值一定是正数
D.一个数的绝对值的相反数一定是负数
2.数轴上在原点以及原点右侧的点所表示的数是( )
A.正数B.负数C.非负数D.非正数
3.绝对值大于一2且小于5的所有的整数的和是( )
A.7 B.一7 C.0 D.5
4.下列算式中正确的是( )
A.(一14)一5=一9 B.0一(一3)=3
C.(一3)一(一3)= 一6 D.=一(5—3)
5.下列说法中错误的是( )
A.一a的绝对值为a B.一a的相反数为a
C.的倒数是a D.一a的平方等于a的平方
6.比较一2.4,一0.5,一(一2),一3的大小,下列正确的是( )
A.一3 一2.4 一(一2) 一0.5 B.一(一2) 一3 一2.4 一0.5
C.一(一2) 一0.5 一2.4 一3 D.一3 一(一2) 一2.4 一0.5
7.一个数的平方是81,则这个数是( )
A.B.9 C.一9 D.92
8.一(一4)3等于( )
A.一12 B.12 C.一64 D.64
9.有理数a、b在数轴上的位置如图所示,则a+b的值( )
A.大于0 B.小于0 C.等于0 D.大于6
10.若ab 0,且a一b 0,则下列选项中,正确的是( )
A.a 0,b 0 B.a 0.b 0
C.a 0,b 0 D.a 0.b 0
二、填空题(共24分)
11.如果收入1 000元记作+1 000元,那么一600元表示_______________.
12.的相反数是_________,倒数是__________,绝对值是__________.
13.比一3大的负整数是_________,比3小的非负整数是_________ .
14.在数轴上,与原点距离为5个单位的点有_________个,它们是_________
15.比较大小:一4.8_________一3.8;_________ (一2)3.16.,则a+6=_________.
17.—24=_________ (一2)4=_________,=_________.
18.太阳直径为1 390 000 km,用科学记数法表示为_________.
三、解答题(共46分)
19.把下列各数分别填人相应的集合里.
—5,,0,—3.14,,—12,+1.99,—(—6)
(1)正数集合:{ …}
(2)负数集合:{ …}
(3)整数集合:{ …}
(4)分数集合:{ …}
20.在数轴上表示下列各数,并把它们按照从小到大的顺序排列.
2,一l,一1.5,0,,.
21.计算:
(1)24+(一14)+(一16)+8:
22.若,求m+n的值
23.根据某地实验测得的数据表明,高度每增加1 km,气温大约下降6℃,已知该地地面温度为21℃.
(1)高空某处高度是8 km,求此处的温度是多少;
(2)高空某处温度为一24 ℃,求此处的高度.
24.某巡警骑摩托车在一条南北大道上巡逻,某天他从岗亭出发,晚上停留在A处,规定向北方向为正,当天行驶纪录如下(单位:km).
+10,一9,+7,一15,+6,一14,+4,一2
(1)A在岗亭何方?距岗亭多远?
(2)若摩托车行驶1 km耗油0.05 L,这一天共耗油多少升?
25.如果a 0,b 0, 且,试比较a,b,—a, —b的大小.
三角形测试题
一、细心选一选
1、下列各组长度的线段为边,能构成三角形的是( )
A、7cm 、5cm、12cm
B、6cm、8 cm、15cm
C、8 cm、4 cm、3cm
D、4cm、6 cm、5cm
2、如图1,⊿AOB≌⊿COD,A和C,B和D是对应顶点,若BO=8,AO=10,AB=5,则CD的长为( )
A、10
B、8
C、5
D、不能确定
3、如图2,已知∠1=∠2,要说明⊿ABD≌⊿ACD,还需从下列条件中选一个,错误的选法是( )
A、∠ADB=∠ADC
B、∠B=∠C
C、DB=DC
D、AB=AC
4、生活中,我们经常会看到如图3所示的情况,在电线杆上拉两条钢筋,来加固电线杆,这是利用了三角形的( )
A、稳定性
B、全等性
C、灵活性
D、对称性
5、如图4所示,已知AB∥CD,AD∥BC,那么图中共有全等三角形( )
A、8对
B、4对
C、2对
D、1对
6、下列语句:①面积相等的两个三角形全等; ②两个等边三角
形一定是全等图形;③如果两个三角形全等,它们的形状和大小一定都相同; ④边数相同的图形一定能互相重合。
其中错误的说法有( )A、4个B、3个C、2个D、1个
7、如果一个三角形三边上的高的交点在三角形的外部,那么这个三角形是( )
A、锐角三角形
B、直角三角形
C、钝角三角形
D、任意三角形
8、根据下列条件作三角形,不能确定三角形的是( )
A、已知三个角
B、已知三条边
C、已知两角和夹边
D、已知两边和夹角
二、仔细补一补
9、在△ABC中,若∠A:∠B:∠C=1:3:5,这个三角形为三角形。
(按角的分类)
10、一木工师傅有两根长分别为5cm、8cm的木条,他要找第三根木条,将它们钉成一个三角形框架,现有
3cm、10cm、20cm四根木条,他可以选择长为cm的木条。
11、如图7,△ABC≌△AED,∠C=400,∠EAC=300,∠B=300,则∠D= ,∠EAD= ;
12、如图8,已知∠1=∠2,请你添加一个条件使△ABC≌△BAD,你的添加条件是是(填一个即可)。
13、若一个等腰三角形的两边长分别是3 cm和5 cm,则它的周长是_____ cm。
三、解答题
14、尺规作图:小明作业本上画的三角形被墨迹污染,他想画出一个与原来完全一样的三角形,请帮助小明想办法用尺规作图法画一个出来,并说明你的理由。
BAC是钝角,完成下列画图,并用适当的符号在图中表示。
(1)AC 边上的高;(2) BC边上的高.(在上图中直接画) 15、如图6,在△ABC 中,
16、如图,在△ABC中,∠B=440,∠C=720,AD是△ABC的角平分线,(1)求∠BAC的度数;(2)求∠ADC的度数。
17、如图,有一湖的湖岸在A、B之间呈一段圆弧状,A、B间的距离不能直接测得,其余都是空地,你能用已学过的知识或方法设计测量方案,求出A、B间的距离吗?
18、已知:如图,AE=CF,AD∥BC,AD=CB。
问:△ADF与△CBE全等吗?请说明理由。
19、已知:AE=CF,AD∥BC,AD=CB。
问:△ADF与△CBE 全等吗?
20、如图,在△ABC中,AB=AC,点E在高AD上,找出图中所有全等的三角形,并说明它们为什么全等?
21、如图:已知AB=AE,BC=ED,∠B=∠E,AF⊥CD,F为垂足, 求证: ①AC=AD; ②CF=DF。