注电基础考试总结
- 格式:doc
- 大小:491.50 KB
- 文档页数:11
注册电气工程师考试基础知识(三篇)注册电气工程师考试基础知识 11.电工仪表的准确度等级以仪表最大(c)误差来表示。
a.相对;b.绝对;c.引用;d.附加。
2.单相半波整流电路中流过二极管的正向电流的平均值与流过负载的电流平均值的关系为(a)。
a.两者相等;b.前者小于后者;c.前者大于后者;d.前者等于后者的1/2。
3.磁电式微安表使用后应将其两个接线端子(d)。
a.开路;b.接地;c.接壳;d.用导线短接。
4.某变压器的一、二次绕组匝数之比等于25。
二次侧额定电压是400v,则一次侧额定电压是(a)。
a.__v;b.__v;c.6000v;d.3300v。
5.普通万用表的交流档,测量机构反映的是(b)。
a.有效值,定度也按有效值;b.平均值,定度是按正弦波的有效值;c.平均值,定度也按平均值;d.峰值,定度也按峰值。
6.高压绝缘试验中,要求直流试验电压在输出工作电流下,其电压的脉动因数应不大于(b)。
a.1%;b.3%;c.5%;d.10%。
7.直流试验电压值指的是直流电压的(a)。
a.算术平均值;b.最大值;(c)最小值;d.峰值。
8.运行中的变压器铁芯允许(a)。
a.一点接地;b.两点接地;c.多点接地;d.不接地。
注册电气工程师考试基础知识 21.工厂供电系统对第一类负荷供电的要求是( )A.要有两个电源供电。
B.必须有两个__电源供电。
C.必须要有一台备用发电机供电。
D.必须要有两台变压器供电。
2.某工厂一台10KV,500KW备用发电机组,该发电机的额定电压是( )A.10KVB.9.5KVC.11KVD.10.5KV3.某35KV变电所,向较远的工厂供电,其变压器容量为1000KVA二次额定电压为( )A.10KVB.9.5KVC.11KVD.10.5KV4.大容量大面积10KV供电系统其变压器中性点应( )。
A.直接接地B.对地绝缘C.经消弧线圈接地D.经高电阻接地5.对于10KV电网,当接地电流大于( )时,应采取补偿措施。
注册电气工程师基础知识考点归纳(3篇)注册电气工程师基础知识考点归纳 11.平行的两根载流直导体,当通过的电流方向相反时,两导体将呈现出(b)。
a 互相吸引;b 互相排斥;c 互不反应。
2.电容器的(b)不能发生突变。
a 充电电流;b两端电压;c 储存电荷。
3.如果两个同频率的交流电的相位角,分别为φ1和φ2,其φ1-φ290 o时,称做(c)。
a 两个正弦量同相;b 第2个正弦量超前第1个正弦量;c 第1个正弦量超前第2个正弦量。
4.电阻值不随电压,电流的变化而变化的电阻称为(b)。
a 等效电阻;b 线性电阻;c 非线性电阻。
5.用隔离开关可以直接拉合(b)。
a 35kv10a负荷;b 110kv电压互感器;c 220kv空载变压器。
6.在中性点不接地的三相对称系统中,当发生金属性单相接地时,其非故障相的相对地电压(c)。
a 不变;b 升高不明显;c 升高31/2倍。
注册电气工程师基础知识考点归纳 21. 什么是正弦交流电?为什么普遍采用正弦交流电?答:正弦交流电是指电路中的电流、电压及电势的巨细都跟着时刻按正弦函数纪律转变,这种巨细和标的目的都随时刻做周期性转变的电流称交变电流,简称交流。
交流电可以经由过程变压器变换电压,在远距离输电时,经由过程升高电压可以削减线路损耗。
而当使用时又可以经由过程降压变压器把高压变为低压,这既有利__,又能降低对设备的绝缘要求。
此外,交流电念头与直流电念头斗劲,则具有机关简单,造价低廉,维护精练等利益。
在有些处所需要使用直流电,交流电又可经由过程整流设备将交流电变换为直流电,所以交流电今朝获得了普遍地应用。
2. 什么是交流电的周期、频率和角频率?答:交流电在转变过程中,它的瞬时值经由一次轮回又转变到原本瞬时值所需要的时刻,即交流电转变一个轮回所需的时刻,称为交流电的周期。
周期用符号T暗示,单元为秒。
周期越长交流电转变越慢,周期愈短,剖明愈快。
交流电每秒种周期性转变的次数叫频率。
1. 涡流是怎样产生的?有何利弊?答:置于变化磁场中的导电物体内部将产生感应电流,以反抗磁通的变化,这种电流以磁通的轴线为中心呈涡旋形态,故称涡流。
在电机中和变压器中,由于涡流存在,将使铁芯产生热损耗,同时,使磁场减弱,造成电气设备效率降低,容量不能充分利用,所以,多数交流电气设备的铁芯,都是用0.35或0.5毫米厚的硅钢片迭成,涡流在硅钢片间不能穿过,从而减少涡流的损耗。
涡流的热效应也有有利一面,如可以利用它制成感应炉冶炼金属,可制成磁电式、感应式电工仪表,还有电度表中的阻尼器,也是利用磁场对涡流的力效应制成的。
2. 什么是趋表效应?趋表效应可否利用?答:当直流电流通过导线时,电流在导线截面分布是均匀的,导线通过交流电流时,电流在导线截面的分布是不均匀的,中心处电流密度小,而靠近表面电流密度大,这种交流电流通过导线时趋于表面的现象叫趋表效应,也叫集肤效应。
考虑到交流电的趋表效应,为了有效地节约有色金属和便于散热,发电厂的大电流母线常用空心的槽形或菱形截面母线。
高压输配电线路中,利用钢芯铝线代替铝绞线,这样既节约了铝导线,又增加了导线的机械强度。
趋表效应可以利用,如对金属进行表面淬火,对待处理的金属放在空心导线绕成的线圈中,线圈中通过高频电流,金属中就产生趋于表面的涡流,使金属表面温度急剧升高,达到表面淬火的目的。
3. 什么是正弦交流电?为什么普遍采用正弦交流电?答:正弦交流电是指电路中的电流、电压及电势的大小都随着时间按正弦函数规律变化,这种大小和方向都随时间做周期性变化的电流称交变电流,简称交流。
交流电可以通过变压器变换电压,在远距离输电时,通过升高电压可以减少线路损耗。
而当使用时又可以通过降压变压器把高压变为低压,这既有利安全,又能降低对设备的绝缘要求。
此外,交流电动机与直流电动机比较,则具有构造简单,造价低廉,维护简便等优点。
在有些地方需要使用直流电,交流电又可通过整流设备将交流电变换为直流电,所以交流电目前获得了广泛地应用。
专业基础1电路与电磁场1.1电路基本概念和基本定律电源:分为独立源和受控源;独立源有电压源s u ≡u 和电流源s i ≡i ;受控源有4种形式:VCVS 、CCVS 、VCCS 、CCCS 。
电源间的等效变换:电阻值不变。
电阻R :消耗电能量,欧姆定律Ri ±=u ,消耗功率R u R i 22P ==电感L :电能转换为磁场能(储能),dt di L =u ,储能221W Li L =,电感串、并计算与电阻相同电容C :电能转换为电场能(储能),dt du C =i ,储能221W Cu C =,电容串、并与电阻并、串相同理想变压器:变化21N N n =;n u u =21;n i i 121-=基尔霍夫定律相量形式:在同频率的正弦电路中,对任意节点,在任何时刻流入(流出)该节点的电流相量的代数和恒等于0(KCL :0I =∑ );对任意闭合回路,在任何时刻沿回路循环时总的电压降相量的代数和恒等于0(KVL :0=∑U)。
1.2电路分析方法电压源与电流源模型的等效互换:s s s R R ==21R ,ss s R i u =31231231121R R R R R R Y ++=∆接电阻的等效变换:接转3212112R R R R R R Y ++=∆接电阻的等效变换:接转节点方程的列写方法:有效自导X 本节点电压—有效互导X 相邻节点电压=流入本节点电源电流的代数和。
电流源支路电导为0。
回路方程的列写方法:自阻X 本回路电流+∑共阻X 相邻回路电流=本回路电源电位升的代数和。
电流源两端电压按未知处理,并补充方程。
‘叠加定理:在多个激励源的线性电路中,任何一处的电压、电流响应为各激励源单独作用下,在该处的电压、电流响应的代数和。
(独立电压源去掉后在原处短路,独立电流源去掉后在原处开路)戴维南定理:任何一个含有独立电源的线性一端口电阻电路,对外电路而言可以用一个独立电压源和一个线性电阻相串联的电路等效替代;其独立电压源的电压为该含源一端口电路在端口处的开路电压U 0c ;其串联电阻为该含源一端口电路中所有独立电源置零后,端口处的入端电阻R in 。
1、十进制转为几进制:整数部分除以几取余法,小数部分乘以几取整法2、计数器:环形n位计数器分频为n;扭环形n位计数器分频是2n; n位二进制分频是;模是n的行波计数器分频是n.3、及门:有0则0;或门:有1则1;或门分配律:A+(BC)=(A+B)(A+C)摩根定理:4、若干三态逻辑门输出端连在一起能实现逻辑功能的分时传送数据5、发电机的额定电压:比用电设备、电网的额定电压高5% ;我国发电机额定:0.4、6.3、10.5、13.8、18、24kV6、变压器的额定电压:一次绕组(受电端)及电网额定电压相同;二次绕组(送电端)相当于供电电源,比用电设备高出10%,在3、6、10kV电压时,短路阻抗小于7.5%的配电变压器,则高出用电设备5%7、工作接地:保护设备可靠工作;保护接地:保证人身安全,把可能带电的金属接地;保护接零:外壳及接地中线(零线)直接相连,保护人身安全;防雷接地:雷击或过电压的电流导入大地;防静电接地:消除静电积累8、中性点直接接地:110kv及以上采用;中性点经消弧线圈:60kv及以下采用不接地或经消弧线圈接地,消弧线圈是为了补偿接地短路电流9、中性点经消弧线圈接地系统中一般采用(过补偿形式)10、三相导线的集合均居越大,则导线的电抗(越大)11、电阻R:反映发热效应;电抗X:反映磁场效应;电纳B:反映电场效应;电导G:反映电晕和电漏现象12、短路试验的目的是为了测量(铜耗和阻抗电压)13、电力系统分析计算中功率和阻抗一般指:(三线功率、一相等效阻抗)14、三绕组变压器数学模型中电抗反映变压器绕组的(等效漏磁通)15、原件两端电压的相角差主要取决于通过原件的(有功功率),P越大,相角差越大16、电压降落:首末端电压(向量差);电压损耗:首末端电压的(数值差)17、高压电网线路中流过的无功功率主要影响线路两端的(电压幅值)18、为(抑制空载输电线路末端电压升高),常在线路末端(并联电抗器)19、对供电距离近,负荷变化不大的变电所常采用(顺调压方式)20、调整用户端电压的主要措施有(改变变压器电压比)21、同步调相机可以向系统中(既可发出感性无功,也可吸收感性无功)22、降低网络损耗的主要措施之一:(减少线路中传输的无功功率)23、在无功功率不足的电力系统中,首先应该采取的措施是(采用无功补偿装置补偿无功的缺额)24、在电力系统短路电流计算中,假设各元件的磁路不饱和的目的是(可以应用叠加原理)25、三相短路的短路电流只包含(正序分量)26、单相短路的短路电流为30A,则其正序分量为(10A)27、冲击电流是指短路后0.01s的瞬时值28、变压器空载合闸时可能产生很大的冲击电流,原因在于(磁路有一定的剩磁,主磁通的暂态变化)29、电力系统k点A相发生单相短路,对称分量以A相为准,其电流之间的关系为30、在短路的实用计算中,通常只用(周期分量电流)的有效值来计算短路功率31、高压线末端电压升高常用办法是在线路末端加(串联电容器)32、异步电动机等效电路中代表轴上机械功率输出的负载性质为(电容器)33、单相交流绕组产生的磁动势是(脉振磁动势)34、电机理论中电角度及机械角度的关系()35、利用空间对称分布的三项绕组可以产生圆形旋转磁场,三相交流绕组空间分部差(1200电角度)36、异步电动机等效电路的推导必须坚持的原则是(转子侧磁动势守恒,转子侧功率守恒)37、判断异步电动机工作在电磁制动状态时,电动机转速的工作范围是()38、判断异步电动机工作在发电机状态时,电动机转差率s的工作范围是()39、判断异步电动机工作在电动机状态时,电动机转差率s的工作范围是()40、判断异步电动机工作在电动机状态时,电动机转速的工作范围是()代表旋转磁场的转速41、判断异步电动机工作在电磁制动状态时,电动机转差率s的工作范围是()42、判断异步电动机工作在发电机状态时,电动机转速的工作范围是()代表旋转磁场的转速43、(笼型异步电动机)是感应电动机44、交流异步电动机相对电源呈现的负载特性为(感性)45、变压器及异步电动机在磁路结构上存在的主要区别是(异步机的磁路存在气隙,而变压器的磁路可以封闭)46、交流同步发电机相对负载可能呈现的特性为(任意)47、交流同步电机一般的励磁方式是(双边励磁)48、同步电机的V形曲线特性正确表示了(同步电机的功率因数调节特性)49、加入同步电机工作于其V形曲线特性的极小值处,则(同步电机呈现感性)50、电力系统的频率主要取决于:(系统中有功功率平衡)51、短路电流冲击值在(短路前空载,电压初相相位为00)的情况下最大52、短路电流的最大有效值用于校验断路器的断流能力53、一台变压器,额定频率50Hz,如果将其接到60Hz的电源上,电压的大小仍及原值相等,那么此时变压器铁芯中的磁通及原来相比将(减少)54、若外加电压随时间正弦变化,当磁路饱和时,单相变压器的励磁磁动势随时间变化的波形时(尖顶波)55、变压器运行时,当二次电流增加到额定值,若此时二次电压恰好等于其开路电压,即,那么二次阻抗的性质为(纯电阻性)56、变压器负序阻抗及正序阻抗相比,则(有及正序阻抗相等)57、一台三相变压器的联结组为Yd5,其含义表示此变压器一次侧的线电压滞后二次侧对应的线电压(1500 )58、三相异步电动机的旋转磁动势的转速为n1,转子电流产生的磁动势相对定子的转速为n2,则有n1=n259、电动机转子绕组接入2r2, 转差率为(3s)60、绕线转子异步电动机拖动恒转矩负载运行,当转子回路串入不同电阻,电动机转速不同。
注册电气工程师考试公共基础公式总结高等数学1. 两平面的交线的方向向量:zy x z y x b b b a a a kj i b a s =⨯=2. 曲线C 绕y 轴旋转所成的旋转曲面的方程为()0,22=+±z x y f 3.()ϕϕϕzAA z z A ∂∂+∂∂=∂∂ 4. 22x z A ∂∂=,y x zB ∂∂∂=2,22y zC ∂∂=,02>-B AC ,是极值点,02<-B AC ,不是极值点5. 1sin lim 0=→x x x ,e x xx =⎪⎭⎫⎝⎛+∞→11lim6. ()111-≠++=+⎰μμμμC x dx x7. C x xdx +=-⎰arcsin 128. C x xdx x dx+==⎰⎰tan sec cos 229. C x xdx xdx+-==⎰⎰cot csc sin 2210. C aa dx a xx+=⎰ln 11. x dx x21=⎰12. x dx x112-=⎰13. ()θθθθ2sin 241cos 2+=⎰d14. ()()θρρθρθρd d f dxdy y x f DD⎰⎰⎰⎰=sin ,cos ,15. 当121<<x 时,于是有x x x <<sin ln 。
16. 椭圆抛物面方程z y x =+22,圆锥面方程 222z y x =+。
17. 平面曲线的弧长()dx y s ba⎰+=2/1,(直角坐标形式)。
18. 几何级数∑∞=-11n n aq ,当1<q 时,收敛于qa-1,当1≥q 时,级数发散。
19. 公比为q 首项为a 的等比级数,当11<<-q 时级数收敛,且和为qa-1。
20. 麦克劳林展开式∑∞=0n n x 的和函数是x-11 21. 幂函数∑∞==0!n nxn x e ,22. P-级数,∑∞=11n p n ,当1>p 时,级数收敛。
公共基础1数学1.1空间解析几何以向量a 的方向余弦为坐标的向量)cos ,cos ,(cos γβα是与向量a 同方向的单位向量。
向量的数量积(标量):zz y y x x b b b b a b a a a cos a ++==⋅θ0a =⋅⇔⊥b a b 向量的向量积(向量):b a ⨯=c ,θsin c b a =,c 方向垂直于a 与b 所决定的平面,指向按右手法则确定。
zyxz y xb b b a a a k j b a ic =⨯=0b a a//b =⨯⇔向量的混合积(标量):[]()zyxz y xzy xc c c b b b a a a c b a c b =⋅⨯=a ,向量混合积的绝对值表示以向量a ,b ,c 为棱的平行六面体的体积,符合按右手系为正,左手系为负。
平面的点法式方程:0)()()(A 000=-+-+-z z C y y B x x 平面的截距式方程:1x =++c z b y a 两平面的夹角:2222222121212121212121cos C B A C B A C C B B A A n n n n ++++++=⋅=θ两平面平行:0212121=++C C B B A A 两平面垂直:212121C C B B A A ==点到平面的距离:220002x d C B A DCz By A +++++=直线的对称式方程:pz z n y y m x x 000-=-=-直线的参数式方程:⎪⎩⎪⎨⎧+=+=+=ptz z nty y mt x x 000两直线的夹角:2222222121212121212121cos p n m p n m p p n n m m s s s s ++++++=⋅=ϕ两直线互相垂直:0212121=++p p n n m m 两直线互相平行:212121p p n n m m ==直线与平面夹角:222222sin p n m C B A Cp Bn Am ++++++=ϕ直线与平面垂直:pC n B m A ==直线与平面平行或在平面上:0=++Cp Bn Am 点M 到直线的距离:ssM M d ⨯=0柱面、旋转曲面、二次曲面、空间曲线的投影1.2微分学函数的有界性、单调性、奇偶性、周期性定理:函数极限的唯一性、函数极限的局部有界性、函数极限的局部保号性、函数极限与数列极限的关系、极限运算法则、复合函数的极限运算法则、夹逼准则1sin lim 0x =→x x ,e xx x =+∞→)11(lim 0→x 时常用等价无穷小:xnx x e x x x x x x x n x 1~11,~1,~)1ln(,21~cos 1,tan ~sin ~2-+-+-函数的连续性、第一类间断点(可去间断点、跳跃间断点)、第二类间断点(非第一类的)闭区间上连续函数的性质:有界性定理、最大值和最小值定理、零点定理、介值定理。
注册电气工程师考试重点汇总电气工程师资格考试是电气工程领域的重要考试,对于想要从事电气工程师职业的人来说,取得电气工程师资格证书是必不可少的。
为了帮助考生更好地备考,本文将对注册电气工程师考试的重点内容进行汇总和总结。
一、电力系统分析与计算1. 电力系统基本概念电力系统是由发电厂、变电站、输电线路和配电网等组成的,它负责将发电厂产生的电能传输到用户终端。
考生需要了解电力系统的基本概念、组成部分以及其运行特点。
2. 电力系统计算方法电力系统计算方法主要包括潮流计算、短路计算和稳定计算。
考生需要熟悉各种计算方法的原理和应用,能够根据给定的电力系统参数进行计算。
3. 电力系统保护与自动化电力系统保护是保证电力系统安全运行的重要环节,包括过电流保护、差动保护、接地保护等。
考生需要了解各种保护装置的原理和工作方式,以及保护装置的选型和调试方法。
二、电气设备与安全1. 电气设备基本知识电气设备包括发电机、变压器、开关设备等,在电力系统中起着重要的作用。
考生需要了解各种电气设备的工作原理、结构特点和应用场景。
2. 电气设备选型与运行电气设备的选型与运行是保证电力系统正常运行的关键。
考生需要了解电气设备的选型原则、运行参数和维护方法,能够根据实际情况进行设备选型和运行管理。
3. 电气安全与事故处理电气安全是电气工程师必须重视的问题,任何电气事故都可能导致人身伤害和财产损失。
考生需要了解电气安全的基本知识、事故处理的原则和方法,能够有效地预防和处理电气事故。
三、电气工程材料与技术1. 电气工程材料电气工程材料包括电缆、绝缘子、导线等,在电气工程中起着重要的作用。
考生需要了解各种电气工程材料的特性、选用原则和施工要求。
2. 电气工程施工技术电气工程施工技术是保证电气工程质量的重要环节,包括线路敷设、设备安装、接线调试等。
考生需要了解电气工程施工的基本流程、施工要点和质量控制方法。
3. 电气工程检测与调试电气工程的检测与调试是保证电气设备正常运行的重要环节,包括设备检测、参数调试和故障排除等。
注册电气考试知识点总结一、电气基础知识1. 电气基本单位及其换算关系(1)电流、电压、电阻的基本概念(2)安培、伏特、欧姆的定义及其换算关系2. 电路基本理论(1)串联电路、并联电路、混合电路的特点及计算方法(2)电路平衡定理及其应用(3)戴维南定理及其应用(4)叠加原理及其应用(5)瞬态分析及其应用3. 电源与电路(1)稳压电源的原理及分类(2)变压器的工作原理及应用(3)整流器的基本原理及类型4. 电气安全知识(1)电气事故的原因及预防措施(2)电气设备的绝缘检测(3)安全用电知识及法律法规二、电气设备知识1. 发电机(1)发电机的种类及工作原理(2)同步发电机的特点及调速原理(3)励磁系统及其稳定性控制2. 变压器(2)变压器的接线方式及耐压测试(3)变压器的运行与维护3. 开关设备(1)断路器、隔离开关、负荷开关的特点及应用(2)接触器、继电器、控制开关的原理及应用4. 输配电网络(1)输电线路的种类及结构(2)配电系统的设计及运行管理(3)配电柜、配电箱的安装及维护三、电气控制知识1. 电气控制基础(1)自动化控制系统的概念及分类(2)控制元件的种类及功能(3)PLC系统的工作原理及应用2. 电气控制回路(1)电动机的正反转控制(2)定位控制回路设计与维护(3)变频器控制原理及应用3. 电气控制技术(1)传感器的种类及应用(2)工控系统的设计与实施(3)故障诊断与维护技术四、电气保护知识1. 电气保护原理(2)欠压保护、过压保护、接地保护原理及应用(3)继电保护的分类及原理2. 电气保护设备(1)保护继电器的种类及功能(2)保护装置的调试与维护(3)保护系统的自动重合闸3. 电气故障处理(1)电气设备故障的判断与排除(2)事故紧急处理流程(3)设备检修及保养程序以上就是注册电气考试涉及的主要知识点,希望对大家备考有所帮助。
祝各位考生取得优异成绩!。
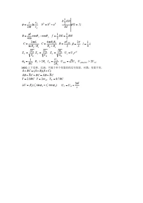
正负r r ln 2πετϕ= 222a h b -= 力常=∂∂ϕd ED 21 上下θθπμcos -cos 4a I B = BH DE f 2121== 12/ln 2R R L C πε= 12214R R R R C -=πε 2面S J B μ=λπβ2= λ41=l 00Y Z Z C =00C L Z C = 00G R Z C = l e U U α21= RC 10=ω 12R R f > L D R U I 20= 22U U RM = CC CEO BR U U 2)(> MOS:上下是乘。
反演:不属于单个变量的的反号保留。
对偶:变量不变。
))((C A B A BC A ++=+C A AB BC C A AB +=++RC T 3.2= pd nt T 2= RC T W 7.0=)cos sin (2*2*1ϕϕβk k r x U +=∆ vl U U R T α2+=导纳损耗:NT T T T S I p B jU G U S 100%0022+∆≈+=∆ 22N S T S U P R N ∆= N N S T S U U X 2100%⨯= 20N T U P G ∆= 20100%N N T U S I B ⨯= BBB U S I 3= B B B B S U I U Z B 23== 短路功率的标幺值=短路电流的标幺值 短路电流的标幺值=短路阻抗标幺值的倒数 系统 oc d dS S S x X ''=* 变压 N d k T S S U X 100%*= 线路 20*c d WL U S l X X = 抗2*3100%BB N N R R U S I U x x ⋅⋅= 84.1\55.2=sh i 09.1\51.1=sh I对称 ⎥⎥⎥⎦⎤⎢⎢⎢⎣⎡111113122a a a a 反 ⎥⎥⎥⎦⎤⎢⎢⎢⎣⎡1111122a a a a 1)1(3a I I &= 正序电流的3 非故障电压为正序电压2倍,故障电压为反向正序电压。
注电考试心得(经典版)编制人:__________________审核人:__________________审批人:__________________编制单位:__________________编制时间:____年____月____日序言下载提示:该文档是本店铺精心编制而成的,希望大家下载后,能够帮助大家解决实际问题。
文档下载后可定制修改,请根据实际需要进行调整和使用,谢谢!并且,本店铺为大家提供各种类型的经典范文,如工作心得、读书心得、个人总结、工作计划、讲话致辞、合同协议、条据书信、规章制度、应急预案、其他范文等等,想了解不同范文格式和写法,敬请关注!Download tips: This document is carefully compiled by this editor. I hope that after you download it, it can help you solve practical problems. The document can be customized and modified after downloading, please adjust and use it according to actual needs, thank you!Moreover, our store provides various types of classic sample articles, such as work experience, reading experience, personal summary, work plan, speech, contract agreement, policy letter, rules and regulations, emergency plan, other sample articles, etc. If you want to learn about different formats and writing methods of sample articles, please pay attention!注电考试心得注电考试心得(优秀5篇)注电考试心得要怎么写,才更标准规范?根据多年的文秘写作经验,参考优秀的注电考试心得样本能让你事半功倍,下面分享【注电考试心得(优秀5篇)】相关方法经验,供你参考借鉴。
注册电气工程师考试经验总结1. 考前准备在参加注册电气工程师考试之前,充分的准备是非常重要的。
以下是一些考前准备的经验总结:1.1 制定学习计划在备考期间,制定一个合理的学习计划是必不可少的。
根据自己的时间安排和考试的内容,合理地安排每天的学习时间,并确保能够按计划进行学习。
1.2 熟悉考试大纲详细阅读考试大纲,了解每个知识点的重要性和考察形式。
根据大纲的要求,合理分配时间和精力,重点复习重要的考点。
1.3 查找学习资料寻找适合自己的学习资料,包括教材、参考书、习题集等。
确保所使用的资料内容全面、准确,能够帮助自己理解和掌握考试的知识点。
1.4 制定复习计划根据考试大纲和个人的学习情况,制定一个详细的复习计划。
将知识点分成不同的模块,合理安排每个模块的复习时间,并确保能够按计划进行复习。
2. 考试技巧除了充分的准备,掌握一些考试技巧也是提高考试成绩的重要因素。
以下是一些考试技巧的经验总结:2.1 熟悉考试形式在参加考试之前,了解考试的形式和要求是非常重要的。
熟悉考试的时间限制、题型和答题要求,能够帮助自己更好地应对考试。
2.2 注意答题顺序在考试过程中,注意答题的顺序也是很重要的。
一般来说,可以先做自己比较熟悉的题目,然后再解答难度较大的题目。
这样能够提高答题效率,并且增加自信心。
2.3 仔细审题在答题之前,仔细阅读题目,确保理解题目的意思和要求。
如果有不清楚的地方,可以在答题前向监考人员进行询问,以免误解题意。
2.4 简明扼要在答题过程中,要注意简明扼要地回答问题。
避免冗长的叙述和重复的内容,突出重点,使答案更加清晰明了。
3. 考后总结考试结束后,对自己的表现进行总结和反思,可以帮助提高备考和学习的效果。
以下是一些考后总结的经验总结:3.1 分析考试结果仔细分析自己的考试结果,找出自己的不足之处和需要提高的地方。
对于错题,要仔细分析错误的原因,并进行相应的补充学习。
3.2 总结复习方法总结自己的复习方法,找出适合自己的学习方式和技巧。
注电考试知识点总结注电考试是用来评估职业技能人员在注电领域的知识和能力的一种考试形式。
在注电工作中,掌握相关知识点是非常重要的,因为正确的操作和判断能够确保设备的安全运行。
本文将总结注电考试的一些关键知识点,以帮助考生更好地备考。
1. 注电基本知识- 注电是指通过注入电流来改变电器设备的运行状态。
掌握电流大小、方向和流动路径的基本概念是注电工作的基础。
- 注电工作中应注意遵守安全规定,例如正确佩戴防护用具,断电前进行安全检查等。
2. 注电设备的分类- 注电设备可分为低压注电设备和高压注电设备。
根据不同的设备特点,掌握其操作方法和安全要求是非常重要的。
- 低压注电设备包括插座、电源开关等。
在操作时应注意电器的电流和电压,并确保正确使用接地线。
- 高压注电设备主要用于输电线路及变电设备的注电作业。
操作高压注电设备需要经过特殊培训和持相关证书。
3. 注电事故的预防- 注电作业过程中,事故的预防是至关重要的。
了解常见的注电事故原因和预防措施是必要的。
- 电流过大、电压过高、接地不良等都可能导致注电事故的发生。
因此,操作时应掌握正确的操作步骤和相应的安全措施。
4. 注电设备的维护与检修- 注电设备的维护和检修对于设备的正常运行至关重要。
了解设备的维护周期和操作规程是必要的。
- 定期对注电设备进行检查和维护,包括清洁、紧固、调整等。
如果设备出现故障,应及时进行修理或更换。
5. 注电安全规定- 注电操作中的安全规定是确保注电工作安全的基础。
了解这些规定对于考试和实际工作都至关重要。
- 每次进行注电前,应进行必要的安全检查,确保注电设备和周围环境的安全。
总结:在注电考试中,熟悉基本知识、设备分类、事故预防、设备维护与检修以及安全规定等知识点将有助于考生取得好成绩。
同时在实际工作中,掌握这些知识点将确保注电工作的安全和有效。
希望本文提供的知识点总结能够对您的注电考试备考有所帮助。
祝您考试顺利!。
注册电气工程师基础经验总结注册电气工程师基础经验总结作为一名注册电气工程师,我在工作中积累了大量的实践经验和知识。
在这篇文章中,我将分享一些我认为对于其他电气工程师有价值的基础经验总结。
首先,了解并掌握电气工程的基本原理和计算方法是至关重要的。
这包括电路分析、电磁场理论、电力系统、控制理论等。
只有当你对这些基础理论有深入的理解,才能够有效地解决实际的工程问题。
其次,掌握工程绘图和文档编写能力也是必不可少的。
作为工程师,我们不仅需要能够设计出可靠的电气系统,还需要能够清晰地将我们的设计思想和方案传达给其他人。
因此,我们需要具备良好的制图技能,如AutoCAD等,以及良好的文档编写能力,如Microsoft Office 套件。
第三,了解并遵守行业标准和规范也是非常重要的。
这些标准和规范包括IEEE、ISO等国际标准,以及我国的国家标准。
了解并遵守这些标准和规范可以确保我们的设计符合安全、质量和其他相关的要求。
第四,持续学习和适应新技术是关键。
随着科技的不断发展,新的电气技术和设备不断涌现。
作为电气工程师,我们需要保持对新技术的学习和适应能力,以便能够将这些新技术应用到我们的设计和工程实践中。
最后,良好的沟通技巧和团队协作能力也是成功的关键。
作为工程师,我们不仅需要与团队成员进行有效沟通,还需要与客户、供应商和其他利益相关方进行沟通。
因此,我们需要具备良好的沟通技巧和团队协作能力,以便能够更好地完成工程项目。
总之,作为一名注册电气工程师,我们需要不断学习和提高自己的技能和知识,以便能够更好地为我们的客户和公司服务。
我希望这些基础经验总结能够帮助其他电气工程师在他们的职业生涯中取得成功。
电气部分1.电力系统分析计算中功率和阻抗一般指:(三相功率、一相阻抗)。
标幺值在折算前和折算后均不变。
2.设电路中有N 个节点,m 个网孔,k 个电流源,则支路电流法中需要列写的独立方程个数为:n ‐1+m ‐k 。
3.内桥形式的主接线适用于(出线少,线路长,主变压器操作较少)的电厂。
外桥形式反之。
4. 电阻R :反映发热效应;电抗X :反映磁场效应;电纳和电容:反映电场效应;电导G :反映电晕和电漏现象。
5. 二阶:1)非振荡电路:R>C L /2,过阻尼;2)振荡电路:R<C L /2,欠阻尼;3)临界振荡/阻尼:R=C L /26. 衡量电能质量的指标:电压、频率、波形。
对电力系统的基本要求是:在安全前提下,保证质量,力求经济。
7. 为(抑制超高压、空载输电线路末端电压升高),常在线路末端(并联电抗器)。
高压线路则在末端加串联电容器。
8. 为了限制短路电流,a.通常在电缆线路上装设电抗器。
而架空线路自身阻抗较大,故不需要装设电抗器。
母线电抗器一般装设在母线分段处。
b.采用分裂低压绕组变压器。
9. 普通电抗器运行时的电压损失应不大于其额定电压的(5%.)10. 短路电流冲击值在(短路前空载,电压初相相位为0)下最大,也即短路电流非周期分量出现最大瞬时值的条件。
冲击电流是指:短路前空载、电源电压过零发生三相短路时,全短路电流的最大瞬时值。
11. 三相平行导体发生三相短路故障时,B 相电动力最大,但A 、B 、C 三相的电动势相同。
12. 为了保证熔断器在开合短路电流时的安全性,其关合电流:(应不小于短路冲击电流)。
13. 中性点直接接地系统:110kv 及以上采用。
30kv 及以下电力网且容性电流小的采用中性点不接地系统,30kv 及以下电力网且容性电流大的采用中性点经消弧线圈接地系统,消弧线圈是为了补偿接地短路电流,使电弧容易熄灭。
中性点经消弧线圈接地系统中一般采用(过补偿形式)。
注电基础考试总结第一篇:注电基础考试总结注电基础考试总结一、总体思路对于注电基础考试,要在有限的时间和精力下,取得考试的成功,正确的备考思路是关键。
以下两点是复习过程的指导观念:1、复习只是为了考试拿证,分数是唯一的目标,一切的复习都要围绕分数来进行。
该拿的分一定要拿到,该舍的分要果断舍。
注重复习内容的性价比,只抓能得分的重点内容,不被庞杂艰深的学科知识所淹没。
2、真题是重中之重。
注电基础考试题型重复性非常大,甚至出现原题。
做会做熟历年真题是复习的关键所在。
二、参考书1、上午公共基础:A 《注册电气工程师执考公共基础考试复习教程》(天大教材)当当网连接:B 《注册电气工程师执业资格考试专业基础考试复习教程》当当网连接:3、真题《注册电气工程师执业资格考试基础考试历年真题及详解》当当网连接:三、复习策略1、上午公共基础上午公共基础的内容涉及面广,牵涉到多个学科,而且有些内容是未学过的。
各个内容本身的难易程度不尽相同,在试卷中所占的分数也轻重有别,因此我们有必要对上午公共基础的内容进行分类,根据难易程度和分值即性价比来进行有侧重,有针对性地复习,将宝贵时间的效用最大化。
可将上午的学科内容分为以下几类。
第一类:重点复习内容。
包括高等数学(微积分、线性代数、概率论)(24题)、普通物理(12题)、普通化学(10题)。
这三大内容应重点学习天大教材,把教材上的习题和例题做会。
高等数学中的微积分是重点,所占分数大,要重点复习,如果所学内容已经遗忘,可翻阅大学高数教材,一定要把基本的概念和典型的例题真正搞懂。
线性代数和概率论是另外两个独立的学科,相比于其内容来说,分值其实很少。
如果时间紧张,建议先学概率论,得分更容易,在4题中争取做对3题。
线性代数概念较多,每年考的点又不一样,难于很精准地定点,争取在5题中做对3题。
适当地放弃可以节省大量的精力。
普通物理的内容主要是光学、热学和机械波,其实内容很简单,只是要把典型的概念吃透,这部分内容只看天大教材就足够了,不需要去另外看参考书。
注电基础考试总结一、总体思路对于注电基础考试,要在有限的时间和精力下,取得考试的成功,正确的备考思路是关键。
以下两点是复习过程的指导观念:1、复习只是为了考试拿证,分数是唯一的目标,一切的复习都要围绕分数来进行。
该拿的分一定要拿到,该舍的分要果断舍。
注重复习内容的性价比,只抓能得分的重点内容,不被庞杂艰深的学科知识所淹没。
2、真题是重中之重。
注电基础考试题型重复性非常大,甚至出现原题。
做会做熟历年真题是复习的关键所在。
二、参考书1、上午公共基础:A 《注册电气工程师执考公共基础考试复习教程》(天大教材)当当网连接:/23289735.html#ddclick?act=cl ick&pos=23289735_0_1_q&cat=&key=%D7%A2%B2%E1%B5%E7%C6%F8%B9 %A4%B3%CC%CA%A6&qinfo=150_1_48&pinfo=&minfo=&ninfo=&custid= &permid=20140108091630123218804483572688999&ref=http%3A%2F% %2F&rcount=&type=&t=1389143798000B《注册工程师执业资格考试公共基础知识真题解析》当当网连接:/22723798.html#ddclick?act=cl ick&pos=22723798_0_1_q&cat=&key=%C7%AE%C3%F1%B8%D5&qinfo=23 _1_48&pinfo=&minfo=&ninfo=&custid=&permid=20140108152228181 121060954671941825&ref=http%3A%2F%%2F&rco unt=&type=&t=13891657430002、下午专业基础A 《2013注册电气工程师执业资格考试专业基础高频考点解析》当当网连接:/23207092.html#ddclick?act=cl ick&pos=23207092_1_2_p&cat=01.00.00.00.00.00&key=%C2%ED% BA%E8%D1%E3&qinfo=&pinfo=6_1_72&minfo=&ninfo=&custid=&pe rmid=20140108091630123218804483572688999&ref=http%3A%2F% %2F%3Fkey%3D%25D7%25A2%25B2%25E1%25 B5%25E7%25C6%25F8%25B9%25A4%25B3%25CC%25CA%25A6&rcount=& type=&t=1389143830000B 《注册电气工程师执业资格考试专业基础考试复习教程》当当网连接:/22852614.html#ddclick_reco_r eco_buytogether3、真题《注册电气工程师执业资格考试基础考试历年真题及详解》当当网连接:/23272842.html#ddclick_reco_r ecobar_search_1三、复习策略1、上午公共基础上午公共基础的内容涉及面广,牵涉到多个学科,而且有些内容是未学过的。
各个内容本身的难易程度不尽相同,在试卷中所占的分数也轻重有别,因此我们有必要对上午公共基础的内容进行分类,根据难易程度和分值即性价比来进行有侧重,有针对性地复习,将宝贵时间的效用最大化。
可将上午的学科内容分为以下几类。
第一类:重点复习内容。
包括高等数学(微积分、线性代数、概率论)(24题)、普通物理(12题)、普通化学(10题)。
这三大内容应重点学习天大教材,把教材上的习题和例题做会。
高等数学中的微积分是重点,所占分数大,要重点复习,如果所学内容已经遗忘,可翻阅大学高数教材,一定要把基本的概念和典型的例题真正搞懂。
线性代数和概率论是另外两个独立的学科,相比于其内容来说,分值其实很少。
如果时间紧张,建议先学概率论,得分更容易,在4题中争取做对3题。
线性代数概念较多,每年考的点又不一样,难于很精准地定点,争取在5题中做对3题。
适当地放弃可以节省大量的精力。
普通物理的内容主要是光学、热学和机械波,其实内容很简单,只是要把典型的概念吃透,这部分内容只看天大教材就足够了,不需要去另外看参考书。
它每年考的知识点和题型都是重复的,做好往年题目就行。
这部分争取10分全拿。
普通化学部分,我因为自己讨厌化学,完全没看这部分,考试都是靠蒙的。
但据同事说,这部分其实也不难,重点看天大教材,做往年习题即可。
总体来说,这三章的内容采取看天大教材加真题练习的方法就足够了,没必要另找参考书深入学习,对于特别纠结的概念(如线性代数中的某些概念)和特别难的知识点可以适当放弃。
第二类:偏文科的内容。
工程经济(8题)、法律法规(6题)。
这两部分内容属于文科的内容,需要记住其中的重点概念,一定要弄明白这个概念是什么,不是什么,是很死的内容,在做选择题时对与错的判断都要严格依据概念进行。
这两部分很容易得分,而且主要是记忆性内容,所以可以安排在复习后期进行学习,并力争90%的正确率。
如果时间安排太紧,也一定要抽时间在考前突击这两章内容,这么容易得分的部分放弃太可惜。
第三类:电气技术基础、计算机基础、信号与信息基础。
对于电气技术基础(12题)即模电与数电,因为下午专业基础考试也同样要考,所以此部分内容无需再看天大公共基础这本书的内容,只需在准备下午专业基础的复习后,做做历年的真题就行了,正确率也会很高。
(与下午数电模电的难度比,上午该部分内容就是送分)。
计算机基础和信号与信息基础部分,也同样不需要看天大教材,这两部分内容直接做历年真题就行,计算机基础的内容基本都是常识,而且每年考的题都不一样,一般来说很容易得分。
信号与信息基础的内容也比较基础,做做真题就行了。
总体来说,这三部分内容都不需要看天大教材,以真题练习为主。
是很容易拿分的部分,一定要好好把握。
第四类:理论力学(12)、材料力学(12)、流体力学(8)。
三大力学部分是开始最让我头疼,后来大呼上当的部分。
开始看天大的书完全看得一头雾水,举步维艰,后来发现完全是被天大坑了。
天大教材把这部分内容写得太难,而其实考的题目很简单。
更气人的是天大写的很多让人抓狂的内容不考,而考的有些内容它又不写,坑爹啊!对于理论力学,总结出来其实就只有几个公式,这个总结的过程是直接做真题,不会就看答案,然后进行总结。
把该部分真题做一遍后你会发现历年就考那几个公式,就那几种题型。
无需对这些公式及其附加的内容有多深入的了解,只要把这几个公式的运算关系搞通,把那几种常考题型做会就行。
理论力学的分数还是争取拿到90%。
对于材料力学和流体力学,也是通过上述方法,但要注意的是这两部分内容确实要难一些,所以不能求全,而要有选择地放弃一些分值,只争取其中简单的重复性高的知识点的分值,对于太难的题果断放弃,这是节省时间和精力的必要牺牲。
总体来说,这三部分内容要先研究真题,再总结公式和方法,有针对性地翻阅天大教材。
2、下午专业基础下午专业基础部分的总体战略是电路是大头,模电数电做支撑,电磁场和电气技术抓重点。
与上午公共基础不同,下午的参考书应以马鸿雁的《2013注册电气工程师执业资格考试专业基础高频考点解析》为主。
电路原理部分是下午考试的重中之中,这表现在两个方面,一是其所占的分值重,二是这部分内容相对基础,容易通过反复练习拿到高分。
该部分的复习直接看马鸿雁的书,然后做上面的例题和真题,实在不懂的地方就翻翻大学的电路原理教材,对于电路这部分的题一定要做会做熟做透,要以拿满分的目标完成这部分的复习。
因为下午考试的其他内容难度都太大,很多不确定因素,所以电路原理这部分就是下午分数的保障,生死存亡的关键。
电磁场部分完全不用真正搞懂,因为太难了,大学都没学会的东西你现在这么短的时间要搞懂是不可能的。
所以采取直接看马鸿雁的书,做上面的题,总结历年重复性大的题,直接记结论和方法。
太难和重复性不高的题直接放弃。
模电和数电同样以马鸿雁的书为主,参考天大的教材,这部分内容力求学懂,并会做历年的题。
主要做真题,天大上的题不用做,除非为了理解其中的概念。
这两部分有一定难度,学习起来会很有挫折感,是必须要啃的硬骨头。
对这部分的目标不需定的太高,争取70%的分值就很不错了。
电气技术部分那就不是难了,是根本就看不懂。
天大那本教材一半的厚度是这部分内容,而且知识点难且多,除非大学学得很好,要现在一时掌握几乎不可能。
所以对于这部分的内容,只能采取一种风险比较高而且很死的方法,那就是总结历年重复性高的题目,直接背解题步骤,这就要充分利用马鸿雁的书,找出典型题目,总结解题步骤,然后背下来多练几遍。
这种方法是没办法的办法,是完全的应试手段。
在考试中只能拼人品希望能遇到更多背过的题目,多抓一分是一分。
另外完全不会的就只有发挥临场机智,连蒙带猜,说不定也能拿到几分。
在此,对下午专业基础考试部分的复习再总结一下,因为分值很重的电气技术部分太难,且采取的手段风险很大,完全是瞎猫逮耗子,拼人品,所以特别强调电路原理这部分的重要性,只有这部分做到几乎不丢分,才能奠定下午考试成功的基础。
3、最后冲刺阶段这时要重点做真题,这时可以用最后那两本真题集。
比较早年的真题可以按内容划分来做,而最近三年的真题应作为自己的模拟考试,完全按考试的时间来模拟,不翻书,不中途对答案,一口气做完后自己阅卷打分订正,然后查漏补缺。
经过模拟考试和评分就能知道自己的真实水平,建立考试自信。
最后我想说的是,注电基础考试其实并没想象的难,不要被它庞杂的内容所吓到。
而应该认识到正是因为内容广,所以不可能考得深,只要努力和坚持,就一定能考过。
这个总结是我们考试三人组的共同经验,我们自己的实践是取得了不错的成绩(180以上),所以具有很强的参考意义。
希望能给你一些帮助,当然备考的过程很枯燥,坚持才能胜利,加油!2013 重庆大溪沟。