复变函数论作业及答案
- 格式:doc
- 大小:914.00 KB
- 文档页数:9
第一篇 复变函数第一章 复数与复变函数1. 求下列复数的实部、虚部、共轭复数、模与幅角.(1) 72)52)(43(ii i −+;(2) .4218i i i +−2. 当x ,y 等于什么实数时,等式i iiy x +=+−++135)3(1 成立?3.证明:(1);2z z z = (2)1122,z z z z = .02≠z4.求下列各式的值: (1)();35i −(2)().131i +−5.求方程083=+z 的所有根.6.设1z ,2z ,3z 三点适合条件0321=++z z z ,证明1z ,2z ,3z 是内接于单位圆1=z 的一个正三角形的顶点.7.指出下列各题中点z 的轨迹或所在的范围:(1);65=−z(2);12≥+i z(3).i z i z −=+8.描述下列不等式所确定的区域,并指出它是有界的还是无界的: (1);32≤≤z(2).141+<−z z9.将方程tt z 1+=(t 为实参数)给出的曲线用一个实直角坐标方程表出.第一章 复习题1.单项选择题(1)设iy x z +=,y x ≠||,4z 为实数,则( ).A .0=xy B.0=+y x C .0=−y x D.022=−y x(2)关于复数幅角的运算,下列等式中正确的是( ). A .Argz Argz 22= B.z z arg 2arg 2=C .2121arg arg )arg(z z z z += D.2121)(Argz Argz z z Arg += (3)=+31i ( ).A .ie 62πB.ie 62π−C .ie 62π± D.i e62π±(4)2210<++<i z 表示( ). A .开集、非区域 B.单连通区域 C .多连通区域 D.闭区域(5)z i z f =−1,则()=+i f 1( ).A .1 B.21i+ C .21i− D.i −1 (6)若方程1−=z e ,则此方程的解集为( ).A .空集 B.π)12(−=k z ,(k 为整数) C .i k z π)12(−= D. πi z =2.对任何复数22,z z z =是否一定成立?3. 解方程.0)1(22=−++i z z4. 求)(i Ln −,)43(i Ln +−和它们的主值.5. 求i e 21π−,i i e41π+,i 3和ii )1(+值.第二章 导数1.下列函数何处可导?何处解析? (1) ();2iy x z f −=(2) ().22y ix xy z f +=2.指出下列函数()z f 的解析性区域,并指出其导数.(1) ();22iz z z f +=(2) ();112−=z z f(3)(),dcz baz z f ++=(d c ,中至少有一个不为0).3.设()2323lxy x i y nx my +++为解析函数,试确定l 、m 、n 的值.4.证明:如果()z f 在区域D 内解析,并满足下列条件之一,那么是常数. (1)()z f 恒取实值. (2))(z f 在区域D 内解析. (3)()z f 在区域D 内是一个常数.5.应用导数的定义讨论下列函数的是否存在?(1)())Re(z z f =;(2)())Im(z z f =.6.证明;,sin z e z 在复平面上任一点都不解析.第二章 复习题1.单项选择题(1)函数()z f w =在点0z 可导是可微的( ).A .必要但非充分条件 B. 充分但非必要条件 C .充分必要条件D. 既非充分也非必要条件(2)函数()z f w =在点0z 可导是连续的( ).A .必要但非充分条件 B. 充分但非必要条件 C .充分必要条件D. 既非充分也非必要条件(3)函数()),(),(y x iv y x u z f +=,则在()00,y x 点,v u ,均可微是函数()z f 在点0z 可微的( ).A .必要但非充分条件 B. 充分但非必要条件 C .充分必要条件D. 既非充分也非必要条件(4)函数()22ix xy z f −=,那么( ). A .()z f 处处可微 B. ()z f 处处不可导 C .()z f 仅在原点可导 D. ()z f 仅在x 轴上可导(5)若,0,,00,),(222222=+≠++=y x y x y x xy y x u ,,),(xy y x v =()iv u z f +=,则()z f ( ).A .()z f 仅在原点可导 B. ()z f 处处不可导C .()z f 除原点外处处可导 D. ()z f 处处可微(6)若()()y x y i xy x z f 233333+−+−=, 那么()z f ( ).A .()z f 仅在原点可导且()00=′f B. ()z f 处处解析且()xy i y x z f 63322+−=′ C .()z f 处处解析且()xy i y x z f 63322−−=′ D. ()z f 处处解析且()xy i x y z f 63322+−=′ (7)函数()z z z f = ,则( ). A .()z f 在全平面解析 B. ()z f 仅在原点解析C .()z f 仅在原点可导但不解析 D. ()z f 处处不可导(8)设()34−=′z z f ,且()i i f 31−=+,则()=z f ( ).A . i z z −−322 B. i z z 3322+− C .i z z 43322+−+ D. i z z 43322−+− 2.指出函数112+z 的解析性区域,并求导数.3.如果0z 是()z f 的奇点,而()z g 在0z 解析,那么0z 是否是())(z g z f +和())(z g z f 的奇点.4.若()iv u z f +=是区域D 内的解析函数,那么在D 内v +iu 是否也是解析函数.第三章 积分1.沿下列路径计算积分∫Czdz Re .(1)自原点至1+i 的直线段;(2)自原点沿实轴至1,再由1铅直向上至1+i ;(3)自原点沿虚轴至i ,再由i 沿水平向右至1+i .2.分别沿y =x 与2x y =计算积分()∫++i dz iy x102的值.3计算积分dz zzC∫,其中C 为正向圆周,2=z .4.计算下列积分 ,其中C 为正向圆周,1=z . (1);21dz z C ∫− (2);4212dz z z C ∫++(3);cos 1dz zC ∫ (4);211dz z C∫−(5);dz ze Cz ∫(6)().)2(21dz i z z C∫−+5.沿指定曲线正向计算下列积分:(1)dz z C ∫−21,C :12=−z ;(2)dz a z C ∫−221,C: a a z =−;(3),3dz z zC ∫− C :2=z ;(4)()()dz z z C∫++41122,C :23=z ;(5)dz zzC ∫sin ,C :1=z ; (6)dz z zC∫−22sin π,C :2=z .6.计算下列各题: (1)∫−ii z dz e ππ32;(2)∫−iizdz ππ2sin ;(3).)(0∫−−iz dz e i z7.计算下列积分:(1)dz i z z C ∫+++2314,C :4=z ,正向; (2)dz z iC ∫+122,C :61=−z ,正向; (3),cos 213dz z zC C C ∫+= 1C :2=z ,正向,2C :3=z ,负向;(4)dz i z C ∫−1,C 为以i 56,21±±为顶点的正向菱形; (5)()dz a z eC z∫−3;其中a 为1≠a 的任何复数,C :1=z ,正向.9. 设C 为不经过a 与a −的简单正向闭曲线,a 为不等于0的任何复数,试就a 与a −跟C 的各种不同位置,计算积分dz a z zC ∫−22的值.第三章 复习题1.单项选择题.(1)设C 为θi e z =,θ从2π−到2π的一段,则=∫Cdz z ( ).A .i B.2i C .-2i D.- i(2)设C 是从0=z 到i z +=1的直线段,则=∫Cdz z ( ).A .1+i B.21i+ C .i e4π− D. ie 4π(3)设C 为θi e z =,θ从0到π的一段,则=∫Czdz arg ( ).A .i 2−−π B. π− C .i 2+π D. i 2−π(4)设C 为t i z )1(−=,t 从1到0的一段,则=∫Cdz z ( ).A .1 B.-1 C .i D.- i(5)设C 为1=z 的上半部分逆时针方向,则=−∫Cdz z )1(( ).A .2i B.2 C .-2i D.- 2(6)设C 为θi e z 21=,正向,则=−∫C z dz e e zsin ( ).A .sin1 B.e i 1sin 2π C .e i 1sin 2π− D.0(7)=++∫=dz z z z 12221( ).A .i π2 B.i π2− C .0 D.π2 (8)设C 为沿抛物线12−=x y 从()0,1−到()0,1的弧度,则=+∫C dz z )1sin(( ).A .0 B.2cos − C .12cos − D. 12cos − (9)=++∫=+dz z z e z z 232)1(232( ). A .0 B.i π32C .i π2 D. i π2−(10)=++∫=dz z z zz 121682cos π( )A .0 B.i π C .i π− D. i π2.(11)=+∫=dz z zz 221( ).A .0 B.i π2 C .i π2− D. i π(12)=∫=dz z e z z12( ).A .i π2 B. i π C .0 D. π (13)1322z z z e dz ==∫( ).A .i π2 B. i π16 C .i π8 D. i π4 2.计算()∫Γ−=dz z z e I z12,其中Γ是圆环域:221≤≤z 的边界.3.(1)证明:当C 为任何不经过原点的闭曲线时,则;012=∫dz zC(2)沿怎样的简单闭曲线有;012=∫dz z C(3)沿怎样的简单闭曲线有.0112=++∫dz z z C4.设(),4ζζζπd ze zf C ∫−=其中C :2=z ,试求()i f ,()i f −及()i f 43−的值.5.计算()22,2z Ce z I dz z =+∫其中C :.1=z6.()()∫=−=12,ζζζdz z e z f z()1≠z ,求().z f ′第四章 级数1.判别下列级数的绝对收敛性与收敛性:();11∑∞=n nni()∑∞=2;ln 2n nni();8)56(30∑∞=+n n ni().2cos 40∑∞=n n in2.求下列幂级数的收敛半径:()为正整数);p nz n p n(,11∑∞=()∑∞=12;)!(2n nn z nn()∑∞=+0;)1(3n nnz i().41∑∞=n n n iz e π3.把下列各函数展开成z 的幂级数,并指出它们的收敛半径: ();1113z +();)1(1223z +();cos 32z();4shz();5chz().sin 622z e z4.求下列各函数在指定点0z 处的泰勒展开式,并指出它们的收敛半径: ();1,1110=+−z z z()();110,10,1122<−<<<−z z z z()()(),2113−−z z;21,110+∞<−<<−<z z()()为中心的圆环域内;在以i z i z z =−,142第四章 复习题1.单项选择题:()().112的收敛半径为幂级数∑∞=n nin z e0.A 1.B 2.C ∞.D()()∑∞=1.1sin 2n nnz n 的收敛半径为幂级数0.A 1.B e C . ∞.D()()()∑∞=−1.13n n n z i 的收敛半径为幂级数1.A 21.B 2.C 21.D()()()∑∞=+12.434n n n z i 的收敛半径为幂级数5.A 51.B 5.C 51.D ()()∑∞=1.!5n nn z n 的收敛半径为幂级数1.A ∞.B 0.C e D .()()∑∞−∞=−=>=n nne a z za z z.,0,6721则设!71.A !71.−B !91.C !91.−D()∑∞==−10,2.2n nn z z a 收敛,能否在幂级数 .3发散而在=z().1.32的和函数求n n z n n ∑∞=−.0cos 1.40处的泰勒展开式在求=−∫z d zζζζ上的罗朗展开在求函数11sin .512>−∫=ζζζζz d z .式第五章 留数1.判断下列函数奇点的类型,如果是极点,指出它的阶数:()();11122+z z();sin 23z z();11323+−−z z z()();1ln 4zz +();511−z e()().1162−z e z()..2在有限奇点处的留数求下列各函数z f();2112zz z −+();1242z e z −()();113224++zz();cos 4zz();11cos5z−().1sin 62zz3.计算下列各积分(利用留数,圆周均取正向).();sin 123∫=z dz z z()();12222dz z e z z∫=−()();,cos 1323为整数m dz z zz m∫=−();tan 43∫=z zdz π().521111∫=−−z z dz ze点?并是下列各函数的什么奇判断∞=z .4.的留数求出在∞();121z e();sin cos 2z z −().3232zz+()[]的值,如果:求∞,Re 5.z f s()();112−=z ez f z()()()().41124−+=z z z z f6.计算下列各积分,C 为正向圆周:()()()∫=++Cz C dz zzz ;3:,211342215().2:,1213=+∫z C dz e z z zC7.计算下列积分:();sin 351120θθπd ∫+()();0,cos sin 2202>>+∫b a d b a θθθπ()()∫+∞∞−+;11322dx x()∫+∞∞−++.54cos 42dx x x x第五章 复习题1.单项选择题:()().1sin101的是函数zz = 本性奇点.A 可去奇点.B 一级奇点.C 非孤立奇点.D()().0,1cos Re 2=z z s0.A 1.B 21.C 21.−D()()()().,11Re 32=+−i z i z s 4.i A 4.i B − 41.C 41.−D()().0,1Re 44=−−z e s z !31.A !31.−B !41.C !41.−D()()()∫=−=+21.,15z n n n dz z z 为正整数0.A i B π2. i n C π2. niD π2.()()∫=−=11.6z zz dz zei e A 1.−π i B π2. i e C 12.−π i D π2.−()()∫==−25.117z dz z 0.A i B π2. i C π25. i D π52.2.判断zz e 1+的孤立奇点的类型,并求其留数.3.计算n dz z z z n,1cos 1∫=是正整数.4.计算积分∫=−+114.1z z dz5.计算积分∫+πθθ20.cos 2d6.计算∫+∞+04.11dx x7.计算∫+∞+02.42cos dx x x复变函数总复习题一、单项选择题:(1) 函数z w ln =在i e z =处的值为(). (k 为整数)A. ()i k 12+πB. ()i k π12+C. i k π2D. i k π+212(2) 设积分路径C 为从原点到i +2的直线段, 则积分()=∫Cydz .A. 21i− B. 21i +C. i +1D. i −1(3) 1=z 是函数1ln 2−z z的( ).A. 可去奇点B. 极点C. 本性奇点D. 非孤立奇点 (4) 设()33iy x z f −=, 则()z f 在复平面上( ).A. 处处可导 B. 仅在0=z 处解析 C. 处处不可导 D. 仅在0=z 处可导(5) ()()=−∫=−dz z e z iz211221. A.21i+ B. i +1 C. ()i e i +−12π D. 2π−(6) 函数21z e z+以∞=z 为( ).A. 可去奇点 B. 极点 C. 本性奇点 D. 解析点(7) 0=z 是ze z 111−−的( ).A. 可去奇点 B. 极点 C. 本性奇点 D. 解析点(8) 由2121>−z 与2123>−i z 所确定的点集是( ).A. 开集、非区域 B. 单连通区域 C. 多连通区域 D. 闭区域(9) ()=+−∫=dz z z z z z 122sin cos 1. A. 0 B. i π2 C. i π D. i π3二、填空题:1. =i e π9 .2.=+∫=dz z z 12121. 3. 设()()z z z f Im =, 则()=′0f .4. 级数()()()∑∞=+−+−0124121n n nz n 的收敛范围为 .5. 函数z 211−在+∞<<z 21内的罗朗展式为 . 6.()=−∫=dz z z 12 .7. 级数()∑∑∞=∞=+−12121n n n n n nn z z 的收敛范围是 .8. ()2236z z z z z f ++−=, ()()=∞,Re z f s .9. =−1,1sin Re z z s ;=−1,11sin Re z z s .三、解答下列各题:1. 已知()(),21i i z −+= 求()Re z .2. 求2122lim 1z zz z z z →+−−−.3. 讨论()2z z f =在0=z 处的可导性及解析性.4. 讨论()()yx i x y x z f 322322−++−−=的解析性, 并求出在解析点处的导数.5. 计算()12CIi z dz =+−∫, 其中C 为连接01=z , 12=z 和i z +=13, 从1z 至2z 至3z 的折线段.6. 将z 2sin 展开为z 的幂级数.7. 求级数()n n nn z n 214302+++∑∞=的收敛圆, 并讨论在47−=z 和49−=z 处的收敛性.8. 求()242−=z z z f 在3<z 内所有留数之和.9. 求函数z cot 在它所有有限孤立奇点处的留数.10. 求()()222aze zf ibz+=在ai −处的留数,(a , b 为实数).11. 计算积分()()dz z e z zI z z∫=−+−=232189.12. 计算积分dz z z I z ∫=++=2365112.13. 计算积分dz z z I z ∫=+−=22211.14. 计算积分dz z z e i I z z∫=++=2241221π.15. 计算积分()dx axx I ∫∞++=02222, ()0>a .四、证明题:1. 证明()=≠+=0,00,22z z yx xyz f 在0=z 处不连续.2. 证明0→z 时, 函数()()22Re zz z f =的极限不存在.第二篇 积分变换1. 设() >≤=1,01,1t t t f , 试算出()ωF , 并推证:>=<=∫∞+1,01,41,2cos sin 0t t t d t ππωωωω. (提示()t f 为偶函数)2. 求矩形脉冲函数()≤≤=其它,00,τt A t f 的傅氏变换.3. 求()><−=1,01,1222t t t t f 的傅氏积分. 4. 求()2sin tt f = 的拉氏变换.5. 求()≥<≤−<≤=4,042,120,3t t t t f 的拉氏变换.6. 求下列函数的拉氏逆变换:(1) ()221as s F +=;(2) ()441a s s F −=答案第一章:,2295,135.3,13Im ,5.3Re )1.(1=+−=−=−=z i z z z ).(,23arctan ,10||,31,3Im ,1Re )2();(,)12()726arctan(arg Z k k Argz z i z z z Z k k z ∈+−==+=−==∈++=ππ.11,1.2==y x().2,1,0,2)2(;16316)1.(43275.06=−−+k ei k iπ5..31,2,31i i −−+7.(1)以z =5为圆心,6为半径的圆;(2)以z =-2i 为圆心,1为半径的圆周及圆周的外部;(3)i 和i 两点的连线的中垂线. 8.(1)圆环形闭区域,有界; (2)中心在,1517−=z 半径为158的圆周的外部区域,无界. 9.xy =1。
第1页《复变函数论》答案一、单项选择题1.在复平面上方程|z -i|=|z +i|表示( A ) A .直线 B .圆周 C .椭圆周D .抛物线2.在复平面上方程|z +1|=4表示( B )A .直线B .圆周C .椭圆周D .抛物线3.arg(1=( C )A. 3π- B. 6π- C. 56π D. 2,6k k ππ+∈Z4.arg(1)i +=( B )A.4π- B. 4π C. 54π D. 2,4k k ππ+∈Z5.在z 平面上处处解析的函数是( B ) A. 31()f z z =B. 3()f z z = C. ()f z z = D. ()R e f z z z =6.下列函数中( A )是整函数. A.1()1f z z =- B. ()1f z z =- C. 2()f z z = D. ()I m f z z =7.2||2sin (1)z zdz z ==-⎰( C ) A. 0 B.sin1- C. 2cos1i π D. 2sin1i π-8.2||1cos (2)z zdz z ==-⎰( A ) A.0 B. 2sin 2i π- C. 2cos 2i π D. 2sin 2i π-第2页9.幂级数112nnn n n z z ∞∞==+∑∑的收敛半径是( A )A. 1B. 2C.14 D.1210.在复平面上不等式|z -2|<3表示( C )A .直线B .圆周C .圆D .正方形 11.arg()i -=( A )A.2π- B. 2π C. 32π D. 32,2k k ππ+∈Z12.在z 平面上处处解析的函数是( C ) A. 21()1f z z =+ B. ()f z z = C. 2()1f z z =- D. ()Im f z z =13.||2sin 1z zdz z ==-⎰( D ) A. 0 B.2sin1i π- C. 2cos1i π D. 2sin1i π14.幂级数1!n n n z ∞=∑的收敛半径是( A )A. 0B. 1C. 2D. e15.幂级数21nn z n∞=∑的收敛半径是( B )A.0B. 1C.2D.416.0z =是2cos ()zf z z =的( C )极点A.0B. 1C.2D.417.1z =是2cos ()zf z z=的( D )A.零点B. 极点C.孤立奇点D.解析点第3页18.下列等式中,成立的是( C )A.22Lnz Lnz =B.rg(2)arg()A i i -=-C.10Ln =D.Re()z z z z ⋅=⋅ 19.在复平面上,下列命题中,不正确的是( B )A. 22sin cos 1z z +=B. 0z e >C.cos sin iz e z i z =+D. 10i π是()5z f z e =的周期20.下列等式中,不正确的是( C ) A.33lnz lnz = B.arg(2)arg()i i =-- C.0zLn z= D.Im()0z z ⋅= 二、填空题1. Im(1+i)4=_ _0______.2. Re(1+i)4=____-4______.3.345iz -=,则z = 1 . 4.1z =,则z = 2 . 5.方程41z =-在复数域中共有_ 4 个根. 6.方程21z =-在复数域中共有_ 2 个根. 7.设ω是1的n 次根,1ω≠,则21n ωωω-+++= -18.设31ie πω=,32ieπω-=,则12ωω+= 1 .9.设22()(1)z f z z e =-,则0z =是()f z 的____4____阶零点. 10.设()1z f z e z =--,则0z =是()f z 的____2____阶零点. 11.()f z 以z=a 为m 级极点,则z=a 为2()f z 2m 级极点.12.(),()f z g z 以z=a 为3级和4级极点,则z=a 为()()f z g z +的 4 级极点.第4页13.(),()f z g z 以z=a 为5级和2级极点,则z=a 为()()f zg z 3 级极点. 14.()f z 以z=a 为m 阶零点,且m 0>,则z=a 是()f z '的__m-1___阶零点.15.()zf z e =,则()f z 在0z =的邻域内泰勒展式为212!n z z z n +++++.16.21()1f z z=-,则()f z 在0z =的邻域内泰勒展式为2421n z z z +++++.17. 设sin cos z i αα=+,则z 的三角表示为cos sin 22i ππαα⎛⎫⎛⎫-+- ⎪ ⎪⎝⎭⎝⎭.18.设211)(z z f +=,则)(z f 的孤立奇点有___i ± . 19.设1()1f z z=+,则)(z f 的孤立奇点有___-1 .20.幂级数0nn z n∞=∑的收敛半径为____1_____ .21.幂级数0n n nz ∞=∑的收敛半径为____1_____ .22.4z 在点1z i =-23.3z 在点z i =-处的伸缩率为 3 . 24.z e 在点1z i =+处的伸缩率为 e . 三、完成下列各题 1.求16i ieπ-+解 161cos sin 6622ii iei ie e eπππ-+⎛⎫=+=-+ ⎪⎝⎭第5页2.求n L i .解 n 2,2L i i k i k ππ=+∈Z3. 求()34Ln i +解 ()434ln 5arctan2,3Ln i i k i k π+=++∈Z 4. 函数2()f z z =在复平面上何处可导?何处解析?解 仅在0z =处可导,处处不解析.5. 函数()()222()2f z x y i xy y =-+-,z x iy =+在复平面上何处可导?何处解析? 解 仅在直线0y =上可导,在复平面上处处不解析.6. 函数2()f z x iy =-,z x iy =+在复平面上何处可导?何处解析?解 仅在直线12x =-处可导,处处不解析. 7. 计算()211sin 1z z dz z π+=-⎰解 ()()2111sin sin 2011z z z z dz i z z πππ+==-=⋅=--⎰ 8. 计算211sin 41z z dz z π-=⎛⎫ ⎪⎝⎭-⎰ 解2111sin sin 442112z z z z idz i z z πππ-==⎛⎫⎛⎫⎪ ⎪⎝⎭⎝⎭=⋅=-+⎰第6页9. 计算()211sin 1z z dz z π+=-⎰解()()2111sin sin 2011z z z z dz i z z πππ+==-=⋅=--⎰ 10. 将sin z 展开为z 的幂级数.解 ()()2101sin 21!nn n z z n +∞=-=+∑ (z <+∞)11. 将cos z 展开为z 的幂级数.解 ()()201c o s2!nn n z z n ∞=-=∑ (z <+∞)12. 将1z展开为1z -的幂级数.解 ()()()0111111n nn z z z ∞===---+∑ (11z -<)四、1. 用留数计算积分:312(1)(2)(4)(5)z dzi z z z z π=----⎰. 解()()()()()31212(1)(2)(4)(5)()()1113412311112612z z z dzi z z z z Res f z Res f z π===----=+=+-⋅-⋅-⋅-⋅-=-+=⎰第7页2. 用留数计算积分:912(1)(2)(5)(10)z dzi z z z z π=----⎰. 解()91012(1)(2)(5)(10)()()1098511985360z z z dzi z z z z Res f z Res f z π===∞----=-+⎛⎫=-+ ⎪⋅⋅⎝⎭=-=-⋅⋅⎰3. 用留数计算积分 ()222211z z z dz z =-+-⎰。
第一章习题1.设12z -=,求||z 及Arg z .2.设12z z i ==,试用指数形式表 z 1 z 2及12z z .3.解二项方程440(0).z a a +=> 4.证明2222121212||||2(||||)z z z z z z ++-=+,并说明其几何意义。
5.设z 1、z 2、z 3三点适合条件: 1231230 |z ||||| 1.z z z z z ++=++=及试证明z 1、z 2、z 3是一个内接于单位圆周||1z =的正三角形的顶点。
6.下列关系表示的点z 的轨迹的图形是什么?它是不是区域? (1)1|212|||,()z z z z z z -=-≠;(2)|||4|z z ≤-;(3)111z z -<+;(4)0arg(1) 2Re 34z z π<-<≤≤且;(5)|| 2 z >且|3|1z ->; (6)Im 1 ||2z z ><且;(7)||2 0arg 4z z π<<<且;(8)131 2222i i z z ->->且.7.证明:z 平面上的直线方程可以写成 .az az c += (a 是非零复常数,c 是实常数)8.证明:z 平面上的圆周可以写成0Azz z z C ββ+++=.其中A 、C 为实数,0,A β≠为复数,且2||.AC β> 9.试证:复平面上的三点1,0,a bi a bi +-+共直线。
10.求下列方程(t 是实参数)给出的曲线: (1)(1)z i t =+; (2)cos sin z a t ib t =+;(3)i z t t =+; (4)22i z t t =+.11.函数1w z =将z 平面上的下列曲线变成w 平面上的什么曲线(,z x iy w u iv =+=+)?(1)224;x y +=(2)y x =;(3)x = 1; (4)( x -1)2+y 2=1. 12.试证:(1)多项式1010()(0)n n n p z a z a z a a -=+++≠在z 平面上连续;(2)有理分式函数101101()n n nm m m a z a z a f z b z b z b --+++=+++(000,0a b ≠≠)在z 平面上除分母为的点外都连续。
第1章 复数与复变函数 (作业1)一、填空题 1、ieπ2的值为 。
2、k 为任意整数,则34+k 的值为 。
3、复数i i (1)-的指数形式为 。
4、设b a ,为实数,当=a , b= 时,).35)(1()3()1(i i b i a ++=-++ 二、判断题(正确的划√,错误的划 ) 1、2121z z z z +=+ ( )2、()()())z Re(iz Im ;z Im iz Re =-= ( )3、()()i i i 125432+=++ ( ) 三、选择题1.当ii z -+=11时,5075100z z z ++的值等于( ) (A )i (B )i - (C )1 (D )1-2.复数)(tan πθπθ<<-=2i z 的三角表示式是( )(A ))]2sin()2[cos(secθπθπθ+++i (B ))]23sin()23[cos(sec θπθπθ+++i (C ))]23sin()23[cos(secθπθπθ+++-i (D ))]2sin()2[cos(sec θπθπθ+++-i 3.使得22z z =成立的复数z 是( )(A )不存在的 (B )唯一的 (C )纯虚数 (D )实数 4.若θi re i i=+--2)1(3,则( ) (A )πθ-==3arctan ,5r (B )πθ-==3arctan ,210r (C )3arctan ,210-==πθr (D )3arctan ,5-==πθr 5. 设复数z 位于第二象限,则z arg 等于( )。
(A) x y arctan 2+π (B) x y arctan +π (C) x y arctan 2-π (D) xy arctan +-π 四、计算与证明题 1、设ii i i z -+-=11,求.),Im(),Re(z z z z2、当x y ,等于什么实数时,等式()i iy i x +=+-++13531成立?3、求复数ii-+23的辐角。
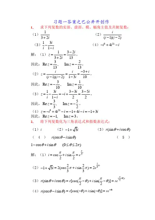
习题一答案之巴公井开创作1.求下列复数的实部、虚部、模、幅角主值及共轭复数:(1)132i+ (2)(1)(2)i i i -- (3)131i i i -- (4)8214i i i -+- 解:(1)1323213i z i -==+, 因此:32Re , Im 1313z z ==-, (2)3(1)(2)1310i i i z i i i -+===---, 因此,31Re , Im 1010z z =-=, (3)133335122i i i z i i i --=-=-+=-, 因此,35Re , Im 32z z ==-, (4)82141413z i i i i i i =-+-=-+-=-+因此,Re 1, Im 3z z =-=,2. 将下列复数化为三角表达式和指数表达式: (1)i (2)1-+ (3)(sin cos )r i θθ+(4)(cos sin )r i θθ- (5)1cos sin (02)i θθθπ-+≤≤解:(1)2cos sin 22ii i e πππ=+= (2)1-+23222(cos sin )233i i e πππ=+= (3)(sin cos )r i θθ+()2[cos()sin()]22i r i re πθππθθ-=-+-=(4)(cos sin )r i θθ-[cos()sin()]i r i re θθθ-=-+-=(5)21cos sin 2sin 2sin cos 222i i θθθθθ-+=+ 3. 求下列各式的值:(1)5)i - (2)100100(1)(1)i i ++-(3)(1)(cos sin )(1)(cos sin )i i i θθθθ-+-- (4)23(cos5sin5)(cos3sin3)i i ϕϕϕϕ+- (5(6解:(1)5)i -5[2(cos()sin())]66i ππ=-+- (2)100100(1)(1)i i ++-50505051(2)(2)2(2)2i i =+-=-=- (3)(1)(cos sin )(1)(cos sin )i i i θθθθ-+-- (4)23(cos5sin5)(cos3sin3)i i ϕϕϕϕ+- (5=(6=4.设12 ,z z i ==-试用三角形式暗示12z z 与12z z 解:12cos sin , 2[cos()sin()]4466z i z i ππππ=+=-+-,所以 12z z 2[cos()sin()]2(cos sin )46461212i i ππππππ=-+-=+, 5. 解下列方程:(1)5()1z i += (2)440 (0)z a a +=> 解:(1)z i += 由此25k i z i e i π=-=-, (0,1,2,3,4)k =(2)z ==11[cos (2)sin (2)]44a k i k ππππ=+++,当0,1,2,3k =时,对应的4个根分别为:(1), 1), 1), )i i i i +-+--- 6. 证明下列各题:(1)设,z x iy =+则z x y ≤≤+证明:首先,显然有z x y =≤+;其次,因 222,x y x y +≥ 固此有 2222()(),x y x y +≥+从而z =≥。
《复变函数论基础》习题解答
复变函数论是复变函数的数学理论,它揭示的有关复变函数的性质,可以帮助我们理解复变函数的行为,并用复变函数解决各种数学问题。
下面提出几个关于复变函数论基础的习题,以及其解答,以便更好地理解复变函数论。
1.若函数f(z)满足f(z)=f(z+2pi),则f(z)是谁?
答:f(z)是一个周期函数,周期为2pi。
2.若复变函数f(z)在实轴上有定义,当实数x满足x>0时,f(z)是什么?
答:当x>0时,f(z)=f(x),即实函数f(x)的一般形式的复变函数。
3.若f(z)是复变函数,它在复轴上有定义,当复数z满足|z|>1时,f(z)是什么?
答:当|z|>1时,f(z)是一个收敛函数。
4.复变函数f(z)是否一定是连续函数?
答:复变函数f(z)不一定是连续函数,只有当所有的导数都存在且连续时,f(z)才是连续函数。
5.假设f(z)是一个复变函数,它的实部和虚部分别为u(z)和
v(z),如何确定f(z)的极坐标表示形式?
答:f(z)的极坐标表示形式为f(z)=|z|exp[i arg(z)],其中arg(z)=arctan[v(z)/u(z)]。
- 1 -。
《复变函数论》试题库《复变函数》考试试题(一)一、 判断题(20分):1.若f(z)在z 0的某个邻域内可导,则函数f(z)在z 0解析. ( )2.有界整函数必在整个复平面为常数. ( )3.若}{n z 收敛,则} {Re n z 与}{Im n z 都收敛. ( )4.若f(z)在区域D 内解析,且0)('≡z f ,则C z f ≡)((常数). ( )5.若函数f(z)在z 0处解析,则它在该点的某个邻域内可以展开为幂级数. ( )6.若z 0是)(z f 的m 阶零点,则z 0是1/)(z f 的m 阶极点. ( )7.若)(lim 0z f z z →存在且有限,则z 0是函数f(z)的可去奇点. ( )8.若函数f(z)在是区域D 内的单叶函数,则)(0)('D z z f ∈∀≠. ( ) 9. 若f (z )在区域D 内解析, 则对D 内任一简单闭曲线C0)(=⎰Cdz z f .( )10.若函数f(z)在区域D 内的某个圆内恒等于常数,则f(z)在区域D 内恒等于常数.( ) 二.填空题(20分)1、 =-⎰=-1||00)(z z n z z dz__________.(n 为自然数) 2.=+z z 22cos sin _________. 3.函数z sin 的周期为___________.4.设11)(2+=z z f ,则)(z f 的孤立奇点有__________.5.幂级数nn nz∞=∑的收敛半径为__________.6.若函数f(z)在整个平面上处处解析,则称它是__________.7.若ξ=∞→n n z lim ,则=+++∞→n z z z nn (i)21______________.8.=)0,(Re n zz e s ________,其中n 为自然数.9. zz sin 的孤立奇点为________ .10.若0z 是)(z f 的极点,则___)(lim 0=→z f z z .三.计算题(40分):1. 设)2)(1(1)(--=z z z f ,求)(z f 在}1||0:{<<=z z D 内的罗朗展式.2. .cos 11||⎰=z dz z3. 设⎰-++=C d z z f λλλλ173)(2,其中}3|:|{==z z C ,试求).1('i f +4. 求复数11+-=z z w 的实部与虚部.四. 证明题.(20分) 1. 函数)(z f 在区域D 内解析. 证明:如果|)(|z f 在D 内为常数,那么它在D 内为常数. 2. 试证: ()f z =在割去线段0Re 1z ≤≤的z 平面内能分出两个单值解析分支,并求出支割线0Re 1z ≤≤上岸取正值的那支在1z =-的值.《复变函数》考试试题(二)一. 判断题.(20分)1. 若函数),(),()(y x iv y x u z f +=在D 内连续,则u (x,y )与v (x,y )都在D 内连续. ( )2. cos z 与sin z 在复平面内有界. ( )3. 若函数f (z )在z 0解析,则f (z )在z 0连续. ( )4. 有界整函数必为常数. ( )5. 如z 0是函数f (z )的本性奇点,则)(lim 0z f z z →一定不存在. ( )6. 若函数f (z )在z 0可导,则f (z )在z 0解析. ( )7. 若f (z )在区域D 内解析, 则对D 内任一简单闭曲线C 0)(=⎰Cdz z f .( )8. 若数列}{n z 收敛,则}{Re n z 与}{Im n z 都收敛. ( ) 9. 若f (z )在区域D 内解析,则|f (z )|也在D 内解析. ( )10. 存在一个在零点解析的函数f (z )使0)11(=+n f 且,...2,1,21)21(==n nn f .( )二. 填空题. (20分)1. 设i z -=,则____,arg __,||===z z z2.设C iy x z y x i xy x z f ∈+=∀+-++=),sin(1()2()(222,则=+→)(lim 1z f iz ________.3.=-⎰=-1||00)(z z n z z dz_________.(n 为自然数)4. 幂级数0n n nz ∞=∑的收敛半径为__________ .5. 若z 0是f (z )的m 阶零点且m >0,则z 0是)('z f 的_____零点.6. 函数e z 的周期为__________.7. 方程083235=++-z z z 在单位圆内的零点个数为________. 8. 设211)(z z f +=,则)(z f 的孤立奇点有_________. 9. 函数||)(z z f =的不解析点之集为________.10. ____)1,1(Res 4=-zz . 三. 计算题. (40分)1. 求函数)2sin(3z 的幂级数展开式.2. 在复平面上取上半虚轴作割线. 试在所得的区域内取定函数z在正实轴取正实值的一个解析分支,并求它在上半虚轴左沿的点及右沿的点i z=处的值.3. 计算积分:⎰-=iiz z Id ||,积分路径为(1)单位圆(1||=z )的右半圆.4. 求dzz zz ⎰=-22)2(sin π.四. 证明题. (20分)1. 设函数f (z )在区域D 内解析,试证:f (z )在D 内为常数的充要条件是)(z f 在D 内解析.2. 试用儒歇定理证明代数基本定理.《复变函数》考试试题(三)一. 判断题. (20分).1. cos z 与sin z 的周期均为πk2. ( ) 2. 若f (z )在z 0处满足柯西-黎曼条件, 则f (z )在z 0解析. ( )3. 若函数f (z )在z 0处解析,则f (z )在z 0连续. ( )4. 若数列}{n z 收敛,则}{Re n z 与}{Im n z 都收敛. ( )5. 若函数f (z )是区域D 内解析且在D 内的某个圆内恒为常数,则数f (z )在区域D 内为常数. ( )6. 若函数f (z )在z 0解析,则f (z )在z 0的某个邻域内可导. ( )7. 如果函数f (z )在}1|:|{≤=z z D 上解析,且)1|(|1|)(|=≤z z f ,则)1|(|1|)(|≤≤z z f . ( ) 8. 若函数f (z )在z 0处解析,则它在该点的某个邻域内可以展开为幂级数. ( ) 9. 若z 0是)(z f 的m 阶零点, 则z 0是1/)(z f 的m 阶极点. ( ) 10. 若0z 是)(z f 的可去奇点,则0)),((Res 0=z z f . ( )二. 填空题. (20分)1. 设11)(2+=z z f ,则f (z )的定义域为___________.2. 函数e z的周期为_________.3. 若n n n i n n z )11(12++-+=,则=∞→n z n lim __________.4. =+z z 22cos sin ___________.5. =-⎰=-1||00)(z z n z z dz_________.(n 为自然数) 6. 幂级数∑∞=0n n nx 的收敛半径为__________.7. 设11)(2+=z z f ,则f (z )的孤立奇点有__________.8. 设1-=ze ,则___=z .9. 若0z 是)(z f 的极点,则___)(lim 0=→z f z z .10. ____)0,(Res =n zze .三. 计算题. (40分)1. 将函数12()zf z z e =在圆环域0z <<∞内展为Laurent 级数.2. 试求幂级数nn n z nn ∑+∞=!的收敛半径.3. 算下列积分:⎰-C z z z ze )9(d 22,其中C 是1||=z .4. 求0282269=--+-z z z z在|z |<1内根的个数.四. 证明题. (20分) 1. 函数)(z f 在区域D 内解析. 证明:如果|)(|z f 在D 内为常数,那么它在D 内为常数. 2. 设)(z f 是一整函数,并且假定存在着一个正整数n ,以及两个正数R 及M ,使得当R z ≥||时n z M z f |||)(|≤,证明)(z f 是一个至多n 次的多项式或一常数。
《复变函数论基础》习题解答复变函数论是数学及其应用的重要分支学科,用来求解复变函数的数学分析问题。
它的内容包括复变函数的极限、积分、级数、可积性等基本概念,还有复变函数的积分变换、解析扩及性相关的问题。
本文就一些基础习题来讲解和演示复变函数的知识和解题技巧。
习题一:证明函数$f(z)=frac{1}{z}$在点$z_0=1$处可导。
解:对函数$f(z)=frac{1}{z}$的导数,可以根据定义求出$$frac{mathrm d f(z)}{mathrm d z}=-frac{1}{z^2}$$ 令$z=z_0=1$,则令$hrightarrow 0$$$lim_{hrightarrow0}frac{f(1+h)-f(1)}{h}=-frac{1}{(1+h)^2}+frac{1}{1^2}=-frac {1}{1+h}+1=h(frac{-1}{1+h}+1)rightarrow 0$$故函数$f(z)$在点$z_0=1$处可导。
习题二:求函数$f(z)=frac{1}{z(z-1)(z-2)}$在$z_0=1$处的导数。
解:根据链式法则,函数$f(z)$的导数为:$$f(z)=frac{mathrm d f(z)}{mathrm dz}=frac{d(z-1)(z-2)}{dz}frac{1}{z(z-1)(z-2)}+frac{dz}{dz}fr ac{1}{z(z-1)(z-2)}+frac{d1}{dz}frac{1}{z(z-1)(z-2)}$$$$=frac{-(z-2)-(z-1)+1}{z^2(z-1)^2(z-2)^2}=frac{1}{z^2(z-1) ^2(z-2)^2}$$令$z=1$,则$$f(1)=frac{1}{1^2(1-1)^2(1-2)^2}=frac{1}{4}$$ 故函数$f(z)=frac{1}{z(z-1)(z-2)}$在$z_0=1$处的导数为$f(1)=frac{1}{4}$。
习题1第一章 复数与复变函数1.11222z ==-求|z|,Argz 解:1232122=⎪⎪⎭⎫ ⎝⎛+⎪⎭⎫ ⎝⎛=zArgz=arctan 212-+2k π=23k ππ+-, ,2,1,0±±=k2.已知211i z +=,=2z i -3,试用指数形式表示2121z z z z 及解:211i z +=i e 4π==2z i -3i e62π-=所以21z z =i e62π-ie 4πie122π-=21z z ii i ie e e e 125)64(6421212πππππ===+- 3. 解二项方程440z a += )0(>a 解 由440z a +=得44z a =- 则二次方程的根为k w a = (k=0,1,2,3) =24k i ea ππ+⋅(k=0,1,2,3)0w =4i ea π⋅=(1+i)23441(1)2i i a w ea ea i πππ+⋅===-+542(1)2i a w ea i π==--743(1)2i a w ea i π==-4 .设1z 、2z 是两个复数,求证:),Re(2||||||212221221z z z z z z -+=-证明:()()2121221z z z z z z --=-()2122212121222112212221Re 2z z z z z z z z z z z z z z z z -+=--+=---=5. 设123z ,z ,z 三点适合条件:1230z z z ++=及1231z z z ===试证明123z ,z ,z 是一个内接于单位圆周1z =的正三角形的顶点。
证明:设111z x iy =+,222z x iy =+,333z x iy =+因为1230z z z ++=∴1230x x x ++=,1230y y y ++= ∴123x x x =--,123y y y =--又因为1231z z z ===∴三点123z ,z ,z 在单位圆周上,且有222222112233x y x y x y +=+=+而()()2222112323x y x x y y +=+=+()()2223231x x y y ∴+++=()232321x x y y ∴+=-同理=+)(22121y y x x ()()131********x x y y x x y y +=+=-可知()()()()()()222222121223231313x x y y x x y y x x y y -+-=-+-=-+-即122313z z z z z z -=-=-123z ,z ,z 是一个内接于单位圆周1z =的正三角形的顶点得证。
复变函数考试题及答案一、选择题(每题2分,共40分)1. 下列哪个不是复数的实部?A. 2B. -3iC. -4D. 5i答案:B2. 设z = x + yi,其中x和y都是实数,若z和z*的虚部相等,则x和y满足的关系是:A. x = yB. x = -yC. x = 0D. y = 0答案:C3. 设复函数f(z) = u(x, y) + iv(x, y),其中u(x, y)和v(x, y)是光滑函数,若f(z)满足Cauchy-Riemann方程,则u和v满足的关系是:A. ∂u/∂x = ∂v/∂y,∂u/∂y = -∂v/∂xB. ∂u/∂x = ∂v/∂y,∂u/∂y = ∂v/∂xC. ∂u/∂y = -∂v/∂x,∂u/∂x = ∂v/∂yD. ∂u/∂y = ∂v/∂x,∂u/∂x = -∂v/∂y答案:A4. 设f(z)是复平面上的解析函数,若f(z)的实部为2x^2 + 3y,则f(z)的虚部为:A. 2x^2 - 3yB. 3yC. 2x^2D. 2x^3 + 3y答案:C5. 若f(z) = z^3,其中z为复数,则f(z)的导数为:A. 3z^2B. z^2C. 2zD. 0答案:A......二、计算题(共60分)1. 计算下列复数的模和辐角:(1)z1 = 3 + 4i(2)z2 = -2 + 2i(3)z3 = -4 - 3i答案:(1)|z1| = sqrt(3^2 + 4^2) = 5,arg(z1) = arctan(4/3)(2)|z2| = sqrt((-2)^2 + 2^2) = 2sqrt(2),arg(z2) = arctan(2/(-2)) + π = -π/4(3)|z3| = sqrt((-4)^2 + (-3)^2) = 5,arg(z3) = arctan((-3)/(-4)) + π = π/42. 设复数z满足|z-2| = 3,且arg(z-2) = π/3,求z的值答案:由题意得,z-2的模为3,即|z-2| = 3,且z-2的辐角为π/3,即arg(z-2) = π/3根据复数的模和辐角定义,可以得到:3 = |z-2| = sqrt((Re(z-2))^2 + (Im(z-2))^2)π/3 = arg(z-2) = arctan((Im(z-2))/(Re(z-2)))解方程组可以得到:Re(z-2) = 3/2Im(z-2) = 3sqrt(3)/2再加上z-2 = Re(z-2) + Im(z-2)i,可以计算得到:z = 3/2 + 3sqrt(3)/2 + 2 = 2 + 3sqrt(3)/23. 将复数z = 1 + i转化为极坐标形式,并计算z^3的值。
复变函数14套题目和答案《复变函数论》试题库《复变函数》考试试题(一)一、判断题(20分):1.若f(z)在z0的某个邻域内可导,则函数f(z)在z0解析.()2.有界整函数必在整个复平面为常数.()3.若收敛,则与都收敛.()4.若f(z)在区域D内解析,且,则(常数).()5.若函数f(z)在z0处解析,则它在该点的某个邻域内可以展开为幂级数.()6.若z0是的m阶零点,则z0是1/的m阶极点.()7.若存在且有限,则z0是函数f(z)的可去奇点.()8.若函数f(z)在是区域D内的单叶函数,则.()9.若f(z)在区域D内解析, 则对D内任一简单闭曲线C.()10.若函数f(z)在区域D内的某个圆内恒等于常数,则f(z)在区域D内恒等于常数.()二.填空题(20分)1.__________.(为自然数)2._________.3.函数的周期为___________.4.设,则的孤立奇点有__________.5.幂级数的收敛半径为__________.6.若函数f(z)在整个平面上处处解析,则称它是__________.7.若,则______________.8.________,其中n为自然数.9.的孤立奇点为________.10.若是的极点,则.三.计算题(40分):1.设,求在内的罗朗展式.2.3.设,其中,试求4.求复数的实部与虚部.四.证明题.(20分)1.函数在区域内解析.证明:如果在内为常数,那么它在内为常数.2.试证: 在割去线段的平面内能分出两个单值解析分支, 并求出支割线上岸取正值的那支在的值.《复变函数》考试试题(二)1、判断题.(20分)1.若函数在D内连续,则u(x,y)与v(x,y)都在D内连续.()2.cos z 与sin z在复平面内有界.()3.若函数f(z)在z0解析,则f(z)在z0连续.()4.有界整函数必为常数.()5.如z0是函数f(z)的本性奇点,则一定不存在.()6.若函数f(z)在z0可导,则f(z)在z0解析.()7.若f(z)在区域D内解析, 则对D内任一简单闭曲线C.()8.若数列收敛,则与都收敛.()9.若f(z)在区域D内解析,则|f(z)|也在D内解析.()10.存在一个在零点解析的函数f(z)使且.()二.填空题.(20分)1.设,则 2.设,则________.3._________.(为自然数)4.幂级数的收敛半径为__________.5.若z0是f(z)的m阶零点且m>0,则z0是的_____零点.6.函数ez的周期为__________.7.方程在单位圆内的零点个数为________.8.设,则的孤立奇点有_________.9.函数的不解析点之集为________.10..三.计算题.(40分)1.求函数的幂级数展开式.2.在复平面上取上半虚轴作割线.试在所得的区域内取定函数在正实轴取正实值的一个解析分支,并求它在上半虚轴左沿的点及右沿的点处的值.3.计算积分:,积分路径为(1)单位圆()的右半圆.4.求.四.证明题.(20分)1.设函数f(z)在区域D内解析,试证:f(z)在D内为常数的充要条件是在D内解析.2.试用儒歇定理证明代数基本定理.《复变函数》考试试题(三)一.判断题.(20分).1.cos z与sin z的周期均为.()2.若f(z)在z0处满足柯西-黎曼条件, 则f(z)在z0解析.()3.若函数f(z)在z0处解析,则f(z)在z0连续.()4.若数列收敛,则与都收敛.()5.若函数f(z)是区域D内解析且在D内的某个圆内恒为常数,则数f(z)在区域D内为常数.()6.若函数f(z)在z0解析,则f(z)在z0的某个邻域内可导.()7.如果函数f(z)在上解析,且,则.()8.若函数f(z)在z0处解析,则它在该点的某个邻域内可以展开为幂级数.()9.若z0是的m阶零点, 则z0是1/的m阶极点.()10.若是的可去奇点,则.()二.填空题.(20分)1.设,则f(z)的定义域为___________.2.函数ez的周期为_________.3.若,则__________.4.___________.5._________.(为自然数)6.幂级数的收敛半径为__________.7.设,则f(z)的孤立奇点有__________.8.设,则.9.若是的极点,则.10..三.计算题.(40分)1.将函数在圆环域内展为Laurent级数.2.试求幂级数的收敛半径.3.算下列积分:,其中是.4.求在|z|<1内根的个数.四.证明题.(20分)1.函数在区域内解析.证明:如果在内为常数,那么它在内为常数.2.设是一整函数,并且假定存在着一个正整数n,以及两个正数R及M,使得当时,证明是一个至多n次的多项式或一常数。
复变函数卷答案与评分标准一、填空题:1.叙述区域内解析函数的四个等价定理。
定理1 函数()(,)(,)f z u x y iv x y =+在区域D 内解析的充要条件:(1)(,)u x y ,(,)v x y 在D 内可微,(2)(,)u x y ,(,)v x y 满足C R -条件。
(3分)定理2 函数()(,)(,)f z u x y iv x y =+在区域D 内解析的充要条件:(1),,,x y x y u u v v 在D 内连续,(2)(,)u x y ,(,)v x y 满足C R -条件。
(3分)定理3 函数()f z 在区域D 内解析的充要条件:()f z 在区域D 内连续,若闭曲线C 及内部包含于D ,则()0C f z dz =⎰ 。
(3分) 定理4 函数()f z 在区域D 内解析的充要条件:()f z 在区域D 内每一点a ,都能展成x a -的幂级数。
(3分)2.叙述刘维尔定理:复平面上的有界整函数必为常数。
(3分)3、方程2z e i =+的解为:11ln 5arctan 222i k i π++,其中k 为整数。
(3分) 4、设()2010sin z f z z+=,则()0Re z s f z ==2010。
(3分) 二、验证计算题(共16分)。
1、验证()22,2u x y x y x =-+为复平面上的调和函数,并求一满足条件()12f i i =-+的解析函数()()(),,f z u x y iv x y =+。
(8分)解:(1)22u x x ∂=+∂,222u x ∂=∂;2u y y∂=-∂,222u y ∂=-∂。
由于22220u u y x∂∂+=∂∂,所以(,)u x y 为复平面上的调和函数。
(4分) (2)因为()f z 为解析函数,则(),u x y 与(),v x y 满足C.-R.方程,则有22v u x y x∂∂==+∂∂,所以(,)2222()v x y x dy xy y C x =+=++⎰ 2,v u y x y∂∂=-=∂∂又2()v y C x x ∂'=+∂ ,所以 ()0C x '=,即()C x 为常数。
第一章 复变函数习题及解答1.1 写出下列复数的实部、虚部;模和辐角以及辐角的主值;并分别写成代数形式,三角形式和指数形式.(其中,,R αθ为实常数)(1)1-; (2)ππ2(cosisin )33-; (3)1cos isin αα-+;(4)1ie +; (5)i sin R e θ; (6)i +答案 (1)实部-1;虚部 2;辐角为4π2π,0,1,2,3k k +=±±;主辐角为4π3;原题即为代数形式;三角形式为4π4π2(cosisin )33+;指数形式为4πi 32e .(2)略为 5πi 35π5π2[cos sin ], 233i e +(3)略为 i arctan[tan(/2)][2sin()]2c e αα(4)略为 i;(cos1isin1)ee e +(5)略为:cos(sin )isin(sin )R R θθ+(6)该复数取两个值略为 i i isin ),arctan(1isin ),πarctan(1θθθθθθθθ+=+=+1.2 计算下列复数 1)()103i 1+-;2)()31i 1+-;答案 1)3512i 512+-;2)()13π/42k πi632e 0,1,2k +=;1.3计算下列复数(1 (2答案 (1(2)(/62/3)i n eππ+1.4 已知x 的实部和虚部.【解】令i ,(,)p q p q R =+∈,即,p q 为实数域(Real).平方得到2212()2i x p q xy +=-+,根据复数相等,所以即实部为 ,x ±虚部为 说明 已考虑根式函数是两个值,即为±值.1.5 如果 ||1,z =试证明对于任何复常数,a b 有||1az bbz a +=+【证明】 因为||1,11/z zz z z =∴=∴=,所以1.6 如果复数b a i +是实系数方程()01110=++++=--n n n n a z a z a z a z P 的根,则b a i -一定也是该方程的根.证 因为0a ,1a ,… ,n a 均为实数,故00a a =,11a a =,… ,n n a a =.且()()kkz z =,故由共轭复数性质有:()()z P z P =.则由已知()0i ≡+b a P .两端取共轭得 即()0i ≡-b a P .故b a i -也是()0=z P 之根.注 此题仅通过共轭的运算的简单性质及实数的共轭为其本身即得证.此结论说明实系数多项式的复零点是成对出现的.这一点在代数学中早已被大家认识.特别地,奇次实系数多项式至少有一个实零点.1.7 证明:2222121212||||2(||||)z z z z z z ++-=+,并说明其几何意义. 1.8 若 (1)(1)n n i i +=-,试求n 的值.【解】 因为222244444444(1)2(cos sin )2(cos sin )(1)2(cos sin )2(cos sin )n nnnn n n n n n n n i i i i i i ππππππππ+=+=+-=-=- 所以 44sin sin n n ππ=- 即为4sin 0n π=所以4,4,(0,1,2,)n k n k k ππ===±±1.9将下列复数表为sin ,cos θθ的幂的形式 (1) cos5θ; (2)sin5θ答案 53244235(1) cos 10cos sin 5cos sin (2) 5cos sin 10cos sin sin θθθθθθθθθθ-+-+1.10 证明:如果 w 是1的n 次方根中的一个复数根,但是1≠w 即不是主根,则必有1.11 对于复数,k k αβ,证明复数形式的柯西(Cauchy)不等式:22221111||(||||)||||n n nnk k k k k kk k k k αβαβαβ====≤≤∑∑∑∑ 成立。
第一章 复数与复变函数一、选择题1.当ii z -+=11时,5075100z z z ++的值等于( ) (A )i (B )i - (C )1 (D )1- 2.设复数z 满足3)2(π=+z arc ,65)2(π=-z arc ,那么=z ( ) (A )i 31+- (B )i +-3 (C )i 2321+-(D )i 2123+- 3.复数)2(tan πθπθ<<-=i z 的三角表示式是( ) (A ))]2sin()2[cos(sec θπθπθ+++i (B ))]23sin()23[cos(sec θπθπθ+++i (C ))]23sin()23[cos(sec θπθπθ+++-i (D ))]2sin()2[cos(sec θπθπθ+++-i 4.若z 为非零复数,则22z z -与z z 2的关系是( ) (A )z z z z 222≥- (B )z z z z 222=- (C )z z z z 222≤- (D )不能比较大小5.设y x ,为实数,yi x z yi x z +-=++=11,1121且有1221=+z z ,则动点),(y x 的轨迹是( )(A )圆 (B )椭圆 (C )双曲线 (D )抛物线 6.一个向量顺时针旋转3π,向右平移3个单位,再向下平移1个单位后对应的复数为i 31-,则原向量对应的复数是( )(A )2 (B )i 31+(C )i -3 (D )i +37.使得22z z =成立的复数z 是( )(A )不存在的 (B )唯一的 (C )纯虚数 (D )实数 8.设z 为复数,则方程i z z +=+2的解是( )(A )i +-43 (B )i +43 (C )i -43 (D )i --439.满足不等式2≤+-iz iz 的所有点z 构成的集合是( ) (A )有界区域 (B )无界区域 (C )有界闭区域 (D )无界闭区域 10.方程232=-+i z 所代表的曲线是( )(A )中心为i 32-,半径为2的圆周 (B )中心为i 32+-,半径为2的圆周 (C )中心为i 32+-,半径为2的圆周 (D )中心为i 32-,半径为2的圆周 11.下列方程所表示的曲线中,不是圆周的为( ) (A )221=+-z z (B )433=--+z z (C ))1(11<=--a azaz (D ))0(0>=-+++c c a a z a z a z z12.设,5,32,1)(21i z i z z z f -=+=-=,则=-)(21z z f ( ) (A )i 44-- (B )i 44+ (C )i 44- (D )i 44+- 13.00)Im()Im(lim0z z z z x x --→( )(A )等于i (B )等于i - (C )等于0 (D )不存在14.函数),(),()(y x iv y x u z f +=在点000iy x z +=处连续的充要条件是( ) (A )),(y x u 在),(00y x 处连续 (B )),(y x v 在),(00y x 处连续(C )),(y x u 和),(y x v 在),(00y x 处连续(D )),(),(y x v y x u +在),(00y x 处连续15.设C z ∈且1=z ,则函数zz z z f 1)(2+-=的最小值为( )(A )3- (B )2- (C )1- (D )1二、填空题1.设)2)(3()3)(2)(1(i i i i i z ++--+=,则=z2.设)2)(32(i i z +--=,则=z arg3.设43)arg(,5π=-=i z z ,则=z 4.复数22)3sin 3(cos )5sin 5(cos θθθθi i -+的指数表示式为 5.以方程i z 1576-=的根的对应点为顶点的多边形的面积为 6.不等式522<++-z z 所表示的区域是曲线 的内部7.方程1)1(212=----zi iz 所表示曲线的直角坐标方程为8.方程i z i z +-=-+221所表示的曲线是连续点 和 的线段的垂直平分线9.对于映射zi =ω,圆周1)1(22=-+y x 的像曲线为 10.=+++→)21(lim 421z z iz三、若复数z 满足03)21()21(=+++-+z i z i z z ,试求2+z 的取值范围.四、设0≥a ,在复数集C 中解方程a z z =+22.五、设复数i z ±≠,试证21zz+是实数的充要条件为1=z 或0)(=z IM .六、对于映射)1(21zz +=ω,求出圆周4=z 的像.七、试证1.)0(0221≠≥z z z 的充要条件为2121z z z z +=+; 2.)),,2,1,,,0(021n j k j k z z z j =≠≠≥的充要条件为 n n z z z z z z +++=+++ 2121.八、若0)(lim 0≠=→A z f x x ,则存在0>δ,使得当δ<-<00z z 时有A z f 21)(>.九、设iy x z +=,试证y x z y x +≤≤+2.十、设iy x z +=,试讨论下列函数的连续性:1.⎪⎩⎪⎨⎧=≠+=0,00,2)(22z z y x xyz f2.⎪⎩⎪⎨⎧=≠+=0,00,)(223z z y x y x z f第二章 解析函数一、选择题:1.函数23)(z z f =在点0=z 处是( )(A )解析的 (B )可导的(C )不可导的 (D )既不解析也不可导 2.函数)(z f 在点z 可导是)(z f 在点z 解析的( )(A )充分不必要条件 (B )必要不充分条件(C )充分必要条件 (D )既非充分条件也非必要条件 3.下列命题中,正确的是( )(A )设y x ,为实数,则1)cos(≤+iy x(B )若0z 是函数)(z f 的奇点,则)(z f 在点0z 不可导(C )若v u ,在区域D 内满足柯西-黎曼方程,则iv u z f +=)(在D 内解析 (D )若)(z f 在区域D 内解析,则)(z if 在D 内也解析 4.下列函数中,为解析函数的是( )(A )xyi y x 222-- (B )xyi x +2(C ))2()1(222x x y i y x +-+- (D )33iy x +5.函数)Im()(2z z z f =在=z 处的导数( )(A )等于0 (B )等于1 (C )等于1- (D )不存在6.若函数)(2)(2222x axy y i y xy x z f -++-+=在复平面内处处解析,那么实常 数=a ( )(A )0 (B )1 (C )2 (D )2-7.如果)(z f '在单位圆1<z 内处处为零,且1)0(-=f ,那么在1<z 内≡)(z f ( )(A )0 (B )1 (C )1- (D )任意常数 8.设函数)(z f 在区域D 内有定义,则下列命题中,正确的是(A )若)(z f 在D 内是一常数,则)(z f 在D 内是一常数 (B )若))(Re(z f 在D 内是一常数,则)(z f 在D 内是一常数 (C )若)(z f 与)(z f 在D 内解析,则)(z f 在D 内是一常数 (D )若)(arg z f 在D 内是一常数,则)(z f 在D 内是一常数 9.设22)(iy x z f +=,则=+')1(i f ( )(A )2 (B )i 2 (C )i +1 (D )i 22+ 10.ii 的主值为( )(A )0 (B )1 (C )2πe (D )2π-e11.z e 在复平面上( )(A )无可导点 (B )有可导点,但不解析 (C )有可导点,且在可导点集上解析 (D )处处解析 12.设z z f sin )(=,则下列命题中,不正确的是( )(A ))(z f 在复平面上处处解析 (B ))(z f 以π2为周期(C )2)(iziz e e z f --= (D ))(z f 是无界的13.设α为任意实数,则α1( )(A )无定义 (B )等于1(C )是复数,其实部等于1 (D )是复数,其模等于1 14.下列数中,为实数的是( )(A )3)1(i - (B )i cos (C )i ln (D )i e 23π-15.设α是复数,则( )(A )αz 在复平面上处处解析 (B )αz 的模为αz(C )αz 一般是多值函数 (D )αz 的辐角为z 的辐角的α倍二、填空题1.设i f f +='=1)0(,1)0(,则=-→zz f z 1)(lim2.设iv u z f +=)(在区域D 内是解析的,如果v u +是实常数,那么)(z f 在D 内是 3.导函数xvix u z f ∂∂+∂∂=')(在区域D 内解析的充要条件为 4.设2233)(y ix y x z f ++=,则=+-')2323(i f 5.若解析函数iv u z f +=)(的实部22y x u -=,那么=)(z f 6.函数)Re()Im()(z z z z f -=仅在点=z 处可导7.设z i z z f )1(51)(5+-=,则方程0)(='z f 的所有根为 8.复数ii 的模为 9.=-)}43Im{ln(i 10.方程01=--ze 的全部解为三、设),(),()(y x iv y x u z f +=为iyx z +=的解析函数,若记)2,2()2,2(),(izz z z iv i z z z z u z z w -++-+=,则0=∂∂z w .四、试证下列函数在z 平面上解析,并分别求出其导数 1.;sinh sin cosh cos )(y x i y x z f -=2.);sin cos ()sin cos ()(y ix y y ie y y y x e z f xx++-=五、设023=+-ze zw w ,求22,dz w d dz dw .六、设⎪⎩⎪⎨⎧=≠++=0,00,)()(422z z y x iy x xy z f 试证)(z f 在原点满足柯西-黎曼方程,但却不可导.七、已知22y x v u -=-,试确定解析函数iv u z f +=)(.八、设s 和n 为平面向量,将s按逆时针方向旋转2π即得n .如果iv u z f +=)(为解析函数,则有s v n u n v s u ∂∂-=∂∂∂∂=∂∂,(s ∂∂与n∂∂分别表示沿s ,n 的方向导数).九、若函数)(z f 在上半平面内解析,试证函数)(z f 在下半平面内解析.十、解方程i z i z 4cos sin =+.第三章 复变函数的积分一、选择题:1.设c 为从原点沿x y =2至i +1的弧段,则=+⎰cdz iy x )(2( )(A )i 6561- (B )i 6561+- (C )i 6561-- (D )i 6561+ 2.设c 为不经过点1与1-的正向简单闭曲线,则dz z z zc⎰+-2)1)(1(为( ) (A )2i π (B )2iπ- (C )0 (D )(A)(B)(C)都有可能 3.设1:1=z c 为负向,3:2=z c 正向,则=⎰+=dz z zc c c 212sin ( ) (A ) i π2- (B )0 (C )i π2 (D )i π4 4.设c 为正向圆周2=z ,则=-⎰dz z zc 2)1(cos ( ) (A )1sin - (B )1sin (C )1sin 2i π- (D )1sin 2i π5.设c 为正向圆周21=z ,则=--⎰dz z z z c23)1(21cos( )(A ))1sin 1cos 3(2-i π (B )0 (C )1cos 6i π (D )1sin 2i π-6.设ξξξξd ze zf ⎰=-=4)(,其中4≠z ,则=')i f π(( ) (A )i π2- (B )1- (C )i π2 (D )17.设)(z f 在单连通域B 内处处解析且不为零,c 为B 内任何一条简单闭曲线,则积分dz z f z f z f z f c⎰+'+'')()()(2)( ( )(A )于i π2 (B )等于i π2- (C )等于0 (D )不能确定8.设c 是从0到i 21π+的直线段,则积分=⎰cz dz ze ( )(A )21eπ-(B) 21eπ-- (C)i e21π+(D) i e21π-9.设c 为正向圆周0222=-+x y x ,则=-⎰dz z z c1)4sin(2π( ) (A )i π22 (B )i π2 (C )0 (D )i π22- 10.设c 为正向圆周i a i z ≠=-,1,则=-⎰c dz i a zz 2)(cos ( ) (A )ie π2 (B )eiπ2 (C )0 (D )i i cos 11.设)(z f 在区域D 内解析,c 为D 内任一条正向简单闭曲线,它的内部全属于D .如果)(z f 在c 上的值为2,那么对c 内任一点0z ,)(0z f ( )(A )等于0 (B )等于1 (C )等于2 (D )不能确定 12.下列命题中,不正确的是( ) (A )积分⎰=--ra z dz az 1的值与半径)0(>r r 的大小无关 (B )2)(22≤+⎰cdz iy x ,其中c 为连接i -到i 的线段 (C )若在区域D 内有)()(z g z f =',则在D 内)(z g '存在且解析 (D )若)(z f 在10<<z 内解析,且沿任何圆周)10(:<<=r r z c 的积分等于零,则)(z f 在0=z 处解析13.设c 为任意实常数,那么由调和函数22y x u -=确定的解析函数iv u z f +=)(是 ( )(A)c iz +2(B ) ic iz +2(C )c z +2(D )ic z +214.下列命题中,正确的是( )(A )设21,v v 在区域D 内均为u 的共轭调和函数,则必有21v v = (B )解析函数的实部是虚部的共轭调和函数 (C )若iv u z f +=)(在区域D 内解析,则xu∂∂为D 内的调和函数 (D )以调和函数为实部与虚部的函数是解析函数15.设),(y x v 在区域D 内为),(y x u 的共轭调和函数,则下列函数中为D 内解析函数的是( )(A )),(),(y x iu y x v + (B )),(),(y x iu y x v -(C )),(),(y x iv y x u - (D )xv i x u ∂∂-∂∂二、填空题1.设c 为沿原点0=z 到点i z +=1的直线段,则=⎰cdz z 22.设c 为正向圆周14=-z ,则=-+-⎰c dz z z z 22)4(233.设⎰=-=2)2sin()(ξξξξπd zz f ,其中2≠z ,则=')3(f 4.设c 为正向圆周3=z ,则=+⎰cdz zzz 5.设c 为负向圆周4=z ,则=-⎰c zdz i z e 5)(π6.解析函数在圆心处的值等于它在圆周上的 7.设)(z f 在单连通域B 内连续,且对于B 内任何一条简单闭曲线c 都有0)(=⎰cdz z f ,那么)(z f 在B 内8.调和函数xy y x =),(ϕ的共轭调和函数为9.若函数23),(axy x y x u +=为某一解析函数的虚部,则常数=a10.设),(y x u 的共轭调和函数为),(y x v ,那么),(y x v 的共轭调和函数为三、计算积分 1.⎰=+-Rz dz z z z)2)(1(62,其中1,0≠>R R 且2≠R ; 2.⎰=++22422z z z dz.四、设)(z f 在单连通域B 内解析,且满足)(1)(1B x z f ∈<-.试证1.在B 内处处有0)(≠z f ; 2.对于B 内任意一条闭曲线c ,都有0)()(=''⎰cdz z f z f五、设)(z f 在圆域R a z <-内解析,若)0()()(max R r r M z f ra z <<==-,则),2,1()(!)()( =≤n rr M n a f nn .六、求积分⎰=1z zdz z e ,从而证明πθθπθ=⎰0cos )cos(sin d e .七、设)(z f 在复平面上处处解析且有界,对于任意给定的两个复数b a ,,试求极限⎰=+∞→--R z R dz b z a z z f ))(()(lim并由此推证)()(b f a f =(刘维尔Liouville 定理).八、设)(z f 在)1(><R R z 内解析,且2)0(,1)0(='=f f ,试计算积分⎰=+122)()1(z dz z z f z 并由此得出⎰πθθθ202)(2cos d e f i 之值.九、设iv u z f +=)(是z 的解析函数,证明222222222))(1()(4))(1ln())(1ln(z f z f y z f x z f +'=∂+∂+∂+∂.十、若)(22y x u u +=,试求解析函数iv u z f +=)(.第四章 级 数一、选择题:1.设),2,1(4)1( =++-=n n nia n n ,则n n a ∞→lim ( ) (A )等于0 (B )等于1 (C )等于i (D )不存在2.下列级数中,条件收敛的级数为( )(A )∑∞=+1)231(n ni (B )∑∞=+1!)43(n n n i(C ) ∑∞=1n nni (D )∑∞=++-11)1(n n n i3.下列级数中,绝对收敛的级数为( )(B ) ∑∞=+1)1(1n n in(B )∑∞=+-1]2)1([n n n i n (C)∑∞=2ln n nn i (D )∑∞=-12)1(n nn n i 4.若幂级数∑∞=0n n nz c在i z 21+=处收敛,那么该级数在2=z 处的敛散性为( )(A )绝对收敛 (B )条件收敛(C )发散 (D )不能确定 5.设幂级数∑∑∞=-∞=01,n n n n nn znc z c 和∑∞=++011n n n z n c 的收敛半径分别为321,,R R R ,则321,,R R R 之间的关系是( )(A )321R R R << (B )321R R R >> (C )321R R R <= (D )321R R R == 6.设10<<q ,则幂级数∑∞=02n n n z q 的收敛半径=R ( )(A )q (B )q1(C )0 (D )∞+ 7.幂级数∑∞=1)2(2sinn n z n n π的收敛半径=R ( ) (A ) 1 (B )2 (C )2 (D )∞+8.幂级数∑∞=++-011)1(n n n z n 在1<z 内的和函数为 (A ))1ln(z + (B ))1ln(z -(D )z +11ln(D) z-11ln 9.设函数z e z cos 的泰勒展开式为∑∞=0n n n z c ,那么幂级数∑∞=0n nn z c 的收敛半径=R ( )(A )∞+ (B )1 (C )2π(D )π 10.级数+++++22111z z z z的收敛域是( ) (A )1<z (B )10<<z (C )+∞<<z 1 (D )不存在的11.函数21z在1-=z 处的泰勒展开式为( ) (A ))11()1()1(11<++-∑∞=-z z n n n n(B ))11()1()1(111<++-∑∞=--z z n n n n(C ))11()1(11<++-∑∞=-z z n n n (D ))11()1(11<++∑∞=-z z n n n12.函数z sin ,在2π=z 处的泰勒展开式为( )(A ))2()2()!12()1(012+∞<--+-∑∞=+ππz z n n n n(B ))2()2()!2()1(02+∞<---∑∞=ππz z n n n n(C ))2()2()!12()1(0121+∞<--+-∑∞=++ππz z n n n n(D ))2()2()!2()1(021+∞<---∑∞=+ππz z n n n n13.设)(z f 在圆环域201:R z z R H <-<内的洛朗展开式为∑∞-∞=-n n nz z c)(0,c 为H 内绕0z 的任一条正向简单闭曲线,那么=-⎰c dz z z z f 20)()(( )(A)12-ic π (B )12ic π (C )22ic π (D ))(20z f i 'π14.若⎩⎨⎧--==-+= ,2,1,4,2,1,0,)1(3n n c nn n n ,则双边幂级数∑∞-∞=n nn z c 的收敛域为( ) (A )3141<<z (B )43<<z (C )+∞<<z 41 (D )+∞<<z 3115.设函数)4)(1(1)(++=z z z z f 在以原点为中心的圆环内的洛朗展开式有m 个,那么=m ( )(A )1 (B )2 (C )3 (D )4二、填空题 1.若幂级数∑∞=+0)(n n ni z c在i z =处发散,那么该级数在2=z 处的收敛性为 . 2.设幂级数∑∞=0n nnz c与∑∞=0)][Re(n n n z c 的收敛半径分别为1R 和2R ,那么1R 与2R 之间的关系是 . 3.幂级数∑∞=+012)2(n n nz i 的收敛半径=R4.设)(z f 在区域D 内解析,0z 为内的一点,d 为0z 到D 的边界上各点的最短距离,那么当d z z <-0时,∑∞=-=0)()(n n nz z cz f 成立,其中=n c .5.函数z arctan 在0=z 处的泰勒展开式为 . 6.设幂级数∑∞=0n nnz c的收敛半径为R ,那么幂级数∑∞=-0)12(n n n nz c 的收敛半径为 .7.双边幂级数∑∑∞=∞=--+--112)21()1()2(1)1(n n n nnz z 的收敛域为 . 8.函数zze e 1+在+∞<<z 0内洛朗展开式为 . 9.设函数z cot 在原点的去心邻域R z <<0内的洛朗展开式为∑∞-∞=n n nz c,那么该洛朗级数收敛域的外半径=R . 10.函数)(1i z z -在+∞<-<i z 1内的洛朗展开式为 .三、若函数211z z --在0=z 处的泰勒展开式为∑∞=0n nn z a ,则称{}n a 为菲波那契(Fibonacci)数列,试确定n a 满足的递推关系式,并明确给出n a 的表达式.四、试证明 1.);(11+∞<≤-≤-z ez ee zzz2.);1()1(1)3(<-≤-≤-z z e e z e z五、设函数)(z f 在圆域R z <内解析,∑==nk kk n z k f S 0)(!)0(试证 1.)()(21)(111R r z d z z f iz S n rn n n <<--=+=++⎰ξξξξξπξ.2.)()()(2)((11R r z d z f iz z S z f r n n n <<-=-⎰=++ξξξξπξ)。
习题1第一章 复数与复变函数1.11222z ==-求|z|,Argz 解:1232122=⎪⎪⎭⎫ ⎝⎛+⎪⎭⎫ ⎝⎛=zArgz=arctan 212-+2k π=23k ππ+-, ,2,1,0±±=k2.已知211i z +=,=2z i -3,试用指数形式表示2121z z z z 及解:211i z +=i e 4π==2z i -3i e62π-=所以21z z =i e62π-ie4πie122π-=21z z ii i ie e e e 125)64(6421212πππππ===+- 3. 解二项方程440z a += )0(>a 解 由440z a +=得44z a =- 则二次方程的根为1k w a = (k=0,1,2,3) =24k i ea ππ+⋅(k=0,1,2,3)0w =4i ea π⋅=23441(1)2i i a w ea ea i πππ+⋅===-+542(1)2i a w ea i π==--743(1)2i a w ea i π==-4 .设1z 、2z 是两个复数,求证:),Re(2||||||212221221z z z z z z -+=-证明:()()2121221z z z z z z --=-()2122212121222112212221Re 2z z z z z z z z z z z z z z z z -+=--+=---=5. 设123z ,z ,z 三点适合条件:1230z z z ++=及1231z z z ===试证明123z ,z ,z 是一个内接于单位圆周1z =的正三角形的顶点。
证明:设111z x iy =+,222z x iy =+,333z x iy =+因为1230z z z ++=∴1230x x x ++=,1230y y y ++= ∴123x x x =--,123y y y =--又因为1231z z z ===∴三点123z ,z ,z 在单位圆周上,且有222222112233x y x y x y +=+=+而()()2222112323x y x x y y +=+=+()()2223231x x y y ∴+++=()232321x x y y ∴+=-同理=+)(22121y y x x ()()131********x x y y x x y y +=+=-可知()()()()()()222222121223231313x x y y x x y y x x y y -+-=-+-=-+-即122313z z z z z z -=-=-123z ,z ,z 是一个内接于单位圆周1z =的正三角形的顶点得证。
6.下列关系表示的点z 的轨迹是什么图形?他是不是区域? (1)111z z -<+ 令z x iy =+,由11z z -<+得()()2211z z <-+即()()2211x x <-+,所以0x >,故以虚轴为左界的右半平面;是区域 (2)0arg(1)4z π<-<且2Re 3z ≤≤ 解:由0arg(1)4z π<-<且2Re 3z ≤≤得:0arctan14y x π<<-且23x ≤≤ 即为如图阴影所示(不包括上下边界);不是区域。
7.证明:z 平面上的直线方程可以写成az az c +=(a 是非零复常数,c 是实常数)证明:设直线方程的一般形式为:ax+by+c=0 (a,b,c 均是实常数,a,b 不全为零)因为:x =2z z +, y = 2z z-代入简化得: ()()11022a bi z a bi z c -+++= 令()102a bi α-=≠得z z c αα+= 反之(逆推可得)设有方程z z c αα+=(复数α0≠,c 是常数) 用z x iy =+代入上式,且令()12a bi α=+化简即得。
8.试证:复平面上三点a+bi,0,1a bi-+共直线。
证明: 因为1()0()a bi a bi a bi -+-+-+=221a b+(实数) 所以三点共直线。
9.求下面方程给出的曲线z=()t i t a sin cos +解:令z= ()iy x +=()t i t a sin cos +得 x=()t a cos ,y=t b sin则有12222=+by a x ,故曲线为一椭圆.10.函数w=z1将z 平面上曲线变成w 平面上的什么曲线()iv u w iy x z +=+=,? (1)2x +2y =4解:由于2x +2y =2z = 4 ,又由于 w=z 1=iy x +1=22y x iy x +-=()iy x -41 所以4,4yv x u ==则()411612222=+=+y x v u这表示在w 平面上以原点为圆心,21为半径的一个圆周. (2)1=x解:将1=x 代入变换u iv +=1x iy+,得u iv +=11iy +=211iyy -+于是u =211y +,21y v y-=+, 且22222211.(1)1y u v u y y++===++故220u u v -+= 解得2211()24u v -+=这表示w 平面上的一个以(1,02)为圆心,12为半径的圆周.(3)221(1)x y +=-解:因为 221(1)x y +=- 即 2220x yx -+= 即.0z z z z --=将 1z w =及 1z w=代入得:1111.0w w w w --= 即 1..w w w w w w+=因此 1w w +=12u =(v 可任意取值) 表示w 平面上平行于虚轴的直线。
11. 求证:()arg (0)f z z z =≠在全平面除去原点和负实轴的区域上连续,在负实轴上不连续.证 设0z 为全平面除去原点和负实轴的区域上任意一点.考虑充分小的正数ε,使角形区域00arg arg z z εθε-<<+与负实轴不相交,从图上立即可以看出,以0z 为中心,0z 到射线0arg z θε=±的距离为半径所作的圆盘,一定落在上述角形区域内,这就是说,只要取00sin z δε<≤.那么当0z z ε-<时就有0arg arg z z ε-<.因此arg z 在0z 为连续.再由0z 的任意性,知()arg f z z =在所述区域内为连续.设1x 是负实轴上任意一点,则1Im 0limarg z z x z π≥→= 及 1Im 0limarg z z x z π<→=-故arg z 在负实轴上为不连续. (如下图)12.命函数()f z =()()22000xyz x y z ⎧=⎪+⎨⎪≠⎩试证:()f z 在原点不连续。
证明:()f z =()()22000xyz x y z ⎧=⎪+⎨⎪≠⎩当点z x yi =+沿y kx =趋于0z =时,()kkz f +→1 当k 取不同值时,()f z 趋于不同的数∴()f z 在原点处不连续。
13. 已知流体在某点M 的速度v=-1-i ,求其大小和方向。
解 大小:11+2 方向:arg v=arctan1314ππ--=--。
14. 412cos sin 244ii i e πππ⎫+=+=⎪⎭;21cos sin 22ii e πππ⎛⎫=⋅+= ⎪⎝⎭;()011cos0sin 0ii e ⋅=⋅+=;()22cos sin 2ii e πππ-=+=;233cos sin 322ii e πππ-⎡⎤⎛⎫⎛⎫-=-+-= ⎪ ⎪⎢⎥⎝⎭⎝⎭⎣⎦;还有22,1,1ik iii eee πππ-=-==-(k 为整数)15.将复数 1-cos +isin ϕϕ化为指数形式。
解 2=2sin +2isincos222ϕϕϕ原式 =2sin2φsin cos 22i φϕ⎡⎤+⎢⎥⎣⎦ =2sin2φcos sin 2222i πϕπϕ⎡⎤⎛⎫⎛⎫-+- ⎪ ⎪⎢⎥⎝⎭⎝⎭⎣⎦=2sin 2φe22i πϕ⎛⎫- ⎪⎝⎭16.对于复数α.β,若αβ=0,则α.β至少有一为零.试证之。
证 若αβ=0,则必 |αβ|=0,因而 |α||β|=0.由实数域中的对应结果知|α|.|β|至少有一为零.所以α.β至少有一为零.17.解 因-8=-8(cos isin ππ+),故k 2cos 3k ππ++2sin 3k i ππ+).(k=0,1,2)当k=0时, 0sin )33i ππ+=12(122i+=+当k=1时, 12(cos sin )2;i ππ=+=-当k=2时, 2552(cos sin )2(cos sin )13333i i ππππ=+=-=- ,18.设1z 及2z 是两个复数,试证()212221221Re 2z z z z z z ++=+并应用此等式证明三角不等式(1.2)。
证:()()()()()212221212122212121221121212121221Re 2z z z z z z z z z z z z z z z z z z z z z z z z z z z z ++=+++=+++=++=++=+ 其次,由所证等式以及()212121Re 2z z z z z z =≤就可导出三角不等式(1.2)。
19. 连接1z 及2z 两点的线段的参数方程为()121z z t z z =+-()01t ≤≤过 1z 及2z 两点的直线的参数方程为()121z z t z z =+-()t -∞<<+∞由此可知,三点1z 2z 3z 共线的充要条件为3121z z t z z -=- (t 为一非零实数) 3121Im 0z z z z ⎛⎫⎛⎫-⇔= ⎪ ⎪ ⎪-⎝⎭⎝⎭20.求证:三个复数1z ,2z ,3z 成为一个等边三角形的三个顶点的充要条件是它们适合等式211332232221z z z z z z z z z ++=++。
证 :321z z z ∆是等边三角形的充要条件为:向量21z z 绕1z 旋转3π或3π-即得向量31z z ,也就是()ie z z z z 31213π±-=-,即i z z z z 23211213±=--, 即i z z z z 23211213±=---,两端平方化简,即得211332232221z z z z z z z z z ++=++。
21.试证:点集E 的边界E ∂是闭集。
即证()E E ∂⊆'∂。