复变函数与积分变换课后习题答案详解
- 格式:doc
- 大小:4.86 MB
- 文档页数:37
复变函数与积分变换(修订版)主编:马柏林(复旦大学出版社)——课后习题答案习题一1. 用复数的代数形式a +ib 表示下列复数π/43513;;(2)(43);711i i e i i i i i-++++++.①解i 4πππe cos isin 44-⎛⎫⎛⎫⎛⎫=-+- ⎪ ⎪ ⎪⎪⎝⎭⎝⎭⎝⎭②解: ()()()()35i 17i 35i 1613i 7i 11+7i 17i 2525+-+==-++-③解: ()()2i 43i 834i 6i 510i ++=-++=+ ④解: ()31i 1335=i i i 1i 222-+-+=-+2.求下列各复数的实部和虚部(z =x +iy )(z a a z a -∈+); 33311;;;.22n z i ⎛⎛-+-- ⎝⎭⎝⎭①: ∵设z =x +iy则()()()()()()()22i i i i i i x a y x a y x y a x a y z a z a x y a x a y x a y -++-⎡⎤⎡⎤+--+-⎣⎦⎣⎦===+++++++ ∴()22222Re z a x a y z a x a y ---⎛⎫= ⎪+⎝⎭++,()222Im z a xyz a x a y-⎛⎫=⎪+⎝⎭++. ②解: 设z =x +iy ∵()()()()()()()()323222222223223i i i 2i i 22i33iz x y x y x y x y xy x y x x y xy y x y x y x xy x y y =+=++=-++⎡⎤=--+-+⎣⎦=-+- ∴()332Re 3z x xy =-,()323Im 3z x y y =-.③解:∵(()(){}33232111313188-+⎡⎤⎡⎤==--⋅-⋅+⋅-⎢⎥⎢⎥⎣⎦⎣⎦⎝⎭()180i 18=+=∴Re 1=⎝⎭, Im 0=⎝⎭. ④解:∵()()(()2332313131i 8⎡⎤--⋅-⋅+⋅-⎢⎥⎣⎦=⎝⎭()180i 18=+=∴Re 1=⎝⎭, Im 0=⎝⎭. ⑤解: ∵()()1,2i 211i,kn kn k k n k ⎧-=⎪=∈⎨=+-⋅⎪⎩. ∴当2n k =时,()()Re i 1kn=-,()Im i 0n=;当21n k =+时,()Re i 0n =,()()Im i 1kn =-.3.求下列复数的模和共轭复数12;3;(2)(32);.2ii i i +-+-++①解:2i -+==2i 2i -+=--②解:33-=33-=-③解:()()2i 32i 2i 32i ++=++=()()()()()()2i 32i 2i 32i 2i 32i 47i ++=+⋅+=-⋅-=-④解:1i 1i 22++==()1i 11i222i ++-⎛⎫== ⎪⎝⎭4、证明:当且仅当z z =时,z 才是实数.证明:若z z =,设i z x y =+,则有 i i x y x y +=-,从而有()2i 0y =,即y =0 ∴z =x 为实数.若z =x ,x ∈ ,则z x x ==. ∴z z =.命题成立.5、设z ,w ∈ ,证明: z w z w ++≤证明∵()()()()2z w z w z w z w z w +=+⋅+=++()()22222Re z z z w w z w wz zw z w w z wz w =⋅+⋅+⋅+⋅=++⋅+=++⋅()2222222z w z wz w z w z w ++⋅=++⋅=+≤∴z w z w ++≤.6、设z ,w ∈ ,证明下列不等式. ()2222Re z w z z w w +=+⋅+ ()2222Re z w z z w w -=-⋅+()22222z w z w z w++-=+并给出最后一个等式的几何解释.证明:()2222Re z w z z w w +=+⋅+在上面第五题的证明已经证明了.下面证()2222Re z w z z w w -=-⋅+.∵()()()()222z w z w z w z w z w z z w w z w-=-⋅-=--=-⋅-⋅+()222Re z z w w =-⋅+.从而得证.∴()22222z w z w z w ++-=+几何意义:平行四边形两对角线平方的和等于各边的平方的和.3352π2π;;1;8π(1);.cos sin 7199i i i i +⎛⎫--+ ⎪+⎝⎭ ①解:()()()()35i 17i 35i 7i 117i 17i +-+=++-3816i 198i e 5025i θ⋅--==其中8πarctan 19θ=-.②解:e i i θ⋅=其中π2θ=.π2e i i =③解:ππi i 1e e -==④解:()28π116ππ3θ-+==-.∴()2πi 38π116πe--+=⋅⑤解:32π2πcos isin 99⎛⎫+ ⎪⎝⎭ 解:∵32π2πcosisin 199⎛⎫+= ⎪⎝⎭.∴322πi π.3i 932π2πcos isin 1e e 99⋅⎛⎫+=⋅= ⎪⎝⎭8.计算:(1)i 的三次根;(2)-1的三次根;(3)的平方根.⑴i 的三次根. 解:()13ππ2π2πππ22cos sin cosisin 0,1,22233++⎛⎫+=+= ⎪⎝⎭k k i k∴1ππ1cosisin i 662=+=+z .2551cos πisin πi 662=+=+z3991cos πisin πi 662=+=-z ⑵-1的三次根 解:()()132π+π2ππcos πisin πcosisin 0,1,233k k k ++=+=∴1ππ1cos isin 332=+=z 2cos πisin π1=+=-z3551cos πisin π332=+=-z的平方根. 解:πi 4e ⎫⎪⎪⎝⎭∴)()1π12i 44ππ2π2π44e6cos isin 0,122k k k ⎛⎫++ ⎪=⋅+= ⎪⎝⎭∴π11i 8441ππ6cos isin 6e 88⎛⎫=⋅+=⋅ ⎪⎝⎭z911πi 8442996cos πisin π6e 88⎛⎫=⋅+=⋅ ⎪⎝⎭z . 9.设2πe,2inz n =≥. 证明:110n z z -+++=证明:∵2πi e nz ⋅= ∴1n z =,即10n z -=.∴()()1110n z z z --+++=又∵n ≥2. ∴z ≠1 从而211+0n z z z -+++=11.设Γ是圆周{:},0,e .i z r r a c r z c α=>=+-令:Im 0z a L z b β⎧-⎫⎛⎫==⎨⎬⎪⎝⎭⎩⎭, 其中e i b β=.求出L β在a 切于圆周Γ的关于β的充分必要条件. 解:如图所示.因为L β={z : Im z a b -⎛⎫⎪⎝⎭=0}表示通过点a 且相切,则CA ⊥L β.过C 作直线平行L β,则有∠BCD =β,∠ACB =90° 故α-β=90°所以L β在α处切于圆周T 的关于β的充要条件是α-β=90°.12.指出下列各式中点z 所确定的平面图形,并作出草图.(1)arg π;(2);1(3)1|2;(4)Re Im ;(5)Im 1 2.z z z z i z z z z ==-<+<>><且解:(1)、argz =π.表示负实轴.(2)、|z -1|=|z |.表示直线z =12.(3)、1<|z +i|<2解:表示以-i 为圆心,以1和2为半径的周圆所组成的圆环域。
复变函数与积分变换(修订版)主编:马柏林(复旦大学出版社)——课后习题答案习题一1. 用复数的代数形式a +ib 表示下列复数π/43513;;(2)(43);711i i e i i i i i-++++++.①解i 4πππe cos isin 44-⎛⎫⎛⎫⎛⎫=-+- ⎪ ⎪ ⎪ ⎪⎝⎭⎝⎭⎝⎭ ②解: ()()()()35i 17i 35i 1613i7i 11+7i 17i 2525+-+==-++-③解: ()()2i 43i 834i 6i 510i ++=-++=+ ④解: ()31i 1335=i i i 1i 222-+-+=-+2.求下列各复数的实部和虚部(z =x +iy )(z a a z a -∈+); 333;;;.n z i ① :∵设z =x +iy则()()()()()()()22i i i i i i x a y x a y x y a x a y z a z a x y a x a y x a y-++-⎡⎤⎡⎤+--+-⎣⎦⎣⎦===+++++++ ∴()22222Re z a x a y z a x a y ---⎛⎫= ⎪+⎝⎭++,()222Im z a xy z a x a y-⎛⎫= ⎪+⎝⎭++. ②解: 设z =x +iy ∵()()()()()()()()323222222223223i i i 2i i 22i33iz x y x y x y x y xy x y x x y xy y x y x y x xy x y y =+=++=-++⎡⎤=--+-+⎣⎦=-+- ∴()332Re 3z x xy =-,()323Im 3z x y y =-.③解:∵(()(){}33232111313188-+⎡⎤⎡⎤==--⋅-⋅+⋅-⎢⎥⎢⎥⎣⎦⎣⎦⎝⎭()180i 18=+=∴Re 1=⎝⎭, Im 0=⎝⎭. ④解:∵()()(()2332313131i 8⎡⎤--⋅-⋅+⋅-⎢⎥⎣⎦=⎝⎭()180i 18=+=∴Re 1=⎝⎭, Im 0=⎝⎭.⑤解: ∵()()1,2i 211i,kn kn k k n k ⎧-=⎪=∈⎨=+-⋅⎪⎩. ∴当2n k =时,()()Re i 1k n =-,()Im i 0n =;当21n k =+时,()Re i 0n =,()()Im i 1kn =-.3.求下列复数的模和共轭复数12;3;(2)(32);.2ii i i +-+-++①解:2i -+==2i 2i -+=--②解:33-=33-=-③解:()()2i 32i 2i 32i ++=++=()()()()()()2i 32i 2i 32i 2i 32i 47i ++=+⋅+=-⋅-=-④解:1i 1i 22++==()1i 11i222i ++-⎛⎫== ⎪⎝⎭4、证明:当且仅当z z =时,z 才是实数.证明:若z z =,设i z x y =+,则有 i i x y x y +=-,从而有()2i 0y =,即y =0 ∴z =x 为实数.若z =x ,x ∈ ,则z x x ==. ∴z z =.命题成立.5、设z ,w ∈ ,证明: z w z w ++≤证明∵()()()()2z w z w z w z w z w +=+⋅+=++()()22222Re z z z w w z w wz zw z w w z wz w =⋅+⋅+⋅+⋅=++⋅+=++⋅()2222222z w z wz w z w z w ++⋅=++⋅=+≤∴z wz w ++≤.6、设z ,w ∈ ,证明下列不等式. ()2222Re z w z z w w +=+⋅+ ()2222Re z w z z w w -=-⋅+()22222z w z w z w++-=+并给出最后一个等式的几何解释.证明:()2222Re z w z z w w +=+⋅+在上面第五题的证明已经证明了.下面证()2222Re z w z z w w -=-⋅+.∵()()()()222z w z w z w z w z w z z w w z w-=-⋅-=--=-⋅-⋅+()222Re z z w w =-⋅+.从而得证.∴()22222z w z w z w++-=+几何意义:平行四边形两对角线平方的和等于各边的平方的和.7.将下列复数表示为指数形式或三角形式3352π2π;;1;8π(1);.cos sin 7199i i i i +⎛⎫--+ ⎪+⎝⎭ ①解:()()()()35i 17i 35i 7i 117i 17i +-+=++-3816i 198i e 5025i θ⋅--==其中8πarctan 19θ=-. ②解:e i i θ⋅=其中π2θ=.π2e ii =③解:ππi i 1e e -==④解:()28π116ππ3θ-==-.∴()2πi 38π116πe--+=⋅⑤解:32π2πcos isin 99⎛⎫+ ⎪⎝⎭ 解:∵32π2πcos isin 199⎛⎫+= ⎪⎝⎭.∴322πi π.3i 932π2πcos isin 1e e 99⋅⎛⎫+=⋅= ⎪⎝⎭8.计算:(1)i 的三次根;(2)-1的三次根;(3)的平方根.⑴i 的三次根. 解:()13ππ2π2πππ22cos sin cosisin 0,1,22233++⎛⎫+=+= ⎪⎝⎭k k i k∴1ππ1cosisin i 662=+=+z .2551cos πisin πi 662=+=+z3991cos πisin πi 662=+=-z⑵-1的三次根 解:()()132π+π2ππcos πisin πcosisin 0,1,233k k k ++=+=∴1ππ1cos isin 332=+=z2cos πisin π1=+=-z35513cos πisin πi 3322=+=--z⑶33i +的平方根.解: πi 42233i=6i 6e 22⎛⎫+⋅+=⋅ ⎪ ⎪⎝⎭∴()()1π12i 44ππ2π2π4433i 6e6cos isin 0,122k k k ⎛⎫++ ⎪+=⋅=⋅+= ⎪⎝⎭∴π11i 8441ππ6cos isin 6e 88⎛⎫=⋅+=⋅ ⎪⎝⎭z911πi 8442996cos πisin π6e 88⎛⎫=⋅+=⋅ ⎪⎝⎭z .9.设2πe,2inz n =≥. 证明:110n z z -+++=证明:∵2πi e nz ⋅= ∴1n z =,即10n z -=.∴()()1110n z z z --+++=又∵n ≥2. ∴z ≠1从而211+0n z z z -+++=11.设Γ是圆周{:},0,e .i z r r a c r z c α=>=+-令:Im 0z a L z b β⎧-⎫⎛⎫==⎨⎬⎪⎝⎭⎩⎭, 其中e i b β=.求出L β在a 切于圆周Γ的关于β的充分必要条件.解:如图所示.因为L β={z : Im z a b -⎛⎫⎪⎝⎭=0}表示通过点a 且方向与b 同向的直线,要使得直线在a 处与圆相切,则CA ⊥L β.过C 作直线平行L β,则有∠BCD =β,∠ACB =90° 故α-β=90°所以L β在α处切于圆周T 的关于β的充要条件是α-β=90°.12.指出下列各式中点z 所确定的平面图形,并作出草图.(1)arg π;(2);1(3)1|2;(4)Re Im ;(5)Im 1 2.z z z z i z z z z ==-<+<>><且解:(1)、argz =π.表示负实轴.(2)、|z -1|=|z |.表示直线z =12.(3)、1<|z +i|<2 解:表示以-i 为圆心,以1和2为半径的周圆所组成的圆环域。
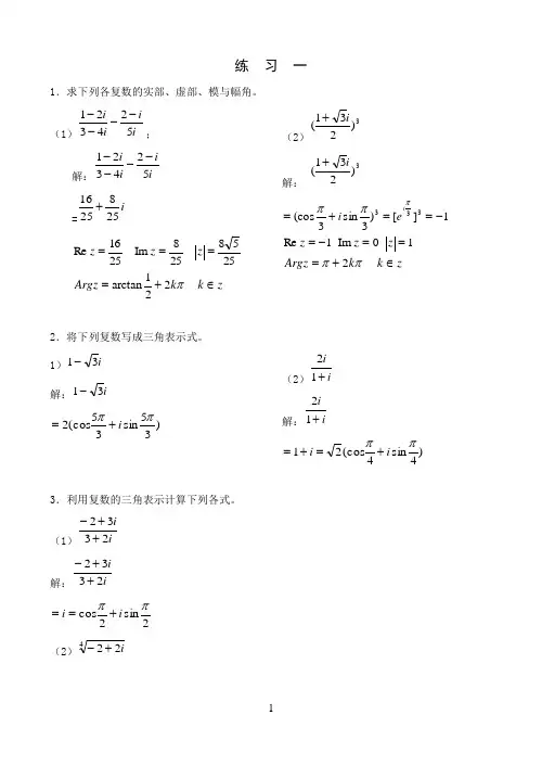
练 习 一1.求下列各复数的实部、虚部、模与幅角。
(1)i ii i 524321----; 解:i iii 524321---- =i 2582516+zk k Argz z z z ∈+====π221arctan 2558258Im 2516Re(2)3)231(i + 解: 3)231(i +zk k Argz z z z e i i∈+===-=-==+=πππππ210Im 1Re 1][)3sin3(cos3332.将下列复数写成三角表示式。
1)i 31- 解:i 31-)35sin 35(cos2ππi +=(2)i i +12 解:i i +12 )4sin4(cos21ππi i +=+=3.利用复数的三角表示计算下列各式。
(1)i i2332++- 解:i i 2332++- 2sin2cosππi i +==(2)422i +-解:422i +-41)]43sin 43(cos 22[ππi +=3,2,1,0]1683sin 1683[cos 2]424/3sin ]424/3[cos 28383=+++=+++=k k i k k i k ππππππ4..设321,,z z z 三点适合条件:321z z z ++=0,,1321===z z z 321,,z z z 是内接于单位圆z =1的一个正三角形的项点。
证:因,1321===z z z 所以321,,z z z 都在圆周32z z ++=0则,321z z z -=+1321=-=+z z z ,所以21z z +也在圆周1=z 上,又,12121==-+z z z z 所以以0,211,z z z +为顶点的三角形是正三角形,所以向量211z z z +与之间的张角是3π,同理212z z z +与之间的张角也是3π,于是21z z 与之间的张角是32π,同理1z 与3z ,2z 与3z 之间的张角都是32π,所以321,,z z z 是一个正三角形的三个顶点。
习题 七1.证明:如果f (t )满足傅里叶变换的条件,当f (t )为奇函数时,则有⎰+∞⋅=0d sin )()(ωωωt b t f其中()⎰+∞⋅=0tdt sin π2)(ωωt f b当f (t )为偶函数时,则有⎰+∞⋅=0cos )()(ωωtd w a t f其中⎰+∞⋅=02tdt c f(t))(ωωos a证明:因为ωωωd G t f t i ⎰+∞∞-=e )(π21)(其中)(ωG 为f (t )的傅里叶变换()()()(cos sin )i tG f t edt f t t i t dt ωωωω+∞+∞--∞-∞==⋅-⎰⎰()cos ()sin f t tdt i f t tdt ωω+∞+∞-∞-∞=⋅-⋅⎰⎰当f (t )为奇函数时,t cos f(t)ω⋅为奇函数,从而⎰+∞∞-=⋅0tdt cos f(t)ωt sin f(t)ω⋅为偶函数,从而⎰⎰+∞∞-+∞⋅=⋅0.sin f(t)2tdt sin f(t)tdt ωω故.sin f(t)2)(0tdt iG ωω⋅-=⎰+∞有)()(ωωG G -=-为奇数。
ωωωωπωωπωd t i t G d e G t f t i )sin (cos )(21)(21)(+⋅=⋅=⎰⎰+∞∞-+∞∞-=01()sin d ()sin d 2ππi G i t G t ωωωωωω+∞+∞-∞⋅=⋅⎰⎰ 所以,当f(t)为奇函数时,有2()b()sin d .b()=()sin dt.πf t t f t t ωωωωω+∞+∞=⋅⋅⎰⎰其中同理,当f(t)为偶函数时,有()()cos d f t a t ωωω+∞=⋅⎰.其中02()()cos πa f t tdt ωω+∞=⋅⎰ 2.在上一题中,设()f t =21,0,1t t t ⎧<⎪⎨≥⎪⎩.计算()a ω的值.解:1200111220012012011200222()()cos d cos d 0cos d πππ221cos d d(sin )ππ122sin sin 2d 0ππ2sin 4(cos )π2sin 4cos cos π2sin 4co a f t t t t t t t t t t t t t t t t t tt d t t t tdt ωωωωωωωωωωωωωωπωωωωωπωωπω+∞+∞=⋅=⋅+⋅=⋅=⋅=⋅⋅-⋅=⋅+⋅⎡⎤=+⋅-⎢⎥⎣⎦=+⎰⎰⎰⎰⎰⎰⎰⎰23s 4sin ωωπωπω-3.计算函数sin ,6π()0,6πt t f t t ⎧≤⎪=⎨≥⎪⎩的傅里叶变换. 解:[]6π6π6π6π6π02()()d sin d sin (cos sin )d 2sin sin d sin 6ππ(1)i t i t F f f t e t t e tt t i t ti t t t i ωωωωωωωω+∞---∞--=⋅=⋅=⋅-=-⋅=-⎰⎰⎰⎰4.求下列函数的傅里叶变换 (1)()tf t e -=解: []||(||)0(1)(1)2F f ()()d d d 2d d 1i t t i t t i t t i t i f te t e e t e te t e t ωωωωωωω+∞+∞+∞----+-∞-∞-∞+∞--+-∞==⋅==+=+⎰⎰⎰⎰⎰(2)2()t f t t e-=⋅解:因为22222/4F[].()(2)2.t t t t e ee e t t e ω-----==⋅-=-⋅而所以根据傅里叶变换的微分性质可得224()F()tG t e e ωω--=⋅=(3)2sin π()1tf t t =- 解:222202200sin π()F()()d 1sin π(cos sin )d 11[cos(π)cos(π)]sin πsin 2d 2d 11cos(π+)cos(π-)d d ()11sin ,||π20,|i tt G f e t t tt i t t t t t t t i t i t t t t t i t i t t t iωωωωωωωωωωωωω+∞--∞+∞-∞+∞+∞-∞+∞+∞==⋅-=⋅---+--⋅=-=---=----≤=⎰⎰⎰⎰⎰⎰利用留数定理当当|π.⎧⎪⎨⎪≥⎩(4)41()1f t t=+ 解:4444401cos sin ()d d d 111cos cos 2d d 11i tt t G e t t i t t t t t t t t t t ωωωωωω+∞+∞+∞--∞-∞-∞+∞+∞-∞==-+++==++⎰⎰⎰⎰⎰令41R(z)=1z +,则R(z)在上半平面有两个一级极1)i i +-+. R()d 2π[R())]2π[R()1)]i t i z i z t e t i Res z e i i Res z e i ωωω+∞-∞⋅=⋅⋅++⋅⋅-+⎰故.|244cos ||||d Re[d ]sin )1122i t t e t t t t ωωωωω+∞+∞--∞-∞=+++⎰⎰(5) 4()1tf t t =+ 解:4444()d 1sin cos d d 11sin d 1i t tG e t t t t t t t i t t t t t i tt ωωωωω+∞--∞+∞+∞-∞-∞+∞-∞=⋅+⋅=⋅-++⋅=-+⎰⎰⎰⎰ 同(4).利用留数在积分中的应用,令4R()=1zz z +则44|sin d ()Im(d )11sin22i tt tt e i t i t t t ie ωωωω+∞+∞-∞-∞-⋅⋅-=-++=-⋅⋅⎰⎰.5.设函数F (t )是解析函数,而且在带形区域Im()t δ<内有界.定义函数()L G ω为/2/2()()e d .L i t L L G F t t ωω--=⎰证明当L →∞时,有1p.v.()e d ()2πi t L G F t ωωω∞-∞→⎰ 对所有的实数t 成立.(书上有推理过程) 6.求符号函数 1,0sgn 1,0||t t t t t -<⎧==⎨>⎩的傅里叶变换. 解: 因为1F (())π().u t i δωω=+⋅把函数sgn()t 与u(t)作比较.不难看出 sgn()()().t u t u t =-- 故:[]11F[sgn()]F(())F(())π()[π()]π()22π()()t u t u t i i i i δωδωωδωδωωω=--=+⋅-+⋅--=+--=7.已知函数()f t 的傅里叶变换()00F()=π()(),ωδωωδωω++-求()f t解:[]000-100000001()F (F())=π()()d 2πF(cos )=cos d d 2π[()()]()cos i ti t i t i t i tf t e t t e te e e tf t tωωωωωωδωωδωωωωωδωωδωωω+∞-∞+∞--∞-+∞--∞=⋅++-⋅+=⋅=++-=⎰⎰⎰而所以8.设函数f (t )的傅里叶变换()F ω,a 为一常数. 证明1[()]().f at F a a ωω⎛⎫=⎪⎝⎭1F[()]()()d ()d()i t i t f at f at e t f at e at a ωωω+∞+∞---∞-∞=⋅=⋅⎰⎰解:当a >0时,令u=at .则11F[()]()()d u i a f at f u e u F a a a ωωω-+∞-∞⎛⎫=⋅= ⎪⎝⎭⎰当a <0时,令u=at ,则1F[()]()F()f at a aωω=-. 故原命题成立.9.设()[]();F F f ωω=证明()()[]()F f t ωω=--F .证明:()[]()()()()()[]()[]()()[]()()e d e d e d e d e d .i t i u i i u u i t F f t f uf t u t f u f uu u f t F t ωωωωωωω+∞+∞--∞-∞+∞+∞--⋅-⋅--∞-∞+∞-⋅--∞=⋅=-⋅--=⋅=⋅=⋅=-⎰⎰⎰⎰⎰10.设()[]()F F f ωω=,证明:()[]()()()0001cos 2F f t F F t ωωωωωω⋅=-++⎡⎤⎣⎦以及()[]()()()0001sin .2F f t F F t ωωωωωω⋅=--+⎡⎤⎣⎦ 证明:()[]()()()()()0000000e +e cos 21e e 22212i t i t i t i t F f t F t f t F F f f t t F F ωωωωωωωωω--⎡⎤⋅=⋅⎢⎥⎣⎦⎧⎫⎡⎤⎡⎤=+⋅⋅⎨⎬⎢⎥⎢⎥⎣⎦⎣⎦⎩⎭=-++⎡⎤⎣⎦同理:()[]()()(){}()()0000000e e sin 21e e 212i t i t i t i t Ff t F f t t i F F f f t t i F F i ωωωωωωωωω--⎡⎤-⋅=⋅⎢⎥⎣⎦=-⎡⎤⎡⎤⋅⋅⎣⎦⎣⎦=--+⎡⎤⎣⎦ 11.设()()π0,0sin ,0t 200e ,t t t f g t t t -⎧<⎧≤≤⎪==⎨⎨≥⎩⎪⎩,其他计算()*f g t . 解:()())*(d f y g y t f g t y +∞-∞-=⎰当t y o -≥时,若0,t <则()0,f y =故()*f g t =0.若0,0,2t y t π<≤<≤则()()()0()d sin d *t ty f y g y e y t f g t y t y -=⋅--=⎰⎰若,0..222t t y t y t πππ>≤-≤⇒-≤≤则()()2sin d *ty t e y t f g y t π--⋅-=⎰故()()()20,01,0sin cos e *221e .1e 22t t t t t t f g t t πππ--<⎧⎪⎪<≤-+=⎨⎪⎪>+⎩12.设()u t 为单位阶跃函数,求下列函数的傅里叶变换.()()()0e sin 1at f t u t t ω-=⋅()()()()()()()00000000002002e sin e e sin e e e e e 211e d d d d e 2d 2at i t at i t i t i t ati ta i t a i t ttG F t u f t t t i i i t t a i ωωωωωωωωωωωωωωωω+∞-∞+∞+∞+∞+--------+--++⎡⎤⎡⎤⎣∞⎣⎦⎦=====-=⋅⋅⋅⋅⋅-⋅⋅++⎰⎰⎰⎰⎰解:习题八1.求下列函数的拉普拉斯变换.(1)()sin cos f t t t =⋅,(2)4()etf t -=,(3)2()sin f t t= (4)2()f t t =, (5)()sinh f t bt=解: (1) 1()sin cos sin 22f t t t t =⋅=221121(())(sin 2)2244L f t L t s s ==⋅=++(2)411(())(e )24tL f t L s -==+(3)21cos 2()sin 2t f t t -==221cos21111122(())()(1)(cos2)222224(4)t L f t L L t s s s s -==-=⋅-⋅=++(4)232()L t s = (5)22e e 111111(())()(e )(e )22222bt bt bt bt bL f t L L L s b s b s b ---==-=⋅-⋅=-+-2.求下列函数的拉普拉斯变换.(1)2,01()1,120,2t f t t t ≤<⎧⎪=≤<⎨⎪≥⎩(2)cos ,0π()0,πt t f t t ≤<⎧=⎨≥⎩解: (1) 1220011(())()e 2e e (2e e )st st st s s L f t f t dt dt dt s +∞-----=⋅=⋅+=--⎰⎰⎰(2)πππ2011e (())()e cos e (1e )1s ststsL f t f t dt t dt s s -+∞---+=⋅=⋅=+++⎰⎰3.设函数()cos ()sin ()f t t t t u t δ=⋅-⋅,其中函数()u t 为阶跃函数, 求()f t 的拉普拉斯变换.解:20222(())()e cos ()e sin ()e cos ()e sin e 11cos e 1111st st st st st stt L f t f t dt t t dt t u t dtt t dt t dts t s s s δδ+∞+∞+∞---+∞+∞---∞-==⋅=⋅⋅-⋅⋅=⋅⋅-⋅=⋅-=-=+++⎰⎰⎰⎰⎰4.求图8.5所表示的周期函数的拉普拉斯变换解:2()e 1(())1e (1e )Tst T T as as f t dt as aL f t s s ---⋅+==---⎰5. 求下列函数的拉普拉斯变换.(1)()sin 2tf t lt l=⋅ (2)2()e sin5t f t t -=⋅(3)()1e t f t t =-⋅ (4)4()e cos4t f t t-=⋅(5()(24)f t u t =- (6()5sin 23cos 2f t t t =-(7) 12()e t f t t δ=⋅ (8) 2()32f t t t =++解:(1)222222221()sin [()sin ]221()(())(sin )[()sin ]22112()22()()tf t lt t lt l lt F s L f t L lt L t lt l ll ls s l s l l s l s l =⋅=--⋅==⋅=--⋅-'=-=-⋅=+++(2)225()(())(e sin 5)(2)25t F s L f t L t s -==⋅=++21(3)()(())(1e )(1)(e )(e )1111()1(1)t t t F s L f t L t L L t L t ss s s s ==-⋅=-⋅=+-⋅'=+=--- (4)424()(())(ecos 4)(4)16ts F s L f t L t s -+==⋅=++ (5)1,2(24)0,t u t >⎧-=⎨⎩其他22()(())((24))=(24)e 1=e =e st stsF s L f t L u t u t dtdt s∞-∞--==--⋅⎰⎰(6)222()(())(5sin 23cos2)5(sin 2)3(cos2)210353444F s L f t L t t L t L t s ss s s ==-=--=⋅-⋅=+++ (7)12332213(1)()22()(())(e )()()t F s L f t L t s s δδδΓ+Γ==⋅==-- (8)2221()(())(32)()3()2(1)(232)F s L f t L t t L t L t L s s s ==++=++=++6.记[]()()L f s F s =,对常数0s ,若00Re()s s δ->,证明00[e ]()()s t L f s F s s ⋅=-证明:00000()()00[e ]()e ()e ()e()e ()s t s tsts s ts s t L f s f t dtf t dt f t dt F s s ∞-∞∞---⋅=⋅⋅=⋅=⋅=-⎰⎰⎰7 记[]()()L f s F s =,证明:()()[(t)()]()n nF s L f t s =-⋅证明:当n=1时,0()()e st F s f t dt +∞-=⋅⎰0()[()e ][()e ]()e (())st stst F s f t dt f t dt t f t dt L t f t s+∞--+∞+∞-''=⋅∂⋅==-⋅⋅=-⋅∂⎰⎰⎰所以,当n=1时, ()()[(t)()]()n nFs L f t s =-⋅显然成立。
复变函数与积分变换(修订版)主编:马柏林(复旦大学出版社)——课后习题答案习题一1. 用复数的代数形式a +ib 表示下列复数π/43513;;(2)(43);711i i e i i i i i-++++++.①解i 4πππe cos isin 44-⎛⎫⎛⎫⎛⎫=-+- ⎪ ⎪⎪ ⎪⎝⎭⎝⎭⎝⎭ ②解: ()()()()35i 17i 35i 1613i7i 11+7i 17i 2525+-+==-++-③解: ()()2i 43i 834i 6i 510i ++=-++=+ ④解:()31i 1335=i i i 1i 222-+-+=-+2.求下列各复数的实部和虚部(z =x +iy )(z a a z a -∈+); 333;;;.n z i ①:∵设z =x +iy则()()()()()()()22i i i i i i x a y x a y x y a x a y z a z a x y a x a y x a y -++-⎡⎤⎡⎤+--+-⎣⎦⎣⎦===+++++++ ∴()22222Re z a x a y z a x a y ---⎛⎫= ⎪+⎝⎭++,()222Im z a xy z a x a y -⎛⎫= ⎪+⎝⎭++. ②解: 设z =x +iy∵()()()()()()()()323222222223223i i i 2i i 22i33iz x y x y x y x y xy x y x x y xy y x y x y x xy x y y =+=++=-++⎡⎤=--+-+⎣⎦=-+- ∴()332Re 3z x xy =-, ()323Im 3z x y y =-.③解:∵(()(){}33232111313188-+⎡⎤⎡⎤==--⋅-⋅+⋅-⎢⎥⎢⎥⎣⎦⎣⎦⎝⎭()180i 18=+=∴Re 1=⎝⎭, Im 0=⎝⎭. ④解:∵()()(()2332313131i 8⎡⎤--⋅-⋅+⋅-⎢⎥⎣⎦=⎝⎭()180i 18=+=∴Re 1=⎝⎭, Im 0=⎝⎭.⑤解: ∵()()1,2i 211i,knkn k k n k ⎧-=⎪=∈⎨=+-⋅⎪⎩. ∴当2n k =时,()()Re i 1k n =-,()Im i 0n =;当21n k =+时,()Re i 0n =,()()Im i 1kn =-.3.求下列复数的模和共轭复数12;3;(2)(32);.2ii i i +-+-++①解:2i -+=2i 2i -+=--②解:33-=33-=-③解:()()2i 32i 2i 32i ++=++=()()()()()()2i 32i 2i 32i 2i 32i 47i ++=+⋅+=-⋅-=-④解:1i 1i 22++==()1i 11i222i ++-⎛⎫== ⎪⎝⎭4、证明:当且仅当z z =时,z 才是实数.证明:若z z =,设i z x y =+,则有 i i x y x y +=-,从而有()2i 0y =,即y =0 ∴z =x 为实数.若z =x ,x ∈ ,则z x x ==. ∴z z =.命题成立.5、设z ,w ∈ ,证明: z w z w ++≤证明∵()()()()2z w z w z w z w z w +=+⋅+=++()()22222Re z z z w w z w wz zw z w w z wz w =⋅+⋅+⋅+⋅=++⋅+=++⋅()2222222z w z wz w z w z w ++⋅=++⋅=+≤∴z wz w ++≤.6、设z ,w ∈ ,证明下列不等式. ()2222Re z w z z w w +=+⋅+ ()2222Re z w z z w w -=-⋅+()22222z w z w z w++-=+并给出最后一个等式的几何解释.证明:()2222Re z w z z w w +=+⋅+在上面第五题的证明已经证明了. 下面证()2222Re z w z z w w -=-⋅+.∵()()()()222z w z w z w z w z w z z w w z w-=-⋅-=--=-⋅-⋅+()222Re z z w w =-⋅+.从而得证.∴()22222z w z w z w++-=+几何意义:平行四边形两对角线平方的和等于各边的平方的和. 7.将下列复数表示为指数形式或三角形式3352π2π;;1;8π(1);.cos sin 7199i i i i +⎛⎫--+ ⎪+⎝⎭ ①解:()()()()35i 17i 35i 7i 117i 17i +-+=++-3816i 198i e 5025i θ⋅--===其中8πarctan 19θ=-. ②解:e i i θ⋅=其中π2θ=.π2e ii =③解:ππi i 1e e -==④解:()28π116ππ3θ-==-.∴()2πi 38π116πe--+=⋅⑤解:32π2πcos isin 99⎛⎫+ ⎪⎝⎭解:∵32π2πcos isin 199⎛⎫+= ⎪⎝⎭.∴322πi π.3i 932π2πcos isin 1e e 99⋅⎛⎫+=⋅= ⎪⎝⎭8.计算:(1)i 的三次根;(2)-1的三次根;(3)的平方根. ⑴i 的三次根.解:()13ππ2π2πππ22cos sin cosisin 0,1,22233++⎛⎫+=+= ⎪⎝⎭k k i k∴1ππ1cos isin i 662=+=+z . 2551cos πisin πi 662=+=z3991cos πisin πi 662=+=-z⑵-1的三次根 解:()()132π+π2ππcos πisin πcosisin 0,1,233k k k ++=+=∴1ππ1cos isin 332=+=z2cos πisin π1=+=-z3551cos πisin π332=+=-z的平方根.πi 4e ⎫⎪⎪⎝⎭)()1π12i44ππ2π2π44e6cos isin 0,122k k k ⎛⎫++ ⎪=⋅+= ⎪⎝⎭∴π11i 8441ππ6cos isin 6e 88⎛⎫=⋅+=⋅ ⎪⎝⎭z911πi 8442996cos πisin π6e 88⎛⎫=⋅+=⋅ ⎪⎝⎭z .9.设2πe,2inz n =≥. 证明:110n z z -+++=证明:∵2πi e nz ⋅= ∴1n z =,即10n z -=.∴()()1110n z z z --+++=又∵n ≥2. ∴z ≠1从而211+0n z z z -+++=11.设Γ是圆周{:},0,e .i z r r a c r z c α=>=+-令:Im 0z a L z b β⎧-⎫⎛⎫==⎨⎬⎪⎝⎭⎩⎭, 其中e i b β=.求出L β在a 切于圆周Γ的关于β的充分必要条件. 解:如图所示.因为L β={z : Im z a b -⎛⎫⎪⎝⎭=0}表示通过点a 且方向与b 同向的直线,要使得直线在a 处与圆相切,则CA⊥L β.过C 作直线平行L β,则有∠BCD =β,∠ACB =90° 故α-β=90°所以L β在α处切于圆周T 的关于β的充要条件是α-β=90°.12.指出下列各式中点z 所确定的平面图形,并作出草图.(1)arg π;(2);1(3)1|2;(4)Re Im ;(5)Im 1 2.z z z z i z z z z ==-<+<>><且解:(1)、argz =π.表示负实轴.(2)、|z -1|=|z |.表示直线z =12.(3)、1<|z +i|<2解:表示以-i 为圆心,以1和2为半径的周圆所组成的圆环域。
《工程数学-复变函数与积分变换》课后习题详解大学数学学院 (主编:王忠仁 静)高等教育 习题一(P12)1.1 对任何z ,22z z =是否成立?如果是,就给出证明。
如果不是,对哪些z 值才成立?解:设z x iy =+,则2222z x y xyi =-+,222z x y =+;若22z z =成立,则有22222x y xyi x y -+=+,即222220x y x yxy ⎧-=+⎨=⎩,解得0y =,即z x =。
所以,对任何z ,22z z =不成立,只对z 为实数时才成立。
1.2 求下列各式的值:(1)5)i ; (2)6(1)i +; (3; (4)13(1)i -。
解:(162ii eπ-=,所以555556661)223232())2i i i i e e e i i πππ--⨯-⎛⎫====-=- ⎪⎝⎭(2)因为41ii e π+=,所以63663442(1)288i i i e e e i πππ⨯⎫+====-⎪⎭(3)因为1cos sin i ππ-=+,所以()1622cos sin cossin66k k k w i i ππππππ++==+=+,其中0,1,2,3,4,5k =;即01cossin6622w i i ππ=+=+,1cos sin 22w i i ππ=+=,2551cossin 662w i i ππ=+=+,3771cos sin 662w i i ππ=+=-,433cossin 22w i i ππ=+=-,511111cos sin 662w i i ππ=+=-。
(4)因为1cos()sin()44i i ππ⎤-=-+-⎥⎦,所以11362244(1)2cos sin 33k k k w i i ππππ⎡⎤-+-+⎢⎥=-=+⎢⎥⎢⎥⎣⎦,其中0,1,2k =;即1602cos()sin()1212w i ππ⎡⎤=-+-⎢⎥⎣⎦,161772cos sin1212w i ππ⎡⎤=+⎢⎥⎣⎦,162552cos sin 44w i ππ⎡⎤=+⎢⎥⎣⎦。
复变函数与积分变换(修订版)主编:马柏林(复旦大学出版社)——课后习题答案习题一1. 用复数的代数形式a +ib 表示下列复数π/43513;;(2)(43);711i i e i i i i i-++++++.①解i 4πππe cos isin 44-⎛⎫⎛⎫⎛⎫=-+- ⎪ ⎪ ⎪ ⎪⎝⎭⎝⎭⎝⎭ ②解: ()()()()35i 17i 35i 1613i7i 11+7i 17i 2525+-+==-++-③解: ()()2i 43i 834i 6i 510i ++=-++=+ ④解:()31i 1335=i i i 1i 222-+-+=-+2.求下列各复数的实部和虚部(z =x +iy )(z a a z a -∈+); 333;;;.n z i ① :∵设z =x +iy则()()()()()()()22i i i i i i x a y x a y x y a x a y z a z a x y a x a y x a y-++-⎡⎤⎡⎤+--+-⎣⎦⎣⎦===+++++++ ∴()22222Re z a x a yz a x a y ---⎛⎫= ⎪+⎝⎭++,()222Im z a xy z a x a y-⎛⎫= ⎪+⎝⎭++. ②解: 设z =x +iy ∵()()()()()()()()323222222223223i i i 2i i 22i33iz x y x y x y x y xy x y x x y xy y x y x y x xy x y y =+=++=-++⎡⎤=--+-+⎣⎦=-+- ∴()332Re 3z x xy =-,()323Im 3z x y y =-.③解:∵(()(){}33232111313188-+⎡⎤⎡⎤==--⋅-⋅+⋅-⎢⎥⎢⎥⎣⎦⎣⎦⎝⎭()180i 18=+=∴Re 1=⎝⎭, Im 0=⎝⎭. ④解:∵()()(()2332313131i 8⎡⎤--⋅-⋅+⋅-⎢⎥⎣⎦=⎝⎭()180i 18=+=∴Re 1=⎝⎭, Im 0=⎝⎭.⑤解: ∵()()1,2i 211i,knkn k k n k ⎧-=⎪=∈⎨=+-⋅⎪⎩.∴当2n k =时,()()Re i 1k n =-,()Im i 0n =; 当21n k =+时,()R e in=,()()Im i 1kn =-.3.求下列复数的模和共轭复数12;3;(2)(32);.2ii i i +-+-++①解:2i -+==2i 2i -+=--②解:33-=33-=-③解:()()2i 32i 2i 32i ++=++=()()()()()()2i 32i 2i 32i 2i 32i 47i ++=+⋅+=-⋅-=-④解:1i 1i 22++== ()1i 11i222i ++-⎛⎫== ⎪⎝⎭4、证明:当且仅当z z =时,z 才是实数.证明:若z z =,设i z x y =+,则有 i i x y x y +=-,从而有()2i 0y =,即y =0 ∴z =x 为实数.若z =x ,x ∈ ,则z x x ==.∴z z =.命题成立.5、设z ,w ∈ ,证明: z w z w ++≤证明∵()()()()2z w z w z w z w z w +=+⋅+=++()()22222Re z z z w w z w wz zw z w w z wz w =⋅+⋅+⋅+⋅=++⋅+=++⋅()2222222z w z wz w z w z w ++⋅=++⋅=+≤∴z wz w ++≤.6、设z ,w ∈ ,证明下列不等式. ()2222Re z w z z w w +=+⋅+ ()2222Re z w z z w w -=-⋅+()22222z w z w z w++-=+并给出最后一个等式的几何解释.证明:()2222Re z w z z w w +=+⋅+在上面第五题的证明已经证明了.下面证()2222Re z w z z w w -=-⋅+.∵()()()()222z w z w z w z w z w z z w w z w-=-⋅-=--=-⋅-⋅+()222Re z z w w =-⋅+.从而得证.∴()22222z w z w z w++-=+几何意义:平行四边形两对角线平方的和等于各边的平方的和.7.将下列复数表示为指数形式或三角形式3352π2π;;1;8π(1);.cos sin 7199i i i i +⎛⎫--+ ⎪+⎝⎭ ①解:()()()()35i 17i 35i 7i 117i 17i +-+=++-3816i 198i e 5025i θ⋅--===其中8πarctan 19θ=-. ②解:e i i θ⋅=其中π2θ=.π2e i i =③解:ππi i 1e e -==④解:()28π116ππ3θ-==-.∴()2πi 38π116πe--+=⋅⑤解:32π2πcos isin 99⎛⎫+ ⎪⎝⎭ 解:∵32π2πcos isin 199⎛⎫+= ⎪⎝⎭.∴322πi π.3i 932π2πcos isin 1e e 99⋅⎛⎫+=⋅= ⎪⎝⎭8.计算:(1)i 的三次根;(2)-1的三次根;(3)的平方根.⑴i 的三次根. 解:()13ππ2π2πππ22cos sin cosisin 0,1,22233++⎛⎫+=+= ⎪⎝⎭k k i k∴1ππ1cosisin i 662=+=+z .2551cos πisin πi 662=+=+z3991cos πisin πi 662=+=-z⑵-1的三次根 解:()()132π+π2ππcos πisin πcosisin 0,1,233k k k ++=+=∴1ππ1cos isin 332=+=z2cos πisin π1=+=-z3551cos πisin π332=+=-z的平方根.πi4e⎫⎪⎪⎝⎭∴)()1π12i44ππ2π2π44e6cos isin0,122k kk⎛⎫++⎪=⋅+=⎪⎝⎭∴π11i8441ππ6cos isin6e88⎛⎫=⋅+=⋅⎪⎝⎭z911πi8442996cosπisinπ6e88⎛⎫=⋅+=⋅⎪⎝⎭z.9.设2πe,2inz n=≥. 证明:110nz z-+++=证明:∵2πie nz⋅=∴1nz=,即10nz-=.∴()()1110nz z z--+++=又∵n≥2.∴z≠1从而211+0nz z z-+++=11.设Γ是圆周{:},0,e.iz r r a c rz cα=>=+-令:Im0z aL zbβ⎧-⎫⎛⎫==⎨⎬⎪⎝⎭⎩⎭,其中e ibβ=.求出Lβ在a切于圆周Γ的关于β的充分必要条件.解:如图所示.因为Lβ={z: Imz ab-⎛⎫⎪⎝⎭=0}表示通过点a且方向与b同向的直线,要使得直线在a处与圆相切,则CA⊥Lβ.过C作直线平行Lβ,则有∠BCD=β,∠ACB=90°故α-β=90°所以Lβ在α处切于圆周T的关于β的充要条件是α-β=90°.12.指出下列各式中点z所确定的平面图形,并作出草图.(1)argπ;(2);1(3)1|2;(4)Re Im;(5)Im1 2.zz zz iz zz z==-<+<>><且解:(1)、argz=π.表示负实轴.(2)、|z-1|=|z|.表示直线z=12.(3)、1<|z+i|<2解:表示以-i为圆心,以1和2为半径的周圆所组成的圆环域。
(含答案)复变函数与积分变换习题解析2习题2.11. 判断下列命题的真假,若真,给出证明;若假,请举例说明.(1)如果()f z 在0z 连续,那么0()f z '存在.(2)如果0()f z '存在,那么)(z f 在0z 解析.(3)如果0z 是()f z 的奇点,那么()f z 在0z 不可导.(4)如果0z 是()f z和()g z 的⼀个奇点,那么0z 也是()()f z g z +和()()f z g z ?的奇点.(5)如果(,)u x y 和(,)v x y 可导,那么()(,)(,)f z u x y iv x y =+亦可导.2.应⽤导数定义讨论函数)Re()(z z f =的可导性,并说明其解析性.3.证明函数在0z =处不可导.习题2.21. 设试证)(z f 在原点满⾜柯西-黎曼⽅程,但却不可导.(提⽰:沿抛物线x y =2趋向于原点)2. 判断下列函数在何处可导,何处解析,并在可导处求出其导数.(1)y ix xy z f222)(+=;(2)i y x y x z f 22332)(+-=;(3)=)(z f232z z -+;(4)22()2(1(2)f z x y i x y y =-+-+). 3.(1 (2 (3)iy x z f 2)(+=;(4 4. (1)iz z z f 2)(3+=;(25. 讨论下列各函数的解析性.(1)3223()33f z x x yi xy y i =+--;(2 (0)z ≠;(3)1(33)x iy ω-=-;(4习题2.31. 证明下列u 或v 为某区域的调和函数,并求解析函数()f z u iv =+.(1)2(1)u x y =-;(2)3223u x x xy =-+;(3)323u x xy =-;(4)23v xy x =+;(5)x y x v 222+-=;(62. 求k 值使22ky x u +=为调和函数,并求满⾜1)(-=i f 的解析函数iv u z f +=)(.3. 设函数iv u z f +=)(是⼀个解析函数,且y x xy y x y x v u 22332233---+-=+,求iv u z f +=)(.4. 证明:如果函数iv u z f +=)(在区域D 内解析,并满⾜下列条件之⼀,则)(z f 是常数.(1(2(3(4(5.5.(1(2)u -是v 的共轭调和函数.6. 如果iv u z f +=)(是z 的解析函数,证明:(1(2习题2.41.(2 (3(4(5(6)()i Ln e ;(7)i 3;(8)i i )1(+;(9)1(34)i i ++;(10))1sin(i +;(11)cos(5)i π+;(12)i ei cos 1++π.2(1 (2)0cos sin =+z z .3. (1 (2 (34.证明:(1)121212sin()sin cos cos sin z z z z z z +=+,212121sin sin cos cos )cos(z z z z z z -=+;2)1cos sin 22=+z z ;(3(4 (55.证明:(1)122=-z sh z ch ;(2)z ch z sh z ch 222=+;(3)cos sin shz shx y ichx y =+,cos sin chz chx y ishx y =+;(4)212121)(shz chz chz shz z z sh +=+,212121)(shz shz chz chz z z ch +=+.复习题⼆⼀、单项选择题1.D2.C3.B4.A5.C6.C7.A8.A9.D 10.C 11.C 12.B⼀、单项选择题1. ). D.z sin2. 下列说法正确的是().A.函数的连续点⼀定不是奇点B.可微的点⼀定不是奇点C.)(z f 在区域D 内解析,则)(z f 在D 内⽆奇点D.不存在处处不可导的函数3. 下列说法错误的是(). A.如果)(z f 在点0z 解析,则)(z f 在点0z 可导B.如果0z 是)(z f 的奇点,则)(0z f '不存在C.如果)(z f 在区域D 内可导,则)(z f 在D 内解析D.如果)(z f 在点0z 可导,则)(z f 在点0z 连续 4. 下列说法正确的是().A.iv u z f +=)(在区域D内解析,则v u ,都是调和函数B.如果v u ,都是区域D 内的调和函数,则iv u +是D 内的解析函数C.如果v u ,满⾜C-R ⽅程,则v u ,都是调和函数D.iv u +是解析函数的充要条件是v u ,都是调和函数5. 设函数iv u z f +=)(解析,则下列命题中错误的是().A.v u ,均为调和函数B.v 是u 的共轭调和函数C.u 是v 的共轭调和函数D.u -是v 的共轭调和函数6. 设函数iv u z f +=)(在区域D 内解析,下列等式中错误的是().7. 设在区域D 内v 为u 的共轭调和函数,则下列函数中为D 内解析函数的是(). A.iu v - B.iu v + C.iv u - D.x x iv u -8. 函数z z z f Im )(2=在0=z 处的导数(). A. 等于0 B. 等于1 C. 等于 -1 D. 不存在9. 下列数中为实数的是().A. 3)1(i -B. i sinC. LniD. i e π-310. 下列函数中是解析函数的是().A.xyi y x 222--B.xyi x +2 C. )2()1(222x x y i y x +-+- D. 33iy x + 11. 设z z f cos )(=,则下列命题中,不正确的是(). A. )(z f 在复平⾯上处处解析 B. )(z f 以π2为周期12. 设Lnz =ω是对数函数,则下列命题正确的是().A. nLnz Lnz n =B. 2121Lnz Lnz z Lnz +=因为x z =是实常数,所以x Lnx Lnz ln ==⼆、填空题在区域D 内三、计算题1. 指出下列函数的解析区域和奇点,并求出其导数.(1)zzezf z sincos)(+-=;(2(3(4(5(62..(1(3(53. 试证下列函数为调和函数,并求出相应的解析函数ivu)(.(1)xu=;(2)xy u=;(3)3223236yxyyxxu+--=;(4(5)yev x sin2=;(64. 已知22y=-,试确定解析函数ivuzf+=)(.5. 函数yxv+=是yxu+=的共轭调和函数吗?为什么?6.(1(2)ie43+;(3)Lni;(4(5(6)i-13;(7(8四、证明题1. 若函数xu和),(yxv都具有⼆阶连续偏导数,且满⾜拉普拉斯⽅程,现令x yvus-=,yxvut+=,则2. 设)(zf与)(zg都在,0()0g z'≠,证明第⼆章习题、复习题参考答案习题2.11.(1)假(2)假(3)假(4)假(5)假2. 函数)zf=处处不可导,处处不解析.习题2.22.(1)在0z =处可导,处处不解析,导数(0)0f '=;(2)在点)0,0(和处可导,处处不解析,导数0)0(='f ,(3)处处可导,(44.(1(25.(1(3.习题2.31.(1)ci iz z z f ++=22)(;(2)ci z z z f +-=32)(;(3)=)(z f 3z ci +;(4)=)(z f 23z iz c ++;(5)c iz iz z f ++=2)(2;(62.1k =-;2()f z z =.3.c y y x y v c x xy x u --+-=+--=23,232323,c i z z z f )1(2)(3-+-=. 习题2.41.(1 (2 (3)k )1(-)(Z k ∈;((5(6(7)3ln 2i k e e π-)(Zk ∈;(9 ((2.(1 (23.(1)正确;(2)正确;(3)正确.复习题⼆⼆、填空题2.0;3.c uv +2(c 为实常数);4.3,1,3-==-=n m l ;5.i +1;6.常数;8.ic ixy y x ++-222或ic z +2(c 为常数);9.i -; 10.πk e 2-),2,1,0(Λ±±=k .三、计算题1.(1(2(3(4(5(6z z z f cot csc )(-='.2.(1)在复平⾯内处处不可导,处处不解析;(2)在0=z 处可导,但在复平⾯内处处不解析,0)0(='f ;(3)在复平⾯内处处不可导,处处不解析;6.(1)4e -;(2))4sin 4(cos 3i e +;(3(4(6 (7。
…复变函数与积分变换(修订版)主编:马柏林(复旦大学出版社)/——课后习题答案习题一1. 用复数的代数形式a +ib 表示下列复数π/43513;;(2)(43);711i i e i i i i i-++++++.①解i 4πππ2222e cos isin i i 442222-⎛⎫⎛⎫⎛⎫=-+-=+-=- ⎪ ⎪ ⎪ ⎪⎝⎭⎝⎭⎝⎭ ②解: ()()()()35i 17i 35i 1613i7i 11+7i 17i 2525+-+==-++-③解: ()()2i 43i 834i 6i 510i ++=-++=+ ④解:()31i 1335=i i i 1i 222-+-+=-+2.求下列各复数的实部和虚部(z =x +iy )(z a a z a -∈+); 3331313;;;.22n i i z i ⎛⎫⎛⎫-+-- ⎪ ⎪⎝⎭⎝⎭① :∵设z =x +iy则()()()()()()()22i i i i i i x a y x a y x y a x a y z a z a x y a x a y x a y-++-⎡⎤⎡⎤+--+-⎣⎦⎣⎦===+++++++ ∴()22222Re z a x a y z a x a y ---⎛⎫= ⎪+⎝⎭++,()222Im z a xy z a x a y-⎛⎫= ⎪+⎝⎭++. ②解: 设z =x +iy ∵()()()()()()()()323222222223223i i i 2i i 22i33iz x y x y x y x y xy x y x x y xy y x y x y x xy x y y =+=++=-++⎡⎤=--+-+⎣⎦=-+- ∴()332Re 3z x xy =-,()323Im 3z x y y =-.③解: ∵()()()()(){}332321i 31i 3113133133288-+⎛⎫-+⎡⎤⎡⎤==--⋅-⋅+⋅-⋅-⎪ ⎪⎢⎥⎢⎥⎣⎦⎣⎦⎝⎭()180i 18=+=∴1i 3Re 12⎛⎫-+= ⎪ ⎪⎝⎭, 1i 3Im 02⎛⎫-+= ⎪ ⎪⎝⎭. ④解:∵()()()()()2332313133133i 1i 328⎡⎤--⋅-⋅-+⋅-⋅-⎛⎫⎢⎥-+⎣⎦= ⎪ ⎪⎝⎭()180i 18=+=∴1i 3Re 12⎛⎫-+= ⎪ ⎪⎝⎭, 1i 3Im 02⎛⎫-+= ⎪ ⎪⎝⎭. ⑤解: ∵()()1,2i 211i,knkn k k n k ⎧-=⎪=∈⎨=+-⋅⎪⎩.∴当2n k =时,()()Re i 1k n =-,()Im i 0n =; 当21n k =+时,()Re i 0n =,()()Im i 1kn =-.3.求下列复数的模和共轭复数12;3;(2)(32);.2ii i i +-+-++ ①解:2i 415-+=+=.2i 2i -+=--②解:33-=33-=-③解:()()2i 32i 2i 32i 51365++=++=⋅=.()()()()()()2i 32i 2i 32i 2i 32i 47i ++=+⋅+=-⋅-=-④解:1i 1i 2222++== ()1i 11i222i ++-⎛⎫== ⎪⎝⎭4、证明:当且仅当z z =时,z 才是实数.证明:若z z =,设i z x y =+,则有 i i x y x y +=-,从而有()2i 0y =,即y =0 ∴z =x 为实数.若z =x ,x ∈,则z x x ==.∴z z =.命题成立.5、设z ,w ∈,证明: z w z w ++≤证明∵()()()()2z w z w z w z w z w +=+⋅+=++()()22222Re z z z w w z w wz zw z w w z wz w =⋅+⋅+⋅+⋅=++⋅+=++⋅()2222222z w z wz w z w z w ++⋅=++⋅=+≤∴z wz w ++≤.6、设z ,w ∈,证明下列不等式. ()2222Re z w z z w w +=+⋅+ ()2222Re z w z z w w -=-⋅+()22222z w z w z w++-=+并给出最后一个等式的几何解释.证明:()2222Re z w z z w w +=+⋅+在上面第五题的证明已经证明了.下面证()2222Re z w z z w w -=-⋅+.∵()()()()222z w z w z w z w z w z z w w z w-=-⋅-=--=-⋅-⋅+()222Re z z w w =-⋅+.从而得证.∴()22222z w z w z w++-=+几何意义:平行四边形两对角线平方的和等于各边的平方的和.7.将下列复数表示为指数形式或三角形式 3352π2π;;1;8π(13);.cos sin 7199i i i i i +⎛⎫--+ ⎪+⎝⎭ ①解:()()()()35i 17i 35i 7i 117i 17i +-+=++-3816i 198i 17e 5025i θ⋅--==其中8πarctan 19θ=-. ②解:e i i θ⋅=其中π2θ=.π2e i i =③解:ππi i 1e e -==④解:()28π13i 16ππ3θ-==-.∴()2πi 38π13i 16πe--+=⋅⑤解:32π2πcos isin 99⎛⎫+ ⎪⎝⎭ 解:∵32π2πcos isin 199⎛⎫+= ⎪⎝⎭.∴322πi π.3i 932π2πcos isin 1e e 99⋅⎛⎫+=⋅= ⎪⎝⎭8.计算:(1)i 的三次根;(2)-1的三次根;(3) 33i的平方根.⑴i 的三次根. 解:()133ππ2π2πππ22i cos sin cosisin 0,1,22233++⎛⎫+=+= ⎪⎝⎭k k i k∴1ππ31cosisin i 662=+=+z .25531cos πisin πi 662=+=z39931cos πisin πi 662=+=-z⑵-1的三次根 解:()()1332π+π2ππ1cos πisin πcosisin 0,1,233k k k +-+=+=∴1ππ13cos isin 332=+=z2cos πisin π1=+=-z35513cos πisin π332=+=-z33i 的平方根.解: πi 42233i=6i 6e 22⎛⎫+⋅+=⋅ ⎪ ⎪⎝⎭∴()()1π12i44ππ2π2π4433i 6e 6cos isin 0,122k k k ⎛⎫++ ⎪+=⋅=⋅+= ⎪⎝⎭∴π11i 8441ππ6cos isin 6e 88⎛⎫=⋅+=⋅ ⎪⎝⎭z911πi 8442996cos πisin π6e 88⎛⎫=⋅+=⋅ ⎪⎝⎭z .9.设2πe,2inz n =≥. 证明:110n z z -+++=证明:∵2πi e nz ⋅= ∴1n z =,即10n z -=.∴()()1110n z z z --+++=又∵n ≥2. ∴z ≠1从而211+0n z z z -+++=11.设Γ是圆周{:},0,e .i z r r a c r z c α=>=+-令:Im 0z a L z b β⎧-⎫⎛⎫==⎨⎬ ⎪⎝⎭⎩⎭,其中e i b β=.求出L β在a 切于圆周Γ的关于β的充分必要条件.解:如图所示.因为L β={z : Im z a b -⎛⎫⎪⎝⎭=0}表示通过点a 且方向与b 同向的直线,要使得直线在a 处与圆相切,则CA ⊥L β.过C 作直线平行L β,则有∠BCD =β,∠ACB =90° 故α-β=90°所以L β在α处切于圆周T 的关于β的充要条件是α-β=90°.12.指出下列各式中点z 所确定的平面图形,并作出草图.(1)arg π;(2);1(3)1|2;(4)Re Im ;(5)Im 1 2.z z z z i z z z z ==-<+<>><且解:(1)、argz =π.表示负实轴.(2)、|z -1|=|z |.表示直线z =12.(3)、1<|z +i|<2解:表示以-i 为圆心,以1和2为半径的周圆所组成的圆环域。
(4)、Re(z )>Im z .解:表示直线y =x 的右下半平面5、Im z >1,且|z |<2.解:表示圆盘内的一弓形域。
习题二1. 求映射1w z z =+下圆周||2z =的像. 解:设i ,i z x y w u v =+=+则2222221i i i i i()i x y x yu v x y x y x y x y x y x y x y -+=++=++=++-++++因为224x y +=,所以53i 44u iv x y +=+所以 54u x =,34v y=+5344,u v x y == 所以()()2253442uv+=即()()222253221u v +=,表示椭圆.2. 在映射2w z =下,下列z 平面上的图形映射为w平面上的什么图形,设e i w ϕρ=或i w u v =+.(1)π02,4r θ<<=; (2)π02,04r θ<<<<;(3) x=a, y=b.(a, b 为实数)解:设222i ()2i w u v x iy x y xy =+=+=-+ 所以22,2.u x y v xy =-= (1) 记e i w ϕρ=,则π02,4r θ<<=映射成w 平面内虚轴上从O 到4i 的一段,即 π04,.2ρϕ<<=(2) 记e i w ϕρ=,则π0,024r θ<<<<映成了w 平面上扇形域,即π04,0.2ρϕ<<<<(3) 记w u iv =+,则将直线x=a 映成了22,2.u a y v ay =-=即2224().v a a u =-是以原点为焦点,张口向左的抛物线将y=b 映成了22,2.u x b v xb =-=即2224()v b b u =+是以原点为焦点,张口向右抛物线如图所示.3. 求下列极限.(1) 21lim 1z z →∞+;解:令1z t =,则,0z t →∞→. 于是22201lim lim 011z t t z t →∞→==++. (2) 0Re()limz z z →;解:设z=x+yi ,则Re()i z xz x y =+有 000Re()1lim lim i 1i z x y kx z x z x kx k →→=→==++显然当取不同的值时f(z)的极限不同所以极限不存在. (3) 2lim(1)z i z i z z →-+;解:2lim(1)z iz i z z →-+=11lim lim ()()()2z i z i z i z i z z i z i z →→-==-+-+. (4)2122lim1z zz z z z →+---.解:因为222(2)(1)2,1(1)(1)1zz z z z z z z z z z +--+-+==-+-+所以2112223lim lim 112z z zz z z z z z →→+--+==-+.4. 讨论下列函数的连续性: (1)22,0,()0,0;xyz x y f z z ⎧≠⎪+=⎨⎪=⎩解:因为22(,)(0,0)lim ()limz x y xyf z x y →→=+, 若令y=kx,则222(,)(0,0)lim 1x y xy kx y k →=++, 因为当k 取不同值时,f(z)的取值不同,所以f(z)在z=0处极限不存在.从而f(z)在z=0处不连续,除z=0外连续. (2)342,0,()0,0.x yz f z x y z ⎧≠⎪=+⎨⎪=⎩解:因为33422022x y x x yx y x y ≤≤=+,所以342(,)(0,0)lim 0(0)x y x yf x y →==+所以f(z)在整个z 平面连续.5. 下列函数在何处求导并求其导数.(1) 1()(1)n f z z -=- (n 为正整数);解:因为n 为正整数,所以f(z)在整个z 平面上可导. 1()(1)n f z n z -'=-.(2)22()(1)(1)z f z z z +=++.解:因为f(z)为有理函数,所以f(z)在2(1)(1)0z z ++=处不可导.从而f(z)除1,i z z =-=±外可导.2222232222(2)(1)(1)(1)[(1)(1)]()(1)(1)2543(1)(1)z z z z z z f z z z z z z z z ''+++-+++'=++-+++=++(3)38()57z f z z +=-.解:f(z)除7=5z 外处处可导,且223(57)(38)561()(57)(57)z z f z z z --+'==---.(4) 2222()ix y x yf z x y x y +-=+++.解:因为2222222i()i i(i )(i )(1i)(1i)1i()x y x y x y x y x y z f z x y x y x y z z++--+--+++=====+++.所以f(z)除z=0外处处可导,且2(1i)()f z z +'=-.6. 试判断下列函数的可导性与解析性.(1)22()i f z xy x y =+; 解:22(,),(,)u x y xy v x y x y ==在全平面上可微. 22,2,2,yuvv y xy xy x x y xy ∂∂∂∂====∂∂∂∂所以要使得u v x y ∂∂=∂∂, u v y x ∂∂=-∂∂,只有当z=0时,从而f(z)在z=0处可导,在全平面上不解析.(2) 22()i f z x y =+.解:22(,),(,)u x y x v x y y ==在全平面上可微.2,0,0,2uu v vx y x y xy ∂∂∂∂====∂∂∂∂只有当z=0时,即(0,0)处有u v x y ∂∂=∂∂,u vyy ∂∂=-∂∂. 所以f(z)在z=0处可导,在全平面上不解析.(3) 33()23i f z x y =+;解:33(,)2,(,)3u x y x v x y y ==在全平面上可微.226,0,9,0uu vv x y x y xy ∂∂∂∂====∂∂∂∂=时,才满足C-R 方程.从而f(z)0±=处可导,在全平面不解析.(4) 2()f z z z =⋅.解:设i z x y =+,则23232()(i )(i )i()f z x y x y x xy y x y =-⋅+=+++ 3232(,),(,)u x y x xy v x y y x y =+=+22223,2,2,3uuvvx y xy xy y x xyxy ∂∂∂∂=+===+∂∂∂∂所以只有当z=0时才满足C-R 方程.从而f(z)在z=0处可导,处处不解析.7. 证明区域D 内满足下列条件之一的解析函数必为常数. (1) ()0f z '=;证明:因为()0f z '=,所以0u u x y ∂∂==∂∂,0v v x y ∂∂==∂∂.所以u,v 为常数,于是f(z)为常数. (2) ()f z 解析.证明:设()i f z u v =-在D 内解析,则 ()u v u vx y x y ∂∂-∂∂=⇒=-∂∂∂∂ ()u v v y x y ∂-∂-∂==+∂∂∂ ,u v u vx yy x ∂∂∂∂=-=∂∂∂∂而f(z)为解析函数,所以,u uu vx y y x ∂∂∂∂==-∂∂∂∂所以,,v vv v xx y y ∂∂∂∂=-=-∂∂∂∂即0u u v vx y x y ∂∂∂∂====∂∂∂∂从而v 为常数,u 为常数,即f(z)为常数.(3) Ref(z)=常数.证明:因为Ref(z)为常数,即u=C1, 0u u x y ∂∂==∂∂ 因为f(z)解析,C-R 条件成立。