考研高数总复习第九章欧几里得空间第一节(讲解)
- 格式:pptx
- 大小:2.66 MB
- 文档页数:31
第9章欧几里得空间9.1复习笔记一、定义与基本性质1.欧几里得空间定义设V是实数域R上一线性空间,在V上定义了一个二元实函数,称为内积,记作(α,β),它具有以下性质:(1)(α,β)=(β,α);(2)(kα,β)=k(α,β);(3)(α+β,γ)=(α,γ)+(β,γ);(4)(α,α)≥0,当且仅当α=0时(α,α)=0.这里α,β,r是V中任意的向量,k是任意实数,这样的线性空间V称为欧几里得空间.2.长度(1)定义非负实数称为向量α的长度,记为|α|.(2)关于长度的性质①零向量的长度是零,②|kα|=|k||α|,③长度为1的向量称为单位向量.如果α≠0,向量1αα就是一个单位向量,通常称此为把α单位化.3.向量的夹角(1)柯西-布涅柯夫斯基不等式,即对于任意的向量α,β有|(α,β)|≤|α||β|当且仅当α,β线性相关时,等号才成立.(2)非零向量α,β的夹角<α,β>规定为(3)如果向量α,β的内积为零,即(α,β)=0,那么α,β称为正交或互相垂直,记为α⊥β.零向量才与自己正交.(4)勾股定理,即当α,β正交时,|α+β|2=|α|2+|β|2.4.有限维空间的讨论(1)度量矩阵设V是一个n维欧几里得空间,在V中取一组基ε1,ε2,…,εn,对V中任意两个向量α=x1ε1+x2ε2+…+x nεn,β=y1ε1+y2ε2+…+y nεn,由内积的性质得a ij=(εi,εj)(i,j=1,2,…,n),显然a ij=a ji,于是利用矩阵,(α,β)还可以写成(α,β)=X'AY,其中分别是α,β的坐标,而矩阵A=(a ij)nn称为基ε1,ε2,…,εn的度量矩阵.(2)性质①设η1,η2,…,ηn是空间V的另外一组基,而由ε1,ε2,…,εn到η1,η2,…,ηn的过渡矩阵为C,即(η1,η2,…,ηn)=(ε1,ε2,…,εn)C,于是基η1,η2,…,ηn的度量矩阵B=(b ij)=(ηi,ηj)=C'AC;表明不同基的度量矩阵是合同的.②对于非零向量α,即有(α,α)=X'AX>0.因此,度量矩阵是正定的.二、标准正交基1.正交向量组欧式空间V中一组非零的向量,如果它们两两正交,就称为一正交向量组.按定义,由单个非零向量所成的向量组也是正交向量组.2.标准正交基(1)定义在n维欧氏空间中,由n个向量组成的正交向量组称为正交基;由单位向量组成的正交基称为标准正交基.说明:①对一组正交基进行单位化就得到一组标准正交基.②一组基为标准正交基的充分必要条件是:它的度量矩阵为单位矩阵.(2)标准正交基的求法①定理1n维欧氏空间中任一个正交向量组都能扩充成一组正交基.②定理2对于n维欧氏空间中任意一组基ε1,ε2,…,εn,都可以找到一组标准正交基η1,η2,…,ηn,使L(ε1,ε2,…,εi)=L(η1,η2,…,ηi),i=1,2,…,n.定理2中把一组线性无关的向量变成一单位正交向量组的方法称做施密特正交化过程.例:把α1=(1,1,0,0),α3=(-1,0,0,1),α2=(1,0,1,0),α4=(1,-1,-1,1)变成单位正交的向量组.解:①先把它们正交化,得β1=α1=(1,1,0,0),②再单位化,得3.基变换公式设ε1,ε2,…,εn与η1,η2,…,ηn是欧氏空间V中的两组标准正交基,它们之间的过渡矩阵是A=(a ij),即因为η1,η2,…,ηn是标准正交基,所以矩阵A的各列就是η1,η2,…,ηn在标准正交基ε1,ε2,…,εn下的坐标.4.正交矩阵n级实数矩阵A称为正交矩阵,如果A'A=E.由标准正交基到标准正交基的过渡矩阵是正交矩阵;反过来,如果第一组基是标准正交基,同时过渡矩阵是正交矩阵,那么第二组基一定也是标准正交基.三、同构1.同构定义实数域R上欧式空间V与V'称为同构的,如果由V到V'有一个双射σ,满足(1)σ(α+β)=σ(α)+σ(β),(2)σ(kα)=kσ(α),(3)(σ(α),σ(β))=(α,β),这里α,β∈V,k∈R,这样的映射σ称为V到V'的同构映射.同构的欧氏空间必有相同的维数.每个n维的欧氏空间都与R n同构.2.同构的性质同构作为欧氏空间之间的关系具有(1)反身性;(2)对称性;(3)传递性;(4)两个有限维欧氏空间同构的充分必要条件是它们的维数相同..四、正交变换1.定义欧氏空间V的线性变换A称为正交变换,如果它保持向量的内积不变,即对于任意的α,β∈V,都有(Aα,Aβ)=(α,β).2.性质。
第九章 欧氏空间9.1 基本内容与基本结论9.1.1 基本内容 1.欧几里得空间设V 是实数域R 上一线性空间,在V 上定义了一个二元实函数,称为内积,记作),(βα,它具有以下性质:(1) ),(),(αββα=; (2) ),(),(βαβαk k =; (3) ),(),(),(γβγαγβα+=+;(4) 0),(≥αα,当且仅当0=α时,0),(=αα。
这里α,β,γ是V 中任意的向量,k 是任意实数,这样的线性空间称为欧几里得空间。
2.酉空间设V 是复数域C 上一线性空间,在V 上定义了一个二元复函数,称为内积,记作),(βα,它具有以下性质:(5) ),(),(αββα=,这里),(),(αβαβ是的共轭复数; (6) ),(),(βαβαk k =; (7) ),(),(),(γβγαγβα+=+;(8) 0),(≥αα,当且仅当0=α时,0),(=αα。
这里α,β,γ是V 中任意的向量,k 是任意复数,这样的线性空间称为酉空间。
3.向量的长度非负实数),(αα称为向量α的长度,记为α。
4.向量的夹角非零向量α,β的夹角〉〈βα,规定为 βαβαβα),(arccos ,=〉〈,πβα≤〉〈≤,0。
5.向量的正交如果向量α,β的内积为零,即0),(=βα,那么称α,β正交,记为βα⊥。
6.基的度量矩阵n εεε,,,21 是n 维欧氏空间V 的一组基,令n j i j i ij ,,2,1,),,( ==εεα,称nn ij a A )(=为基n εεε,,,21 的度量矩阵。
7.正交向量组欧氏空间V 中一组非零的向量,如果它们两两正交,就称为一正交向量组。
8.正交基,标准正交基在n 维欧氏空间中,由n 个向量组成的正交向量组称为正交基,由单位向量组成的正交基称为标准正交基。
9.正交矩阵、酉矩阵n 级实矩阵称A 为正交矩阵,如果E A A T =。
n 级复矩阵称A 为酉矩阵,如果E A A T =。
第九章 欧几里得空间§1定义与基本性质一、向量的内积定义 1 设V 是实数域R 上一个向量空间,在V 上定义了一个二元实函数,称为内积,记作),(βα,它具有以下性质:1)),(),(αββα=;2) ),(),(βαβαk k =;3) ),(),(),(γβγαγβα+=+;4) 0),(≥αα,当且仅当0=α时, 0),(=αα 这里γβα,,是V 任意的向量,k 是任意实数,这样的线性空间V 称为欧几里得空间.例1 在线性空间n R 中,对于向量 ),,,(,),,,(2121n n b b b a a a ==βα, 定义内积.),(2211n n b a b a b a +++= βα (1)则内积(1)适合定义中的条件,这样nR 就成为一个欧几里得空间.仍用n R 来表示这个欧几里得空间.在3=n 时,(1)式就是几何空间中的向量的内积在直角坐标系中的坐标表达式.例2 在n R 里, 对于向量 ),,,(,),,,(2121n n b b b a a a ==βα,定义内积.2),(2211n n b na b a b a +++= βα则内积(1)适合定义中的条件,这样n R 就也成为一个欧几里得空间.仍n R 用来表示这个欧几里得空间。
对同一个线性空间可以引入不同的内积,使得它作成欧几里德空间,但应该认为它们是不同的欧几里德空间.例 3 在闭区间],[b a 上的所有实连续函数所成的空间),(b a C 中,对于函数)(),(x g x f 定义内积 ⎰=ba dx x g x f x g x f )()())(),(( (2)对于内积(2),),(b a C 构成一个欧几里得空间. 同样地,线性空间n x R x R ][],[对于内积(2)也构成欧几里得空间.例4 令H 是一切平方和收敛的实数列:+∞<=∑∞=1221),,,,(n nn x x x x ξ所成的集合,则H 是一个欧几里得空间,通常称为希尔伯特(Hilbert)空间(内积定义类似于例1,这是无穷维空间).二、欧几里得空间的基本性质1)定义中条件1)表明内积是对称的.),(),(),(),()2αββααββαk k k k ==='.),(),(),(),(),(),()3γαβααγαβαγβγβα+=+=+=+'定义2 非负实数),(αα称为向量α的长度,记为α.显然,向量的长度一般是正数,只有零向量的长度才是零,这样定义的长度符合熟知的性质: αα||k k = (3)这里V R k ∈∈α,.长度为1的向量叫做单位向量.如果,0≠α由(3)式,向量αα1就是一个单位向量.用向量α的长度去除向量α,得到一个与α成比例的单位向量,通常称为把α单位化.柯西-布涅柯夫斯基不等式:即对于任意的向量βα,有βαβα≤),( (5)当且仅当βα,线性相关时,等式才成立.证明:由0),(≥++βαβαt t 对于任意实数t 成立,给出简单证明。
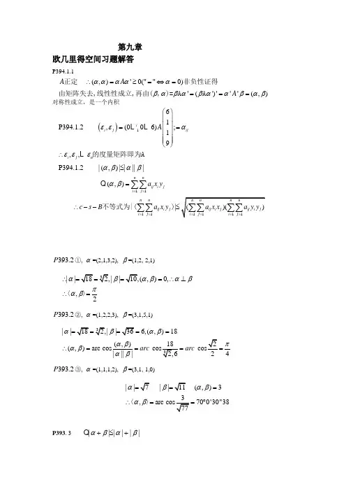
第九章欧几里得空间习题解答P394.1.1(,)'0(""0)'(')'''(,)A A A αααααβαβαβααβαβ∴=≥=⇔====正定非负性证得由矩阵失去,线性性成立,再由(,)=A A 对称性成立,是一个内积()1111161P394.1.2,(06);19,,P394.1.2|(,)|||||(,)|i ijiji j n nnij i ji j n n ij i j i j A a x y c s B a x y εεαεεεαβαβαβ====⎛⎫ ⎪ ⎪== ⎪ ⎪ ⎪⎝⎭∴≤=∴--≤∑∑∑∑的度量矩阵即为A不等式为|()393.2P ①, α=(2,1,3,2), β=(1,2,-2,1)|||,)0,,2αβαβαβπαβ∴====∴⊥∴=〈〉393.2P ②, α=(1,2,2,3), β=(3,1,5,1)|||6,(,)18(,)(,)arc cos ||||4arc arc αβαβαβπαβαβ=====∴====393.2P ③, α=(1,1,1,2), β=(3,1,-1,0)||||(,)3,arc 700'30''38αβαβαβ===∴==︒〈〉P393. 3||||||αβαβ+≤+(,)|||()()||||(,)(,)d d d αγαγαββγαββγαββγ∴=-=-+-≤-+-+ =P393.4在4R 中求一单位向量与(1,1,-1),(1,-1,1-,1),(2,1,1,3)正交解设所求212341234123412344123(,,,)1,00230111111111111111020001003,2113013100314,0,14i x x x x x x x x x x x x x x x x x x x x x x αα==+-+=⎧⎫⎪⎪--+=⎨⎬⎪⎪+++=⎭⎩⎛⎫-⎛⎫⎛⎫--⎪⎪ ⎪ ⎪ ⎪ ⎪--→-→=⎪⎪ ⎪ ⎪ ⎪ ⎪+ ⎪⎝⎭⎝⎭⎝⎭===-=-∑则且与各向量的内积为0得令得,0,1,3),()-单位化393.5P ①证:因为12(,)0, 1.2,,i n i n γαααα==而是一个基11(,)(,)(,)0.0.nni i i i i i k k γγγαγαγ==∴====∑∑因此,必有393.5P ②证,12(,)(,), 1.2,i i i n γαγα==12(,)0, 1.2i i n γγα∴-==由第①小题:12120,γγγγ-==故P393.61231232211(,,)(,,)2123122αααεεε⎛⎫ ⎪=-- ⎪ ⎪--⎝⎭而1232211212,,3122ααα⎛⎫⎪-- ⎪ ⎪--⎝⎭是正交矩阵,所以是标准正交基11212431231212121124512451131212351152124531235393.7,/2(,)1111(22)(,)222221210)22)1()2s P αεεαεεεεεεεβααββαβαβεεεεεεεεβββαββεεεεηεεηεεεεηεεεε==-+=++==-=-=-+-=-+-=--=++-=+=-+-=++-123解:再正交化称:P394.8,解:123452111310014001110101115X X X X X X ⎛⎫ ⎪ ⎪---⎛⎫⎛⎫ ⎪=→= ⎪ ⎪--- ⎪⎝⎭⎝⎭⎪ ⎪⎝⎭解出:123014115100010001ηηη-⎛⎫⎛⎫⎛⎫ ⎪ ⎪ ⎪- ⎪ ⎪ ⎪⎪ ⎪ ⎪=== ⎪ ⎪ ⎪ ⎪ ⎪ ⎪ ⎪ ⎪ ⎪⎝⎭⎝⎭⎝⎭Schmidt:1221331022711161151311116222105022130005ββηββηβ--⎛⎫⎛⎫⎛⎫⎛⎫ ⎪ ⎪ ⎪ ⎪- ⎪ ⎪ ⎪ ⎪ ⎪ ⎪ ⎪ ⎪==-=-=++-= ⎪⎪ ⎪ ⎪ ⎪ ⎪ ⎪ ⎪ ⎪ ⎪ ⎪ ⎪⎝⎭⎝⎭⎝⎭⎝⎭单位化便得到解空间的标准正交基:123766135εεε⎛⎛⎫⎛⎫⎪⎪-⎪⎪⎪⎪====⎪⎪⎪⎪⎪ ⎪ ⎪⎝⎭⎪ ⎪⎝⎭ ⎪⎝⎭P394.9 11(,)()()f g f x g x d x-=⎰已知2312341,,,x x xαααα====解:111βα==21122111223132321211223434142441234112233111222(,)(,)*2(,)(,)1310(,)(,)232(,)(,)(,)352(,)(,)(,)532(,)2||(,)||3(xdxx xx xx x x αββαβββαβαββαββββββαβαβαββαβββαββββββββββββ--=-=-=--=---=-=---=--=-====⎰又142333116424441218,)()||3945698(,)()||525175x x dxx x x dxββββββ+--=-+===-+==⎰⎰单位化标准正交基312324,1),3)396.17.4133333333133333343313333333313333x x x xPA A Eγγγγ===-=-------⎛⎫⎛⎫⎪ ⎪-----⎪ ⎪==⎪ ⎪-----⎪ ⎪⎪ ⎪-----⎝⎭⎝⎭1123443() 4.840Acy Tr A x x λλλλχχ∴===-⇒==-+-=221-秩(A+4E)=1至少为重根,而-(4+4+4)+解(A+4E)x=o,即1111210311111110212003⎛⎫⎛⎫⎛⎫ ⎪ ⎪ ⎪-- ⎪ ⎪ ⎪ ⎪ ⎪ ⎪- ⎪ ⎪ ⎪ ⎪ ⎪ ⎪⎝⎭⎝⎭⎝⎭⎛⎫⎛⎫⎛⎫ ⎪ ⎪ ⎪-- ⎪⎪⎪ ⎪⎪⎪-- ⎪⎪⎪ ⎪⎪⎪⎝⎭⎝⎭⎝⎭得正交基础体系1100单位化为28λ⎛⎫ ⎪ ⎪ ⎪ ⎪ ⎪⎝⎭解(A-8E)x=0.得解取自A+4E的一列3-33-31111121124124'1402812T T AT T AT -⎛⎫ ⎪- ⎪ ⎪ ⎪ ⎪-⎝⎭-⎛⎫- ⎪- ⎪=== ⎪- ⎪ ⎪⎝⎭-单位化为令则112121211111111395.10.10(,,)(,)(,)0,.(,)(,)0P V V V V V k k k V ββαβαβαβββββαβαβ∈≠∅=+=⇒+∈⎫∀∈∴≤⎬==⇒∈⎭11123123111P395.10.2 0dim 1.,,,(2)(,)dim 1.dim 1.n n V V n V i V i L V V n V n αααααααααααα≠∴∉≤-=∈≥∴≤⇒≥-∴≥-故将扩充为的一个正交基那么.P394,11①设两个基:12,12,,,n n εεεηηη及,它们的度量矩阵分别为A 和B,并设121211122111221212'''221122(,,,)(,,,),,(,,)(,,,)(,,)(,,,),(,)(')'()n n n n n n CV X X Y Y X CX Y CY X BY X AY X C AC Y C AC B ηηηεεεαβαεεηηηβεεηηηαβ=∈=========∴=任设所以合同P394.11②, 取V 的一个基12,,,,n A ααα其度量矩阵为因为A 正交,故存在矩阵C,使12121212',,,,,,',,,n n n n C AC E ηηηαααηηηηηη=C AC=E做基(,)=()C,那么,的度量矩阵为因此,为标准正交基.1212121212121212211111P394.12,,,,(,)(,,)()(,,),,|(,,)|,,,,(,,|0()0|()|||0,m ij i j m ij m mm m m m m m V G G G G G ααααααααααααααααααααααααααααααααα⨯∈==⇔≠⇔>⇔=≠记:,称,为,的Gram 矩阵称,为,的Gram 行列式证明,线性无关,)证:若m=1,线性无关,成立121211,|(,,)|0(,,)(,)(,,)0,0,1,2,.n m mj k k ij k ik k i k k k jk jk ji j k k k jm G A c c a c c i m αααβββββααααααγ=≠≠≠≠>==⇔=⇔==⇔-=∴⇔==∑∑∑∑若而,不妨设,1212(,,,),,,,j k k m k jj k m k jc L ck γαααααααααα≠≠=-∈⇔=⇔∑∑线性相关211212112121222122122222212122123|()|||||||||cos (,),(,)|(,)|(,),(,)||||cos ||||||(1cos )(||||cos )|(,,)|()G G G αααααθααααααααααααθαααθααθααα====-==类似地:平行六面体积P394,13,设:1222000n n n n nn A αααααα⎛⎫⎪ ⎪= ⎪⎪⎝⎭因为A 正交,故A'A=E ,令A=12(,,)n βββ由第1行列,211111,1αα==±由β1与其余各列正交,β1⊥βj (j>1),(β1,βj )=111100(1)j j a a j α=⇒=>1100A A ±⎛⎫∴= ⎪⎝⎭其中A 1仍为上三角正交矩阵,但阶数少1,故可用归纳法给出证明,且n=1时显然为真,由归纳法原理,证毕。
第9章 欧几里德空间(第1讲)目标与要求理解欧几里德空间的概念, 并会检验线性空间是否构成欧氏空间; 理解向量的长度、夹角与正交的概念;理解度量矩阵概念, 掌握度量矩阵的性质.重点难点重点:理解欧几里德空间的概念, 理解向量的长度、夹角与正交的概念; 理解度量矩阵概念, 掌握度量矩阵的性质.难点:理解欧几里德空间的定义,理解度量矩阵概念, 掌握度量矩阵的性质.设计安排通过归纳几何空间内积的性质,给出实数域R 上线性空间内积公里化定义以及欧几里德空间的概念,再由内积定义向量的长度、夹角与正交的概念;适当启发,循序渐进,最后对度量矩阵概念、性质进行讨论.教学进程见幻灯片部分.(2学时) 黑板与多媒体讲授相结合.教学内容§1 定义与基本性质一.欧几里得空间的概念与简单性质线性空间的概念是从三维几何空间抽象而来,在这个抽象过程中,我们已抛弃了三维几何空间中向量的许多重要的几何性质,如:向量的长度和夹角在线性空间中没有相应地反映出来.而在几何空间中,向量的长度和夹角的理论作用是重要的、不可或缺的.如果没有这两个概念,几何空间的研究将是难以想象的.于是,自然就想到应该将向量的长度和夹角概念相应地抽象到线性空间中来,有了它们做工具,对空间的讨论研究将更加深入.那么,应如何在线性空间中引入向量的长度和夹角概念?下边回顾几何中的相关知识,以从中得到启发.在几何空间中,向量的长度和夹角都可以用内积来表示:),(ξξξ=,ηξηξηξ),(),cos(=∧.两个向量的内积是一个实数),cos(),(∧=βαβαβα,所以它有较强的代数性质.因此,我们把内积作为基本概念引入线性空间中,然后仿照几何空间中向量长度、夹角与内积的上述关系式,定义线性空间中向量长度和夹角的概念.而线性空间中的内积自然也应该抽取几何空间中内积的本质作为其定义.几何空间中内积本质上是一个二元实函数,在它的诸多性质中下述四条是最基本的:),(),(αββα=;),(),(βαβαk k =;),(),(),(γβγαγβα+=+;0),(≥αα,且00),(=⇔=ααα.我们就以这些要求作为线性空间中内积的定义.定义1 设V 是实数域R 上的线性空间,在V 上定义了一个二元实函数,称为内积,记为),(βα,它具有以下性质:1)),(),(αββα=; 2)),(),(βαβαk k =; 3)),(),(),(γβγαγβα+=+; 4)0),(≥αα,且00),(=⇔=ααα.这里γβα,,是V 中任意的向量,k 是任意实数,这样的线性空间V 称为欧几里得空间.注:① 由于如果按照前述方法在线性空间中引进向量的夹角和长度概念要涉及到数的开方和三角函数,一般的数域对这两种运算不能封闭,所以欧几里得空间是定义在实数域上的线性空间之上的.当考虑的是复数域上的线性空间时,相应得到的就是酉空间的概念.② V 上的二元实函数即V V ⨯到R (实数域)的一个映射,当这个映射满足定义中的四条时,就是V 上的一个内积.两个向量的内积是一个实数.③ 定义中的2)、3)两条等价于),(),(),(22112211βαβαβααk k k k +=+. 例1 在线性空间nR 中,定义内积:n n b a b a b a +++= 2211),(βα (),,,(21n a a a =α,),,,(21n b b b =β),则n R 成为一个欧氏空间.这个欧氏空间仍记为n R .(注:在线性空间n R 中,也可以引进其它的内积使之成为欧式空间,但这些欧氏空间都不用n R 表示.)例2 在线性空间n R 中,定义内积:n n b na b a b a +++= 22112),(βα (),,,(21n a a a =α,),,,(21n b b b =β),则n R 成为一个欧氏空间.例3 闭区间],[b a 上的实连续函数所构成的线性空间),(b a C 对下边定义的内积构成欧氏空间:()⎰=badx x g x f x g x f )()()(),(.同样地,][x R 和n x R ][对上述内积也构成欧氏空间. 例4 n x R ][对内积:()∑==nk k g k f x g x f 1)()()(),(构成欧氏空间.欧氏空间的简单性质: (1) 0),0()0,(==αα.由此可知,欧式空间定义中的4)等价于"若0≠α,则0),,(>αα".(2) ∑∑∑∑=====⎪⎪⎭⎫ ⎝⎛r i sj j i j i s j j j r i i i b a b a 1111),(,βαβα(3) ⇔=0αV ∈∀η,有0),(=ηα.二.向量的长度和夹角定义2 非负实数),(αα称为向量α的长度,记为α. 由长度定义可见:(1) 向量的长度一般是正数,00=⇔=αα. (2) ααkk =.长度为1的向量称为单位向量,对任何一个非零向量0≠α,αα1就是一个单位向量.用α1去乘向量α,得到一个与α成比例的单位向量,通常称为把α单位化.为了仿照几何空间中向量间夹角的表达形式βαβαβα),(arccos ,=,将向量间夹角的概念引入到欧氏空间中,需要先证明柯西-布涅柯夫斯基不等式: 对任意向量βα,,有βαβα≤),(.当且仅当βα,线性相关时,等号才成立.证明思路:0=β时显然成立.0≠β时,令ββββααγ),(),(-=,则0),(≥γγ,展开整理即得不等式.当βα,线性相关时,等号显然成立.等号成立时,记),(),(βββα=k ,证明0),(=--βαβαk k ,于是0=-βαk ,即βα,线性相关.在不同的欧氏空间中,柯西-布涅柯夫斯基不等式的具体表达形式也不同.如: 对于例1的欧氏空间n R ,βαβα≤),(的具体形式为22221222212211n n n n b b b a a a b a b a b a ++++++≤+++这正是著名的柯西不等式.对于例2的欧氏空间),(b a C ,βαβα≤),(的具体形式为212212)()()()(⎪⎭⎫ ⎝⎛⎪⎭⎫ ⎝⎛≤⎰⎰⎰ba ba badx x g dx x f dx x g x f这正是著名的施瓦兹(Schwarz)不等式.利用柯西-布涅柯夫斯基不等式可以证明“三角不等式”:βαβα+≤+.推广:r r αααααα+++≤+++ 2121.定义3 非零向量βα,的夹角βα,规定为βαβαβα),(arccos,=,πβ≤≤,0.定义4 若向量βα,的内积为零,即0),(=βα,那么βα,称为正交或相互垂直,记为βα⊥.注:① 只有非零向量之间才有夹角的概念.② βαβα⊥∈∀⇔=,0V .两个非零向量βα,正交⇔2,πβα=.③ 若i ηα⊥ r i ,,2,1 =,则)(2211r r k k k ηηηα+++⊥ . 勾股定理 若βα⊥,则222βαβα+=+.推广:若r ααα,,,21 两两正交,则22221221r r αααααα+++=+++ .三.内积与基设V 是一个n 维欧氏空间,n εεε,,,21 是V 的一组基,对V 中的向量 n n x x x εεεα+++= 2211,n n y y y εεεβ+++= 2211 ()∑∑===++++=n i nj j i jin n n n y x y y x x 111111),(,),(εεεεεεβα令⎪⎪⎪⎪⎪⎭⎫⎝⎛=),(),(),(),(),(),(),(),(),(212221212111n n n n n n A εεεεεεεεεεεεεεεεεε ,⎪⎪⎪⎪⎪⎭⎫ ⎝⎛=n x x x X 21,⎪⎪⎪⎪⎪⎭⎫⎝⎛=n y y y Y21,则AY X '=),(βα.上述矩阵A 称为基n εεε,,,21 的度量矩阵.度量矩阵的意义在于它与内积是互相确定的,只要知道了一组基的度量矩阵A ,任意两个向量的内积可用这两个向量在此基下的坐标Y X ,和度量矩阵按AY X '算出,即度量矩阵完全确定了内积.度量矩阵的性质: (1) 度量矩阵是对称的; (2) 度量矩阵是正定的.(3) 对任意一个n 阶正定矩阵A 及n 维线性空间V 的一组基n εεε,,,21 ,可以规定V 的内积,使之成为欧氏空间,且基n εεε,,,21 的度量矩阵恰为A .不同基的度量矩阵之间的关系:设n ηηη,,,21 是V 的另一组基,由n εεε,,,21 到n ηηη,,,21 的过渡矩阵为C ,即 ()()C n n εεεηηη,,,,,,2121 =将C 分块()n C C C C ,,,21 =,则i C 就是i η在基n εεε,,,21 下的坐标(n i ,,2,1 =).于是按照上述利用坐标和度量矩阵求内积的方法,有j i j i AC C '=),(ηη.所以n ηηη,,,21 的度量矩阵为⎪⎪⎪⎪⎪⎭⎫⎝⎛=),(),(),(),(),(),(),(),(),(212221212111n n n n n n B ηηηηηηηηηηηηηηηηηη ⎪⎪⎪⎪⎪⎭⎫⎝⎛'''''''''=n n n n n n AC C AC C AC C AC C AC C AC C AC C AC C AC C212221212111()AC C C C C A C C C n n '=⎪⎪⎪⎪⎪⎭⎫⎝⎛'''= 2121. (A 为基n εεε,,,21 的度量矩阵)可见,不同基的度量矩阵是合同的. 最后指出,设V 是一个欧氏空间,则V 作为线性空间,它的任何线性子空间显然对V 的内积也构成欧氏空间.备注思考:1. 实数域上同一线性空间是否可以用不同的方式定义内积?若可以,它们是同一欧几里德空间吗?可以,如对R n 定义内积(α,β )=k αβ,k 为正实数.2.实数域上任何有限维线性空间都可以定义一个内积吗? 可以α = k 1e 1+k 2e 2+…+k n e n ,β= l 1e 1+l 2e 2+…+l n e n其中e 1,e 2,…,e n 为V 的一组基,则(α,β )= k 1 l 1+k 2 l 2+…+k n l n 定义一个内积.作业布置课后相应习题.第9章 欧几里德空间(第2讲)目标与要求理解正交向量组、标准正交基的概念, 掌握标准正交基的性质、存在性及求法(施密特正交化方法);理解正交矩阵概念,掌握正交矩阵性质.重点难点重点:理解标准正交基的概念, 掌握标准正交基的性质、存在性及求法,熟练运用施密特正交化方法求出标准正交基;理解正交矩阵概念,掌握正交矩阵性质.难点是理解和掌握标准正交基的概念和基性质,掌握标准正交基的存在性及求法,正交矩阵性质.设计安排首先给出正交向量组的概念与性质,其次对标准正交基的定义、性质、存在性及求法(施密特正交化方法)进行讨论,最后研究正交矩阵概念与性质.突出标准正交基的定义性质、存在性及求法(施密特正交化方法).教学进程见幻灯片部分.(3课时) 黑板与多媒体讲授相结合.教学内容§2标准正交基一.标准正交基及其性质定义5 欧氏空间V 中一组非零向量,如果它们两两正交,就称为一个正交向量组. 注:① 正交向量组必须是由非零向量构成的.单个非零向量也是正交向量组. ② 正交向量组是线性无关的向量组.定义6 在n 维欧氏空间中,由n 个向量组成的正交向量组称为正交基,由单位向量组成的正交基称为标准正交基.注:标准正交基是集长度、夹角、基为一体的一个概念.与普通基相比它具有更多的优点,所以在欧氏空间中取基时,如果可能应首先考虑取标准正交基.有关性质:(1) 在n 维欧氏空间中,n εεε,,,21 是标准正交基⎩⎨⎧≠==⇔ji ji j i 01),(εε,n j i ,,2,1, =.E n n n n n n =⎪⎪⎪⎪⎪⎭⎫⎝⎛⇔),(),(),(),(),(),(),(),(),(212221212111εεεεεεεεεεεεεεεεεε .(2) 设n εεε,,,21 是标准正交基,则向量α在此基下的坐标是()),(,),,(),,(21n εαεαεα .(3) 设n εεε,,,21 是标准正交基,n n n n y y y x x x εεεβεεεα+++=+++= 22112211,,则n n y x y x y x +++= 2211),(βα.注:由(3)可见,通过标准正交基建立起来的V 与n R 之间的联系是保持内积的.即YX R Vn −−−→←−−−→←−−−→←βα标准正交基),(),(Y X =βα (βα,在V 中的内积等于Y X ,在n R 中的内积)二.标准正交基的求法关键是求正交基,求得正交基后单位化即可.定理1 n 维欧氏空间中任意一个正交向量组都能扩充成一组正交基.证明思路 反复利用下边的结论:设m αα,,1 施正交向量组,β不能由m αα,,1 线性表出,令m m m m m ααααβααααβααααββα),(),(),(),(),(),(222211111----=+ ,则11,,,+m m ααα 是正交向量组.于是可以逐步地将m αα,,1 扩成正交基.注:此证明过程实际给出了一个具体扩充正交基的方法,从任意一个非零向量出发按此方法逐个地扩充,最后就得到一组正交基.再单位化就得到一组标准正交基.在上述扩充方法中,每要扩充一个向量,必须事先找一个不能由已知正交向量组线性表出的向量β.定理2 对n 维欧氏空间中任意一组基n εεε,,,21 ,都可以找到一组标准正交基n ηηη,,,21 ,使),,(),,(11i i L L ηηεε = n i ,,2,1 =.证明思路取11εη=,m m m m m m m m ηηηηεηηηηεεη),(),(),(),(11111111++++---=1,,2,1-=n m .再单位化即可.注:① 定理2的作用主要在于,省略了在扩充正交基的过程中每扩充一个向量都要事先找一个不能由已知正交向量组线性表出的向量β的麻烦,只需依次取已知基中的向量作为β就可以了.② 定理2中的),,(),,(11i i L L ηηεε =(n i ,,2,1 =)等价于由n εεε,,,21 到n ηηη,,,21 的过渡矩阵是上三角矩阵.按定理2的方法,将一组线性无关的向量变成一组单位正交向量的过程,叫做Schimidt 正交化过程.例1 把)1,1,1,1(),1.0.0.1(),0,1,0,1(),0,0,1,1(4321--=-===αααα变成单位正交向量组.三.标准正交基之间的关系、正交矩阵设n εεε,,,21 和n ηηη,,,21 是欧氏空间V 的两组标准正交基,它们之间的过渡矩阵为()nn ija A ⨯=,即()()A n n εεηη,,,,11 =.因为标准正交基的度量矩阵是单位矩阵,所以n εεε,,,21 和n ηηη,,,21 的度量矩阵都是E ,由两组基的度量矩阵是合同的,得E EA A =',即E A A ='或1-='A A .定义7 n 阶实矩阵A 称为正交矩阵,如果E A A ='(1-='A A ).相关性质:(1)设n εεε,,,21 是标准正交基,()()A n n εεηη,,,,11 =,则n ηηη,,,21 是标准正交基的充分必要条件是A 是正交矩阵.(2)n 阶方阵A 是正交矩阵⇔A 的行向量组是nR 的标准正交基⇔A 的行向量组是n R 的标准正交基.由(2)可知,用标准正交基建立起来的V 与nR 之间的联系,使V 的标准正交基与nR 的标准正交基相互对应,即n R Vn标准正交基,,,−−−−→←εεε 21标准正交基 n ηηη 21 −−−→←−−−→←−−−→← nX X X 21 标准正交基§3 同构定义8 实数域R 上的线性空间V 与V '称为同构的,如果由V 到V '有一个双射σ,满足1) )()()(βσασβασ+=+, 2) )()(ασασk k =, 3) ()()βαβσασ,)(),(=,这里R k V ∈∈,,βα,这样的映射σ称为V 到V '的同构映射.同构的欧氏空间必有相同的维数.同构作为欧氏空间之间的关系具有反身性、对称性、传递性. 每一个n 为欧氏空间都与nR 同构.定理3 两个有限维欧氏空间同构当且仅当它们维数相同. 可知,维数是有限维欧氏空间唯一本质的特征.备注补充例题,加深对有关概念、公式、结论的理解. 归纳解题思路方法,给学生留出时间做练习.课堂思考练习、评讲达到使学生吸收消化重点内容的目的. 怎样理解标准正交基?如何求出标准正交基?作业布置课后相应习题.第9章 欧几里德空间(第3讲)目标与要求理解正交变换的概念,掌握正交变换的性质, 会检验线性变换是否为正交变换; 掌握子空间的正交关系.重点难点重点:理解正交变换的概念, 掌握正交变换的性质,掌握子空间的正交关系. 难点:理解正交变换的概念性质、掌握子空间的正交关系.设计安排首先给出正交变换的概念与性质及分类,其次对子空间的正交关系进行讨论,给出两个重要结论:若子空间V 1,V 2,…,Vs 两两正交,则和V 1+V 2+…+Vs 为直和; n 维欧氏空间V 的每一个子空间都有唯一的正交补. 教学进程见幻灯片部分.(3课时) 黑板与多媒体讲授相结合.教学内容§4 正交变换定义9 欧氏空间V 的线性变换A 称为正交变换,如果它保持向量的内积不变,即对任意的V ∈βα,,都有(A ,αA β)),(βα=.正交变换可以从以下几个方面进行刻画.定理4 设A 是欧氏空间V 的一个线性变换,则下述四条等价: 1)A 是正交变换;2) A 保持向量的长度不变,即对于V ∈∀α,有|A α|α=;3)若n εε,,1 是V 的标准正交基,则A ,,1 εA n ε也是V 的标准正交基; 4) A 在任意一组标准正交基下的矩阵是正交矩阵. 证明思路:1)⇔2),1)⇔3),3)⇔4). 1)⇔2):⇒ 显然.⇐ 将(A ),(βα+A )(βα+)),(βαβα++=两边展开. 1)⇔3):⇒ 由(A ,i εA j ε)⎩⎨⎧≠===ji ji j i 01),(εε可见.⇒ 一个向量α在基n εε,,1 下的坐标和其象A α在基A ,,1 εA n ε下的坐标相同.而内积等于两向量在标准正交基下的坐标的对应分量乘积之和,由此即得.3)⇔4):⇒ A 在标准正交基n εε,,1 下的矩阵就是标准正交基n εε,,1 到标准正交基A ,,1 εA n ε的过渡矩阵,所以是正交矩阵.⇐ 显然.正交变换的有关性质: 1) 正交变换是单射.2) 正交变换保持向量间的夹角不变,反之不然. 3) 在标准正交基下正交变换与正交矩阵一一对应.设A 是正交矩阵,则E A A =',两边取行列式得1±=A .行列式等于1的正交变换称为旋转,或第一类的;行列式等于-1的正交变换称为第二类的.例1 把二维几何平面围绕坐标原点按反时针方向旋转θ角的变换(274页例1),此变换保持向量的长度不变,所以是正交变换.其行列式为1cos sin sin cos =-θθθθ,所以它是第一类的.例2 H 是三维几何空间V 中过原点的一个平面,σ是对H 的镜面反射,可知σ保持向量的长度不变,所以是正交变换.在H 内取两个彼此正交的单位向量32,εε,再取一个垂直于H 的单位向量1ε,则321,,εεε构成V 的标准正交基.显然332211)(,)(,)(εεσεεσεεσ==-=,所以σ在此基下的矩阵是⎪⎪⎪⎭⎫⎝⎛-100010001,其行列式为1-,故σ是第二类的.一般地,在欧氏空间中去一组标准正交基n εε,,1 ,定义线性变换A 为;A 11εε-=,A i i εε= n i ,,3,2 =,那么A 是一个第二类的正交变换,这样的正交变换叫镜面反射.§5 子空间一. 向量与子空间、子空间与子空间的正交定义10 设21,V V 是欧氏空间V 的两个子空间,如果对21,V V ∈∈∀βα,恒有()0,=βα,则称21,V V 是正交的,记为21V V ⊥.一个向量α,如果满足1V ∈∀β,恒有()0,=βα,则称α与子空间1V 正交,记为1V ⊥α.定理5 若子空间s V V ,,1 两两正交,则和s V V V +++ 21是直和. 证明思路:证明零向量分解唯一.二.子空间的正交补定义11 子空间2V 称为子空间1V 的正交补,如果21V V ⊥并且V V V =+21. 注:21,V V 互为正交补.定理6 有限维欧氏空间V 的每个子空间1V 都有正交补,且正交补是唯一的. 证明思路 存在性:取1V 的一组标准正交基m εε,,1 ,将其扩充成V 的一组标准正交基m εε,,1 ,n m εε,,1 +,则),,(12n m L V εε +=就是1V 的正交补. 唯一性:设32,V V 都是1V 的正交补,证明32,V V 相互包含. 子空间1V 的唯一的正交补记为⊥1V .有()11V V =⊥⊥,维+)(1V 维=⊥)(1V 维)(V ,()⊥⊥⊥=+2121V V V V ,()⊥⊥⊥+=2121V V V V .推论 {}11|V V V ⊥∈=⊥αα. 证明思路:令{}1|V V W ⊥∈=αα,按定义证明1V W ⊥且V V W =+1. 例1 设1V 是三维几何空间中过原点的一个平面,1α是向量α在平面1V 上的内射影,则对于1V ∈∀β(1αβ≠),有βααα-<-1.(即从平面外一点到平面上点之间的距离以垂线最短)此结果可以推广到一般欧氏空间中: 因为⊥+=11V V V ,所以V ∈∀α,α有唯一的分解式21ααα+=(⊥∈∈1211,V V αα),这样对任一V ∈α,有唯一的11V ∈α与之对应,称1α为α在1V 上的内射影.内射影具有下述性质: 对1V ∈∀β(1αβ≠),有βααα-<-1.备注欧氏空间中保持内积不变的变换是否为正交变换?作业布置课后相应习题.第9章 欧几里德空间(第4讲)目标与要求理解和掌握正交变换与对称变换的概念与性质; 掌握实对称矩阵对角化的方法;掌握利用正交变换化二次型为标准形的方法.重点难点重点:掌握实对称矩阵实对称矩阵特征值与特征向量的性质,掌握实对称矩阵对角化的方法及利用正交变换化二次型为标准形的方法.难点:掌握正交矩阵化实对称矩阵为对角形矩阵的方法,理解有关定理的证明思想.设计安排首先介绍对称变换的概念和性质,其次讨论实对称矩阵特征值与特征向量的性质,给出主要定理:对于任意n 级实对称矩阵A 为,必存在n 级正交矩阵T ,使T T AT =T –1 AT =Λ为对角阵,Λ的对角线上的元素为A 的n 个特征值及利用正交矩阵化实对称矩阵为对角阵的步骤,最后阐述实二次型的有关结论.教学进程见幻灯片部分.(3时) 黑板与多媒体讲授相结合.教学内容§6 对称矩阵的标准形本节要证明的主要结论是:对任意一个n 阶实对称矩阵A ,都存在一个n 阶正交矩阵T ,使AT T AT T 1-='为对角矩阵.一.对称变换及其性质定义12 A 是欧氏空间V 的一个线性变换,如果V ∈∀βα,,有(A βα,)=(,αA β),则称A 为对称变换.引理2 A 实对称变换当且仅当A 在标准正交基下的矩阵是实对称矩阵. 证明思路:设A 在标准正交基 ,1εn ε,下的矩阵是()nn ij a A ⨯=,则A n ni i i a a εεε++= 11,于是(A ji j n ni i j i a a a =++=),(),11εεεεε ,(,i εA ij n nj j i j a a a =++=),()11εεεε , 可见(A ,(),i j i εεε=A )j εij ji a a =⇔,即A 是对称变换A ⇔是实对称矩阵.由此引理,对称变换的问题可以转化成实对称矩阵的问题,反之亦然.下边对实对称矩阵的研究就是采用了这种方法.下两个引理是对称变换的两个重要性质.引理3 设A 是对称变换,1V 是A -子空间,则⊥1V 也是A -子空间. 证明思路:对11,V V ∈∈∀⊥βα,有(A βα,)=0,所以A ⊥∈1V α. 引理4 设A 是对称变换,则A 的属于不同特征值的特征向量必正交.证明思路:设βα,是属于不同特征值μλ,的特征向量,由(A βα,)=(,αA β)即得.二.对实对称矩阵的相关讨论引理1 实对称矩阵的特征值均为实数.证明思路:设λξξ=A ,注意到A A A A ==',,用两种方法计算ξξA ',得ξξλξξλ'=',因为ξξ'是非零实数,所以λλ=.下边利用实对称矩阵A 构造nR 上的一个对称变换A ,以便用对A 的讨论代替对A 的讨论.设A 是一个实对称矩阵,作n R 上的线性变换A 如下:A :⎪⎪⎪⎪⎪⎭⎫ ⎝⎛⎪⎪⎪⎪⎪⎭⎫ ⎝⎛n n x x x A x x x2121显然A 在n R 的标准正交基⎪⎪⎪⎪⎪⎭⎫ ⎝⎛=⎪⎪⎪⎪⎪⎭⎫ ⎝⎛=⎪⎪⎪⎪⎪⎭⎫ ⎝⎛=100,,010,00121 n εεε下的矩阵是实对称矩阵A ,所以A 是n R 上的一个对称变换.定理7 对任意一个n 阶实对称矩阵A ,都存在一个n 阶正交矩阵T ,使AT T AT T 1-='为对角矩阵.证明思路分析:A 按上述方式可定义n R 上的一个对称变换A ,且A 在标准正交基n εεε,,,21 下的矩阵是A .如果能证明:A 有n 个特征向量n ξξξ,,,21 构成n R 的标准正交基,则有① 因为基n ξξξ,,,21 是由特征向量构成,所以A 在此基下的矩阵D 是对角形的; ② 因为D A ,是同一个线性变换在不同基下的矩阵,所以AT TD 1-=,其中T 是n εεε,,,21 到n ξξξ,,,21 的过渡矩阵;③ 由于标准正交基到标准正交基的过渡矩阵是正交矩阵,所以T T'=-1;④ 由基n εεε,,,21 构造上的特殊性可知,T 的列向量组就是n ξξξ,,,21 . 综合上述分析可知,只要证明A 有n 个特征向量构成nR 的标准正交基即可. 对n 阶实对称矩阵A ,求正交矩阵T ,使AT TAT T 1-='为对角矩阵的具体步骤:1) 求出A E -λ的全部根(均为实根),设r λλ,,1 是A 的全部不同的特征值.(它们的重数之和等于n );2) 对每个i λ,求线性方程组0)(1=⎪⎪⎪⎭⎫⎝⎛-n i x x A E λ的一个基础解系i in i i ξξξ,,,21 (基础解系中含向量的个数i n 一定等于i λ的重数);3) 利用施密特正交化过程将i in i i ξξξ,,,21 正交化、单位化,得到i V λ得一组标准正交基i in i ηη,,1 r i ,,2,1 =;4)以r rn r n n ηηηηηη,,,,,,,,,122111121 为列向量构造矩阵T ,则T 是正交阵且=D AT T ' 是对角矩阵.注:D 的主对角元恰为A 的全部特征值.每个特征值在D 中所处的列与其特征向量在T 中所处的列应当对应一致.例1 已知⎪⎪⎪⎪⎪⎭⎫⎝⎛----=0111101111011110A ,求一个正交矩阵T ,使AT T '为对角阵,并写出此对角阵.在定理7中,还可以进一步要求1=T (或-1).事实上:如果所求得的T 的行列式等于-1,则可取⎪⎪⎪⎪⎪⎭⎫ ⎝⎛-=111 S ,令TS T =1,那么1T 是行列式等于1的正交矩阵,且AT T AT T '='11为对角形矩阵.当然也可以交换T 的两列的位置,即令),(2j i TP T =,则2T 也是行列式等于1的正交矩阵,且22AT T '亦为对角矩阵,但是AT T AT T '≠'22(22AT T '是交换了AT T '主对角线上第i 个元素和第j 个元素的位置).上边对实对称矩阵的结论也可以用二次型的语言叙述如下:如果线性替换CY X =的矩阵()ij c C =是正交矩阵,则称此线性替换是正交的线性替换.正交的线性替换显然是非退化的.定理8 任意一个实二次型AX X '(A A =')都可以经过正交的线性替换化为平方和2222211n n y y y λλλ+++其中平方项的系数n λλλ,,,21 就是A 的全部特征值(重特征值按重数计).由此可得:A 是正定的A ⇔的特征值全大于0.三.在二次曲面(线)方程化简上的应用 在直角坐标系下,二次曲面的一般方程是0222222221231312233222211=+++++++++d z b y b x b yx a xz a xy a z a y a x a令 ⎪⎪⎪⎭⎫⎝⎛=332313232212131211a a a a a a a a a A ,⎪⎪⎪⎭⎫ ⎝⎛=z y x X ,⎪⎪⎪⎭⎫ ⎝⎛=321b b b B ,则二次曲面的方程可写成02=+'+'d X B AX X ,其中AX X '是一个实二次型,有上述讨论,有行列式等于1的正交矩阵C ()ij c =,使⎪⎪⎪⎭⎫⎝⎛='321λλλAC C . 构造坐标变换 ⎪⎪⎪⎭⎫⎝⎛⎪⎪⎪⎭⎫⎝⎛===⎪⎪⎪⎭⎫ ⎝⎛1113332312322211312111z y x c c c c c c c c c CX X z y x ,这是一个从右手系到右手系的旋转.在新坐标系中,曲面的方程为0)(2)(111=+'+''d X C B X AC C X , 即: 02221*31*21*1213212211=++++++d z b y b x b z y x λλλ.其中C B C b b b b b b '==),,(),,(321*3*2*1.此时,再按照321,,λλλ是否为0的情况,作适当的坐标平移就可把曲面方程化为标准方程.比如:当321,,λλλ均不为0时,将方程配方032*322*212*123*31322*21221*111=⎪⎪⎭⎫ ⎝⎛---+⎪⎪⎭⎫ ⎝⎛++⎪⎪⎭⎫ ⎝⎛++⎪⎪⎭⎫ ⎝⎛+λλλλλλλλλb b b d b z b y b x 作坐标平移⎪⎪⎪⎩⎪⎪⎪⎨⎧+=+=+=3*3122*2121*112λλλb z z b y y b x x 则曲面方程化为标准方程0*223222221=+++d z y x λλλ,其中32*322*212*1*λλλb b b d d ---=.备注归纳解题思路方法,给学生留出时间做练习.课堂思考练习、评讲达到使学生吸收消化重点内容的目的.作业布置课后相应习题.第9章欧几里德空间(第5讲)目标与要求掌握利用应用软件Mathematica进行向量运算的相关命令.掌握利用应用软件Mathematica计算线性变换的特征值与特征向量的相关命令.掌握利用应用软件Mathematica进行二次型正定性判定的命令和方法.掌握利用应用软件Mathematica求线性空间基、标准正交基、维数与坐标的方法.重点难点重点:掌握利用应用软件Mathematica完成下述内容1.向量的加法、数乘.2.向量内积、模、夹角.3.线性变换的特征值与特征向量、Hamilton-Cayley定理.4.矩阵对角化(一般矩阵、实对称矩阵).5.化二次型为标准型、二次型正定性判定.6.线性空间的维数、基与坐标.7.线性空间的标准正交基.难点:命令格式、含义.设计安排针对实验三中对二次型、线性空间、线性变换、欧几里德空间的实验要求,对涉及的重点内容做Mathematica4.0演示,提供实验事例;教学进程见实验讲义第四讲(2课时).教学内容习题课应用Mathematica4.0进行二次型线性空间线性变换欧几里德空间的相关运算(课程实验三预备知识)相关命令αβαk ,+]../.[..ββααβαααααArcCos 、、Eigenvalues [A ] Eigenvalues [N[A ]] Eigenvectors [A ] Eigensystem [A ]DiagonalMatrix [lst ] RowReduce [A ]CharacteristicPolynomial [矩阵,变量] Normalize[向量].GramSchmidt [向量列表]备注习题课(2课时).作业布置熟悉《高等代数》课程实验(上 机 三).。
第九章欧几里得空间习题解答P394.1.1(,)'0(""0)'(')'''(,)A A A αααααβαβαβααβαβ∴=≥=⇔====正定非负性证得由矩阵失去,线性性成立,再由(,)=A A 对称性成立,是一个内积()1111161P394.1.2,(06);19,,P394.1.2|(,)|||||(,)|i ijiji j n nnij i ji j n n ij i j i j A a x y c s B a x y εεαεεεαβαβαβ====⎛⎫ ⎪ ⎪== ⎪ ⎪ ⎪⎝⎭∴≤=∴--≤∑∑∑∑的度量矩阵即为A不等式为|()393.2P ①, α=(2,1,3,2), β=(1,2,-2,1)|||,)0,,2αβαβαβπαβ∴====∴⊥∴=〈〉393.2P ②, α=(1,2,2,3), β=(3,1,5,1)|||6,(,)18(,)(,)arc cos ||||4arc arc αβαβαβπαβαβ=====∴====393.2P ③, α=(1,1,1,2), β=(3,1,-1,0)||||(,)3,arc 700'30''38αβαβαβ===∴==︒〈〉P393. 3||||||αβαβ+≤+(,)|||()()||||(,)(,)d d d αγαγαββγαββγαββγ∴=-=-+-≤-+-+ =P393.4在4R 中求一单位向量与(1,1,-1),(1,-1,1-,1),(2,1,1,3)正交解设所求212341234123412344123(,,,)1,00230111111111111111020001003,2113013100314,0,14i x x x x x x x x x x x x x x x x x x x x x x αα==+-+=⎧⎫⎪⎪--+=⎨⎬⎪⎪+++=⎭⎩⎛⎫-⎛⎫⎛⎫--⎪⎪ ⎪ ⎪ ⎪ ⎪--→-→=⎪⎪ ⎪ ⎪ ⎪ ⎪+ ⎪⎝⎭⎝⎭⎝⎭===-=-∑则且与各向量的内积为0得令得,0,1,3),()-单位化393.5P ①证:因为12(,)0, 1.2,,i n i n γαααα==而是一个基11(,)(,)(,)0.0.nni i i i i i k k γγγαγαγ==∴====∑∑因此,必有393.5P ②证,12(,)(,), 1.2,i i i n γαγα==12(,)0, 1.2i i n γγα∴-==由第①小题:12120,γγγγ-==故P393.61231232211(,,)(,,)2123122αααεεε⎛⎫ ⎪=-- ⎪ ⎪--⎝⎭而1232211212,,3122ααα⎛⎫⎪-- ⎪ ⎪--⎝⎭是正交矩阵,所以是标准正交基11212431231212121124512451131212351152124531235393.7,/2(,)1111(22)(,)222221210)22)1()2s P αεεαεεεεεεεβααββαβαβεεεεεεεεβββαββεεεεηεεηεεεεηεεεε==-+=++==-=-=-+-=-+-=--=++-=+=-+-=++-123解:再正交化称:P394.8,解:123452111310014001110101115X X X X X X ⎛⎫ ⎪ ⎪---⎛⎫⎛⎫ ⎪=→= ⎪ ⎪--- ⎪⎝⎭⎝⎭⎪ ⎪⎝⎭解出:123014115100010001ηηη-⎛⎫⎛⎫⎛⎫ ⎪ ⎪ ⎪- ⎪ ⎪ ⎪⎪ ⎪ ⎪=== ⎪ ⎪ ⎪ ⎪ ⎪ ⎪ ⎪ ⎪ ⎪⎝⎭⎝⎭⎝⎭Schmidt:1221331022711161151311116222105022130005ββηββηβ--⎛⎫⎛⎫⎛⎫⎛⎫ ⎪ ⎪ ⎪ ⎪- ⎪ ⎪ ⎪ ⎪ ⎪ ⎪ ⎪ ⎪==-=-=++-= ⎪⎪ ⎪ ⎪ ⎪ ⎪ ⎪ ⎪ ⎪ ⎪ ⎪ ⎪⎝⎭⎝⎭⎝⎭⎝⎭单位化便得到解空间的标准正交基:123766135εεε⎛⎛⎫⎛⎫⎪⎪-⎪⎪⎪⎪====⎪⎪⎪⎪⎪ ⎪ ⎪⎝⎭⎪ ⎪⎝⎭ ⎪⎝⎭P394.9 11(,)()()f g f x g x d x-=⎰已知2312341,,,x x xαααα====解:111βα==21122111223132321211223434142441234112233111222(,)(,)*2(,)(,)1310(,)(,)232(,)(,)(,)352(,)(,)(,)532(,)2||(,)||3(xdxx xx xx x x αββαβββαβαββαββββββαβαβαββαβββαββββββββββββ--=-=-=--=---=-=---=--=-====⎰又142333116424441218,)()||3945698(,)()||525175x x dxx x x dxββββββ+--=-+===-+==⎰⎰单位化标准正交基312324,1),3)396.17.4133333333133333343313333333313333x x x xPA A Eγγγγ===-=-------⎛⎫⎛⎫⎪ ⎪-----⎪ ⎪==⎪ ⎪-----⎪ ⎪⎪ ⎪-----⎝⎭⎝⎭1123443() 4.840Acy Tr A x x λλλλχχ∴===-⇒==-+-=221-秩(A+4E)=1至少为重根,而-(4+4+4)+解(A+4E)x=o,即1111210311111110212003⎛⎫⎛⎫⎛⎫ ⎪ ⎪ ⎪-- ⎪ ⎪ ⎪ ⎪ ⎪ ⎪- ⎪ ⎪ ⎪ ⎪ ⎪ ⎪⎝⎭⎝⎭⎝⎭⎛⎫⎛⎫⎛⎫ ⎪ ⎪ ⎪-- ⎪⎪⎪ ⎪⎪⎪-- ⎪⎪⎪ ⎪⎪⎪⎝⎭⎝⎭⎝⎭得正交基础体系1100单位化为28λ⎛⎫ ⎪ ⎪ ⎪ ⎪ ⎪⎝⎭解(A-8E)x=0.得解取自A+4E的一列3-33-31111121124124'1402812T T AT T AT -⎛⎫ ⎪- ⎪ ⎪ ⎪ ⎪-⎝⎭-⎛⎫- ⎪- ⎪=== ⎪- ⎪ ⎪⎝⎭-单位化为令则112121211111111395.10.10(,,)(,)(,)0,.(,)(,)0P V V V V V k k k V ββαβαβαβββββαβαβ∈≠∅=+=⇒+∈⎫∀∈∴≤⎬==⇒∈⎭11123123111P395.10.2 0dim 1.,,,(2)(,)dim 1.dim 1.n n V V n V i V i L V V n V n αααααααααααα≠∴∉≤-=∈≥∴≤⇒≥-∴≥-故将扩充为的一个正交基那么.P394,11①设两个基:12,12,,,n n εεεηηη及,它们的度量矩阵分别为A 和B,并设121211122111221212'''221122(,,,)(,,,),,(,,)(,,,)(,,)(,,,),(,)(')'()n n n n n n CV X X Y Y X CX Y CY X BY X AY X C AC Y C AC B ηηηεεεαβαεεηηηβεεηηηαβ=∈=========∴=任设所以合同P394.11②, 取V 的一个基12,,,,n A ααα其度量矩阵为因为A 正交,故存在矩阵C,使12121212',,,,,,',,,n n n n C AC E ηηηαααηηηηηη=C AC=E做基(,)=()C,那么,的度量矩阵为因此,为标准正交基.1212121212121212211111P394.12,,,,(,)(,,)()(,,),,|(,,)|,,,,(,,|0()0|()|||0,m ij i j m ij m mm m m m m m V G G G G G ααααααααααααααααααααααααααααααααα⨯∈==⇔≠⇔>⇔=≠记:,称,为,的Gram 矩阵称,为,的Gram 行列式证明,线性无关,)证:若m=1,线性无关,成立121211,|(,,)|0(,,)(,)(,,)0,0,1,2,.n m mj k k ij k ik k i k k k jk jk ji j k k k jm G A c c a c c i m αααβββββααααααγ=≠≠≠≠>==⇔=⇔==⇔-=∴⇔==∑∑∑∑若而,不妨设,1212(,,,),,,,j k k m k jj k m k jc L ck γαααααααααα≠≠=-∈⇔=⇔∑∑线性相关211212112121222122122222212122123|()|||||||||cos (,),(,)|(,)|(,),(,)||||cos ||||||(1cos )(||||cos )|(,,)|()G G G αααααθααααααααααααθαααθααθααα====-==类似地:平行六面体积P394,13,设:1222000n n n n nn A αααααα⎛⎫⎪ ⎪= ⎪⎪⎝⎭因为A 正交,故A'A=E ,令A=12(,,)n βββ由第1行列,211111,1αα==±由β1与其余各列正交,β1⊥βj (j>1),(β1,βj )=111100(1)j j a a j α=⇒=>1100A A ±⎛⎫∴= ⎪⎝⎭其中A 1仍为上三角正交矩阵,但阶数少1,故可用归纳法给出证明,且n=1时显然为真,由归纳法原理,证毕。
第九章欧几里得空间习题解答P394.1.1(,)'0(""0)'(')'''(,)A A A αααααβαβαβααβαβ∴=≥=⇔====正定非负性证得由矩阵失去,线性性成立,再由(,)=A A 对称性成立,是一个内积()1111161P394.1.2,(06);19,,P394.1.2|(,)|||||(,)|i ijiji j n nnij i ji j n n ij i j i j A a x y c s B a x y εεαεεεαβαβαβ====⎛⎫ ⎪ ⎪== ⎪ ⎪ ⎪⎝⎭∴≤=∴--≤∑∑∑∑的度量矩阵即为A不等式为|()393.2P ①, α=(2,1,3,2), β=(1,2,-2,1)|||,)0,,2αβαβαβπαβ∴====∴⊥∴=〈〉393.2P ②, α=(1,2,2,3), β=(3,1,5,1)|||6,(,)18(,)(,)arc cos ||||4arc arc αβαβαβπαβαβ=====∴====393.2P ③, α=(1,1,1,2), β=(3,1,-1,0)||||(,)3,arc 700'30''38αβαβαβ===∴==︒〈〉P393. 3||||||αβαβ+≤+(,)|||()()||||(,)(,)d d d αγαγαββγαββγαββγ∴=-=-+-≤-+-+ =P393.4在4R 中求一单位向量与(1,1,-1),(1,-1,1-,1),(2,1,1,3)正交解设所求212341234123412344123(,,,)1,00230111111111111111020001003,2113013100314,0,14i x x x x x x x x x x x x x x x x x x x x x x αα==+-+=⎧⎫⎪⎪--+=⎨⎬⎪⎪+++=⎭⎩⎛⎫-⎛⎫⎛⎫--⎪⎪ ⎪ ⎪ ⎪ ⎪--→-→=⎪⎪ ⎪ ⎪ ⎪ ⎪+ ⎪⎝⎭⎝⎭⎝⎭===-=-∑则且与各向量的内积为0得令得,0,1,3),()-单位化393.5P ①证:因为12(,)0, 1.2,,i n i n γαααα==而是一个基11(,)(,)(,)0.0.nni i i i i i k k γγγαγαγ==∴====∑∑因此,必有393.5P ②证,12(,)(,), 1.2,i i i n γαγα==12(,)0, 1.2i i n γγα∴-==由第①小题:12120,γγγγ-==故P393.61231232211(,,)(,,)2123122αααεεε⎛⎫ ⎪=-- ⎪ ⎪--⎝⎭而1232211212,,3122ααα⎛⎫⎪-- ⎪ ⎪--⎝⎭是正交矩阵,所以是标准正交基11212431231212121124512451131212351152124531235393.7,/2(,)1111(22)(,)222221210)22)1()2s P αεεαεεεεεεεβααββαβαβεεεεεεεεβββαββεεεεηεεηεεεεηεεεε==-+=++==-=-=-+-=-+-=--=++-=+=-+-=++-123解:再正交化称:P394.8,解:123452111310014001110101115X X X X X X ⎛⎫ ⎪ ⎪---⎛⎫⎛⎫ ⎪=→= ⎪ ⎪--- ⎪⎝⎭⎝⎭⎪ ⎪⎝⎭解出:123014115100010001ηηη-⎛⎫⎛⎫⎛⎫ ⎪ ⎪ ⎪- ⎪ ⎪ ⎪⎪ ⎪ ⎪=== ⎪ ⎪ ⎪ ⎪ ⎪ ⎪ ⎪ ⎪ ⎪⎝⎭⎝⎭⎝⎭Schmidt:1221331022711161151311116222105022130005ββηββηβ--⎛⎫⎛⎫⎛⎫⎛⎫ ⎪ ⎪ ⎪ ⎪- ⎪ ⎪ ⎪ ⎪ ⎪ ⎪ ⎪ ⎪==-=-=++-= ⎪⎪ ⎪ ⎪ ⎪ ⎪ ⎪ ⎪ ⎪ ⎪ ⎪ ⎪⎝⎭⎝⎭⎝⎭⎝⎭单位化便得到解空间的标准正交基:123766135εεε⎛⎛⎫⎛⎫⎪⎪-⎪⎪⎪⎪====⎪⎪⎪⎪⎪ ⎪ ⎪⎝⎭⎪ ⎪⎝⎭ ⎪⎝⎭P394.9 11(,)()()f g f x g x d x-=⎰已知2312341,,,x x xαααα====解:111βα==21122111223132321211223434142441234112233111222(,)(,)*2(,)(,)1310(,)(,)232(,)(,)(,)352(,)(,)(,)532(,)2||(,)||3(xdxx xx xx x x αββαβββαβαββαββββββαβαβαββαβββαββββββββββββ--=-=-=--=---=-=---=--=-====⎰又142333116424441218,)()||3945698(,)()||525175x x dxx x x dxββββββ+--=-+===-+==⎰⎰单位化标准正交基312324,1),3)396.17.4133333333133333343313333333313333x x x xPA A Eγγγγ===-=-------⎛⎫⎛⎫⎪ ⎪-----⎪ ⎪==⎪ ⎪-----⎪ ⎪⎪ ⎪-----⎝⎭⎝⎭1123443() 4.840Acy Tr A x x λλλλχχ∴===-⇒==-+-=221-秩(A+4E)=1至少为重根,而-(4+4+4)+解(A+4E)x=o,即1111210311111110212003⎛⎫⎛⎫⎛⎫ ⎪ ⎪ ⎪-- ⎪ ⎪ ⎪ ⎪ ⎪ ⎪- ⎪ ⎪ ⎪ ⎪ ⎪ ⎪⎝⎭⎝⎭⎝⎭⎛⎫⎛⎫⎛⎫ ⎪ ⎪ ⎪-- ⎪⎪⎪ ⎪⎪⎪-- ⎪⎪⎪ ⎪⎪⎪⎝⎭⎝⎭⎝⎭得正交基础体系1100单位化为28λ⎛⎫ ⎪ ⎪ ⎪ ⎪ ⎪⎝⎭解(A-8E)x=0.得解取自A+4E的一列3-33-31111121124124'1402812T T AT T AT -⎛⎫ ⎪- ⎪ ⎪ ⎪ ⎪-⎝⎭-⎛⎫- ⎪- ⎪=== ⎪- ⎪ ⎪⎝⎭-单位化为令则112121211111111395.10.10(,,)(,)(,)0,.(,)(,)0P V V V V V k k k V ββαβαβαβββββαβαβ∈≠∅=+=⇒+∈⎫∀∈∴≤⎬==⇒∈⎭11123123111P395.10.2 0dim 1.,,,(2)(,)dim 1.dim 1.n n V V n V i V i L V V n V n αααααααααααα≠∴∉≤-=∈≥∴≤⇒≥-∴≥-故将扩充为的一个正交基那么.P394,11①设两个基:12,12,,,n n εεεηηη及,它们的度量矩阵分别为A 和B,并设121211122111221212'''221122(,,,)(,,,),,(,,)(,,,)(,,)(,,,),(,)(')'()n n n n n n CV X X Y Y X CX Y CY X BY X AY X C AC Y C AC B ηηηεεεαβαεεηηηβεεηηηαβ=∈=========∴=任设所以合同P394.11②, 取V 的一个基12,,,,n A ααα其度量矩阵为因为A 正交,故存在矩阵C,使12121212',,,,,,',,,n n n n C AC E ηηηαααηηηηηη=C AC=E做基(,)=()C,那么,的度量矩阵为因此,为标准正交基.1212121212121212211111P394.12,,,,(,)(,,)()(,,),,|(,,)|,,,,(,,|0()0|()|||0,m ij i j m ij m mm m m m m m V G G G G G ααααααααααααααααααααααααααααααααα⨯∈==⇔≠⇔>⇔=≠记:,称,为,的Gram 矩阵称,为,的Gram 行列式证明,线性无关,)证:若m=1,线性无关,成立121211,|(,,)|0(,,)(,)(,,)0,0,1,2,.n m mj k k ij k ik k i k k k jk jk ji j k k k jm G A c c a c c i m αααβββββααααααγ=≠≠≠≠>==⇔=⇔==⇔-=∴⇔==∑∑∑∑若而,不妨设,1212(,,,),,,,j k k m k jj k m k jc L ck γαααααααααα≠≠=-∈⇔=⇔∑∑线性相关211212112121222122122222212122123|()|||||||||cos (,),(,)|(,)|(,),(,)||||cos ||||||(1cos )(||||cos )|(,,)|()G G G αααααθααααααααααααθαααθααθααα====-==类似地:平行六面体积P394,13,设:1222000n n n n nn A αααααα⎛⎫⎪ ⎪= ⎪⎪⎝⎭因为A 正交,故A'A=E ,令A=12(,,)n βββ由第1行列,211111,1αα==±由β1与其余各列正交,β1⊥βj (j>1),(β1,βj )=111100(1)j j a a j α=⇒=>1100A A ±⎛⎫∴= ⎪⎝⎭其中A 1仍为上三角正交矩阵,但阶数少1,故可用归纳法给出证明,且n=1时显然为真,由归纳法原理,证毕。
⾼等代数欧⼏⾥得空间知识点总结第九章欧⼏⾥得空间( * * * )⼀、复习指导:在第九章中,有两个重要的考点:1.标准正交基(施密特正交化)2.实对称矩阵如何相似对⾓化,如何求标准形。
除此之外,欧⽒空间的含义,概念,性质也要作为⼀个⽐较重要的内容来复习。
⼆、考点精讲:三、⾸师⼤真题:(⼀)欧⽒空间1.设V 是是数域R 上⼀线性空间,在V 上定义了⼀个⼆元实函数,称为内积,记为(,)αβ,特具有⼀下性质:(1)(,)(,)αββα=;(2)(,)(,)k k αβαβ=(3)(,)(,)(,)αβγαγβγ+=+;(4)(,)0αα≥,当且仅当α=0时(,)αβ=0.这⾥,,αβγ是V 中任意的向量,k 是任意实数,这样的线性空间V 称为欧⼏⾥得空间。
2.α的长度,记为α。
3.⾮零向量的夹⾓,β规定为(,),arccos,0,ααβαβπαβ=≤≤4.如果向量,αβ的内积为零,即(,)0αβ=,那么,αβ称为正交或互相垂直,记为αβ⊥。
5.设V 是⼀个n 维欧⼏⾥得空间,在V 中取⼀组基1,2,......,n εεε令(,),(,1,2,....)ij i j a i j n εε==矩阵()ij n n A a ?= 称为基1,2,......,n εεε的度量矩阵。
(1)度量矩阵是正定的;(2)不同基底的度量矩阵是合同的。
6.欧⽒空间V 中⼀组⾮零向量,如果它们两两正交,就称为⼀正交向量组。
在n 维欧⽒空间中,由n 个向量组成的正交向量组称为正交基;由单位向量组成的正交基称为标准正交基。
(1)施密特正交化这是把线性⽆关向量组改造为单位正交向量组的⽅法. 以3个线性⽆关向量α1,α2,α3为例. ①令β1=α1,β2=α2-11112),(),(ββββα,β3=α3-11113),(),(ββββα-22223),(),(ββββα. 此时β1,β2,β3是和α1,α2,α3 等价的正交⾮零向量组.(⼆)同构1.实数域R 上欧⽒空间V 与'v 称为同构,如果由V 到'v 有⼀个1-1上的映射σ,适合(1)()()()σαβσασβ+=+ (2)()()k k σασα=(3)((),())(,)σασβαβ= 这⾥,,V k R αβ∈∈,这样的映射σ称为V 到'v 的同构映射。
第九章欧几里得空间习题解答P394.1.1(,)'0(""0)'(')'''(,)A A A αααααβαβαβααβαβ∴=≥=⇔====正定非负性证得由矩阵失去,线性性成立,再由(,)=A A 对称性成立,是一个内积()1111161P394.1.2,(06);19,,P394.1.2|(,)|||||(,)|i ijiji j n nnij i ji j n n ij i j i j A a x y c s B a x y εεαεεεαβαβαβ====⎛⎫ ⎪ ⎪== ⎪ ⎪ ⎪⎝⎭∴≤=∴--≤∑∑∑∑的度量矩阵即为A不等式为|()393.2P ①, α=(2,1,3,2), β=(1,2,-2,1)|||,)0,,2αβαβαβπαβ∴====∴⊥∴=〈〉393.2P ②, α=(1,2,2,3), β=(3,1,5,1)|||6,(,)18(,)(,)arc cos ||||4arc arc αβαβαβπαβαβ=====∴====393.2P ③, α=(1,1,1,2), β=(3,1,-1,0)||||(,)3,arc 700'30''38αβαβαβ===∴==︒〈〉P393. 3||||||αβαβ+≤+(,)|||()()||||(,)(,)d d d αγαγαββγαββγαββγ∴=-=-+-≤-+-+ =P393.4在4R 中求一单位向量与(1,1,-1),(1,-1,1-,1),(2,1,1,3)正交解设所求212341234123412344123(,,,)1,00230111111111111111020001003,2113013100314,0,14i x x x x x x x x x x x x x x x x x x x x x x αα==+-+=⎧⎫⎪⎪--+=⎨⎬⎪⎪+++=⎭⎩⎛⎫-⎛⎫⎛⎫--⎪⎪ ⎪ ⎪ ⎪ ⎪--→-→=⎪⎪ ⎪ ⎪ ⎪ ⎪+ ⎪⎝⎭⎝⎭⎝⎭===-=-∑则且与各向量的内积为0得令得,0,1,3),()-单位化393.5P ①证:因为12(,)0, 1.2,,i n i n γαααα==而是一个基11(,)(,)(,)0.0.nni i i i i i k k γγγαγαγ==∴====∑∑因此,必有393.5P ②证,12(,)(,), 1.2,i i i n γαγα==12(,)0, 1.2i i n γγα∴-==由第①小题:12120,γγγγ-==故P393.61231232211(,,)(,,)2123122αααεεε⎛⎫ ⎪=-- ⎪ ⎪--⎝⎭而1232211212,,3122ααα⎛⎫⎪-- ⎪ ⎪--⎝⎭是正交矩阵,所以是标准正交基11212431231212121124512451131212351152124531235393.7,/2(,)1111(22)(,)222221210)22)1()2s P αεεαεεεεεεεβααββαβαβεεεεεεεεβββαββεεεεηεεηεεεεηεεεε==-+=++==-=-=-+-=-+-=--=++-=+=-+-=++-123解:再正交化称:P394.8,解:123452111310014001110101115X X X X X X ⎛⎫ ⎪ ⎪---⎛⎫⎛⎫ ⎪=→= ⎪ ⎪--- ⎪⎝⎭⎝⎭⎪ ⎪⎝⎭解出:123014115100010001ηηη-⎛⎫⎛⎫⎛⎫ ⎪ ⎪ ⎪- ⎪ ⎪ ⎪⎪ ⎪ ⎪=== ⎪ ⎪ ⎪ ⎪ ⎪ ⎪ ⎪ ⎪ ⎪⎝⎭⎝⎭⎝⎭Schmidt:1221331022711161151311116222105022130005ββηββηβ--⎛⎫⎛⎫⎛⎫⎛⎫ ⎪ ⎪ ⎪ ⎪- ⎪ ⎪ ⎪ ⎪ ⎪ ⎪ ⎪ ⎪==-=-=++-= ⎪⎪ ⎪ ⎪ ⎪ ⎪ ⎪ ⎪ ⎪ ⎪ ⎪ ⎪⎝⎭⎝⎭⎝⎭⎝⎭单位化便得到解空间的标准正交基:123766135εεε⎛⎛⎫⎛⎫⎪⎪-⎪⎪⎪⎪====⎪⎪⎪⎪⎪ ⎪ ⎪⎝⎭⎪ ⎪⎝⎭ ⎪⎝⎭P394.9 11(,)()()f g f x g x d x-=⎰已知2312341,,,x x xαααα====解:111βα==21122111223132321211223434142441234112233111222(,)(,)*2(,)(,)1310(,)(,)232(,)(,)(,)352(,)(,)(,)532(,)2||(,)||3(xdxx xx xx x x αββαβββαβαββαββββββαβαβαββαβββαββββββββββββ--=-=-=--=---=-=---=--=-====⎰又142333116424441218,)()||3945698(,)()||525175x x dxx x x dxββββββ+--=-+===-+==⎰⎰单位化标准正交基312324,1),3)396.17.4133333333133333343313333333313333x x x xPA A Eγγγγ===-=-------⎛⎫⎛⎫⎪ ⎪-----⎪ ⎪==⎪ ⎪-----⎪ ⎪⎪ ⎪-----⎝⎭⎝⎭1123443() 4.840Acy Tr A x x λλλλχχ∴===-⇒==-+-=221-秩(A+4E)=1至少为重根,而-(4+4+4)+解(A+4E)x=o,即1111210311111110212003⎛⎫⎛⎫⎛⎫ ⎪ ⎪ ⎪-- ⎪ ⎪ ⎪ ⎪ ⎪ ⎪- ⎪ ⎪ ⎪ ⎪ ⎪ ⎪⎝⎭⎝⎭⎝⎭⎛⎫⎛⎫⎛⎫ ⎪ ⎪ ⎪-- ⎪⎪⎪ ⎪⎪⎪-- ⎪⎪⎪ ⎪⎪⎪⎝⎭⎝⎭⎝⎭得正交基础体系1100单位化为28λ⎛⎫ ⎪ ⎪ ⎪ ⎪ ⎪⎝⎭解(A-8E)x=0.得解取自A+4E的一列3-33-31111121124124'1402812T T AT T AT -⎛⎫ ⎪- ⎪ ⎪ ⎪ ⎪-⎝⎭-⎛⎫- ⎪- ⎪=== ⎪- ⎪ ⎪⎝⎭-单位化为令则112121211111111395.10.10(,,)(,)(,)0,.(,)(,)0P V V V V V k k k V ββαβαβαβββββαβαβ∈≠∅=+=⇒+∈⎫∀∈∴≤⎬==⇒∈⎭11123123111P395.10.2 0dim 1.,,,(2)(,)dim 1.dim 1.n n V V n V i V i L V V n V n αααααααααααα≠∴∉≤-=∈≥∴≤⇒≥-∴≥-故将扩充为的一个正交基那么.P394,11①设两个基:12,12,,,n n εεεηηη及,它们的度量矩阵分别为A 和B,并设121211122111221212'''221122(,,,)(,,,),,(,,)(,,,)(,,)(,,,),(,)(')'()n n n n n n CV X X Y Y X CX Y CY X BY X AY X C AC Y C AC B ηηηεεεαβαεεηηηβεεηηηαβ=∈=========∴=任设所以合同P394.11②, 取V 的一个基12,,,,n A ααα其度量矩阵为因为A 正交,故存在矩阵C,使12121212',,,,,,',,,n n n n C AC E ηηηαααηηηηηη=C AC=E做基(,)=()C,那么,的度量矩阵为因此,为标准正交基.1212121212121212211111P394.12,,,,(,)(,,)()(,,),,|(,,)|,,,,(,,|0()0|()|||0,m ij i j m ij m mm m m m m m V G G G G G ααααααααααααααααααααααααααααααααα⨯∈==⇔≠⇔>⇔=≠记:,称,为,的Gram 矩阵称,为,的Gram 行列式证明,线性无关,)证:若m=1,线性无关,成立121211,|(,,)|0(,,)(,)(,,)0,0,1,2,.n m mj k k ij k ik k i k k k jk jk ji j k k k jm G A c c a c c i m αααβββββααααααγ=≠≠≠≠>==⇔=⇔==⇔-=∴⇔==∑∑∑∑若而,不妨设,1212(,,,),,,,j k k m k jj k m k jc L ck γαααααααααα≠≠=-∈⇔=⇔∑∑线性相关211212112121222122122222212122123|()|||||||||cos (,),(,)|(,)|(,),(,)||||cos ||||||(1cos )(||||cos )|(,,)|()G G G αααααθααααααααααααθαααθααθααα====-==类似地:平行六面体积P394,13,设:1222000n n n n nn A αααααα⎛⎫⎪ ⎪= ⎪⎪⎝⎭因为A 正交,故A'A=E ,令A=12(,,)n βββ由第1行列,211111,1αα==±由β1与其余各列正交,β1⊥βj (j>1),(β1,βj )=111100(1)j j a a j α=⇒=>1100A A ±⎛⎫∴= ⎪⎝⎭其中A 1仍为上三角正交矩阵,但阶数少1,故可用归纳法给出证明,且n=1时显然为真,由归纳法原理,证毕。