半导体器件原理-第二章
- 格式:ppt
- 大小:7.10 MB
- 文档页数:143
第二章半导体基本器件内容提要【了解】半导体的相关知识【熟悉】二极管(即PN结)的单向导电性及主要参数【了解】三极管的电流放大原理【熟悉】三极管输出特性曲线的三个工作区及条件和特点、主要参数【了解】MOS管的工作原理、相应的三个工作区以及与三极管的性能区别一.复习提要二.典型例题三.本章小结复习提要:*了解半导体基础相关知识:半导体(导电性能介于┉)、本征半导体(纯净,晶体)、共价键(共用电子对);热激发:自由电子-空穴对、载流子、复合、浓度(微量,温度影响) ;掺杂半导体:N型(五价磷)、P型半导体(三价硼)、多子、少子;PN结:扩散、离子、空间电荷区、内电场EIN、阻挡层、漂移、动态平衡。
(p38~p41)本征半导体掺杂半导体PN结一.PN结(二极管)的单向导电性:p41单向导电性1.PN结内部扩散和漂移的动态平衡(空间电荷区的调节作用);2.外加电压(外电场)打破原有的平衡(加正向偏压,削弱了内电场的作用,有利于扩散,形成较大的正向电流,导通;加反向偏压,增强了内电场的作用,有利于漂移,形成微弱的反向电流,截止);3.熟悉PN结的伏安特性(i~u):硅和锗的导通电压U ON分别为0.5V和0.1V、正向电压降U D分别为0.6~0.8V和0.1~0.3V,击穿电压U(RB)、二极管符号、主要参数(p43)及应用(数字:开关;模拟:整流、限幅;稳压管:正常工作在反向击穿状态,为了使稳压管不会因过流而损坏,应当在电路中加限流电阻(见图2.1.9)。
伏安特性稳压管电路*了解三极管电流放大原理:(1)发射结正偏,其正向电流主要是由发射区的多子向基区扩散所形成的电流I E(因为发射区重掺杂而基区掺杂浓度很低,故基区的多子向发射区扩散可以忽略);(2) 注入到基区的多子在基区的复合和继续扩散;(3) 复合所形成基极复合电流I BN(≈I B)很小,大部分扩散被集电结反向偏置电场吸引到集电区,形成较大的集电极收集电流I CN(≈I C)(因为基区薄、掺杂浓度低,集电结反偏)。
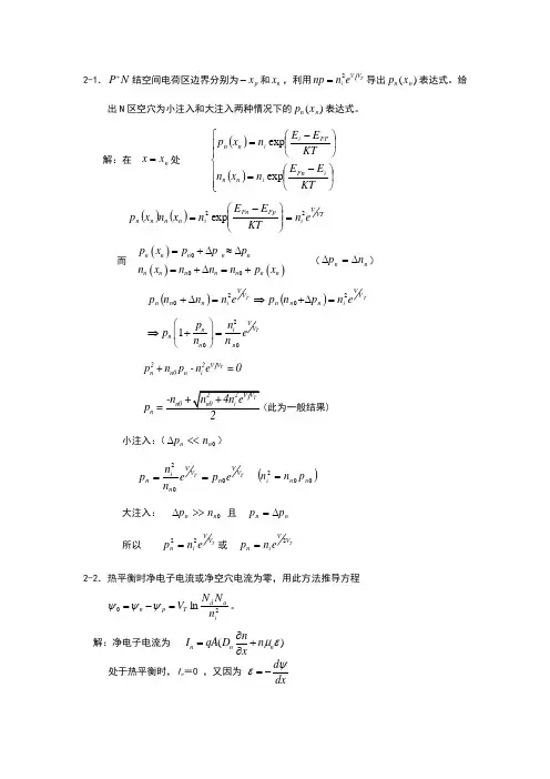
2-1.P N +结空间电荷区边界分别为p x -和n x ,利用2TV V i np n e=导出)(n n x p 表达式。
给出N 区空穴为小注入和大注入两种情况下的)(n n x p 表达式。
解:在n x x =处 ()()⎪⎪⎩⎪⎪⎨⎧⎪⎭⎫ ⎝⎛-=⎪⎭⎫⎝⎛-=KT E E n x n KT E E n x p i Fn in n FP i i nn exp exp()()VT V i Fp Fn i n n n n e n KT E E n x n x p 22exp =⎪⎪⎭⎫ ⎝⎛-= 而()()()000n n n n nn n n n n n n p x p p p n x n n n p x =+∆≈∆=+∆=+ (n n n p ∆=∆)()()TTV Vin n n V V in n n en p n p e n n n p 2020=∆+⇒=∆+2001TV V n i n n n p n p e n n ⎛⎫⇒+=⎪⎝⎭ T V V 22n n0n i p +n p -n e =0n p =(此为一般结果)小注入:(0n n n p <<∆)T TV V n V V n i n e p e n n p 002== ()002n n i p n n =大注入: 0n n n p >>∆ 且 n n p p ∆= 所以 TV V inen p 22=或 TV Vi n en p 2=2-2.热平衡时净电子电流或净空穴电流为零,用此方法推导方程20lni ad T p n n N N V =-=ψψψ。
解:净电子电流为()n nn nI qA D n xμε∂=+∂ 处于热平衡时,I n =0 ,又因为 d dxψε=-所以nnd nn D dx xψμ∂=∂,又因为n T n D V μ=(爱因斯坦关系) 所以dn nV d T=ψ, 从作积分,则2002ln ln ln ln ln i a d n p T n T po T d T T a in N NV n V n V N V V N n ψψψ=-=-=-=2-3.根据修正欧姆定律和空穴扩散电流公式证明,在外加正向偏压V 作用下,PN 结N 侧空穴扩散区准费米能级的改变量为qV E FP =∆。
平衡PN 结 能带图:
突变结PN 结的扩散电势2ln i
A D D n N N q kT V = 缓变结PN 结的扩散电势)2ln(2i
m D n ax q kT V = m x 势垒区宽度,j
x x dx dN
a ==为PN 结前沿杂质浓度的梯度,
q kT =0.026V
正向偏置的PN 结能带图:
反向偏置的PN 结能带图:
理想PN 结满足的条件:①小注入;②耗尽层近似;③不考虑耗尽层的产生与复合;④ 玻尔兹曼边界条件;⑤忽略半导体表面对电流的影响; 理想PN 结的正向电流:))((1-+=kT qU p p no n n
po e L D p L D n Aq J
PN 结的击穿:
1:突变PN 结空间电荷区的电场:
在PN 结交界面处(x=0)的电场强度:0εεs n
D M x qN
E =;
在N 型一侧:)0)(1()(n n
M x x x x E x E <<-= 在P 型一侧:)0)(1()(<<-+=x x x x E x E p p
M 耗尽层宽度:0
0)(2qN V V x D s m -=εε(0N 表示低掺杂一边的杂质浓度) 2:缓变结最大场强:20)2(2m s M x qa
E εε=
耗尽层宽度:3/10])(12[qa
V V x D s m -=εε
3:突变结势垒电容m S T x A C 0εε=。