上海大学线性代数2001
- 格式:pdf
- 大小:92.59 KB
- 文档页数:1
线性代数习题及答案习题一1. 求下列各排列的逆序数.(1) 341782659; (2) 987654321;(3) n (n -1)…321; (4) 13…(2n -1)(2n )(2n -2)…2. 【解】(1) τ(341782659)=11; (2) τ(987654321)=36;(3) τ(n (n -1)…3²2²1)= 0+1+2 +…+(n -1)=(1)2n n -;(4) τ(13…(2n -1)(2n )(2n -2)…2)=0+1+…+(n -1)+(n -1)+(n -2)+…+1+0=n (n -1).4. 本行列式4512312123122xx x D x xx=的展开式中包含3x 和4x 的项.解: 设 123412341234()41234(1)i i i i i i i i i i i i D a a a a τ=-∑,其中1234,,,i i i i 分别为不同列中对应元素的行下标,则4D 展开式中含3x 项有(2134)(4231)333(1)12(1)32(3)5x x x x x x x x x ττ-⋅⋅⋅⋅+-⋅⋅⋅⋅=-+-=-4D 展开式中含4x 项有(1234)4(1)2210x x x x x τ-⋅⋅⋅⋅=.5. 用定义计算下列各行列式.(1)2000010300004; (2)12300020304501.【解】(1) D =(-1)τ(2314)4!=24; (2) D =12.6. 计算下列各行列式.(1)2141312112325062-----; (2) ab ac ae bdcd de bf cf ef-------; (3)10011001101ab c d ---; (4)1234234134124123.【解】(1) 125062312101232562r r D+---=--;(2) 1114111111D abcdef abcdef --==------; 210110111(3)(1)111011111;bcD a a bcd c c dd ddabcd ab ad cd --⎡--⎤=+-=+++--⎢⎥⎣⎦=++++ 321221133142144121023410234102341034101130113(4)160.1041202220044101231114r r c c r r c c r r r r c c r r D -+-+-++---====-------7. 证明下列各式.(1) 22222()111aab baa b b a b +=-; (2)2222222222222222(1)(2)(3)(1)(2)(3)0(1)(2)(3)(1)(2)(3)aa a ab b b bc c c c dd d d ++++++=++++++;(3) 232232232111()111a a a ab b ab bc ca b b cccc=++(4) 20000()000nn aba b D ad bc cdcd==-;(5)121111111111111nni i i i na a a a a ==++⎛⎫=+ ⎪⎝⎭+∑∏. 【证明】(1)1323223()()()2()201()()()()()2()21c c c c a b a b b a b ba b a b b a b a b b a b a b b a b a b a b a b--+--=--+--+==-=-=--左端右端.(2) 32213142412222-2-2232221446921262144692126021446921262144692126c c c c c c c c c c aa a a aa b b b b b b c c c c c c dd d d dd ---++++++++====++++++++左端右端.(3) 首先考虑4阶范德蒙行列式:2323232311()()()()()()()(*)11x x x a a a f x x a x b x c a b a c b c b b b ccc==------从上面的4阶范德蒙行列式知,多项式f (x )的x 的系数为2221()()()()(),11a aab bc ac a b a c b c ab bc ac b b cc++---=++但对(*)式右端行列式按第一行展开知x 的系数为两者应相等,故231123231(1),11a ab b cc+-(4) 对D 2n 按第一行展开,得22(1)2(1)2(1)00000(),n n n n ab abab ab D abcdcdc d c d dcad D bc D ad bc D ---=-=⋅-⋅=-据此递推下去,可得22(1)2(2)112()()()()()()n n n n n nD ad bc D ad bc D ad bc D ad bc ad bc ad bc ----=-=-==-=--=-2().nn D ad bc ∴=-(5) 对行列式的阶数n 用数学归纳法.当n =2时,可直接验算结论成立,假定对这样的n -1阶行列式结论成立,进而证明阶数为n 时结论也成立.按D n 的最后一列,把D n 拆成两个n 阶行列式相加:112211211111011111110111111101111111.n n nn n n a a a a D a a a a a a D ---++++=++=+但由归纳假设11121111,n n n i i D a a a a ---=⎛⎫+= ⎪⎝⎭∑从而有11211211121111111111.n n n n n i i nnnn n i i i i i i D a a a a a a a a a a a a a a a ---=-===⎛⎫+=+ ⎪⎝⎭⎛⎫⎛⎫++== ⎪ ⎪⎝⎭⎝⎭∑∑∑∏8. 计算下列n 阶行列式.(1) 111111n x x D x =(2) 122222222232222n D n=; (3)0000000000n x y x y D x y yx=. (4)n ij D a =其中(,1,2,,)ij a i j i j n =-= ; (5)21000121000120000021012n D =.【解】(1) 各行都加到第一行,再从第一行提出x +(n -1),得11111[(1)],11n x D x n x =+-将第一行乘(-1)后分别加到其余各行,得1111110[(1)](1)(1).01n n x D x n x n x x --=+-=+---(2) 213111222210000101001002012n r r n r r r r D n ---=-按第二行展开222201002(2)!.002002n n -=---(3) 行列式按第一列展开后,得1(1)(1)(1)10000000000000(1)0000000(1)(1).n n n n n nn nx y y x y x y D x y x y x y y x xyx xy yx y +-+-+=+-=⋅+⋅-⋅=+-(4)由题意,知11121212221212110122103123n n n n n nnn a a a n a a a D n a a a n n n --==----012211111111*********1111n n ------------后一行减去前一行自第三行起后一行减去前一行01221122111111200002000020000000022n n n n --------=-按第一列展开1122000201(1)(1)(1)(1)22n n n n n n -----=---按第列展开.(5) 210002000001000121001210012100012000120001200000210002100021012012012n D ==+122n n D D --=-.即有 112211n n n n D D D D D D ----=-==-=由 ()()()112211n n n n D D D D D D n ----+-++-=-得11,121n n D D n D n n -=-=-+=+. 9. 计算n 阶行列式.121212111n n n na a a a a a D a a a ++=+【解】各列都加到第一列,再从第一列提出11ni i a =+∑,得232323123111111,11n n nn i n i na a a a a a D a a a a a a a =+⎛⎫=++ ⎪⎝⎭+∑将第一行乘(-1)后加到其余各行,得2311110011.001001n nnn i ii i a a a D a a ==⎛⎫=+=+ ⎪⎝⎭∑∑10. 计算n 阶行列式(其中0,1,2,,i a i n ≠= ).1111123222211223322221122331111123n n n n nn n n n n nn n n n n n n n n n n na a a a ab a b a b a b D a b a b a b a b b b b b ----------------=.【解】行列式的各列提取因子1(1,2,,)n j a j n -= ,然后应用范德蒙行列式.3121232222312112123111131212311211111()().n n n n n n n n n n n n n j i n n j i n i j b b b b a a a a b b b b D a a a a a a a b b b b a a a a b b a a a a a ------≤<≤⎛⎫⎛⎫⎛⎫⎛⎫= ⎪ ⎪ ⎪ ⎪⎝⎭⎝⎭⎝⎭⎝⎭⎛⎫⎛⎫⎛⎫⎛⎫ ⎪ ⎪ ⎪ ⎪⎝⎭⎝⎭⎝⎭⎝⎭⎛⎫-= ⎪⎝⎭∏11. 已知4阶行列式41234334415671122D =;试求4142A A +与4344A A +,其中4j A 为行列式4D 的第4行第j 个元素的代数余子式. 【解】41424142234134(1)(1)3912.344344567167A A +++=-+-=+= 同理43441569.A A +=-+=- 12. 用克莱姆法则解方程组.(1) 123123412342345,2 1, 2 2, 23 3.x x x x x x x x x x x x x x++=⎧⎪+-+=⎪⎨+-+=⎪⎪++=⎩(2) 121232343454556 1,56 0, 56 0, 560,5 1.x x x x x x x x x x x x x +=⎧⎪++=⎪⎪++=⎨⎪++=⎪+=⎪⎩ 【解】方程组的系数行列式为1110111013113121110131180;121052*********23141230123D -------=====≠-----1234511015101111211118;36;2211121131230323115011152111211136;18.1221121201330123D D D D --====---====--故原方程组有惟一解,为312412341,2,2,1.D D D D x x x x D D D D ========-12345123452)665,1507,1145,703,395,212.15072293779212,,,,.66513335133665D D D D D D x x x x x ===-==-=∴==-==-=13. λ和μ为何值时,齐次方程组1231231230,0,20x x x x x x x x x λμμ++=⎧⎪++=⎨⎪++=⎩ 有非零解?【解】要使该齐次方程组有非零解只需其系数行列式110,11121λμμ= 即(1)0.μλ-=故0μ=或1λ=时,方程组有非零解. 14. 问:齐次线性方程组12341234123412340,20,30,0x x x ax x x x x x x x x x x ax bx +++=⎧⎪+++=⎪⎨+-+=⎪⎪+++=⎩ 有非零解时,a ,b 必须满足什么条件?【解】该齐次线性方程组有非零解,a ,b 需满足11112110,113111a ab =-即(a +1)2=4b .15. 求三次多项式230123()f x a a x a x a x =+++,使得(1)0,(1)4,(2)3,(3)16.f f f f -====【解】根据题意,得0123012301230123(1)0;(1)4;(2)2483;(3)392716.f a a a a f a a a a f a a a a f a a a a -=-+-==+++==+++==+++=这是关于四个未知数0123,,,a a a a 的一个线性方程组,由于012348,336,0,240,96.D D D D D ====-=故得01237,0,5,2a a a a ===-= 于是所求的多项式为23()752f x x x =-+16. 求出使一平面上三个点112233(,),(,),(,)x y x y x y 位于同一直线上的充分必要条件. 【解】设平面上的直线方程为ax +by +c =0 (a ,b 不同时为0)按题设有1122330,0,0,ax by c ax by c ax by c ++=⎧⎪++=⎨⎪++=⎩ 则以a ,b ,c 为未知数的三元齐次线性方程组有非零解的充分必要条件为1122331101x y x y x y = 上式即为三点112233(,),(,),(,)x y x y x y 位于同一直线上的充分必要条件.习题 二1. 计算下列矩阵的乘积.(1)[]11321023⎡⎤⎢⎥-⎢⎥-⎢⎥⎢⎥⎣⎦=; (2) 500103120213⎡⎤⎡⎤⎢⎥⎢⎥-⎢⎥⎢⎥⎢⎥⎢⎥⎣⎦⎣⎦; (3) []32123410⎡⎤⎢⎥⎢⎥⎢⎥⎢⎥⎣⎦; (4) ()111213112321222323132333a a a x x x x a a a x a a a x ⎡⎤⎡⎤⎢⎥⎢⎥⎢⎥⎢⎥⎢⎥⎢⎥⎣⎦⎣⎦; (5) 11121321222331323310001101a a a a a a a a a ⎡⎤⎡⎤⎢⎥⎢⎥⎢⎥⎢⎥⎢⎥⎢⎥⎣⎦⎣⎦; (6) 1210103101010121002100230303⎡⎤⎡⎤⎢⎥⎢⎥-⎢⎥⎢⎥⎢⎥⎢⎥-⎢⎥⎢⎥-⎣⎦⎣⎦. 【解】 (1) 32103210;64209630-⎡⎤⎢⎥--⎢⎥⎢⎥-⎢⎥-⎣⎦(2)531⎡⎤⎢⎥-⎢⎥⎢⎥-⎣⎦; (3) (10);(4) 3322211122233312211213311323322311()()()iji j i j a x a x a x a a x x a a x x a a x x ax x ==++++++++=∑∑(5)111212132122222331323233a a a a a a a a a a a a +⎡⎤⎢⎥+⎢⎥⎢⎥+⎣⎦; (6) 12520124004309⎡⎤⎢⎥-⎢⎥⎢⎥-⎢⎥-⎣⎦. 2. 设111111111⎡⎤⎢⎥=-⎢⎥⎢⎥-⎣⎦A ,121131214⎡⎤⎢⎥=-⎢⎥⎢⎥⎣⎦B , 求(1)2-A B A ;(2) -A B B A ;(3) 22()()-=-A +B A B A B 吗? 【解】(1) 2422;400024⎡⎤⎢⎥-=⎢⎥⎢⎥⎣⎦A B A (2) 440;531311⎡⎤⎢⎥-=--⎢⎥⎢⎥--⎣⎦A B B A (3) 由于AB ≠BA ,故(A +B )(A -B )≠A 2-B 2.3. 举例说明下列命题是错误的.(1) 若2=A O , 则=A O ; (2) 若2=A A , 则=A O 或=A E ; (3) 若A X =A Y ,≠A O , 则X =Y . 【解】(1) 以三阶矩阵为例,取201,000000⎡⎤⎢⎥==⎢⎥⎢⎥⎣⎦0A A ,但A ≠0 (2) 令110000001-⎡⎤⎢⎥=⎢⎥⎢⎥⎣⎦A ,则A 2=A ,但A ≠0且A ≠E (3) 令11021,=,011121110⎡⎤⎡⎤⎡⎤⎢⎥⎢⎥⎢⎥=≠=⎢⎥⎢⎥⎢⎥⎢⎥⎢⎥⎢⎥-⎣⎦⎣⎦⎣⎦A Y X 0 则AX =AY ,但X ≠Y . 4. 设11A λ⎡⎤⎢⎥=-⎢⎥⎢⎥⎣⎦, 求A 2,A 3,…,A k . 【解】2312131,,,.010101kk λλλ⎡⎤⎡⎤⎡⎤===⎢⎥⎢⎥⎢⎥⎣⎦⎣⎦⎣⎦A A A 5. 10010λλλ⎡⎤⎢⎥⎢⎥⎢⎥⎣⎦A =, 求23A ,A 并证明: 121(1)2000kk k kk k kk k k k λλλλλλ----⎡⎤⎢⎥⎢⎥⎢⎥⎢⎥⎣⎦A =. 【解】2322233223213302,03.0000λλλλλλλλλλλ⎡⎤⎡⎤⎢⎥⎢⎥⎢⎥⎢⎥⎢⎥⎢⎥⎣⎦⎣⎦A =A = 今归纳假设121(1)2000kk k kk k kk k k k λλλλλλ----⎡⎤⎢⎥⎢⎥⎢⎥⎢⎥⎣⎦A =那么11211111(1)1020100000(1)(1)2,0(1)00k kk k k k k kk kk k kk k k k k k k k k λλλλλλλλλλλλλλλ+---+-++=-⎡⎤⎡⎤⎢⎥⎢⎥⎢⎥⎢⎥⎢⎥⎢⎥⎣⎦⎢⎥⎣⎦+⎡⎤+⎢⎥⎢⎥=+⎢⎥⎢⎥⎣⎦AA A = 所以,对于一切自然数k ,都有121(1)2.000kk k kk k kk k k k λλλλλλ----⎡⎤⎢⎥⎢⎥⎢⎥⎢⎥⎣⎦A = 6. 已知A P =PB ,其中10010000021001211⎡⎤⎡⎤⎢⎥⎢⎥-⎢⎥⎢⎥⎢⎥⎢⎥-⎣⎦⎣⎦B =,P = 求A 及5A .【解】因为|P |= -1≠0,故由AP =PB ,得1100200,611-⎡⎤⎢⎥==⎢⎥⎢⎥--⎣⎦A PB P而51551()()100100100100210000210200.211001411611--==⎡⎤⎡⎤⎡⎤⎡⎤⎢⎥⎢⎥⎢⎥⎢⎥=--==⎢⎥⎢⎥⎢⎥⎢⎥⎢⎥⎢⎥⎢⎥⎢⎥----⎣⎦⎣⎦⎣⎦⎣⎦A PB PP B P A 7. 设a b c d ba d cc d a b dcba ⎡⎤⎢⎥--⎢⎥⎢⎥--⎢⎥--⎣⎦A =,求|A |. 解:由已知条件,A 的伴随矩阵为22222222()()a b c d b a d ca b c d a b c d c d a b dcba *⎡⎤⎢⎥--⎢⎥-+++=-+++⎢⎥--⎢⎥--⎣⎦A =A 又因为*A A =A E ,所以有22222()a b c d -+++A =A E ,且0<A ,即 42222222224()()a b c d a b c d -++++++A=A A =AE于是有 2222422222()()a b c d a b c d =-+++=-+++A . 8. 已知线性变换112112212321331233232,3,232,2,45;3,x y y y z z x y y y y z z x y y y y z z =+=-+⎧⎧⎪⎪=-++=+⎨⎨⎪⎪=++=-+⎩⎩ 利用矩阵乘法求从123,,z z z 到123,,x x x 的线性变换. 【解】已知112233112233210,232415310,201013421124910116x y x y x y y z y z y z ⎡⎤⎡⎤⎡⎤⎢⎥⎢⎥⎢⎥===-⎢⎥⎢⎥⎢⎥⎢⎥⎢⎥⎢⎥⎣⎦⎣⎦⎣⎦-⎡⎤⎡⎤⎡⎤⎢⎥⎢⎥⎢⎥===⎢⎥⎢⎥⎢⎥⎢⎥⎢⎥⎢⎥-⎣⎦⎣⎦⎣⎦-⎡⎤⎢⎥==-⎢⎥⎢⎥--⎣⎦X A Y Y B z X A Y A B z z, 从而由123,,z z z 到123,,x x x 的线性变换为11232123312342,1249,1016.x z z z x z z z x z z z =-++⎧⎪=-+⎨⎪=--+⎩ 9. 设A ,B 为n 阶方阵,且A 为对称阵,证明:'B A B 也是对称阵. 【证明】因为n 阶方阵A 为对称阵,即A ′=A , 所以 (B ′AB )′=B ′A ′B =B ′AB ,故'B A B 也为对称阵.10. 设A ,B 为n 阶对称方阵,证明:AB 为对称阵的充分必要条件是AB =BA . 【证明】已知A ′=A ,B ′=B ,若AB 是对称阵,即(AB )′=AB .则 AB =(AB )′=B ′A ′=BA , 反之,因AB =BA ,则(AB )′=B ′A ′=BA =AB ,所以,AB 为对称阵.11. A 为n 阶对称矩阵,B 为n 阶反对称矩阵,证明: (1) B 2是对称矩阵.(2) AB -BA 是对称矩阵,AB +BA 是反对称矩阵. 【证明】因A ′=A ,B ′= -B ,故(B 2)′=B ′²B ′= -B ²(-B )=B 2; (AB -BA )′=(AB )′-(BA )′=B ′A ′-A ′B ′= -BA -A ²(-B )=AB -BA ; (AB +BA )′=(AB )′+(BA )′=B ′A ′+A ′B ′= -BA +A ²(-B )= -(AB +BA ).所以B 2是对称矩阵,AB -BA 是对称矩阵,AB+BA 是反对称矩阵. 12. 求与A =1101⎡⎤⎢⎥⎣⎦可交换的全体二阶矩阵. 【解】设与A 可交换的方阵为ab cd ⎡⎤⎢⎥⎣⎦,则由 1101⎡⎤⎢⎥⎣⎦a b cd ⎡⎤⎢⎥⎣⎦=a b cd ⎡⎤⎢⎥⎣⎦1101⎡⎤⎢⎥⎣⎦, 得a cb d aa b cd cc d +++⎡⎤⎡⎤=⎢⎥⎢⎥+⎣⎦⎣⎦. 由对应元素相等得c =0,d =a ,即与A 可交换的方阵为一切形如0a b a ⎡⎤⎢⎥⎣⎦的方阵,其中a,b 为任意数. 13. 求与A =100012012⎡⎤⎢⎥⎢⎥⎢⎥-⎣⎦可交换的全体三阶矩阵. 【解】由于A =E +000002013⎡⎤⎢⎥⎢⎥⎢⎥-⎣⎦, 而且由111111222222333333000000,002002013013a b c a b c a b c a b c a b c a b c ⎡⎤⎡⎤⎡⎤⎡⎤⎢⎥⎢⎥⎢⎥⎢⎥=⎢⎥⎢⎥⎢⎥⎢⎥⎢⎥⎢⎥⎢⎥⎢⎥--⎣⎦⎣⎦⎣⎦⎣⎦可得111222333333232323023000023222.023333c b c c b c a b c c b c a a b b c c -⎡⎤⎡⎤⎢⎥⎢⎥-=⎢⎥⎢⎥⎢⎥⎢⎥----⎣⎦⎣⎦由此又可得1113232332322333230,230,20,30,2,3,232,233,c b c a a a c b c b b b c c b c c c =-==-===--=-=-所以2311233230,2,3.a a b c c b c b b ======-即与A 可交换的一切方阵为12332300203a b b b b b ⎡⎤⎢⎥⎢⎥⎢⎥-⎣⎦其中123,,a b b 为任意数.14. 求下列矩阵的逆矩阵.(1) 1225⎡⎤⎢⎥⎣⎦; (2) 123012001⎡⎤⎢⎥⎢⎥⎢⎥⎣⎦; (3)121342541-⎡⎤⎢⎥-⎢⎥⎢⎥--⎣⎦; (4) 1000120021301214⎡⎤⎢⎥⎢⎥⎢⎥⎢⎥⎣⎦; (5) 520021000083052⎡⎤⎢⎥⎢⎥⎢⎥⎢⎥⎣⎦; (6) ()1212,,,0n n a a a a a a ⎡⎤⎢⎥⎢⎥≠⎢⎥⎢⎥⎣⎦,未写出的元素都是0(以下均同,不另注). 【解】(1) 5221-⎡⎤⎢⎥-⎣⎦; (2) 12101201-⎡⎤⎢⎥-⎢⎥⎢⎥⎣⎦;(3) 12601741632142-⎡⎤⎢⎥--⎢⎥⎢⎥--⎣⎦; (4) 100011002211102631511824124⎡⎤⎢⎥⎢⎥-⎢⎥⎢⎥--⎢⎥⎢⎥⎢⎥--⎢⎥⎣⎦; (5) 120025000023058-⎡⎤⎢⎥-⎢⎥⎢⎥-⎢⎥-⎣⎦; (6) 12111n a a a ⎡⎤⎢⎥⎢⎥⎢⎥⎢⎥⎢⎥⎢⎥⎢⎥⎢⎥⎢⎥⎣⎦. 15. 利用逆矩阵,解线性方程组12323121,221,2.x x x x x x x ++=⎧⎪+=⎨⎪-=⎩【解】因123111102211102x x x ⎡⎤⎡⎤⎡⎤⎢⎥⎢⎥⎢⎥=⎢⎥⎢⎥⎢⎥⎢⎥⎢⎥⎢⎥-⎣⎦⎣⎦⎣⎦,而111002211≠- 故112311101111122.0221113122110221112x x x -⎡⎤⎡⎤-⎢⎥⎢⎥⎡⎤⎡⎤⎡⎤⎡⎤⎢⎥⎢⎥⎢⎥⎢⎥⎢⎥⎢⎥===⎢⎥⎢⎥⎢⎥⎢⎥⎢⎥⎢⎥---⎢⎥⎢⎥⎢⎥⎢⎥⎢⎥⎢⎥-⎣⎦⎣⎦⎣⎦⎣⎦⎢⎥⎢⎥-⎣⎦⎣⎦16. 证明下列命题:(1) 若A ,B 是同阶可逆矩阵,则(AB )*=B *A *. (2) 若A 可逆,则A *可逆且(A *)-1=(A -1)*. (3) 若AA ′=E ,则(A *)′=(A *)-1.【证明】(1) 因对任意方阵c ,均有c *c =cc *=|c |E ,而A ,B 均可逆且同阶,故可得|A |²|B |²B *A *=|AB |E (B *A *)=(AB ) *AB (B *A *)=(AB ) *A (BB *)A *=(AB ) *A |B |EA *=|A |²|B |(AB ) *.∵ |A |≠0,|B |≠0,∴ (AB ) *=B *A *.(2) 由于AA *=|A |E ,故A *=|A |A -1,从而(A -1) *=|A -1|(A -1)-1=|A |-1A . 于是A * (A -1) *=|A |A -1²|A |-1A =E ,所以(A -1) *=(A *)-1.(3) 因AA ′=E ,故A 可逆且A -1=A ′. 由(2)(A *)-1=(A -1) *,得(A *)-1=(A ′) *=(A *)′.17. 已知线性变换11232123312322,35,323,x y y y x y y y x y y y =++⎧⎪=++⎨⎪=++⎩ 求从变量123,,x x x 到变量123,,y y y 的线性变换. 【解】已知112233221,315323x y x y x y ⎡⎤⎡⎤⎡⎤⎢⎥⎢⎥⎢⎥===⎢⎥⎢⎥⎢⎥⎢⎥⎢⎥⎢⎥⎣⎦⎣⎦⎣⎦X A Y 且|A |=1≠0,故A 可逆,因而1749,637324---⎡⎤⎢⎥==-⎢⎥⎢⎥-⎣⎦Y A X X 所以从变量123,,x x x 到变量123,,y y y 的线性变换为112321233123749,637,324,y x x x y x x x y x x x =--+⎧⎪=+-⎨⎪=+-⎩ 18. 解下列矩阵方程.(1) 12461321-⎡⎤⎡⎤⎢⎥⎢⎥⎣⎦⎣⎦X =; (2)211211210210111111--⎡⎤⎡⎤⎢⎥⎢⎥=⎢⎥⎢⎥⎢⎥⎢⎥--⎣⎦⎣⎦X ; (3) 142031121101⎡⎤⎡⎤⎡⎤⎢⎥⎢⎥⎢⎥---⎣⎦⎣⎦⎣⎦X =; (4) 01010004310000120101010120-⎡⎤⎡⎤⎡⎤⎢⎥⎢⎥⎢⎥=-⎢⎥⎢⎥⎢⎥⎢⎥⎢⎥⎢⎥-⎣⎦⎣⎦⎣⎦X .【解】(1) 令A =1213⎡⎤⎢⎥⎣⎦;B =4621-⎡⎤⎢⎥⎣⎦.由于13211--⎡⎤=⎢⎥-⎣⎦A 故原方程的惟一解为13246820.112127----⎡⎤⎡⎤⎡⎤===⎢⎥⎢⎥⎢⎥--⎣⎦⎣⎦⎣⎦X A B 同理 (2) X =10001001⎡⎤⎢⎥⎢⎥⎢⎥⎣⎦; (3) X =11104⎡⎤⎢⎥⎢⎥⎣⎦; (4) X =210.03412-⎡⎤⎢⎥-⎢⎥⎢⎥-⎣⎦19. 若k A =O (k 为正整数),证明:121()k --- E A =E +A +A ++A.【证明】作乘法212121()()k k k kk----=-----=-=E A E +A +A ++A E +A +A ++A A A A A E A E ,从而E -A 可逆,且121()k --- E A =E +A +A ++A20.设方阵A 满足A 2-A -2E =O ,证明A 及A +2E 都可逆,并求A -1及(A +2E )-1. 【证】因为A 2-A -2E =0,故212().2-=⇒-=A A E A E A E由此可知,A 可逆,且11().2-=-AA E同样地2220,64(3)(2)41(3)(2)4--=--=--+=---+=A A E A A E E ,A E A E E ,A E A E E.由此知,A +2E 可逆,且1211(2)(3)().44-+=--=-A E A E A E21. 设423110123⎡⎤⎢⎥⎢⎥⎢⎥-⎣⎦A =,2AB =A +B ,求B . 【解】由AB =A +2B 得(A -2E )B =A .而22310,1102121==-≠---A E 即A -2E 可逆,故11223423(2)110110121123143423386.1531102961641232129--⎡⎤⎡⎤⎢⎥⎢⎥=-=-⎢⎥⎢⎥⎢⎥⎢⎥--⎣⎦⎣⎦----⎡⎤⎡⎤⎡⎤⎢⎥⎢⎥⎢⎥==----⎢⎥⎢⎥⎢⎥⎢⎥⎢⎥⎢⎥---⎣⎦⎣⎦⎣⎦B A E A22. 设1-PAP =Λ. 其中1411--⎡⎤⎢⎥⎣⎦P =,1002-⎡⎤⎢⎥⎣⎦=Λ, 求10A . 【解】因1-P 可逆,且1141,113-⎡⎤=⎢⎥--⎣⎦P 故由1Λ-A =P P 得10110101101012121010()()141410331102113314141033110211331365136412421.34134031242--==⎡⎤⎢⎥---⎡⎤⎡⎤=⎢⎥⎢⎥⎢⎥⎣⎦⎣⎦⎢⎥--⎢⎥⎣⎦⎡⎤⎢⎥--⎡⎤⎡⎤=⎢⎥⎢⎥⎢⎥⎣⎦⎣⎦⎢⎥--⎢⎥⎣⎦⎡⎤-+-+⎡⎤==⎢⎥⎢⎥----⎣⎦⎣⎦AP P P PΛΛ23. 设m 次多项式01()m m f x a a x a x =+++ ,记01()mm f a a a =+++ A E A A ,()f A 称为方阵A 的m 次多项式.(1)12λλ⎡⎤⎢⎥⎣⎦A =, 证明12kk k λλ⎡⎤⎢⎥⎣⎦A =,12()()()f f f λλ⎡⎤=⎢⎥⎣⎦A ; (2) 设1-A =P BP , 证明1k k -B =PA P ,1()()f f -=B P A P . 【证明】 (1)232311232200,0λλλλ⎡⎤⎡⎤==⎢⎥⎢⎥⎣⎦⎣⎦A A 即k =2和k =3时,结论成立. 今假设120,0kkk λλ⎡⎤=⎢⎥⎣⎦A 那么111111222000,00kk k k k k λλλλλλ+++⎡⎤⎡⎤⎡⎤==⎢⎥⎢⎥⎢⎥⎣⎦⎣⎦⎣⎦AA A = 所以,对一切自然数k ,都有120,0kkk λλ⎡⎤=⎢⎥⎣⎦A 而011101220111012212()1100().()mm mm m m m m m f a a a a a a a a a a a a f f λλλλλλλλλλ=⎡⎤⎡⎤⎡⎤=+⎢⎥⎢⎥⎢⎥⎣⎦⎣⎦⎣⎦⎡⎤+=⎢⎥+⎣⎦⎡⎤=⎢⎥⎣⎦A E +A ++A++++++ (2) 由(1)与A =P -1BP ,得B =PAP -1.且B k =( PAP -1)k = PA k P -1,又0111011011()()().mm mm mm f a a a a a a a a a f ----=+++=+++=++=B E B BE PA PPA PP E A +A P P A P24. a b cd ⎡⎤⎢⎥⎣⎦A =,证明矩阵满足方程2()0x a d x ad bc -++-=.【证明】将A 代入式子2()x a d x ad bc -++-得222222()()10()()010000.00a d ad bc a b a b a d ad bc cd cd ad bca bc ab bd a adab bd ad bc ac cd cb d ac cdad d -++-⎡⎤⎡⎤⎡⎤=-++-⎢⎥⎢⎥⎢⎥⎣⎦⎣⎦⎣⎦-⎡⎤⎡⎤++++⎡⎤=-+⎢⎥⎢⎥⎢⎥-++++⎣⎦⎣⎦⎣⎦⎡⎤==⎢⎥⎣⎦A A E 0 故A 满足方程2()0x a d x ad bc -++-=. 25. 设n 阶方阵A 的伴随矩阵为*A ,证明:(1) 若|A |=0,则|*A |=0;(2) 1n *-=A A .【证明】(1) 若|A |=0,则必有|A *|=0,因若| A *|≠0,则有A *( A *)-1=E ,由此又得A =AE =AA *( A *)-1=|A |( A *)-1=0,这与| A *|≠0是矛盾的,故当|A | =0,则必有| A *|=0. (2) 由A A *=|A |E ,两边取行列式,得|A || A *|=|A |n ,若|A |≠0,则| A *|=|A |n -1 若|A |=0,由(1)知也有| A *|=|A |n -1.26. 设520032002100450000730041052062⎡⎤⎡⎤⎢⎥⎢⎥⎢⎥⎢⎥=⎢⎥⎢⎥⎢⎥⎢⎥⎣⎦⎣⎦A =,B . 求(1) A B ; (2)B A ; (3) 1-A ;(4)|A |k(k 为正整数). 【解】 (1)232000109000046130329⎡⎤⎢⎥⎢⎥⎢⎥⎢⎥⎣⎦A B =; (2) 1980030130000331405222⎡⎤⎢⎥⎢⎥⎢⎥⎢⎥⎣⎦B A =;(3) 1120025000023057--⎡⎤⎢⎥-⎢⎥⎢⎥-⎢⎥-⎣⎦A =; (4)(1)kk=-A .27. 用矩阵分块的方法,证明下列矩阵可逆,并求其逆矩阵.(1)1200025000003000001000001⎡⎤⎢⎥⎢⎥⎢⎥⎢⎥⎢⎥⎢⎥⎣⎦; (2)003100212100230-⎡⎤⎢⎥⎢⎥⎢⎥⎢⎥-⎣⎦; (3)20102020130010*******1⎡⎤⎢⎥⎢⎥⎢⎥⎢⎥⎢⎥⎢⎥⎣⎦. 【解】(1) 对A 做如下分块 12⎡⎤=⎢⎥⎣⎦A A A 00 其中1230012;,0102501⎡⎤⎡⎤⎢⎥==⎢⎥⎢⎥⎣⎦⎢⎥⎣⎦A A 12,A A 的逆矩阵分别为1112100523;,01021001--⎡⎤⎢⎥-⎡⎤⎢⎥==⎢⎥-⎢⎥⎣⎦⎢⎥⎣⎦A A 所以A 可逆,且1111252000210001.0000300010001----⎡⎤⎢⎥-⎢⎥⎡⎤⎢⎥==⎢⎥⎢⎥⎣⎦⎢⎥⎢⎥⎢⎥⎣⎦A AA 同理(2)11112121310088110044.110055230055----⎡⎤-⎢⎥⎢⎥⎢⎥⎡⎤⎢⎥⎡⎤===⎢⎥⎢⎥⎢⎥⎣⎦⎣⎦⎢⎥⎢⎥⎢⎥-⎢⎥⎣⎦A A AA A (3)1110012211300222.001000001001-⎡⎤--⎢⎥⎢⎥⎢⎥--⎢⎥=⎢⎥⎢⎥⎢⎥⎢⎥⎣⎦A习题 三1. 略.见教材习题参考答案.2. 略.见教材习题参考答案.3. 略.见教材习题参考答案.4. 略.见教材习题参考答案.5.112223334441,,,=+=+=+=+βααβααβααβαα,证明向量组1234,,,ββββ线性相关.【证明】因为1234123412341312342()2()0+++=+++⇒+++=+⇒-+-=ββββααααββββββββββ 所以向量组1234,,,ββββ线性相关.6. 设向量组12,,,r ααα线性无关,证明向量组12,,,r βββ也线性无关,这里12.i i +++ β=ααα【证明】 设向量组12,,,r βββ线性相关,则存在不全为零的数12,,,,r k k k 使得1122.r r k k k +++= 0βββ把12i i +++ β=ααα代入上式,得121232()()r r r r k k k k k k k +++++++++=0 ααα.又已知12,,,r ααα线性无关,故1220,0,0.r r r k k k k k k +++=⎧⎪++=⎪⎨⎪⎪=⎩该方程组只有惟一零解120r k k k ==== ,这与题设矛盾,故向量组12,,,r βββ线性无关.7. 略.见教材习题参考答案.8. 12(,,,),1,2,,i i i in i n ααα== α.证明:如果0ij a ≠,那么12,,,n ααα线性无关. 【证明】已知0ij a =≠A ,故R (A )=n ,而A 是由n 个n 维向量12(,,,),i i i in ααα= α1,2,,i n = 组成的,所以12,,,n ααα线性无关.9. 设12,,,,r t t t 是互不相同的数,r ≤n .证明:1(1,,,),1,2,,n i i i t t i r -== α是线性无关的.【证明】任取n -r 个数t r +1,…,t n 使t 1,…,t r ,t r +1,…,t n 互不相同,于是n 阶范德蒙行列式21111212111121110,11n n r r r n r r r n nnnt t t t t t t t tt t t ---+++-≠从而其n 个行向量线性无关,由此知其部分行向量12,,,r ααα也线性无关.10. 设12,,,s ααα的秩为r 且其中每个向量都可经12,,,r ααα线性表出.证明:12,,,r ααα为12,,,s ααα的一个极大线性无关组.【证明】若 12,,,r ααα (1) 线性相关,且不妨设12,,,t ααα (t <r ) (2)是(1)的一个极大无关组,则显然(2)是12,,,s ααα的一个极大无关组,这与12,,,s ααα的秩为r 矛盾,故12,,,r ααα必线性无关且为12,,,s ααα的一个极大无关组. 11. 求向量组1α=(1,1,1,k ),2α=(1,1,k ,1),3α=(1,2,1,1)的秩和一个极大无关组. 【解】把123,,ααα按列排成矩阵A ,并对其施行初等变换.1111111111111120010010101101001000111011001000k k k k kk k k ⎡⎤⎡⎤⎡⎤⎡⎤⎢⎥⎢⎥⎢⎥⎢⎥-⎢⎥⎢⎥⎢⎥⎢⎥=→→→⎢⎥⎢⎥⎢⎥⎢⎥--⎢⎥⎢⎥⎢⎥⎢⎥---⎣⎦⎣⎦⎣⎦⎣⎦A 当k =1时,123,,ααα的秩为132,,αα为其一极大无关组. 当k ≠1时,123,,ααα线性无关,秩为3,极大无关组为其本身.12. 确定向量3(2,,)a b =β,使向量组123(1,1,0),(1,1,1),==βββ与向量组1α=(0,1,1), 2α=(1,2,1),3α=(1,0,-1)的秩相同,且3β可由123,,ααα线性表出.【解】由于123123011120(,,);120011111000112112(,,),11010102a b b a ⎡⎤⎡⎤⎢⎥⎢⎥==→--⎢⎥⎢⎥⎢⎥⎢⎥-⎣⎦⎣⎦⎡⎤⎡⎤⎢⎥⎢⎥==→⎢⎥⎢⎥⎢⎥⎢⎥-⎣⎦⎣⎦A B αααβββ而R (A )=2,要使R (A )=R (B )=2,需a -2=0,即a =2,又12330112120(,,,),12001121112aa b b a ⎡⎤⎡⎤⎢⎥⎢⎥==→⎢⎥⎢⎥⎢⎥⎢⎥--+⎣⎦⎣⎦c αααβ 要使3β可由123,,ααα线性表出,需b -a +2=0,故a =2,b =0时满足题设要求,即3β=(2,2,0). 13. 设12,,,n ααα为一组n 维向量.证明:12,,,n ααα线性无关的充要条件是任一n 维向量都可经它们线性表出.【证明】充分性: 设任意n 维向量都可由12,,,n ααα线性表示,则单位向量12,,,n εεε,当然可由它线性表示,从而这两组向量等价,且有相同的秩,所以向量组12,,,n ααα的秩为n ,因此线性无关.必要性:设12,,,n ααα线性无关,任取一个n 维向量α,则12,,,n ααα线性相关,所以α能由12,,,n ααα线性表示.14. 若向量组(1,0,0),(1,1,0),(1,1,1)可由向量组α1,α2,α3线性表出,也可由向量组β1,β2,β3,β4线性表出,则向量组α1,α2,α3与向量组β1,β2,β3,β4等价.证明:由已知条件,1001103111R ⎡⎤⎢⎥=⎢⎥⎢⎥⎣⎦,且向量组(1,0,0),(1,1,0),(1,1,1)可由向量组α1,α2,α3线性表出,即两向量组等价,且123(,,)3R =ααα,又,向量组(1,0,0),(1,1,0),(1,1,1)可由向量组β1,β2,β3,β4线性表出,即两向量组等价,且1234(,,,)3R =ββββ,所以向量组α1,α2,α3与向量组β1,β2,β3,β4等价.15. 略.见教材习题参考答案.16. 设向量组12,,,m ααα与12,,,s βββ秩相同且12,,,m ααα能经12,,,s βββ线性表出.证明12,,,m ααα与12,,,s βββ等价.【解】设向量组12,,,m ααα (1)与向量组12,,,s βββ (2)的极大线性无关组分别为12,,,r ααα (3)和12,,,r βββ (4)由于(1)可由(2)线性表出,那么(1)也可由(4)线性表出,从而(3)可以由(4)线性表出,即1(1,2,,).ri ijjj ai r ===∑ αβ因(4)线性无关,故(3)线性无关的充分必要条件是|a ij |≠0,可由(*)解出(1,2,,)j j r = β,即(4)可由(3)线性表出,从而它们等价,再由它们分别同(1),(2)等价,所以(1)和(2)等价.17. 设A 为m ³n 矩阵,B 为s ³n 矩阵.证明:m ax{(),()}()()R R R R R ⎡⎤≤≤+⎢⎥⎣⎦A AB A B B .【证明】因A ,B 的列数相同,故A ,B 的行向量有相同的维数,矩阵⎡⎤⎢⎥⎣⎦A B 可视为由矩阵A 扩充行向量而成,故A 中任一行向量均可由⎡⎤⎢⎥⎣⎦A B 中的行向量线性表示,故()R R ⎡⎤≤⎢⎥⎣⎦A A B同理()R R ⎡⎤≤⎢⎥⎣⎦A B B故有m ax{(),()}R R R ⎡⎤≤⎢⎥⎣⎦A AB B又设R (A )=r ,12,,,i i ir ααα是A 的行向量组的极大线性无关组,R (B )=k , 12,,,j j jkβββ是B 的行向量组的极大线性无关组.设α是⎡⎤⎢⎥⎣⎦A B 中的任一行向量,则若α属于A 的行向量组,则α可由12,,,i i ir ααα表示,若α属于B 的行向量组,则它可由12,,,j j jkβββ线性表示,故⎡⎤⎢⎥⎣⎦A B 中任一行向量均可由12,,,i i ir ααα,12,,,j j jkβββ线性表示,故()(),R r k R R ⎡⎤≤+=+⎢⎥⎣⎦A AB B 所以有m ax{(),()}()()R R R R R ⎡⎤≤≤+⎢⎥⎣⎦A AB A B B .18. 设A 为s ³n 矩阵且A 的行向量组线性无关,K 为r ³s 矩阵.证明:B =KA 行无关的充分必要条件是R (K )=r .【证明】设A =(A s ,P s ³(n -s )),因为A 为行无关的s ³n 矩阵,故s 阶方阵A s 可逆. (⇒)当B =KA 行无关时,B 为r ³n 矩阵.r =R (B )=R (KA )≤R (K ),又K 为r ³s 矩阵R (K )≤r ,∴ R (K )=r . (⇐)当r =R (K )时,即K 行无关, 由B =KA =K (A s ,P s ³(n -s ))=(KA s ,KP s ³(n -s)) 知R (B )=r ,即B 行无关. 19. 略.见教材习题参考答案.20. 求下列矩阵的行向量组的一个极大线性无关组.(1)2531174375945313275945413425322048⎡⎤⎢⎥⎢⎥⎢⎥⎢⎥⎣⎦; (2)1122102151203131141⎡⎤⎢⎥-⎢⎥⎢⎥-⎢⎥-⎣⎦. 【解】(1) 矩阵的行向量组1234⎡⎤⎢⎥⎢⎥⎢⎥⎢⎥⎣⎦αααα的一个极大无关组为123,,ααα;(2) 矩阵的行向量组1234⎡⎤⎢⎥⎢⎥⎢⎥⎢⎥⎣⎦αααα的一个极大无关组为124,,ααα.21. 略.见教材习题参考答案.22. 集合V 1={(12,,,n x x x )|12,,,n x x x ∈R 且12n +++ x x x =0}是否构成向量空间?为什么? 【解】由(0,0,…,0)∈V 1知V 1非空,设121122(,,,),(,,,),n n V V k =∈=∈∈x x x y y y αβR )则112212(,,,)(,,,).n n n x y x y x y k kx kx kx +=+++= αβα因为112212121212()()()()()0,()0,n n n n n n x y x y x y x x x y y y kx kx kx k x x x ++++++=+++++++=+++=+++= 所以11,V k V +∈∈αβα,故1V 是向量空间.23. 试证:由123(1,1,0),(1,0,1),(0,1,1)===ααα,生成的向量空间恰为R 3.【证明】把123,,ααα排成矩阵A =(123,,ααα),则11020101011==-≠A , 所以123,,ααα线性无关,故123,,ααα是R 3的一个基,因而123,,ααα生成的向量空间恰为R 3.24. 求由向量1234(1,2,1,0),(1,1,1,2),(3,4,3,4),(1,1,2,1)====αααα所生的向量空间的一组基及其维数. 【解】因为矩阵12345(,,,,)113141131411314214150121301213,113260001200012024140241400=⎡⎤⎡⎤⎡⎤⎢⎥⎢⎥⎢⎥--------⎢⎥⎢⎥⎢⎥=→→⎢⎥⎢⎥⎢⎥⎢⎥⎢⎥⎢⎥⎣⎦⎣⎦⎣⎦A ααααα ∴124,,ααα是一组基,其维数是3维的.25. 设1212(1,1,0,0),(1,0,1,1),(2,1,3,3),(0,1,1,1)===-=--ααββ,证明:1212(,)(,)L L =ααββ.【解】因为矩阵1212(,,,)1120112010110131,01310000013100=⎡⎤⎡⎤⎢⎥⎢⎥---⎢⎥⎢⎥=→⎢⎥⎢⎥-⎢⎥⎢⎥-⎣⎦⎣⎦A ααββ 由此知向量组12,αα与向量组12,ββ的秩都是2,并且向量组12,ββ可由向量组12,αα线性表出.由习题15知这两向量组等价,从而12,αα也可由12,ββ线性表出.所以1212(,)(,)L L =ααββ.26. 在R 3中求一个向量γ,使它在下面两个基123123(1)(1,0,1),(1,0,0)(0,1,1)(2)(0,1,1),(1,1,0)(1,0,1)==-==-=-=αααβββ下有相同的坐标.【解】设γ在两组基下的坐标均为(123,,x x x ),即111232123233112233(,,)(,,),11001100111011101x x x x x x x x x x x x ⎡⎤⎡⎤⎢⎥⎢⎥==⎢⎥⎢⎥⎢⎥⎢⎥⎣⎦⎣⎦-⎡⎤⎡⎤⎡⎤⎡⎤⎢⎥⎢⎥⎢⎥⎢⎥=--⎢⎥⎢⎥⎢⎥⎢⎥⎢⎥⎢⎥⎢⎥⎢⎥⎣⎦⎣⎦⎣⎦⎣⎦γαααβββ即1231210,1110x x x --⎡⎤⎡⎤⎢⎥⎢⎥=⎢⎥⎢⎥⎢⎥⎢⎥⎣⎦⎣⎦求该齐次线性方程组得通解123,2,3x k x k x k ===- (k 为任意实数)故112233(,2,3).x x x k k k =++=-γεεε27. 验证123(1,1,0),(2,1,3),(3,1,2)=-==ααα为R 3的一个基,并把1(5,0,7),=β2(9,8,13)=---β用这个基线性表示.【解】设12312(,,),(,),==A B αααββ又设11112123132121222323,x x x x x x =++=++βαααβααα,即11121212321223132(,)(,,),x x x x x x ⎡⎤⎢⎥=⎢⎥⎢⎥⎣⎦ββααα 记作 B =AX .则2321231235912359()111080345170327130327131235910023032713010330022400112r r r r r r -+↔--⎡⎤⎡⎤⎢⎥⎢⎥=−−−→−−−→---⎢⎥⎢⎥⎢⎥⎢⎥--⎣⎦⎣⎦-⎡⎤⎡⎤⎢⎥⎢⎥−−−−−→--⎢⎥⎢⎥⎢⎥⎢⎥----⎣⎦⎣⎦A B 作初等行变换。
2000上海大学 高等代数(一) 计算行列式:acccb ac cb b a cb b b a⋅⋅⋅⋅⋅⋅⋅⋅⋅ (二) 把二次型414332214321),,,(x x x x x x x x x x x x f +++=用非退化线性替换化成平方和.(三) B A ,分别为m n ⨯和m n ⨯矩阵, n I 表示n n ⨯单位矩阵.证明: m n ⨯阶矩阵n A I X B ⎛⎫=⎪⎝⎭可逆当且仅当B A 可逆,可逆时求出X 的逆. (四) 设12,n e e e ⋅⋅⋅是n 维线性空间n V 的一组基,对任意n 个向量12,n a a a ⋅⋅⋅n V ∈,证明:存在唯一的线性变换A ,使得(),1,2i i A e a i n ==⋅⋅(五) 设A 是n 维线性空间V 的线性变换,求证:1(0)V A V A -=⊕当且仅当若12,r a a a ⋅⋅⋅为A V 的一组基则12,r A a A a A a ⋅⋅⋅是2()A V 的一组基. (六) 设A 为2级实方阵,适合21001A -⎛⎫=⎪-⎝⎭,求证:A 相似于0110-⎛⎫⎪⎝⎭. (七) 已知,f g 均为线性空间V 上线性变换,满足22,f f gg ==试证:(1)f 与g 有相同的值域⇔,fg g g f f ==. (2)f 与g 有相同的核⇔,fg f g f g ==.2001上海大学 高等代数(一)计算行列式:231212123n n n x a a a a x a a a a x a a a a x(二)设A 为3阶非零方阵,且20A =.(1)求证:存在123,,a a a ,123,,b b b ,()121233a A a b b b a ⎛⎫ ⎪= ⎪ ⎪⎝⎭(2)求方程组0A X =的基础解系.(三)用正交的线性替换化二次行2221231231323(,,)3244f x x x x x x x x x x =++--为标准形(四)设A 为n m ⨯阶实矩阵,且()()r A m n m =≥.若'2'()A A a A A =,求证'm A A a E =.(五)设A 是n (n 为奇数)维线性空间V 上线性变换,若10,0n nAA-≠=求证:存在a V ∈,使2211,,,,n n n a A a A a A a Aa Aa Aa a ---++++ 为V 的一组基,并求A 在此组基下的矩阵.(六)设A 是欧式空间V 上的对称变换.求证:对任意0a ≠,都有()0,0a A a a ≠<⇔A 的所有特征值都小于0. (七)设A a B aβ-⎛⎫=⎪⎝⎭,其中A 为n 阶负定矩阵,a 为n 维列实向量,β为实数.求证B 正定的充分必要条件为'10a A a β-+>.(八)若A 是正交阵,且A -特征值为1的重数是S ,求证:(1)sA =-(A 为A 的行列式).2002 上海大学 高等代数(一)计算行列式:若1232nx a a a ax a aA B aa x a aaax ==,求AB A BA ⎛⎫=⎪⎝⎭. (二)设A 是n 阶可逆方阵,0A A B A ⎛⎫=⎪⎝⎭. (1)计算kB (K 是整数),(2)假设100110111A =,C 为6阶方阵,而且2BC C E =+,求C .(三)设(1)(1)(1)(1)p p p n p pp n p p A p n p p p n pppp--------=--------,A 是n 阶矩阵(0p ≠),求0A X =的基础解系.(四)构造一个3阶实对称方阵A ,使其特征值为1,1,-1.并且对应的特征值有特征向量(1,1,1),(2,2,1).(五)设向量组A :123,,n a a a a ⋅⋅的秩为r (r n <),则A 中任意r 个向量线性无关的充分必要条件为:对任意向量121,,r i i i a a a + ,若1211210r i i rika k a k a ++++= ,则121,r k k k +或全为0或全不为0.(六)设A 为n 阶正定矩阵,n m B ⨯为秩为m 的实矩阵,求证'B A B tE +(0t >,E 为单位矩阵)为正定矩阵.(七)设A 为欧式空间V 上的线性变换,且2A E =.(1)求证:A 是V 上的正交变换的充分必要条件为A 是V 上的对称变换. (2)设{}1,V a a V A a a =∈=,求证:12V V V =+是直和.(八)设A 为n 阶实正交矩阵,123,,n a a a a ⋅⋅为n 维列向量,且线性无关,若12,n A E a A E a A E a +++ 线性无关,则1A =.2003上海大学 高等代数(一)计算行列式:x a a a ax a aA a a x a aaax=(A 为n 阶矩阵),2AA B AA ⎛⎫= ⎪⎝⎭(1)求A (2)求B(二)设A 为21n k =+阶反对称矩阵,求A .(三)设,A B 为n 阶整数方阵(,A B 中元素为整数),若A B E A =- (1)求证:1A =±,(2)若200120232B -⎛⎫⎪=- ⎪ ⎪-⎝⎭,求A . (四)设12(,)n A a a a = 为n 阶方阵,()1r A n =-,且121n n a a a a -=++ 121n n a a a a β-=+++ ,求A X β=的解.(五)设A 是n 阶可逆方阵,且A 每行元素之和为a ,求证:k A -的每行元素之和为ka -(k 为正整数)(六)设A 为n 阶正交矩阵,若.证明:存在正交矩阵G 使1rs E GA G E -⎛⎫=⎪-⎝⎭. (七)设2A A =,且A 为n 阶方阵,()R A r =.(1)求证:2rE A += (2)求证:()()R A R A E n +-=(3)若1r =,求0A X =的解.(八)构造一个3阶实对称方阵A ,使其特征值为2,1,1,且有特征向量(1,1,1). (九)设二次型22221234121314232434()222222f X x x x x x x x x x x x x x x x x =++++++---(1)求()f X 对应的实对称矩阵A .(2)求正交变换X P Y =,将()f X 化为标准型.(十)设A 是n 维线性空间V 上的线性变换,12,k a a a 是对应的不同特征值12,k λλλ 的特征向量.若12k a a a W ++∈ ,而W 是A 的不变子空间,则有维(W )k ≥ (十一)设B 为欧式空间V 上的变换,A 为欧式空间V 上的线性变换且有:(,)(,),,A a a B a V βββ=∀∈.证明:(1)B 为欧式空间V 上的线性变换. (2)1(0)()A B V -⊥=2004 上海大学 高等代数(一)设n 阶可逆方阵()ij A a =中每一行元素之和为(0)a a ≠,证明:(1)11(1,2)nij j A aA i n -===∑ ,其中i j A 为ij a 的代数余子式.(2)如果ij a 都是整数(1,2)i n = ,则a 整除A . (二)设1212121n n nn n a a a a A b b b b -⨯-⎛⎫= ⎪⎝⎭为实矩阵,且()2r A =. (1)求行列式'E A A λ-.(2)求'0A A X =的解(X 是n 维列向量).(三)设,A B 为n 阶整数方阵,若2B E A B =-.(1)求证:21A B+=.(2)若100110231B -⎛⎫⎪=- ⎪ ⎪-⎝⎭,求1(2)A B -+. (四)若A 为非零的半正定矩阵,B 为正定矩阵,求证: (1)求证:存在实矩阵T ,使'T T B =. (2)1A E +>. (3)A B B +>.(五)设λ为A 的特征值的最小者.求证:对任意的n 维列向量a ,有''a A a a a λ≥. (六) 设123,,λλλ为3阶方阵A 的特征值,且()()()111,011,01分别为其对应的特征向量,求nA .(七) V 是n 维欧氏空间, σ是n 维空间V 上的线性变换,如果1231,,n a a a a - 是V 中1n -个线性无关的向量,且(),σββ分别与1231,,n a a a a - 正交(β不为0).求证: β为σ的特征向量.(八)设3223303060303A B ⨯⨯⎛⎫ ⎪= ⎪ ⎪⎝⎭,求证: (1)()()2r A r B == (2)题型与钱吉林书习题类示。
线性代数习题及答案习题一1. 求下列各排列的逆序数.(1) 9; (2) 1;(3) n (n 1)…321; (4) 13…(2n 1)(2n )(2n 2)…2. 【解】(1) τ(9)=11; (2) τ(1)=36;(3) τ(n (n 1)…3·2·1)= 0+1+2 +…+(n 1)=(1)2n n -; (4) τ(13…(2n 1)(2n )(2n 2)…2)=0+1+…+(n 1)+(n 1)+(n 2)+…+1+0=n (n 1). 2. 略.见教材习题参考答案. 3. 略.见教材习题参考答案.4. 本行列式4512312123122x x x D x xx=的展开式中包含3x 和4x 的项.解: 设 123412341234()41234(1)i i i i i i i i i i i i D a a a a τ=-∑ ,其中1234,,,i i i i 分别为不同列中对应元素的行下标,则4D 展开式中含3x 项有(2134)(4231)333(1)12(1)32(3)5x x x x x x x x x ττ-⋅⋅⋅⋅+-⋅⋅⋅⋅=-+-=-4D 展开式中含4x 项有(1234)4(1)2210x x x x x τ-⋅⋅⋅⋅=.5. 用定义计算下列各行列式.(1)0200001030000004; (2)1230002030450001.【解】(1) D =(1)τ(2314)4!=24; (2) D =12.6. 计算下列各行列式.(1)214131211232562-----; (2) abac ae bd cd de bfcf ef-------; (3)10011001101a b c d ---; (4) 1234234134124123. 【解】(1) 125062312101232562r r D+---=--;(2) 1114111111D abcdef abcdef --==------;21011111(3)(1)11101100111;b c D a a b cd c c d d d dabcd ab ad cd --⎡--⎤=+-=+++--⎢⎥⎣⎦=++++ 321221133142144121023410234102341034101130113(4)160.10412022200441012301110004r r c c r r c c r r r r c c r r D -+-+-++---====-------7. 证明下列各式.(1) 22222()111a ab b a a b b a b +=-;(2) 2222222222222222(1)(2)(3)(1)(2)(3)0(1)(2)(3)(1)(2)(3)a a a a b b b b c c c c d d d d ++++++=++++++; (3) 232232232111()111a a a a b b ab bc ca b b c c c c =++(4) 20000()000n n a b a b D ad bc c d cd==-ONN O;(5)121111111111111nn i i i i na a a a a ==++⎛⎫=+ ⎪⎝⎭+∑∏L L M M M . 【证明】(1)1323223()()()2()2001()()()()()2()21c c c c a b a b b a b b a b a b ba b a b b a b a b ba b a b a b a b --+--=--+--+==-=-=--左端右端.(2) 32213142412222-2-2232221446921262144692126021446921262144692126c c c c c c c c c c a a a a a a b b b b b b cc c c cc d d d d d d ---++++++++====++++++++左端右端.(3) 首先考虑4阶范德蒙行列式:2323232311()()()()()()()(*)11xx x a a a f x x a x b x c a b a c b c b b b c c c ==------从上面的4阶范德蒙行列式知,多项式f (x )的x 的系数为2221()()()()(),11a a ab bc ac a b a c b c ab bc ac b b cc ++---=++但对(*)式右端行列式按第一行展开知x 的系数为两者应相等,故231123231(1),11a a b b c c +- (4) 对D 2n 按第一行展开,得22(1)2(1)2(1)0000000(),n n n n a b aba b a b D abc dc dc d c d d c ad D bc D ad bc D ---=-=⋅-⋅=-ONONN O NO据此递推下去,可得222(1)2(2)112()()()()()()n n n n n nD ad bc D ad bc D ad bc D ad bc ad bc ad bc ----=-=-==-=--=-L 2().n n D ad bc ∴=-(5) 对行列式的阶数n 用数学归纳法.当n =2时,可直接验算结论成立,假定对这样的n 1阶行列式结论成立,进而证明阶数为n 时结论也成立.按D n 的最后一列,把D n 拆成两个n 阶行列式相加:112211211111011111110111111101111111.n n nn n n a a a a D a a a a a a D ---++++=++=+L L LL L L L L L L L L L LL LLL但由归纳假设11121111,n n n i iD a a a a ---=⎛⎫+= ⎪⎝⎭∑L 从而有11211211121111111111.n n n n n i i n n nn n i i i i i i D a a a a a a a a a a a a a a a ---=-===⎛⎫+=+ ⎪⎝⎭⎛⎫⎛⎫++== ⎪ ⎪⎝⎭⎝⎭∑∑∑∏L L L8. 计算下列n 阶行列式.(1) 111111n x x D x=LL M M ML(2) 122222222232222n D n=L L L LL L L L L; (3)000000000000n x y x y D x y y x=L L LL L L L L L L . (4)n ij D a =其中(,1,2,,)ij a i j i j n =-=L ; (5)2100012100012000002100012n D =LL LM M MM M L L. 【解】(1) 各行都加到第一行,再从第一行提出x +(n 1),得11111[(1)],11n x D x n x=+-L L M M M L 将第一行乘(1)后分别加到其余各行,得1111110[(1)](1)(1).01n n x D x n x n x x --=+-=+---LL M M M L(2) 213111222210000101001002010002n r r n r r r r D n ---=-MLL L L M M M M M L按第二行展开222201002(2)!.00200002n n =---L LL M M M M L(3) 行列式按第一列展开后,得1(1)(1)(1)10000000000000(1)0000000000(1)(1).n n n n n n n n x y y x y x y D x y x y x y y xxyx x y y x y +-+-+=+-=⋅+⋅-⋅=+-L L L L M M M M M M L L M M MM M LL(4)由题意,知1112121222120121101221031230n nn n n nnn a a a n a a a D n a a a n n n --==----L L L LL M M MM M MM LL122111111111111111111111n n ------------LL LM M MM M L L后一行减去前一行自第三行起后一行减去前一行012211221111112000020000200000000022n n n n --------=-L L L LL LM M M M M M MM M L LL按第一列展开1122000201(1)(1)(1)(1)2002n n n n n n -----=---LL M M M L按第列展开. (5) 210002000001000121001210012100012000120001200000210002100021000120001200012n D ==+LL L L L L LLLM M MM M M M M M M M M M M M L L L LLL122n n D D --=-.即有 112211n n n n D D D D D D ----=-==-=L 由 ()()()112211n n n n D D D D D D n ----+-++-=-L 得 11,121n n D D n D n n -=-=-+=+. 9. 计算n 阶行列式.121212111n nn na a a a a a D a a a ++=+LL M M M L【解】各列都加到第一列,再从第一列提出11nii a=+∑,得232323123111111,11n n nn i n i na a a a a a D a a a a a a a =+⎛⎫=++ ⎪⎝⎭+∑L LLM MM M L将第一行乘(1)后加到其余各行,得23111010011.00100001n nnn i i i i a a a D a a ==⎛⎫=+=+ ⎪⎝⎭∑∑L L LM M M M L10. 计算n 阶行列式(其中0,1,2,,i a i n ≠=L ).1111123222211223322221122331111123n n n n n n n n n n nn n n n n n nn n n n na a a a ab a b a b a b D a b a b a b a b b b b b ----------------=L L MM M M L L. 【解】行列式的各列提取因子1(1,2,,)n j a j n -=L ,然后应用范德蒙行列式.3121232222312112123111131212311211111()().n n n n n n n n n n n n n j i n n j i n ij b b b b a a a a b b b b D a a a a a a a b b b b a a a a b b a a a a a ------≤<≤⎛⎫⎛⎫⎛⎫⎛⎫= ⎪ ⎪ ⎪ ⎪⎝⎭⎝⎭⎝⎭⎝⎭⎛⎫⎛⎫⎛⎫⎛⎫ ⎪ ⎪ ⎪ ⎪⎝⎭⎝⎭⎝⎭⎝⎭⎛⎫-= ⎪⎝⎭∏L LL L L L L L LL 11. 已知4阶行列式41234334415671122D =;试求4142A A +与4344A A +,其中4j A 为行列式4D 的第4行第j 个元素的代数余子式. 【解】41424142234134(1)(1)3912.344344567167A A +++=-+-=+=同理43441569.A A +=-+=- 12. 用克莱姆法则解方程组.(1) 12312341234234 5,2 1, 2 2, 23 3.x x x x x x x x x x x x x x ++=⎧⎪+-+=⎪⎨+-+=⎪⎪++=⎩ (2) 121232343454556 1,56 0,56 0, 560, 5 1.x x x x x x x x x x x x x +=⎧⎪++=⎪⎪++=⎨⎪++=⎪+=⎪⎩【解】方程组的系数行列式为1110111013113121110131180;121052*********23140123123D -------=====≠-----1234511015101111211118;36;2211121131230323115011152111211136;18.122112120133123D D D D --====---====--故原方程组有惟一解,为312412341,2,2, 1.D D D Dx x x x D D D D========- 12345123452)665,1507,1145,703,395,212.15072293779212,,,,.66513335133665D D D D D D x x x x x ===-==-=∴==-==-=13. λ和μ为何值时,齐次方程组1231231230,0,20x x x x x x x x x λμμ++=⎧⎪++=⎨⎪++=⎩ 有非零解【解】要使该齐次方程组有非零解只需其系数行列式110,11121λμμ= 即(1)0.μλ-=故0μ=或1λ=时,方程组有非零解. 14. 问:齐次线性方程组12341234123412340,20,30,0x x x ax x x x x x x x x x x ax bx +++=⎧⎪+++=⎪⎨+-+=⎪⎪+++=⎩ 有非零解时,a ,b 必须满足什么条件【解】该齐次线性方程组有非零解,a ,b 需满足11112110,113111aa b=-即(a +1)2=4b .15. 求三次多项式230123()f x a a x a x a x =+++,使得(1)0,(1)4,(2)3,(3)16.f f f f -====【解】根据题意,得0123012301230123(1)0;(1)4;(2)2483;(3)392716.f a a a a f a a a a f a a a a f a a a a -=-+-==+++==+++==+++=这是关于四个未知数0123,,,a a a a 的一个线性方程组,由于012348,336,0,240,96.D D D D D ====-=故得01237,0,5,2a a a a ===-= 于是所求的多项式为23()752f x x x =-+16. 求出使一平面上三个点112233(,),(,),(,)x y x y x y 位于同一直线上的充分必要条件. 【解】设平面上的直线方程为ax +by +c =0 (a ,b 不同时为0)按题设有1122330,0,0,ax by c ax by c ax by c ++=⎧⎪++=⎨⎪++=⎩ 则以a ,b ,c 为未知数的三元齐次线性方程组有非零解的充分必要条件为1122331101x y x y x y = 上式即为三点112233(,),(,),(,)x y x y x y 位于同一直线上的充分必要条件.习题 二1. 计算下列矩阵的乘积.(1)[]11321023⎡⎤⎢⎥-⎢⎥-⎢⎥⎢⎥⎣⎦=; (2)500103120213⎡⎤⎡⎤⎢⎥⎢⎥-⎢⎥⎢⎥⎢⎥⎢⎥⎣⎦⎣⎦; (3) []32123410⎡⎤⎢⎥⎢⎥⎢⎥⎢⎥⎣⎦; (4)()111213112321222323132333a a a x x x x a a a x a a a x ⎡⎤⎡⎤⎢⎥⎢⎥⎢⎥⎢⎥⎢⎥⎢⎥⎣⎦⎣⎦; (5) 111213212223313233100011001a a a a a a a a a ⎡⎤⎡⎤⎢⎥⎢⎥⎢⎥⎢⎥⎢⎥⎢⎥⎣⎦⎣⎦; (6) 1210131010101210021002300030003⎡⎤⎡⎤⎢⎥⎢⎥-⎢⎥⎢⎥⎢⎥⎢⎥-⎢⎥⎢⎥-⎣⎦⎣⎦. 【解】(1) 32103210;64209630-⎡⎤⎢⎥--⎢⎥⎢⎥-⎢⎥-⎣⎦(2)531⎡⎤⎢⎥-⎢⎥⎢⎥-⎣⎦; (3) (10);(4) 3322211122233312211213311323322311()()()ij iji j a x a x a x a a x x a a x x a a x x a x x==++++++++=∑∑(5)111212132122222331323233a a a a a a a a a a a a +⎡⎤⎢⎥+⎢⎥⎢⎥+⎣⎦; (6) 1252012400430009⎡⎤⎢⎥-⎢⎥⎢⎥-⎢⎥-⎣⎦.2. 设111111111⎡⎤⎢⎥=-⎢⎥⎢⎥-⎣⎦A ,121131214⎡⎤⎢⎥=-⎢⎥⎢⎥⎣⎦B , 求(1)2-AB A ;(2) -AB BA ;(3) 22()()-=-A+B A B A B 吗【解】(1) 2422;400024⎡⎤⎢⎥-=⎢⎥⎢⎥⎣⎦AB A (2) 440;531311⎡⎤⎢⎥-=--⎢⎥⎢⎥--⎣⎦AB BA (3) 由于AB ≠BA ,故(A +B )(AB )≠A 2B 2.3. 举例说明下列命题是错误的.(1) 若2=A O , 则=A O ; (2) 若2=A A , 则=A O 或=A E ; (3) 若AX =AY ,≠A O , 则X =Y . 【解】(1) 以三阶矩阵为例,取2001,000000⎡⎤⎢⎥==⎢⎥⎢⎥⎣⎦0A A ,但A ≠0(2) 令110000001-⎡⎤⎢⎥=⎢⎥⎢⎥⎣⎦A ,则A 2=A ,但A ≠0且A ≠E (3) 令11021,=,0111210110⎡⎤⎡⎤⎡⎤⎢⎥⎢⎥⎢⎥=≠=⎢⎥⎢⎥⎢⎥⎢⎥⎢⎥⎢⎥-⎣⎦⎣⎦⎣⎦A Y X 0 则AX =AY ,但X ≠Y .4. 设101A λ⎡⎤⎢⎥=-⎢⎥⎢⎥⎣⎦, 求A 2,A 3,…,A k .【解】2312131,,,.010101kk λλλ⎡⎤⎡⎤⎡⎤===⎢⎥⎢⎥⎢⎥⎣⎦⎣⎦⎣⎦A A A L 5. 100100λλλ⎡⎤⎢⎥⎢⎥⎢⎥⎣⎦A =, 求23A ,A 并证明:121(1)2000kk k k kk k k k k k λλλλλλ----⎡⎤⎢⎥⎢⎥⎢⎥⎢⎥⎣⎦A =.【解】2322233223213302,03.0000λλλλλλλλλλλ⎡⎤⎡⎤⎢⎥⎢⎥⎢⎥⎢⎥⎢⎥⎢⎥⎣⎦⎣⎦A =A =今归纳假设121(1)2000kk k k kk k k k k k λλλλλλ----⎡⎤⎢⎥⎢⎥⎢⎥⎢⎥⎣⎦A =那么11211111(1)1020100000(1)(1)2,0(1)00k k k k k k k k k kk k kk k k k k k k k k λλλλλλλλλλλλλλλ+---+-++=-⎡⎤⎡⎤⎢⎥⎢⎥⎢⎥⎢⎥⎢⎥⎢⎥⎣⎦⎢⎥⎣⎦+⎡⎤+⎢⎥⎢⎥=+⎢⎥⎢⎥⎣⎦A A A= 所以,对于一切自然数k ,都有121(1)2.000kk k k kk k k k k k λλλλλλ----⎡⎤⎢⎥⎢⎥⎢⎥⎢⎥⎣⎦A =6. 已知AP =PB ,其中100100000210001211⎡⎤⎡⎤⎢⎥⎢⎥-⎢⎥⎢⎥⎢⎥⎢⎥-⎣⎦⎣⎦B =,P =求A 及5A .【解】因为|P |= 1≠0,故由AP =PB ,得1100200,611-⎡⎤⎢⎥==⎢⎥⎢⎥--⎣⎦A PBP而51551()()100100100100210000210200.211001411611--==⎡⎤⎡⎤⎡⎤⎡⎤⎢⎥⎢⎥⎢⎥⎢⎥=--==⎢⎥⎢⎥⎢⎥⎢⎥⎢⎥⎢⎥⎢⎥⎢⎥----⎣⎦⎣⎦⎣⎦⎣⎦A PBP PB P A7. 设a bc d ba d c c d ab dcba ⎡⎤⎢⎥--⎢⎥⎢⎥--⎢⎥--⎣⎦A =,求|A |. 解:由已知条件,A 的伴随矩阵为22222222()()a b cd b a d c a b c d a b c d c d a b dcba *⎡⎤⎢⎥--⎢⎥-+++=-+++⎢⎥--⎢⎥--⎣⎦A =A 又因为*A A =A E ,所以有22222()a b c d -+++A =A E ,且0<A ,即 42222222224()()a b c d a b c d -++++++A =A A =A E 于是有22222()a b c d =-+++A . 8. 已知线性变换112112212321331233232,3,232,2,45;3,x y y y z z x y y y y z z x y y y y z z =+=-+⎧⎧⎪⎪=-++=+⎨⎨⎪⎪=++=-+⎩⎩ 利用矩阵乘法求从123,,z z z 到123,,x x x 的线性变换. 【解】已知112233112233210,232415310,201013421124910116x y x y x y y z y z y z ⎡⎤⎡⎤⎡⎤⎢⎥⎢⎥⎢⎥===-⎢⎥⎢⎥⎢⎥⎢⎥⎢⎥⎢⎥⎣⎦⎣⎦⎣⎦-⎡⎤⎡⎤⎡⎤⎢⎥⎢⎥⎢⎥===⎢⎥⎢⎥⎢⎥⎢⎥⎢⎥⎢⎥-⎣⎦⎣⎦⎣⎦-⎡⎤⎢⎥==-⎢⎥⎢⎥--⎣⎦X AY Y Bz X AY ABz z, 从而由123,,z z z 到123,,x x x 的线性变换为11232123312342,1249,1016.x z z z x z z z x z z z =-++⎧⎪=-+⎨⎪=--+⎩ 9. 设A ,B 为n 阶方阵,且A 为对称阵,证明:'B AB 也是对称阵.【证明】因为n 阶方阵A 为对称阵,即A ′=A ,所以 (B ′AB )′=B ′A ′B =B ′AB , 故'B AB 也为对称阵.10. 设A ,B 为n 阶对称方阵,证明:AB 为对称阵的充分必要条件是AB =BA . 【证明】已知A ′=A ,B ′=B ,若AB 是对称阵,即(AB )′=AB .则 AB =(AB )′=B ′A ′=BA , 反之,因AB =BA ,则(AB )′=B ′A ′=BA =AB ,所以,AB 为对称阵.11. A 为n 阶对称矩阵,B 为n 阶反对称矩阵,证明: (1) B 2是对称矩阵.(2) ABBA 是对称矩阵,AB +BA 是反对称矩阵. 【证明】因A ′=A ,B ′= B ,故(B 2)′=B ′·B ′= B ·(B )=B 2;(ABBA )′=(AB )′(BA )′=B ′A ′A ′B ′= BAA ·(B )=ABBA ;(AB +BA )′=(AB )′+(BA )′=B ′A ′+A ′B ′= BA +A ·(B )= (AB +BA ).所以B 2是对称矩阵,ABBA 是对称矩阵,AB+BA 是反对称矩阵. 12. 求与A =1101⎡⎤⎢⎥⎣⎦可交换的全体二阶矩阵. 【解】设与A 可交换的方阵为a b c d ⎡⎤⎢⎥⎣⎦,则由1101⎡⎤⎢⎥⎣⎦a b c d ⎡⎤⎢⎥⎣⎦=a b c d ⎡⎤⎢⎥⎣⎦1101⎡⎤⎢⎥⎣⎦, 得a cb d a a bcd c c d +++⎡⎤⎡⎤=⎢⎥⎢⎥+⎣⎦⎣⎦.由对应元素相等得c =0,d =a ,即与A 可交换的方阵为一切形如0a b a ⎡⎤⎢⎥⎣⎦的方阵,其中a,b 为任意数.13. 求与A =100012012⎡⎤⎢⎥⎢⎥⎢⎥-⎣⎦可交换的全体三阶矩阵. 【解】由于A =E +000002013⎡⎤⎢⎥⎢⎥⎢⎥-⎣⎦, 而且由111111222222333333000000,002002013013a b c a b c a b c a b c a b c a b c ⎡⎤⎡⎤⎡⎤⎡⎤⎢⎥⎢⎥⎢⎥⎢⎥=⎢⎥⎢⎥⎢⎥⎢⎥⎢⎥⎢⎥⎢⎥⎢⎥--⎣⎦⎣⎦⎣⎦⎣⎦可得11122233333323232302300023222.023333c b c cb c a b c c b c a a b b c c -⎡⎤⎡⎤⎢⎥⎢⎥-=⎢⎥⎢⎥⎢⎥⎢⎥----⎣⎦⎣⎦由此又可得1113232332322333230,230,20,30,2,3,232,233,c b c a a a c b c b b b c c b c c c =-==-===--=-=-所以2311233230,2,3.a a b c c b c b b ======-即与A 可交换的一切方阵为12332300203a b b b b b ⎡⎤⎢⎥⎢⎥⎢⎥-⎣⎦其中123,,a b b 为任意数. 14. 求下列矩阵的逆矩阵.(1) 1225⎡⎤⎢⎥⎣⎦; (2) 123012001⎡⎤⎢⎥⎢⎥⎢⎥⎣⎦; (3)121342541-⎡⎤⎢⎥-⎢⎥⎢⎥--⎣⎦; (4) 1000120021301214⎡⎤⎢⎥⎢⎥⎢⎥⎢⎥⎣⎦; (5) 5200210000830052⎡⎤⎢⎥⎢⎥⎢⎥⎢⎥⎣⎦; (6) ()1212,,,0nn a a a a a a ⎡⎤⎢⎥⎢⎥≠⎢⎥⎢⎥⎣⎦L O ,未写出的元素都是0(以下均同,不另注). 【解】(1) 5221-⎡⎤⎢⎥-⎣⎦; (2)121012001-⎡⎤⎢⎥-⎢⎥⎢⎥⎣⎦;(3) 12601741632142-⎡⎤⎢⎥--⎢⎥⎢⎥--⎣⎦; (4) 100011002211102631511824124⎡⎤⎢⎥⎢⎥-⎢⎥⎢⎥--⎢⎥⎢⎥⎢⎥--⎢⎥⎣⎦; (5) 1200250000230058-⎡⎤⎢⎥-⎢⎥⎢⎥-⎢⎥-⎣⎦; (6) 12111n a a a ⎡⎤⎢⎥⎢⎥⎢⎥⎢⎥⎢⎥⎢⎥⎢⎥⎢⎥⎢⎥⎣⎦O. 15. 利用逆矩阵,解线性方程组12323121,221,2.x x x x x x x ++=⎧⎪+=⎨⎪-=⎩ 【解】因123111102211102x x x ⎡⎤⎡⎤⎡⎤⎢⎥⎢⎥⎢⎥=⎢⎥⎢⎥⎢⎥⎢⎥⎢⎥⎢⎥-⎣⎦⎣⎦⎣⎦,而1110022110≠- 故112311101111122.02211130122110221112x x x -⎡⎤⎡⎤-⎢⎥⎢⎥⎡⎤⎡⎤⎡⎤⎡⎤⎢⎥⎢⎥⎢⎥⎢⎥⎢⎥⎢⎥===⎢⎥⎢⎥⎢⎥⎢⎥⎢⎥⎢⎥---⎢⎥⎢⎥⎢⎥⎢⎥⎢⎥⎢⎥-⎣⎦⎣⎦⎣⎦⎣⎦⎢⎥⎢⎥-⎣⎦⎣⎦16. 证明下列命题:(1) 若A ,B 是同阶可逆矩阵,则(AB )*=B *A *. (2) 若A 可逆,则A *可逆且(A *)1=(A 1)*. (3) 若AA ′=E ,则(A *)′=(A *)1. 【证明】(1) 因对任意方阵c ,均有c *c =cc *=|c |E ,而A ,B 均可逆且同阶,故可得|A |·|B |·B *A *=|AB |E (B *A *)=(AB ) *AB (B *A *)=(AB ) *A (BB *)A * =(AB ) *A |B |EA *=|A |·|B |(AB ) *.∵ |A |≠0,|B |≠0, ∴ (AB ) *=B *A *.(2) 由于AA *=|A |E ,故A *=|A |A 1,从而(A 1) *=|A 1|(A 1)1=|A |1A . 于是A * (A 1) *=|A |A 1·|A |1A =E ,所以(A 1) *=(A *)1. (3) 因AA ′=E ,故A 可逆且A 1=A ′. 由(2)(A *)1=(A 1) *,得(A *)1=(A ′) *=(A *)′.17. 已知线性变换11232123312322,35,323,x y y y x y y y x y y y =++⎧⎪=++⎨⎪=++⎩ 求从变量123,,x x x 到变量123,,y y y 的线性变换. 【解】已知112233221,315323x y x y x y ⎡⎤⎡⎤⎡⎤⎢⎥⎢⎥⎢⎥===⎢⎥⎢⎥⎢⎥⎢⎥⎢⎥⎢⎥⎣⎦⎣⎦⎣⎦X AY且|A |=1≠0,故A 可逆,因而1749,637324---⎡⎤⎢⎥==-⎢⎥⎢⎥-⎣⎦Y A X X所以从变量123,,x x x 到变量123,,y y y 的线性变换为112321233123749,637,324,y x x x y x x x y x x x =--+⎧⎪=+-⎨⎪=+-⎩ 18. 解下列矩阵方程.(1) 12461321-⎡⎤⎡⎤⎢⎥⎢⎥⎣⎦⎣⎦X =; (2)211211************--⎡⎤⎡⎤⎢⎥⎢⎥=⎢⎥⎢⎥⎢⎥⎢⎥--⎣⎦⎣⎦X ;(3) 142031121101⎡⎤⎡⎤⎡⎤⎢⎥⎢⎥⎢⎥---⎣⎦⎣⎦⎣⎦X =; (4) 010100043100001201001010120-⎡⎤⎡⎤⎡⎤⎢⎥⎢⎥⎢⎥=-⎢⎥⎢⎥⎢⎥⎢⎥⎢⎥⎢⎥-⎣⎦⎣⎦⎣⎦X .【解】(1) 令A =1213⎡⎤⎢⎥⎣⎦;B =4621-⎡⎤⎢⎥⎣⎦.由于13211--⎡⎤=⎢⎥-⎣⎦A 故原方程的惟一解为13246820.112127----⎡⎤⎡⎤⎡⎤===⎢⎥⎢⎥⎢⎥--⎣⎦⎣⎦⎣⎦X A B同理(2) X =100010001⎡⎤⎢⎥⎢⎥⎢⎥⎣⎦; (3) X =11104⎡⎤⎢⎥⎢⎥⎣⎦; (4) X =210.034102-⎡⎤⎢⎥-⎢⎥⎢⎥-⎣⎦19. 若kA =O (k 为正整数),证明:121()k ---L E A =E +A+A ++A .【证明】作乘法212121()()k k k k k ----=-----=-=E A E +A+A ++A E +A+A ++A A A A A E A E,L L L 从而EA 可逆,且121()k ---L E A =E +A+A ++A20.设方阵A 满足A 2-A -2E =O ,证明A 及A +2E 都可逆,并求A 1及(A +2E )1. 【证】因为A 2A 2E =0, 故212().2-=⇒-=A A E A E A E由此可知,A 可逆,且11().2-=-A A E同样地2220,64(3)(2)41(3)(2)4--=--=--+=---+=A A E A A E E,A E A E E,A E A E E. 由此知,A +2E 可逆,且1211(2)(3)().44-+=--=-A E A E A E21. 设423110123⎡⎤⎢⎥⎢⎥⎢⎥-⎣⎦A =,2AB =A+B ,求B . 【解】由AB =A +2B 得(A 2E )B =A .而22310,1102121==-≠---A E即A 2E 可逆,故11223423(2)110110121123143423386.1531102961641232129--⎡⎤⎡⎤⎢⎥⎢⎥=-=-⎢⎥⎢⎥⎢⎥⎢⎥--⎣⎦⎣⎦----⎡⎤⎡⎤⎡⎤⎢⎥⎢⎥⎢⎥==----⎢⎥⎢⎥⎢⎥⎢⎥⎢⎥⎢⎥---⎣⎦⎣⎦⎣⎦B A E A 22. 设1-P AP =Λ. 其中1411--⎡⎤⎢⎥⎣⎦P =,1002-⎡⎤⎢⎥⎣⎦=Λ, 求10A . 【解】因1-P 可逆,且1141,113-⎡⎤=⎢⎥--⎣⎦P 故由1Λ-A =P P 得10110101101012121010()()141410331102113314141033110211331365136412421.34134031242--==⎡⎤⎢⎥---⎡⎤⎡⎤=⎢⎥⎢⎥⎢⎥⎣⎦⎣⎦⎢⎥--⎢⎥⎣⎦⎡⎤⎢⎥--⎡⎤⎡⎤=⎢⎥⎢⎥⎢⎥⎣⎦⎣⎦⎢⎥--⎢⎥⎣⎦⎡⎤-+-+⎡⎤==⎢⎥⎢⎥----⎣⎦⎣⎦A P P P P ΛΛ 23. 设m 次多项式01()m m f x a a x a x =+++L ,记01()mm f a a a =+++L A E A A ,()f A 称为方阵A 的m 次多项式.(1)12λλ⎡⎤⎢⎥⎣⎦A =, 证明12kk k λλ⎡⎤⎢⎥⎣⎦A =,12()()()f f f λλ⎡⎤=⎢⎥⎣⎦A ; (2) 设1-A =P BP , 证明1k k -B =PA P ,1()()f f -=B P A P . 【证明】(1)232311232200,00λλλλ⎡⎤⎡⎤==⎢⎥⎢⎥⎣⎦⎣⎦A A 即k =2和k =3时,结论成立. 今假设120,0kkk λλ⎡⎤=⎢⎥⎣⎦A 那么111111222000,000kk k k k k λλλλλλ+++⎡⎤⎡⎤⎡⎤==⎢⎥⎢⎥⎢⎥⎣⎦⎣⎦⎣⎦AA A = 所以,对一切自然数k ,都有120,0kkk λλ⎡⎤=⎢⎥⎣⎦A 而011101220111012212()1100().()mm mm m m m m m f a a a a a a a a a a a a f f λλλλλλλλλλ=⎡⎤⎡⎤⎡⎤=+⎢⎥⎢⎥⎢⎥⎣⎦⎣⎦⎣⎦⎡⎤+=⎢⎥+⎣⎦⎡⎤=⎢⎥⎣⎦L L L L A E +A++A ++++++ (2) 由(1)与A =P 1BP ,得B =PAP 1.且B k =( PAP 1)k = PA k P 1,又0111011011()()().mm m m mm f a a a a a a a a a f ----=+++=+++=++=B E B B E PAP PA P P E A+A P P A P L L L24. a b c d ⎡⎤⎢⎥⎣⎦A =,证明矩阵满足方程2()0x a d x ad bc -++-=.【证明】将A 代入式子2()x a d x ad bc -++-得222222()()10()()010000.00a d ad bc a b a b a d ad bc c d c d ad bca bc ab bd a ad ab bd ad bc ac cd cb d ac cd ad d -++-⎡⎤⎡⎤⎡⎤=-++-⎢⎥⎢⎥⎢⎥⎣⎦⎣⎦⎣⎦-⎡⎤⎡⎤++++⎡⎤=-+⎢⎥⎢⎥⎢⎥-++++⎣⎦⎣⎦⎣⎦⎡⎤==⎢⎥⎣⎦A A E0 故A 满足方程2()0x a d x ad bc -++-=. 25. 设n 阶方阵A 的伴随矩阵为*A ,证明:(1) 若|A |=0,则|*A |=0;(2) 1n *-=A A .【证明】(1) 若|A |=0,则必有|A *|=0,因若| A *|≠0,则有A *( A *)1=E ,由此又得A =AE =AA *( A *)1=|A |( A *)1=0,这与| A *|≠0是矛盾的,故当|A | =0,则必有| A *|=0. (2) 由A A *=|A |E ,两边取行列式,得|A || A *|=|A |n , 若|A |≠0,则| A *|=|A |n 1 若|A |=0,由(1)知也有| A *|=|A |n 1.26. 设52003200210045000073004100520062⎡⎤⎡⎤⎢⎥⎢⎥⎢⎥⎢⎥=⎢⎥⎢⎥⎢⎥⎢⎥⎣⎦⎣⎦A =,B . 求(1) AB ; (2)BA ; (3) 1-A ;(4)|A |k (k 为正整数). 【解】(1)2320001090000461300329⎡⎤⎢⎥⎢⎥⎢⎥⎢⎥⎣⎦AB =; (2) 19800301300003314005222⎡⎤⎢⎥⎢⎥⎢⎥⎢⎥⎣⎦BA =;(3) 11200250000230057--⎡⎤⎢⎥-⎢⎥⎢⎥-⎢⎥-⎣⎦A =; (4)(1)k k =-A . 27. 用矩阵分块的方法,证明下列矩阵可逆,并求其逆矩阵.(1)1200025000003000001000001⎡⎤⎢⎥⎢⎥⎢⎥⎢⎥⎢⎥⎢⎥⎣⎦; (2)00310021********-⎡⎤⎢⎥⎢⎥⎢⎥⎢⎥-⎣⎦; (3)20102020130010*******0001⎡⎤⎢⎥⎢⎥⎢⎥⎢⎥⎢⎥⎢⎥⎣⎦.【解】(1) 对A 做如下分块 12⎡⎤=⎢⎥⎣⎦A A A 00其中1230012;,01025001⎡⎤⎡⎤⎢⎥==⎢⎥⎢⎥⎣⎦⎢⎥⎣⎦A A12,A A 的逆矩阵分别为1112100523;,01021001--⎡⎤⎢⎥-⎡⎤⎢⎥==⎢⎥-⎢⎥⎣⎦⎢⎥⎣⎦A A 所以A 可逆,且1111252000210001.000030001000001----⎡⎤⎢⎥-⎢⎥⎡⎤⎢⎥==⎢⎥⎢⎥⎣⎦⎢⎥⎢⎥⎢⎥⎣⎦A A A同理(2)11112121310088110044.110055230055----⎡⎤-⎢⎥⎢⎥⎢⎥⎡⎤⎢⎥⎡⎤===⎢⎥⎢⎥⎢⎥⎣⎦⎣⎦⎢⎥⎢⎥⎢⎥-⎢⎥⎣⎦A A A A A (3)1110012211300222.001000001001-⎡⎤--⎢⎥⎢⎥⎢⎥--⎢⎥=⎢⎥⎢⎥⎢⎥⎢⎥⎣⎦A习题 三1. 略.见教材习题参考答案.2. 略.见教材习题参考答案.3. 略.见教材习题参考答案.4. 略.见教材习题参考答案.5.112223334441,,,=+=+=+=+βααβααβααβαα,证明向量组1234,,,ββββ线性相关.【证明】因为1234123412341312342()2()0+++=+++⇒+++=+⇒-+-=ββββααααββββββββββ 所以向量组1234,,,ββββ线性相关.6. 设向量组12,,,r L ααα线性无关,证明向量组12,,,r L βββ也线性无关,这里12.i i +++L β=ααα【证明】 设向量组12,,,r L βββ线性相关,则存在不全为零的数12,,,,r k k k L 使得1122.r r k k k +++=L 0βββ把12i i +++L β=ααα代入上式,得121232()()r r r r k k k k k k k +++++++++=0L L L ααα.又已知12,,,r L ααα线性无关,故1220,0, 0.r rr k k k k k k +++=⎧⎪++=⎪⎨⎪⎪=⎩L L L L L 该方程组只有惟一零解120r k k k ====L ,这与题设矛盾,故向量组12,,,r L βββ线性无关.7. 略.见教材习题参考答案.8. 12(,,,),1,2,,i i i in i n ααα==L L α.证明:如果0ij a ≠,那么12,,,n L ααα线性无关. 【证明】已知0ij a =≠A ,故R (A )=n ,而A 是由n 个n 维向量12(,,,),i i i in ααα=L α1,2,,i n =L 组成的,所以12,,,n L ααα线性无关.9. 设12,,,,r t t t L 是互不相同的数,r ≤n .证明:1(1,,,),1,2,,n i i i t t i r -==L L α是线性无关的.【证明】任取nr 个数t r +1,…,t n 使t 1,…,t r ,t r +1,…,t n 互不相同,于是n 阶范德蒙行列式21111212111121110,11n n rr r n r r r n nnnt t t t t t t t tt t t ---+++-≠L M M M M LL M M M ML从而其n 个行向量线性无关,由此知其部分行向量12,,,r L ααα也线性无关.10. 设12,,,s L ααα的秩为r 且其中每个向量都可经12,,,r L ααα线性表出.证明:12,,,r L ααα为12,,,s L ααα的一个极大线性无关组.【证明】若 12,,,r L ααα(1)线性相关,且不妨设12,,,t L ααα (t <r ) (2)是(1)的一个极大无关组,则显然(2)是12,,,s L ααα的一个极大无关组,这与12,,,s L ααα的秩为r 矛盾,故12,,,r L ααα必线性无关且为12,,,s L ααα的一个极大无关组. 11. 求向量组1α=(1,1,1,k ),2α=(1,1,k ,1),3α=(1,2,1,1)的秩和一个极大无关组. 【解】把123,,ααα按列排成矩阵A ,并对其施行初等变换.1111111111111120010010101101001000111011001000k k k k k k k k ⎡⎤⎡⎤⎡⎤⎡⎤⎢⎥⎢⎥⎢⎥⎢⎥-⎢⎥⎢⎥⎢⎥⎢⎥=→→→⎢⎥⎢⎥⎢⎥⎢⎥--⎢⎥⎢⎥⎢⎥⎢⎥---⎣⎦⎣⎦⎣⎦⎣⎦A 当k =1时,123,,ααα的秩为132,,αα为其一极大无关组. 当k ≠1时,123,,ααα线性无关,秩为3,极大无关组为其本身.12. 确定向量3(2,,)a b =β,使向量组123(1,1,0),(1,1,1),==βββ与向量组1α=(0,1,1),2α=(1,2,1),3α=(1,0,1)的秩相同,且3β可由123,,ααα线性表出.【解】由于123123011120(,,);120011111000112112(,,),110101002a b b a ⎡⎤⎡⎤⎢⎥⎢⎥==→--⎢⎥⎢⎥⎢⎥⎢⎥-⎣⎦⎣⎦⎡⎤⎡⎤⎢⎥⎢⎥==→⎢⎥⎢⎥⎢⎥⎢⎥-⎣⎦⎣⎦A B αααβββ而R (A )=2,要使R (A )=R (B )=2,需a 2=0,即a =2,又12330112120(,,,),12001121110002a a b b a ⎡⎤⎡⎤⎢⎥⎢⎥==→⎢⎥⎢⎥⎢⎥⎢⎥--+⎣⎦⎣⎦c αααβ要使3β可由123,,ααα线性表出,需ba +2=0,故a =2,b =0时满足题设要求,即3β=(2,2,0).13. 设12,,,n L ααα为一组n 维向量.证明:12,,,n L ααα线性无关的充要条件是任一n 维向量都可经它们线性表出.【证明】充分性: 设任意n 维向量都可由12,,,n L ααα线性表示,则单位向量12,,,n L εεε,当然可由它线性表示,从而这两组向量等价,且有相同的秩,所以向量组12,,,n L ααα的秩为n ,因此线性无关.必要性:设12,,,n L ααα线性无关,任取一个n 维向量α,则12,,,n L ααα线性相关,所以α能由12,,,n L ααα线性表示.14. 若向量组(1,0,0),(1,1,0),(1,1,1)可由向量组α1,α2,α3线性表出,也可由向量组β1,β2,β3,β4线性表出,则向量组α1,α2,α3与向量组β1,β2,β3,β4等价.证明:由已知条件,1001103111R ⎡⎤⎢⎥=⎢⎥⎢⎥⎣⎦,且向量组(1,0,0),(1,1,0),(1,1,1)可由向量组α1,α2,α3线性表出,即两向量组等价,且123(,,)3R =ααα,又,向量组(1,0,0),(1,1,0),(1,1,1)可由向量组β1,β2,β3,β4线性表出,即两向量组等价,且1234(,,,)3R =ββββ,所以向量组α1,α2,α3与向量组β1,β2,β3,β4等价.15. 略.见教材习题参考答案.16. 设向量组12,,,m L ααα与12,,,s L βββ秩相同且12,,,m L ααα能经12,,,s L βββ线性表出.证明12,,,m L ααα与12,,,s L βββ等价.【解】设向量组12,,,m L ααα (1)与向量组12,,,s L βββ (2)的极大线性无关组分别为12,,,r L ααα (3)和12,,,r L βββ (4)由于(1)可由(2)线性表出,那么(1)也可由(4)线性表出,从而(3)可以由(4)线性表出,即1(1,2,,).ri ij jj a i r ===∑L αβ因(4)线性无关,故(3)线性无关的充分必要条件是|a ij |≠0,可由(*)解出(1,2,,)j j r =L β,即(4)可由(3)线性表出,从而它们等价,再由它们分别同(1),(2)等价,所以(1)和(2)等价.17. 设A 为m ×n 矩阵,B 为s ×n 矩阵.证明:max{(),()}()()R R R R R ⎡⎤≤≤+⎢⎥⎣⎦A AB A B B .【证明】因A ,B 的列数相同,故A ,B 的行向量有相同的维数,矩阵⎡⎤⎢⎥⎣⎦A B 可视为由矩阵A 扩充行向量而成,故A 中任一行向量均可由⎡⎤⎢⎥⎣⎦A B 中的行向量线性表示,故()R R ⎡⎤≤⎢⎥⎣⎦A A B同理()R R ⎡⎤≤⎢⎥⎣⎦A B B故有max{(),()}R R R ⎡⎤≤⎢⎥⎣⎦A AB B又设R (A )=r ,12,,,i i ir L ααα是A 的行向量组的极大线性无关组,R (B )=k , 12,,,j j jk L βββ是B 的行向量组的极大线性无关组.设α是⎡⎤⎢⎥⎣⎦A B 中的任一行向量,则若α属于A 的行向量组,则α可由12,,,i i ir L ααα表示,若α属于B 的行向量组,则它可由12,,,j j jk L βββ线性表示,故⎡⎤⎢⎥⎣⎦A B 中任一行向量均可由12,,,i i ir L ααα,12,,,j j jk L βββ线性表示,故()(),R r k R R ⎡⎤≤+=+⎢⎥⎣⎦A AB B 所以有max{(),()}()()R R R R R ⎡⎤≤≤+⎢⎥⎣⎦A AB A B B .18. 设A 为s ×n 矩阵且A 的行向量组线性无关,K 为r ×s 矩阵.证明:B =KA 行无关的充分必要条件是R (K )=r .【证明】设A =(A s ,P s ×(ns )),因为A 为行无关的s ×n 矩阵,故s 阶方阵A s 可逆. (⇒)当B =KA 行无关时,B 为r ×n 矩阵.r =R (B )=R (KA )≤R (K ),又K 为r ×s 矩阵R (K )≤r ,∴ R (K )=r . (⇐)当r =R (K )时,即K 行无关,由B =KA =K (A s ,P s ×(ns ))=(KA s ,KP s ×(n s)) 知R (B )=r ,即B 行无关.19. 略.见教材习题参考答案.20. 求下列矩阵的行向量组的一个极大线性无关组.(1)2531174375945313275945413425322048⎡⎤⎢⎥⎢⎥⎢⎥⎢⎥⎣⎦; (2)11221021512031311041⎡⎤⎢⎥-⎢⎥⎢⎥-⎢⎥-⎣⎦.【解】(1) 矩阵的行向量组1234⎡⎤⎢⎥⎢⎥⎢⎥⎢⎥⎣⎦αααα的一个极大无关组为123,,ααα;(2) 矩阵的行向量组1234⎡⎤⎢⎥⎢⎥⎢⎥⎢⎥⎣⎦αααα的一个极大无关组为124,,ααα.21. 略.见教材习题参考答案.22. 集合V 1={(12,,,n x x x L )|12,,,n x x x L ∈R 且12n +++L x x x =0}是否构成向量空间为什么 【解】由(0,0,…,0)∈V 1知V 1非空,设121122(,,,),(,,,),n n V V k =∈=∈∈x x x y y y L L αβR )则112212(,,,)(,,,).n n n x y x y x y k kx kx kx +=+++=L L αβα因为112212121212()()()()()0,()0,n n n n n n x y x y x y x x x y y y kx kx kx k x x x ++++++=+++++++=+++=+++=L L L L L 所以11,V k V +∈∈αβα,故1V 是向量空间.23. 试证:由123(1,1,0),(1,0,1),(0,1,1)===ααα,生成的向量空间恰为R 3.【证明】把123,,ααα排成矩阵A =(123,,ααα),则11020101011==-≠A ,所以123,,ααα线性无关,故123,,ααα是R 3的一个基,因而123,,ααα生成的向量空间恰为R 3.24. 求由向量1234(1,2,1,0),(1,1,1,2),(3,4,3,4),(1,1,2,1)====αααα所生的向量空间的一组基及其维数. 【解】因为矩阵12345(,,,,)113141131411314214150121301213,113260001200012024140241400000=⎡⎤⎡⎤⎡⎤⎢⎥⎢⎥⎢⎥--------⎢⎥⎢⎥⎢⎥=→→⎢⎥⎢⎥⎢⎥⎢⎥⎢⎥⎢⎥⎣⎦⎣⎦⎣⎦A ααααα∴124,,ααα是一组基,其维数是3维的.25. 设1212(1,1,0,0),(1,0,1,1),(2,1,3,3),(0,1,1,1)===-=--ααββ,证明:1212(,)(,)L L =ααββ.【解】因为矩阵1212(,,,)1120112010110131,0131000001310000=⎡⎤⎡⎤⎢⎥⎢⎥---⎢⎥⎢⎥=→⎢⎥⎢⎥-⎢⎥⎢⎥-⎣⎦⎣⎦A ααββ 由此知向量组12,αα与向量组12,ββ的秩都是2,并且向量组12,ββ可由向量组12,αα线性表出.由习题15知这两向量组等价,从而12,αα也可由12,ββ线性表出.所以1212(,)(,)L L =ααββ.26. 在R 3中求一个向量γ,使它在下面两个基123123(1)(1,0,1),(1,0,0)(0,1,1)(2)(0,1,1),(1,1,0)(1,0,1)==-==-=-=αααβββ下有相同的坐标.【解】设γ在两组基下的坐标均为(123,,x x x ),即111232123233112233(,,)(,,),110011001110101101x x x x x x x x x x x x ⎡⎤⎡⎤⎢⎥⎢⎥==⎢⎥⎢⎥⎢⎥⎢⎥⎣⎦⎣⎦-⎡⎤⎡⎤⎡⎤⎡⎤⎢⎥⎢⎥⎢⎥⎢⎥=--⎢⎥⎢⎥⎢⎥⎢⎥⎢⎥⎢⎥⎢⎥⎢⎥⎣⎦⎣⎦⎣⎦⎣⎦γαααβββ即1231210,111000x x x --⎡⎤⎡⎤⎢⎥⎢⎥=⎢⎥⎢⎥⎢⎥⎢⎥⎣⎦⎣⎦求该齐次线性方程组得通解123,2,3x k x k x k ===- (k 为任意实数)故112233(,2,3).x x x k k k =++=-γεεε27. 验证123(1,1,0),(2,1,3),(3,1,2)=-==ααα为R 3的一个基,并把1(5,0,7),=β2(9,8,13)=---β用这个基线性表示.【解】设12312(,,),(,),==A B αααββ又设11112123132121222323,x x x x x x =++=++βαααβααα,即11121212321223132(,)(,,),x x x x x x ⎡⎤⎢⎥=⎢⎥⎢⎥⎣⎦ββααα 记作 B =AX .则2321231235912359()111080345170327130327131235910023032713010330022400112r r r r r r -+↔--⎡⎤⎡⎤⎢⎥⎢⎥=−−−→−−−→---⎢⎥⎢⎥⎢⎥⎢⎥--⎣⎦⎣⎦-⎡⎤⎡⎤⎢⎥⎢⎥−−−−−→--⎢⎥⎢⎥⎢⎥⎢⎥----⎣⎦⎣⎦M A B 作初等行变换因有↔A E ,故123,,ααα为R 3的一个基,且1212323(,)(,,),3312⎡⎤⎢⎥=-⎢⎥⎢⎥--⎣⎦ββααα即1123212323,332=+-=--βαααβααα.习题四1. 用消元法解下列方程组.(1) 12341241234123442362242322312338;x x x x ,x x x ,x x x x ,x x x x +-+=⎧⎪++=⎪⎨++-=⎪⎪++-=⎩ (2)1231231232222524246;x x x ,x x x ,x x x ++=⎧⎪++=⎨⎪++=⎩ 【解】(1)412213223123(1)14236142362204211021()322313223112338123381423603215012920256214236012920321502562r r r r r r r r r r -⋅---⋅↔--⎡⎤⎡⎤⎢⎥⎢⎥⎢⎥⎢⎥=−−→−−−→⎢⎥⎢⎥--⎢⎥⎢⎥--⎣⎦⎣⎦-⎡⎤⎢⎥---⎢⎥−−−−→⎢⎥---⎢⎥--⎣⎦-⎡⎤⎢⎥-⎢⎥⎢⎥---⎢⎥--⎣⎦A b M 32434243324142360129200426100112614236142360129201292,0011260011260042610007425r r r r r r r +↔++-⎡⎤⎢⎥-⎢⎥−−−→−−−→⎢⎥-⎢⎥⎣⎦--⎡⎤⎡⎤⎢⎥⎢⎥--⎢⎥⎢⎥−−−→⎢⎥⎢⎥⎢⎥⎢⎥-⎣⎦⎣⎦得12342343444236 292 126 7425x x x x x x x x x x +-+=⎧⎪-+=⎪⎨+=⎪⎪=⎩ 所以1234187,74211,74144,7425.74x x x x ⎧=-⎪⎪⎪=⎪⎨⎪=⎪⎪⎪=⎩解②①×2得 x 22x 3=0③① 得2x 3=4 由⑥得 x 3=2,由⑤得 x 2=2x 3=4,由④得 x 1=22x 3 2x 2 = 10, 得 (x 1,x 2,x 3)T =(10,4,2)T . 2. 求下列齐次线性方程组的基础解系.(1) 123123123 320 5 03580;x x x ,x x x ,x x x ++=⎧⎪++=⎨⎪++=⎩ (2)1234123412341234 5 0 2303 8 0 3970;x x x x ,x x x x ,x x x x ,x x x x -+-=⎧⎪+-+=⎪⎨-++=⎪⎪+-+=⎩ (3) 1234512341234 22702345 03568 0;x x x x x ,x x x x ,x x x x ++++=⎧⎪+++=⎨⎪+++=⎩ (4)123451234512345 222 0 2 320247 0.x x x x x ,x x x x x ,x x x x x +-+-=⎧⎪+-+-=⎨⎪+-++=⎩ 【解】(1)。
第二章 矩阵及其运算课后习题答案1.已知线性变换:⎪⎩⎪⎨⎧++=++=++=,323,53,22321332123211y y y x y y y x y y y x 求从变量321,,x x x 到变量321,,y y y 的线性变换.解由已知:⎪⎪⎪⎭⎫ ⎝⎛⎪⎪⎪⎭⎫⎝⎛=⎪⎪⎪⎭⎫ ⎝⎛221321323513122y y y x x x故 ⎪⎪⎪⎭⎫ ⎝⎛⎪⎪⎪⎭⎫ ⎝⎛=⎪⎪⎪⎭⎫ ⎝⎛-3211221323513122x x x y y y ⎪⎪⎪⎭⎫ ⎝⎛⎪⎪⎪⎭⎫ ⎝⎛----=321423736947y y y ⎪⎩⎪⎨⎧-+=-+=+--=321332123211423736947xx x y x x x y x x x y 2.已知两个线性变换⎪⎩⎪⎨⎧++=++-=+=,54,232,232133212311y y y x y y y x y y x ⎪⎩⎪⎨⎧+-=+=+-=,3,2,3323312211z z y z z y z z y 求从321,,z z z 到321,,x x x 的线性变换. 解 由已知⎪⎪⎪⎭⎫ ⎝⎛⎪⎪⎪⎭⎫ ⎝⎛-=⎪⎪⎪⎭⎫ ⎝⎛221321514232102y y y x x x ⎪⎪⎪⎭⎫ ⎝⎛⎪⎪⎪⎭⎫ ⎝⎛--⎪⎪⎪⎭⎫ ⎝⎛-=321310102013514232102z z z ⎪⎪⎪⎭⎫⎝⎛⎪⎪⎪⎭⎫ ⎝⎛----=321161109412316z z z所以有 ⎪⎩⎪⎨⎧+--=+-=++-=3213321232111610941236zz z x z z z x z z z x3.设⎪⎪⎪⎭⎫⎝⎛--=111111111A ,,150421321⎪⎪⎪⎭⎫⎝⎛--=B 求.23B A A AB T 及- 解 A AB 23-⎪⎪⎪⎭⎫ ⎝⎛--⎪⎪⎪⎭⎫⎝⎛--=1504213211111111113⎪⎪⎪⎭⎫⎝⎛---1111111112⎪⎪⎪⎭⎫ ⎝⎛-=0926508503⎪⎪⎪⎭⎫ ⎝⎛---1111111112⎪⎪⎪⎭⎫⎝⎛----=22942017222132⎪⎪⎪⎭⎫ ⎝⎛--⎪⎪⎪⎭⎫ ⎝⎛--=150421321111111111B A T⎪⎪⎪⎭⎫ ⎝⎛-=0926508504.计算下列乘积:(1)⎪⎪⎪⎭⎫ ⎝⎛⎪⎪⎪⎭⎫ ⎝⎛-127075321134; (2)()⎪⎪⎪⎭⎫⎝⎛1233,2,1; (3)()2,1312-⎪⎪⎪⎭⎫ ⎝⎛; (4)⎪⎪⎪⎪⎭⎫⎝⎛---⎪⎭⎫ ⎝⎛-20413121013143110412; (5)⎪⎪⎪⎭⎫⎝⎛⎪⎪⎪⎭⎫ ⎝⎛321332313232212131211321),,(x x x a a a a a a a a a x x x ; (6)⎪⎪⎪⎪⎭⎫ ⎝⎛---⎪⎪⎪⎪⎭⎫⎝⎛30003200121013013000120010100121. 解 (1)⎪⎪⎪⎭⎫ ⎝⎛⎪⎪⎪⎭⎫ ⎝⎛-127075321134⎪⎪⎪⎭⎫ ⎝⎛⨯+⨯+⨯⨯+⨯-+⨯⨯+⨯+⨯=102775132)2(71112374⎪⎪⎪⎭⎫⎝⎛=49635(2)()⎪⎪⎪⎭⎫ ⎝⎛123321)10()132231(=⨯+⨯+⨯=(3)()21312-⎪⎪⎪⎭⎫ ⎝⎛⎪⎪⎪⎭⎫⎝⎛⨯-⨯⨯-⨯⨯-⨯=23)1(321)1(122)1(2⎪⎪⎪⎭⎫⎝⎛---=632142(4)⎪⎪⎪⎪⎭⎫⎝⎛---⎪⎭⎫ ⎝⎛-20413121013143110412⎪⎭⎫⎝⎛---=6520876 (5)()⎪⎪⎪⎭⎫⎝⎛⎪⎪⎪⎭⎫ ⎝⎛321332313232212131211321x x x a a a a a a a a a x x x ()333223113323222112313212111x a x a x a x a x a x a x a x a x a ++++++=⎪⎪⎪⎭⎫ ⎝⎛⨯321x x x322331132112233322222111222x x a x x a x x a x a x a x a +++++=(6) ⎪⎪⎪⎪⎭⎫ ⎝⎛---⎪⎪⎪⎪⎭⎫⎝⎛30003200121013013000120010100121⎪⎪⎪⎪⎭⎫⎝⎛---=90003400421025215.设⎪⎭⎫⎝⎛=3121A , ⎪⎭⎫⎝⎛=2101B ,问: (1)BA AB =吗?(2)2222)(B AB A B A ++=+吗?(3)22))((B A B A B A -=-+吗? 解 (1)⎪⎭⎫⎝⎛=3121A , ⎪⎭⎫ ⎝⎛=2101B . 则⎪⎭⎫ ⎝⎛=6443AB ⎪⎭⎫⎝⎛=8321BA BA AB ≠∴ (2) ⎪⎭⎫ ⎝⎛⎪⎭⎫ ⎝⎛=+52225222)(2B A ⎪⎭⎫⎝⎛=2914148但=++222B AB A ⎪⎭⎫⎝⎛+⎪⎭⎫ ⎝⎛+⎪⎭⎫ ⎝⎛43011288611483⎪⎭⎫ ⎝⎛=27151610 故2222)(B AB A B A ++≠+ (3) =-+))((B A B A =⎪⎭⎫ ⎝⎛⎪⎭⎫⎝⎛10205222⎪⎭⎫⎝⎛9060 而 =-22B A =⎪⎭⎫ ⎝⎛-⎪⎭⎫ ⎝⎛430111483⎪⎭⎫⎝⎛7182 故 22))((B A B A B A -≠-+6.举反列说明下列命题是错误的: (1)若02=A ,则0=A ;(2)若A A =2,则0=A 或E A =; (3)若AY AX =,且0≠A ,则Y X =. 解 (1) 取⎪⎭⎫⎝⎛=0010A , 02=A ,但0≠A (2) 取⎪⎭⎫⎝⎛=0011A , A A =2,但0≠A 且E A ≠ (3) 取⎪⎭⎫⎝⎛=0001A , ⎪⎭⎫⎝⎛-=1111X , ⎪⎭⎫ ⎝⎛=1011Y . AY AX =且0≠A 但Y X ≠. 7.设⎪⎭⎫⎝⎛=101λA ,求k A A A ,,,32 . 解 ⎪⎭⎫ ⎝⎛=⎪⎭⎫ ⎝⎛⎪⎭⎫⎝⎛=12011011012λλλA ; ⎪⎭⎫ ⎝⎛=⎪⎭⎫ ⎝⎛⎪⎭⎫ ⎝⎛==1301101120123λλλA A A利用数学归纳法证明: ⎪⎭⎫ ⎝⎛=101λk A k当1=k 时,显然成立,假设k 时成立,则1+k 时⎪⎭⎫ ⎝⎛+=⎪⎭⎫ ⎝⎛⎪⎭⎫ ⎝⎛==1)1(01101101λλλk k A A A k k由数学归纳法原理知:⎪⎭⎫ ⎝⎛=101λk A k8.设⎪⎪⎪⎭⎫ ⎝⎛=λλλ001001A ,求kA .解 首先观察⎪⎪⎪⎭⎫ ⎝⎛⎪⎪⎪⎭⎫ ⎝⎛=λλλλλλ0010010010012A ⎪⎪⎪⎭⎫⎝⎛=222002012λλλλλ, ⎪⎪⎪⎭⎫ ⎝⎛=⋅=3232323003033λλλλλλA A A由此推测 ⎪⎪⎪⎪⎪⎭⎫ ⎝⎛-=---k k k k k k k k k k k A λλλλλλ0002)1(121)2(≥k用数学归纳法证明:当2=k 时,显然成立.假设k 时成立,则1+k 时,⎪⎪⎪⎭⎫ ⎝⎛⎪⎪⎪⎪⎪⎭⎫ ⎝⎛-=⋅=---+λλλλλλλλλ0010010002)1(1211k k k k k k k k k k k k A A A ⎪⎪⎪⎪⎪⎭⎫⎝⎛+++=+-+--+11111100)1(02)1()1(k k k k k k k k k k λλλλλλ 由数学归纳法原理知: ⎪⎪⎪⎪⎪⎭⎫ ⎝⎛-=---k k k k k k k k k k k A λλλλλλ0002)1(1219.设B A ,为n 阶矩阵,且A 为对称矩阵,证明AB B T 也是对称矩阵. 证明 已知:A A T =则 AB B B A B A B B ABB T T T T TT T T===)()(从而 AB B T 也是对称矩阵.10.设B A ,都是n 阶对称矩阵,证明AB 是对称矩阵的充分必要条件是BA AB =. 证明 由已知:A A T = B B T =充分性:BA AB =⇒A B AB TT=⇒)(AB AB T=即AB 是对称矩阵. 必要性:AB ABT=)(⇒AB A B T T =⇒AB BA =.11.求下列矩阵的逆矩阵:(1)⎪⎭⎫ ⎝⎛5221; (2)⎪⎭⎫ ⎝⎛-θθθθcos sin sin cos ; (3)⎪⎪⎪⎭⎫⎝⎛---145243121; (4)⎪⎪⎪⎪⎭⎫⎝⎛n a a a 0021)0(21≠a a a n解 (1) ⎪⎭⎫⎝⎛=5221A , 1=A ..1 ),1(2 ),1(2 ,522122111=-⨯=-⨯==A A A A⎪⎭⎫ ⎝⎛--=⎪⎭⎫ ⎝⎛=*122522122111A A A A A . *-=A A A 11⎪⎭⎫ ⎝⎛--=1225(2) 01≠=A 故1-A 存在θθθθcos sin sin cos 22122111=-===A A A A从而 ⎪⎭⎫⎝⎛-=-θθθθcos sin sin cos 1A(3) 2=A , 故1-A 存在 024312111==-=A A A 1613322212-==-=A A A 21432332313-==-=A A A故 *-=A A A 11⎪⎪⎪⎪⎭⎫⎝⎛-----=1716213213012(4)⎪⎪⎪⎪⎭⎫⎝⎛=n a a a A 0021. 由对角矩阵的性质知 ⎪⎪⎪⎪⎪⎪⎪⎭⎫ ⎝⎛=-n a a a A 1001121112.解下列矩阵方程:(1) ⎪⎭⎫ ⎝⎛-=⎪⎭⎫ ⎝⎛12643152X ; (2) ⎪⎭⎫⎝⎛-=⎪⎪⎪⎭⎫ ⎝⎛--234311111012112X ; (3) ⎪⎭⎫⎝⎛-=⎪⎭⎫ ⎝⎛-⎪⎭⎫ ⎝⎛-101311022141X ; (4) ⎪⎪⎪⎭⎫ ⎝⎛---=⎪⎪⎪⎭⎫ ⎝⎛⎪⎪⎪⎭⎫ ⎝⎛021********0100001100001010X .解(1) ⎪⎭⎫ ⎝⎛-⎪⎭⎫ ⎝⎛=-126431521X ⎪⎭⎫ ⎝⎛-⎪⎭⎫⎝⎛--=12642153⎪⎭⎫⎝⎛-=80232 (2) 1111012112234311-⎪⎪⎪⎭⎫⎝⎛--⎪⎭⎫ ⎝⎛-=X ⎪⎪⎪⎭⎫ ⎝⎛---⎪⎭⎫⎝⎛-=03323210123431131⎪⎪⎭⎫ ⎝⎛---=32538122 (3) 11110210132141--⎪⎭⎫ ⎝⎛-⎪⎭⎫ ⎝⎛-⎪⎭⎫ ⎝⎛-=X ⎪⎭⎫ ⎝⎛⎪⎭⎫ ⎝⎛-⎪⎭⎫⎝⎛-=210110131142121⎪⎭⎫ ⎝⎛⎪⎭⎫ ⎝⎛=21010366121⎪⎪⎭⎫ ⎝⎛=04111 (4) 11010100001021102341100001010--⎪⎪⎪⎭⎫ ⎝⎛⎪⎪⎪⎭⎫ ⎝⎛---⎪⎪⎪⎭⎫⎝⎛=X ⎪⎪⎪⎭⎫⎝⎛⎪⎪⎪⎭⎫ ⎝⎛---⎪⎪⎪⎭⎫ ⎝⎛=010100001021102341100001010⎪⎪⎪⎭⎫⎝⎛---=20143101213.利用逆矩阵解下列线性方程组:(1) ⎪⎩⎪⎨⎧=++=++=++;353,2522,132321321321x x x x x x x x x (2)⎪⎩⎪⎨⎧=-+=--=--.0523,132,2321321321x x x x x x x x x解 (1) 方程组可表示为 ⎪⎪⎪⎭⎫ ⎝⎛=⎪⎪⎪⎭⎫ ⎝⎛⎪⎪⎪⎭⎫ ⎝⎛321153522321321x x x故 ⎪⎪⎪⎭⎫⎝⎛=⎪⎪⎪⎭⎫ ⎝⎛⎪⎪⎪⎭⎫⎝⎛=⎪⎪⎪⎭⎫ ⎝⎛-0013211535223211321x x x从而有 ⎪⎩⎪⎨⎧===001321x x x(2) 方程组可表示为 ⎪⎪⎪⎭⎫ ⎝⎛=⎪⎪⎪⎭⎫ ⎝⎛⎪⎪⎪⎭⎫⎝⎛-----012523312111321x x x故 ⎪⎪⎪⎭⎫⎝⎛=⎪⎪⎪⎭⎫ ⎝⎛⎪⎪⎪⎭⎫⎝⎛-----=⎪⎪⎪⎭⎫ ⎝⎛-3050125233121111321x x x 故有 ⎪⎩⎪⎨⎧===305321x x x14.设O A k =(k 为正整数), 证明:121)(--++++=-k A A A E A E . 证明 一方面, )()(1A E A E E --=-另一方面,由O A k=有)()()(1122k k k A A A A A A A E E -+--+-+-=-- ))((12A E A A A E k -++++=-故 )()(1A E A E ---))((12A E A A A E k -++++=-两端同时右乘1)(--A E就有121)(--++++=-k A A A E A E15.设方阵A 满足O E A A =--22,证明A 及E A 2+都可逆,并求1-A 及1)2(-+E A .证明 由O E A A =--22得E A A 22=-两端同时取行列式: 22=-A A即 2=-E A A ,故 0≠A . 所以A 可逆,而22A E A =+0222≠==+A A E A 故E A 2+也可逆.由O E A A =--22E E A A 2)(=-⇒E A E A A A 112)(--=-⇒)(211E A A -=⇒- 又由O E A A =--22E E A A E A 4)2(3)2(-=+-+⇒ E E A E A 4)3)(2(-=-+⇒11)2(4)3)(2()2(--+-=-++∴E A E A E A E A)3(41)2(1A E E A -=+∴-16.设A 为3阶矩阵,21=A ,求*13)2(A A --。
上海大学2000年度研究生入学考试试题数学分析1、 设122(1)n n x x nx y n n +++=+,若lim n n x a →∞=,证明:(1)当a 为有限数时,lim 2n n ay →∞=;(2)当a =+∞时,lim n n y →∞=+∞.2、设()f x 在[]0,1上有二阶导数(端点分别指左、右导数),(0)(1)0f f ==,且[]0,1min ()1f x =-证明:[]0,1max ()8f x ''≥3、 证明:黎曼函数[]1, x= (0,,)()0,10,p q p q q q R x ⎧>⎪=⎨⎪⎩当为互质整数在上可积当x 为无理数. 4、 证明:12210()lim (0),t tf x dx f t x π+-→=+⎰其中()f x 在[]1,1-上连续.5、 设()1ln 11n n p a n ⎛⎫=+- ⎪⎝⎭,讨论级数2n n a +∞=∑的收敛性.6、 设()f x dx +∞⎰收敛且()f x 在[]0,+∞上单调,证明:01lim ()()h n h f nh f x dx ++∞+∞→==∑⎰.7、 计算曲面2222x y z a ++=包含在曲面22221(0)x y b a a b+=<≤内的那部分的面积.8、 将函数()f x x =在[]0,2π上展成Fourier 级数,并计算级数1sin k kk +∞=∑的值. 上海大学2001年度研究生入学考试试题数学分析1、 计算下列极限、导数和积分:(1) 计算极限1lim();xx x +→ (2) 计算2()()x x f t dt ϕ=⎰的导数()x ϕ',其中()f x 2,(1).1,(1)t t t t ≤⎧=⎨+>⎩ (3) 已知)211sin x x '⎤=⎥+⎦,求积分2011sin I dx x π=+⎰. (4) 计算()()22222()0x y z t f t xyz dxdydz t ++≤=>⎰⎰⎰的导数()f t '(只需写出()f t '的积分表达式).2、 设()f x 在[],a b 上连续,在(),a b 上可导,若()()0f a f b >且()02a bf +=,试证明必存在(),a b ξ∈使得()0f ξ'=. 3、 令(),1y F x y y xe =+-(1)、证明:111311,0,,;,0,,.2121221212F x x F x x ⎛⎫⎛⎫⎛⎫⎡⎤<∈->∈- ⎪ ⎪ ⎪⎢⎥⎝⎭⎝⎭⎝⎭⎣⎦(2)、证明:对任意的11,1212x ⎛⎫∈- ⎪⎝⎭,方程(),0F x y >在13,22y ⎛⎫∈ ⎪⎝⎭中存在唯一的解()y x . (3)、计算(0)y '和(0)y ''. 4、一致连续和一致收敛性(1)、函数2()f x x =在[]0,1上是一致连续的,对210ε-=,试确定0δ>,使得当1201x x ≤<≤,且12x x δ-<时有3321210x x --<.(2)、设[]2231(),0,1,1,2,,2n n x f x x n n x+=∈=+证明: ()n f x 在[]0,1上是内闭一致收敛的,但不是一致收敛的.5、曲线积分、格林公式和原函数. (1)计算第二型曲线积分()221,2L xdy ydxI x y π-=+⎰其中L 是逐段光滑的简单闭曲线,原点属于L 围成的内部区域,(L)的定向是逆时针方向.(2) 设(),p x y ,(),q x y 除原点外是连续的,且有连续的偏导数,若<a>()(),,0,0p q x y y x∂∂=≠∂∂ <b>()0,L pdy qdx c +=≠⎰其中(L)的参数方程cos ,(02)sin x tt y tπ=⎧≤≤⎨=⎩ 证明:存在连续可微函数()()(),,,0,0F x y x y ≠,使得()()2222,,,22F c y F c xp x y q x y x x y y x yππ∂∂=+=-∂+∂+. 上海大学2002年度研究生入学考试题数学分析1、 求α和β使得当x →+∞等价于无穷小量x βα.2、 求椭圆2221Ax Bxy Cy ++=所围成的面积S ,其中20,0,,,A AC B A B C >->均为常数.3、 试给出三角级数01(cos sin )2n n n a a nx b nx ∞=++∑中系数的计算公式(不必求出具体值),使得该级数在[]0,1上一致收敛到2x ,并说明理论依据。
类别名称老师人文现代法律理念及制度田先纲人文新中国文艺面面观朱羽一人文交响音乐赏析盛聪等5个老师人文人口迁移与城市化黄苏萍人文安全、逃生与避险沈龙骥等人文身边的民法陈慧芳人文日常生活中的社会学甄志宏人文欧洲民族乐派人文士与中国古代知识分子人文生活中的合同法人文日本文学选讲人文论语的思想境界顾骏杨骁李晨社会学思维科技写作大学生情感认知人文人文人文人文消费社会与《消费文化》人文万物有大小人文非主流动画电影的欣赏与创意人文劳动关系与法人文帝国与传播人文发现你的潜能人文积极心理学人文霓裳之舞:服饰艺术与生活人文英语语言与文化人文心理素质训练人文《兰亭序》与中国书法艺术人文哲学智慧与创新思维王洪义人文音乐文学赏析与创作好莱坞电影——1891年以来的电影工业发展史经典华语电影赏析美术经典与形式分析人文人文人文人文《红楼梦》导读人文莎士比亚与文艺复兴时期的英国人文《论美国的民主》与美国的政治文化人文汉字五千年人文《孙子兵法》与商业策略人文社会学的想象力肖瑛人文《营造法式》与中国古典建筑语言人文苏轼与中国文人画人文意大利文艺复兴时期的艺术与爱人文认识电影:电影的语言系统与要素人文电影音乐赏析人文性别冲突与广告人文大师的轨迹-钱伟长校长为什么能?人文《圣经》与基督教文明人文中西文化交流史十讲人文理解大众文化人文基督教与西方文化《麦迪逊大道》与美国广告业人文人文《共产党宣言》导读人文普通话语言训练人文上海话与海派文化人文《娱乐至死》与大众狂欢人文地图的识别与应用人文思考的艺术与技术人文新儒学与现代社会人文现代政治分析人文古典音乐与西方思潮人文英美法经典案例解读人文认识电影:电影的语言系统与要素人文性别冲突与广告人文基督教与西方文化人文《消费社会》与消费文化人文生活中的活法人文商务礼仪人文大国方略人文诗经与传统文化人文电影与社会人文跨文化沟通庄恩平老师等人文 危机公关李梁老师人文 日本文化与美术潘力老师人文身体与社会作业顾骏老师的课,感觉讲挺好的,会要写2、3篇文当平时成绩,第十周看视频写文章,课内容比较丰富讲的很好,作业论文略多,如果上课认真听论文好好写绩点会很高,如果想水过去成绩就会比较惨2份1000字报告,上课内容有趣目前只交过一次作业,上课蛮好玩的,但是课外要求阅读量极大,不点名,如果你和老师的想法总是碰不拢的话考试分数会很难看文献综述(知进不知为何物)—第六周交 读书报告(字数2000以上)—第八周交1000字报告每两节课一片200字小论文从不点名,没有作业,期末论文最后一篇论文要加上英文版(坑!)一篇1500字论文,一篇3000字论文,上课比较无趣,点名。
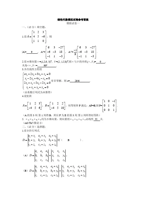
线性代数模拟试卷参考答案模拟试卷一一、(15分)填空题:1.设123456110A ⎡⎤⎢⎥=-⎢⎥⎢⎥⎣⎦,则 |A|= -9 , A*=63276318113-⎡⎤⎢⎥--⎢⎥⎢⎥--⎣⎦, A -1=6327163189113-⎡⎤-⎢⎥--⎢⎥⎢⎥--⎣⎦.2.设4维向量α=(1,2,0,-3)T , β=(2,-1,5,0)T ,则α与β的内积(α,β)= 0 ,夹角<α,β>= 90o . 3.齐次线性方程组123412341234123423024025200ax x x x x x x x x x x x x x x x +++=⎧⎪-+-=⎪⎨+--=⎪⎪+++=⎩有非零解,则a= 29/6 . (由系数行列式为0推得) 4.设矩阵123456A ⎡⎤=⎢⎥-⎣⎦,1224510B ⎡⎤=⎢⎥-⎣⎦,初等矩阵P 满足:AP=B,则P=101010001-⎡⎤⎢⎥⎢⎥⎢⎥⎣⎦.(A 的第3列-第1列得B ,所以P 为E 的第3列-第1列所得初等阵) 5. α1,α2,α3,α4均为3维向量,则向量组α1,α2,α3,α4必线性 相 关. (ch3/Th7/推论2) 二、(15分)选择题: 1.设3阶行列式112233112233112233a x a x a x Db y b y b yc z c z c z +++=++++++则( B ). (A )123123123123123123a a a x x x D b b b y y y c c c z z z =+; (B )122331223312233122331223312233a a x a x x a x a x Db b y b y y b y b yc c z c z z c z c z ++++=+++++++++(C )123123123123123123123123123a a x a x a x a a Db b y b y b y b bc c z c z c z c c =++. (ch1/行列式性质5)2.设矩阵A 的秩R(A)=r,则( B ).(A)A 中只有一个r 阶子式不为零,其余的r 阶子式全为零;(B) A 中存在一个r 阶子式不为零,所有的r+1阶子式(若有)全为零; (C) A 中所有的r 阶子式均不为零,而高阶子式全为零. 3. 设线性方程组12312321231ax x x x ax x a x x ax a ++=⎧⎪++=⎨⎪++=⎩有唯一解,则( C ). (A)a=1;(B)a=-2;(C)a ≠1且a ≠-2.4.设 向量组α1,α2,…,αs 线性相关,则( C ).(A) α1一定可由α2,α3,…,αs 线性表示; (B) α1一定不可由α2,α3,…,αs 线性表示;(C) 其中至少有一个向量可由其余s-1个向量线性表示. 5.n 阶方阵A 与对角阵相似,则( C ).(A)A 有n 个不同的特征值;(B) A 有n 个相同的特征值;(C) A 有n 个线性无关的特征向量. 三、(14分)设n 维向量αT =(1/2,0,…,0,1/2),又A=E-ααT , B=E+2ααT ,其中E 为n 阶单位矩阵,求AB,A -1,B -1,并写出A -1与B -1的具体形式. 解:AB=( E-ααT )(E+2ααT )= E-ααT +2ααT -2ααT ααT= E+ααT -2α(αT α)αTαT α=120111110 0...22442012⎛⎫ ⎪ ⎪ ⎪⎛⎫ ⎪=+=⎪ ⎪⎝⎭ ⎪ ⎪ ⎪⎝⎭∴AB= E+ααT -ααT =E.A -1=B=11/40...01/42000 (001)120 02..................22000...0011/40...01/42E E ⎛⎫ ⎪⎡⎤ ⎪⎢⎥ ⎪⎢⎥⎛⎫⎪⎢⎥+=+⎪ ⎪⎝⎭⎢⎥⎪⎢⎥ ⎪⎢⎥⎣⎦⎪⎝⎭=1/20...01/23/20...01/200...0001...00..............................00...0000...101/20...01/21/20...03/2E ⎡⎤⎡⎤⎢⎥⎢⎥⎢⎥⎢⎥⎢⎥⎢⎥+=⎢⎥⎢⎥⎢⎥⎢⎥⎢⎥⎢⎥⎣⎦⎣⎦B -1= A =11/40...01/42000 (001)10 0..................22000...0011/40...01/42E E ⎛⎫⎪⎡⎤ ⎪⎢⎥ ⎪⎢⎥⎛⎫⎪⎢⎥-=-⎪ ⎪⎝⎭⎢⎥⎪⎢⎥ ⎪⎢⎥⎣⎦⎪⎝⎭=3/40 01/401...00...............00...101/40...03/4-⎡⎤⎢⎥⎢⎥⎢⎥=⎢⎥⎢⎥⎢⎥-⎣⎦.四、(16分)设向量组α1=(1,2,3,4)T , α2=(2,3,4,5)T , α3=(3,4,5,6)T , α4=(4,5,6,7)T ,求该向量组的秩及一个最大无关组,并将其余向量表示成最大无关组的线性组合.解:【α1, α2, α3, α4】14,3,21234234534564567i i r r i --=⎡⎤⎢⎥⎢⎥=→⎢⎥⎢⎥⎣⎦4232211234111111111111r r r r r r ---⎡⎤⎢⎥⎢⎥→⎢⎥⎢⎥⎣⎦1222(1)1234012300000000r r r +⨯-⎡⎤⎢⎥---⎢⎥→⎢⎥⎢⎥⎣⎦1012012300000000--⎡⎤⎢⎥⎢⎥⎢⎥⎢⎥⎣⎦,秩为2,α1, α2为一个最大无关组, α3= -α1+2α2,α4= -2α1+3α2. 五、(14分)求非齐次线性方程组1234123412342546235843622x x x x x x x x x x x x +-+=⎧⎪-+-=⎨⎪-+-=⎩的通解. 解:2154612358431622r⎡-⎤⎢⎥--→⎢⎥⎢⎥--⎣⎦107/53/540111/514/5200000⎡-⎤⎢⎥--⎢⎥⎢⎥⎣⎦.13423447/53/5211/514/5x x x x x x =+-⎧⎨=-+-⎩令314255x c x c =⎧⎨=⎩,则11221231424732111455x c c x c c x c x c +-⎛⎫⎛⎫ ⎪ ⎪-+- ⎪ ⎪= ⎪ ⎪ ⎪ ⎪⎝⎭⎝⎭=1247321114050005c c -⎛⎫⎛⎫⎛⎫ ⎪ ⎪ ⎪-- ⎪ ⎪ ⎪++ ⎪ ⎪ ⎪ ⎪ ⎪ ⎪⎝⎭⎝⎭⎝⎭.六、(18分)设A=200032023⎡⎤⎢⎥⎢⎥⎢⎥⎣⎦1. 求A 的特征值与特征向量;2.求正交矩阵Q ,使得Q T AQ =Λ 解:1.|λE-A|=200032023λλλ-----=(λ-1)(λ-2)(λ-5)=0. 得A 的特征值1,2,5.对λ=1,λE-A=100100022011022000r -⎡⎤⎡⎤⎢⎥⎢⎥--→⎢⎥⎢⎥⎢⎥⎢⎥--⎣⎦⎣⎦,1230x x x =⎧⎨=-⎩,基础解系1011ξ⎛⎫⎪= ⎪ ⎪-⎝⎭,属于1的全部特征向量为c 11ξ,c 1为任意非零常数;对λ=2,λE-A=000010012001021000r ⎡⎤⎡⎤⎢⎥⎢⎥--→⎢⎥⎢⎥⎢⎥⎢⎥--⎣⎦⎣⎦,2300x x =⎧⎨=⎩,x 1是自由未知量,基础解系2100ξ⎛⎫⎪= ⎪ ⎪⎝⎭,属于2的全部特征向量为c 22ξ,c 2为任意非零常数;对λ=5,λE-A=300100022011022000r ⎡⎤⎡⎤⎢⎥⎢⎥-→-⎢⎥⎢⎥⎢⎥⎢⎥-⎣⎦⎣⎦,1230x x x =⎧⎨=⎩,基础解系3011ξ⎛⎫⎪= ⎪ ⎪⎝⎭,属于5的全部特征向量为c 33ξ,c 3为任意非零常数。
3 0 1 1 0 1 1 ⎪ 0 ⎪ 0 0 《线性代数》第一学期期末考试试题本期末试卷满分为 80 分,占课程总成绩的 80 ,平时成绩占课程总成绩的 20 。
答题要求:1. 请将所有答案统一写在答题纸上,不按要求答题的,责任考生自负。
2. 答题纸与试卷一同交回,否则酌情扣分。
说明:在本卷中,A T 表示矩阵 A 的转置矩阵,A *表示矩阵 A 的伴随矩阵,E 是单位矩阵,|A|表示方阵 A 的行列式, R (A )表示 A 的秩。
一、单项选择题(本大题共 10 小题,每小题 2 分,共 20 分)⎛1 2⎫ ⎛ 1 2 3⎫1、设矩阵A=(1,2),B= 3 4⎪ ,C = 4 5 6 ⎪ ,则下列矩阵运算中有意义的是( )⎝ ⎭ ⎝ ⎭A .ACB B .ABC C .BACD .CBA2、设A 为 3 阶方阵,且|A|=2,则|2A -1|=( )A .-4B .-1C .1D .4⎛ 3 3、矩阵⎝- 1 3⎫⎪ 的逆矩阵是( )0⎭⎛ 0 - 1⎫⎛ 0 - 3⎫⎛ 0 - 1⎫⎛1 ⎫A. ⎪ ⎝ 3 3 ⎭B.⎪ ⎝1 3 ⎭C. 1 ⎪1 ⎪ ⎝ 3 ⎭D.1 ⎪ ⎝ - 1 0 ⎭4、设 A ,B 均为 3 阶矩阵,若 A 可逆,且R (B )=2,那么 R (AB )=()A .0B .1C .2D .35、下列矩阵中,是初等矩阵的为( )⎛ 1 0⎫ A .⎪ ⎛ 0 1 B . - 1 0 - 1⎫ ⎪ 1 ⎪⎛ 0 1 0⎫⎪ C . 0 0 3⎪⎛ 1 0 0⎫ ⎪ D . 0 1 0⎪⎝ 0 0⎭⎪ ⎪⎝ ⎭ ⎝ ⎭ ⎝ ⎭6、设A 为任意n 阶矩阵,下列矩阵中为反对称矩阵的是( )A .A+A TB .A-A TC .AA TD .A T A7、设A 为m ×n 矩阵,齐次线性方程组Ax=0 有非零解的充分必要条件是( )A .A 的列向量组线性相关B .A 的列向量组线性无关C .A 的行向量组线性相关D .A 的行向量组线性无关8、设三元非齐次线性方程组 Ax=b 的两个解为α=(1,0,2)T,β=(1,-1,3)T,且1 2 1 1 ⎝ ⎭1 系数矩阵A 的秩R (A)=2,则对于任意常数 k,k 1,k 2,方程组的通解可表为( ) A .k (1,0,2)T +k (1,-1,3)T B .(1,0,2)T +k (1,-1,3)T C .(1,0,2)T +k (0,1,-1)T D .(1,0,2)T+k (2,-1,5)T9、观察下列向量组的特点,其中线性无关的为( )A .α1 = (1, -1, 2),α2 = (7, 6, 4),α3 = (0, 0, 0)B .α1 = (1, 0, 0, 2),α2 = (0,1, 0, 3),α3 = (0, 0,1, 4)C .α1 = (2, 0, -14,8),α2 = (-1, 0, 7, -4),α3 = (9,11, 2, 3)D . α1 = (1, 2, 3),α2 = (4, 5, 6),α3 = (3,3, 3)⎛1 10、矩阵A= 1 1 1⎫⎪1 1⎪ 的非零特征值为()⎪ ⎝⎭A .4B .3C .2D .1二、填空题(本大题共 10 小题,每小题 2 分,共 20 分) ⎛1 2⎫ T1、设矩阵A= ⎝ 3 ⎪ ,则行列式|A A|= 。
2000上海大学 高等代数(一) 计算行列式:ac ccb ac cb b a cbb b a ⋅⋅⋅⋅⋅⋅⋅⋅⋅ (二) 把二次型414332214321),,,(x x x x x x x x x x x x f +++=用非退化线性替换化成平方和.(三) B A ,分别为m n ⨯和m n ⨯矩阵, n I 表示n n ⨯单位矩阵.证明: m n⨯阶矩阵0nA I XB ⎛⎫= ⎪⎝⎭可逆当且仅当BA 可逆,可逆时求出X 的逆.(四) 设12,n e e e ⋅⋅⋅是n 维线性空间n V 的一组基,对任意n 个向量12,n a a a ⋅⋅⋅n V ∈,证明:存在唯一的线性变换A ,使得(),1,2i i A e a i n ==⋅⋅ (五) 设A 是n 维线性空间V 的线性变换,求证:1(0)V AV A -=⊕当且仅当若12,r a a a ⋅⋅⋅为AV 的一组基则12,r Aa Aa Aa ⋅⋅⋅是2()A V 的一组基. (六) 设A 为2级实方阵,适合21001A -⎛⎫=⎪-⎝⎭,求证:A 相似于0110-⎛⎫⎪⎝⎭.(七) 已知,f g 均为线性空间V 上线性变换,满足22,f f g g ==试证: (1)f 与g 有相同的值域⇔,fg g gf f ==. (2)f 与g 有相同的核⇔,fg f gf g ==.2001上海大学 高等代数(一)计算行列式:231212123n n nx a a a a xa a a a x a a a a x(二)设A 为3阶非零方阵,且20A =.(1)求证:存在123,,a a a ,123,,b b b ,()121233a A a b b b a ⎛⎫⎪= ⎪ ⎪⎝⎭(2)求方程组0AX =的基础解系.(三)用正交的线性替换化二次行2221231231323(,,)3244f x x x x x x x x x x =++--为标准形(四)设A 为n m ⨯阶实矩阵,且()()r A m n m =≥.若'2'()AA aAA =,求证'm AA aE =.(五)设A 是n (n 为奇数)维线性空间V 上线性变换,若10,0n n A A -≠=求证:存在a V ∈,使2211,,,,n n n a A a A a Aa A a A a A a a ---++++为V 的一组基,并求A 在此组基下的矩阵.(六)设A 是欧式空间V 上的对称变换.求证:对任意0a ≠,都有()0,0a Aa a ≠<⇔A 的所有特征值都小于0.(七)设A a B a β-⎛⎫= ⎪⎝⎭,其中A 为n 阶负定矩阵,a 为n 维列实向量,β为实数.求证B 正定的充分必要条件为'10a A a β-+>.(八)若A 是正交阵,且A -特征值为1的重数是S ,求证:(1)s A =-(A 为A 的行列式).2002 上海大学 高等代数(一)计算行列式:若1232nx a a a ax a aA B aa x a aaax ==,求A B A B A ⎛⎫= ⎪⎝⎭. (二)设A 是n 阶可逆方阵,0A A B A ⎛⎫= ⎪⎝⎭. (1)计算k B (K 是整数),(2)假设100110111A =,C 为6阶方阵,而且2BC C E =+,求C .(三)设(1)(1)(1)(1)p p p n p ppn p pA p n p p pn p ppp--------=--------,A 是n 阶矩阵(0p ≠),求0AX =的基础解系.(四)构造一个3阶实对称方阵A ,使其特征值为1,1,-1.并且对应的特征值有特征向量(1,1,1),(2,2,1).(五)设向量组A :123,,n a a a a ⋅⋅的秩为r (r n <),则A 中任意r 个向量线性无关的充分必要条件为:对任意向量121,,r i i i a a a +,若1211210r i i r i k a k a k a ++++=,则121,r k k k +或全为0或全不为0.(六)设A 为n 阶正定矩阵,n m B ⨯为秩为m 的实矩阵,求证'B AB tE +(0t >,E 为单位矩阵)为正定矩阵.(七)设A 为欧式空间V 上的线性变换,且2A E =.(1)求证:A 是V 上的正交变换的充分必要条件为A 是V 上的对称变换.(2)设{}1,V a a V Aa a =∈=,求证:12V V V =+是直和.(八)设A 为n 阶实正交矩阵,123,,n a a a a ⋅⋅为n 维列向量,且线性无关,若12,n A Ea A Ea A Ea +++线性无关,则1A =.2003上海大学 高等代数(一)计算行列式:x a a a ax a aA a a x a aaax=(A 为n 阶矩阵),2A A B A A ⎛⎫= ⎪⎝⎭(1)求A (2)求B(二)设A 为21n k =+阶反对称矩阵,求A .(三)设,A B 为n 阶整数方阵(,A B 中元素为整数),若AB E A =- (1)求证:1A =±,(2)若200120232B -⎛⎫ ⎪=- ⎪ ⎪-⎝⎭,求A . (四)设12(,)n A a a a =为n 阶方阵,()1r A n =-,且121n n a a a a -=++121n n a a a a β-=+++,求AX β=的解.(五)设A 是n 阶可逆方阵,且A 每行元素之和为a ,求证:k A -的每行元素之和为k a -(k 为正整数)(六)设A 为n 阶正交矩阵,若.证明:存在正交矩阵G 使1rs E G AG E -⎛⎫=⎪-⎝⎭. (七)设2A A =,且A 为n 阶方阵,()R A r =.(1)求证:2r E A += (2)求证:()()R A R A E n +-=(3)若1r =,求0AX =的解.(八)构造一个3阶实对称方阵A ,使其特征值为2,1,1,且有特征向量(1,1,1). (九)设二次型22221234121314232434()222222f X x x x x x x x x x x x x x x x x =++++++---(1)求()f X 对应的实对称矩阵A .(2)求正交变换X PY =,将()f X 化为标准型. (十)设A 是n 维线性空间V 上的线性变换,12,k a a a 是对应的不同特征值12,k λλλ的特征向量.若12k a a a W ++∈,而W 是A 的不变子空间,则有维(W )k ≥(十一)设B 为欧式空间V 上的变换,A 为欧式空间V 上的线性变换且有:(,)(,),,Aa a B a V βββ=∀∈.证明:(1)B 为欧式空间V 上的线性变换. (2)1(0)()A B V -⊥=2004 上海大学 高等代数(一)设n 阶可逆方阵()ij A a =中每一行元素之和为(0)a a ≠,证明: (1)11(1,2)nij j A a A i n -===∑,其中ij A 为ij a 的代数余子式.(2)如果ij a 都是整数(1,2)i n =,则a 整除A . (二)设1212121n n n n n a a a a A b b b b -⨯-⎛⎫=⎪⎝⎭为实矩阵,且()2r A =. (1)求行列式'E A A λ-.(2)求'0A AX =的解(X 是n 维列向量). (三)设,A B 为n 阶整数方阵,若2B E AB =-. (1)求证:21A B +=.(2)若100110231B -⎛⎫⎪=- ⎪ ⎪-⎝⎭,求1(2)A B -+. (四)若A 为非零的半正定矩阵,B 为正定矩阵,求证: (1)求证:存在实矩阵T ,使'T T B =. (2)1A E +>. (3)A B B +>.(五)设λ为A 的特征值的最小者.求证:对任意的n 维列向量a ,有''a Aa a a λ≥.(六) 设123,,λλλ为3阶方阵A 的特征值,且()()()111,011,001分别为其对应的特征向量,求n A .(七) V 是n 维欧氏空间, σ是n 维空间V 上的线性变换,如果1231,,n a a a a -是V 中1n -个线性无关的向量,且(),σββ分别与1231,,n a a a a -正交(β不为0).求证: β为σ的特征向量.(八)设3223303060303A B ⨯⨯⎛⎫ ⎪= ⎪ ⎪⎝⎭,求证: (1)()()2r A r B == (2)题型与钱吉林书习题类示。
上海大学线性代数20021:行列式计算(14%):若⎪⎪⎪⎪⎪⎭⎫⎝⎛==n x a a a x a a a x B A 212,求A B B A 。
2:设A 是n 阶可逆方阵,⎪⎪⎭⎫ ⎝⎛=A A A B 0。
(1):计算k B (k 是整数)。
(2):假设⎪⎪⎪⎭⎫ ⎝⎛=111011001A ,C 为6阶方阵,而且E C BC +=2,求C 。
(14%) 3:设⎪⎪⎪⎪⎪⎪⎭⎫⎝⎛----------------=ρρρρρρρρρρρρρρρ )1()1()1()1(n n n n A 为n 阶矩阵)0(≠ρ,求0=AX 的基础解系。
(14%)4:构造一个3阶实对称方阵A ,使其特征值为1,1,-1。
并且对应的特征值有特征向量:()t 1,1,1,()t 1,2,2。
(10%) 5:设向量组n A ααα,,,:21 的秩为)(n r r <,则A 中任意r 个向量线性无关的充分且必要条件为:对任意向量121,,,+r i i i ααα 若012121=++++r i i i k k k αα,则n k k k ,,,21 或全为0或全不为0。
(12%)6:设A 为n 阶正定矩阵,m n B ⨯为秩是m 的实矩阵,求证tE AB B +'(0>t ,E 为单位矩阵)为正定矩阵。
(10%)7:设A 为欧氏空间V 上的线性变换,且E A =2。
(1):求证A 是V 上的正交变换的充分且非必要条件为A 是V 上的对称变换。
(2):设},|{1αααα=∈=A V V ,求证21V V V +=且是直和。
(16%) 8:设A 是n 阶实正交矩阵,n ααα,,,21 为n 维列向量,且线性无关,若n E A E A αα)(,,)(1++ 线性无关,则1=A 。
(10%)。
第一章n阶行列式在初等数学中讨论过二阶、三阶行列式,并且利用它们来解二元、三元线性方程组. 为了研究n元线性方程组,需要把行列式推广到n 阶,即讨论n阶行列式的问题. 为此,下面先介绍全排列等知识,然后引出n阶行列式的概念.§1 全排列及其逆序数先看一个例子.引例用1、2、3三个数字,可以组成多少个没有重复数字的三位数?解这个问题相当于说,把三个数字分别放在百位、十位与个位上,有几种不同的放法?显然,百位上可以从1、2、3三个数字中任选一个,所以有3种放法;十位上只能从剩下的两个数字中选一个,所以有两种放法;个位上只能放最后剩下的一个数字,所以只有1种放法. 因此,共有⨯⨯种放法.3=162这六个不同的三位数是:123,132,213,231,312,321.在数学中,把考察的对象,如上例中的数字1、2、3叫做元素. 上述问题就是:把3个不同的元素排成一列,共有几种不同的排法?对于n个不同的元素,也可以提出类似的问题:把n个不同的元素排成一列,共有几种不同的排法?把n个不同的元素排成一列,叫做这n个元素的全排列,简称排列.n个不同元素的所有排列的种数,通常用P n表示. 有引例的结果可知P3 = 3 . 2 . 1 = 6 .12为了得出计算P n 的公式,可以仿照引例进行讨论:从n 个元素中任取一个放在第一个位置上,有n 种取法;又从剩下的n -1个元素中任取一个放在第二个位置上,有n -1种取法;这样继续下去,直到最后只剩下一个元素放在第n 个位置上,只有1种取法. 于是P n =n .(n -1). … . 3 . 2 . 1 = n ! .对于n 个不同的元素,我们规定各元素之间有一个标准次序(例如n 个不同的自然数,可规定由小到大为标准次序),于是在这n 个元素的任一排列中,当某两个元素的先后次序与标准次序不同时,就说有1个逆序. 一个排列中所有逆序的总数叫做这个排列的逆序数.逆序数为奇数的排列叫做奇排列,逆序数为偶数的排列叫做偶排列.下面我们来讨论计算排列的逆序数的方法.不失一般性,不妨设n 个元素为1至n 这n 个自然数,并规定由小到大为标准次序. 设n p p p 21为这n 个自然数的一个排列,考虑元素 ),,2,1(n i p i =,如果比i p 大的且排在i p 前面的元素有i t 个,就说i p 这个元素的逆序数是i t . 全体元素的逆序数之总和∑==+++=ni i n t t t t t 121 ,即是这个排列的逆序数.例1 求排列32514的逆序数. 解 在排列32514中,33排在首位逆序数为0;2的前面比2大的数只有一个“3”,故逆序数为1; 5是最大数,逆序数为0;1的前面比1大的数有三个“3、2、5”,故逆序数为3; 4的前面比4大的数只有一个“5”,故逆序数为1; 于是排列的逆序数为513010=++++=t .§2 n 阶行列式的定义为了给出n 阶行列式的定义,我们先研究三阶行列式的结构. 三阶行列式定义为:)1(.312213332112322311322113312312332211333231232221131211a a a a a a a a a a a a a a a a a a a a a a a a a a a ---++=容易看出:①(1)式右边的每一项都恰是三个元素的乘积,这三个元素位于不同的行、不同的列. 因此,(1)式右端的任意项除正负号外可以写成321321p p p a a a . 这里第一下标(称行标)排成标准排列123,而第二个下标(称列标)排成321p p p ,它是1、2、3三个数的某个排列. 这样的排列共有6种,对应(1)式右端共含6项。
1线性代数知识点1、行列式1.n 行列式共有2n 个元素,展开后有!n 项,可分解为2n 行列式;2. 代数余子式的性质:①、ij A 和ij a 的大小无关;②、某行(列)的元素乘以其它行(列)元素的代数余子式为0; ③、某行(列)的元素乘以该行(列)元素的代数余子式为A ; 3.代数余子式和余子式的关系:(1)(1)i j i j ij ijij ijM A A M ++=-=-4. 设n 行列式D :将D 上、下翻转或左右翻转,所得行列式为1D ,则(1)21(1)n n D D -=-; 将D 顺时针或逆时针旋转90,所得行列式为2D ,则(1)22(1)n n D D -=-;将D 主对角线翻转后(转置),所得行列式为3D ,则3D D =;将D 主副角线翻转后,所得行列式为4D ,则4D D =;5. 行列式的重要公式:①、主对角行列式:主对角元素的乘积;②、副对角行列式:副对角元素的乘积(1)2(1)n n -⨯ -;③、上、下三角行列式( = ◥◣):主对角元素的乘积; ④、 ◤和 ◢:副对角元素的乘积(1)2(1)n n -⨯ -;⑤、拉普拉斯展开式:A O A C AB CB O B==、(1)m n CA OA AB B OB C==-⑥、范德蒙行列式:大指标减小指标的连乘积; ⑦、特征值;6. 对于n 阶行列式A ,恒有:1(1)nnk n k k k E A S λλλ-=-=+-∑,其中k S 为k 阶主子式;7. 证明0A =的方法:①、A A =-; ②、反证法;③、构造齐次方程组0Ax =,证明其有非零解; ④、利用秩,证明()r A n <; ⑤、证明0是其特征值;22、矩阵1.A 是n 阶可逆矩阵:⇔0A ≠(是非奇异矩阵); ⇔()r A n =(是满秩矩阵) ⇔A 的行(列)向量组线性无关; ⇔齐次方程组0Ax =有非零解; ⇔n b R ∀∈,Ax b =总有唯一解;⇔A 与E 等价;⇔A 可表示成若干个初等矩阵的乘积; ⇔A 的特征值全不为0; ⇔T A A 是正定矩阵;⇔A 的行(列)向量组是n R 的一组基; ⇔A 是n R 中某两组基的过渡矩阵;2. 对于n 阶矩阵A :**AA A A A E == 无条件恒成立;3.1**111**()()()()()()T T T T A A A A A A ----===***111()()()T T T AB B A AB B A AB B A ---===4. 矩阵是表格,推导符号为波浪号或箭头;行列式是数值,可求代数和;5. 关于分块矩阵的重要结论,其中均A 、B 可逆:若12s A A A A ⎛⎫ ⎪⎪= ⎪ ⎪⎝⎭,则: Ⅰ、12s A A A A =;Ⅱ、111121s A A A A ----⎛⎫⎪⎪= ⎪ ⎪ ⎪⎝⎭; ②、111A O A O O B OB ---⎛⎫⎛⎫=⎪ ⎪⎝⎭⎝⎭;(主对角分块) ③、111O A O B B O A O ---⎛⎫⎛⎫= ⎪ ⎪⎝⎭⎝⎭;(副对角分块) ④、11111A C A A CB O B OB -----⎛⎫-⎛⎫=⎪ ⎪⎝⎭⎝⎭;(拉普拉斯) ⑤、11111A O A O C B B CAB -----⎛⎫⎛⎫= ⎪ ⎪-⎝⎭⎝⎭;(拉普拉斯)33、矩阵的初等变换与线性方程组1. 一个m n ⨯矩阵A ,总可经过初等变换化为标准形,其标准形是唯一确定的:rm nEO F OO ⨯⎛⎫= ⎪⎝⎭; 等价类:所有与A 等价的矩阵组成的一个集合,称为一个等价类;标准形为其形状最简单的矩阵; 对于同型矩阵A 、B ,若()()r A r B A B = ⇔ ;2. 行最简形矩阵:①、只能通过初等行变换获得;②、每行首个非0元素必须为1;③、每行首个非0元素所在列的其他元素必须为0;3. 初等行变换的应用:(初等列变换类似,或转置后采用初等行变换)①、若(,)(,)rA E E X ,则A 可逆,且1X A -=;②、对矩阵(,)A B 做初等行变化,当A 变为E 时,B 就变成1A B -,即:1(,)(,)cA B E A B - ~ ;③、求解线形方程组:对于n 个未知数n 个方程Ax b =,如果(,)(,)rA b E x ,则A 可逆,且1x A b -=;4. 初等矩阵和对角矩阵的概念:①、初等矩阵是行变换还是列变换,由其位置决定:左乘为初等行矩阵、右乘为初等列矩阵;②、12n ⎛⎫⎪⎪Λ= ⎪ ⎪⎝⎭λλλ,左乘矩阵A ,i λ乘A 的各行元素;右乘,iλ乘A 的各列元素;③、对调两行或两列,符号(,)E i j ,且1(,)(,)E i j E i j -=,例如:1111111-⎛⎫⎛⎫ ⎪ ⎪= ⎪ ⎪ ⎪ ⎪⎝⎭⎝⎭;④、倍乘某行或某列,符号(())E i k ,且11(())(())E i k E i k-=,例如:1111(0)11kk k -⎛⎫⎛⎫⎪⎪⎪=≠ ⎪ ⎪ ⎪ ⎪⎝⎭⎝⎭; ⑤、倍加某行或某列,符号(())E ij k ,且1(())(())E ij k E ij k -=-,如:11111(0)11k k k --⎛⎫⎛⎫ ⎪ ⎪=≠ ⎪ ⎪ ⎪ ⎪⎝⎭⎝⎭;5. 矩阵秩的基本性质:①、0()min(,)m n r A m n ⨯≤≤;②、()()T r A r A =; ③、若AB ,则()()r A r B =;④、若P 、Q 可逆,则()()()()r A r PA r AQ r PAQ ===;(可逆矩阵不影响矩阵的秩) ⑤、max((),())(,)()()r A r B r A B r A r B ≤≤+;(※) ⑥、()()()r A B r A r B +≤+;(※) ⑦、()min((),())r AB r A r B ≤;(※)4⑧、如果A 是m n ⨯矩阵,B 是n s ⨯矩阵,且0AB =,则:(※) Ⅰ、B 的列向量全部是齐次方程组0AX =解(转置运算后的结论);Ⅱ、()()r A r B n +≤⑨、若A 、B 均为n 阶方阵,则()()()r AB r A r B n ≥+-;6. 三种特殊矩阵的方幂:①、秩为1的矩阵:一定可以分解为列矩阵(向量)⨯行矩阵(向量)的形式,再采用结合律;②、型如101001a c b ⎛⎫⎪⎪ ⎪⎝⎭的矩阵:利用二项展开式; 二项展开式:01111110()nn n n m n m mn n n n m m n mn n n n n n m a b C a C a b C a b C a b C b C a b-----=+=++++++=∑;注:Ⅰ、()n a b +展开后有1n +项;Ⅱ、0(1)(1)!1123!()!--+====-m n n n n n n n m n C C C m m n mⅢ、组合的性质:111102---+-===+==∑nmn m mm m r nr r nnn n nnn n r C C CC CCrC nC ;③、利用特征值和相似对角化:7. 伴随矩阵:①、伴随矩阵的秩:*()()1()10()1n r A n r A r A n r A n = ⎧⎪==-⎨⎪<-⎩; ②、伴随矩阵的特征值:*1*(,)AAAX X A A A A X X λλλ- == ⇒ =;③、*1A A A -=、1*n A A-=8. 关于A 矩阵秩的描述:①、()r A n =,A 中有n 阶子式不为0,1n +阶子式全部为0;(两句话)②、()r A n <,A 中有n 阶子式全部为0; ③、()r A n ≥,A 中有n 阶子式不为0;9. 线性方程组:Ax b =,其中A 为m n ⨯矩阵,则:①、m 与方程的个数相同,即方程组Ax b =有m 个方程;②、n 与方程组得未知数个数相同,方程组Ax b =为n 元方程;10. 线性方程组Ax b =的求解:①、对增广矩阵B 进行初等行变换(只能使用初等行变换);②、齐次解为对应齐次方程组的解; ③、特解:自由变量赋初值后求得;511. 由n 个未知数m 个方程的方程组构成n 元线性方程:①、11112211211222221122n n n n m m nm n na x a x a xb a x a x a x b a x a x a x b +++= ⎧⎪+++= ⎪⎨⎪⎪+++=⎩; ②、1112111212222212n n m m mn m m a a a x b a a a x b Ax b a a a x b ⎛⎫⎛⎫⎛⎫ ⎪⎪ ⎪ ⎪⎪ ⎪=⇔= ⎪⎪ ⎪ ⎪⎪ ⎪⎝⎭⎝⎭⎝⎭(向量方程,A 为m n ⨯矩阵,m 个方程,n 个未知数)③、()1212n n x x aa a x β⎛⎫⎪ ⎪= ⎪⎪⎝⎭(全部按列分块,其中12n b b b β⎛⎫ ⎪ ⎪= ⎪ ⎪⎝⎭); ④、1122n n a x a x a x β+++=(线性表出)⑤、有解的充要条件:()(,)r A r A n β=≤(n 为未知数的个数或维数)4、向量组的线性相关性1.m 个n 维列向量所组成的向量组A :12,,,m ααα构成n m ⨯矩阵12(,,,)m A =ααα;m 个n 维行向量所组成的向量组B :12,,,T TTm βββ构成m n ⨯矩阵12T T T m B βββ⎛⎫⎪ ⎪= ⎪ ⎪ ⎪⎝⎭;含有有限个向量的有序向量组与矩阵一一对应;2. ①、向量组的线性相关、无关 0Ax ⇔=有、无非零解;(齐次线性方程组)②、向量的线性表出 Ax b ⇔=是否有解;(线性方程组) ③、向量组的相互线性表示 AX B ⇔=是否有解;(矩阵方程)3. 矩阵m n A ⨯与l n B ⨯行向量组等价的充分必要条件是:齐次方程组0Ax =和0Bx =同解;(101P 例14)4.()()T r A A r A =;(101P 例15)5.n 维向量线性相关的几何意义:①、α线性相关⇔0α=; ②、,αβ线性相关 ⇔,αβ坐标成比例或共线(平行);③、,,αβγ线性相关 ⇔,,αβγ共面;6. 线性相关与无关的两套定理:若12,,,s ααα线性相关,则121,,,,s s αααα+必线性相关;若12,,,s ααα线性无关,则121,,,s ααα-必线性无关;(向量的个数加加减减,二者为对偶)若r 维向量组A 的每个向量上添上n r -个分量,构成n 维向量组B :6若A 线性无关,则B 也线性无关;反之若B 线性相关,则A 也线性相关;(向量组的维数加加减减) 简言之:无关组延长后仍无关,反之,不确定;7. 向量组A (个数为r )能由向量组B (个数为s )线性表示,且A 线性无关,则r s ≤; 向量组A 能由向量组B 线性表示,则()()r A r B ≤;向量组A 能由向量组B 线性表示AX B ⇔=有解; ()(,)r A r A B ⇔=向量组A 能由向量组B 等价()()(,)r A r B r A B ⇔ ==8. 方阵A 可逆⇔存在有限个初等矩阵12,,,l P P P ,使12l A P P P =;①、矩阵行等价:~rA B PA B ⇔=(左乘,P 可逆)0Ax ⇔=与0Bx =同解 ②、矩阵列等价:~cA B AQ B ⇔=(右乘,Q 可逆); ③、矩阵等价:~A B PAQ B ⇔=(P 、Q 可逆);9. 对于矩阵m n A ⨯与l n B ⨯:①、若A 与B 行等价,则A 与B 的行秩相等;②、若A 与B 行等价,则0Ax =与0Bx =同解,A 与B 的任何对应的列向量组有相同的线性相关性; ③、矩阵的初等变换不改变矩阵的秩; ④、矩阵A 的行秩等于列秩;10. 若m s s n m n A B C ⨯⨯⨯=,则:①、C 的列向量组能由A 的列向量组线性表示,B 为系数矩阵; ②、C 的行向量组能由B 的行向量组线性表示,T A 为系数矩阵;(转置)11. 齐次方程组0Bx =的解一定是0ABx =的解,【考试中可以直接作为定理使用,而无需证明】 ①、0ABx = 只有零解0Bx ⇒ =只有零解;②、0Bx = 有非零解0ABx ⇒ =一定存在非零解;12. 设向量组12:,,,n r r B b b b ⨯可由向量组12:,,,n s s A a a a ⨯线性表示为:1212(,,,)(,,,)r s b b b a a a K =(B AK =)其中K 为s r ⨯,且A 线性无关,则B 组线性无关()r K r ⇔=;(B 与K 的列向量组具有相同线性相关性)(必要性:()()(),(),()r r B r AK r K r K r r K r ==≤≤∴=;充分性:反证法)注:当r s =时,K 为方阵,可当作定理使用;13. ①、对矩阵m n A ⨯,存在n m Q ⨯,m AQ E = ()r A m ⇔=、Q 的列向量线性无关;②、对矩阵m n A ⨯,存在n m P ⨯,n PA E = ()r A n ⇔=、P 的行向量线性无关;14. 12,,,s ααα线性相关⇔存在一组不全为0的数12,,,s k k k ,使得11220s s k k k ααα+++=成立;(定义)⇔1212(,,,)0s s x xx ααα⎛⎫⎪ ⎪= ⎪ ⎪⎝⎭有非零解,即0Ax =有非零解;⇔12(,,,)s r s ααα<,系数矩阵的秩小于未知数的个数;715. 设m n ⨯的矩阵A 的秩为r ,则n 元齐次线性方程组0Ax =的解集S 的秩为:()r S n r =-;16. 若*η为Ax b =的一个解,12,,,n r ξξξ-为0Ax =的一个基础解系,则*12,,,,n r ηξξξ-线性无关;5、相似矩阵和二次型1. 正交矩阵T A A E ⇔=或1T A A -=(定义),性质:①、A 的列向量都是单位向量,且两两正交,即1(,1,2,)0T i j i j a a i j n i j=⎧==⎨≠⎩;②、若A 为正交矩阵,则1T A A -=也为正交阵,且1A =±; ③、若A 、B 正交阵,则AB 也是正交阵;注意:求解正交阵,千万不要忘记施密特正交化和单位化;2. 施密特正交化:12(,,,)r a a a11b a =;1222111[,][,]b a b a b b b =-121121112211[,][,][,][,][,][,]r r r r r r r r r b a b a b a b a b b b b b b b b b ----=----;3. 对于普通方阵,不同特征值对应的特征向量线性无关;对于实对称阵,不同特征值对应的特征向量正交;4. ①、A 与B 等价 ⇔A 经过初等变换得到B ;⇔=PAQ B ,P 、Q 可逆; ()()⇔=r A r B ,A 、B 同型;②、A 与B 合同 ⇔=T C AC B ,其中可逆; ⇔T x Ax 与T x Bx 有相同的正、负惯性指数; ③、A 与B 相似 1-⇔=P AP B ;5. 相似一定合同、合同未必相似;若C 为正交矩阵,则T C AC B =⇒A B ,(合同、相似的约束条件不同,相似的更严格);6. A 为对称阵,则A 为二次型矩阵;7.n 元二次型T x Ax 为正定:A ⇔的正惯性指数为n ;A ⇔与E 合同,即存在可逆矩阵C ,使T C AC E =; A ⇔的所有特征值均为正数;A ⇔的各阶顺序主子式均大于0;0,0ii a A ⇒>>;(必要条件)8第一章 随机事件互斥对立加减功,条件独立乘除清; 全概逆概百分比,二项分布是核心; 必然事件随便用,选择先试不可能。
上海大学线性代数2001
一、计算行列式(12%)
二、设为3阶非零方阵,且
1) 求证存在,,,,,
2) 求方程组的基础解系 (12%)
三、用正交线性替换化二次形为标准形 (15%)
四、设为阶实矩阵,且 ,若.求证 (为阶单位矩阵,为的转置阵,表
示的秩) (10%)
五、设是(为奇数)维线性空间上的线性变换,若,。
求证:存在,
使 ,,…,,为的一组基,并求在此组基下的矩阵。
(15%)
六、设是欧式空间上对称变换。
(即是上线性变换,且(,)
=(,),,)。
求证:对任意,都有(,)的充分必要条件是的所有特征值都小于. (14%)
七、设,其中为阶负定矩阵,为维列实向量,为实数。
求证正定充分必
要条件是(12%).
八、若是正交阵,且特征值为1的重数是。
求证:(表示对应的行列式)(10%)。