浙江大学概率论与数理统计第四章习题
- 格式:ppt
- 大小:1.07 MB
- 文档页数:22
《概率论与数理统计》习题解答教材:《概率论与数理统计及其应用》,浙江大学盛骤、谢式千编,高等教育出版社,2004年7月第一版目录第一章随机事件及其概率1第二章随机变量及其分布9第三章随机变量的数字特征25第四章正态分布33第五章样本及抽样分布39第六章参数估计42第七章假设检验53第一章 随机事件及其概率1、解:(1){}67,5,4,3,2=S (2){} ,4,3,2=S (3){} ,,,TTH TH H S =(4){}6,5,4,3,2,1,,T T T T T T HT HH S =2、设A , B 是两个事件,已知81)(,21)(,41)(===AB P B P A P ,求)(B A P ,)(B A P ,)(AB P ,)])([(AB B A P 解:81)(,21)(,41)(===AB P B P A P ∴)()()()(AB P B P A P B A P -+= 85812141=-+= )()()(AB P B P B A P -=838121=-=87811)(1)(=-=-=AB P AB P)])([(AB B A P )]()[(AB B A P -=)()(AB P B A P -= )(B A AB ⊂218185=-=3、解:用A 表示事件“取到的三位数不包含数字1”2518900998900)(191918=⨯⨯==C C C A P4、在仅由0,1,2,3,4,5组成且每个数字至多出现一次的全体三位数字中,任取一个三位数,(1)该数是奇数的概率;(2)求该数大于330的概率。
解:用A 表示事件“取到的三位数是奇数”,用B 表示事件“取到的三位数大于330”(1) 455443)(2515141413⨯⨯⨯⨯==A C C C C A P =0.48 2) 455421452)(251514122512⨯⨯⨯⨯+⨯⨯=+=A C C C A C B P =0.485、袋中有5只白球,4只红球,3只黑球,在其中任取4只,求下列事件的概率 (1)4只中恰有2只白球,1只红球,1只黑球; (2)4只中至少有2只红球; (3)4只中没有白球解:用A 表示事件“4只中恰有2只白球,1只红球,1只黑球”(1)412131425)(C C C C A P ==495120=338(2)用B 表示事件“4只中至少有2只红球”16567)(4124418342824=++=C C C C C C B P 或4124838141)(C C C C B P +-==16567495201= (3)用C 表示事件“4只中没有白球”99749535)(41247===C C C P 6、解:用A 表示事件“某一特定的销售点得到k 张提货单”nkn k n MM C A P --=)1()( 7、解:用A 表示事件“3只球至少有1只配对”,B 表示事件“没有配对”(1)3212313)(=⨯⨯+=A P 或321231121)(=⨯⨯⨯⨯-=A P (2)31123112)(=⨯⨯⨯⨯=B P 8、(1)设1.0)(,3.0)(,5.0)(===AB P B P A P ,求(),(),(),(),P A B P B A P A B P A A B(),()P AB A B P A AB ;(2)袋中有6只白球,5只红球每次在袋中任取一只球,若取到白球,放回,并放入1只白球,若取到红球不放回也不再放回另外的球,连续取球四次,求第一、二次取到白球且第三、四次取到红球的概率。
完全版概率论与数理统计课后习题答案第四版盛骤(浙江大学)浙大第四版(高等教育出版社)第一章概率论的基本概念1.[一]写出下列随机试验的样本空间(1)记录一个小班一次数学考试的平均分数(充以百分制记分)([一]1)nn n n o S1001, ,n 表小班人数(3)生产产品直到得到10件正品,记录生产产品的总件数。
([一]2)S={10,11,12,………,n ,………}(4)对某工厂出厂的产品进行检查,合格的盖上“正品”,不合格的盖上“次品”,如连续查出二个次品就停止检查,或检查4个产品就停止检查,记录检查的结果。
查出合格品记为“1”,查出次品记为“0”,连续出现两个“0”就停止检查,或查满4次才停止检查。
([一](3))S={00,100,0100,0101,1010,0110,1100,0111,1011,1101,1110,1111,}2.[二]设A ,B ,C 为三事件,用A ,B ,C 的运算关系表示下列事件。
(1)A 发生,B 与C 不发生。
表示为:C B A 或A -(AB+AC )或A -(B ∪C )(2)A ,B 都发生,而C 不发生。
表示为:C AB 或AB -ABC 或AB -C(3)A ,B ,C 中至少有一个发生表示为:A+B+C(4)A ,B ,C 都发生,表示为:ABC(5)A ,B ,C 都不发生,表示为:C B A 或S -(A+B+C)或CB A(6)A ,B ,C 中不多于一个发生,即A ,B ,C 中至少有两个同时不发生相当于C A C B B A ,,中至少有一个发生。
故表示为:C A C B B A 。
(7)A ,B ,C 中不多于二个发生。
相当于:C B A ,,中至少有一个发生。
故表示为:ABCC B A 或(8)A ,B ,C 中至少有二个发生。
相当于:AB ,BC ,AC 中至少有一个发生。
故表示为:AB +BC +AC6.[三]设A ,B 是两事件且P (A )=0.6,P (B )=0.7.问(1)在什么条件下P (AB )取到最大值,最大值是多少?(2)在什么条件下P (AB )取到最小值,最小值是多少?解:由P (A )=0.6,P (B )=0.7即知AB ≠φ,(否则AB =φ依互斥事件加法定理,P (A ∪B )=P (A )+P (B )=0.6+0.7=1.3>1与P (A ∪B )≤1矛盾).从而由加法定理得P (AB )=P (A )+P (B )-P (A ∪B )(*)(1)从0≤P (AB )≤P (A )知,当AB =A ,即A ∩B 时P (AB )取到最大值,最大值为P (AB )=P (A )=0.6,(2)从(*)式知,当A ∪B=S 时,P (AB )取最小值,最小值为P (AB )=0.6+0.7-1=0.3。
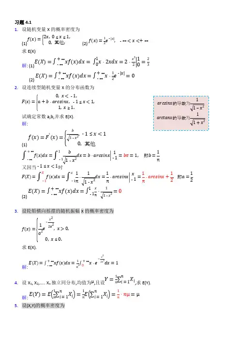
习题4.11.设随机变量X 的概率密度为(1) (2)f(x)={2x, 0≤x ≤1,0, 其他; f(x)=12e -|x |, -∞<x <+∞求E(X)解: (1)E (X )=∫+∞-∞xf (x )dx = ∫10x ∙2xdx =2∙x 32|10=23(2)E (X )=∫+∞-∞xf (x )dx =∫+∞-∞x ∙12e -|x |=02.设连续型随机变量X 的分布函数为F (x )={0, x <-1,a +b ∙arcsinx, -1≤x <1,1, x ≥1.试确定常数a,b,并求E(X).解:(1)f (x )=F '(x )={b 1-x 2, -1≤x <10, 其他∫+∞-∞f (x )dx =∫1-1b 1-x 2dx =b ∙arcsinx|1-1=bπ=1, 即b =1π又因当时-1≤x <1F (X )=∫X-1f (x )dx =∫x-11π∙11-x 2dx =1π∙arcsinx|x-1=1π∙arcsinx +12, 即a =12(2)E (X )=∫+∞-∞xf (x )dx =∫1-1xπ∙11-x 2=03.设轮船横向摇摆的随机振幅X 的概率密度为f(x)={1σ2e-x 22σ2, x >0,0, x ≤0.求E(X).解:E (X )=∫+∞-∞xf (x )dx =1σ2∫+∞0x ∙e -x 22σ2dx =14.设X 1, X 2,….. X n 独立同分布,均值为,且设,求E(Y).μY =1n ∑n i =1X i 解:E (Y )=E (1n ∑ni =1X i )=1n E (∑ni =1X i )=1n ∙n μ=μ5.设(X,Y)的概率密度为f(x,y)={e -y, 0≤x ≤1,y >0,0, 其他.求E(X+Y).解:E (X +Y )=∫+∞-∞∫+∞-∞(x +y )f (x,y )dxdy =∫+∞0∫10(x +y )e -ydxdy =∫+∞012∙e ‒y +y ∙e ‒y dy =326.设随机变量X 1, X 2相互独立,且X 1, X 2的概率密度分别为f 1(x )={2e -2x, x >0,0, x ≤0,求:f 2(x )={3e -3x, x >0,0, x ≤0,(1)E (2X 1+3X 2); (2)E (2X 1-3X 22); (3)E (X 1X 2解:(1)E (2X 1+3X 2)=2E (X 1)+3E (X 2)=2*12+3*13=2(2)E (2X 1-3X 22)==2E (X 1)-3E (X 22)=1-3*∫+∞x 23e -3xdx =1-3*[-∫+∞x 2d(e -3x)]=1-3*[-x 2∙e -3x|+∞0+∫+∞e -3xdx 2]=1-3*[0+∫+∞e -3x∙2xdx]=1-3*[23∫+∞e -3x∙3xdx ]=1-3*23*13=13(3)E (X 1X 2)=E (X 1)E (X 2)=12*13=167.求E(X).解:E (X )=∑i ∑j x i p ij =0*0.1+0*0.3+1*0.2+1*0.1+2*0.1+2*0.2=0.98.设随机变量X 的概率密度为且E(X)=0.75,求常数c 和.f(x)={cx α, 0≤x ≤1,0, 其他.α解:E (X )=∫+∞-∞xf (x )dx =∫10x ∙cx αdx =0.75习题4.21.设离散型随机变量X 的分布律为X -100.512P0.10.50.10.10.2求E (X ),E (X 2),D (X ).解: E (X )=(-1)*0.1+0*0.5+0.5*0.1+1*0.1+2*0.2=0.45E (X 2)=(-1)2*0.1+0*0.5+(0.5)2*0.1+12*0.1+22*0.2=1.025D (X )=(-1-0.45)2*0.1+(0-0.45)2*0.5+(0.5-0.45)2*0.1+(1-0.45)22.盒中有5个球,其中有3个白球,2个黑球,从中任取两个球,求白球数X 的期望和方差.解: X 的可能取值为0,1,2P {X =0}=C 22C 25=0.1P {X =1}=C 13∙C 12C 25=0.6P {X =2}=C 23C 25=0.3E (X )=0∗0.1+1∗0.6+2∗0.3=1.2D (X )=(0‒1.2)2∗0.1+(1‒1.2)2∗0.6+(2‒1.2)2∗0.3=0.144+0.024+0.192=0.363.设随机变量X,Y 相互独立,他们的概率密度分别为f X (x )={2e ‒2x, x >0,0, x ≤0,f Y(y )={4, 0<y ≤14,0, 其他,求D(X+Y).解:D (X +Y )=D (X )+D (Y )=122+(14‒0)212=491924.设随机变量X 的概率密度为f X (x )=12e ‒|x |, ‒∞<x <+∞,求D(X)解:E (X )=∫+∞‒∞x2e ‒|x |dx =0E(X2)=∫+∞‒∞x 22e‒|x|dx=2∫+∞‒∞x22e‒x=∫+∞‒∞x2e‒x=2=D(X) E(X2)‒[E(X)]2=25.设随机变量X与Y相互独立,且D(X)=1,D(Y)=2,求D(X-Y).解: D(X‒Y)=D(X)+D(Y)=1+2=36.若连续型随机变量X的概率密度为f(x)={ax2+bx+c, 0<x<1,0, 其他,且E(X)=0.5,D(X)=0.15.求常数a,b,c.解:E(X)=∫10x(ax2+bx+c)dx=a4+b3+c2=0.5E(X2)=∫10x2(ax2+bx+c)dx=a5+b4+c3=0.15+(0.5)2=0.4∫+∞‒∞f(x)dx=∫10(ax2+bx+c)dx=a3+b2+c=1解得a=12,b=-12,c=3.习题4.31.设两个随机变量X,Y相互独立,方差分别为4和2,则随机变量3X-2Y的方差是 D .A. 8B. 16C. 28D. 442.设二维随机变量(X,Y)的概率密度为f(x,y)={18(x+y), 0≤x≤2,0≤y≤2,0, 其他求Cov(X,Y).解:E(X)=∫20[∫20x8(x+y)dy]dx=∫20(x28∙y+x8∙y22)|20d x=76E(Y)=∫20[∫20y8(x+y)dx]dy=76E(XY)=∫20[∫20xy8(x+y)dy]dx=43Cov(X,Y)=E(XY)‒E(X)E(Y)=43‒76∗76=‒1363.设二维随机变量(X,Y)的概率密度为f(x,y)={ye‒(x+y), x>0,y>0,0, 其他求X与Y的相关系数ρxy.解:E(X)=∫+∞0(∫+∞0xye‒(x+y)dy)dx=1E(Y)=∫+∞0(∫+∞0y2e‒(x+y)dx)dy=∫+∞0(∫+∞0y2e‒x e‒y dx)dy=∫+∞0y2e‒y dy=‒∫+∞0y2d(e‒y)=‒y2e‒y|+∞0+∫+∞0e‒y d(y2)=0+∫+∞0e‒y∙2ydy=2∫+∞0e‒y∙ydy=2E(XY)=∫+∞0(∫+∞0xy2e‒(x+y)dy)dx=2Cov(X,Y)=E(XY)‒E(X)E(Y)=2‒2∗1=0所以ρxy=Cov(X,Y)D(X)D(Y)=04.设二维随机变量(X,Y)服从二维正态分布,且E(X)=0, E(Y)=0, D(X)=16, D(Y)=25, Cov(X,Y)=12,求(X,Y)的联合概率密度函数f(x,y).布解:f (x,y )=12πσ1σ21‒ρ2e‒12(1‒ρ2){(x ‒μ1)2σ12‒2ρ(x ‒μ1)(y ‒μ2)σ1σ2+(y ‒μ2)2σ22}∵E (X )=0,E (Y )=0∴μ1=0, μ2=0,∵D(X)=16, D(Y)=25∴σ1=4,σ2=5∵Cov(X,Y)=12∴ρ=Cov (X,Y )D(X)D(Y)=124∗5=35∴f (x,y )=132πe‒2532(x 216‒3xy 50+y 225)5. 证明D(X-Y)=D(X)+D(Y)-2Cov(X,Y).证:D (X ‒Y )=E [X ‒Y ‒E (X ‒Y )]2=E [(X ‒E (X ))‒(Y ‒E (Y ))]2=E [(X ‒E (X ))2]‒2E [X ‒E (X )]∙E [Y ‒E (Y )]+E [(Y ‒E (Y ))2]=D (X )+D (Y )‒2Cov(X,Y)6. 设(X,Y)的协方差矩阵为,求X 与Y 的相关系数ρxy.C =(4‒3‒39)解:∵C =(4‒3‒39)∴Cov (X,Y )=‒3, D (X )=4,D (Y )=9∴ρxy =Cov (X,Y )D(X)D(Y)=‒32∗3=‒12自测题4一、 选择题1.设随机变量X 服从参数为0.5的指数分布,则下列各项中正确的是 B .A. E(X)=0.5, D(X)=0.25 B. E(X)=2, D(X)=4C. E(X)=0.5, D(X)=4 D. E(X)=2, D(X)=0.25解: 指数分布的E (X )=1λ, D (X )=1λ22. 设随机变量X,Y 相互独立,且X~B(16,0.5),Y 服从参数为9的泊松分布,则D(X-2Y+1)= C.A.-14B. 13C. 40D. 41解: D (X )=npq =16∗0.5∗0.5=4, D (Y )=λ=9D (X ‒2Y +1)=D (X )+4D (Y )+D (1)=4+4∗9+0=403. 已知D(X)=25,D(Y)=1, ρxy=0.4, 则D(X-Y)= B .A.6B. 22C. 30D. 464. 设(X,Y)为二维连续随机变量,则X 与Y 不相关的充分必要条件是 C .A. X 与Y 相互独立B. E(X+Y)=E(X)+E(Y)C. E(XY)= E(X)E(Y)D. (X,Y)~N()μ1,μ2,σ12,σ22,0解: ∵X 与Y 不相关∴ρxy =0, ∴Cov (X,Y )=0∴E(XY)= E(X)E(Y)5.设二维随机变量(X,Y)~N(),则Cov(X,Y)= B .1,1,4,9,12A. B. 3C. 18D. 3612解: ∵ρxy =12=Cov (X,Y )D(X)D(Y)=Cov (X,Y )2*3, ∴Cov (X,Y )=36.已知随机变量X 与Y 相互独立,且它们分别在区间[-1,3]和[2,4]上服从均匀分布,则E(XY)= A .A. 3B. 6C. 10D. 12解: ∵X~U (‒1,3),Y~U (2,4)∴E (X )=a +b 2=‒1+32=1, E (Y )=2+42=3E (XY )= E (X )E (Y )=1∗3=37.设二维随机变量(X,Y)~N(),Ø(x)为标准正态分布函数,则下列结论中错误的是 C .0,0,1,1,0A. X 与Y 都服从N(0,1)正态分布 B. X 与Y 相互独立C. Cov(X,Y)=1 D. (X,Y)的分布函数是Φ(x)∙Φ(y)二、 填空题1.若二维随机变量(X,Y)~N(),且X 与Y 相互独立,则ρ= 0 .μ1,μ2,σ12,σ22,0解:Cov(X,Y)=0∵2.设随机变量X 的分布律为 3 .X -1012P0.10.20.30.4令Y=2X+1,则E(Y)= 3 .解: E(2X+1)=(2*-1+1)*0.1+(2*0+1)*0.2+(2*1+1)*0.3+(2*2+1)*0.4=33.已知随机变量X 服从泊松分布,且D(X)=1,则P{X=1}= .e ‒1解: ∵ D (X )=λ=1∴P {X =1}=λ1e ‒λ1!=e ‒14.设随机变量X 与Y 相互独立,且D(X)= D(Y)=1,则D(X-Y) =2 .5.已知随机变量X 服从参数为2的泊松分布,= 6.E (X 2)解: ∵E (X )=λ=2,D (X )=λ=2,∴ E (X 2)=E 2(X )+D (X )=4+2=66.设X为随机变量,且E(X)=2, D(X)=4,则= 8 .E(X2)7.已知随机变量X的分布函数为F(x)={0, x<0x4, 0≤x<41, x≥4则E(X) = 2 .解: f(x)=F'''"(x)={14, 0≤x<40, 其他E(X)=∫40x4dx=08.设随机变量X与Y相互独立,且D(X)=2, D(Y)=1,则D(X-2Y+3)= 6 .三、设随机变量X的概率密度函数为f(x)={32x2, ‒1≤x≤1,0, 其他试求: (1)E(X), D(X); (2).P{|X‒E(X)|<2D(X)}解:(1) E(X)=∫1‒132x3dx=0D(X)=E(X2)‒E2(X)=∫1‒132x4=32∙x55|1‒1=35(2)P{|X‒E(X)|<2D(X)}=P{|X|<65}=∫65‒65f(x)dx=∫1‒132x2dx=1四、设随机变量X的概率密度为f(x)={x 0≤x≤12‒x, 1≤x<20, 其他试求: (1)E(X), D(X); (2),其中n为正整数.E(X n)解:(1)E(X)=∫1x2dx+∫21x(2‒x)dx=13+13=1D(X)=E(X2)‒E2(X)=∫10x3dx+∫21x2(2‒x)‒1=14+(143‒154)‒1=16(2)E(X n)=∫1x n+1dx+∫21x n(2‒x)=2(2n+1‒1)(n+1)(n+2)五、 设随机变量X 1与X 2相互独立,且X 1~N(), X 2~N().令X= X 1+X 2, Y= X 1-X 2.μ,σ2μ,σ2求: (1)D(X), D(Y); (2)X 与Y 的相关系数ρxy.解:(1)D (X )=D (X 1+X 2)=D (X 1)+D (X 2)=σ2+σ2=2σ2D (Y )=D (X 1‒X 2)=D (X 1)+D (X 2)=2σ2(2) Cov (X,Y )=E (XY )‒E (X )E (Y )=0ρxy =Cov (X,Y )D(X)D(Y)=0六、 设随机变量X 的概率密度为f (x )={2e ‒2x, x >0, 0, x ≤0.(1)求E(X),D(X);(2)令,求Y 的概率密度f Y (y).Y =X ‒E(X)D(X)解:(1)E (X )=∫+∞2xe ‒2x dx =12D (X )=E (X 2)‒E 2(X )=∫+∞02x 2e ‒2x dx ‒14=12‒14=14(2)Y =X ‒E(X)D(X)=X ‒1212=2X ‒1由Y=2X-1得, X’=X =Y +1212=∴f Y (y )={2e‒2(Y +12)∙12,Y +12>00, Y +12≤0{e ‒(y +1), y >‒10, y ≤‒1七、 设二维随机变量(X,Y)的概率密度为f (x,y )={2, 0≤x≤1,0≤y ≤x,0, 其他求: (1)E(X+Y); (2)E(XY); (3). P{X +Y ≤1}解:(1)E (X +Y )=∫10dx ∫x 02(x +y )dy =∫102x 2+x 2dx =1(2)E(XY)=∫1dx∫x2xy dy=∫1x3dx=14(3) P{X+Y≤1}=∬x+y≤1f(x,y)dxdy=∫12(∫1‒yy2dx)dy=∫122‒4ydy=12八、设随机变量X的分布律为X-101P 131313记Y=X2,求: (1)D(X), D(Y); (2) ρxy.解:(1)E(X)=(‒1)∗13+0∗13+1∗13=0D(X)=(‒1‒0)2∗13+(0‒0)2∗13+(1‒0)2∗13=23 E(Y)=(‒1)2∗13+0∗13+12∗13=23D(Y)=(1‒23)2∗13+(0‒23)2∗13+(1‒23)2∗13=29E(XY)=(0∙‒1)∙9+(1∙‒1)∙29+(0∙0)∙19+(0∙1)∙29+(1∙0)∙19+(1∙1)∙29=0Cov(X,Y)=E(XY)‒E(X)E(Y)=0‒0∗23=0ρxy=Cov(X,Y)D(X)D(Y)=0。
概率论与数理统计第四章课后习题及参考答案1.在下列句子中随机地取一个单词,以X 表示取到的单词包含的字母的个数,试写出X 的分布律,并求)(X E .Have a good time解:本题的随机试验属于古典概型.所给句子共4个单词,其中有一个单词含一个字母,有3个单词含4个字母,则X 的所有可能取值为1,4,有41)1(==X P ,43)4(==X P ,从而413434411)(=⋅+⋅=X E .2.在上述句子的13个字母中随机地取一个字母,以Y 表示取到的字母所在的单词所含的字母数,写出Y 的分布律,并求)(Y E .解:本题的随机试验属于古典概型.Y 的所有可能取值为1,4,样本空间Ω由13个字母组成,即共有13个样本点,则131)1(==Y P ,1312)4(==Y P ,从而1349131241311)(=⋅+⋅=Y E .3.一批产品有一、二、三等品及废品4种,所占比例分别为60%,20%,10%和10%,各级产品的出厂价分别为6元、8.4元、4元和2元,求产品的平均出厂价.解:设产品的出厂价为X (元),则X 的所有可能取值为6,8.4,4,2,由题设可知X 的分布律为X 68.442P6.02.01.01.0则16.51.021.042.08.46.06)(=⨯+⨯+⨯+⨯=X E (元).4.设随机变量X 具有分布:51)(==k X P ,5,4,3,2,1=k ,求)(X E ,)(2X E 及2)2(+X E .解:3)54321(51)(=++++=X E ,11)54321(51)(222222=++++=X E ,274)(4)()44()2(222=++=++=+X E X E X X E X E .5.设离散型随机变量X 的分布列为k k kk X P 21)!2)1((=-=, ,2,1=k ,问X 是否有数学期望.解:因为∑∑∞=∞==⋅-111212)1(k k k k kkk 发散,所以X 的数学期望不存在.6.设随机变量X 具有密度函数⎪⎩⎪⎨⎧≤≤-=其他.,0,22,cos 2)(2πππx x x f 求)(X E 及)(X D .解:因为x x 2cos 在]2,2[ππ-上为奇函数,所以0d cos 2d )()(222=⋅==⎰⎰-∞+∞-πππx x x x x f x X E ,2112d cos 2d )()(2222222-=⋅==⎰⎰-∞+∞-ππππx x x x x f x X E ,故2112)]([)()(222-=-=πX E X E X D .7.设随机变量X 具有密度函数⎪⎩⎪⎨⎧<<-≤<=其他.,0,21,2,10,)(x x x x x f 求)(X E 及)(X D .解:1d )2(d d )()(2112=-+==⎰⎰⎰∞+∞-x x x x x x x f x X E ,67d )2(d d )()(2121322=-+==⎰⎰⎰∞+∞-x x x x x x x f x X E ,61)]([)()(22=-=X E X E X D .8.设随机变量X 在)21,21(-上服从均匀分布,求)sin(X Y π=的数学期望与方差.解:由题可知X 的密度函数为⎪⎩⎪⎨⎧<<-=其他.,0,2121,1)(x x f 则0d 1sin d )(sin )][sin()(2121=⋅===⎰⎰-∞+∞-x x x x f x X E Y E πππ,21d 1sin d )(sin )]([sin )(21212222=⋅===⎰⎰-∞+∞-x x x x f x X E Y E πππ,21)]([)()(22=-=Y E Y E Y D .9.某正方形场地,按照航空测量的数据,它的边长的数学期望为350m ,又知航空测量的误差随机变量X 的分布列为X (m)30-20-10-0102030P05.008.016.042.016.008.005.0而场地边长随机变量Y 等于边长的数学期望与测量误差之和,即X Y +=350,求场地面积的数学期望.解:设场地面积为S ,则2Y S =,16.01042.0016.0)10(08.0)20(05.030)(⨯+⨯+⨯-+⨯-+⨯-=X E 005.03008.020=⨯+⨯+,16.01042.0016.0)10(08.0)20(05.0)30()(222222⨯+⨯+⨯-+⨯-+⨯-=X E 18605.03008.02022=⨯+⨯+,故)350700(])350[()()(2222++=+==X X E X E Y E S E 122686350)(700)(22=++=X E X E .10.A ,B 两台机床同时加工零件,每生产一批较大的产品时,出次品的概率如下表所示:A 机床次品数X 0123概率P7.02.006.004.0B 机床次品数X 0123概率P8.006.004.010.0问哪一台机床加工质量较好.解:44.004.0306.022.017.00)(=⨯+⨯+⨯+⨯=X E ,8.004.0306.022.017.00)(22222=⨯+⨯+⨯+⨯=X E ,6064.0)]([)()(22=-=X E X E X D ,44.010.0304.0206.018.00)(=⨯+⨯+⨯+⨯=Y E ,12.110.0304.0206.018.00)(22222=⨯+⨯+⨯+⨯=Y E ,9264.0)]([)()(22=-=Y E Y E Y D ,)()(Y E X E =,但)()(Y D X D <,故A 机床加工质量较好.11.设随机变量X 与Y 相互独立,且方差存在,试证:22)]()[()()]([)()()(Y E X D Y D X E Y D X D XY D ++=,由此得出)()()(Y D X D XY D ≥.证:22)]([])[()(XY E XY E XY D -=222)]()([)(Y E X E Y X E -=2222)]([)]([)()(Y E X E Y E X E -=2222)]([)]([})]([)(}{)]([)({Y E X E Y E Y D X E X D -++=22)]()[()()]([)()(Y E X D Y D X E Y D X D ++=.因为)(X D ,)(Y D ,2)]([X E ,2)]([Y E 非负,所以)()()(Y D X D XY D ≥.12.已知随机变量X 的密度函数为⎩⎨⎧≤≤++=其他.,010,)(2x c bx x a x f又已知5.0)(=X E ,15.0)(=X D ,求a ,b ,c .解:c b a x c bx x a x x f ++=++==⎰⎰∞+∞-2131d )(d )(1102,c b a x c bx x a x x x f x X E 213141d )(d )()(5.0102++=++===⎰⎰∞+∞-,⎰⎰++-=-==∞+∞-1222d )()5.0(d )()]([)(15.0xc bx x a x x x f X E x X D 41314151-++=c b a ,解之得12=a ,12-=b ,3=c .13.设),(Y X 的分布律为(1)求)(X E 及)(Y E ;(2)设XYZ =,求)(Z E ;(3)设2)(Y X Z -=,求)(Z E .解:(1)2)13.00(3)1.001.0(2)1.01.02.0(1)(=++⨯+++⨯+++⨯=X E ,0)1.01.01.0(1)3.001.0(0)01.02.0()1()(=++⨯+++⨯+++⨯-=Y E ,(2)1.01)3.001.0(00)31(1.021(2.01)(⨯+++⨯+⨯-+⨯-+⨯-=Z E 1511.0311.021-=⨯+⨯+,(3)1.0)01(0)]1(3[1.0)]1(2[2.0)]1(1[)(2222⨯-+⨯--+⨯--+⨯--=Z E 51.0)13(1.0)12(1.0)11(3.0)03(0)02(22222=⨯-+⨯-+⨯-+⨯-+⨯-+.14.设随机变量),(Y X 的概率密度函数为⎪⎩⎪⎨⎧≤≤≤≤+=其他.,0,10,20,3),(y x yx y x f求)(X E ,)(Y E ,)(Y X E +及)(22Y X E +.解:⎰⎰∞+∞-∞+∞-=y x y x f x X E d d ),()(911d d 31020=+⋅=⎰⎰y x y x x ,⎰⎰∞+∞-∞+∞-=y x y x yf Y E d d ),()(95d d 31020=+⋅=⎰⎰y x y x y ,⎰⎰∞+∞-∞+∞-+=+y x y x f y x Y X E d d ),()()(916d d 3)(1020=+⋅+=⎰⎰y x y x y x ,⎰⎰∞+∞-∞+∞-+=+y x y x f y x Y X E d d ),()()(2222613d d 3)(102022=+⋅+=⎰⎰y x y x y x .15.),(Y X 在区域}1,0,0|),{(≤+≥≥=y x y x y x D 上服从均匀分布,求)(X E ,)23(Y X E -及)(XY E .解:由题可知),(Y X 的联合密度函数为⎩⎨⎧≤≤-≤≤=其他.,0,10,10,2),(y y x y x f ⎰⎰∞+∞-∞+∞-=y x y x f x X E d d ),()(31d d 21010==⎰⎰-yy x x ,⎰⎰∞+∞-∞+∞--=-y x y x f y x Y X E d d ),()23()23(31d d )23(21010=-=⎰⎰-yy x y x ,⎰⎰∞+∞-∞+∞-=y x y x xyf XY E d d ),()(121d d 21010==⎰⎰-y y x xy .16.设二维随机变量),(Y X 的概率密度函数为⎪⎩⎪⎨⎧>+≤+=.1,0,1,1),(2222y x y x y x f π证明:随机变量X 与Y 不相关,也不相互独立.证:⎰⎰⎰⎰⋅=⋅=∞+∞-∞+∞-πθθππ201d d cos 1d d 1)(r r r y x x X E ,同理,0)(=Y E ,⎰⎰⎰⎰⋅⋅=⋅=∞+∞-∞+∞-πθθθππ201d d sin cos 1d d 1)(r r r r y x xy XY E ,0)()()(),cov(=-=Y E X E XY E Y X ,故随机变量X 与Y 不相关.当11≤≤-x 时,ππ21112d 1d ),()(22x y y y x f x f x x X -===⎰⎰---∞+∞-,其他,0)(=x f X ,故⎪⎩⎪⎨⎧≤≤--=其他.,0,11,12)(2x x x f X π同理,⎪⎩⎪⎨⎧≤≤--=其他.,0,11,12)(2y y y f Y π易得)()(),(y f x f y x f Y X ≠,故随机变量X 与Y 不相互独立.17.设随机变量1X ,2X 的概率密度分别为⎩⎨⎧≤>=-.0,0,0,e 2)(21x x x f x ,⎩⎨⎧≤>=-.0,0,0,e 4)(42y y y f y 试用数学期望的性质求:(1))(21X X E +及)32(221X X E -;(2)又设1X ,2X 相互独立,求)(21X X E .解:由题可知1X ~)2(E ,2X ~)4(E ,则21)(1=X E ,41)(2=X E ,161)(2=X D ,81)]([)()(22222=+=X E X D X E .(1)43)()()(2121=+=+X E X E X X E ,85)(3)(2)32(221221=-=-X E X E X X E .(2)81)()()(2121==X E X E X X E .18.(1)设1X ,2X ,3X 及4X 独立同在)1,0(上服从均匀分布,求)51(41∑=k k kX D ;(2)已知随机变量X ,Y 的方差分别为25和36,相关系数为4.0,求Y X U 23+=的方差.解:(1)由题易得121)(=i X D ,)51(41∑=k k kX D )(5141∑==k kkX D )](4)(3)(2)([514321X D X D X D X D +++=21)4321(121512222=+++⋅=.(2)由已知25)(=X D ,36)(=Y D ,4.0)()(),cov(==Y D X D Y X XY ρ,得12),cov(=Y X ,)2,3cov(2)2()3()23()(Y X Y D X D Y X D U D ++=+=513),cov(232)(2)(322=⋅⋅++=Y X Y D X D .19.一民航送客车载有20位旅客自机场开出,旅客有10个车站可以下车,如果到达一个车站没有旅客下车就不停车,以X 表示停车的次数,求)(X E (设每位旅客在各个车站下车是等可能的,并设各旅客是否下车相互独立).解:引入随机变量⎩⎨⎧=站无人下车.,在第站有人下车;,在第i i X i 01,10,,2,1 =i .易知1021X X X X +++= .按题意,任一旅客在第i 站不下车的概率为9.0,因此20位旅客都不在第i 站下车的概率为209.0,在第i 站有人下车的概率为209.01-,也就是209.0)0(==i X P ,209.01)1(-==i X P ,10,,2,1 =i .由此209.01)(-=i X E ,10,,2,1 =i .进而)()()()()(10211021X E X E X E X X X E X E +++=+++= 784.8)9.01(1020=-=(次).20.将n 只球(1~n 号)随机地放进n 只盒子(1~n 号)中去,一只盒子装一只球.若一只球装入与球同号的盒子中,称为一个配对,记X 为总的配对数,求)(X E .解:引入随机变量⎩⎨⎧=号盒子.号球未放入第第号盒子号球放入第第i i i i X i ,0,,1,n i ,,2,1 =,则n X X X X +++= 21,显然n X P i 1)1(==,则nX P i 11)0(-==,n i ,,2,1 =,从而nX E i 1)(=,n i ,,2,1 =,于是1)()()()()(2121=+++=+++=n n X E X E X E X X X E X E .21.设随机变量),(Y X 的分布律为试验证X 和Y 是不相关的,但X 和Y 不是相互独立的.证:0)25.00(2)025.0(1)025.0()1()25.00(2)(=+⨯++⨯++⨯-++⨯-=X E ,5)25.00025.0(4)025.025.00(1)(=+++⨯++++⨯=Y E ,0)4(25.0)8(0225.0125.0)1(02)(⨯-+⨯-+⨯+⨯+⨯-+⨯-=XY E 025.0804=⨯+⨯+,所以0)()()(),cov(=-=Y E X E XY E Y X ,故X 与Y 不相关.易知25.025.00)2(=+=-=X P ,5.0025.025.00)1(=+++==Y P ,0)1,2(==-=Y X P ,有)1()2()1,2(=-=≠=-=Y P X P Y X P ,故X 与Y 不相互独立.22.设二维随机变量),(Y X 的概率密度为⎩⎨⎧≤≤≤≤+=其他.,0,10,10,),(y x y x y x f 求)(X E ,)(Y E ,)(X D ,)(Y D ,)(XY E ,),cov(Y X 及XY ρ.解:127d d )(d d ),()(1010=+==⎰⎰⎰⎰∞+∞-∞+∞-y x y x x y x y x f x X E ,125d d )(d d ),()(1010222=+==⎰⎰⎰⎰∞+∞-∞+∞-y x y x x y x y x f x X E ,14411)]([)()(22=-=X E X E X D ,由轮换对称性,得127)(=Y E ,14411)(=Y D ,31d d )(d d ),()(1010=+==⎰⎰⎰⎰∞+∞-∞+∞-y x y x xy y x y x xyf XY E ,1441)()()(),cov(-=-=Y E X E XY E Y X ,111)()(),cov(-==Y D X D Y X XY ρ.23.设X ~),(2σμN ,Y ~),(2σμN ,且X ,Y 相互独立.求Y X Z βα+=1和Y X Z βα-=2的相关系数(α,β是不为0的常数).解:由题可知μ==)()(Y E X E ,2)()(σ==Y D X D ,则2222)]([)()(σμ+=+=X E X D X E ,2222)]([)()(σμ+=+=Y E Y D Y E ,μβαβα)()()(1+=+=Y X E Z E ,μβαβα)()()(2-=-=Y X E Z E ,222221)()()()()(σβαβαβα+=+=+=Y D X D Y X D Z D ,222222)()()()()(σβαβαβα+=+=-=Y D X D Y X D Z D ,)()])([()(222221Y X E Y X Y X E Z Z E βαβαβα-=-+=))(()()(22222222σμβαβα+-=-=Y E X E ,222212121)()()()(),cov(σβα-=-=Z E Z E Z Z E Z Z ,22222121)()(),cov(21βαβαρ+-==Z D Z D Z Z Z Z .24.设),(Y X 的联合概率密度为⎩⎨⎧≤≤≤≤--=.,0,10,10,2),(其他y x y x y x f (1)求),cov(Y X ,XY ρ和)32(Y X D -;11(2)X 与Y 是否独立?解:(1)125d d )2(d d ),()(1010=--==⎰⎰⎰⎰∞+∞-∞+∞-y x y x x y x y x f x X E ,41d d )2(d d ),()(1010222=--==⎰⎰⎰⎰∞+∞-∞+∞-y x y x x y x y x f x X E ,61d d )2(d d ),()(1010=--==⎰⎰⎰⎰∞+∞-∞+∞-y x y x xy y x y x xyf XY E ,14411)]([)()(22=-=X E X E X D ,由轮换对称性,125)(=Y E ,14411)(=Y D ,1441)()()(),cov(-=-=Y E X E XY E Y X ,111)()(),cov(-==Y D X D Y X XY ρ,)3,2cov(2)3()2()32(Y X Y D X D Y X D -+-+=-144155),cov(12)(3)(222=-+=Y X Y D X D .(2)当10≤≤x 时,x y y x y y x f x f X -=--==⎰⎰∞+∞-23d )2(d ),()(10,其他,0)(=x f X ,故⎪⎩⎪⎨⎧≤≤-=其他.,0,10,23)(x x x f X 同理,⎪⎩⎪⎨⎧≤≤-=其他.,0,10,23)(y y y f Y 因为)()(),(y f x f y x f Y X ≠,故X 与Y 不相互独立.。
概率论与数理统计第四版-课后习题答案_盛骤__浙江大学完全版概率论与数理统计习题答案第四版盛骤(浙江大学)浙大第四版(高等教育出版社)第一章概率论的基本概念1.[一] 写出下列随机试验的样本空间(1)记录一个小班一次数学考试的平均分数(充以百分制记分)([一] 1),n表小班人数(3)生产产品直到得到10件正品,记录生产产品的总件数。
([一] 2)S={10,11,12,………,n,………}(4)对某工厂出厂的产品进行检查,合格的盖上“正品”,不合格的盖上“次品”,如连续查出二个次品就停止检查,或检查4个产品就停止检查,记录检查的结果。
查出合格品记为“1”,查出次品记为“0”,连续出现两个“0”就停止检查,或查满4次才停止检查。
([一] (3))S={00,100,0100,0101,1010,0110,1100,0111,1011,1101,1110,1111,}2.[二] 设A,B,C为三事件,用A,B,C的运算关系表示下列事件。
(1)A发生,B与C不发生。
表示为:ABC或A-(AB+AC)或A-(B∪C)(2)A,B都发生,而C不发生。
表示为:ABC或AB-ABC或AB-C(3)A,B,C中至少有一个发生(4)A,B,C都发生,表示为:A+B+C 表示为:ABC表示为:ABC或S-(A+B+C)或(5)A,B,C都不发生,(6)A,B,C中不多于一个发生,即A,B,C中至少有两个同时不发生相当于AB,BC,AC中至少有一个发生。
故表示为:。
(7)A,B,C中不多于二个发生。
相当于:A,B,C中至少有一个发生。
故表示为:或ABC(8)A,B,C中至少有二个发生。
相当于:AB,BC,AC中至少有一个发生。
故表示为:AB+BC+AC6.[三] 设A,B是两事件且P (A)=0.6,P (B)=0.7. 问(1)在什么条件下P (AB)取到最大值,最大值是多少?(2)在什么条件下P (AB)取到最小值,最小值是多少?解:由P (A) = 0.6,P (B) = 0.7即知AB≠φ,(否则AB = φ依互斥事件加法定理,P(A∪B)=P (A)+P (B)=0.6+0.7=1.3>1与P (A∪B)≤1矛盾).从而由加法定理得P (AB)=P (A)+P (B)-P (A∪B) (*)(1)从0≤P(AB)≤P(A)知,当AB=A,即A∩B时P(AB)取到最大值,最大值为P(AB)=P(A)=0.6,(2)从(*)式知,当A∪B=S时,P(AB)取最小值,最小值为P(AB)=0.6+0.7-1=0.3 。
概率论与数理统计浙江大学第四版课后习题答案word 完整版完全版概率论与数理统计课后习题答案第四版盛骤浙江大学浙大第四版(高等教育出版社)第一章概率论的基本概念1.[一] 写出下列随机试验的样本空间(1)记录一个小班一次数学考试的平均分数(充以百分制记分)([一] 1),n表小班人数(3)生产产品直到得到10件正品,记录生产产品的总件数。
([一] 2)S10,11,12,………,n,………(4)对某工厂出厂的产品进行检查,合格的盖上“正品”,不合格的盖上“次品”,如连续查出二个次品就停止检查,或检查4个产品就停止检查,记录检查的结果。
查出合格品记为“1”,查出次品记为“0”,连续出现两个“0”就停止检查,或查满4次才停止检查。
([一] 3)S00,100,0100,0101,1010,0110,1100,0111,1011,1101,1110,1111,2.[二] 设A,B,C为三事件,用A,B,C的运算关系表示下列事件。
(1)A发生,B与C不发生。
表示为: 或A- AB+AC或A- B∪C(2)A,B都发生,而C不发生。
表示为: 或AB-ABC或AB-C(3)A,B,C中至少有一个发生表示为:A+B+C(4)A,B,C都发生,表示为:ABC(5)A,B,C都不发生,表示为:或S- A+B+C或(6)A,B,C中不多于一个发生,即A,B,C中至少有两个同时不发生相当于中至少有一个发生。
故表示为:。
(7)A,B,C中不多于二个发生。
相当于:中至少有一个发生。
故表示为:(8)A,B,C中至少有二个发生。
相当于:AB,BC,AC中至少有一个发生。
故表示为:AB+BC+AC6.[三] 设A,B是两事件且P A0.6,P B0.7. 问1在什么条件下P AB取到最大值,最大值是多少?(2)在什么条件下P AB取到最小值,最小值是多少?解:由P A 0.6,P B 0.7即知AB≠φ,(否则AB φ依互斥事件加法定理, PA∪BP A+P B0.6+0.71.31与P A∪B≤1矛盾).从而由加法定理得P ABP A+P B-P A∪B*(1)从0≤PAB≤PA知,当ABA,即A∩B时PAB取到最大值,最大值为PABPA0.6,(2)从*式知,当A∪BS时,PAB取最小值,最小值为PAB0.6+0.7-10.3 。
第四章2.[二] 某产品的次品率为0.1,检验员每天检验4次。
每次随机地抽取10件产品进行检验,如果发现其中的次品数多于1,就去调整设备,以X 表示一天中调整设备的次数,试求E (X)。
(设诸产品是否是次品是相互独立的。
)解:设表示一次抽检的10件产品的次品数为ξP =P (调整设备)=P (ξ>1)=1-P (ξ≤1)= 1-[P (ξ=0)+ P (ξ=1)]查二项分布表1-0.7361=0.2639.因此X 表示一天调整设备的次数时X ~B (4, 0.2639). P (X =0)=⎪⎪⎭⎫ ⎝⎛04×0.26390×0.73614=0.2936.P (X =1)=⎪⎪⎭⎫⎝⎛14×0.26391×0.73613=0.4210, P (X =2)= ⎪⎪⎭⎫⎝⎛24×0.26392×0.73612=0.2264. P (X =3)=⎪⎪⎭⎫ ⎝⎛34×0.26393×0.7361=0.0541, P (X =4)= ⎪⎪⎭⎫ ⎝⎛44×0.2639×0.73610=0.0049.从而 E (X )=np =4×0.2639=1.05563.[三] 有3只球,4只盒子,盒子的编号为1,2,3,4,将球逐个独立地,随机地放入4只盒子中去。
设X 为在其中至少有一只球的盒子的最小号码(例如X =3表示第1号,第2号盒子是空的,第3号盒子至少有一只球),求E (X )。
∵ 事件 {X =1}={一只球装入一号盒,两只球装入非一号盒}+{两只球装入一号盒,一只球装入非一号盒}+{三只球均装入一号盒}(右边三个事件两两互斥)∴6437414341343413)1(322=⎪⎭⎫ ⎝⎛+⨯⎪⎭⎫⎝⎛⨯+⎪⎭⎫ ⎝⎛⨯⨯==X P∵事件“X =2”=“一只球装入二号盒,两只球装入三号或四号盒”+“两只球装二号盒,一只球装入三或四号盒”+“三只球装入二号盒”∴6419414241342413)2(322=⎪⎭⎫ ⎝⎛+⨯⎪⎭⎫⎝⎛⨯+⎪⎭⎫ ⎝⎛⨯⨯==X P同理:647414141341413)3(322=⎪⎭⎫ ⎝⎛+⨯⎪⎭⎫⎝⎛⨯+⎪⎭⎫ ⎝⎛⨯⨯==X P64141)4(3=⎪⎭⎫⎝⎛==X P 故1625641464736419264371)(=⨯+⨯+⨯+⨯=X E 5.[五] 设在某一规定的时间间段里,其电气设备用于最大负荷的时间X (以分计)是一个连续型随机变量。
第四部分模拟试题浙江大学《概率论与数理统计》(第4版)配套模拟试题及详解(一)一、选择题(1~8小题,每小题4分,共32分。
下列每题给出的四个选项中,只有一个选项符合题目要求,请将所选项前的字母填在答题纸指定位置上。
)1.设A、B、C为事件,Ρ(ABC)>0,则Ρ(AB|C)=Ρ(A|C)Ρ(B|C)充要条件是()。
A.Ρ(A|C)=Ρ(A)B.Ρ(B|C)=Ρ(B)C.Ρ(AB|C)=Ρ(AB)D.Ρ(B|AC)=Ρ(B|C)【答案】D【解析】指在事件C发生的条件下,事件A与B独立,故“在C发生的条件下,A发生与否不影响B发生的概率”,即P(B|AC)=P(B|C),D项正确。
也可以通过计算来确定选项。
事实上,ABC三项分别是A与C、B与C、AB与C独立的充要条件。
2.设随机变量和相互独立且均服从下列分布:,,则下列随机变量中服从二项分布的是()。
A.B.C.D.【答案】C【解析】由题意知,的可能取值为-2,0,2,故的可能取值为0,1,2,且,。
3.设随机变量X l,X2,X3,X4均服从分布B(1,),则()。
A.X1+X2与X3+X4同分布B.X1-X2与X3-X4同分布C.(X1,X2)与(X3,X4)同分布D.同分布【答案】D【解析】显然同服从分布。
A、B、C三项均不正确,可以举反例如下:设表1,表2显然均服从但(X,X2)与(X3,X4)不同分布。
而即X1+X2与X3+X4不同分布。
,即X1-X2与X3-X4不同分布。
4.设相互独立的两随机变量X和Y,其中而Y具有概率密度,则P{X+Y}的值为()。
A.B.C.D.【答案】A【解析】X取值只能为X=0或X=1,将X=0和X=1看成完备事件组,用全概率公式得,5.假设随机变量X与Y的相关系数为,则=1的充要条件是()。
A.Y=aX+b(a>0)B.cov(X,Y)=1,DX=DY=1C.cov(X,Y)=,D.D(X+Y)=(+)【答案】D【解析】显然A、B、C三项是=1的充分条件但不是必要条件,因此选D项。
习题4.11.设10个零件中有3个不合格. 现任取一个使用,若取到不合格品,则丢弃重新抽取一个,试求取到合格品之前取出的不合格品数X 的数学期望.解 可得X 的概率分布为0123~77711030120120X ⎡⎤⎢⎥⎢⎥⎣⎦于是X 的数学期望为7771()012310301201204531208E X =⨯+⨯+⨯+⨯==2..某人有n 把外形相似的钥匙,其中只有1把能打开房门,但他不知道是哪一把,只好逐把试开.求此人直至将门打开所需的试开次数X 的数学期望.解 可得X 的概率分布为12~111n X nn n ⎡⎤⎢⎥⎢⎥⎣⎦于是X 的数学期望为111()121(1)122E X n n n nn n n n =⨯+⨯++⨯++==3.设5次重复独立试验中每次试验的成功率为0.9,若记失败次数为X ,求X 的数学期望。
解 由题意~(5,0.1)X B ,则X 的数学期望为()50.10.5E X =⨯=4.设某地每年因交通事故死亡的人数服从泊松分布.据统计,在一年中因交通事故死亡一人的概率是死亡两人的概率的21,求该地每年因交通事故死亡的平均人数。
解 设该地每年因交通事故死亡的人数为X ,由题意X 服从泊松分布() (0)P λλ>.因1{1}{2}2P X P X === 即121 41!22!ee λλλλλ--=⇒= 于是X 的数学期望为()4E X λ==所以地每年因交通事故死亡的平均人数为4人。
5.设随机变量X 在区间(1,7)上服从均匀分布,求2{()}P X E X <. 解 因X 在区间(1,7)上服从均匀分布,故X 的数学期望为17()42E X +== 于是22{()}{4}1 {22}6P X E X P X P X <=<=<-<<=6.设连续型随机变量X 的概率密度为01() (,0)0 b ax x p x a b ⎧<<=>⎨⎩其它又知()0.75E X =,求,a b 的值解 由密度函数的性质可得()1p x dx +∞-∞=⎰即1111b aax dx b =⇒=+⎰又由()0.75E X =,可得1()0.75b xp x dx x ax dx +∞-∞=⋅=⎰⎰即0.752ab =+ 求解110.752a b a b ⎧=⎪⎪+⎨⎪=⎪+⎩ 可得 3,2a b ==.7.设随机变量X 的概率密度为0<1()2 120 x x p x x x <⎧⎪=-≤<⎨⎪⎩其它求数学期望()E X解12013312201()() (2) ()133E X xp x dxx xdx x x dx x x x +∞-∞==⋅+⋅-=+-=⎰⎰⎰8.设随机变量X 的概率分布为 X -2 -1 0 1 P 0.2 0.3 0.1 0.4 求(1)(21)E X -;(2)2()E X .解 (1) (21)2()1E X E X -=- 其中()20.210.3010.40.3E X =-⨯-⨯++⨯=-则(21)2()12(0.3)1 1.6E X E X -=-=⨯--=-(2)22222()0.2(2)0.3(1)0.100.41 1.5E X =⨯-+⨯-+⨯+⨯=9.假设一部机器在一天内发生故障的概率为0.2,机器发生故障时全天停止工作。
第1章 随机变量及其概率1,写出下列试验的样本空间:(1) 连续投掷一颗骰子直至6个结果中有一个结果出现两次,记录投掷的次数。
(2) 连续投掷一颗骰子直至6个结果中有一个结果接连出现两次,记录投掷的次数。
(3) 连续投掷一枚硬币直至正面出现,观察正反面出现的情况。
(4) 抛一枚硬币,若出现H 则再抛一次;若出现T ,则再抛一颗骰子,观察出现的各种结果。
解:(1)}7,6,5,4,3,2{=S ;(2)},4,3,2{ =S ;(3)},,,,{ TTTH TTH TH H S =;(4)}6,5,4,3,2,1,,{T T T T T T HT HH S =。
2,设B A ,是两个事件,已知,125.0)(,5.0)(,25.0)(===AB P B P A P ,求)])([(),(),(),(______AB B A P AB P B A P B A P ⋃⋃。
解:625.0)()()()(=-+=⋃AB P B P A P B A P ,375.0)()(])[()(=-=-=AB P B P B A S P B A P ,875.0)(1)(___--=AB P AB P ,5.0)(625.0)])([()()])([()])([(___=-=⋃-⋃=-⋃=⋃AB P AB B A P B A P AB S B A P AB B A P3,在100,101,…,999这900个3位数中,任取一个3位数,求不包含数字1个概率。
解:在100,101,…,999这900个3位数中不包含数字1的3位数的个数为648998=⨯⨯,所以所求得概率为72.0900648=4,在仅由数字0,1,2,3,4,5组成且每个数字之多出现一次的全体三位数中,任取一个三位数。
(1)求该数是奇数的概率;(2)求该数大于330的概率。
解:仅由数字0,1,2,3,4,5组成且每个数字之多出现一次的全体三位数的个数有100455=⨯⨯个。
第4章 正态分布1,(1)设)1,0(~N Z ,求}24.1{≤Z P ,}37.224.1{≤<Z P ,}24.137.2{-≤<-Z P ; (2)设)1,0(~N Z,且9147.0}{=≤a Z P ,0526.0}{=≥b ZP ,求b a ,。
解:(1)8925.0)24.1(}24.1{=Φ=≤Z P ,0986.08925.09911.0)24.1()37.2(}24.1{}37.2{}37.224.1{=-=Φ-Φ=≤-≤=≤<Z P Z P Z P 0986.0)]37.2(1[)]24.1(1[)37.2()24.1(}24.137.2{=Φ--Φ-=-Φ--Φ=-≤<-Z P(2))37.1(9147.0}{Φ==≤a Z P ,所以37.1=a ;}{10526.0}{b Z P b Z P <-==≥,所以)62.1(9474.0}{Φ==<b Z P ,即62.1=b 。
2,设)16,3(~N X,求}84{≤<X P ,}50{≤≤X P 。
解:因为)16,3(~N X,所以)1,0(~43N X -。
2957.05987.08944.0)25.0()25.1(}43843434{}84{=-=Φ-Φ=-≤-<-=≤<X P X P 4649.0)7734.01(6915.0)430()435(}50{=--=-Φ--Φ=≤≤X P 。
3,(1)设)36,25(~N X ,试确定C,使得9544.0}25{=≤-C XP 。
(2)设)4,3(~N X,试确定C ,使得95.0}{≥>C XP 。
解:(1)因为1)6(2)6()6(}25{}25{-Φ=-Φ-Φ=≤-≤-=≤-C C C C X C P C X P所以得到9772.0)6(=ΦC ,即0.26=C ,0.12=C 。
(2)因为)1,0(~23N X -,所以95.0)23(1}{≥-Φ-=>C C X P ,即95.0)23(,05.0)23(≥-Φ≤-ΦC C 或者,从而645.123≥-C ,29.0-≤C。
第四章 大数定律及中心极限定理导 学——极限论在概率研究中的应用本章是承前启后的一章:明晰了“频率与概率的关系”,这是一个遗留问题。
并将《概率论》部分划上了一个句号,这是承前;说它启后,有定理设定:⋯⋯,21,,,n X X X 独立同分布,这一设定在《数理统计》部分一直沿用了下去。
全章由四节组成,§1节特征函数,§2节大数定律,讲了三个定理, §3节随机变量序列的两种收敛性,§4节中心极限定理。
三个定理。
“大数”及“极限”均要求+∞→n ,在实际问题中,n 充分大即可。
§2节主要研究对象为:算术平均值()n X X nX +⋯+=11;§4节的主要研究对象为: nni i X X X +⋯+=∑=11,比n X 1少了。
§2节的学习,不妨先从复习入手。
第二、三章已熟悉了()()⋅⋅D E 及,先推算出21)(,)(σμnX D X E =⋯==⋯=这是核心推导之一,后面学《数理统计》会反复使用,再由契比雪夫不等式及夹逼原理,可推出定理一,其中NX D 2)(σ=中的n1很宝贵。
定理二是由定理一推得的,关键点为:n A X X X n +⋯++=21及X X n n n ni i A ==∑=11,于是可用定理一了。
推导本身是一件很愉快的事。
§2节的三个定理可在比对中学习。
定理一(契)不要求⋯⋯,21,,,n X X X 一定为同分布,(贝)是由定理一(契)的特例。
定理二(马)不要求⋯⋯,21,,,n X X X 独立或同分布。
定理三(辛)不要求)(X D 一定存在,“契”“马”与“辛”的结论均为:μ−→−PX ,即算术平均值依概率收敛于数学期望。
“贝”的结论为:p nn PA −→−,即频率依概率收敛于概率。
这个结论很精致,十分简单了。
翻开§4节,一堆一堆的符号映入眼中,让人头大。
其实,若标准化方法娴熟,这一节并不难。
概率论与数理统计习题答案 第四版 盛骤 (浙江大学)浙大第四版(高等教育出版社) 第一章 概率论的基本概念1.[一] 写出下列随机试验的样本空间(1)记录一个小班一次数学考试的平均分数(充以百分制记分)([一] 1)⎭⎬⎫⎩⎨⎧⨯=n n nn o S 1001, ,n 表小班人数(3)生产产品直到得到10件正品,记录生产产品的总件数。
([一] 2)S ={10,11,12,………,n ,………}(4)对某工厂出厂的产品进行检查,合格的盖上“正品”,不合格的盖上“次品”,如连续查出二个次品就停止检查,或检查4个产品就停止检查,记录检查的结果。
查出合格品记为“1”,查出次品记为“0”,连续出现两个“0”就停止检查,或查满4次才停止检查。
([一] (3))S={00,100,0100,0101,1010,0110,1100,0111,1011,1101,1110,1111,}2.[二] 设A ,B ,C 为三事件,用A ,B ,C 的运算关系表示下列事件。
(1)A 发生,B 与C 不发生。
表示为:C B A ﻩ或A- (A B+AC )或A- (B ∪C ) (2)A ,B都发生,而C不发生。
表示为:C AB ﻩ或AB -ABC 或AB-C(3)A,B,C 中至少有一个发生ﻩﻩ表示为:A+B+C (4)A ,B ,C 都发生,ﻩ表示为:A BC(5)A,B ,C 都不发生,ﻩﻩ表示为:C B A 或S- (A+B+C)或C B A ⋃⋃ (6)A ,B,C中不多于一个发生,即A ,B ,C 中至少有两个同时不发生 相当于C A C B B A ,,中至少有一个发生。
故 表示为:C A C B B A ++。
(7)A ,B,C 中不多于二个发生。
相当于:C B A ,,中至少有一个发生。
故 表示为:ABC C B A 或++ (8)A,B,C中至少有二个发生。
相当于:AB ,BC ,AC 中至少有一个发生。