高数课后习题及答案 第二章 2.2
- 格式:doc
- 大小:737.00 KB
- 文档页数:2
高等数学Ⅱ第二章习题课习题1(导数的定义)(1)设函数()y f x =在1x =处可导,且0(13)(1)1lim 3x f x f x ∆→+∆-=∆,求(1)f '。
(2)设函数()y f x =在0x =处连续,且0()lim x f x x →存在,求0(2)lim x f x x→。
【解】:(1)00(13)(1)(13)(1)1lim3lim 3(1)33x x f x f f x f f x x ∆→∆→+∆-+∆-'===∆∆, 所以 1(1)9f '=(2)因为0()lim x f x x→存在,故0lim ()0x f x →=,又函数()y f x =在0x =处连续,从而0(0)lim ()0x f f x →==,所以00(2)(2)(0)()(0)lim2lim 2lim 2(0)200x x t f x f x f f t f f x x t →→→--'===--2(求导法则)(1)设函数21()(1)(1)f x x x=+-,求()f x '; (2)设函数3()(1)cot f x x arc x =+,求(0)f '; (3)设3ln 1x xy x=+,求y '. 【解】:(1)21()1f x x x x =-++-, 21()21f x x x'=-+-(2)33()(1)cot (1)(cot )f x x arc x x arc x '''=+++32213cot 1x x arc x x +=-+所以 (0)1f '=-(3)33323232(ln )(1)(ln )(1)(1ln )(1)(ln )(3)(1)(1)x x x x x x x x x x x y x x ''+-+++-'==++ 33321ln (12)(1)x x x x ++-=+3(一元复合函数求导)(1)设函数()lnsin f x x =,求()f x ';(2)设函数ln y =y '; (3)设(4)ln f x x =,求()f x ';(4)设cos2f x =,求()f x '. 【解】:(1)2cos ()sin xf x x'=+(2)y '==(3)在(4)ln f x x =两边同时对x 求导,得 14(4)f x x '=,从而1(4)4f x x'= 所以 1()f x x'=(4)在cos2f x =两边同时对x 求导,得 2sin 2f x '=-,从而2f x '⋅=-所以 2()4sin 2f x x x '=-4(分段函数求导)(1)设函数212()2ax x f x x b x +≤⎧=⎨+>⎩在2x =处可导,求,a b ;(2)设函数20()20x ae x f x bx x ⎧<=⎨-≥⎩处处可导,求,a b 及()f x ';【解】:(1)函数在2x =处可导,在2x =处必连续。
2.1、质点在有心力()F r 的作用下运动,质点的速度的大小为/v a r =,这里a 是常数。
已知0θ=时0r r =,速度与矢径间夹角为ϕ。
求质点的轨道方程。
解:质点受到有心力的作用,在极坐标系中有:2r h θ=,2222222()()a h v r r r r rθ==+=+化简得:2rr a h =-dr d dr h drrrdt dt d r d θθθ===分离变量:1dr r θ=,积分有:c r e+= c 为积分常数初始条件:0θ=时0r r =代入初始条件可得:0ln r c =,故0r r e =又速度与矢径间夹角为ϕr v r h tg tg rr hctg v r rrθθϕϕϕ==⇒=⇒=,与2rr a h =- hctg ctg ϕϕ=⇒=所以质点的轨道方程为:0ctg r r e θϕ=2.2、木星轨道的半长轴长度是5.2天文单位(1天文单位为81.510km ⨯,是太阳与地球的平均距离)。
已知地球和木星的轨道都接近圆形。
求出 (i)木星绕太阳运动的周期 (ii)木星的平均轨道速率。
解:(i)由牛二定律知:22=m m Gm r r ω木星太阳木星木星木太木太,22m m Gm r r ω=地球太阳地球地球地太地太可解得:3/2()11.9r r ωωω==地太木星地球地球木太,式中21πω=地球年 (ii)因接近圆形 911.960.29.210v r r ωωωω====⨯木星木星木太地球木太地球地球2.3、月球的质量和半径分别是0.0123e m m =和0.273e R R =,其中,e e m R 分别是球球的质量和半径。
已知地球半径约为6370km ,试求(i)月球表面处的重力加速度(ii)若在月球表面发射火箭,使之脱离月球,则火箭的发射速度至少是多少?解:(i)物体(质量为'm )在月球表面处受到的重力可看是成有引力的体现:2'''m mm g G R = 同理此物体放在地球表面时有:2''ee m m m g GR = 两式相除有:22221'()9.80.0123()/ 1.6/0.273e e R m g gm s m s m R ==⨯⨯≈ (ii)只考虑火箭(质量为'm )和月球之间的引力,那么火箭和月球机械能守恒(取无穷远处为0势能)。
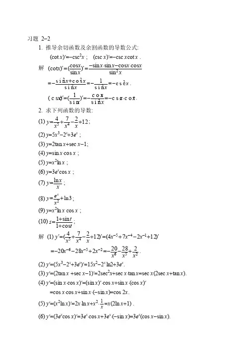
-----高等数学第2章课后习题及答案习题211 设物体绕定轴旋转 在时间间隔 [0 t]内转过的角度为从而转角是 t 的函数(t) 如果旋转是匀速的 那么称为该物体旋转的角速度 如果旋转t是非匀速的 应怎样确定该物体在时刻t 0 的角速度?解 在时间间隔 [t 0 t 0t] 内的平均角速度为(t 0t ) (t 0 )tt故 t 0 时刻的角速度为l i ml i m l i m(tt) (t 0) (t )t 0t 0 tt 0t2 当物体的温度高于周围介质的温度时物体就不断冷却 若物体的温度 T与时间 t 的函数关系为 T T(t) 应怎样确定该物体在时刻t 的冷却速度?解 物体在时间间隔 [t 0 t 0t]内 温度的改变量为T T(tt) T(t)平均冷却速度为T T (t t) T(t) t t故物体在时刻 t 的冷却速度为limT lim T (t t ) T (t ) T (t) t 0t t 0 t 3 设某工厂生产 x 单位产品所花费的成本是 f(x)元 此函数 f(x)称为成本函数成本函数 f(x)的导数 f (x)在经济学中称为边际成本 试说明边际成本 f (x)的实际意义解 f(x x)f(x)表示当产量由 x 改变到 x x 时成本的改变量f (x x) f (x)表示当产量由 x 改变到 x x 时单位产量的成本xf (x)lim 0f (x x) f ( x)表示当产量为 x 时单位产量的成本x x4 设 f(x)10x 2 试按定义 求 f ( 1)解 f ( 1)limf ( 1 x) f ( 1)10( 1x)2 10( 1)2xlimxxx 010 lim0 2 xx 2 10 lim ( 2x) 20xxx 05 证明 (cos x) sin x解 (cosx) limcos(x x) cosxxx2s i nx(x) s i nxlim2 2x 0 xlim [ s i nx(x ) s i n x] s i nx 2 x 0 2x26 下列各题中均假定 f (x 0)存在 按照导数定义观察下列极限指出 A 表示什么(1) lim f ( x 0x) f ( x 0 ) A xx 解 Alim0f (x 0x) f (x 0)xxl i mf ( xx) f (x 0) f ( x 0 )x 0x(2) lim f (x)A 其中 f(0) 0 且 f (0)存在x 0 x解 Alim f ( x) lim f (0 x) f (0) f (0)x 0 x x 0x (3) lim f (x 0 h) f (x 0 h)Ah 0h解A lim f ( x 0 h 0 lim[ f (xh 0limf (xh 0h)f (x 0 h) hh) f ( x 0 )] [ f (x 0 h) f (x 0)]h h) f (x 0)limf (xh) f ( x 0 ) hh 0hf (x 0) [ f (x 0)] 2f (x 0)7 求下列函数的导数(1)y x 4(2) y 3 x 2(3) y x1 6-----(4) y1 x(5) y1x23 5 x(6) y x232(7) y x x解 (1)y (x 4) 4x 4 1 4x 322 1 2 x (2) y (3 x 2 ) ( x 3 )2x 3331 3(3)y (x 1 6) 1 6x 1 6 1 1 6x 0 61 1 x(4) y ( 1) (x 2)x21 121 x 23 2(5) y(1)( x 2 )2x 3x 23 516 16 16 116 11 (6) y (x x) (x 5)x 5 x 555(7) y ( x2 3 x21 111 x ) (x 6) 1 x 6x 5665 68 已知物体的运动规律为 s t 3(m) 求这物体在 t 2 秒 (s)时的速度解 v(s) 3t 2 v|t 2 12(米 /秒)9 如果 f(x)为偶函数且 f(0)存在 证明 f(0)证明 当 f(x)为偶函数时 f( x) f(x)所以f (0) l i mf (x)f (0) l i m f (x) f (0) l i m f ( x) f (0)x 0xx 0x 0x 0x 0从而有 2f (0) 0 即 f (0) 010 求曲线 ysin x 在具有下列横坐标的各点处切线的斜率x 解 因为 y cos x 所以斜率分别为2 1k 1 c o sk 2 cos 13 2f (0)2x311 求曲线 y cos x 上点 ( , 1) 处的切线方程和法线方程式3 2解 ysin x ysin3x3 23故在点 (, 1) 处 切线方程为 y 1 3(x)3 22 23法线方程为 y 1 2(x )23 312 求曲线 y e x在点 (0 1)处的切线方程 解 y e xy |x 0 1 故在 (0 1)处的切线方程为y 1 1 (x 0)即 y x 113 在抛物线 y x 2上取横坐标为 x 1 1 及 x 2 3 的两点 作过这两点的割线问该抛物线上哪一点的切线平行于这条割线?解 yy(3) y(1)9 1 42x 割线斜率为 k132令 2x 4 得 x 2因此抛物线 y x 2 上点 (2 4)处的切线平行于这条割线 14 讨论下列函数在 x 0 处的连续性与可导性(1)y |sin x| (2) yx 2sin 1x 0xx 0解 (1)因为y(0) 0 lim y lim |sin x | lim ( sin x) 0x 0x 0x 0 lim ylim |sin x|lim sin xx 0x 0x所以函数在 x 0 处连续又因为y (0)l i m y( x)y(0) l i m |si nx | |si n0 |l i m s i nx1x 0x 0x 0x 0x 0xy (0) lim y( x) y(0) lim |sin x | |sin0|lim s i nx 1x 0 x 0 x 0x 0 x 0 x而 y (0) y (0) 所以函数在 x 0 处不可导-----解 因为 lim y(x) lim x 2sin10 又 y(0)0 所以函数在 x 0 处连续x 0 x 0x 又因为21 0y(x) y(0)xs i n1 l i mx l i ml i mxs i n 0 x 0xx 0xx 0x所以函数在点 x 0 处可导 且 y (0) 015 设函数 f (x)x 2x 1为了使函数 f(x)在 x 1 处连续且可导a b 应取什ax b x 1么值?解 因为lim f ( x) lim x 21 limf (x) lim (ax b)a b f(1) a bx 1x 1x1x 1所以要使函数在 x1 处连续 必须 a b 1 又因为当 a b1 时f (1)x 2 12l i m1x 1 xf (1) lim ax b 1 lim a( x 1) a b 1 lim a(x 1) ax 1 x 1 x 1 x 1 x 1x 1 所以要使函数在 x 1 处可导 必须 a 2 此时 b 116已知 f (x)x 2x 0求 f (0)及 f(0) 又 f (0)是否存在?x x 0解 因为f(0) lim f (x) f (0)lim x 0x 0 x x 0x f(0) lim f (x) f (0)lim x 2 0xxx 0x 而 f (0) f (0) 所以 f (0)不存在17 已知 f(x)sin x x0 求 f (x)x x解 当 x<0 时 f(x) sin x f (x) cos x 当x>0 时 f(x) x f (x) 11因为 f (0) lim f (x) f (0) lim sin x 0 1x 0 x x 0xf (0) lim f (x)f (0) lim x 0 1所以 f (0) 1 从而x 0x x 0x f (x)cosx x1 x18 证明 双曲线 xy a 2 上任一点处的切线与两坐标轴构成的三角形的面积都等于 2a 2解 由 xy a 2得 ya 2k ya 2xx 2设 (x 0 y 0)为曲线上任一点则过该点的切线方程为y a2x 0 ) y 02 ( xx 02y x 2令 y 0并注意 x 0y 0a 解得 xx 0 2x 0为切线在 x 轴上的距 a 2令 x 0并注意 x 0y 0 a 2 解得 y a 2y 2 y0 为切线在 y 轴上的距x 0 0此切线与二坐标轴构成的三角形的面积为S1|2x 0 ||2y 0 | 2|x 0 y 0 | 2a 22习题221 推导余切函数及余割函数的导数公式(cot x)csc 2x(csc x)csc xcot x解 (cot x)(cosx )sin x sin x cosx cosxsin xsin 2 x2 21 2s i nx c o s x2 2 c s cxs i nxs i nx( c sxc) ( 1 ) c o xsc s cx c o xt s i nx 2s i n x 2 求下列函数的导数(1) y4 7 2 12x 5 x 4x-----(2) y 5x 3 2x 3e x (3) y 2tan x sec x 1 (4) y sin x cos x (5) y x 2ln x (6) y 3e x cos x(7) yln xxx(8) y e 2 ln 3x(9) y x 2ln x cos x(10) s 1 sint1 cost解 (1) y ( 4 7 2 12)(4x 5 7x 4 2x 112)x 5 x 4 x20x628x52x220282x6x5x2(2) y (5x 32x 3e x ) 15x22xln2 3ex(3) y (2tan x sec x 1)2sec x tan x sec x(2sec x tan x)2sec x (4) y (sin x cos x) (sin x) cos x sin x (cos x)cos x cos x sin x ( sin x) cos 2x(5) y (x 2ln x) 2x ln x x 21 x(2ln x 1)x(6) y (3e x cos x) 3e x cos x 3e x ( sin x) 3e x(cos x sin x)ln x1 x ln x1 ln x(7) y ( ) xx x 2 x 2(8) y ( e x ln 3) e x x 2 e x 2x e x ( x 2)x 2 x 43x(9) y221cos x x 2ln x ( sin x)(x ln x cos x) 2x ln x cos x x x2x ln x cos x x cos x x 2 ln x sin x(10) s (1sin t ) cost(1 cost) (1 sin t)( sin t)1 sin t cost1 cost(1 cost)2(1 cost)23 求下列函数在给定点处的导数(1) y sin x cos x 求 y和 yxx46(2)sin1cos 求d2d4(3) f (x)3 x 2求 f (0)和 f (2)5 x 5解 (1)ycos x sin xyc o s s i n3 1 3 1x22266 6yc o s s i n22 2x2 244 4(2)dsincos1sin1sincosd22d1s i nc o s 1 2 422(1)d4 244 4 2 22 42(3) f (x)32x f (0)3 f (2) 17(5 x)2525154 以初速 v 0 竖直上抛的物体其上升高度 s 与时间 t 的关系是 s v 0t 1gt 22求(1)该物体的速度 v(t)(2)该物体达到最高点的时刻解 (1)v(t) s (t) v 0 gt(2)令 v(t) 0 即 v 0 gt 0 得 t v 0这就是物体达到最高点的时刻g5 求曲线 y 2sin x x 2 上横坐标为 x 0 的点处的切线方程和法线方程 解 因为 y 2cos x 2x y |x 0 2又当 x 0 时 y 0 所以所求的切线方程为y 2x所求的法线方程为-----y 1x即x 2y 0 26求下列函数的导数(1)y (2x 5)4(2)y cos(4 3x)(3) y e 3x 2(4)y ln(1x2)(5)y sin2x(6) y a2x2(7)y tan(x2)(8)y arctan(e x)(9)y(arcsin x)2(10) y lncos x解 (1) y4(2x 5)4 1 (2x5) 4(2x 5)3 2 8(2x 5)3 (2)y sin(4 3x) (4 3x)sin(4 3x) ( 3) 3sin(4 3x)(3) y e 3 x2 ( 3x2 )(4)y1 (1 x2)1x2(5)y 2sin x (sin x) e 3x 2(6x)6xe 3x212x2x1 x2 1 x22sin x cos x sin 2x(6) y [( a21] 1 (a211(a2 x2 ) x2) 2x2) 221 (a2x2 )1x2 ( 2x)x2 2a2 (7) y sec2(x2) (x2)2xsec2(x2)(8) y1x2 (e x)e x2x1(e ) 1 e2 arcsin x (9) y2arcsin x (arcsin x)1x2(10) y1 (cosx)1( sin x) tan xcosx cosx 7 求下列函数的导数(1) y arcsin(1 2x)(2) y11 x 2x(3) y e 2 cos3x(4) y arccos 1x(5) y1 ln x1 ln x (6) y sin 2xx(7) y arcsin x(8) y ln(x a 2 x 2 ) (9) y ln(sec x tan x)(10) y ln(csc x cot x)解 (1) y1(1 2x)21 1 (1 2x)2x x 21 (1 2x) 2(2) y [(111 1 x 2)x 2) 2]1(1 x 2) 2(1213x(1 x 2 ) 2 ( 2x)x 22(1 x 2 ) 1xxxx) cos3xx(3) y (e 2) cos3x e 2(cos3x) e 2(e 2( sin 3x)(3x)21 e xxx2 c o 3sx 3e 2 s i n3x 1e 2( c o3sx6s i n3x)22-----(4) y1 1 (1)1 1 ( 1 )|x|1 (2 x 1 ( ) 2x2x 2x21)xx1(1 l n x) (1 ln x)12(5) yxx(1ln x) 2x(1 ln x)2(6) ycos2x 2 x sin 2x 1 2x cos2x sin2xx2x2(7) y1( x)1111 ( x)21 ( x )22 x 2 x x 2(8) y1x 2 (xa 2x 2 )1x 2 [1 1(a 2 x 2) ]xa 2x a 22 a 2 x 21[112 (2x)]1x a 2 22 a 2x a 2x 2x(9) y1(secx tan x) secxtan x(10) y1(csc x cot x)csc x cot xsecx tan x sec 2x secxsecx tan x cscx cot x csc 2 x cscxcscx cot x8 求下列函数的导数(1) y (arcsin x )22(2) y ln tan x2(3) y 1 ln 2 x(4) y e arctan x(5) y sin nxcos nx(6) y arctanx 1x 1(7) y arcsinxarccosx(8) y=ln[ln(ln x)](9) y1x 1 x 1 x1 x(10) y arcsin1 x1 x解 (1) y2(arcsin x ) (arcsin x)2 22( a r c s xi)n 1( x)2 1 ( x )2 222( a r c s xi) n1 x 12 1 ( ) 222x2a r c s i n24 x 2(2) y1x (tan x) 1 x sec 2 x( x)tan 2 tan2 22 2(3) y(4) y1 2 x 1x s e c2 c s cxt a n 22 1 ln 2 x 2 1 (1 ln 2 x)1 ln2 x1 2ln x ( l nx)12ln x12 1 ln 2x2 1 ln 2xxln xx1 ln2 xearctan x(arctan x)e arctan x1 x) 2( x)1 (-----e a r c t axn11x e a r c t axn1( x)2 2 2 x(1 x)(5) y n sin n 1x (sin x) cos nx sin n x ( sin nx) (nx)n sin n 1x cos x cos nx sin n x ( sin nx) nn sin n 1x (cos x cos nx sin x sin nx) n sin n 1xcos(n 1)x(6) y1( x 1) 1(x 1) ( x 1)11 ( x 1) 2x 11 (x 1)2(x 1)2 1 x 2x 1x 11arccosx 1 arcsin x1 x2 1 x 2(7) y(arccos x)21 a r c c oxs a r c s ixn1 x22( ar c c ox)s2 1 x 2 ( a r c cxo)2s(8) y1 ln(ln x)1ln(ln x)[ln(ln x)] 11(ln x)ln(ln x) ln x 1 1 1 ln x x xln x l n ( lxn)(1 1 )( 1 x1 x) ( 1 x1 x)(1 1)(9) y2 1 x 2 1 x2 1 x 2 1 x( 1 x1 x)211 x 21 x2(10) y1 (1 x) 1 (1 x) (1 x)1 1 x 1 x 1 1 x(1 x)21 x1 x1(1 x) 2x(1 x)9. 设函数 f(x)和 g(x)可导且 f 2(x) g 2(x) 0 试求函数 y f 2 (x) g 2 (x) 的导数解 yf 1[ f 2(x) g2 (x)]22 (x)g 2(x)1[2 f (x) f ( x) 2g(x) g ( x)] 2f 2(x)g2(x)f (x) f (x)g(x)g (x)f 2 (x)g 2 (x)10设 f(x)可导求下列函数 y 的导数dy dx(1) y f(x2)(2)y f(sin2x) f(cos2x)解 (1) y f (x2) (x2)f(x2) 2x 2x f (x2)(2)y f(sin2x) (sin2x) f (cos2x) (cos2x)f(sin2x) 2sin x cos x f (cos2x) 2cosx ( sin x)sin 2x[f (sin2x)f(cos2x)]11求下列函数的导数(1)y ch(sh x )(2)y sh x e ch x(3)y th(ln x)(4)y sh3x ch2x(5)y th(1 x2)(6)y arch(x2 1)(7)y arch(e2x)(8)y arctan(th x)(9)y ln chx12 x 2ch(10)y ch2( x 1) x 1解 (1) y sh(sh x) (sh x) sh(sh x) ch x(2) y ch x e ch x sh x e ch x sh x e ch x(ch x sh2x)(3) y1(ln x)12 (ln x)2 (ln x)ch x ch-----(4) y3sh 2x ch x 2ch x sh x sh x ch x (3sh x 2) (5) ych 21 2 (1 x 2)2 2xx 2 )(1 x )ch (1 (6) y1 1(x 2 1)2x( x 2 1)x 4 2x 2 2(7) y1(e 2x)2e2x(e 2x )21 e 4 x 1 (8) y 1(th x) 1 1 1 1 1 (thx) 2 1 th 2 x ch 2 x 1 2 2sh x ch xch 2x 1 1ch 2 x sh 2x 1 2sh 2 x(9) y1 (ch x) 1 (ch 2x)ch x2ch 4 xsh x 1 2ch x shxch x2ch 4 xsh x shx sh x ch 2x shxch xch 3x ch 3xsh x (ch 2 x 1) sh 3x th 3xch 3xch 3x(10) y2ch(x1) [ch(x1)] 2ch(x1) sh(x1) ( x 1)x 1x 1x 1 x 1 x 1sh(2x 1(x 1) (x 1)2sh(2 x 1)(x 1)2( x 1)2 )x 1x 112 求下列函数的导数(1) y e x (x 2 2x 3)(2) y sin 2x sin(x 2) (3) y (arctan x )22(4) yln xx ne t e (5) ye t ett(6) y ln cos 1x(7) y e sin 2 1x(8) y x x(9) yxarcsinx4 x 22(10) y arcsin2t1 t 2解 (1) y e x (x 2 2x 3) e x (2x 2) ex( x 2 4x 5)(2) y2 222sin x cos x sin(x ) sin x cos(x ) 2xsin2x sin(x 2) 2x sin 2x cos(x 2)(3) y 2arctanx1 1 4 arctan x2 1 x 2 2 x 2 4 241 xnln x nxn 11 n ln x(4) yxx 2nx n 1(5) y(e te t )(e t e t ) (e t e t )(e te t )4e 2t(e t e t )2(e 2t 1) 211111 1 1(6) y sec x (cos x ) sec x ( sin x ) ( x 2 ) x 2tanx(7) y esin 21 ( sin 21) e sin 21xxx( 2sin 1) cos1( 1 ) xxx2122 1s i nx 2 s i nexx(8) y1x (x x )2 1 (1 1 ) 2 xxx2 x2 x 1 4 xxx(9) y arcsinxx1 12 1 ( 2x) arcsin x21 x2 2 4 x 2 24-----(10) y1 ( 2t ) 12 (1 t 2) 2t (2t) 1 (2t)2 1 t 21 ( 2t )2 (1 t 2) 21 t21 t21 t22(1 t 2)2(1 t 2)(1 t 2)2 (1 t 2 )2 |1 t 2 |(1 t 2 )习题231 求函数的二阶导数(1) y 2x 2ln x (2) y e2x 1(3) y xcos x (4) y e t sin t (5) y a 2 x 2 (6) y ln(1 x 2)(7) y tan x1(8) yx 3 12(9) y (1 x )arctan x(10) ye xx(11) y x 2xe(12) y ln( x 1 x 2 )解 (1) y 4x1 y4 1xx2(2) y e 2x 12 2e 2x 1y 2e2x 1 2 4e 2x 1(3) y xcos x y cos x xsin xy sin x sin x xcos x2sin x xcos x(4) ye tsin t e tcos t e t(cos t sin t)ye t (cos t sin t) e t ( sin t cos t) 2e t cos t(5) y21x2(a2x2)xx2a2a2a2x2x xa2ya2x2a2 x2(a2 x2 ) a2 x2(6) y11(1x2 )12x x2x2y 2(1x2 )2x (2x)2(1 x2)(1 x2 )2(1x2 )2(7) y sec2 xy2sec x (sec x)2sec x sec x tan x2sec2x tan x(8) y(x31)3x2 (x31) 2(x31)2y 6x ( x31)23x22( x31) 3x6x(2x3 1) (x3 1)4(x31)3(9) y2xarctanx(1x2)112xarctanx1 x2y2a r c t xa n2x1 x2(10)y e x x e x 1e x( x 1)x2x2y [e x( x 1) e x] x2 e x( x 1) 2x e x(x2 2x 2)x4x3(11)y e x 2x e x2(2x)e x2(12x2 )yx22x24xx22 e2x (12x )e2xe(32x )(12)y12( x1x2 )12(12x 2 )12x 1 x x 1 x 2 1 x 1 x y1(1 x2 )12x x1 x2 1 x22 1 x2)(1 x) 2 1 x-----2 设 f(x)(x6(2)?10)f解 f(x) 6(x5f(x)43 10)30(x 10) f (x) 120(x 10)f(2)120(210)32073603若 f (x)存在求下列函数 y 的二阶导数d2ydx2(1)y f(x2)(2)y ln[ f(x)]解 (1)y f(x2) (x2) 2xf(x2)y2f(x2)2x 2xf(x2)2f(x2) 4x2f(x2)(2) y1 f (x)f (x)f(x) f (x) f ( x) f(x)f( x) f (x)[ f ( x)] 2 y[ f ( x)]2[ f ( x)]24试从dx 1导出dy y(1) d 2 x ydy 2( y ) 3(2)d 3x3( y )2y y dy3( y )5解(1) d 2x d dx d1d1dx y1ydy2dy dy dy y dx y dy( y )2y( y )3(2) d3x d y d y dxdy3dy y 3dx y 3dyy ( y )3 y 3( y )2 y13( y )2 y y(y )6y(y )55已知物体的运动规律为s Asin t(A、是常数 )求物体运动的加速度并验证d 2s2 s 0dt 2解dsA cos t dt d2 s A 2 sin t dt 22d s就是物体运动的加速度dt2d2 s 2 s A 2 s i n t2 As i n t 0dt 2C1e x C2e x(6验证函数 y C1 C2是常数 )满足关系式y2y 0解y C1 e x C2 e xy C12e x C22e xy2y (C12e x C22e x)2(C1e x C2e x)(C12e x C22e x) (C12e x C22e x) 0 7验证函数 y e x sin x 满足关系式y2y2y 0解 y e x sin x e x cos x e x(sin x cos x)y e x(sin x cos x)e x(cos x sin x) 2e x cos xyx xcos x)x2y 2y 2e cos x2e (sin x2e sin x 2e x cos x2e x sin x2e x cos x2e x sin x 08求下列函数的 n 阶导数的一般表达式(1) y x n1n 12n 2n 1n 12n 都是常数)a x a x a x a (a a a(2)y sin2x(3)y xln x(4)y xe x解 (1) y nx n 1(n1)a1x n 2 (n2)a2x n 3a n 1y n(n1)x n 21 n 32n 4n 2 (n 1)(n2)a x(n 2)(n 3)a x ay(n) n(n 1)(n 2) 2 1x0 n!(2) y 2sin x cos x sin2xy 2c o 2sx 2s i n2(x)2-----y22 c o s2x()22 s i n2x( 2)22y(4)23 c o s2x(2) 23 s i n2(x 3 )22y(n)2n 1s i n2x[ (n 1)]2(3)y ln x 1y 1 x1xy ( 1)x 2y(4) ( 1)( 2)x 3y(n)(1)( 2)( 3) ( n 2)x n 1( 1)n 2(n 2)!( 1)n (n 2)!x n 1x n 1(4) y e x xe xy e x e x xe x 2e x xe xy 2e x e x xe x 3e x xe xy(n) ne x xe x e x(n x)9求下列函数所指定的阶的导数(1)y e x cos x 求 y(4)(2)y xsh x 求 y(100)(3) y x2sin 2x求y(50) .xv cos x有解 (1)令 u eu u u u(4)e xv sin x v cos x v sin x v(4) cos x所以y(4)u(4) v4u v6u v4u v u v(4)e x[cos x4(sin x)6(cos x)4sin x cos x] 4e x cos x(2)令 u x v sh x则有u 1 u0v ch x v sh x v(99)ch x v(100) sh x所以y(100)u(100)v C1 u(99) v C2u(98) v C 98 u v(98) C99 u v(99)u v(100)100100100100100ch x xsh x(3)令 u x2 v sin 2x则有u2x u 2 u0v(48)248 sin(2x48)248 s i n2x2v(49)249cos 2x v(50)250sin 2x所以y(50)u(50)v C1501u(49) v C502u(48) v C5048u v(48) C5049u v(49) u v(50)C5048u v(48)C5049u v(49) u v(50)50 492 228 sin 2x50 2x 249 c o 2sx x2 (250 s i n2x)250x2sin 2x50xc o 2sx12252 (s i n2x)2习题231求函数的二阶导数(1)y 2x2 ln x(2)y e2x 1(3)y xcos x(4)y e t sin t(5)y a2 x2(6)y ln(1 x2)(7)y tan x1(8) yx3 1(9) y (1 x2)arctan x(10) y e xx-----(11) y xe x2(12) y ln( x1x2 )解 (1) y4x1y41x x2(2) y e2x 1 2 2e2x 1y2e2x 1 2 4e2x 1(3) y xcos x y cos x xsin xy sin x sin x xcos x2sin x xcos x(4) y e t sin t e t cos t e t (cos t sin t)y e t(cos t sin t) e t (sin t cos t)2e t cos t(5) y21x2(a2x2)xx2a2a2a2x2x xx2a2ya2a2 x2(a2 x2 ) a2 x2(6) y11(1x2 )12x x2x2y 2(1x2 )2x (2x)2(1x2)(1 x2 )2(1x2 )2(7) y sec2 xy2sec x (sec x)2sec x sec x tan x2sec2x tan x(8) y(x31)3x2 (x31) 2(x31)2y 6x ( x31)23x22( x31) 3x 6x(2x3 1) (x31)4(x31)3(9) y2xarctanx(1x2)112xarctanx1 x2y2a r c t xa n 2x21 x(10)y e x x e x1 e x( x 1)x2x2y[e x ( x 1) e x ] x 2 e x ( x 1) 2x e x (x 2 2x 2)x4x3(11) ye x 2 x e x 2 (2x) e x 2 (1 2x 2 )yx 22x (1 2x 2x22e 2x ) e4x 2xe (3 2x )(12) y1( x1x 2 ) 1 (1 2x ) 1x 1 x 2x 1 x 22 1 x 21 x 2y1(1 x 2) 12xx1 x21 x 22 1 x 2)(1 x) 21 x2 设 f(x) (x 10)6f (2) ?解 f (x) 6(x 10)5 f (x) 30(x 10)4f (x) 120(x 10)3f(2) 120(2 10)3 2073603 若 f (x)存在 求下列函数(1) y f(x 2)(2) y ln[ f(x)]解 (1)yf(x 2) (x 2) 2xf (x 2) y 2f(x 2) 2x 2xf (x 2) (2) y1 f (x)f (x)f (x) f (x) f( x) f (x) y2[ f ( x)]4 试从dx 1导出dy y(1) d 2xydy 2( y ) 3(2)d 3x 3( y )2 y ydy3( y )5解 (1) d 2xd dxd 1dy2dy dydyyd 2 yy的二阶导数d x 22f (x 2) 4x 2f (x 2)f ( x) f (x) [ f ( x)] 2[ f ( x)]2d1dx y 1y dx y dy( y )2 y( y )3(2) d3x d y d y dxdy3dy y 3dx y 3dyy ( y )3 y 3( y )2 y13( y )2 y y(y )6y(y )55已知物体的运动规律为s Asin t(A、是常数 )求物体运动的加速度并验证d 2s2s 0dt 2解dsA cos t dt d2 s A 2 sin t dt 22d s就是物体运动的加速度dt2d2 s 2 s A 2 s i n t2 As i n t 0dt 2C1e x C2e x(6验证函数 y C1 C2是常数 )满足关系式y2y 0解y C1 e x C2 e xy C12e x C22e xy212e x C22x21x2e x)y (C e ) (C e C(C12e x C22e x) (C12e x C22e x) 0 7验证函数 y e x sin x 满足关系式y2y2y 0解 y e x sin x e x cos x e x(sin x cos x)y e x(sin x cos x)e x(cos x sin x) 2e x cos xyx xcos x)x2y 2y 2e cos x2e (sin x2e sin x 2e x cos x2e x sin x2e x cos x2e x sin x 08求下列函数的 n 阶导数的一般表达式(1) y x n1n 12n 2n 1n 12n 都是常数)a x a x a x a (a a a(2) y sin2x-----(3)y xln x(4)y xe x解 (1) y n 11n 2(n2 n 3n 1nx(n 1)a x2)a x ay n(n1)x n 2 (n1)(n2)a1x n 3(n 2)(n 3)a2x n 4a n 2y(n) n(n 1)(n 2) 2 1x0 n!(2) y2sin x cos x sin2xy2c o 2sx 2s i n2(x)2y22 c o s2x() 22 s i n2x( 2)22y(4) 23 cos(2x2) 23 sin(2x 3 )22(n)n 1y 2 s i n2x[ (n 1)](3)y ln x 1y 1x 1 xy ( 1)x 2y(4) ( 1)( 2)x 3(n)( 1)( 2)( 3)( n 2)x n 1( 1)n 2 (n 2)!( 1)n (n 2)!y x n 1x n 1 (4)y e x xe xy e x e x xe x 2e x xe xy 2e x e x xe x 3e x xe xy(n) ne x xe x e x(n x)9求下列函数所指定的阶的导数(1)y e x cos x 求 y(4)(2)y xsh x 求 y(100)(3)y x2sin 2x 求 y(50) .所以所以xv cos x有解 (1)令 u eu u u u(4)e xv sin x v cos x v sin x v(4)cos xy(4)u(4) v4u v6u v4u v u v(4)e x[cos x4(sin x)6(cos x)4sin x cos x] 4e x cos x(2)令 u x v sh x则有u 1 u0v ch x v sh x(99)ch x(100)sh xv vy(100) u(100) v C1 u(99)v C2u(98)v C 98 u v(98)C99 u v(99)u v(100) 100100100100(3)令 u x2u 2xv(48)100ch x xsh xv sin 2x 则有u 2 u0248 sin(2x 48 )248 s i n2x2v(49)249cos 2x v(50)250sin 2x所以y(50)u(50)v C1501u(49) v C502u(48) v C5048u v(48) C5049u v(49) u v(50) C5048u v(48) C5049u v(49) u v(50)50 492 228 sin 2x50 2x 249 c o 2sx x2 (250 s i n2x)250x 2sin 2x50xc o 2sx1 2 2 52 (2s i n2x)习题241求由下列方程所确定的隐函数 y 的导数dydx(1)y2 2x y 9 0(2)x3 y3 3axy 0(3)xy e x y(4)y 1 xe y解 (1)方程两边求导数得-----2y y 2y 2x y 0于是(y x)y yyyy x(2)方程两边求导数得3x 2 3y 2y 2ay 3axy 0于是(y 2 ax)y ayx 2yay x 2y2ax(3)方程两边求导数得y xy e x y (1 y )于是(x e x y )y e x y ye x yyyx e x y(4)方程两边求导数得y e y xe yy于是(1 xe y )y e yyey1 xey222在点 ( 2a, 2a) 处的切线方程和法线方程2 求曲线 x3y 3a34 4解 方程两边求导数得 2 x31 13 2y 3 y 031于是yx31y3在点 (2a,2a) 处 y 144所求切线方程为y2a ( x2a) 即 x y 2 a442所求法线方程为y2a (x2a) 即 x y 04423 求由下列方程所确定的隐函数 y 的二阶导数d ydx22 2(1) x y 1(2) b 2x 2 a 2y 2 a 2b 2 (3) y tan(x y)(4) y 1 xe y解 (1)方程两边求导数得2x 2yy 0yx yy ( x)y xxy xy y y 2x 21yy 2y 2y 3 y 3(2)方程两边求导数得2b 2 x 2a 2 yy 0yb 2 xa2yy x( b 2 x)b 2 y xy b 2 a 2 y ya2y2a2y 2b 2 a 2 y 2 b 2 x 2b 4a2a 2 y3a 2 y3(3)方程两边求导数得y sec 2(x y) (1 y )2y)1y s e c( x2y) 2y) 11 s e c(xc o s( x2y)21s i n(xc o s(x y)12y)y 2s i n( xy23 y23( 112 )2(1 y 2 )y 5yyy(4)方程两边求导数得yyy e xe y-----yeyeyey1 xe y1 (y 1)2 yye y y (2 y) e y ( y ) e y (3 y) y e 2 y (3 y)(2 y)2(2 y)2(2 y)34 用对数求导法求下列函数的导数(1) y ( x )x1 x (2) y5x 525 x2(3) yx 2(3 x)4( x 1)5(4) y xsin x 1e x解 (1)两边取对数得ln y xln|x| xln|1 x|,两边求导得1 y ln x x 1 l n1( x) x 1y x 1 x 于是y ( x)x[ l nx1 ]1 x 1 x 1x(2)两边取对数得ln y1ln |x 5|1l nx(22)两边求导得5251 y1 1 12x2y5 x 525 x 2于是y 1 5x 5[11 2x ]5 5 x 2 2x 5 5 x 2 2(3)两边取对数得ln y1l nx( 2) 4 l n3( x) 5l n x( 1)2两边求导得1 y 1 3 45y 2(x 2)x x 1于是yx 2(3x)4 [ 12)4 5 ](x 1)52(x x 3 x 1(4)两边取对数得ln y1ln x1ln s i nx1l n1( e x )两边求导得22 41 y1 1 c o xte xy 2x24(1 e x )于是yxs i nx 1 e x[11c o xte x]2x 2 4(1 e x )1 x 22c o tx e x ]4 xs i nx 1 e [ x e x1 dy5求下列参数方程所确定的函数的导数dxx at 2(1)y bt2x (1 sin ) (2)ycos解 (1)dyy t 3bt 2 3b tdxx t 2at 2ady ycos sin(2) dx x 1 sincos6 已知xe tsin t, 求当 t 3 时 dy的值y e tcost. dx解dy y te t cost e t sin t costsin t dxx t e tsin t e tcost sintcostdy 1 3 1 3 当 t 时 2 2 3 2dx 1 3 1 3 32 27 写出下列曲线在所给参数值相应的点处的切线方程和法线方程(1)x sin t在 t处y cos2t4x3at (2)1 t 2在 t=2 处y 3at 21 t 2解 (1) dyy t2sin 2tdxx tcost-----dy 2sin(2)当 t时42 2 2 x02y0 0 dx4cos2242所求切线方程为y 2 2(x2) 即2 2x y 2 0 2所求法线方程为y1(x 2 )即 2x 4y1222(2) y t 6at (1t2 )3at 2 2t6at(1t 2 )2(1t 2 )2x t 3a(1t 2)3at2t3a3at 2 (1t 2 )2(1t 2)2dy y t6at2tdx x t3a3at 21t 2当 t 2 时dy 2 24x 6a ydx1223050所求切线方程为012a 5y12 a 4(x6a)即 4x 3y 12a 0535所求法线方程为y12 a3(x 6a)即 3x 4y 6a 0545d 2 y8求下列参数方程所确定的函数的二阶导数dx2 x t 2(1)2y 1 t. xacost(2)y bsin t(3)x3e t y2e t(4)x f t (t )设 f(t)存在且不为零y tf t (t) f (t)dy y t1 d 2 y(y x)t1解 (1)t 21 dx x t t dx2x t t t3(2) dy y tbcostbcot tdx x t asin t ab 2 d 2 y (y x )t a csc t b dx 2 x t asin ta 2 sin 3 tdy y t 2e t22t(3) dx x t3e t3ed 2y( y x )t2 2t3 2e4 3tdx 2x t3e te9 (4) dy y t f (t) tf (t) f (t)dx x tf (t)td 2 y ( y x )t 1dx 2x tf (t)9 求下列参数方程所确定的函数的三阶导数(1) x 1 t 2y t t3(2)x ln(1 t 2) y t arctan t解 (1)dy (t t 3)1 3t2dx (1 t 2 )2t1 3t 2d 2y ( 2t )1 ( 1 3) dx 22t4 t 3 t1 1 3d 3y 4 ( t 3t )3(1 t 2)dx 32t8t 5dy (t arctan t)11(2)1 t 21 tdx [ln(1 t 2)]2t 21 t21d 2 y ( 2t) 1 t 2 dx 22t 4t1 t 23d y-----1 t 2d 3 y ( 4t ) t 4 1dx 3 2t 8t 31t 210 落在平静水面上的石头 产生同心波纹 若最外一圈波半径的增大率总是6m/s 问在 2 秒末扰动水面面积的增大率为多少?解 设波的半径为 r 对应圆面积为 S 则 S r 2 两边同时对 t 求导得S t 2 rr当 t 2 时 r 6 2 12 r t 6故 S t t 22 126 144( 米 2 秒)| 其速率为 4m 2/min11 注水入深 8m 上顶直径 8m 的正圆锥形容器中 当水深为 5m 时 其表面上升的速度为多少?解水深为 h 时 水面半径为 r1 h 水面面积为 S 1 h 21hS 1 h 1 h 224水的体积为 Vh 33 34 12dV 12 3h 2dh dh 4 dVdt dt dt h 2 dt已知 h 5(m), dV 4 (m 3/min) 因此 dh 4 dV 4 4 16(m/min)dtdt h 2 dt252512 溶液自深 18cm 直径 12cm 的正圆锥形漏斗中漏入一直径为 10cm 的圆柱形筒中 开始时漏斗中盛满了溶液 已知当溶液在漏斗中深为 12cm 时 其表面下 降的速率为 1cm/min 问此时圆柱形筒中溶液表面上升的速率为多少?解 设在 t 时刻漏斗在的水深为 y 圆柱形筒中水深为 h 于是有1 62 18 1r 2 y 52hy 3y3由 r得 r 代入上式得 6 18 31 62 18 1 ( y ) 2 y 23 3 3 5 h即162 18 1y 3 52 h 两边对 t 3 33求导得1 y2 y 52 h32t当 y 12 时 y t1 代入上式得1 122( 1) 16h t32 52 0.64 (cm/min).25。
第二章习题2-11. 证明:若lim n →∞x n =a ,则对任何自然数k ,有lim n →∞x n +k =a .证:由lim n n x a →∞=,知0ε∀>,1N ∃,当1n N >时,有n x a ε-<取1N N k =-,有0ε∀>,N ∃,设n N >时(此时1n k N +>)有n k x a ε+-<由数列极限的定义得 lim n k x x a +→∞=.2. 证明:若lim n →∞x n =a ,则lim n →∞∣x n ∣=|a|.考察数列x n =(-1)n ,说明上述结论反之不成立.证:lim 0,,.使当时,有n x n x aN n N x a εε→∞=∴∀>∃>-<而 n n x a x a -≤- 于是0ε∀>,,使当时,有N n N ∃>n n x a x a ε-≤-< 即 n x a ε-<由数列极限的定义得 lim n n x a →∞=考察数列 (1)nn x =-,知lim n n x →∞不存在,而1n x =,lim 1n n x →∞=,所以前面所证结论反之不成立。
3. 证明:lim n →∞x n =0的充要条件是lim n →∞∣x n ∣=0.证:必要性由2题已证,下面证明充分性。
即证若lim 0n n x →∞=,则lim 0n n x →∞=,由lim 0n n x →∞=知,0ε∀>,N ∃,设当n N >时,有0 0n n n x x x εεε-<<-<即即由数列极限的定义可得 lim 0n n x →∞=4. 利用夹逼定理证明:(1) lim n →∞222111(1)(2)n n n ⎛⎫+++ ⎪+⎝⎭ =0; (2) lim n →∞2!n =0. 证:(1)因为222222111112(1)(2)n n n n n n n n n n++≤+++≤≤=+而且 21lim0n n →∞=,2lim 0n n→∞=, 所以由夹逼定理,得222111lim 0(1)(2)n n n n →∞⎛⎫+++= ⎪+⎝⎭ . (2)因为22222240!1231n n n n n<=<- ,而且4lim 0n n →∞=, 所以,由夹逼定理得2lim 0!nn n →∞= 5. 利用单调有界数列收敛准则证明下列数列的极限存在. (1) x 1>0,x n +1=13()2n nx x +,n =1,2,…; (2) x 1x n +1,n =1,2,…;(3) 设x n 单调递增,y n 单调递减,且lim n →∞(x n -y n )=0,证明x n 和y n 的极限均存在.证:(1)由10x >及13()2n n nx x x =+知,有0n x >(1,2,n = )即数列{}n x 有下界。
习题 2—1 (A )1. 单项选择题。
(1) C解:'()(0)1(0)(0)3311(0)33limlimh h f h f f h f h hf →→----=--=-=-(2) A解:221112211111(1)21111(1)211limlimlim limlimlim x x x x x x x x x x x x xx x x +++---→→→→→→--==+=----==-+=---所以()f x 在x=1处不连续。
(3) C解:函数()f x 在x=0处可导,则函数在x=0处连续。
(00)()()lim lim x x f f x ax b b --→→-==+=2001(00)()(sin)0limlim x x f f x x x+→+→+===∴当b=0时,保证()f x 在x=0处连续; 又∵'0(0)(0)()(0)limlimx x f x f a x b bf a xx ---∆→∆→+∆-∆+-===∆∆;2'01sin(0)(0)(0)limlimx x x bf x f x f b xx+++∆→∆→∆-+∆-∆===∆∆,∴为保证()f x 在x=0处可导,a=b 。
2. 填空题。
(1)'02()f x析:'000000(2)()(2)()22()2limlimh h f x h f x f x h f x f x hh→→+-+-==(2)'05()f x - 析:'000000(5)()(5)()(5)5()5limlimh h f x h f x f x h f x f x hh→→----=-=--(3)'04()f x析:000'000000(3)()(3)()()()34()3limlimh h f x h f x h hf x h f x f x h f x f x h h →→+--+---⎡⎤=+=⎢⎥-⎣⎦(4)'2()()f x f x析:[][]22'()()()()()()2()()limlimx x f x x f x xf x x f x f x x f x f x f x x∆→∆→+∆-∆⎡⎤+∆++∆-⎣⎦==∆(5)13析:∵000''00000()()()()1()()03limlimx x f x k x f x xf x k x f x k kf x f x k x∆→∆→+∆-∆+∆-=∙==≠∆∴13k =(6)'02()f x α 析:00000()()()()limx f x x f x f x f x x xαα∆→+∆-+--∆=∆原式00000'''000()()()()()()2()limlimx x f x x f x f x x f x xxf x f x f x ααααααααα∆→∆→+∆--∆-=∙+∙∆-∆=+=(7)4 析:'2(/)v s t m s ==3. 用导数定义证明下列等式成立。
习题 2-21. 推导余切函数及余割函数的导数公式: (cot x )'=-csc 2x ; (csc x )'=-csc x cot x .解 x x x x x x x x 2sin cos cos sin sin )sin cos ()(cot ⋅-⋅-='=' x xx x x 22222c s c s i n 1s i n c o s s i n -=-=+-=. x x xx x x c o t c s c s i n c o s )s i n 1()(c s c 2⋅-=-='='.2. 求下列函数的导数: (1)1227445+-+=x x x y ; (2) y =5x 3-2x +3e x ; (3) y =2tan x +sec x -1; (4) y =sin x ⋅cos x ; (5) y =x 2ln x ; (6) y =3e x cos x ; (7)xx y ln =;(8)3ln 2+=xe y x ; (9) y =x 2ln x cos x ;(10)tt s cos 1sin 1++=;解 (1))12274()12274(14545'+-+='+-+='---x x x xx x y 2562562282022820x x x x x x +--=+--=---. (2) y '=(5x 3-2x +3e x )'=15x 2-2x ln2+3e x .(3) y '=(2tan x +sec x -1)'=2sec 2x +sec x ⋅tan x =sec x (2sec x +tan x ). (4) y '=(sin x ⋅cos x )'=(sin x )'⋅cos x +sin x ⋅(cos x )' =cos x ⋅cos x +sin x ⋅(-sin x )=cos 2x . (5) y '=(x 2ln x )'=2x ⋅ln x +x 2⋅x1=x (2ln x +1) .(6) y '=(3e x cos x )'=3e x ⋅cos x +3e x ⋅(-sin x )=3e x (cos x -sin x ).(7)22ln 1ln 1)ln (xx x xx x x x y -=-⋅='='. (8)3422)2(2)3ln (x x e x x e x e x e y x x x x -=⋅-⋅='+='. (9) y '=(x 2ln x cos x )'=2x ⋅ln x cos x +x 2⋅x1⋅cos x +x 2 ln x ⋅(-sin x )2x ln x cos x +x cos x -x 2 ln x sin x . (10)22)cos 1(cos sin 1)cos 1()sin )(sin 1()cos 1(cos )cos 1sin 1(t tt t t t t t t t s +++=+-+-+='++='.3. 求下列函数在给定点处的导数: (1) y =sin x -cos x , 求6π='x y 和4π='x y .(2)θθθρcos 21sin +=,求4πθθρ=d d .(3)553)(2x x x f +-=, 求f '(0)和f '(2) .解 (1)y '=cos x +sin x ,21321236s i n 6c o s 6+=+=+='=πππx y , 222224s i n 4c o s 4=+=+='=πππx y . (2)θθθθθθθθρcos sin 21sin 21cos sin +=-+=d d ,)21(4222422214c o s 44s i n 214πππππθρπθ+=⋅+⋅=+==d d . (3)x x x f 52)5(3)(2+-=', 253)0(='f , 1517)2(='f . 4. 以初速v 0竖直上抛的物体, 其上升高度s 与时间t 的关系是2021gt t v s -=.求:(1)该物体的速度v (t ); (2)该物体达到最高点的时刻. 解 (1)v (t )=s '(t )=v 0-gt . (2)令v (t )=0, 即v 0-gt =0, 得gv t 0=, 这就是物体达到最高点的时刻. 5. 求曲线y =2sin x +x 2上横坐标为x =0的点处的切线方程和法线方程. 解 因为y '=2cos x +2x , y '|x =0=2, 又当x =0时, y =0, 所以所求的切线方程为 y =2x , 所求的法线方程为x y 21-=, 即x +2y =0.6. 求下列函数的导数: (1) y =(2x +5)4 (2) y =cos(4-3x ); (3)23x e y -=; (4) y =ln(1+x 2); (5) y =sin 2x ; (6)22x a y -=; (7) y =tan(x 2); (8) y =arctan(e x ); (9) y =(arcsin x )2; (10) y =lncos x .解 (1) y '=4(2x +5)4-1⋅(2x +5)'=4(2x +5)3⋅2=8(2x +5)3. (2) y '=-sin(4-3x )⋅(4-3x )'=-sin(4-3x )⋅(-3)=3sin(4-3x ). (3)22233236)6()3(x x x xe x e x e y ----=-⋅='-⋅='. (4)222212211)1(11x x x x x x y +=⋅+='+⋅+='.(5) y '=2sin x ⋅(sin x )'=2sin x ⋅cos x =sin 2x .(6))()(21])[(22121222122'-⋅-='-='-x a x a x a y222122)2()(21xa x x x a --=-⋅-=-.(7) y '=sec 2(x 2)⋅(x 2)'=2x sec 2(x 2).(8)xxx x e e e e y 221)()(11+='⋅+='. (9) y '21arcsin 2)(arcsin arcsin 2x x x x -='⋅=.(10)x x x x x y tan )sin (cos 1)(cos cos 1-=-='⋅='.7. 求下列函数的导数: (1) y =arcsin(1-2x ); (2)211xy -=; (3)x e y x3cos 2-=;(4)xy 1arccos =;(5)xx y ln 1ln 1+-=;(6)x x y 2sin =;(7)x y arcsin =; (8))ln(22x a x y ++=; (9) y =ln(sec x +tan x ); (10) y =ln(csc x -cot x ). 解 (1)2221)21(12)21()21(11x x x x x y --=---='-⋅--='.(2))1()1(21])1[(21212212'-⋅--='-='---x x x y222321)1()2()1(21xx x x x --=-⋅--=-.(3))3)(3sin (3cos )2()3(cos 3cos )(2222'-+'-='+'='----x x e x x e x e x e y xxx x )3s i n 63(c o s 213s i n 33c o s 21222x x e x e x e xxx +-=--=---. (4)1||)1()1(11)1()1(1122222-=---='--='x x x x x x x y . (5)22)ln 1(2)ln 1(1)ln 1()ln 1(1x x x x x x x y +-=+--+-='.(6)222sin 2cos 212sin 22cos x x x x x x x x y -=⋅-⋅⋅='. (7)2222121)(11)()(11x x x x x x y -=⋅-='⋅-='. (8)])(211[1)(12222222222'+++⋅++='++⋅++='x a x a x a x x a x x a x y 2222221)]2(211[1xa x x a x a x +=++⋅++=.(9) x xx x x x x x x x y sec tan sec sec tan sec )tan (sec tan sec 12=++='+⋅+='. (10) x xx x x x x x x x y csc cot csc csc cot csc )cot (csc cot csc 12=-+-='-⋅-='.8. 求下列函数的导数: (1)2)2(arcsin x y =;(2)2tan ln x y =;(3)x y 2ln 1+=; (4)xe y arctan=;(5)y =sin n x cos nx ; (6)11arctan -+=x x y ;(7)x x y arccos arcsin =;(8) y =ln[ln(ln x )] ;(9)xx xx y -++--+1111;(10)xxy +-=11arcsin .解 (1)'⋅=')2(arcsin )2(arcsin 2x x y)2()2(11)2(a r c s i n 22'⋅-⋅=x x x 21)2(11)2(a r c s i n 22⋅-⋅=x x . 242a r c s i n2x x -=(2))2(2sec 2tan 1)2(tan 2tan 12'⋅⋅='⋅='x x x x x yx x x c s c 212s e c 2t a n 12=⋅⋅=.(3))ln 1(ln 121ln 1222'+⋅+=+='x x x y )(l n ln 2ln 1212'⋅⋅+=x x x x x x1ln 2ln 1212⋅⋅+=xx x 2ln 1ln +=.(4))(arctan arctan'⋅='x e y x)()(112arctan'⋅+⋅=x x e x)1(221)(11a r c t a n2a r c t a nx x e x x ex x +=⋅+⋅=. (5) y '=n sin n -1x ⋅(sin x )'⋅cos nx +sin n x ⋅(-sin nx )⋅(nx )' =n sin n -1x ⋅cos x ⋅cos nx +sin n x ⋅(-sin nx )⋅n=n sin n -1x ⋅(cos x ⋅cos nx -sin x ⋅sin nx )= n sin n -1x cos(n +1)x . (6)222211)1()1()1()11(11)11()11(11x x x x x x x x x x y +-=-+--⋅-++='-+⋅-++='. (7)222)(arccos arcsin 11arccos 11x x x x x y -+-='22)(a r c c o s a r c s i n a r c c o s 11x x x x +⋅-=22)(a r c c o s12x x -=π.(8))(ln ln 1)ln(ln 1])[ln(ln )ln(ln 1'⋅⋅='⋅='x x x x x y)l n (l n ln 11ln 1)ln(ln 1x x x x x x ⋅=⋅⋅=.(9)2)11()121121)(11()11)(121121(x x xx x x x x x x y -++--+--+--++-++='22111xx -+-=.(10)2)1()1()1(1111)11(1111x x x xx x x x x y +--+-⋅+--='+-⋅+--=' )1(2)1(1x x x -+-=. 9. 设函数f (x )和g (x )可导, 且f 2(x )+g 2(x )≠0, 试求函数)()(22x g x f y +=的导数. 解 ])()([)()(212222'+⋅+='x g x f x g x f y )]()(2)()(2[)()(2122x g x g x f x f x g x f '+'⋅+=)()()()()()(22x g x f x g x g x f x f +'+'=.10. 设f (x )可导, 求下列函数y 的导数dxdy : (1) y =f (x 2);(2) y =f (sin 2x )+f (cos 2x ).解 (1) y '=f '(x 2)⋅(x 2)'= f '(x 2)⋅2x =2x ⋅f '(x 2). (2) y '=f '(sin 2x )⋅(sin 2x )'+f '(cos 2x )⋅(cos 2x )'= f '(sin 2x )⋅2sin x ⋅cos x +f '(cos 2x )⋅2cos x ⋅(-sin x ) =sin 2x [f '(sin 2x )- f '(cos 2x )]. 11. 求下列函数的导数: (1) y =ch(sh x ); (2) y =sh x ⋅e ch x ; (3) y =th(ln x ); (4) y =sh 3x +ch 2x ; (5) y =th(1-x 2); (6) y =arch(x 2+1); (7) y =arch(e 2x ); (8) y =arctan(th x );(9)xx y 2ch 21ch ln +=; (10))11(ch 2+-=x x y解 (1) y '=sh(sh x )⋅(sh x )'=sh(sh x )⋅ch x . (2) y '=ch x ⋅e ch x +sh x ⋅e ch x ⋅sh x =e ch x (ch x +sh 2x ) .(3))(ln ch 1)(ln )(ln ch 122x x x x y ⋅='⋅='. (4) y '=3sh 2x ⋅ch x +2ch x ⋅sh x =sh x ⋅ch x ⋅(3sh x +2) .(5))1(ch 2)1()1(ch 122222x x x x y --=-⋅-='.(6)222)1()1(112422++='+⋅++='x x x x x y . (7)12)(1)(142222-='⋅-='x xx x e e e e y . (8)xxx x x x x y 222222ch 1ch sh 11ch 1th 11)th ()th (11⋅+=⋅+='⋅+=' xx x 222sh 211sh ch 1+=+=. (9))ch (ch 21)ch (ch 124'⋅-'⋅='x xx x yx x xx x sh ch 2ch 21ch sh 4⋅⋅-=x x x x x x x x 323ch sh ch sh ch sh ch sh -⋅=-=x xx x x x 33332th ch sh ch )1ch (sh ==-⋅=. (10)'+-⋅+-⋅+-='+-⋅+-=')11()11(sh )11(ch 2])11(ch [)11(ch 2x x x x x x x x x x y)112(sh )1(2)1()1()1()112(sh 22+-⋅+=+--+⋅+-⋅=x x x x x x x x . 12. 求下列函数的导数: (1) y =e -x (x 2-2x +3);(2) y =sin 2x ⋅sin(x 2); (3)2)2(arctan x y =;(4)n x x y ln =;(5)t t tt ee e e y --+-=;(6)x y 1cos ln =;(7)x ey 1sin 2-=; (8)x x y +=;(9) 242arcsin x x x y -+=;(10)212arcsin tt y +=.解 (1) y '=-e -x (x 2-2x +3)+e -x (2x -2) =e -x (-x 2+4x -5).(2) y '=2sin x ⋅cos x ⋅sin(x 2)+sin 2x ⋅cos(x 2)⋅2x =sin2x ⋅sin(x 2)+2x ⋅sin 2x ⋅cos(x 2).(3)2arctan 44214112arctan 222xx x x y +=⋅+⋅='. (4)121ln 1ln 1+--=⋅-⋅='n n n n x x n x nx x x xy . (5)2222)1(4)())(())((+=+---++='-----t t t t t t t t t t t t e e e e e e e e e e e e y . (6)x x x x x x x y 1tan 1)1()1sin (1sec )1(cos 1sec 22=-⋅-⋅='⋅='. (7))1(1cos )1sin 2()1sin (21sin 21sin 22x xx exe y x x -⋅⋅-⋅='-⋅='--x e x x1s i n 222s i n 1-⋅⋅=.(8))211(21)(21x x x x x x x y +⋅+='+⋅+=' xx x x +⋅+=412. (9)2arcsin )2(421214112arcsin 22x x x x x x y =-⋅-+⋅-⋅+='. (10)22222222)1()2(2)1(2)12(11)12()12(11t t t t t tt t t ty +⋅-+⋅⋅+-='+⋅+-=' )1(|1|)1(2)1()1(2)1(1222222222t t t t t t t +--=+-⋅-+=.。
第二章 导数与微分2.设f (x ) 在点x = x 0可导,把下面各题中的字母A 分别用一个关于f ' (x 0)的式子表示出来?(1) A =)()(lim00x f x f x x x x --→〔假定f ' (x 0) ≠ 0〕;(2) A =xx f x x f x x ∆-∆-→)()2(lim000;(3) x 0 = 0,f (0) = 0且A =xx f x )(lim 0→.解:(1) A =0lim→x )()(00x f x f x x --=0lim →x 0)()(1x x x f x f --=)('10x f (2) A =0lim →∆x (-2)xx f x x f ∆--∆-2)()2(00=-2f '(x 0)(3) A =0lim→x xx f )(=0lim →x x x f x x f )()(00-+=f '(x 0) 3.求曲线y = f (x )在点M 处的切线方程: (3) f (x ) = x 2, M(0, 0).解: 因为f ' (x )=2x , 从而f '(0)=0,因此, 所求切线方程为y -0= f '(0)(x -0), 即y =0. 5. 求曲线y = x 3 + x 上的与直线y = 4x 平行的切线.解: 与直线y = 4x 平行的切线的斜率为4. 因此y ' = 3x 2+1 = 4, 从中求出切点的横坐标x =±1. 把它们代入曲线方程y = x 3 + x , 求出切点的纵坐标为2和 -2, 即切点为(1, 2) 和 (-1, -2). 因此, 所求切线方程为: 4x – y -2 = 0 和4x – y +7 = 0. 6.设()⎩⎨⎧≥+<=0,0,sin x b ax x x x f . 讨论a, b 取何值时,f (x )在点x = 0处可导. 解:因为f (x )在x = 0处可导,所以f (x )在x 0lim →x (f (x )-f (0))=0, 即lim →x [(ax +b )-b ]=0且 0lim →x [sin x -b ]=0.由此推出b = 0.又,由于f (x )在x = 0处可导,所以下面极限存在且相等lim→x 0)0()(--x f x f =+→0lim x 0)0()(--x f x f =-→0lim x 0)0()(--x f x f . 因为+→0lim x 0)0()(--x f x f =+→0lim x xbb ax -+= a ,-→0lim x xb x -sin =-→0lim x x xsin =1(因为b =0) 所以a =1.总之, 当a =1, b =0时f (x )在x = 0处可导. 8. 讨论以下函数在x = 0处的连续性和可导性:(1)y = | sin x |; (2) y = 00,,01sin 2=≠⎪⎩⎪⎨⎧x x xx . 解:(1)因为0lim →x |sin x |-sin0| =0lim →x |sin x | = 0, 所以函数y = |sin x |在x =0处连续.又因为在x =0处的坐导数-→0lim x 0|0sin ||sin |--x x =-→0lim x 0|sin |-x x = -1, 在x =0处的右导数 +→0lim x 0|0sin ||sin |--x x =+→0lim x 0|sin |-x x =1, 可见左右导数不相等, 所以函数y =|sin x |在x =0处的导数不存在, 即不可导.(2)因为0lim →x x 2sinx 1-0=0lim →x sin x1=0, 所以函数y 在x =0处连续. 又因为0lim→x 01sin 2--x x x =0lim →x x sin x 1=0, 所以函数y 在x = 0处可导.2. 求以下函数的导数: (6) x x x y -=ln ; (8) 21arctan xxy +=. 解: (6) y = x ln x - xy '= ln x + x x1-1= ln x. (8) y =21arctan x x+y '=222222)1()1(2)1(arctan )1(11x x x x x ++--++=4222)1(arctan 2)1(x x x x +++.3. 求以下函数在给定点处的导数: (3) ()ttt f --=11,求()4f '; (4) ()5532x x x f +-=,求()0f '和()2f '. 解: 因为f '(t ) = (t+11) '=2)1(211t t +-=-2)1(21t t +,所以, f '(4) = -361. (4) 因为f '(x ) = 3⨯2)5(1x --+52x ,所以, f '(0) = -253, f '(2) = 157.1. 求以下反函数的导数:(2) 22arctan ⎪⎭⎫ ⎝⎛=x y ; (4) 212arcsin t t y +=. 解: (2) y '= 2arctan2x 2)2(121x +=244x +arctan 2x (4) y ' =22)12(11t t +-·222)1(22)1(2t t t t +⋅-+ =2222222)1()1()1(22t t t t ++-- =|1|)1()1(2222t t t -+-= ⎪⎩⎪⎨⎧>+-<+1,121,122222t tt t 2. 求以下复合函数的导数:(2) x x y 22cos cos +=; (4) x y ln ln =; (6) ()22ln a x x y -+=;(8) xx y 2sin =; (10) ()x x y cot csc ln -=; (12) xx y cos =. 解: (2) y '= -sin x 2 2x + 2cos(sin x ) = -2x sin x 2 - sin2x.(4) y ' =x ln 1·x 1=xx ln 1. (6) y ' =221ax x -+·(1+2222ax x -).=222222ax x a x xa x -+-+-=221a x -.(8) y ' =22sin 2cos 2x x x x -⋅=22sin 2cos 2x xx x -.(10) y ' =xx cot csc 1-(-c o txc ss x +c s c 2x ) = csc x.(12) y ' = (e cos x ln x ) '= e cos x ln x (-sin x ln x + cos x ·x 1) = x c os x (-sin x ln x +xxcos ).3. 假设()x f ''存在,求以下函数y 的二阶导数22d d xy:(1) ()2x f y =; (2) ()[]x f y ln =. 解: (1) y = f (x 2)dxdy= f '(x 2)2x =2xf '(x 2), 22dxyd = 2f '(x 2) + 2xf ''(x 2)2x = 2f '(x 2)+4x 2f ''(x 2). (2) y = ln[f (x )]dx dy =)()('x f x f 22dx d y =)()(')(')()("2x f x f x f x x f -+=)()]('[)(")(22x f x f x f x f -.2. 求曲线323232a y x =+在点⎪⎪⎭⎫⎝⎛a a 42,42处的切线方程和法线方程. 解: x 32+ y 32= a 32 两端对x 求导得:32x 31-+32y 31-dxdy= 0,从中解出dx dy = - (xy )31, 所以dx dy|)42,42(a a = -1.故所求切线方程为: x + y -22a = 0, 所求法线方程为: x - y = 0. 7. 计算由⎪⎩⎪⎨⎧==ta y ta x 33sin cos 所确定的函数y = y (x )的二阶导数.解: dx dy =)sin (cos 3cos sin 322t t a t t a -⋅⋅= -tt cos sin = - ta n t , 22dx y d = -se c 2t ·)sin (cos 312t t a - =t t a sin cos 314 .1.x 的值从1=x 变到01.1=x ,试求函数x x y -=22的增量和微分. 解: ∆y = y (1.01) - y (1) = 2(1.01)2--(2-1) = 0.0302, d y = (4x -1)d x= (4⨯-1) ·-1)5. 计算以下函数的近似值: (2) 01.1ln .解: 设f (x ) = ln x , 取x 0 =1, x =1.01. 则∆x = x - x 0 -1= 0.01. 因为 f '(x )=x1, 从而f '(x 0) =1. 故ln 1.01 = ln x 0 + f '(x 0)∆x = ln 1 + 1·(0.01) = 0.01.总习题21. 利用导数的定义求导数: (2) 设()()1ln ≥<⎩⎨⎧+=x x x xx f ,求()0f '. (3) 设()0>≤⎩⎨⎧+=x x bax e x f x,假设函数f (x )在点x = 0处连续且可导,求系数a 和b . 解:(2) 因为f -'(x ) =-→0lim x 00--x x = 1, f +'(0) = +→0lim x xx 0)1ln(-+= 1, 故f '(0) =1.(3)由f (x )在x =0处连续,得0lim →x f (x )-f (0) =0, 即+→0lim x (ax +b )-1=-→0lim x e x -1=0. 从中求得b =1.因为f (x )在点x = 0处且可导,所以在点x = 0处左右导数存在且相等, 而f -'(0) =-→0lim x x e x 1-=1, f +'(0) = +→0lim x xax 1-= a , 故a =1.总之a =1, b =1.5. 证明题:〔1〕 设()x f 是可导函数,试证: 假设()x f 为偶函数时,则()x f '为奇函数;假设()x f 为奇函数时,则()x f '为偶函数.〔2〕 验证函数22x x y -=满足关系式013=+''y y .证明: (1)因为f (x )为偶函数,所以f (-x ) = f (x ). 因为()x f 是可导函数,可上式两端对x 求导得 -f '(-x ) = f '(x ), 即f '(-x ) = -f '(x ), 这说明了f '(x )为奇函数.当f (x )为奇函数时, f (-x ) = -f (x ). 可上式两端对x 求导得 -f '(-x ) = -f '(x ), 即f '(-x ) = f '(x ), 这说明了f '(x )为为偶函数。
A 新课程标准数学必修2第二章课后习题解答第二章 点 、直线、平面之间的位置关系2.1空间点、直线、平面之间的位置关系练习(P43) 1、D ; 2、(1)不共面的四点可确定4个平面;(2)共点的三条直线可确定1个或3个平面 3、(1)× (2)√ (3)√ (4)√4、(1)A ∈α,B ∉α; (2)M ∉α,M ∈a ; (3)a ⊂α a ⊂β练习(P48) 1、(1)3条。
分别是BB ’,CC ’,DD ’. (2)相等或互补2、(1)∵BC ∥B ’C ’,∴∠B ’C ’A’是异面直线A ’C ’与BC 所成的角。
在RT △A ’B ’C ’中,A ’B ’,B ’C ’B ’C ’A ’=45°.因此,异面直线A ’C ’与BC 所成的角为45°(2)∵AA ’∥BB’,∴∠B ’BC ’是异面直线AA ’与BC ’所成的角。
在RT △B ’BC ’中,B ’C ’BB ’=AA=2,∴BC ’=4,∠B ’BC ’=60°.因此,异面直线AA ’与BC ’所成的角为60°练习(P49) B练习(P50)三个平面两两相交,它们的交线有一条或三条习题2.1 A 组(P51)1、图略 2、图略3、(1)√ (2)× (3)√ (4)× (5)×4、(1)θ, (2)8, (3)2, (4)平行或在这个平面内, (5)b ∥平面α或b 与α相交, (6)可能相交,也可能是异面直线。
5、两条平行直线确定一个平面,第三条直线有两点在此平面内,所以它也在这个平面内。
于是,这三条直线共面。
6、提示:利用平行关系的传递性证明AA ’∥CC ’,又利用相等关系的传递性证明AA ’=CC ’,因此,我们可得平行四边形ACC ’A ’,然后由平行四边形的性质得AB=A ’B ’,AC=A ’C ’,BC=B ’C ’,因此,△ABC ≌△A ’B ’C ’。
第一本在线课程配套教材,“十三五”普通高等教育本科国家级规划教材,国防科技大学朱健民、李建平主编,高等教育出版社出版的 《高等数学》教材课后习题解答.这些课后习题都是非常经典的,学习高数课程应知应会,必须熟练掌握的基本典型练习题,不管是对于课程学习、还是考研、竞赛等相关内容的学习、复习、备考,都应该逐题过关!参考习题解答列表第一章 映射与函数习题1.1 《集合与映射》部分练习参考解答习题1.2 《函数》部分练习参考解答习题1.3 《曲线的参数方程与极坐标方程》部分练习参考解答第二章 数列极限与数值级数习题2.1 《数列极限的概念与性质》部分练习参考解答习题2.2 《数列收敛的判定方法》部分练习参考解答习题2.3 《数值级数的基本概念与性质》部分练习参考解答习题2.4-《同号级数的敛散性判别方法》部分习题参考解答习题2.5-《变号级数收敛性判别方法》部分习题参考解答第三章 函数极限与连续习题3.1-《函数极限的概念》部分习题参考解答习题3.2-《函数极限运算法则及存在性的判定准则》部分习题及参考解答 习题3.3-《无穷小的比较与渐近线》练习题及参考解答习题3.4-《函数的连续性与间断点》练习题及参考解答第四章 导数与不定积分习题4.1 《导数的概念及基本性质》练习题及参考解答习题4.2-《导数的计算》专题练习及参考解答习题4.3-《一元函数的微分》专题练习与参考解答习题4.4-《变化率与相关变化率》专题练习与参考解答习题4.5-《不定积分基本概念、性质和基本计算》专题练习与参考解答 第五章 导数的应用习题5.1-《极值与最优化》专题练习专题练习与参考解答习题5.2-《微分中值定理及其应用》专题练习专题练习与参考解答习题5.3-《泰勒公式及其应用》专题练习与参考解答习题5.4-《函数单调性与凹凸性及其应用》专题练习及参考解答习题5.5-《曲率》专题练习及参考解答第六章 定积分及其应用习题6.1-《定积分基本概念与性质》专题练习及参考解答习题6.2-《变限积分及其应用》专题练习及参考解答习题6.3-《不定积分与定积分》专题练习及参考解析习题6.4 -《定积分的应用》专题练习及其参考解析习题6.5 -《反常积分》专题练习及其参考解析第七章 常微分方程习题7.1-《微分方程的基本概念》专题练习与参考解答习题7.2-《一阶微分方程》专题练习及参考解答习题7.3 -《可降阶微分方程》专题练习及参考解答习题7.4 -《线性微分方程》专题练习及参考解答第八章 空间解析几何习题08-01 《向量及其运算》专题练习与参考解答习题08-02 《空间平面与直线》专题练习与参考解答习题08-03-《空间曲面及其方程》专题练习与参考解答习题08-04-《空间曲线及其方程》专题练习与参考解答第九章 向量值函数的导数与积分习题09-123-《向量值函数》专题练习与参考解析第十章 多元函数的导数及其应用习题10-01-《多元函数基本概念与性质》专题练习与参考解答习题10-02《偏导数与全微分》专题练习与参考解答习题10-03 《多元复合函数和隐函数求偏导》专题练习与参考解答习题10-04 《方向导数与梯度、泰勒公式》专题练习与参考解析习题10-05《多元函数的极值与最值》专题练习,知识点与典型习题视频解析 第十一章 重积分习题11-01 《重积分基本概念与性质》专题练习与参考解答习题11-02 《重积分直角坐标计算法》专题练习及典型习题视频解析习题11-03 《重积分的柱坐标、球坐标、换元法》专题练习与参考解答 习题11-04 《重积分的应用》专题练习与参考解答第十二章 曲线积分与曲面积分习题12-01《曲线积分的基本概念与计算》专题练习及参考解答习题12-02《格林公式、积分与曲线无关》专题练习与参考解答习题12-03 《曲面积分的基本概念、基本计算》专题练习与参考解答习题12-04 《高斯公式与斯托克斯公式》专题练习与参考解答第十三章 幂级数与傅里叶级数习题13-01《幂级数及其展开》专题练习与参考解答习题13-02 《傅里叶级数及其收敛性》内容总结、视频解析与专题练习。
第二章 极限与连续例1 对于数列}{n x ,若)(,),(,212∞→→∞→→-k a x k a x k k ,证明 )(,∞→→n a x n 证明:,0>∀ε因为),(,12∞→→-k a x k 所以存在正整数1K ,当1K k >时,有ε<--||12a x k (1)因为),(,2∞→→k a x k 所以存在正整数2K ,当2K k >时,有ε<-||2a x k (2)取}2,12m ax {21K K N -=,则当N n >时,(1)、(2)同时成立。
若1112},12{K K N n k n >-≥>-∈,ε<-||a x n 若222},2{K K N n k n >≥>∈,ε<-||a x n 所以,0>∀ε,N ∃当N n >时,ε<-||a x n 成立, 由定义得 )(,∞→→n a x n 。
例 2 设Λ,,21x x 是使不等式),2,1(,41)1(,101Λ=>-<<+n x x x n n n 成立的任何实数,证明:.21lim =∞→n n x 证明:因为,41)1(,≤-∈∀x x R x 因此,)1()1(1+-<-n n n n x x x x 又由 1<n x 知,,01>-n x 所以,1+<n n x x 故数列}{n x 单调递增维向量有上界1,故n n x ∞→lim 存在。
设,lim a x n n =∞→则由41)1(1>-+n n x x 知,a 必满足,41)1(≥-a a 于是必有,21=a 即.21lim =∞→n n x例3 .][lim nnx n ∞→解:因为,][nx nx nx ≤<-1即,][x nnx n x ≤<-1由夹逼定理可得.][lim x nnx n =∞→例4 .!!limn p np n ∑=∞→1解:因为 ,!)!1(2!)!1()!2)(2(!!1n n n n n n p n np +-<+-+--<<∑=所以 ,!)!(!!11211+-<<∑=n n n p np .!!lim 11=∑=∞→n p np n例5 利用定义证明34lim 5=+→x x 。
第二章 极限与连续1.用“N ε-”定义 来验证下列极限: (1)limn →∞=; (2)323lim212n n n →∞-=+;(3)lim 0n →∞=; (4)lim1n n→∞=;(5)lim 1(0)n a →∞=>; (6)lim 1n →∞=.解答:(1)对任意0ε>(无论它多么小,下同),要使0ε-<,只要24n ε>,故可取24[1]N ε=+。
则对任意0ε>,存在24[1]N ε=+,当n N >时,0ε-<,故由极限定义limn →∞=。
(2)对任意0ε>,要使323212n n ε--<+,只要7142n ε>-,故可取71m ax(,1)42N ε=-。
则对任意0ε>,存在71m ax(,1)42N ε=-,当n N >时,323721242n n n ε--=<++,故由极限定义323lim212n n n →∞-=+。
(3)对任意0ε>ε<=<21n ε>,故可取21[1]N ε=+。
则对任意0ε>,存在21[1]N ε=+,当n N >时,ε-=<<,故由极限定义lim 0n →∞=。
(4)对任意0ε>1ε-<11n-=<,只要1n ε>,故可取1[1]N ε=+。
则对任意0ε>,存在1[1]N ε=+,当n N>时,1111nNε=<<<,故由极限定义lim1n n→∞=。
(5)1a =时显然;1a >时,记1n r =,则(1)nn n a r nr =+>,对任意0ε>,1ε-<,只要1n a r n=-<,即an ε>,故可取[1]aN ε=+,当n N >时,1ε-<,由极限定义lim1,(1)n a →=>;01a <<时,类似证明。
高等数学练习题第二章及答案练习2.1.11. 用定义求函数1y x=在2x =处的导数. 解(1)求函数的改变量 0011()()222(2)xy f x x f x x x -∆∆=+∆-=-=+∆+∆; (2)算比值12(2)y x x ∆-=∆+∆, (3)取极限 0011lim lim 2(2)4x x y y x x ∆→∆→∆-'===-∆+∆.即 1(2)4f '=-. 2.求抛物线2y x =在点(2,4)P 处的切线方程. 解 所求切线斜率24x k y ='==由点斜式 44(2)y x -=- 所求切线方程为 440x y --=(1)32ln 5y x x =-+,求y '; 解 216y x x'=-(2)x y xe ,求1x y =' 解x x y e xe '=++,1122x y e ='=+(3)134y x =-,求2x y =-' 解 23(34)y x -'=-,23100x y =-'=- 求下列函数的导数并利用软件进行验证.(1) x y e -=+;解 xy e-'=-验证:利用操作面板在输入窗格输入(()de x dx↑-+,点击输入得解.(2)2ln(1)y x =+ ; 解 221x y x '=+验证:利用操作面板在输入窗格输入(ln(12))dx dx+↑,点击输入得解.(3)y . 解y '==验证:利用操作面板在输入窗格输入ddx,点击输入得解 求下列各隐函数的导数: (1)2249x y +=; 解 方程两边同时对x 求导,得 820x y y '+⋅= 4x y y'=-(2)32x xy y =+; 解 方程两边同时对x 求导,得 222ln 22ln 233x xy y xy y y y x y -'''+=+=-(3)25y xy x e -+=解 方程两边同时对x 求导,得 220y yx yy xy x e y y x e -'''+-+⋅==+求下列函数的二阶导数 (1)225y x x =+-; 解 41y x '=+ 4y ''= (2)ln(1)y x =+ 解 2111(1)y y xx -'''==++1. 求函数()25y x =+在1,0.01x x =∆=时函数的增量及微分. 解 ()22[10.015](15)36.1201360.1201y ∆=++-+=-==,()1110.010.010.01d 2(5)260.010.12x x x x x x y f x x x x ===∆=∆=∆='=⋅∆=+⋅∆=⨯⨯=2.求下列函数的微分(1)22235y x x =-+;解 ()34d d (6)y f x x x dx x'==+ (2)23sin y x x -=;解 ()32d d (6sin 3cos )y f x x x x x x dx --'==-+ (3)()cos 43y x =-.解 ()d d sin(43)(3)3sin(43)y f x x x dx x dx '==--⋅-=-练习2.2.1 求下列函数的单调区间(1)()3f x x =;解 函数3y x =的定义域为 (,)-∞+∞,且230y x '=≥ 所以函数3y x =在(,)-∞+∞上单调递增. (2)22ln y x x =-;解 函数的定义域为(0,)+∞,241x y x -'=,令0y '=,得12x =±(舍负)当1(0,)2x ∈时,0y '<,所以1(0,)2为单减区间. 当1(,)2x ∈+∞时,0y '>,所以1(,)2+∞为单增区间.(3)y =解 函数的定义域为 (,)-∞+∞,y '=,当0x =时,y '不存在.当(,0)x ∈-∞时,0y '<,所以(,0)-∞为单减区间.当(0,)x ∈+∞时,0y '>,所以(0,)+∞为单增区间.1.求下列函数的极值点和极值: (1)22y x x =+-;解 函数的定义域为 (,)-∞+∞,12y x '=-,令0y '=,解得12x =. 列表得:所以 12x =为函数的极值点,函数的极大值19()24f =. (2) 43341y x x =-+;解 函数的定义域为 (,)-∞+∞,212(1)y x x '=-,令0y '=,解得10x =,21x =. 列表得因此,函数的极小值为()10f =.2. 欲做一个底为正方形,容积为3108m 的开口容器怎样做法用料最省.解 设所求容器底面边长为x ,容器高为h .则2108h x=. 表面积224324S x xh x x =+=+,24322S x x'=-,令0S '=,得6x =由于驻点唯一,而由实际问题知道面积的最大值存在,因此驻点就是最小值点.即当容器底面边长为6m ,高为3m 时容器用料最省.练习2.2.41.设某商品的需求函数为1000100Q P =-,求需求量300Q =时的总收益、平均收益、边际收益.【解】由题设有10010QP -=,则总收益函数为: 2100110)10010()(Q Q Q Q QP Q R -=-⋅==于是,平均收益函数为Q Q Q R Q R 100110)()(-==,边际收益函数为Q Q R 50110)(-='. 当300Q =时,2100)300(=R ,7)300(=R ,4)300(='R . 2. 设某商品的成本函数为Q Q Q C 503.0100)(2+-=求(1)边际成本函数;(2)Q =30单位时的边际成本并解释其经济意义. 【解】(1)边际成本函数为:Q Q C 6.050)(-='(2)32306.050)(30=⨯-='=x Q C则当产量Q =30时的边际成本为32,其经济意义为:当产量为30时,若再增加(减少)一个单位产品,总成本将增加(减少)32个单位.3. 设某商品的需求函数为5PQ e-=(1)求需求弹性函数;(2)求3,5,6P P P ===时的需求弹性;(3) 当6P =时,若价格上涨1%,总收益增加还是减少?将变化百分之几? 【解】(1)因为515PQ e -=-,故需求弹性函数为()P E Q P Q '=-⨯5515PP e P e ---=-⋅=5P(2) 3P E = 0.6=,5P E = 1=,6 1.2P E ==3P E = 0.6=,表明当3P =时,价格上涨1%,需求量减少0.6%; 5P E = 1=,表明当5P =时,价格上涨1%,需求量减少1%; 6 1.2P E ==,表明当6P =时,价格上涨1% ,需求量减少1.2%.(3)6P E = 1.21=>,故价格上涨,总收益减少.总收益的价格弹性11 1.20.2RP E E =-=-=-. 故当6P =时,若价格上涨1%,总收益减少0.2%.。