推荐-清华附中2018-2018高三下数学(理)统练2答案 精品
- 格式:doc
- 大小:244.28 KB
- 文档页数:4
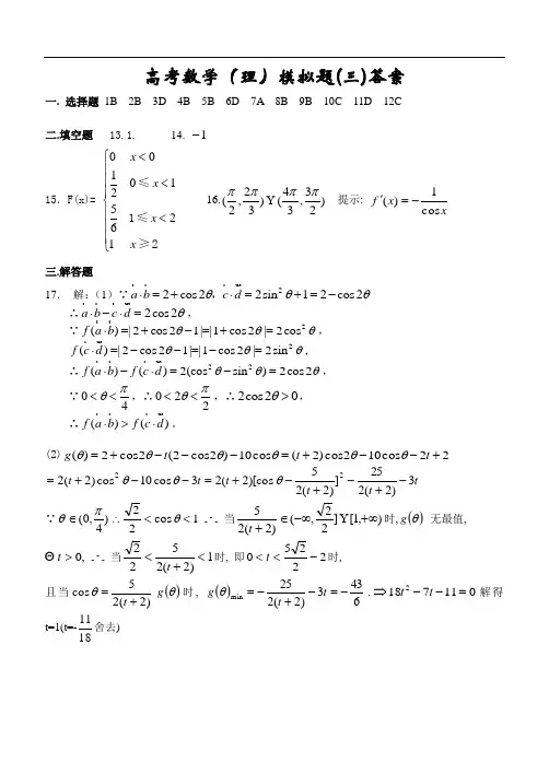
高考数学(理)模拟题(三)答案一. 选择题 1B 2B 3D 4B 5B 6D 7A 8B 9B 10C 11D 12C二.填空题 13.1. 14. 1-15.F(x)= 0010125261x x x x <⎧⎪⎪<⎪⎨⎪<⎪⎪⎩≤1≤≥2 16.)23,34()32,2(ππππ 提示: x x f cos 1)(-=' 三.解答题17. 解:(1)∵22cos2 2sin 12cos2a b c d ⋅=+⋅=+=-θθθ,∴2cos2a b c d ⋅-⋅=θ, ∵2()|2cos21||1cos2|2cos f a b ⋅=+-=+=θθθ,2()|2cos21||1cos2|2sin f c d ⋅=--=-=θθθ,∴22()()2(cos sin )2cos2f a b f c d ⋅-⋅=-=θθθ,∵04<<πθ,∴022<<πθ,∴2cos 20>θ,∴()()f a b f c d ⋅>⋅。
(2)22cos 102cos )2(cos 10)2cos 2(2cos 2)(+--+=---+=t t t g θθθθθθt t t t t t 3)2(225])2(25)[cos 2(23cos 10cos )2(222-+-+-+=--+=θθθ∵)4,0(πθ∈1cos 22<<∴θ∴当),1[]22,()2(25+∞-∞∈+ t 时,()θg 无最值, ,0>t ∴当1)2(2522<+<t 时, 即22250-<<t 时, 且当)2(25c o s +=t θ()θg 时, ()6433)2(225min -=-+-=t t g θ.0117182=--⇒t t 解得t=1(t=-1811舍去)18.解:(1) ξ~g (85,k ), ∴ ξ的分布列为85)1(==ηp , 3298683)2(=⨯==ηp ,25621878283)3(=⨯⨯==ηp 256388818283)4(=⨯⨯⨯==ηp .∴η的分布列为:(2)5=ξE 1280=,128018752562564256332281==⨯+⨯+⨯+⨯=ηE ∴ηξE E >,即甲取球的平均次数大于乙取球的平均次数.19.解:(1) 连结AO 并延长交BC 于点E, 因为O ABC ∆的重心, 所以E 为BC 的中点, 连结EC 1 ,连结AC 1 , 因为C C A 11∆的重心, 所以G 在AC 1 上, 易知321==AE AC AO AG ,所以OG//EC 1 , 又⊄OG 平面11BCC B ,⊂1EC 平面11BCC B .故GO//平面11BCC B(2) 显然平面GAO 就是平回C 1AE, 连结A 1O, 由已知⊥O A 1底面ABC, 过C 1作C 1H ⊥底面ABC,H 为垂足, 又过H 作AE HK ⊥,垂足为K, 连结C 1K,KH C 1∠∴ 为所求二面角的二面角的平面角. 过O 作AB OP ⊥,垂足为P, 在等腰ABC Rt ∆中,.23,900===∠AC AB BACAO=233232=⨯=AE ,2=AP , 又PA A Rt AB A 10160∆∴=∠ 中,· · AB C 1AB 1C 1G OEHK P221=A A .在OA A Rt 1∆中, 可求得22211=-=AO A A O A连结HO, 显然OH//AC, 且OH=AC=23,045=∠HOK,32tan ,345sin 1110===∠∴==∴HK O A HK H C KH C OH HK 32arctan1=∠∴KH C .因此, 所求二面角的大小为32arctan .20.(1)证明 设方程f (x )=0两个实根分别为,1()t t t Z +∈,则由题意有2224011(1)(1)()(1).44(1)a b t t a b a f a a t t b->⎧⎪++=-⇒=-⇒-=-⎨⎪+=⎩(2)证明 设方程f (x )=0两个实根分别为,,,1()m m m Z αβαβ<<+∈且, 则有2()0()(),f x x ax b x x αβ=++==--222|()||(1)||()()||(1)(1)|111()()()224f m f m m m m m m m m m αβαβααββ∴⋅+=--⋅+-+--++--++-≤= 所以必有11|()||(1)|,44f m f m ≤+≤或故在所给条件下存在整数k=m 或m+1,使得1|()|.4f k ≤21.解:(1)令1x =-,0y =,得(1)(1)(0)f f f -=-,(0)1f =,故1(0)1a f ==.当0x >时,0x -<,(0)()()1f f x f x =-=,进而得0()1f x <<. 设12,x x ∈R ,且12x x <,则210x x ->,21()1f x x -<,121121()()()()f x f x f x f x x x -=-+-121()[1()]0f x f x x =-->.故12()()f x f x >,函数()y f x =在R 上是单调递减函数.由11()(2)n n f a f a +=--,得1()(2)1n n f a f a +--=.故1(2)(0)n n f a a f +--=,120n n a a +--=,12n n a a +-=(n ∈N ) 因此,{}n a 是首项为1,公差为2的等差数列.由此得21n a n =-,∴40112006=a(2)由12111(1)(1)(1)n a aa +++≥,知111(1)(1)(1)a k+++≤恒成立. 设111(1)(1)(1)()a F n +++=,则()0F n >, 且111(1)(1)(1)(1)a F n ++++=又(1)1()F n F n +=>,即(1)()F n F n+>,故()F n 为关于n 的单调增函数,()(1)F n F≥=所以,k ≤即k 22. (1)解: 由巳知可设点P 的坐标为)sin 2,(cos θθ+)20(πθ<≤设),(),,(2211y x N y x M , x y 2-='∴过M 点切线方程为)(2111x x x y y --=-即⇒+-=-211122x x x y y ⇒--=-11122y x x y y 0211=++y y x x 因为点P 在切线上, 所以0sin 2cos 211=+++y x θθ即0sin 2cos 211=+++θθy x同理 0sin 2cos 222=+++θθy x可见点M 、N 在直线 0sin 2cos 2=+++θθy x 上∴直线MN 的方程为0sin 2cos 2=+++θθy x .(2) 若直线MN 能过抛物线E 的焦点, 抛物线E 的焦点F )41,0(-∴147sin 0sin 241-<-=⇒=++-θθ,矛盾. 故直线MN 不能过抛物线E 的焦点.(3) 先求圆心C(0,2) 到直线MN 的距离的最小值. 圆心C(0,2) 到直线MN 的距离1cos 4sin 41cos 4sin 22)(22++=+++=θθθθθd .令11,sin ≤≤-=t t θ.那么).11(,454)()(2≤≤--+==t tt d t f θ令0)45(516)(232=-+='t t t f .165-=⇒t 函数)(t f 的值的变化情况见下表:∴)(t f 最小=)(t f 极小= 10295)165(=-f . 即当165sin -=θ时,10295)(min =θd . ∴ 165sin -=θ时, 点P 到直线MN 的距离的最小值是 110295- .。
2017-2018学年高三(下)开学数学试卷(理科)一、选择题:本大题共8小题,每小题5分,共40分.在每小题给出的四个选项中,只有一项是符合题目要求的.1.集合A={y∈R|y=2x},B={﹣1,0,1},则下列结论正确的是()A.A∩B={0,1} B.A∪B=(0,+∞)C.(∁R A)∪B=(﹣∞,0)D.(∁R A)∩B={﹣1,0}2.命题“∃x∈R,2x+x2≤1”的否定是()A.∀x∈R,2x+x2>1,假命题B.∀x∈R,2x+x2>1,真命题C.∃x∈R,2x+x2>1,假命题D.∃x∈R,2x+x2>1,真命题3.已知a,b为实数,命题甲:ab>b2,命题乙:,则甲是乙的()A.充分不必要条件B.必要不充分条件C.充要条件 D.既不充分也不必要条件4.下列函数中既是奇函数又在区间,[﹣1,1]上单调递减的是()A.y=sinx B.y=﹣|x+1| C.D.y=(2x+2﹣x)5.设等差数列{a n}的前项和为S n,若,则S n+m=()A.0 B.(m+n)2C.﹣(m+n)2D.(m﹣n)26.若m是2和8的等比中项,则圆锥曲线x2+的离心率为()A.B.C.或D.或7.一只小球放入一长方体容器内,且与共点的三个面相接触.若小球上一点到这三个面的距离分别为4、5、5,则这只小球的半径是()A.3或8 B.8或11 C.5或8 D.3或118.已知C为线段AB上一点,P为直线AB外一点,I为PC上一点,满足||﹣||=4,|﹣|=10,,且=+λ(),(λ>0),则的值为()A.2 B.4 C.3 D.5二、填空题:本大题共7小题,多空题每题6分,单空题每题4分,共36分.9.若S n为等差数列{a n}的前n项和,S9=﹣36,S13=﹣104,则a5= ;S11= .10.一个多面体的三视图(单位:cm)如图所示,其中正视图是正方形,侧视图是等腰三角形,则该几何体的表面积为;体积为.11.函数y=log a x+1(a>0且a≠1)的图象恒过定点A,若点A在直线+﹣4=0(m>0,n>0)上,则+= ;m+n的最小值为.12.在平面直角坐标系xOy中,函数f(x)=asinax+cosax(a>0)的最小正周期为,在一个最小正周期长的区间上的图象与函数的图象所围成的封闭图形的面积是.13.已知点A(﹣1,0),点B(1,0),直线AM,BM相交于点M,且直线AM的斜率与直线BM的斜率的商是3,则点M轨迹是.14.已知函数,数列a n满足a n=f(n)(n∈N*),且a n是递增数列,则实数a的取值范围是.15.设实数x,y满足,则u=+的取值范围是.三、解答题:本大题共5小题,共74分.解答应写出文字说明、证明过程或演算步骤.16.如图所示,在四边形ABCD中,∠D=2∠B,且AD=1,CD=3,cos∠B=(1)求△ACD的面积;(2)若BC=2,求AB的长.17.如图,在四棱锥P﹣ABCD中,PA⊥AD,AB∥CD,CD⊥AD,AD=CD=2AB=2,E,F分别为PC,CD的中点,DE=EC.(1)求证:平面ABE⊥平面BEF;(2)设PA=a,若平面EBD与平面ABCD所成锐二面角,求a的取值范围.18.设a为非负实数,函数f(x)=x|x﹣a|﹣a.(Ⅰ)当a=2时,求函数的单调区间;(Ⅱ)讨论函数y=f(x)的零点个数,并求出零点.19.已知圆C的方程为x2+y2=4,过点M(2,4)作圆C的两条切线,切点分别为A,B,直线AB恰好经过椭圆的右顶点和上顶点.(1)求椭圆T的方程;(2)已知直线l与椭圆T相交于P,Q两不同点,直线l方程为,O为坐标原点,求△OPQ面积的最大值.20.对任意正整数n,设a n是方程x2+=1的正根.求证:(1)a n+1>a n;(2)++…+<1+++…+.参考答案与试题解析一、选择题:本大题共8小题,每小题5分,共40分.在每小题给出的四个选项中,只有一项是符合题目要求的.1.集合A={y∈R|y=2x},B={﹣1,0,1},则下列结论正确的是()A.A∩B={0,1} B.A∪B=(0,+∞)C.(∁R A)∪B=(﹣∞,0)D.(∁R A)∩B={﹣1,0}【考点】交集及其运算;并集及其运算;补集及其运算;指数函数的定义、解析式、定义域和值域.【分析】本题利用直接法,先利用指数函数的值域性质化简集合A,再求C R A,最后求出A、B的交、并及补集等即可.【解答】解:∵A={y∈R|y=2x}={y∈R|y>0},∴C R A={y∈R|y≤0},又B={﹣1,0,1},∴(C R A)∩B={﹣1,0}.故选D.2.命题“∃x∈R,2x+x2≤1”的否定是()A.∀x∈R,2x+x2>1,假命题B.∀x∈R,2x+x2>1,真命题C.∃x∈R,2x+x2>1,假命题D.∃x∈R,2x+x2>1,真命题【考点】命题的否定.【分析】直接利用特称命题的否定是全称命题写出结果,判断真假即可.【解答】解:因为特称命题的否定是全称命题,所以命题“∃x∈R,2x+x2≤1”的否定是:∀x∈R,2x+x2>1,当x=0时,不等式不成立,所以是假命题.故选:A.3.已知a,b为实数,命题甲:ab>b2,命题乙:,则甲是乙的()A.充分不必要条件B.必要不充分条件C.充要条件 D.既不充分也不必要条件【考点】充要条件.【分析】举反例a=2,b=1,可证甲不能推乙,由不等式的性质可证乙可推甲,由充要条件的定义可得.【解答】解:命题甲:ab>b2,不能推出命题乙:,比如当取a=2,b=1,当然满足甲,但推不出乙;若命题乙:成立,则可得a,b均为负值,且a<b,由不等式的性质两边同乘以b可得ab>b2,即甲成立,故甲是乙的必要不充分条件,故选B4.下列函数中既是奇函数又在区间,[﹣1,1]上单调递减的是()A.y=sinx B.y=﹣|x+1| C. D.y=(2x+2﹣x)【考点】奇偶性与单调性的综合.【分析】判断函数的奇偶性,以及函数的单调性推出结果即可.【解答】解:y=sinx是奇函数,但是,[﹣1,1]上单调增函数.y=﹣|x+1|不是奇函数,对于,因为f(﹣x)==﹣=﹣f(x),所以是奇函数,在[﹣1,1]上单调减函数,y=(2x+2﹣x)是偶函数,[﹣1,1]上单调递增.故选:C.5.设等差数列{a n}的前项和为S n,若,则S n+m=()A.0 B.(m+n)2C.﹣(m+n)2D.(m﹣n)2【考点】等差数列的前n项和.【分析】由等差数列及条件可设设S n=An2+Bn,再由S m=n,S n=m列方程求得A,B,然后求得S n+m【解答】解:设等差数列的前n项和为S n=An2+Bn,A、B为常数;则,两式相减得:(m2﹣n2)A+(m﹣n)B=n2﹣m2,∵m≠n,∴(m+n)A+B=﹣(m+n),∴S n+m=(n+m)2A+(n+m)B=(n+m)•[﹣(n+m)]=﹣(m+n)2.故选:C.6.若m是2和8的等比中项,则圆锥曲线x2+的离心率为()A.B.C.或D.或【考点】圆锥曲线的共同特征;等比数列的性质.【分析】先根据等比中项的性质求得m的值,分别看当m大于0时,曲线为椭圆,进而根据标准方程求得a和b,则c可求得,继而求得离心率.当m<0,曲线为双曲线,求得a,b和c,则离心率可得.最后综合答案即可.【解答】解:依题意可知m=±=±4当m=4时,曲线为椭圆,a=2,b=1,则c=,e==当m=﹣4时,曲线为双曲线,a=1,b=2,c=则,e=故选D7.一只小球放入一长方体容器内,且与共点的三个面相接触.若小球上一点到这三个面的距离分别为4、5、5,则这只小球的半径是()A.3或8 B.8或11 C.5或8 D.3或11【考点】球内接多面体.【分析】小球在长方体容器内,且与共点的三个面相接触,则小球的球心A到三个接触面的距离相等,小球上一点P到这三个面的距离分别为4、5、5,若以三个面的交点为坐标原点,分别以其中两个面的交线为坐标轴建立空间直角坐标系后,球心和小球上的点的坐标可知,向量和的坐标可求,由向量减法的三角形法则可得向量,向量的模就是小球的半径,由半径相等列式可求这只小球的半径.【解答】解:如图,设长方体的三个面共点为O,以OE,OF,OG所在直线分别为x轴,y轴,z轴建立空间直角坐标系,因为小球与共点的三个面相接触,所以设球心A(r,r,r),又因为小球上一点P到这三个面的距离分别为4、5、5,所以点为P(5,4,5),则=(r,r,r),=(5,4,5),由=(5﹣r,4﹣r,5﹣r).∴||2=(5﹣r)2+(4﹣r)2+(5﹣r)2=r2,即r2﹣14r+33=0,解得:r=3或r=11.故选D.8.已知C为线段AB上一点,P为直线AB外一点,I为PC上一点,满足||﹣||=4,|﹣|=10,,且=+λ(),(λ>0),则的值为()A.2 B.4 C.3 D.5【考点】平面向量数量积的运算.【分析】根据表示||cos∠APC=|||cos∠CPB,即∠APC=∠CPB,且=+λ(),(λ>0),表示I在∠BAP的角平分线上,即I是三角形ABP的内心,余下的问题就比较简单.【解答】解:由|﹣|=10,可得|AB|=10.由,可得||cos∠APC=|||cos∠CPB,即∠APC=∠CPB,即PC为∠APB的角平分线.由于I为PC上一点,=+λ(),(λ>0),表示点I在∠CAP的角平分线上,即I是三角形ABP的内心.而要求的式子表示的是在上的投影长度.过I做IK垂直于AB于K,则由圆的切线性质和题意可得|AK|﹣|BK|=4,|AK|+|BK|=10,解得|BK|=3即所求,故选C.二、填空题:本大题共7小题,多空题每题6分,单空题每题4分,共36分.9.若S n为等差数列{a n}的前n项和,S9=﹣36,S13=﹣104,则a5= ﹣4 ;S11= ﹣66 .【考点】等差数列的前n项和.【分析】由等差数列的前n项和列出方程组,求出首项和公差,由此能求出a5,S11.【解答】解:∵S n为等差数列{a n}的前n项和,S9=﹣36,S13=﹣104,∴,解得a1=4,d=﹣2,∴a5=a1+4d=4﹣8=﹣4,S11==11×4+×(﹣2)=﹣66.故答案为:﹣4,﹣66.10.一个多面体的三视图(单位:cm)如图所示,其中正视图是正方形,侧视图是等腰三角形,则该几何体的表面积为88cm2;体积为48cm3.【考点】由三视图求面积、体积.【分析】由三视图可知:该几何体是一个横放的直三棱柱,高为4,底面是一个等腰三角形,其高为4,底边长为6.据此即可计算出表面积和体积.【解答】解:由三视图可知:该几何体是一个横放的直三棱柱,高为4,底面是一个等腰三角形,其高为4,底边长为6.在Rt△ABD中,由勾股定理可得AB==5.∴该几何体的表面积S=4×5×2+4×6+2×=88cm2;V==48cm3.故答案为:88cm2,48cm3.11.函数y=log a x+1(a>0且a≠1)的图象恒过定点A,若点A在直线+﹣4=0(m>0,n>0)上,则+= 4 ;m+n的最小值为 1 .【考点】对数函数的图象与性质.【分析】利用对数的性质可得:函数y=log a x+1(a>0且a≠1)的图象恒过定点A(1,1),代入直线+﹣4=0(m>0,n>0)上,可得+=4,再利用“乘1法”和基本不等式的性质即可得出.【解答】解:当x=1时,y=log a1+1=1,∴函数y=log a x+1(a>0且a≠1)的图象恒过定点A(1,1),∵点A在直线+﹣4=0(m>0,n>0)上,∴+=4.∴m+n=(+)(m+n)=(2+m+n),≥(2+2)=1,当且仅当m=n=时取等号.故答案是:4;1.12.在平面直角坐标系xOy中,函数f(x)=asinax+cosax(a>0)的最小正周期为,在一个最小正周期长的区间上的图象与函数的图象所围成的封闭图形的面积是.【考点】三角函数中的恒等变换应用;定积分的简单应用;正弦函数的图象.【分析】(1)利用辅助角公式将函数进行化简,结合三角函数的图象和性质即可求函数f(x)的最小正周期(2)由三角函数的图象的对称性,把要求的面积转化为长度为,宽度为矩形的面积的一半来解决;或者利用定积分的意义转化为定积分来求解.【解答】解:(1)由f(x)=asinax+cosax(a>0)⇔f(x)=,其中∴f(x)的最小正周期(2)取长度为,宽度为矩形,根据三角函数的图象的对称性,所围成的封闭图形的面积为矩形的一半,∴=;所以:;故答案为:.13.已知点A(﹣1,0),点B(1,0),直线AM,BM相交于点M,且直线AM的斜率与直线BM的斜率的商是3,则点M轨迹是直线x=﹣2(除去点(﹣2,0)).【考点】轨迹方程.【分析】设M(x,y),先表示直线AM、BM的斜率,再利用斜率之商是3可得所求方程,即可得出结论.【解答】解:设M(x,y),因为直线AM的斜率与直线BM的斜率的商是3,所以k AM÷k BM=3,所以=3,(x≠±1,y≠0),整理得x=﹣2(y≠0),所以点M轨迹是直线x=﹣2(除去点(﹣2,0)).故答案为:直线x=﹣2(除去点(﹣2,0)).14.已知函数,数列a n满足a n=f(n)(n∈N*),且a n是递增数列,则实数a的取值范围是(2,3).【考点】分段函数的解析式求法及其图象的作法.【分析】由函数,数列a n满足a n=f(n)(n∈N*),且a n是递增数列,我们易得函数为增函数,根据分段函数的性质,我们可得函数在各段上均为增函数,根据一次函数和指数函数单调性,我们易得a>1,且3﹣a>0,且f(7)<f(8),由此构造一个关于参数a的不等式组,解不等式组即可得到结论.【解答】解:∵数列{a n}是递增数列,又∵a n=f(n)(n∈N*),∴1<a<3且f(7)<f(8)∴7(3﹣a)﹣3<a2解得a<﹣9,或a>2故实数a的取值范围是(2,3)故答案为:(2,3)15.设实数x,y满足,则u=+的取值范围是[,] .【考点】简单线性规划.【分析】画出约束条件表示的可行域,显然当x,y都取得最大值时u取得最小值,当u取得最大值时,点(x,y)必在可行域的边界上,此时根据基本不等式求出u的最大值.【解答】解:作出约束条件表示的可行域如图:由可行域可知当x=4,y=2时,u=取得最小值.当点(x,y)落在直线x+2y﹣5=0上某处时,u=取得最小值.此时,x+2y=5,2xy≤()2=.∴u=≥.当且仅当x=2y,即x=,y=时取等号.显然点()在可行域内.故答案为:[,].三、解答题:本大题共5小题,共74分.解答应写出文字说明、证明过程或演算步骤.16.如图所示,在四边形ABCD中,∠D=2∠B,且AD=1,CD=3,cos∠B=(1)求△ACD的面积;(2)若BC=2,求AB的长.【考点】解三角形.【分析】(1)利用已知条件求出D角的正弦函数值,然后求△ACD的面积;(2)利用余弦定理求出AC,通过BC=2,利用正弦定理求解AB的长.【解答】解:(1)因为∠D=2∠B,cos∠B=,所以cosD=cos2B=2cos2B﹣1=﹣.…因为∠D∈(0,π),所以sinD=.…因为AD=1,CD=3,所以△ACD的面积S===.…(2)在△ACD中,AC2=AD2+DC2﹣2AD•DC•cosD=12.所以AC=2.…因为BC=2,,…所以=.所以AB=4.…17.如图,在四棱锥P﹣ABCD中,PA⊥AD,AB∥CD,CD⊥AD,AD=CD=2AB=2,E,F分别为PC,CD的中点,DE=EC.(1)求证:平面ABE⊥平面BEF;(2)设PA=a,若平面EBD与平面ABCD所成锐二面角,求a的取值范围.【考点】用空间向量求平面间的夹角;平面与平面垂直的判定.【分析】(1)由题目给出的条件,可得四边形ABFD为矩形,说明AB⊥BF,再证明AB ⊥EF,由线面垂直的判定可得AB⊥面BEF,再根据面面垂直的判定得到平面ABE⊥平面BEF;(2)以A点为坐标原点,AB、AD、AP所在直线分别为x、y、z轴建立空间坐标系,利用平面法向量所成交与二面角的关系求出二面角的余弦值,根据给出的二面角的范围得其余弦值的范围,最后求解不等式可得a的取值范围.【解答】证明:如图,(1)∵AB∥CD,CD⊥AD,AD=CD=2AB=2,F为CD的中点,∴ABFD为矩形,AB⊥BF.∵DE=EC,∴DC⊥EF,又AB∥CD,∴AB⊥EF∵BF∩EF=F,∴AB⊥面BEF,又AE⊂面ABE,∴平面ABE⊥平面BEF.(2)解:∵DE=EC,∴DC⊥EF,又PD∥EF,AB∥CD,∴AB⊥PD又AB⊥PD,所以AB⊥面PAD,AB⊥PA.以AB所在直线为x轴,AD所在直线为y轴,AP所在直线为z轴建立空间坐标系,则B(1,0,0),D(0,2,0),P(0,0,a),C(2,2,0),E(1,1,)平面BCD的法向量,设平面EBD的法向量为,由⇒,即,取y=1,得x=2,z=则.所以.因为平面EBD与平面ABCD所成锐二面角,所以cosθ∈,即.由得:由得:或.所以a的取值范围是.18.设a为非负实数,函数f(x)=x|x﹣a|﹣a.(Ⅰ)当a=2时,求函数的单调区间;(Ⅱ)讨论函数y=f(x)的零点个数,并求出零点.【考点】函数单调性的判断与证明;函数零点的判定定理;分段函数的应用.【分析】(I)先讨论去绝对值,写成分段函数,然后分别当x≥2时与当x<2时的单调区间;(II)讨论a的正负,利用二次函数的单调性以及函数的极小值与0进行比较,进行分别判定函数y=f(x)的零点个数.【解答】解:(Ⅰ)当a=2时,,①当x≥2时,f(x)=x2﹣2x﹣2=(x﹣1)2﹣3,∴f(x)在(2,+∞)上单调递增;②当x<2时,f(x)=﹣x2+2x﹣2=﹣(x﹣1)2﹣1,∴f(x)在(1,2)上单调递减,在(﹣∞,1)上单调递增;综上所述,f(x)的单调递增区间是(﹣∞,1)和(2,+∞),单调递减区间是(1,2).(Ⅱ)(1)当a=0时,f(x)=x|x|,函数y=f(x)的零点为x0=0;(2)当a>0时,,故当x≥a时,,二次函数对称轴,∴f(x)在(a,+∞)上单调递增,f(a)<0;当x<a时,,二次函数对称轴,∴f(x)在上单调递减,在上单调递增;∴f(x)的极大值为,1°当,即0<a<4时,函数f(x)与x轴只有唯一交点,即唯一零点,由x2﹣ax﹣a=0解之得函数y=f(x)的零点为或(舍去);2°当,即a=4时,函数f(x)与x轴有两个交点,即两个零点,分别为x1=2和;3°当,即a>4时,函数f(x)与x轴有三个交点,即有三个零点,由﹣x2+ax﹣a=0解得,,∴函数y=f(x)的零点为和.综上可得,当a=0时,函数的零点为0;当0<a<4时,函数有一个零点,且零点为;当a=4时,有两个零点2和;当a>4时,函数有三个零点和.19.已知圆C的方程为x2+y2=4,过点M(2,4)作圆C的两条切线,切点分别为A,B,直线AB恰好经过椭圆的右顶点和上顶点.(1)求椭圆T的方程;(2)已知直线l与椭圆T相交于P,Q两不同点,直线l方程为,O为坐标原点,求△OPQ面积的最大值.【考点】直线与圆锥曲线的综合问题;椭圆的标准方程.【分析】(1)利用点到直线的距离公式,求得另一条切线方程,与圆方程联立,从而可得直线AB的方程,由此可求椭圆T的方程;(2)直线方程与椭圆方程联立,利用韦达定理求出|PQ|,求出原点到直线l的距离,表示出三角形的面积,进而利用基本不等式,即可求得△OPQ面积的最大值.【解答】解:(1)由题意:一条切线方程为:x=2,设另一条切线方程为:y﹣4=k(x﹣2)..则:,解得:,此时切线方程为:切线方程与圆方程联立,可得x2+()2=4,从而可得,则直线AB的方程为x+2y=2….令x=0,解得y=1,∴b=1;令y=0,得x=2,∴a=2故所求椭圆方程为….(2)联立整理得,令P(x1,y1),Q(x2,y2),则,,,即:2k2﹣1>0…..又原点到直线l的距离为,,…..∴=当且仅当时取等号,则△OPQ面积的最大值为1.…..20.对任意正整数n,设a n是方程x2+=1的正根.求证:(1)a n+1>a n;(2)++…+<1+++…+.【考点】数列的应用.【分析】(1)解方程可得a n=,再由分子有理化,结合,在n∈N*上递减,即可得证;(2)求出=,分析法可得<,累加并运用不等式的性质即可得证.【解答】解:(1)a n是方程x2+=1的正根,解得a n=,由分子有理化,可得a n==,由,在n∈N*上递减,可得a n为递增数列,即为a n+1>a n;(2)证明:由a n=,可得=,由<⇔2n﹣1<⇔1+4n2﹣4n<1+4n2⇔﹣4n<0,显然成立,即有++…+<1+++…+<1+++…+.2016年10月18日。
崇文区2018—2018学年度第二学期高三统一练习(二)数学(文科)本试卷分第I卷(选择题)和第II卷(非选择题)两部分。
共150分,考试时间120分钟。
参考公式:如果事件A、B互斥,那么如果事件A、B相互独立,那么如果事件A在一次试验中发生的概率是P,那么在n次独立重复试验中恰好发生k次的概率第I卷(选择题,共40分)一. 选择题(本大题共8小题,每小题5分,共40分。
在每小题给出的四个选项中,只有一项是符合题目要求的。
)1. 已知全集,集合,若,,则集合B等于()A. {2,4,5}B. {2,3,5}C. {3,4,5}D. {2,3,4}2. 已知是偶函数,则函数的图像的对称轴是()A. B. C. D.3. 已知,则的值为()A. B. 3 C. D. 24. 在首项为81,公差为的等差数列中,取得最小值时n的值为()A. 11B. 12C. 13D. 145. 函数的单调递减区间是()A. B.C. D.6. 已知向量,则向量的模的取值范围是()A. [1,3]B. [1,]C. [,3]D. []7. 若直线和圆相切,则a的值为()A. B.C. D.8. 已知,则等于()A. 0B.C.D. 2第II卷(非选择题,共110分)二. 填空题(本大题共6小题,每小题5分,共30分。
把答案填在题中横线上。
)9. 4个男生2个女生排成一排,若女生不能排在两端,且又不相邻,则不同的排法数有____________种。
10. 在正三棱柱中,,则异面直线与所成的角的大小是_______________。
11. 若x,y满足设,则k的取值范围是_______________。
12. 已知A,B,C是△ABC的三个内角,sinA,cosA是方程的两个实根。
则_______________,_______________。
13. 已知定义在R上的函数满足且对任意的,都有,且,则_____________,若令且,则的取值范围是_____________。
2018年全国统一高考数学试卷(理科)(新课标Ⅰ)一、选择题:本题共12小题,每小题5分,共60分。
在每小题给出的四个选项中,只有一项是符合题目要求的。
1.(5分)设z=+2i,则|z|=()A.0B.C.1D.2.(5分)已知集合A={x|x2﹣x﹣2>0},则∁R A=()A.{x|﹣1<x<2}B.{x|﹣1≤x≤2}C.{x|x<﹣1}∪{x|x>2}D.{x|x≤﹣1}∪{x|x≥2}3.(5分)某地区经过一年的新农村建设,农村的经济收入增加了一倍,实现翻番.为更好地了解该地区农村的经济收入变化情况,统计了该地区新农村建设前后农村的经济收入构成比例,得到如下饼图:则下面结论中不正确的是()A.新农村建设后,种植收入减少B.新农村建设后,其他收入增加了一倍以上C.新农村建设后,养殖收入增加了一倍D.新农村建设后,养殖收入与第三产业收入的总和超过了经济收入的一半4.(5分)记S n为等差数列{a n}的前n项和.若3S3=S2+S4,a1=2,则a5=()A.﹣12B.﹣10C.10D.125.(5分)设函数f(x)=x3+(a﹣1)x2+ax.若f(x)为奇函数,则曲线y=f(x)在点(0,0)处的切线方程为()A.y=﹣2x B.y=﹣x C.y=2x D.y=x6.(5分)在△ABC中,AD为BC边上的中线,E为AD的中点,则=()A.﹣B.﹣C.+D.+7.(5分)某圆柱的高为2,底面周长为16,其三视图如图.圆柱表面上的点M 在正视图上的对应点为A,圆柱表面上的点N在左视图上的对应点为B,则在此圆柱侧面上,从M到N的路径中,最短路径的长度为()A.2B.2C.3D.28.(5分)设抛物线C:y2=4x的焦点为F,过点(﹣2,0)且斜率为的直线与C交于M,N两点,则•=()A.5B.6C.7D.89.(5分)已知函数f(x)=,g(x)=f(x)+x+a.若g(x)存在2个零点,则a的取值范围是()A.[﹣1,0)B.[0,+∞)C.[﹣1,+∞)D.[1,+∞)10.(5分)如图来自古希腊数学家希波克拉底所研究的几何图形.此图由三个半圆构成,三个半圆的直径分别为直角三角形ABC的斜边BC,直角边AB,AC.△ABC的三边所围成的区域记为I,黑色部分记为Ⅱ,其余部分记为Ⅲ.在整个图形中随机取一点,此点取自Ⅰ,Ⅱ,Ⅲ的概率分别记为p1,p2,p3,则()A.p1=p2B.p1=p3C.p2=p3D.p1=p2+p3 11.(5分)已知双曲线C:﹣y2=1,O为坐标原点,F为C的右焦点,过F的直线与C的两条渐近线的交点分别为M,N.若△OMN为直角三角形,则|MN|=()A.B.3C.2D.412.(5分)已知正方体的棱长为1,每条棱所在直线与平面α所成的角都相等,则α截此正方体所得截面面积的最大值为()A.B.C.D.二、填空题:本题共4小题,每小题5分,共20分。
北大附中2018年高三数学零模试卷试卷Ⅰ一、选择题(本大题共8小题,每个小题5分,共40分) () z z z z i z i iz ,,32,3423 1321321==-=-+=则复数、 A .51B.5 C.5 D.552、已知三个平面α、β、γ,α∩β=a ,β∩γ=b ,γ∩α=c ,若a ∩b =M ,则直线a ,b ,c ( )A .有一个交点B .有二个不同交点C .有三个不同交点D .不确定3、椭圆1my x 22=+的焦点在y 轴上,长轴长是短轴长的两倍,则m 的值是 ( ) A .41B .21 C .2 D .44、已知正方体八个顶点中,有四个顶点恰好为正四面体的顶点,则该正四面体的体积与正方体的体积之比为 ( )A .3:1B .1:2C .2:3D .1:35、已知函数y =f (x )的反函数是()⎪⎭⎫ ⎝⎛π∈θ⎪⎭⎫ ⎝⎛θ+=θ-2,0,tan x 2003logx f 2cos 112,则方程f (x )=2018的解集为 ( )A .{-1}B .{-1,1}C .{1}D .φ 6、函数y =f (x -1)的图象如下图所示,它在R 上单调递减,现有如下结论:①f (0)>1②121f <⎪⎭⎫ ⎝⎛ ③()01f 1=- ④021f 1>⎪⎭⎫⎝⎛-,其中正确结论的个数是( )A .1B .2C .3D .47、如下图,在正三角形ABC 中,D ,E ,F 分别为各边的中点,G ,H ,I ,J 分别为AF ,AD ,BE ,DE 的中点,将△ABC 沿DE ,EF ,DF 折成三棱锥以后,GH 与IJ 所成角的度数为 ( )A .90°B .60°C .45°D .0°8、二次函数f (x )的二次项系数为正,且对任意实数x ,恒有f (2+x )=f (2-x ),若()()22x x 21f x 21f -+<-,则x 的取值范围是 ( )A .x>2B .x<-2或0<x<2C .-2<x<0D .无法确定二、填空题(本大题共6个小题,每个小题5分,共30分)9、圆心在直线2x +y =0上,且与直线x +y -1=0切于点(2,-1)的圆的方程是_________.10、5名同学参加演讲比赛,决出了第一到第五的名次,评委告诉甲、乙两名同学:“你们都没有拿到冠军,但乙不是最差的”.由此分析这5名同学的排名顺序共有_______种不同的情况.11、如下图,在杨辉三角形中,从上往下数共有n (n ∈N*)行,在这些数中非1的数字之和_______..___________a b ,158tan 5sinb 5cos a 5cos b 5sina ,b ,a 12=π=π-ππ+π则且是非零实数设、 .__________y 2x z .0y ,0x ,9y 3x ,8y x 2y ,x 13的最大值为则满足若、+=⎪⎪⎩⎪⎪⎨⎧≥≥≤+≤+14、以下命题:①两直线平行的充要条件是它们的斜率相等;②过点()00y ,x 与圆222r y x =+相切的直线方程是200r y y x x =+;③平面内到两定点的距离之和等于常数的点的轨迹是椭圆;④抛物线上任意一点M 到焦点的距离都等于点M 到其准线的距离,其中正确命题的序号是________.三、解答题(本大题共6小题,共80分)().1,31B tan ,21A tan ,ABC 1215且最长边为已知中在分本小题满分、==∆().43C :1π=∠求证(2)求△ABC 最短边的长.16、(本小题满分14分)已知函数()()R c ,b ,a cbx 1ax x f 2∈++=是奇函数,又f (1)=2,f (2)=3.(1)求a ,b ,c 的值;(2)当x>0时,讨论函数f (x )的单调性,并写出证明过程.().1,111217≠>++a ax ax x 其中的不等式解关于分本小题满分、18、(本小题满分16分)如下图,一个等腰直角三角形的硬纸片ABC 中,∠ACB =90°,AC =4cm ,CD 是斜边上的高沿CD 把△ABC 折成直二面角.(1)如果你手中只有一把能度量长度的直尺,应该如何确定A ,B 的位置,使二面角A -CD -B 是直二面角?证明你的结论.(2)试在平面ABC 上确定一个P ,使DP 与平面ABC 内任意一条直线都垂直,证明你的结论.(3)如果在折成的三棱锥内有一个小球,求出小球半径的最大值.19、(本小题满分12分)某水库年初有水量a (a ≥10000),其中含污染物0p (设水与污染物能很好的混合),当年的降水量与月份x 的关系是f (x )=20-|x -7|(1≤x ≤12,x ∈N ),而每月流入水库的污水与蒸发的水量都为r ,且污水含污染物p (p<r ),设当年水库中的水不作它用.(1)求第x 月份水库的含污比g (x )的表达式⎪⎪⎭⎫ ⎝⎛=总库容污染物含污比; (2)当0p =0时,求水质最差的月份及此月的含污比.20、(本小题满分14 分)如图,F 为抛物线px 2y 2=的焦点,A (4,2)为抛物线内一定点,P 为抛物线上一动点,|PA|+|PF|的最小值为8.(1)求该抛物线的方程.(2)若O 为坐标原点,问是否存在点M ,使过点M 的动直线与抛物线交于B ,C 两点,且∠BOC =90°,证明你的结论.参考答案 一、(1)A (2)A (3)A (4)D (5)C (6)C (7)B (8)C (9)()()22y 1x 22=++- (10)54 (11)n 22n - (12)3 (13)7 (14)④二、15.(1).31tgB ,21tgA ==().1312113121tgAtgB1tgB tgA B A tg =⋅-+=-+=+∴ .4B A ,B A 0,ABC π=∠+∠π<+<∆中在.43C π=∠∴(2),43C π=∠∴ ∠C 所对的边最长,∠B 所对的边最短,且为锐角,由31=tgB ,求得1010B sin =,∵ C =1,.55b =∴由正弦定理得最短边 ()()().1a 0ax 1a x 1a .16≠>+--- 原不等式等价于即将 (a -1)(x -1)(x +a )>0. (1)若a>1,解集为x>1或x<-a ; (2)若-1<a<1,解集为-a<x<1; (3)若a<-1,此时(x -1)(x +a )<0,解集为1<x<-a . 17.(1)∵ f (x )为奇函数, ∴ f (-x )=-f (x ), 得比较分母的系数即, , cbx 1ax c bx 1ax 22--+=+-+c =0,又f (1)=2,f (2)=3..23b ,2a .3b21a 4,2b1a ==⎪⎪⎩⎪⎪⎨⎧=+=+ 解得得.0c ,23b ,2a 为所求===∴(2)()324x 3x 24x 32x 4x 231x 2x f 22=≥+=+= ().22x 0x 2x 42=>= 得由()()().x x 321x x x x 4x 32x 4x 32x 4x f x f 21211212122212⎪⎭⎫ ⎝⎛--=+-+=- (),0x x ,021x x ,0x x ,22x x 021211221><⎪⎭⎫ ⎝⎛->-≤<<时当 ()()().22,0x f ,x f x f 12上是减函数在⎥⎥⎦⎤⎝⎛<∴.0x x ,021x x ,0x x ,x x 2221211221>>->-<≤时当()()().,22, 12上是增函数在⎪⎪⎭⎫⎢⎢⎣⎡+∞>∴x f x f x f18.(1)用直尺度量折后的AB 长,若AB =4cm ,则二面角A -CD -B 为直二面角.∵ △ABC 是等腰直角三角形,(),cm 22DB AD ==∴又∵ AD ⊥DC ,BD ⊥DC .∴ ∠ADC 是二面角A -CD -B 的平面角.有时当,cm 4AB ,22DB AD === .90ADB .AB DB AD 222︒=∠∴=+(2)取△ABC 的中心P ,连DP ,则DP 满足条件 ∵ △ABC 为正三角形,且 AD =BD =CD .∴ 三棱锥D -ABC 是正三棱锥,由P 为△ABC 的中心,知DP ⊥平面ABC , ∴ DP 与平面内任意一条直线都垂直. (3)当小球半径最大时,此小球与三棱锥的4个面都相切,设小球球心为0,半径为r ,连结OA ,OB ,OC ,OD ,三棱锥被分为4个小三棱锥,且每个小三棱锥中有一个面上的高都为r ,故有ABC O ABD O ADC O BCD O BCD A V V V V V -----+++=代入得3623r -=,即半径最大的小球半径为3623-. 19.(1)()()()x f 2f 1f a ;px p x 0++++=+ 库容总量月水库含污染物第 (),N x ,6x 1时当∈≤≤f (x )=13+x ,()().2227 21314 131514 2ax x xx a x a ++=⋅+++=+++++= 库容总量此时当7≤x ≤12(x ∈N )时,f (x )=27-x , 此时,库容总量().284a 2x 53x x 27192099a 2-++-=-+++++=()()()⎪⎪⎩⎪⎪⎨⎧∈≤≤-++-+∈≤≤+++=∴N x 12,x 7 8425322N x 6,x 1 22722 2020a x x px p ax x pxx x g (2)时当6x 1,0p 0≤≤=()().,a 2,027x a 2x ,27xa 2x p 2x g 且恒大于零上是减函数在而++++=()()a 2198p12x g ,6x ,x g max +==∴∴时当是增函数()57x84a 2x p2x g ,12x 7+-+-=≤≤ 时当(),,,053x84a 2x 且恒大于零上是减函数在又+∞+-+- ()().a204p12x g ,12x ,x g max +==∴∴时当是增函数.a2198p12a 204p 12,10000a +>+∴≥.a 204p12,12+∴其含污比为月份水质量最差的是20.(1)(),42pPF PA ,min +=+由抛物线性质知.8p ,842p ==+∴ .x 16y 2=∴抛物线方程为(2)设过定点M 的直线方程为y =kx +b,显然k ≠0,b ≠0,直线交抛物线于点B 、C ..1k k ,90BOC CO BO -=⋅∴︒=∠ ,0 =+⋅∴C A C B y y x x把直线方程代入抛物线方程得.016162=+-b y ky.kb 16y y x x ,k b 16y y 2222C2B C B C B =⋅==∴,k 16b ,0kb k b 1622-=∴=+ 故∴ 动直线方程为y =kx -16k ,即y =k (x -16),它必过定点(16,0),当BC k 不存在时,直线x =16交抛物线于点B (16,-16),C (16,16)仍有∠BOC =90°. ∴ 存在定点M (16,0)满足条件.。
2017 届高三数学高考模拟卷(理科18)总分: 150 分考试时间:120 分钟姓名:得分:一.选择题(每题 5 分,共 40 分)1、已知会合P={x|x 2-2x≥0} ,Q={x|1<x ≤ 2} ,则 (R P)∩Q=A.[0 , 1)B.(0 , 2]C.( 1 , 2)D.[1,2]2、某几何体的三视图如下图(单位:cm),则该几何体的体积是A.8 cm3B.12 cm333C. 32 cmD. 40 cm333.已知 x,y 为正实数,则lgx+lgy lgx lgyB. 2lg(x+y)lgx lgy lgx ·lgy lgx lgy lg(xy)lgx lgyA.2=2+2=2·2 C.2=2+2D.2=2·24、命题“n∈N* ,f(n)∈ N* 且 f(n)≤n”的否认形式是A.n∈ N*, f(n)N*且 f(n)>nB.n∈N* , f(n)N* 或 f(n)>nC.n0∈ N* ,f(n 0)N* 且 f(n0)>n 0D.n0∈ N* , f(n 0)N* 或 f(n 0)>n 05、如图,设抛物线y2=4x的焦点为F,不经过焦点的直线上有三个不一样的点A,B, C,此中点A, B在抛物线上,点 C在 y 轴上,则△ BCF 与△ ACF的面积之比为A.|BF|1B.|BF |21|AF |1|AF|21C. |BF |1D.|BF |21|AF|1|AF|216、设 A, B 是有限集,定义:d(A ,B)=card(A ∪B)-card(A ∩B),此中card(A) 表示有限集 A中元素的个数。
命题①:对随意有限集A,B,“ A≠B”是“ d(A,B)>0”的充足必需条件;命题②:对随意有限集A,B, C, d(A ,C)≤d(A, B)+d(B , C)A. 命题①和命题②都建立B. 命题①和命题②都不建立C. 命题①建立,命题②不建立D. 命题①不建立,命题②建立7、存在函数 f(x) 知足:关于随意x∈ R 都有222A.f(sin2x)=sinxB. f(sin2x)=x+xC.f(x +1)=|x+1|D. f(x +2x)=|x+1|8、如图,已知△ ABC, D 是 AB的中点,沿直线CD将△ ACD翻折成△ A′CD,所成二面角A′- CD-B 的平面角为α,则A. ∠A′DB≤αB. ∠A′DB≥αC. ∠A′CB≤αD. ∠A′CB≥α二、填空题(多空题每题 6 分,单空题每题 4 分)9、双曲线 x2y2 1 的焦距是,渐近线方程是2x 23, x1,10、已知函数 f(x)=x,则 f(f( - 3))=, f(x) 的最小值是.lg( x21), x1,11、函数 f(x)=sin2x+sinxcosx+1的最小正周期是,单一递减区间是。
2018-2018学年度上学期 高三数学同步测试(11)—《导数及应用》一、选择题(本题每小题5分,共60分)1.如果 0() 0x e x f x x a x ⎧<=⎨+≥⎩是连续函数,则a 等于( )A .-1B .0C .1D .2 2.已知函数)(,31)(x f x x f 则处的导数为在=的解析式可能为( )A .)1(3)1()(2-+-=x x x fB .)1(2)(-=x x fC .2)1(2)(-=x x fD .1)(-=x x f3.设)(x f '是函数)(x f 的导函数,)(x f y '=的图象 如图所示,则)(x f y =的图象最有可能的是( )4.若函数f (x )=⎪⎩⎪⎨⎧>+≤+-)1(1315)1(223x x a x a x x 在点x =1处连续,则实数a =( )A .4B .41-C .4或41- D .41或-4 5.若函数f(x)=x 2+bx +c 的图象的顶点在第四象限,则函数f /(x)的图象是 ( )6.已知函数m x x x f +-=23212)((m 为常数)图象上A 处的切线与03=+-y x 的夹角为45,则A 点的横坐标为 ( )A .0B .1C .0或61 D .1或61 7.函数x x y ln =的单调递减区间是( )A .(1-e ,+∞)B .(-∞,1-e ) C .(0,1-e )D .(e ,+∞)8.一点沿直线运动,如果由始点起经过t 秒后的距离为s=41t 4-35t 3+2t 2,那么速度为零的时刻 是( )A .1秒末B .0秒C .4秒末D .0,1,4秒末9.2018年春季,我国部分地区SARS 流行,党和政府采取果断措施,防治结合,很快使病情得到控制.下表是某同学记载的5月1日至5月12日每天北京市SARS 病患者治愈者数据,及根据这些数据绘制出的散点图. ( )②若日期与人数具有线性相关关系,则相关系数r 与临界值0.05r 应满足0.05||r r >; ③根据此散点图,可以判断日期与人数具有一次函数关系. 其中正确的个数为A .0个B .1个C .2个D .3个10.设函数2322,(2)()42(2)x x f x x x a x +⎧->⎪=--⎨⎪≤⎩在x =2处连续, 则a =( )A .12-B .14-C .14 D .111.已知函数()x f 的图象如图所示,给出下列结论(1)()x f 在点1=x 处极限存在. (2)()x f 在点1-=x 处极限存在. (3)()x f 在点1=x 处连续.(4)()x f 在点2=x 处连续.其中正确结论有 )A .1个B .2个C .3个D .4个 12.函数13)(3+-=x x x f 在闭区间[-3,0]上的最大值、最小值分别是( )A .1,-1B .1,-17C .3,-17D .9,-19 二、填空题(本题每小题4分,共16分) 13.过点P (-1,2)且与曲线y=3x 2-4x +2在点M (1,1)处的切线平行的直线方程是______. 14.曲线23112224y x y x =-=-与在交点处切线的夹角是______,(用弧度数作答) 15.设曲线C :y=cosx 与直线的交点为P ,曲线C 在P 点处的切线经过(a ,0)点,则a 等于 .16.如图所示,在杨辉三角中,斜线AB 上方箭头所示的数组成一个锯齿形的数列:1,2,3,3,6,4,10,……,记这个数列 前n 项的和为S(n),则S (16)等于 .三、解答题(本大题共6小题,共74分。
2018-2018学年度高三综合测试(二)数 学本试卷分选择题和非选择题两部分,共4页.满分为150分。
考试用时120分钟. 注意事项:1.答卷前,考生务必用黑色字迹钢笔或签字笔将自己的姓名和考生号填写在答题卡上,用2B 铅笔将试卷类型(A )填涂在答题卡上.2.选择题每小题选出答案后,用2B 铅笔把答题卡上对应题目的答案标号涂黑;如需改动,用橡皮擦干净后,再选涂其它答案标号,不能答在试题卷上.3.非选择题必须用黑色字迹的钢笔或签字笔作答,答案必须写在答题卡各题目指定区域内的相应位置上;如需改动,先划掉原来的答案,然后写上新的答案;不准使用铅笔和涂改液.不按以上要求作答的答案无效.4.考生必须保持答题卡的整洁,考试结束后,将本试题卷和答题卡一并交回.第一部分 选择题(共50分)参考公式:如果事件A 、B 互斥,那么球的表面积公式P (A +B )=P (A )+P (B ) S =4πR 2 如果事件A 、B 相互独立,那么其中R 表示球的半径 P (A ·B )=P (A )·P (B )球的体积公式如果事件A 在一次试验中发生的概率是P .334R V π=那么n 次独立重复试验中恰好发生k 次的概率 其中R 表示球的半径k n kk n n P P C k P --=)1()(一、选择题:本大题共10小题,每小题5分,共50分,在每小题给出的四个选项中,只有 一项是符合题目要求的.1.设q p ,均为实数,则“0q <”是“方程20x px q ++=有一个正实根和一个负实根”的A. 充分不必要条件B. 必要不充分条件C. 充要条件D. 既不充分也不必要条件2.等差数列}{n a 中,已知前13项的和为1352S =,则7a 等于A. 2B. 4C. 6D. 83.不等式0322<-+x x 的解集为A. (3-,1)B. (3-,3)C. ),1()1,(+∞--∞D. (1-,1)4.下列求导运算中:① 211()'1x x x +=+ ② 21(log )'ln 2x x = ③ sin sin (2)'2ln 2cos x xx =⋅⋅④ 22(cos2)'2cos2sin 2x x x x x x =+ 运算正确的是A. ①②B. ②③C. ③④D. ④①5.设函数xx f 2)(=的反函数为)(1x f-,若1)()(11=+--b f a f ,则a b ⋅的值是A. 2B. 4C. 22D. 26.若1log log 0a a m n +=>(10<<a ),则,m n 与1的大小关系是A. 1m n <<B. 1m n <<C. 1n m <<D. 1m n <<7.函数)1( )1|(|log >+=a x y a 的大致图像是8.已知函数)(x f 是定义在R 上的奇函数,)()2(x f x f -=+,当10≤≤x 时,x x f =)(,则)5.7(f 等于A. 5.0B. 5.0-C. 5.1D. 5.1-9.在等比数列{n a }中,11>a ,且前n 项和n S 满足11lim a S n n =∞→,那么1a 的取值范围是 A. (1,∞+) B. (1,4) C. (1,2) D. (1,2)10.定义运算⎩⎨⎧<≥=⊗)(,)(,b a a b a b b a ,则函数xx x f 33)(⊗=-的值域是A. ),0(+∞B. )1,0(C. ]1,0(D. ]1,0[第二部分 非选择题(共100分)二、填空题:本大题共4小题,每小题5分,共20分.11.定义 f (x ,y ) = (y 2,y -2x ),若 f (m ,n ) = (0,2),则 (m ,n ) = _________.12.一种计算装置,有一数据入口A 和一个运算出口B ,执行某种运算程序; (1)当从A 口输入自然数1时,从B 口得到实数31,记为=)1(f 31; (2)当从A 口输入自然数)2(≥n n 时,在B 口得到的结果)(n f 是前一结果)1(-n f 的2321n n -+倍. 当从A 口输入3时,从B 口得到 .13.若定义在区间[3a -,5]上的函数32()3f x ax bx x =--是奇函数,则a +b =_________.14.若221[,8]()log log (4)88xx f x x ∈=⋅,则 的最大值是________________.三、解答题:本大题共6小题,共80分.解答应写出文字说明、证明过程或演算步骤. 15.(本小题满分12分)设函数32y ax bx cx d =+++的图像与y 轴的交点为P 点,且曲线在P 点处的切线方程为1240x y --=.若函数在2x =处取得极值0,试确定函数的解析式.16.(本题满分13分)已知数列{a n }的前n 项和为S n ,且满足211=a ,)2(021≥=⋅+-n S S a n n n (Ⅰ)求证:{nS 1}是等差数列; (Ⅱ)求a n 的表达式.17.(本小题满分13分)设函数2()21f x x x =+--,x R ∈ (1)判断函数()f x 的奇偶性;(2)求函数的最小值.18.(本题满分14分)已知a >0,函数3()y f x x ax ==-在x ∈[)∞+,1是一个单调函数, (Ⅰ) 求实数a 的取值范围;(Ⅱ) 设01x ≥,()01f x ≥,且()00f f x x =⎡⎤⎣⎦,试用反证法证明:()00f x x =.19.(本小题满分14分)函数(0)y kx k =>的图像与函数2log y x =的图像交于11,A B 两点(O 为坐标原点),过11,A B 作x 轴的垂线,垂足分别是M 、N ,并且11,A M B N 分 别交函数4log y x =的图像于22,A B 两点(1)求证:2B 是1B N 的中点;(2)若12A B 平行于x 轴,求四边形1221A A B B 的面积.20.(本小题满分14分)已知函数f ( x )= 1x 2-4( x < -2 ) (1)求 f- 1( x );(2)设a 1=1,1a n +1= - f - 1 ( a n ) ( n ∈ N* ), 求 a n ;(3)记b n = a 2n +1 +a 2n +2 +…+ a 22n +1 ,是否存在最小正整数m ,使对任意n ∈ N*,有b n <m25成立?若存在,求出m 的值;若不存在,请说明理由。
范文范文 范例范例 指导指导 参考参考word 资料资料 整理分享整理分享绝密★启用前2018年普通高等学校招生全国统一考试理科数学本试卷共23题,共150分,共4页。
考试结束后,将本试卷和答题卡一并交回。
注意事项:注意事项:11.答题前,考生先将自己的姓名、准考证号码填写清楚,将条形码准确粘贴在条形码区域内。
2.选择题必须使用2B 铅笔填涂;非选择题必须使用0.5毫米黑色字迹的签字笔书写,字体工整、笔迹清楚。
3.请按照题号顺序在各题目的答题区域内作答,超出答题区域书写的答案无效;在草稿纸、试题卷上答题无效。
4.作图可先使用铅笔画出,确定后必须用黑色字迹的签字笔描黑。
5.保持卡面清洁,不要折叠、不要弄破、弄皱,不准使用涂改液、修正带、刮纸刀。
一、选择题:本题共12小题,每小题5分,共60分。
在每小题给出的四个选项中,只有一项是符合题目要求的。
1.12i 12i +=-A .43i 55--B .43i 55-+C .34i 55--D .34i 55-+2.已知集合22{(,)|3,,A x y x y x y =+≤∈∈Z Z},则A 中元素的个数为A .9B .8C .5D .43.函数2e e()xxf x x --=的图象大致为4.已知向量a ,b 满足||1=a ,1⋅=-a b ,则(2)⋅-=a a bA .4B .3C .2D .05.双曲线22221(0,0)x y a b a b -=>>的离心率为3,则其渐近线方程为A .2y x =±B .3y x =±C .22y x =±D .32y x =±6.在ABC △中,5cos 25C =,1BC =,5AC =,则AB =A .42B .30C .29D .257.为计算11111123499100S =-+-++-L ,设计了右侧的程序框图,则在空白框中应填入A .1i i =+B .2i i =+C .3i i =+D .4i i =+8.我国数学家陈景润在哥德巴赫猜想的研究中取得了世界领先的成果.哥德巴赫猜想是“每个大于2的偶数可以表示为两个素数的和”,如30723=+.在不超过30的素数中,随机选取两个不同的数,其和等于30的概率是A .112B .114 C .115 D .1189.在长方体1111ABCD A B C D -中,1AB BC ==,13AA =,则异面直线1AD 与1DB 所成角的余弦值为A .15B .56C .55D .221010.若.若()cos sin f x x x =-在[,]a a -是减函数,则a 的最大值是 A .π4 B .π2 C .3π4D .π 1111.已知.已知()f x 是定义域为(,)-∞+∞的奇函数,满足(1)(1)f x f x -=+.若(1)2f =, 则(1)(2)(3)(50)f f f f ++++=L A .50- B .0 C .2 D .501212.已知.已知1F ,2F 是椭圆22221(0)x y C a b a b+=>>:的左,右焦点,A 是C 的左顶点,点P 在过A 且斜率为36的直线上,12PF F △为等腰三角形,12120F F P ∠=︒,则C 的离心率为A .23B .12C .13D .14二、填空题:本题共4小题,每小题5分,共20分。
2017届高三数学高考模拟卷(理科3)总分: 150分 考试时间: 120分钟 姓名: 得分: 一.选择题(每题5分,共40分)1. 已知{|(1,0)(0,1),},{|(1,1)(1,1),}P a a m m R Q b b n n R ==+∈==+-∈是两个向量集合,则Q P ⋂ ( )A .{〔1,1〕} B. {〔-1,1〕} C. {〔1,0〕} D. {〔0,1〕}2.函数()y f x =,x ∈R ,“()y f x =的图象关于y 轴对称”是“()y f x =是奇函数”( )A.充分不必要条件B.必要不充分条件C.充要条件D.即不充分也不必要条件 3.25242sin =a ,20πα<<,则)4cos(2a -π的值为 ( )A .51B .51-C .57D .51±4.若函数2()2f x x ax =-+与1()(1)xg x a -=+在区间[1,2]上都是减函数,则a 的取值范围是 ( )A .(-1,0)B .(-1,0)∪(0,1]C .(0,1)D .(0,1]5.等比数列{}n a 中,12134,64,n n a a a a -+=⋅=且前n 项和62n S =,则项数n 等于( )A .4B .5C .6D .76.已知函数()|lg |f x x =.若a b ≠且()()f a f b =,则a b +的取值范围是 ( )A.(1,)+∞B.[1,)+∞C. (2,)+∞D. [2,)+∞ 7.函数),)(2sin()(R A x A x f ∈+=ϕϕ的部分图象如图,那么=)0(f ( )21.-A 1.-B 23.-C 3.-D8.已知直线)0)(2(>+=k x k y 与抛物线C:x y 82=相交A 、B 两点,F 为C 的焦点。
若FB FA 2=,则k= ( )A .31B .32C .32D .322二、填空题(多空题每题6分,单空题每题4分) 9.一个几何体的三视图及其尺寸(单位:cm) ,如右图 所示,则该几何体的侧面积为 cm .体积是第9题俯视图10.已知⊿ABC 中,设三个内角,,A B C 对应的边长分别为,,a b c ,且1a =,b =,30A =︒,则c = .=∆ABC S11.已知点),(n m A 在直线012=-+y x 上,并且在第一象限,则n m 42+的最小值为 ,则n m 22log log +的最大值为12.已知圆,8)1(:22=+-y x C 过点)0,1(-A 的直线l 将圆C 分成弧长之比为2:1的两段圆弧,则直线l 的方程为 .截得的弦长为 13.若函数)4(log )(-+=xax x f a ,(0>a 且1≠a )的值域为R ,则a 的范围是 14.在ABC Rt ∆中,2=AC ,2=BC ,已知点P 是ABC ∆内一点,则)(PB PA PC +⋅的最小值是15.已知关于的不等式nn n n 2)1)(5(322+-<--λ对任意*N n ∈恒成立,则实数λ的取值范围是三、解答题(共5小题,共74分)16.(本题14分)已知角α的顶点在原点,始边与x 轴的正半轴重合,终边经过点(P -. (1)求sin 2tan αα-的值;(2)若函数()cos()cos sin()sin f x x x αααα=---,求函数2(2)2()2y x f x π=--在区间2π03⎡⎤⎢⎥⎣⎦,上的取值范围.17. (本题15分)如图,在直三棱柱111C B A ABC -中,,BC AC ⊥,1==BC AC 21=CC ,点D 是1AA 的中点。
襄樊市高中调研测试题(2018.3) 高三数学参考答案及评分标准一.选择题:BACAC ADAA (理)A DD(文)C BD二.填空题:13.{x |-1≤x ≤2} 14.2515.2 16.445 三.解答题:17.(1)解:由已知得:⎩⎨⎧=+=+11c a c b ∴a =b2分 ∴c x asin x f ++=)4(2)(π 4分又]43,4[4,]2,0[ππππ∈+∈x x ∴1222-=+c a 6分 故a =2,c =-1∴ 122)(-+=cosx sinx x f8分(2)解:1)4(22)(-+=πx sin x f∴先将)(x f 的图象向右平移4π个单位,再向上平移1个单位,即得到奇函数si nxx g 22)(=的图象. 12分18.(1)解:由| P A |-| PB | = 22<| AB | 知点P 的轨迹是以A 、B 为焦点的双曲线靠近点B 的一支,a =2,c =2,b 2=c 2-a 2=2∴点P 的轨迹E 的方程为:12222=-y x (x ≥2) 4分(2)解:由题意,直线l 与x 轴不平行.设l 的方程为y=k (x -2),代入双曲线方程消去x 并整理得: 024)1(222=++-k ky y k ①设M (x 1,y 1),N (x 2,y 2) (y 1>y 2),则y 1,y 2是方程①的两根 ∴222122112,14kk y y k k y y -=-=+ 6分∵| BM |=2| BN | ∴y 1=-2y 2故222222122,14k k y k k y -=--=-两式相除得:42k y =-,∴1442-=k kk解得:17±=k 或 k = 0 (舍去)10分这时223)1(2,247)2(41122>=⇒-=>=⇒-=-x x k k x x k k∴所求直线方程为)2(17-±=x y12分19.(理)(1)证:由于A 1A ⊥面AC ,EC ⊥面AC ,∴AC 是A 1E 在底面AC 上的射影 ∵BD ⊥AC ,∴BD ⊥A 1E即DB 与A 1E 所成角为90°. 4分 (2)解:在正△A 1DB 中,BD ⊥A 1O ,又BD ⊥A 1E ∴BD ⊥平面A 1OE ⇒ BD ⊥OE故∠A 1OE 是二面角A 1-BD -E 的平面角∴∠A 1OE =90° 6分设CE =x ,则 222)22(x a OE +=222121222123)()2(a AO A A O A x a a E A =+=-+= ∴22222)22(23)()2(x a a x a a ++=-+ 解得:a x 21=∴E 是CC 1的中点.8分(3)解:面A 1BD ⊥面BDE ,A 1O ⊥BD ∴A 1O ⊥面BDEa OE O A 261== 24621a OE BD S BDE =⋅=∆ ∴431311a AO S V V BD E BD E A D EA B =⋅==∆-- 12分(文)(1)同理(1)(2)解:∵A 1D =A 1B ,∴BD ⊥A 1O ,同理 BD ⊥OE 故∠A 1OE 是二面角A 1-BD -E 的平面角6分222243)2()22(a a a OE =+= 222121222212349)2()2(a AO A A O A a a a E A =+==+=由于222234349a a a +=,即A 1E 2=OE 2+A 1O 2∴A 1O ⊥OE ,即二面角A 1-DB -E 的大小为90°.8分 (3)同理(3)20.(1)解∵食品消费支出总额为8600×50%=4300元,2分 %401200048005680860051004300==⨯+⨯+=n4分A1∴2001年能达到富裕.6分(2)设1996年的消费支出总额为a 元,其中食品消费支出总额为b 元, 则6805%)341(⨯+=+a a ,1005%)101(⨯+=+b b ∴a =10000,b =50009分而经过5年,%4113400550068051005==⨯+⨯+=a b n经过6年, %8.3914080560068061006==⨯+⨯+=a b n故到2018年达到富裕.12分21.(1)证:由已知得:n n n n n n n n n n b a a a a a a b 31)21(31])21(31[21)21(31211121121=-=+-+=-=+++++++若b n =0,则)21(3)21(31212111nn n n n n n a a a a a =+=⇒=++∴231=a ,不满足条件.故311=+n n b b ,即}{n b 为等比数列.4分(2)解:9121)21(3121121121=-+=-=a a a a b ∴1)31(+=n n b8分(3)解:11)31(21++==-n n n n b a a ,又11)21(31+++=n n n a a ∴n n n n n n n a a a )31(2)21(3)31(21)21(3111-=⇒=-+++10分2)21(3)31(311])31(1[312211])21(1[213])31(2719131[2])21(814121[3+-=--⋅---⋅=++++-++++=n n n n n n n S 2lim =∞→n n S12分22.(理)(1)证:由f (1)=0得a +b +c =00)(4)(4222>-=---=-=∆c a ac c a ac b (∵a >c ) ∴f (x )的图象与x 轴有两个不同的交点.2分由0)1(=f 知,一个交点的横坐标为1,设另一个交点的横坐标为x 1,则|1||1|1111ac xd a c x a c x -=-=⇒==⋅ 由a +b +c =0 及a >b >c 知a >0,c <0a =-b -c <-2c ⇒ 21-<a c ,c =-a -b >-2a ⇒ 2->ac ∴3123<-<a c ,即323<<d 6分(2)解:由t aca c x t =⇒+=+=+22121211 在1)()(+=++n n n xb x a x g x f 中令x =1得:1=+n n b a ①令a c x =得:11)(++=+⇒=+⋅n n n n n n t b ta acb a ac ②②-①得:111--=+t t a n n ,∴111--=-=+t t t a b n n n10分(3)解:111++∞→∞→--=n n n n n n t t t lim b a lim当t >1时,11)1()1(11111-=--=--=+∞→++∞→∞→nn n n n n n n n tt lim t t t lim b a lim当0<t <1时,tt t t lim b a lim n n n n n n 1111-=--=++∞→∞→.14分 (文)(1)解:函数f (x )=-2x +3满足条件.4分(2)设x 1<x 2,则由f (x +y )=f (x )+f (y )-3得:f (x 1+x 2-x 1)=f (x 1)+f (x 2-x 1)-3,即f (x 2)-f (x 1)=f (x 2-x 1)-3又3)(3)23()()23(121212--=-+-=+-x x f f x x f x x f∴ f (x 2)-f (x 1)=f (x 2-x 1)-3=f (x 2-x 1+23) ∵x 1<x 2 ∴232312>+-x x ,因此f (x 2-x 1+23)<0 即f (x 2)-f (x 1) ⇒ f (x 2)<f (x 1) ∴函数f (x )是减函数.10分(3)解:在f (x +y )=f (x )+f (y )-3中令23==y x 得:f (3)=-3 ∴不等式即 f (x 2+x -3)<f (3)∵f (x )是减函数,∴x 2+x -3>3,解得:x <-3 或 x >2 ∴不等式的解集是{x |x <-3或x >2}.14分。
崇文区高三统一练习(二)高三数学试卷本试卷分第1卷(选择题)和第Ⅱ卷(非选择题)两部分,共150分。
考试时间120分钟。
第Ⅰ卷(选择题共60分)注意事项:1.答第1卷前,考生务必将自己的姓名、考生号码、考试科目用铅笔涂写在答题卡上。
2.每小题选出答案后,用铅笔把答题卡上对应题目的答案标号涂黑,如需改动,用橡皮擦干净后,再选涂其他答案,不能答在试题卷上。
3.考试结束,监考人将本试卷和答题卡一并收回。
参考公式:2cosαcosβ=cos(α+β)+cos(α-β)-2sinαsinβ=cos(α+β)-cos(α-β)一、选择题:本大题共14小题;第(1)—(10)题每小题4分,第(11)—(14)题每小题5分,共60分.在每小题给出的四个选项中,只有一项是符合题目要求的.(2)全集为R,函数f(x)=sinx,g(x)=cosx,集合M={x|f(x)≠0},集合N={x|g(x)≠0},那么集合{x|f(x)·g(x)=0}等于A.M∩N B.M∩ONC.M∪N D.M∪N程是A.-3x+y+4=0 B.3x+y-4=0C.-3x+y-4=0 D.3x+y+4=0A.(0,2〕B.(1,2〕C.(-1,0〕D.(1,+∞)A.13 B.13C.-5 D.5(6)已知三棱锥P-ABC的六条棱长均相等,E、F分别为棱-EFP的体积与四棱锥A—BCFE的体积之比为A.1∶10 B.1∶11C.1∶12 D.1∶13A.5 B.6C.7 D.8所得图象关于y轴对称,则 的最小正值是A.2或12 B.2或7C.7或12 D.11或12所成的角的大小是A.90°B.60°C.15°D.30°(11)有一个盛水的容器,由一条悬在它上面的水管匀速地注水,直到把容器注满,在注水过程中容器的水面高度(h)随时间(t)的变化关系如图所示,则这个容器的形状是(12)从6种小麦品种中选出4种,分别种植在不同土质的4块土地上进行试验,已知1号、2号小麦品种不能在试验田甲这块地上种植,则不同的种植方法有A.144种B.180种C.240种D.300种(13)下列四个命题中,①若平面的两条斜线段的长相等,则这两条斜线段在该平面内的射影长也相等;②若两个平面都垂直于同一个平面,则这两个平面平行;③若直线a、b在平面α外,且a∥α,则a∥b 是b∥a的必要非充分条件;④若三棱锥的顶点在底面上的射影是底面三角形的内心,则这个三棱锥的各侧面和底面所成的角都相等,其中正确命题的序号是A.④B.①④C.①③④D.①的最大值是A.1 B.3C.3.5 D.不存在第Ⅱ卷(非选择题共90分)二、填空题:本大题共4小题;每小题4分,共16分,把答案填在题中横线上.(15)(文)已知函数f(2x-1)的定义域是[0,2],则函数f(x)的定义域是________________.的定义域是____________________.(16)在△ABC中,AB=2a,BC=a,则内角A的最大值为____________________.(17)(文)复数z=sin190°·i的辐角主值为________________.数z在复平面内对应点的轨迹方程是__________________.一个底面边长为4,高为6的正三棱锥上,并使纸面与锥底面平行,则能穿过这张纸面的棱锥的高的最大值等于_______________.三、解答题:本大题共6小题;共74分.解答应写出文字说明、证明过程或演算步骤(19)(本小题满分10分)(20)(本小题满分12分)(21)(本小题满分12分)(22)(本小题满分12分)西北黄土高原用圆柱形集水窑收集雨水,假设集水窑的侧面和底面单位面积造价相同,而顶盖的造价为底面的两倍,若容积V一定,试问:底面半径r与高h之比为何值时,该圆柱形集水窑的总造价最小?(23)(本小题满分14分)(24)(本小题满分14分)(文科学生做(Ⅰ)(Ⅱ);理科学生做(Ⅰ)(Ⅱ)且过这两个交点的直线的倾角为45°.(Ⅰ)求实数a的值;(文、理均做)(Ⅱ)(文)若过抛物线C的焦点F的直线l与抛物线C相交于A、1B两点,且AF∶FB=1∶2,求|AB|.(Ⅲ)(理)若椭圆以抛物线C中的F和l为焦点和相应的准线,当AF′⊥BF′时,求椭圆的方程.崇文区学年度第二学期高三统一练习数学试题参考解答及评分标准一、选择题:第(1)—(10)题每小题4分,第(11)—(14)题每小题5分,满分60分.(1)A (2)D (3)D (4)B (5)C(6)B (7)C (8)B (9)A (10)D(11)B (12)C (13)A (14)C二、填空题:每小题4分,满分16分.三、解答题:∴sinA+sinC+sinAcosC+cosAsinC=3sinB.∴sinA+sinC+sin(A+C)=3sinB.…………………………4分∴sinA+sinC=2sinB.…………………………………………6分解得-1<x<0或x>2.………………………………………5分综上所述,当a>1时,解集为{x|-1<x<0或x>2};当0<a<1时,(22)解:设圆柱体积为V,侧面单位造价为a,则总造价∴当r∶h=1∶3时,总造价最小.…………………………12分(y>0),(24)解:(Ⅰ)设P′(x′,y′)为抛物线任意一点.∴x′=2-x,y′=1-y·…………………………………………………………………2分的方程为y=kx.设过点F(0,0)的直线l1④……………………………………………………………………8分则椭圆中心O′(c,0).焦点F(0,0),F′(2c,0),。
河婆中学2018━2018学年度高三期中考试数学答题卷(理)第 Ⅱ 卷 (非选择题 共100分)注意事项:⒈ 第Ⅱ卷共4页,用钢笔或圆珠笔直接答在试题卷中. ⒉ 答卷前将密封线内的项目填写清楚.一.选择题答题区,用铅笔把答题卡上对应题目的答案标号涂黑,如需改动,用橡皮擦干净后,再选涂其它答案,不能答在试题卷上.每小题5分,共40分1 2 3 4 5 6 7 8 [A] [A] [A] [A] [A] [A] [A] [A] [B] [B] [B] [B] [B] [B] [B] [B] [C] [C] [C] [C] [C] [C] [C] [C] [D] [D] [D] [D] [D] [D] [D] [D]二. 填空题:本大题共6小题,每小题5分,共30分.把答案填在题中横线上.9、______ 10、________ 11、_______12、_____ 13、________ 14、_______三. 解答题:本大题共6小题,共80分.解答应写出文字说明,证明过程或演算步骤.15(本题满分12分)数学答卷理科第1页(共4页)学校:______ ___________班别:___________姓名:_______ _______座号:_________○请不要在密封线内作答○※※○※※※※○※ 密 ※※※※○※※※※※○※※※※○※ 封 ※○※※※※○※※※○※※※○※ 线 ※○※※※※○※※※※○※※※※※○※16、(本题满分14分)17(本题满分14分)数学答卷理科第2页(共4页)18(本题满分14分)19(本题满分14分)数学答卷理科第3页(共4页)20(本题满分12分) ○※※※※○※ 密 ※※※※○※※※※※○※※※※○※ 封 ※○※※※※○※※※○※※※○※ 线 ※○※※※※○※※※※○※※※※※○※※数学答卷理科第4页(共4页)。
崇文区2018年统练(一)高三数学(理科)本试卷分第I 卷(选择题)和第II 卷(非选择题)两部分。
共150分。
考试时间120分钟。
第I 卷(选择题共40分)参考公式:三角函数的积化和差公式 [])sin()sin(21cos sin βαβαβα-++= [])s i n ()s i n (21s i n c o s βαβαβα--+= [])cos()cos(21cos cos βαβαβα-++=[])c o s ()c o s (21s i n s i n βαβαβα--+-=3选择题:本大题共8小题;每小题5分,共40分。
在每小题给出的四个选项中,只有一项是符合题目要求的。
(1)函数y = sin (x +θ)是偶函数,则θ的一个值是 ( )(A )4π-(B )2π(C )π (D )2π(2)平面内有一固定线路AB ,| AB | = 4,动点P 满足| P A |-| PB | = 3,O 为AB 中点,则|OP |的最小值为 ( )(A )3 (B )2 (C )23(D )1(3)下列不等式中成立的是 ( )(A )sin (5π-)>sin (6π-) (B )cos (5π-)>cos (6π-)(C )tg (5π-)>tg (6π-) (D )ctg (5π-)>ctg (6π-) (4)直线l 1与l 2互相平行的一个充分条件是 ( )(A )l 1,l 2都平行于同一平面 (B )l 1,l 2与同一平面所成的角相等 (C )l 1平行l 2所在的平面 (D )l 1,l 2都垂直于同一平面 (5)极坐标方程θθρcos 3sin +=的图形是 ( )(6)6本不同的图书全部分给2个学生,每个学生最多4本,则不同的分法种数为 ( ) (A )35 (B )50 (C )70 (D )100(7)无穷等比数列{a n }的首项a 1 = 3,前n 项和为S n 且7863=S S ,则n n S ∞→lim 等于 ( )(A )2 (B )-2 (C )6 (D )-6(8)设函数y = f (x )的图象与函数y = 2x -1的图象关于直线y = x 对称,则函数f (x 2-x -3)的单调递减区间为 ( )(A )(1 ,--∞) (B )(-∞,21] (C )(2,+∞) (D )[21,+∞第II 卷(非选择题共110分)二、填空题:本大题共6小题,每小题5分,共30分。
清华附中2018-2018高三下数学(理)统练2答案
1-5 C D D D A 6-8 A D D
9、四 10、2 11、 2 12 、 43 13、3 14 833
15、解:(1) 令1001143cos21),(22yxyxyxyxyxn或则,
)1,0()0,1(nn或
2分
(2) )1,0(0),0,1(nana 3分
))32cos(,(cos)1)23(cos2,(cos2xxxxbn
4分
2)234cos(122cos1)3
2(coscos||222xxxxbn
6分
)]23cos(2[cos211)]234cos(2[cos211xxxx
)32cos(211]2sin232cos212[cos211xxxx
8分
353233
2
0xx
,
45||2121)3
2cos(12bnx
9分
故25||22bn 10分
16、 (1)63125(注:第1、2次或第2、3次或三次均击中);(2)162625;(3)
3 4 … k …
P
27125 162
625
… 233123()()55kkC …
17、方法一:(1) 证明:连结AC,AC交BD于O,连结EO.
∵底面ABCD是正方形,∴点O是AC的中点,
在PAC中,EO是中位线,∴PA // EO,
而EO平面EDB且PA平面EDB,所以,PA //平面EDB.
(2) 证明:∵PD⊥底面ABCD且DC底面ABCD,
∴DCPD,
∵PD=DC,可知PDC是等腰直角三角形,而DE是斜边
PC的 中线,∴PCDE. ①
同样由PD⊥底面ABCD,得PD⊥BC.
∵底面ABCD是正方形,有DC⊥BC,∴BC⊥平面PDC.
而DE平面PDC,∴DEBC. ②
由①和②推得DE平面PBC.
而PB平面PBC,∴PBDE
又PBEF且EEFDE,所以PB⊥平面EFD.
(3) 解:由(2)知,DFPB,故EFD是二面角C—PB—D的平面角.
由(2)知,DBPDEFDE,.
设正方形ABCD的边长为a,则aBDaDCPD2,,
aBDPDPB322
, aDCPDPC222,aPCDE2221.
在PDBRt中,aaaaPBBDPDDF3632.
在EFDRt中,233622sinaaDFDEEFD,∴3EFD.
所以,二面角C—PB—D的大小为3.
方法二:如图所示建立空间直角坐标系,D为坐标原点,设aDC.
(1)证明:连结AC,AC交BD于G,连结EG.
依题意得)2,2,0(),,0,0(),0,0,(aaEaPaA.
∵底面ABCD是正方形,∴G是此正方形的中心,
故点G的坐标为)0,2,2(aa,
且(,0,),(,0,)22aaPAaaEG.
∴EGPA2,这表明PA//EG.
而EG平面EDB且PA平面EDB,∴PA//平面EDB.
(2)证明:依题意得)0,,(aaB,),,(aaaPB.
又(0,,)22aaDE,故022022aaDEPB.
∴DEPB.
由已知PBEF,且EDEEF,所以PB平面EFD.
(3)解:设点F的坐标为),,(000zyx,PBPF,则
),,(),,(000aaaazyx
.
从而azayax)1(,,000.所以
000
11(,,)(,(),())2222aa
FExyzaaa
.
由条件PBEF知,0PBFE,即
0)21()21(222aaa,解得31
∴点F的坐标为)32,3,3(aaa,且(,,)366aaaFE,2(,,)333aaaFD
∴03233222aaaFDPB,
即FDPB,故EFD是二面角C—PB—D的平面角.
∵691892222aaaaFDFE,且
aaaaFE6636369||222
,aaaaFD369499||222,
∴2136666||||cos2aaaFDFEFDFEEFD. ∴3EFD.
所以,二面角C—PB—D的大小为3.(或用法向量求)
18、解:(1) 由3381122)2(12234341aaaaannn
同理可得 a2 = 13, a1 = 5. 3分
(2) 假设存在的实数λ符合题意,则
nnnnnnnaaaa2222111
nn
n
2112
12
必是与n无关的常数,则
.1021
n
7分
故存在实数λ= 1,使得数列}21{n为等差数列.
(3) 由(2) 知数列}21{nna是公差d = 1的等差数列
12)1(11)1(21211nnnnnann
a
a
9分
Sn = n+2×2 + 3×22 + 4×23 +…+(n+1)·2n+1
2Sn = 2n+2×22 + 3×22 +…+n·2n + (n+1)·2n+1
相减整理得: Sn = n(2n+1 +1) 12分
附加.解:(1) 设)0,(),0,(),,(2100cFcFyxP,
其中),(),()0,(,0000122ycxyxcPFbac则,
).,(),()0,(00002yxcyxcPF
从而.),(),(2202020220000021cyxycxyxcycxPFPF 2分
由于222122220202,caPFPFcbayxb所以,
即.222122bPFPFab 3分
又已知343421PFPF, 4分
所以.34,4,34,34222222babab
从而椭圆的方程是.143422yx
(2) 因为PCQCQCQCPCPFFCQCQCPCP与而||||,0)||||(21的平分线平行,
所以∠PCQ的平分线垂直于x轴.
由).1,1(,1,1,,143422Cyxxyyx解得
不妨设PC的斜率为k,则QC的斜率为k,因此PC和QC的方程分别为
)1(,1)1(xkyxky
,
其中.1434,1)1(,022yxxkyk由
消去y并整理得(*).0163)1(6)31(222kkxkkxk 9分
∵C(1,1) 在椭圆上,∴x = 1是方程(*) 的一个根.
从而222231163,31163kkkxkkkxQP同理, 10分
从而直线PQ的斜率为.313112231)13(22)(222kkkkkkxxkxxkxxyykQPQPQPQPPQ
11分
又知A(2,0) ,B(-1,-1) ,
所以,312101ABPQABkkk 12分
ABPQ与向量
共线