概率论与数理统计教程第七章答案
- 格式:doc
- 大小:887.50 KB
- 文档页数:17
写在前面:由于答案是一个个复制到word中,比较耗时耗力,故下载收取5分,希望需要的朋友给予理解和支持!PS:网上有一些没经我同意就将我的答案整合、转换成pdf,放在文库里的,虽然是免费的,但是窃取了我的劳动成果,希望有心的朋友支持我一下,下载我的原版答案。
第七章假设检验7.1 假设检验的基本概念习题1样本容量n确定后,在一个假设检验中,给定显著水平为α,设此第二类错误的概率为β,则必有(). (A)α+β=1;(B)α+β>1;(C)α+β<1;(D)α+β<2.解答:应选(D).当样本容量n确定后,α,β不能同时都很小,即α变小时,β变大;而β变小时,α变大.理论上,自然希望犯这两类错误的概率都很小,但α,β的大小关系不能确定,并且这两类错误不能同时发生,即α=1且β=1不会发生,故选(D).习题2设总体X∼N(μ,σ2),其中σ2已知,若要检验μ,需用统计量U=X¯-μ0σ/n.(1)若对单边检验,统计假设为H0:μ=μ0(μ0已知),H1:μ>μ0,则拒绝区间为;(2)若单边假设为H0:μ=μ0,H1:μ<μ0,则拒绝区间为(给定显著性水平为α,样本均值为X¯,样本容量为n,且可记u1-α为标准正态分布的(1-α)分位数).解答:应填(1)U>u1-α;(2)U<uα.由单侧检验及拒绝的概念即可得到.习题3如何理解假设检验所作出的“拒绝原假设H0”和“接受原假设H0”的判断?解答:拒绝H0是有说服力的,接受H0是没有充分说服力的. 因为假设检验的方法是概率性质的反证法,作为反证法就是必然要“推出矛盾”,才能得出“拒绝H0”的结论,这是有说服力的,如果“推不出矛盾”,这时只能说“目前还找不到拒绝H0的充分理由”,因此“不拒绝H0”或“接受H0”,这并没有肯定H0一定成立. 由于样本观察值是随机的,因此拒绝H0,不意味着H0是假的,接受H0也不意味着H0是真的,都存在着错误决策的可能.当原假设H0为真,而作出了拒绝H0的判断,这类决策错误称为第一类错误,又叫弃真错误,显然犯这类错误的概率为前述的小概率α:α=P(拒绝H0|H0为真);而原假设H0不真,却作出接受H0的判断,称这类错误为第二类错误,又称取伪错误,它发生的概率β为β=P(接受H0|H0不真).习题4犯第一类错误的概率α与犯第二类错误的概率β之间有何关系?解答:一般来说,当样本容量固定时,若减少犯一类错误的概率,则犯另一类错误的概率往往会增大.要它们同时减少,只有增加样本容量n.在实际问题中,总是控制犯第一类错误的概率α而使犯第二类错误的概率尽可能小.α的大小视具体实际问题而定,通常取α=0.05,0.005等值.习题5在假设检验中,如何理解指定的显著水平α?解答:我们希望所作的检验犯两类错误的概率尽可能都小,但实际上这是不可能的. 当样本容量n固定时,一般地,减少犯其中一个错误的概率就会增加犯另一个错误的概率. 因此,通常的作法是只要求犯第一类错误的概率不大于指定的显著水平α,因而根据小概率原理,最终结论为拒绝H0较为可靠,而最终判断力接受H0则不大可靠,其原因是不知道犯第二类错误的概率β究竟有多少,且α小,β就大,所以通常用“H0相容”,“不拒绝H0”等词语来代替“接受H0”,而“不拒绝H0”还包含有再进一步作抽样检验的意思.习题6在假设检验中,如何确定原假设H0和备择假设H1?解答:在实际中,通常把那些需要着重考虑的假设视为原假设H0,而与之对应的假设视为备择假设H1.(1)如果问题是要决定新方案是否比原方案好,往往将原方案取假设,而将新方案取为备择假设;(2)若提出一个假设,检验的目的仅仅是为了判断这个假设是否成立,这时直接取此假设为原假设H0即可.习题7假设检验的基本步骤有哪些?解答:根据反证法的思想和小概率原理,可将假设检验的步骤归纳如下:(1)根据问题的要求,提出原理假设H0和备择假设H1.(2)根据检验对象,构造检验统计量T(X1,X2,⋯,Xn),使当H0为真时,T有确定的分布.(3)由给定的显著水平α,查统计量T所服从的分布表,定出临界值λ,使P(∣T∣>λ)=α,或P(T>λ1)=P(T<λ2)=α/2,从而求出H0的拒绝域:∣T∣>λ或T>λ1,T<λ2.(4)由样本观察值计算统计量T的观察值t.(5)作出判断,将t的值与临界值比较大小作出结论:当t∈拒绝域量时,则拒绝H0,否则,不拒绝H0,即认为在显著水平α下,H0与实际情况差异不显著.习题8假设检验与区间估计有何异同?解答:假设检验与区间估计的提法虽不同,但解决问题的途径是相通的. 参数θ的置信水平为1-α的置信区间对应于双边假设检验在显著性水平α下的接受域;参数θ的置信水平为1-α的单侧置信区对应于单边假设检验在显著性水平α下的接受域.在总体的分布已知的条件下,假设检验与区间估计是从不同的角度回答同一个问题. 假设检验是判别原假设H0是否成立,而区间估计解决的是“多少”(或范围),前者是定性的,后者是定量的.习题9某天开工时,需检验自动包装工作是否正常. 根据以往的经验,其装包的质量在正常情况下服从正态分布N(100,1.52)(单位:kg).现抽测了9包,其质量为:99.3,98.7,100.5,101.2,98.3,99.7,99.5,102.0,100.5.问这天包装机工作是否正常?将这一问题化为假设检验问题. 写出假设检验的步骤(α=0.05).解答:(1)提出假设检验问题H0:μ=100,H1:μ≠100;(2)选取检验统计量U:U=X¯-1001.59,H0成立时, U∼N(0,1);(3)α=0.05,uα/2=1.96,拒绝域W={∣u∣>1.96};(4)x¯≈99.97,∣u∣=0.06.因∣u∣<uα/2=1.96,故接受H0,认为包装机工作正常.习题10设总体X∼N(μ,1),X1,X2,⋯,Xn是取自X的样本. 对于假设检验H0:μ=0,H1:μ≠0,取显著水平α,拒绝域为W={∣u∣>uα/2},其中u=nX¯,求:(1)当H0成立时, 犯第一类错误的概率α0;(2)当H0不成立时(若μ≠0),犯第二类错误的概率β.解答:(1)X∼N(μ,1),X¯∼N(μ,1/n),故nX¯=u∼N(0,1).α0=P{∣u∣>uα/2∣μ=0}=1-P{-uα/2≤u≤uα/2}=1-[Φ(uα/2)-Φ(-uα/2)]=1-[(1-α2)-α2]=α,即犯第一类错误的概率是显著水平α.(2)当H0不成立,即μ≠0时,犯第二类错误的概率为β=P{∣u∣≤uα/2∣E(X)=μ}=P{-uα/2≤u≤uα/2∣E(X)=μ}=P{-uα/2≤nX¯≤uα/2∣E(X)=μ}=P{-uα/2-nμ≤n(X¯-μ)≤uα/2-nμ∣E(X)=μ}=Φ(uα/2-nμ)-Φ(-uα/2-nμ).注1当μ→+∞或μ→-∞时,β→0.由此可见,当实际均值μ偏离原假设较大时,犯第二类错误的概率很小,检验效果较好.注2当μ≠0但接近于0时,β≈1-α.因α很小,故犯第二类错误的概率很大,检验效果较差.7.2 单正态总体的假设检验习题1已知某炼铁厂铁水含碳量服从正态分布N(4.55,0.1082).现在测定了9炉铁水,其平均含碳量为4.484.如果估计方差没有变化,可否认为现在生产的铁水平均含碳量仍为4.55(α=0.05)?解答:本问题是在α=0.05下检验假设H0:μ=4.55,H1:μ≠4.55.由于σ2=0.1082已知,所以可选取统计量U=X¯-4.550.108/9,在H0成立的条件下,U∼N(0,1),且此检验问题的拒绝域为∣U∣=∣X¯-4.550.108/9∣>uα/2,这里u=4.484-4.550.108/9≈-1.833,uα/2=1.96.显然∣u∣=1.833<1.96=uα/2.说明U没有落在拒绝域中,从而接受H0,即认为现在生产之铁水平均含碳量仍为4.55.习题2要求一种元件平均使用寿命不得低于1000小时,生产者从一批这种元件中随机抽取25件,测得其寿命的平均值为950小时. 已知该种元件寿命服从标准差为σ=100小时的正态分布,试在显著性水平α=0.05下确定这批元件是否合格?设总体均值为μ,μ未知,即需检验假设H0:μ≥1000,H1:μ<1000.解答:检验假设H0:μ≥1000,H1:μ<1000.这是单边假设检验问题. 由于方差σ2=0.05,故用u检验法. 对于显著性水平α=0.05,拒绝域为W={X¯-1000σ/n<-uα.查标准正态分布表,得u0.05=1.645.又知n=25,x¯=950,故可计算出x¯-1000σ/n=950-1000100/25=-2.5.因为-2.5<-1.645,故在α=0.05下拒绝H0,认为这批元件不合格.习题3打包机装糖入包,每包标准重为100kg.每天开工后,要检验所装糖包的总体期望值是否合乎标准(100kg).某日开工后,测得9包糖重如下(单位:kg):99.398.7100.5101.298.399.799.5102.1100.5打包机装糖的包得服从正态分布,问该天打包机工作是否正常(α=0.05)?解答:本问题是在α=0.05下检验假设H0:μ=100,H1:μ≠100.由于σ2未知,所以可选取统计量T=X¯-100S/n,在H0成立的条件下,T∼t(n-1),且此检验问题的拒绝域为∣T∣=∣X¯-100S/n∣>tα/2(n-1),这里t=x¯-100s/n≈99.978-1001.2122/9≈-0.0544,t0.025(8)=2.306.显然∣t∣=0.0544<2.306=t0.025(8),即t未落在拒绝域中,从而接受H0,即可以认为该天打包工作正常.习题4机器包装食盐,假设每袋盐的净重服从正态分布,规定每袋标准含量为500g,标准差不得超过10g.某天开工后,随机抽取9袋,测得净重如下(单位:g):497,507,510,475,515,484,488,524,491,试在显著性水平α=0.05下检验假设:H0:μ=500,H1:μ≠500.解答:x¯=499,s≈16.031,n=9,t=(x¯-μ0)sn=499-50016.0319=-0.1871,α=0.05,t0.025(8)=2.306.因∣t∣<t0.025(8),故接受H0,认为该天每袋平均质量可视为500g.习题5从清凉饮料自动售货机,随机抽样36杯,其平均含量为219(mL),标准差为14.2mL,在α=0.05的显著性水平下,试检验假设:H0:μ=μ0=222,H1:μ<μ0=222.解答:设总体X∼N(μ,σ2),X代表自动售货机售出的清凉饮料含量,检验假设H0:μ=μ0=222(mL),H1:μ<222(mL).由α=0.05,n=36,查表得t0.05(36-1)=1.6896,拒绝域为W={t=x¯-μ0s/n<-tα(n-1).计算t值并判断:t=219-22214.2/36≈-1.27>-1.6896,习题6某种导线的电阻服从正态分布N(μ,0.0052).今从新生产的一批导线中抽取9根,测其电阻,得s=0.008Ω,对于α=0.05,能否认为这批导线电阻的标准差仍为0.005?解答:本问题是在α=0.05下检验假设H0:σ2=0.0052,H1:σ2≠0.0052.选取统计量χ2=n-1σ2S2,在H0成立的条件下,χ2∼χ2(n-1),且此检验问题的拒绝域为χ2>χα/22(n-1)或χ2<χ1-α/22(n-1).这里χ2=9-10.0052s2=80.0052×0.0082=20.48,χ0.9752(8)=2.18,χ0.0252(8)=17.5.显然χ2落在拒绝域中,从而拒绝H0,即不能认为这批导线电阻的标准差仍为0.005.习题7某厂生产的铜丝,要求其折断力的方差不超过16N2.今从某日生产的铜丝中随机抽取容量为9的样本,测得其折断力如下(单位:N):289,286,285,286,285,284,285,286,298,292设总体服从正态分布,问该日生产的铜线的折断力的方差是否符合标准(α=0.05)?解答:检验问题为H0:σ2≤16,H1:σ2>16,n=9,s2≈20.3611,χ2=8×s216≈10.181,α=0.05,χ0.052(8)=15.507.因χ2<χ0.052(8)=15.507,故接受H0,可认为铜丝的折断力的方差不超过16N2.习题8过去经验显示,高三学生完成标准考试的时间为一正态变量,其标准差为6min.若随机样本为20位学生,其标准差为s=4.51,试在显著性水平α=0.05下,检验假设:H0:σ≥6,H1:σ<6.解答:H0:σ≥6,H1:σ<6.α=0.05,n-1=19,s=4.51,χ0.952(19)=10.117.拒绝域为W={χ2<10.117}.计算χ2值χ2=(20-1)×4.51262≈10.74.因为10.74>10.117,故接受H0,认为σ≥6.习题9测定某种溶液中的水分,它的10个测定值给出s=0.037%,设测定值总体服从正态分布,σ2为总体方差,σ2未知,试在α=0.05水平下检验假设:H0:σ≥0.04%,H1:σ<0.04%.解答:在α=0.05下,拒绝域为W={(n-1)S2σ02<χ1-α2(9).查χ2分布表得χ0.952(9)=3.325.计算得(n-1)s2σ02=(10-1)×(0.037\per)2(0.04\per)2≈7.7006>3.325,未落入拒绝域,故接受H0.sw=(5-1)×(1.971)2+(4-1)×(1.167)25+4-2≈1.674.查表得t0.005(7)=1.895.算得t=2.86-2.075-01.67415+14≈0.699<1.895.因为0.699<1.895,故不拒绝H0,认为此药无效.习题3据现在的推测,矮个子的人比高个子的人寿命要长一些.下面给出美国31个自然死亡的总统的寿命,将他们分为矮个子与高个子2类,列表如下:矮个子总统8579679080高个子总统6853637088746466606078716790737177725778675663648365假设2个寿命总体均服从正态分布且方差相等,试问这些数据是否符合上述推陈出推测(α=0.05)?解答:设μ1,μ2分别为矮个子与高个子总统的平均寿命,则检验问题为H0:μ1≤μ2,H1:μ1>μ2,n1=5,x¯=80.2,s1≈8.585,n2=26,y¯≈69.15,s2≈9.315,sw=4×8.5852+9.315229≈9.218,n1n2n1+n2≈2.048,t=(80.2-69.15)9.218×2.048≈2.455,α=0.05,t0.05(29)=1.6991,因t>t0.05(29)=1.6991,故拒绝H0,认为矮个子总统的寿命比高个子总统寿命长.习题4在20世纪70年代后期人们发现,酿造啤酒时,在麦芽干燥过程中形成致癌物质亚硝基二甲胺(NDMA).到了20世纪80年代初期,人们开发了一种新的麦芽干燥过程,下面给出了分别在新、老两种过程中形成的NDMA含量(以10亿份中的份数计):故拒绝H0,认为新、老过程中形成的NDMA平均含量差大于2.习题5有两台车床生产同一种型号的滚珠. 根据过去的经验,可以认为这两台车床生产的滚珠的直径都服从正态分布. 现要比较两台车床所生产滚珠的直径的方差,分别抽出8个和9个样品,测得滚珠的直径如下(单位:mm).甲车床xi:15.014.515.215.514.815.115.214.8乙车床yi:15.215.014.815.215.015.014.815.114.8问乙车床产品的方差是否比甲车床的小(α=0.05)?解答:以X,Y分别表示甲,乙二车床产品直径.X∼N(μ1,σ12),Y∼N(μ2,σ22),X,Y独立. 检验假设H0:σ12=σ22,H1:σ22<σ22.用F检验法, 在H0成立时F=S12S22∼F(n1-1,n2-1).由已知数据算得x¯≈15.01,y¯≈14.99,s12≈0.0955,s22≈0.0261,n1=8,n2=9,α=0.05.拒绝域为Rα={F>Fα(n1-1,n2-1)}.查F分布表得F0.05(8-1,9-1)=3.50.计算F值F=s12/s22=0.0955/0.0261≈3.66.因为3.66>3.50,故应否定H0,即认为乙车床产品的直径的方差比甲车床的小.习题6某灯泡厂采用一项新工艺的前后,分别抽取10个灯泡进行寿命试验. 计算得到:采用新工艺前灯泡寿命的样本均值为2460小时. 样本标准差为56小时;采用新工艺后灯泡寿命的样本均值为2550小时,样本标准差为48小时. 设灯泡的寿命服从正态分布,是否可以认为采用新工艺后灯泡的平均寿命有显著提高(α=0.01)?解答:(1)检验假设H0:σ12=σ22,H1:σ12≠σ22.应选取检验统计量F=S12/S22,若H0真, 则F∼F(m-1,n-1);对于给定的检验水平α=0.01,查自由度为(9,9)的F分布表得F0.005(9,9)=6.54;已知m=n=10,s1=56,s2=48,由此得统计量F的观察值为F=562/482≈1.36;因为F<F0.005(9,9),所以接受原假设H0,即可认为这两个总体的方差无显著差异.(2)检验假设H0′:μ1=μ2,H1′:μ1<μ2.按上述关于双总体方差的假设检验的结论知这两个总体的方差未知但相等,σ12=σ22,所以应选取检验统计量:T=X¯-Y¯(m-1)S12+(n-1)S22m+n-2(1m+1n),若H0′真,则T∼t(m+n-2);对给定的检验水平α=0.01,查自由度为m+n-2=18的t分布表得临界值计算t值t=z¯-0sz/n=-0.1-00.141/5≈-1.59>-2.776,故接受H0:μz=0,即在α=0.05下,认为两种分析方法所得的均值结果相同.7.4 关于一般总体数学期望的假设检验习题1设两总体X,Y分别服从泊松分布P(λ1),P(λ2),给定显著性水平α,试设计一个检验统计量,使之能确定检验H0:λ1=λ2,H1:λ1≠λ2的拒绝域,并说明设计的理论依据.解答:因非正态总体,故宜用大样统计,设X¯=1n1∑i=1n1Xi,S12=1n1-1∑i=1n1(Xi-X¯)2;Y¯=1n2∑i=1n2Yi,S22=1n2-1∑i=1n2(Yi-Y¯)2.\because(X¯-Y¯)-(λ1-λ2)S12n1+S22n2→N(0,1)∴可选用样本函数u=(X¯-Y¯)-(λ1-λ2)S12n1+S22n2作为拒绝域的检验统计量.习题2设某段高速公路上汽车限制速度为104.6km/h,现检验n=85辆汽车的样本,测出平均车速为x¯=106.7km/h,已知总体标准差为σ=13.4km/h,但不知总体是否服从正态分布. 在显著性水平α=0.05下,试检验高速公路上的汽车是否比限制速度104.6km/h显著地快?解答:设高速公路上的车速为随机变量X,近似有X∼N(μ,σ2),σ=13.4km/h,要检验假设H0:μ=μ0=104.6,H1:μ>104.6.α=0.05,n=85,uα=u0.05=1.645.拒绝域W={u=x¯-μ0σ/n>uα.由x¯=106.7,σ=13.4,μ0=104.6,n=85得u=106.7-104.613.4/85≈1.44<1.645.因为1.44<1.645,所以接受H0,即要α=0.05显著性水平下,没有明显的证据说明汽车行驶快于限制速度.习题3某药品广告上声称该药品对某种疾病和治愈率为90%,一家医院对该种药品临床使用120例,治愈85人,问该药品广告是否真实(α=0.02)?解答:设该药品对某种疾病的治愈率为p,随机变量X为X={1,临床者使用该药品治愈0,反之则X∼b(1,p),问题该归结为检验假设:H0:p=0.9,H1:p≠0.9.由于n=120足够大,可以用u检验法,所给样值(x1,x2,⋯,x120)中有85个1,35个0,所以x¯=1120∑i=1120xi=1120∑i=1851=85120≈0.71,又p0=0.9,以之代入统计量U得U的观察值为∣u∣=∣0.71-0.9∣0.9×0.1120=6.94>u0.01=2.33,故拒绝H0,即认为该药品不真实.习题4一位中学校长在报纸上看到这样的报道:“这一城市的初中学生平均每周看8小时电视.”她认为她所领导的学校,学生看电视时间明显小于该数字. 为此,她向她的学校的100名初中学生作了调查,得知平均每周看电视的时间x¯=6.5小时,样本标准差为s=2小时,问是否可以认为这位校长的看法是对的(α=0.05)?解答:检验假设H0:μ=8,H1:μ<8.由于n=100,所以T=X¯-μS/n近似服从N(0,1)分布,α=0.05,u0.05=1.645.又知x¯=6.5,s=2,故计算得t=6.5-82/100=-7.5,否定域W={X¯-8S/n<-u0.05.因为-7.5<-1.645,故否定H0,认为这位校长的看法是对的.习题5已知某种电子元件的使用寿命X(h)服从指数分布e(λ),抽查100个元件,得样本均值x¯=950(h),能否认为参数λ=0.001(α=0.05)?解答:由题意知X∼e(λ),E(X)=1/λ,D(X)=1/λ2,故当n充分大时u=x¯-1/λ1nλ=(x¯-1λ)λn=(λx¯-1)n(0,1).现在检验问题为H0:λ=0.001,H1:λ≠0.001,样本值u=(0.001×950-1)×100=0.5,α=0.05,u0.025=1.96.因∣u∣<u0.025=1.96,故接受H0,即可认为参数λ=0.001(即元件平均合适用寿命为1000h).习题6某产品的次品率为0.17,现对此产品进行新工艺试验,从中抽取400检查,发现次品56件,能否认为这项新工艺显著地影响产品质量(α=0.05)?解答:检验问题为H0:p=0.17,H1:p≠0.17,由题意知⌢p=mn=56400=0.14,u=(⌢p-p0)p0q0n=0.14-0.170.17×0.83×400≈-1.597,α=0.05,u0.025=1.96.因∣u∣<u0.025=1.96,故接受H0,即认为新工艺没有显著地影响产品质量.习题7某厂生产了一大批产品,按规定次品率p≤0.05才能出厂,否则不能出厂,现从产品中随机抽查50件,发现有4件次品,问该批产品能否出厂(α=0.05)?解答:问题归结为在α=0.05下,检验假设H0:p≤0.05,H1:p>0.05.这是一个单侧检验问题,用u检验法,H0的拒绝域为U=X¯-p0p0(1-p0)n>uα.已知n=50,p0=0.05,x¯=450=0.08,代入U的表达式得u=0.08-0.050.05×0.9550≈0.97<uα=u0.05=1.645,故接受H0,即认为这批产品可以出厂.习题8从选区A中抽取300名选民的选票,从选区B中抽取200名选民的选票,在这两组选票中,分别有168票和96票支持所提候选人,试在显著水平α=0.05下,检验两个选区之间对候选人的支持是否存在差异. 解答:这是两个比率的比较问题,待检假设为H0:p1=p2,H1:p1≠p2.由题设知n=300,μn=168,m=200,μm=96,p1=168320=0.56,p2=96200=0.48,p=μn+μmm+n=264500=0.528.U0∼=p1-p2p(1-p)(1n+1m)=0.56-0.480.528×0.472×1120≈1.755,由P{∣U∼∣>1.96}=α=0.05,得拒绝域∣U∼∣>1.96,因为U0∼=1.755<1.96,故接受H0,即两个选区之间无显著差异.7.5 分布拟合检验Ai k概率pi npi频数fi(fi-npi)2(fi-npi)2npiA001/108085250.3125A111/108093169 2.1125A221/108084160.2A331/10807910.0125A441/10807840.05A551/108069121 1.5125A661/108074360.45A771/10807181 1.0125A881/108091121 1.5125A991/108076160.2∑18007.375由于当H0为真时,χ2=∑i=0k(fi-npi)2npi∼χ2(k-1-r),且此检验问题的拒绝域为χ2≥χα2(k-1-r).这里χ2=7.375,查表知χ0.052(10-1-0)=χ0.052(9)=16.9,显然χ2=7.375<16.9=χ0.052(9),即χ2未落在拒绝域中,所以接受H0,即认为这个正20面体是由均匀材料制面的.习题2根据观察到的数据疵点数0 1 2 3 4 5 6频数fi 14 27 26 20 7 3 3检验整批零件上的疵点数是否服从泊松分布(α=0.05).解答:设X表示整批零件上的疵点数,则本问题是在α=0.05下检验假设H0:P{X=i}=λie-λi!,i=0,1,2,⋯.由于在H0中参数λ未具体给出,所以先估计λ的值. 由极大似然估计法得λ=x¯=1100(0×14+1×27+2×26+3×20+4×7+5×3+6×3)=2.将试验的所有可能结果分为7个互不相容的事件A0,A1,⋯,A7, 当H0成立时,P{X=i}有估计值p0=P{X=0}=e-2≈0.135335,p1=P{X=1}=2e-2≈0.27067,p2=P{X=2}=2e2≈0.270671,p3=P{X=3}≈0.180447,p4=P{X=4}=2/3e-2≈0.090224,p5=P{X=5}=4/15e-2≈0.036089, p6=P{X=6}=4/45e-2≈0.0120298. 列表如下:Ai k 概率pi npi 频数fi (fi-npi)2 (fi-npi)2npiA0 A1 A2 A3 A4 A5 A6 0 1 2 3 4 5 6 0.1353350.270671 0.270671 0.180447 0.090224 0.036089 0.0120298 13.5335 27.0671 27.0672 18.0447 9.02243.60891.2029813.83428 14 27 26 2073313 0.2176 0.0045 1.1387 3.8232 0.6960 0.01608 0.000166 0.04207 0.2118740.050310∑1000.3205当H0为真时,χ2=∑i=0k(fi-npi)2npi ∼χ2(k-1-r),且此检验问题的拒绝域为χ2≥χα2(k-1-r), 这里χ2=0.3205, 查表知χ0.052(5-1-1)=χ0.052(3)=7.815. 显然 χ2=0.3205<7.815=χ0.052(3).即χ2未落在拒绝域中,接受H0, 故可认为整批零件上的疵点数服从泊松分布.习题3检查了一本书的100页,记录各页中印刷错误的个数,其结果为错误个数fi0 1 2 3 4 5 6 ≥7含fi 个错误的页数 36 40 19 2 0 2 1 0问能否认为一页的印刷错误个数服从泊松分布(取α=0.05)? 解答:检验假设H0: 一页的印刷错误个数X 服从泊松分布, P{X=i}=λie -λi!,i=0,1,2,⋯.H0 不成立. 先估计未知参数λλ=x¯=1/100(0×36+1×40+2×19+3×2+4×0+5×2+6×1)=1. 在H0成立下pi =P {X=i}=(λ)ie-λi!=e-1i!,i=0,1,2,⋯. 用χ2检验法χ2=∑i =1k(fi-npi )2npi ∼χ2(k -r-1). 本题中r=1, 其中fi 为频数. H0的拒绝域为 Rα={χ2>χα2(k -r-1)}. 列表计算如下:n=100, 对每个{X=i}计算pi ,npi ,fi-npi ,(fi-npi )2/(npi )(i=1,2,⋯,7). 要求每一个npi ≥5.计算χ2值χ2=0.0170+0.2801+0.0202+1.1423=1.4596.习题6下表记录了2880个婴儿的出生时刻:试问婴儿的出生时刻是否服从均匀分布U[0,24](显著性水平α=0.05)?解答:原假设H0:F0(x), 由F0(x)算得pi=F0(i)-F0(i-1)=124,npi=2880×124=120 (i=1,2,⋯,24),于是χ2=∑i=124(fi-npi)2npi≈40.47,对α=0.05, 自由度n-1=23, 查χ2-分布表,得χα2(n-1)=35.17,因为χ2=40.47>35.17, 所以拒绝H0, 即可以认为婴儿出生时刻不服从均匀分布U[0,24].总习题解答习题1下面列出的是某工厂随机选取的20只部件的装配时间(min):9.8,10.4,10.6,9.6,9.7,9.9,10.9,11.1,9.6,10.2,10.3,9.6,9.9,11.2,10.6,9.8,10.5,10.1,10.5,9.7.设装配时间的总体服从正态分布N(μ,σ2),μ,σ2均未知,是否可以认为装配时间的均值显著地大于10(取α=0.05)?解答:检验假设H0:μ≤μ0=10,H1:μ>10.已知n=20,α=0.05,由数据算得x¯=10.2,s≈0.5099.因σ2未知,故用t检验法,拒绝域为W={X¯-μ0S/n>tα(n-1).计算得x¯-μ0s/n=10.2-100.5099/20≈1.7541.查t分布表得t0.05(19)=1.7291.因为1.7541>1.7291,故拒绝H0,可以认为装配时间的均值显著地大于10.习题2某地早稻收割根据长势估计平均亩产为310kg,收割时,随机抽取了10块,测出每块的实际亩产量为x1,x2,⋯,x10,计算得x¯=110∑i=110xi=320.如果已知早稻亩产量X服从正态分布N(μ,144),显著性水平α=0.05,试问所估产量是否正确?解答:这是一个正态分布总体,方差已知,对期望的假设检验问题,如果估计正确,则应有μ=310,因此我们先将问题表示成两个假设:①H0:μ=310,H1:μ≠310.接下来就要分析样本值来确定是接受H0,还是接受H1.当H0为真时,统计量②U=X¯-31012/10∼N(0,1),从而有③P{∣U∣>1.96}=0.05,拒绝域为(-∞,-1.96)∪(1.96,+∞).④计算U0=∣320-310∣12/n≈2.64>1.96,即拒绝H0,也就是有理由不相信H0是真的,故认为估产310kg不正确.习题3设某次考试的考生成绩服从正态分布,从中随机地抽取36位考生的成绩,算得平均成绩为66.5分,样本标准差为15分,问在显著水平0.05下,是否可认为这次考试全体考生的平均成绩为70分?并给出检验过程.(1)设这次考试全体考生的平均成绩X∼N(μ,σ2),则待检验假设H0:μ=70,备择假设H1:μ≠70;(2)在H0成立条件下选择统计量T=X¯-μ0S/n∼t(n-1);(3)在显著性水平0.05下,查t分布表,找出临界值tα/2(n-1)=t0.025(35)=2.0301,则拒绝域为(-∞,-2.0301)∪(2.0301,+∞);(4)计算t=∣66.5-70∣15/36=1.4∈(-2.0301,2.0301),故接受H0,因此可认为这次考试全体考生的平均成绩为70分.习题4设有来自正态总体的容量为100的样本,样本均值x¯=2.7,μ,σ2均未知,而∑i=1n(xi-x¯)2=225,在α=0.05水平下,检验下列假设(1)H0:μ=3,H1:μ≠3;(2)H0:σ2=2.5,H1:σ2≠2.5.解答:(1)由题意知n=100,x¯=2.7,s=199×225≈1.508,t=(2.7-3)1.508×100≈-1.9894,α=0.05,t0.025(99)≈t0.025(100)=1.984.因∣t∣=1.9894>t0.025(99)=1.984,故拒绝H0,即认为μ≠3.(2)由题意知χ2=∑i=1n(x1-x¯)22.5=2252.5=90,α=0.05,χ0.0252(99)≈χ0.0252(100)=129.56,χ0.9752(99)≈χ0.9752(100)=74.22,因χ0.9752(99)<χ2=90<χ0.0252(99),故接受H0,即可以认为σ2=2.5.习题5设某大学的男生体重X为正态总体,X∼N(μ,σ2),欲检验假设:H0:μ=68kg,H1:μ>68kg.已知σ=5,取显著性水平α=0.05,若当真正均值为69kg时,犯第二类错误的概率不超过β=0.05,求所需样本大小.解答:由第一类、第二类错误及分位数的定义,易于证明:对于某个给定的δ>0(∣μ-μ0∣≥δ),样本容量n应满足:n≥(uα+uβ)2σ2δ2.因为α=β=0.05,故uα=uβ=1.645,对其对立假设μ=69而言,取δ=1,则n=(uα+uβ)2σ2δ2=(1.645+1.645)2×251≈270.6,故取n=271.某装置的平均工作温度据制造厂家称不高于190∘C.今从一个由16台装置构成的随机样本测得工作温度的平均值和标准差分别为195∘C和8∘C,根据这些数据能否说明平均工作温度比制造厂所说的要高?(设α=0.05,并假设工作温度近似服从正态分布.)解答:设X为工作温度,则X∼N(μ,σ2).①待检假设H0:μ≤190,备择假设H1:μ>190;②在H0成立条件下,选择统计量T=X¯-μ0S/n≈t(n-1);③在显著性水平0.05下,查t分布表,找出临界值tα(n-1)=t0.05(15)=1.75,拒绝域为(1.75,+∞);④计算t=X¯-μ0S/n=195-1908/16=2.5>1.75,所以否定原假设H0,说明平均工作温度比制造厂所说的要高.习题7电工器材厂生产一批保险丝,抽取10根试验其熔断时间,结果为42657578715957685455假设熔断时间服从正态分布,能否认为整批保险丝的熔断时间的方差不大于80(α=0.05)?解答:①待检假设H0:σ2≤80,备择假设H1:σ2>80;②在H0成立时,选取统计量χ2=(n-1)S2σ02∼χ2(n-1);③由α=0.05,n-1=9,查χ2分布表,χα2(n-1)=χ0.052(9)=16.919;④计算样本值:x¯=110(42+65+75+78+71+59+57+68+54+55)=62.4,s2=19∑i=110(xi-x¯)2≈121.8,χ2=9×121.880≈13.7∈(0,16.919).故接受原假设H0即在α=0.05下,可认为整批保险丝的熔断时间的方差不大于80.习题8某系学生可以被允许选修3学分有实验物理课和4学分无实验物理课,11名学生选3学分的课,考试平均分数为85分,标准差为4.7分;17名学生选4学分的课,考试平均分数为79分,标准差为6.1分. 假定两总体近似服从方差相同的正态分布,试在显著性水平α=0.05下检验实验课程是否能使平均分数增加8分?解答:设有实验的课程考分X1∼N(μ1,σ12),无实验的课程考分X2∼N(μ2-σ22).假定σ12=σ22=σ2未知,检验假设H0:μ1-μ2=8,H1:μ1-μ2≠8.由题意知,选用t检验统计量,则拒绝域为W={∣x1¯-x2¯-(μ1-μ2)sw1n1+1n2∣>tα/2(n1+n2-2),其中sw2=(n1-1)s12+(n2-1)s22n1+n2-2.由x1¯=85,x2¯=79,n1=11,n2=17,s1=4.7,s2=6.1,算出sw=(11-1)×4.72+(17-1)×6.1211+17-2≈5.603.从而算出t值为t=85-79-85.603111+117≈-0.92,由α=0.05,查表得t0.025(11+17-2)=t0.025(25)=2.056,因为∣t∣=0.92<2.056,故接受H0,认为μ1-μ2=8.习题9某校从经常参加体育锻炼的男生中随机地选出50名,测得平均身高174.34厘米;从不经常参加体育锻炼的男生中随机地选50名,测得平均身高172.42厘米. 统计资料表明两种男生的身高都服从正态分布,其标准差分别为5.35厘米和6.11厘米,问该校经常参加锻炼的男生是否比不常参加锻炼的男生平均身高要高些(α=0.05)?解答:设X,Y分别表示常锻炼和不常锻炼男生的身高,由题设X∼N(μ1,5.352),Y∼N(μ2,6.112).①待检假设H0:μ1≤μ2,备择假设H1:μ1>μ2;②选取统计量U=X¯-Y¯σ12n+σ22m∼(H0成立)N(0,1);③对于α=0.05,查标准正态分布表,uα=u0.05=1.64;则拒绝域为(1.64,+∞);④计算u=174.34-172.425.35250+6.11250≈1.67>1.64,故否定原假设H0,即表明经常体育锻炼的男生平均身高比不经常体育锻炼的男生平均身高高些.习题10在漂白工艺中要改变温度对针织品断裂强力的影响,在两种不同温度下分别作了8次试验,测得断裂强力的数据如下(单位:kg):70∘C:20.818.819.820.921.519.521.021.280∘C:17.720.320.018.819.020.120.219.1判断两种温度下的强力有无差别(断裂强力可认为服从正态分布α=0.05)?解答:(1)本问题是在α=0.05下检验假设μ1=μ2,为此需要先检验σ12=σ22是否成立.H01:σ12=σ22,H11:σ12≠σ22.选取统计量F=S12S22,在H01成立的条件下,F∼F(n1-1,n2-1),且此检验问题的拒绝域为F>Fα/2(n1-1,n2-1)或F<F1-α/2(n1-1,n2-1).这里F=s12s22≈0.90550.8286≈1.0928,F0.025(7,7)=4.99,F0.975(7,7)=1F0.025(7,7)=14.99≈0.2004.显然F0.975(7,7)=0.2004<1.0928<4.99=F0.025(7,7).说明F未落在拒绝域中,从而接受H01,即认为两温度下的强力的方差没有显著变化,亦即σ12=σ22. (2)再检验假设H0ʹ:μ1=μ2,H0ʹ:μ1≠μ2,在H0ʹ成立的条件下,T=X1¯-X2¯(n1-1)S12+(n2-1)S22n1+n2-21n1+1n2∼t(n1+n2-2),且此检验问题的拒绝域为∣T∣>tα/2(n1+n2-2),这里T≈20.4-19.47×0.9055+7×0.82868+8-218+18≈2.148,显然∣T∣=2.148>2.145=t0.025(14).说明T落在拒绝域中,从而拒绝H0,即认为两种温度下的断裂强力有显著差别.习题11一出租车公司欲检验装配哪一种轮胎省油,以12部装有Ⅰ型轮胎的车辆进行预定的测试. 在不变换驾驶员的情况下,将这12部车辆换装Ⅱ型轮并重复测试,其汽油耗量如下表所示(单位:km/L).汽车编号i123456789101112Ⅰ型胎(xi)4.24.76.67.06.74.55.76.07.44.96.15.2Ⅱ型胎(yi)4.14.96.26.96.84.45.75.86.94.76.04.9假定两总体均服从正态分布,试在α=0.025的显著性水平下,检验安装Ⅰ型轮胎是否要双安装Ⅱ型轮胎省油?解答:设两种轮胎汽油消耗量之差为随机变量D,则取值为zi=xi-yi=0.1,-0.2,0.4,0.1,-0.1,0.1,0,0.2,0.5,0.2,0.1,0.3.设Z∼N(μz,σz2),σz2未知. 若消耗油相同,则μz=0;若Ⅰ型比Ⅱ型轮胎省油,则μz>0,于是检验假设H0:μz=0,H1:μz>0.由题意知z¯≈0.142,s≈0.198,n-1=12-1=11.α=0.025,查t分布表得t0.025(11)=2.201.所以,拒绝域为W={t>2.201}.由于样本值t=z¯-0s/n=0.142-00.198/12≈2.48>2.201,故拒绝H0:μz=0,即说明Ⅰ型轮胎省油.习题12有两台机器生产金属部件,分别在两台机器所生产的部件中各取一容量n1=60,n2=40的样本,测得部件重量(以kg计)的样本方差分别为s12=15.46,s22=9.66. 设两样本相互独立,两总体分别服从分布N(μ1,σ12),N(μ2,σ22).μi,σi2(i=1,2)均未知,试在α=0.05水平下检验假设H0:σ12≤σ22,H1:σ12>σ22.解答:在α=0.05下,检验假设H0:σ12≤σ22,H1:σ12>σ22,经计算p=1100×10(45+2×17+3×4+4×1+5×1)=1/10,故检验假设为H0:X∼B(10,1/10),即pi=P{X=i}=C10i(1/10)i(9/10)10-i,i=0,1,2,⋯,10.为了使npi≥5,将xi≥3合并,于是k=4,r=1.计算χ2的观察值,计算结果如下表:[200,300) [300,+∞)435843.466.9-0.4-8.90.0041.184∑300300 1.8631其中理论概率pi=p{ti≤T≤ti+1}=∫titi+1f(t)dt(i=1,2,3),p4=1-∑i=13pi,例如p1=P{T<100}=∫01000.005e-0.005tdt=1-e-0.5≈0.393.由k=4,未知参数个数r=0,查表知χα2(k-r-1)=χ0.052(3)=7.815.因χ2=1.8631<χ0.052(3)=7.815.故接受H0,即可认为灯泡的寿命服从该指数分布.习题16关于正态总体X∼N(μ,1)的数学期望有如下二者必居其一的假设,H0:μ=0,H1:μ=1.考虑检验规则:当X¯≥0.98时否定假设H0接受H1,其中X¯=(X1+⋯+X4)/4,而X1,⋯,X4是来自总体X的简单随机样本,试求检验的两类错误概率α和β.解答:易见,在假设“H0:μ=0”成立的条件下,X¯∼N(0,1/4),2X¯∼N(0,1);在假设“H1:μ=1”成立的条件下,X¯∼N(1,1/4),2(X¯-1)∼N(0,1).因此,由定义得α=P{X¯≥0.98∣μ=0}=P{2X¯≥1.96∣μ=0}=0.025,β=P{X¯<0.98∣μ=1}=P{2(X¯-1)<-0.04∣μ=1}=0.4840.习题17考察某城市购买A公司牛奶的比例,作假设H0:p=0.6,H1:p<0.6,随机抽取50个家属,设x为其中购买A公司牛奶的家庭数,拒绝域W={x≤24}.(1)H0成立时,求第一类错误的α;(2)H1成立且p=0.4时,求第二类错误的β(0.4);又当p=0.5时,求第二类错误的β(0.5).解答:由定义知(1)α=P{x≤24∣p=0.6}=Φ(24-50×0.650×0.6×0.4)≈Φ(-1.73)=1-Φ(1.73)=1-0.9528=0.0418.(2)β(0.4)=P{x>24∣p=0.4}=1-Φ(24-50×0.450×0.4×0.6)≈1-Φ(1.15)=1-0.8749=0.1251;。
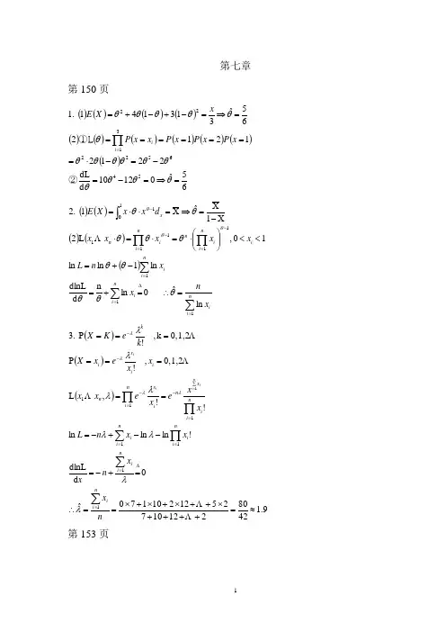
第七章第150页()()()()()()()()()()()65ˆ 01210d dL ②2212121①L 265ˆ313141 .15465223122=⇒=-=-=-⋅========⇒=-+-+=∏=θθθθθθθθθθθθθθθθx P x P x P x x P x X E i i()()()()()∑∑∑∏∏⎰=∆==-==--=∴=+=-+=<<⎪⎪⎭⎫⎝⎛⋅=⋅=⋅X-X =⇒X =⋅⋅=ni ini i n i ii n i i nni in x xnx x n L x x x x x d x x X E 11111111101ln ˆ 0ln n d dlnL ln 1ln ln10 ,L 21ˆ1 .2θθθθθθθθθθθθθ()()()9.142802121072512210170ˆ 0 d dlnL !ln ln ln !!,L 0,1,2, !P 0,1,2k , !P .311111111≈=++++⨯++⨯+⨯+⨯==∴=+-=--+-=========∑∑∏∑∏∏=∆====∑-=---=nxxn x x x n L x x ex ex x x x ex X k e K X ni ini i n i i ni i n i ix n ni i xn i i xi kni iiiλλλλλλλλλλλλ第153页()()()()()()()()()()()()()()()()()()()()()()()()()()()()更有效的无偏估计量都时总体均值与更有效的无偏估计量都时总体均值与222121212212132123211ˆD 259D 254251254ˆD 187D 3614D 4191361ˆD ˆˆE E 525152ˆE E E 213161ˆE ②ˆD 259D 254251254ˆD D 3614D 4191361ˆD ˆˆE E 52E 51E 52ˆE E E 21E 31E 61ˆE ① .1μμσμμμμμμμμμμμμμμμμ∴=⎪⎭⎫ ⎝⎛++===⎪⎭⎫⎝⎛++=∴==⎪⎭⎫⎝⎛++===⎪⎭⎫⎝⎛++=∴=⎪⎭⎫ ⎝⎛++==⎪⎭⎫⎝⎛++=∴=++==++=X X X X X X X X X X X X X X X X X X X X()()()()()()[]()()()[]()()()()得证证明: 1111X X E 11X X 11X X D X E 2,1 ,X X D X E D X D ,X D .2222222212212222222222222σσσμσμσμσμσμσσ=⎪⎪⎭⎫ ⎝⎛--=⎥⎦⎤⎢⎣⎡⎪⎪⎭⎫ ⎝⎛+-+-=⎪⎭⎫ ⎝⎛--=⎪⎭⎫ ⎝⎛--=+=+==+=+====∑∑==n n n n n n n n nE n n E n S E nE ni E nn i i n i i i i i i略略.532C , 31C 4. .321==第164页()()()()()()⑵0.954.1514 6.1485101425.31500101425.3150025.39t 1t 1t ,1t 1~T 10n 14,S 1500 0.010.991⑴a .10.0052a 2a 2a ,,代入得:查表得:,置信区间,=⎪⎭⎫ ⎝⎛⨯+⨯-==-⎪⎭⎫ ⎝⎛-+X --X --X ====X =-=n n S n n S n n t n S μ ()()1.02784 1.01216 96.1U U ,1,0~U 1.02, 0.050.951a , 0.02 .20.025a 2a 2a ,代入得查表得:,置信区间为==⎪⎭⎫ ⎝⎛+X -X -X ==X =-==n u n u N n σσσμσ()()()()()()5.2078 1.7937 71.125t 1t 1t ,1t 1~T 62n ,02S 5.87 , 0.10.91a .30.052a 2a 2a ,代入得:查表得:,置信区间为,==-⎪⎭⎫ ⎝⎛-+X --X --X ====X =-=n n S n n S n n T n S μ()()()()()()()()()()()()21.07 , 43.7,44.3074 5.1885 2.18 81 , 54.178111,111~1X 9n ,11S , 0.050.951a .42975.0212025.0221222222222a 2a 2a 2a 的置信区间为则,代入得:查表得:置信区间为,σχχχχχχσχσ==-==-⎪⎪⎭⎫ ⎝⎛------====-=--n n n S n n S n n S n 第165页()()()0012.0 3. 2342 2 40394 1 .21098.5,104.02 .144-⨯⨯-- 第167页A5. D 4. B 3. C 2. C .1一、()()()()[]()()()()()()()[][]()()62n 61.5n 510U 2 52U L 62 .5 .4121122221n 21 .3 .22ˆ2X E 2 .1min 0.025221122222112112111212111212a=∴≥∴≤⨯⨯⇒≤=X -=⇒=-⋅=++-+=++-+=+-=⎪⎭⎫⎝⎛--X X =⇒X ==X ∑∑∑∑-=-=+++-=++-=+nnn C n C C X E X D X E X E X E X D C X X X X E C X X C E n n i n i i i i i i i n i i i i i n i i i σσσμσμμσθθ二、()()X =∴X =-=⎥⎦⎤⎢⎣⎡-X =-⋅=⎰3a ˆ a 32a 3a 2a 1X a a 2X X E .1a0322a2x x d x 三、()()()()X=∑=∴=∑+-=∑--=∑=⋅=====--===∏∏ni i n i i ni ix nx ni ni i x n x n d d x n eex f ni ii112111111ˆ 01L ln 1ln L ln 11,L .21θθθθθθθθθθθθθθθ()()()()()()21211111111ln n ˆ 0ln 212ln ln 1ln 2ln 2L ⑵1ˆX E ⑴ .321⎪⎭⎫ ⎝⎛=∴=+=-+=⎪⎪⎭⎫ ⎝⎛==X-X =⇒X ===∑∑∑∏∏⎰⎰===-==--∞+∞-n i i ni ini ini i ni ix x X Xn d L d X nL X n X d xx d x f x θθθθθθθθθθθθθθθ1000499ˆ .4=X =P(()()()()()()()()()()[()()()()()()]()()()()()()()62.12,38.117.34 , 96.7 00.833 9.125 325.3 91 ,92.1691141.11189.515.3489.511.4889.511.6689.514.5389.518.6989.513.4289.518.4489.513.5489.519.5489.517.509111,111~1X 89.51)5.341.481.664.538.692.438.443.549.547.5010110n , 0.10.91a .5295.021205.0222222222222212222222a a 2a 2a 的置信区间为,代入得:查表得:,置信区间为σχχχχχχχσ∴==-==-=-+-+-+-+-+--+-+-+-=⎪⎪⎭⎫ ⎝⎛------==+++++++++=X ==-=--n n S n S n n S n n S n 略 .6()220.025L 15.3664n L1.962 2U , 96.1U U ,1,0~U , 0.05a .72a2a 2a 2a σσσσσσμ≤≤⨯⨯≤==⎪⎭⎫ ⎝⎛+X -X -X ==解得:即查表得:,置信区间为nL nn u n u N n。
写在前面:由于答案是一个个复制到word rh,比校耗时耗力,故下载收取5分・希望需要的朋友给予理解和支持!PS网上有一些没经我同总就将我的答案整合、转换成pdf,放在文库里的.虽然是免费的.但是窃取f我的劳动成果,希望有心的朋友支持我一下.下载我的原版答案。
第七章假设检验假设检验的基本談念习题1 样木容fin确定后,在一个假设检验中•给定显著水平为*设此第一类错的概率为。
•则必有()•(A)a+p=l; (B)a+p>l; (C)a+p<l; {D)a+p<2.解答: 应选(D)・当样木容Sn确定后.aQ不能同时都很小.即a变小时,p变大:而P变小时• a变大.理论上,自然希望犯这两类错误的概率都很小・但a*的大小关系不能确定.并且这两类错谋不能同时发生,即a=l且p=l不会发生.故选(D).习題2设总休X^(g,a2b其中02已知,着要检验W需川统计a U=X"-gOa/n,(1)若对敢边检验,统计假设为则拒绝区间为(2)若肌边假设为H0:g=g0,Hl:n<^0,则拒绝区间为. (给定显着性水平为4样木均值为X•,样木容fi 为n,且可记ul・a为标准正态分布的(l・a)分位数).解答:由敢侧检验及拒绝的概念即可御到.习題3 如何理解假设检验所作出的〃拒绝原假设H0"和“接受原假设Hcr的判断解答:拒绝H0是有说服力的,接受H0是没有充分说服力的•因为假设检验的方法是概率性质的反证法.作为反证法就是必然要〃推出矛盾r才能得出"拒绝HO"的结论.这是有说服力的・如果“推不出矛盾化这时只能说〃目前还找不到拒绝H0的充分理由W此“不拒绝H0”或〃接受HCr\这并没有肯定H0—定成立•由于样木观察值是随机的• W此拒绝H0.不童味着H0是假的•接受H0也不意味着H0是真的•都存在着错误决策的可能.当原假设H0为真,而作出r拒绝H0的判断,这类决策错谋称为第一类错谋.又叫弃真错洪•显然犯这类错渓的概率为前述的小槪率a:a=P(拒绝HOIHO为真);而原假设HO不真•却作出接受H0的判断•称这类错误为第二类错误,又称取伪错误.它发生的槪率P为P二P(接受HO|H0不真).习題4 犯第一类错误的概率a与犯第二类错谋的概率P之间有何关系一般來说.当样木容g固定时,若减少犯一类错误的槪率.则犯另一类错渓的概率往往会增大•要它们同时减少,只有増加样木容a n.在实际问题中,总是控制犯節一类错误的概率a而使犯第二类错谋的概率尽可能小・a的大小视具体实际问题而定.通常取a弓等tfL 习題5 在假设检验中•如何理解指定的显著水平a 解答:我们希望所作的检验犯两类错谋的槪率尽可能都小・但实际上这是不可能的•当样木容Sn固定时,一般地•减少犯其中一个错谋的槪帑就会增加犯另一个错误的概率• W此,通常的作法是只要求犯第一类错误的概率不大于指定的显著水平6因而根据小概率原理,最终结论为拒绝H0较为可靠,而最终判断力接受H0则不大可靠,«原因是不知道犯第二类错误的概率P处竟有多少.且a小,P就大.所以通常用JW 相容r 〃不拒绝HO"等词语來代替“接受H0".而"不拒绝HO"还包含有再进一步作抽样检验的意思.习题6 在假设检验中•如何确定原假设H0和备择假设H1 解答: 在实际中・通常把那些需要着重考虑的假设视为原假设H0.而与之对应的假设视为备择假设H1.(1)如果问题是要决定新方案是否比原方案好,往往将原方案取假设.而将新方案取为备择假设:(2)若提出一个假设・检验的目的仅仅是为r判断这个假设是否成立.这时直接取此假设为原假设H0即可. 习題7 假设检验的基木步腺有哪些解答:根据反证法的思想和小概率原理•可将假设检验的步骤归纳如下:(1)根据问题的要求.提出原理假设H0和备择假设HL (2)根据检验对紀构造检验统计gT(Xl,X2宀Xn),使肖H0为真时汀有确定的分布.(3)由给定的显著水平6直统计址T所服从的分布表,定出临界值K使P{ 1 T I >A)=a,或P(T>M)=P(T<X2)=a/2,从而求出H0的拒绝域:I T I >入或T>MJ<X2,(4)由样木观察值计算统i|・fi T的观察值t(5)作出判断,将t的值与临界值比较大小作出结论:当tW拒绝域g时,则拒绝H0.否则,不拒绝H0.即认为在显著水平a下,H0与实际悄况差界不显著.习題8 假设检验与区间估il•有何异同解答:假设检验与区间估ii•的提法虽不同,但解决问题的途径是相通的.参数0的a信水平为i・a的a信区间对应于双边假设检验在駄着性水平a下的接受域:参数e的a信水平为1-a的爪侧置信区对应于爪边假设检验在显著性水平a下的接受域.在总休的分布已知的条件下•假设检验与区间估计是从不同的角度回答同一个问題•假设检验是判别原假设H0是否成立,而区间估计解决的是“多少"(或范前者是宦性的.后者是定fi的.习题9 某天开工时,需检验自动包装工作是否正常•根据以往的经验,其装包的质a在正常情况下服从正态分布N(100,仲位:kg).现抽测了9包,其质S为:问这天包装机工作是否正常将这一问题化为假设检验问题.写出假设检验的步驟(am 解答: ⑴提出假设检验问题H0:尸100, Hl:"100;(2)选取检验统il S U:U=X; HO成立时,UW((U);(3)a=,ua/2=,拒绝域W={ 1 u 1 >};(4))f勺I u I =. hM 1 u I <ua/2=,故接受HO,认为包装机.I:作正常.设总休X^(pJbXl,X2/7Xn是取自X的样木.对于假设检验HO:|i=O'Hl:pMO,取显著水平a,拒绝域为W={ i U i >ua/2b其中u=nX-,求:H0成立时,犯第一类错误的槪率aO;(2)十HO不成立时(若"0),犯第二类错的概率p.(l)X^(H4)/X'MM(g,l/n),故nX'=uMM(O,l). a0=P{ I u I >ua/2 I g=0}=l-P{-ua/2<u<ua/2}=1-[<D(ua/2)-(D(-ua/2)]=l-[(l-a2)-a2]=a,即犯第一类错误的概率是显著水平a.(2)F H0不成立.即PMO时.犯第二类错误的概率为P=P{ I U I 30/2 I E(X)=n}=P{・uct/2<u<ua/2 I E(X)=A}=P{-ua/2<nX'<ua/2 I E(X)=|i}=P{-ua/2-nn<n(X'-n)<ua/2-nn I E(X)=n}=(I)(ua/2-niJi)-®(-ua/2-nn),注1 '^1 H T+8或时,PTO.由此可见.当实际均值H偏离原假设校大时,犯第二类错误的概率很小.检验效果较好.注2!勺卩工0但接近于0时.Pdw.Wa很小.故犯第一娄错误的概率很大.检验效果较差.单正态总体的假设检験习题1 已知某炼铁厂铁水含碳量服从正态分布N,・现在测定r 9炉铁水•其平均含碳虽为•如果估计方差没有变化.可否认为现在生产的饮水平均含碳fi仍为(a=解答^ 木问题是在a二下检验假设HO:ns由r a2=已知,所以可选取统计sU=X •在HO 成立的条件下• UW(OJ),且此检验问题的拒绝域为I U 1 = I X •这里 说明U 没有落在拒绝域中.从而接受H0.即认为现在生产之饮水平均含碳S 仍为•习題2要求一种元件平均便用寿命不斜低于1000小肘,生产者从一批这种元件中随机抽取25件,测御其寿命的 平均值为950小时.已知该种元件寿命服从标准差为0=100小时的正态分布,试在显著性水平(1=卜确定 这批元件是否合格设总体均值为卩川未知.即需检验假设H0:H >1000,H1:H <1000.解答:检验假设 HO :n>1000,Hl :n<1000.这是飛边假设检验问题.由于方差02二,故用U 检验法.对于显着性水平a 二,拒绝域为W={X"-1000a/n<-ua.査标准正态分布表•得 又知n=25X=950,故可计算出x'-1000a/n=950-1000100/25=,因为&故在a=下拒绝H0,认为这批元件不合格.习题3 打包机装糖入包,每包标准重为100kg.毎天开工后,要检验所装糖包的总体期望值是否合乎标准 (100kg)•某日开工后.测御9包糖重如下位:kg):打包机装糖的包得服从正态分布•问该天打包机1:作是否正常(a 二 解答: 木问题是在a 二下检验假设HO:p=100,Hl :"100・由于02未知.所以可选取统讣fi T=X--100S/n,在HO 成立的条件下.W(n-1K 且此检验问題的拒绝域为I T I = 1 X'-lOOS/n I >ta/2(n-l).I t 1 =<=(8),即t 未落在拒绝域中・从而接受H0,即可以认为该天打包工作正常.习題4机器包装食盐.假设毎袋盐的净重服从正态分布•规定毎俊标准含fi 为500g,标准差不斜趙过lOg •某天开 工后•随机抽取9袋.测得浄重如下仲位:g):497, 507, 510, 475, 515, 484, 488, 524, 491,I U I =<=ua/2・这里 t=x"-100s/ns :试在駄著性水平a二下检验假设:HO:n=500,Hl:n#500,解答:x'=499,ss:,n=9,t=(x~-|jiO)sn==,a=, (8)=.Will <(8b故接受HO,认为该天每袋平均质a可视为500g・习«5从清凉饮料自动售货机・随机抽样36杯,其平均含g为219(mL),标准差为/在a二的显I?性水平下・试检验假设S HO:A=|I O=222,H1:H<M=222・解答: 设总休X-W(g,a2bX代表自动售货机售出的清凉饮料含S・检验假设H0:n=n0=222(mL), Hl:n<222(mL),由asn=36,査表毎(36・1)弓拒绝域为W={t=x'-nOs/n<-ta(n-l).il•算t值并判断:t=36»习題6 某种寻线的电阻服从正态分布N(x・今从新生产的一批导线中抽取9根・测«电阻•得s=Q,对于a®能否认为这批导线电阴的标准差仍为解答:木问题是在a二下检验假设H0:a2=, Hl:o2匕选取统计fi x2=n-la2S2,在HO成立的条件下,X2^2(n-1),且此检验问題的拒绝域为X2>xa/22(n-l)或x2<xl-a/22(n-l).这里X2==x=,X(8)=,x(8)-落在拒绝域中,从而拒绝HO,即不能认为这批导线电阻的标准差仍为.习题7某厂生产的铜线,要求其折断力的方差不超过16N2.今从某日生产的铜丝中随机抽取容fi为9的样木•测得其折断力如下(飛位:N):289, 286, 285, 286, 285, 284, 285, 286, 298, 292设总体服从正态分布,问该日生产的铜线的折斷力的方差是否符合标准(a二解答: 检验问題为n=9, s2勺X2=8XS216勺am X(8)=・因X2<X(8)s故接受HO,可认为铜丝的折断力的方差不超过16N2.习题8过去经验示.商三学生完成标准考试的时间为一正态变其标准差为6min.若随机样木为20位学生, 其标准差为X,试在显着性水平a= b\检验假设:H0:a>6,Hl:a<6,解答:HO:a>6,Hl:a<6,a=,n-l=19,ssx(19)-拒绝域为W={x2<},i l•算X2值X2=(20-l)x^.因为>■故接受H0,认为a>6.习題9测定某种潯液中的水分・它的10个测定值给出*%,设测定值总体服从正态分布.02为总休方差.02未知,试在a二水平下检验假设:在a= b\拒绝域为W={(n-l)S2a02<xl-a2(9).查X2分布表得X(9)m讣算得(n-l)s2o02=(10-l)x\per)2\per)2^>,未落入拒绝域•故接受H0.取正态总体的假设检越习題1制造厂家宜称•线A的平均张力比线B至少强120N,为证实其说法.在同样情况下测试两种线各50条.线A的平均张力x-=867N,标准差为01=;而线B的平均张力为y・=778N,标准差为o2m在a二的显善性水平下,试检验此制造厂家的说法.解答:H0:nl4l2=120,Hl:pl 屮2<120・am=・W={u=x'-y~-120ol2nl+a22n2<-ua,拒绝域为由x'=867,y'=778,nl=n2=50, 012=2,o22=2,得□=867-778-120250+250^^^,因为&故拒绝H0,认为pl-rx2<120,即厂家的说法不对.习题2 欲知某新血清是否能抑制白血球过多症,选择已患该病的老畝9只•并将其中5只施予此种血清,另外4 只则不热•从实验开始.其存活年限表示如下假设两总体均服从方差相同的正态分布,试在显著性水平a二下检验此种血清是否有效解答^ 设pl- p2分别为老鼠接受和未接受血清的平均存活年限。
《概率论与数理统计》习题及答案第 七 章1.对某一距离进行5次测量,结果如下:2781,2836,2807,2765,2858(米). 已知测量结果服从2(,)N μσ,求参数μ和2σ的矩估计.解 μ的矩估计为ˆX μ=,2σ的矩估计为22*211ˆ()ni i X X S n σ==-=∑ 1(27812836280727652858)2809.05X =++++=,*215854.01170.845S =⨯=所以2ˆ2809,1170.8μσ== 2.设12,,,n X X X 是来自对数级数分布1(),(01,1,2,)(1)kp P X k p k lu p k==-<<=-的一个样本,求p 的矩估计.解 111111ln(1)ln(1)ln(1)1k kk k p p p p p p p μ∞∞==-==-=-⋅----∑∑ (1) 因为p 很难解出来,所以再求总体的二阶原点矩121111ln(1)ln(1)ln(1)kk k x pk k k p p kp kp x p p p μ∞∞∞-===='-⎛⎫==-=- ⎪---⎝⎭∑∑∑ 21ln(1)1ln(1)(1)x pp x p p x p p ='⎡⎤=-=-⋅⎢⎥----⎣⎦ (2) (1)÷(2)得 121p μμ=- 所以 212p μμμ-= 所以得p 的矩估计21221111n i i n i i X X X n p X n α==-==-∑∑3.设总体X 服从参数为N 和p 的二项分布,12,,,n X X X 为取自X 的样本,试求参数N 和p 的矩估计 解 122,(1)()Np Np p Np μμ⎧=⎪⎨=-+⎪⎩ 解之得1/N p μ=, 21(1)p Np μμ-+=, 即1N pμ=,22111p μμμ-=-,所以 N 和p 的矩估计为ˆX N p=,*21S p X =-. 4.设总体X 具有密度11(1)1,,(;)0,.Cx x C f x θθθθ-+⎧>⎪=⎨⎪⎩其他其中参数01,C θ<<为已知常数,且0C >,从中抽得一个样本,12,,,n X X X ,求θ的矩估计解11111111111CCEX C x dx C xθθθθμθθθ+∞--+∞===-⎰111()11C C C C θθθθ-=-⋅=--, 解出θ得11,Cθμ=-92 于是θ的矩估计为 1C Xθ=-. 5.设总体的密度为(1),01,(;)0,.x x f x ααα⎧+<<⎪=⎨⎪⎩其他试用样本12,,,n X X X 求参数α的矩估计和极大似然估计.解 先求矩估计:111210011(1),22EX x dx x ααααμααα++++==+==++⎰解出α得 1112,1μαμ-=- 所以α的矩估计为 121XX α-=-. 再求极大似然估计: 1121(,,;)(1)(1)()nn n i n i L X X x x x x ααααα==+=+∏,1ln ln(1)ln nii L n xαα==++∑,1ln ln 01nii d L nx d αα==++∑,解得α的极大似然估计: 1(1)ln nii nxα==-+∑.6.已知总体X 在12[,]θθ上服从均匀分布,1n X X 是取自X 的样本,求12,θθ的矩估计和极大似然估计.解 先求矩估计: 1212EX θθμ+==,22222211211222()()1243EX θθθθθθθθμ-+++==+=解方程组121221122223θθμθθθθμ⎧+=⎪⎪⎨++⎪=⎪⎩得11θμ=±2123(θμμμ=-注意到12θθ<,得12,θθ的矩估计为*1X θ=-,*2X θ=.再求极大似然估计 1121212111(,,;,)()nn ni L X X θθθθθθ===--∏,1122,,,n x x x θθ≤≤,由极大似然估计的定义知,12,θθ的极大似然估计为11(1)min(,,)n X X X θ==;21()max(,,)n n X X X θ==.7.设总体的密度函数如下,试利用样本12,,,n x x x ,求参数θ的极大似然估计.(1)1(),0,(;)0,.x x e x f x αθαθαθα--⎧>⎪=⎨⎪⎩其它;已知(2)||1(;),,2x f x e x θθθ--=-∞<<+∞-∞<<+∞. 解 (1)111111(,,;)()()ni i i nx x n nn i n i L X X x ex x eααθθααθθαθα=----=∑==∏111ln (;)ln ln (1)ln nnn i i i i L X X n n x x αθθααθ===++--∑∑1ln 0ni i d L nx d αθθ==-∑解似然方程1ni i nx αθ==∑,得θ的极大似然估计94 1.ni i nx αθ==∑(2)1||||1111(;)22ni i i n x x n n i L X X e eθθθ=----=∑==∏由极大似然估计的定义得θ的极大似然估计为样本中位数,即1()2()(1)22,1(),.2n n n X n X X n θ++⎧⎪⎪=⎨⎪+⎪⎩为奇数,为偶数8.设总体X 服从指数分布(),,(;)0,.x ex f x θθθ--⎧≥⎪=⎨⎪⎩其他试利用样本12,,,n X X X 求参数θ的极大似然估计.解 1()11(,,;),,1,2,,.ni i i nx n x n i i L X X eex i n θθθθ=-+--=∑==≥=∏1ln nii L n Xθ==-∑ln 0d Ln d θ=≠ 由极大似然估计的定义,θ的极大似然估计为(1)x θ= 9.设12,,,n X X X 来自几何分布1()(1),1,2,,01k P X k p p k p -==-=<<,试求未知参数p 的极大似然估计. 解 1111(,,;)(1)(1)ni i i nx nx n n i L x x p p p p p =--=∑=-=-∏,1ln ln ()ln(1),nii L n p Xn p ==+--∑1ln 0,1ni i X nd L n dp p p=-=--∑解似然方程11nii n X n p p=-+=-∑, 得p 的极大似然估计1p X=。
概率论与数理统计 第七章 参数估计练习题与答案(答案在最后)1.设总体X 的二阶矩存在,n X X X ,,,21 是来自总体X 的一个样本,则2EX 的矩估计是( ).(A) X (B) ()∑=-n i i X X n 121 (C) ∑=n i i X n 121 (D) 2S2.矩估计必然是( ).(A) 总体矩的函数 (B) 样本矩的函数 (C) 无偏估计 (D) 最大似然估计3.某钢珠直径X 服从()1,μN ,从刚生产出的一批钢珠中随机抽取9个,求得样本均值06.31=X ,样本标准差98.0=S ,则μ的最大似然估计是 .4.设θˆ是未知参数θ的一个估计量,若θθ≠ˆE ,则θˆ是θ的( ) (A) 最大似然估计 (B) 矩估计 (C) 有效估计 (D) 有偏估计5.设21,X X 是()1,μN 的一个样本,下面四个关于μ估计量中,只有( )才是μ的无偏估计.(A) 213432X X + (B) 214241X X + (C)215352X X + (D) 214143X X - 6.设总体X 服从参数为λ的Poisson 分布,n X X X ,,,21 是来自总体X 的一个样本,则下列说法中错误的是( ).(A) X 是EX 的无偏估计量 (B) X 是DX 的无偏估计量 (C) X 是EX 的矩估计量 (D) 2X 是2λ的无偏估计量 7.设321,,X X X 是()1,μN 的一个样本,下面四个关于μ无偏估计量中,根据有效性这个标准来衡量,最好的是( ).(A) 321313131X X X ++ (B) 213132X X + (C)321412141X X X ++ (D) 216561X X + 8.设n X X X ,,,21 是来自总体()2,σμN 的一个样本,其中μ未知,而σ已知,则⎪⎪⎭⎫⎝⎛+-n U X n U X σσ025.0025.0,作为μ的置信区间,其置信水平是( ).(A) 0.9 (B) 0.95 (C) 0.975 (D) 0.05 9.设n X X X ,,,21 是来自总体()2,σμN 的一个样本,其中μ未知,而σ已知,μ的置信水平为α-1的置信区间⎪⎪⎭⎫ ⎝⎛+-n U X n U X σσαα22 ,的长度是α的减函数,对吗?10.总体X 的密度函数为()⎪⎩⎪⎨⎧<<=-其它101x x x f θθ,其中θ是未知参数,n X X X ,,,21 是来自总体X 的一个样本,求参数θ的矩估计量和最大似然估计量.11.总体X 的密度函数为()⎪⎩⎪⎨⎧>=-其它002222x ex x f x θθ, 其中θ是未知参数,n X X X ,,,21 是来自总体X 的一个样本,求参数θ的矩估计量和最大似然估计量.12.设总体X 服从几何分布:()()11--==x p p x X P ,() ,2,1=x ,n X X X ,,,21 是来自总体X 的一个样本,求参数p 的最大似然估计. 13.设n X X X ,,,21 是来自总体()2,0σN 的一个样本,求参数2σ的最大似然估计.14.设n X X X ,,,21 是来自总体()2,7t a n σμ+N 的一个样本,其中22πμπ<<-,求参数2,σμ的最大似然估计.15.设n X X X ,,,21 是来自总体()2,~σμN X 的一个样本,对给定t ,求()t X P ≤的最大似然估计.16.一个罐子里装有黑球和白球,有放回地抽取一个容量为n 的样本,发现其中有k 个白球,求罐中黑球数和白球数之比R 的最大似然估计. 17.总体X 的分布律是:()()()θθθ312,0,21-=====-=X P X P X P ,n X X X ,,,21 是来自总体X 的一个样本,求参数θ的矩估计和最大似然估计. 18.设总体X 服从二项分布()p N B ,,N 为正整数,10<<p ,n X X X ,,,21 是来自总体X 的大样本,求参数p N ,的矩估计量.19.设μ=EX ,n X X X ,,,21 是来自总体X 的一个样本,证明:()∑=-=n i i X n T 121μ是总体方差的无偏估计.20.总体X 服从()θθ2,上均匀分布,n X X X ,,,21 是来自总体X 的一个样本,证明X 32ˆ=θ是参数θ的无偏估计.21.设总体X 服从二项分布()p m B ,,n X X X ,,,21 是来自总体X 的一个样本,证明∑==ni i X n m p 11ˆ是参数θ的无偏估计. 22.设n X X X ,,,21 是来自总体X 的一个样本,且X 服从参数为λ的Poisson 分布,对任意()1,0∈α,证明()21S X αα-+是λ的无偏估计,其中2,S X 分别是样本均值和样本方差.23.设02>=σDX ,n X X X ,,,21 是来自总体X 的一个样本,问2X 是否是()2EX 的无偏估计.24.设321,,X X X 是来自总体()2,σμN 的一个样本,试验证:32112110351ˆX X X ++=μ,32121254131ˆX X X ++=μ,都是参数μ的无偏估计,并指出哪个更有效.25.从总体()1,1μN 抽取一个容量为1n 的样本:1,,,21n X X X ,从总体()4,2μN 抽取一个容量为2n 的样本:2,,,21n Y Y Y ,求21μμα-=的最大似然估计αˆ.假定总的样本容量21n n n +=不变时,求21,n n 使αˆ的方差最小. 26.为了测量一台机床的椭圆度,从全部产品中随机抽取100件进行测量,求得样本均值为mm X 081.0=,样本标准差为mm S 025.0=,求平均椭圆度μ的置信水平为0.95的置信区间.27.自动机床加工的同类零件中,随机抽取9件,测得长度如下:21.1,21.3,21.4,21.5,21.3,21.7,21.4,21.3,21.6,已知零件长度X 服从()2,σμN ,置信水平为0.95,(1) 若15.0=σ,求μ置信区间; (2) 若σ未知,求μ置信区间; (3) 若4.21=μ,求σ置信区间; (4) 若μ未知,求σ置信区间. 28.设总体X 服从()23,μN ,如果希望μ的置信水平为0.9的置信区间长度不超过2,则需要抽取的样本容量至少是多少?29.某厂利用两条自动化流水线灌装面粉,分别从两条流水线上抽取12和17的两个独立样本,其样本均值和样本方差分别为:6.10=X ,4.221=S ,5.9=Y ,7.422=S ,假设两条生产线上灌装面粉的重量都服从正态分布,其均值分别为21,μμ,方差相等,求21μμ-的置信水平为0.9的置信区间. 30.设两位化验员独立对某种聚合物含氯量用相同方法各作10次测定,其测定值的样本方差分别为:5419.021=S ,6065.022=S ,设2221,σσ分别为两位化验员所测定值总体的方差,设两位化验员的测定值都服从正态分布,求方差比2221σσ的置信水平为0.9的置信区间.31.从一批产品中抽取100个产品,发现其中有9个次品,求这批产品的次品率p 的置信水平为0.9的置信区间.答案详解1.C 2.B 3.31.064.D 5.C 6.D 7.A 8.B 9.对10.(1) 矩估计因为()⎰∞+∞-=dx x xf EX 11+==⎰θθθθdx x ,所以21⎪⎭⎫⎝⎛-=EX EX θ,而X EX =∧,由此得参数θ的矩估计量为21ˆ⎪⎪⎭⎫ ⎝⎛-=X X θ (2) 最大似然估计似然函数为:()()∏==ni i x f L 1θ()()121-=θθnnx x x ,两边取对数, ()θL ln ()()nx x x n21ln 1ln 2-+=θθ,令()θθd L d ln ()0ln 21221=+=n x x x n θθ, 得参数θ的最大似然估计为:212ln ˆ⎪⎭⎫⎝⎛=∑=ni i x n θ11.(1) 矩估计因为()⎰∞+∞-=dx x xf EX ⎰∞+-=022222dx exx θθ⎰∞+∞--=dx e xx 2222221θθ⎰∞+∞--=dx exx 2222222θθπθπθπ22=, 所以EX πθ2=,而X EX =∧,由此得参数θ的矩估计量为X πθ2ˆ=。
.第七章假设检验7.1设总体J〜N(4Q2),其中参数4, /为未知,试指出下面统计假设中哪些是简洁假设,哪些是复合假设:(1) W o: // = 0, σ = 1 ;(2) W o√∕ = O, σ>l5(3) ∕70:// <3, σ = 1 ;(4) % :0< 〃 <3 ;(5)W o :// = 0.解:(1)是简洁假设,其余位复合假设7.2设配么,…,25取自正态总体息(19),其中参数〃未知,无是子样均值,如对检验问题“0 :〃 = 〃o, M :4工从)取检验的拒绝域:c = {(x1,x2,∙∙∙,x25)r∣x-χ∕0∖≥c},试打算常数c ,使检验的显著性水平为0. 05_ Q解:由于J〜N(〃,9),故J~N(",二)在打。
成立的条件下,一/3 5cP o(∖ξ-^∖≥c) = P(∖ξ-μJ^∖≥-)=2 1-Φ(y) =0.05Φ(-) = 0.975,-= 1.96,所以c=L176°3 37. 3 设子样。
,乙,…,25取自正态总体,cr:已知,对假设检验%邛=μ0, H2> /J。
,取临界域c = {(X[,w,…,4):片>9)},(1)求此检验犯第一类错误概率为α时,犯其次类错误的概率夕,并争论它们之间的关系;(2)设〃o=0∙05, σ~=0. 004, a =0.05, n=9,求"=0.65 时不犯其次类错误的概率。
解:(1)在儿成立的条件下,F~N(∕o,军),此时a = P^ξ≥c^ = P0< σo σo )所以,包二为册=4_,,由此式解出c°=窄4f+为% ∖∣n在H∣成立的条件下,W ~ N",啊 ,此时nS = %<c°) = AI。
气L =①(^^~品)二①匹%=①(2δξ^历σoA∣-σ+A)-A-------------- y∕n)。
习题7-11. 选择题(1) 设总体X 的均值μ与方差σ2都存在但未知, 而12,,,n X X X L 为来自X 的样本, 则均值μ与方差σ2的矩估计量分别是( ) .(A) X 和S 2. (B) X 和211()nii X nμ=-∑. (C) μ和σ2. (D) X 和211()nii X X n=-∑.解 选(D).(2) 设[0,]X U θ:, 其中θ>0为未知参数, 又12,,,n X X X L 为来自总体X 的样本, 则θ的矩估计量是( ) .(A) X . (B) 2X . (C) 1max{}i i nX ≤≤. (D) 1min{}i i nX ≤≤.解 选(B).2. 设总体X 的分布律为其中0<θ<12n , 试求θ的矩估计量.解 因为E (X )=(-2)×3θ+1×(1-4θ)+5×θ=1-5θ, 令15X θ-=得到θ的矩估计量为ˆ15X θ-=. 3. 设总体X 的概率密度为(1),01,(;)0, x x f x θθθ+<<=⎧⎨⎩其它.其中θ>-1是未知参数, X 1,X 2,…,X n 是来自X 的容量为n 的简单随机样本, 求: (1) θ的矩估计量;(2) θ的极大似然估计量. 解 总体 X 的数学期望为1101()()d (1)d 2E X xf x x x x θθθθ+∞+-∞+==+=+⎰⎰. 令()E X X =, 即12X θθ+=+, 得参数θ的矩估计量为21ˆ1X X θ-=-. 设x 1, x 2,…, x n 是相应于样本X 1, X 2,… , X n 的一组观测值, 则似然函数为1(1),01,0,n n i i i x x L θθ=⎧⎛⎫+<<⎪ ⎪=⎨⎝⎭⎪⎩∏其它. 当0<x i <1(i =1,2,3,…,n )时, L >0且 ∑=++=ni ixn L 1ln )1ln(ln θθ,令1d ln ln d 1ni i L nx θθ==++∑=0, 得θ的极大似然估计值为 1ˆ1ln nii nxθ==--∑,而θ的极大似然估计量为 1ˆ1ln nii nXθ==--∑.4. 设总体X 服从参数为λ的指数分布, 即X 的概率密度为e ,0,(,)0,0,x x f x x λλλ->=⎧⎨⎩≤ 其中0λ>为未知参数, X 1, X 2, …, X n 为来自总体X 的样本, 试求未知参数λ的矩估计量与极大似然估计量.解 因为E (X )=1λ =X , 所以λ的矩估计量为1ˆXλ=. 设x 1, x 2,…, x n 是相应于样本X 1, X 2,… ,X n 的一组观测值, 则似然函数11nii inxx nni L eeλλλλ=--=∑==∏,取对数 1ln ln ()ni i L n x λλ==-∑.令1d ln 0,d ni i L n x λλ==-=∑ 得λ的极大似然估计值为1ˆxλ=,λ的极大似然估计量为1ˆXλ=. 5. 设总体X 的概率密度为,01(,)1,120,x f x x θθθ<<=-⎧⎪⎨⎪⎩,≤≤,其它,其中θ(0<θ<1)是未知参数. X 1, X 2, …, X n 为来自总体的简单随机样本, 记N 为样本值12,,,n x x x L 中小于1的个数. 求: (1) θ的矩估计量; (2) θ的极大似然估计量.解 (1) 1213()d (1)d 2X E X x x x x θθθ==+-=-⎰⎰, 所以32X θ=-矩.(2) 设样本12,,n x x x L 按照从小到大为序(即顺序统计量的观测值)有如下关系:x (1) ≤ x (2) ≤…≤ x (N ) <1≤ x (N +1)≤ x (N +2)≤…≤x (n ) .似然函数为(1)(2)()(1)(2)(1),1()0,,N n N N N N n x x x x x x L θθθ-++-<=⎧⎨⎩L L ≤≤≤≤≤≤≤其它.考虑似然函数非零部分, 得到ln L (θ ) = N ln θ + (n − N ) ln(1−θ ),令d ln ()0d 1L N n N θθθθ-=-=-, 解得θ的极大似然估计值为ˆN nθ=. 习题7-21. 选择题: 设总体X 的均值μ与方差2σ都存在但未知, 而12,,,n X X X L 为X 的样本, 则无论总体X 服从什么分布, ( )是μ和2σ的无偏估计量.(A) 11nii X n=∑和211()nii X X n=-∑. (B)111nii X n =-∑和211()1nii X X n =--∑.(C)111nii X n =-∑和211()1nii X n μ=--∑. (D)11nii X n=∑和211()nii X nμ=-∑.解 选(D).2. 若1X ,2X ,3X 为来自总体2(,)X N μσ:的样本, 且Y 1231134X X kX =++为μ的无偏估计量, 问k 等于多少?解 要求1231111()3434E X X kX k μμμμ++=++=, 解之, k =512.3. 设总体X 的均值为0, 方差2σ存在但未知, 又12,X X 为来自总体X的样本, 试证:2121()2X X -为2σ的无偏估计.证 因为22212112211[()][(2)]22E X X E X X X X -=-+2222112212[()2()()]22E X E X X E X σσ=-+==,所以2121()2X X -为2σ的无偏估计.习题7-31. 选择题(1) 总体未知参数θ的置信水平为0.95的置信区间的意义是指( ). (A) 区间平均含总体95%的值. (B) 区间平均含样本95%的值.(C) 未知参数θ有95%的可靠程度落入此区间. (D) 区间有95%的可靠程度含参数θ的真值. 解 选(D).(2) 对于置信水平1-α(0<α<1), 关于置信区间的可靠程度与精确程度, 下列说法不正确的是( ).(A) 若可靠程度越高, 则置信区间包含未知参数真值的可能性越大. (B) 如果α越小, 则可靠程度越高, 精确程度越低. (C) 如果1-α越小, 则可靠程度越高, 精确程度越低. (D) 若精确程度越高, 则可靠程度越低, 而1-α越小. 解 选(C )习题7-41. 某灯泡厂从当天生产的灯泡中随机抽取9只进行寿命测试, 取得数据如下(单位:小时):1050, 1100, 1080, 1120, 1250, 1040, 1130, 1300, 1200. 设灯泡寿命服从正态分布N (μ, 902), 取置信度为0.95, 试求当天生产的全部灯泡的平均寿命的置信区间.解 计算得到1141.11,x = σ2 =902. 对于α = 0.05, 查表可得/20.025 1.96z z ==α.所求置信区间为/2/2(,)(1141.11 1.96,1141.11 1.96)(1082.31,1199.91).x x z +=-=αα2. 为调查某地旅游者的平均消费水平, 随机访问了40名旅游者, 算得平均消费额为105=x 元, 样本标准差28=s 元. 设消费额服从正态分布. 取置信水平为0.95, 求该地旅游者的平均消费额的置信区间.解 计算可得105,x = s 2 =282.对于α = 0.05, 查表可得0.0252(1)(39) 2.0227t n t α-==.所求μ的置信区间为22((1),(1))(105 2.0227,105 2.0227)x n x n αα--+-=+=(96.045, 113.955).3. 假设某种香烟的尼古丁含量服从正态分布. 现随机抽取此种香烟8支为一组样本, 测得其尼古丁平均含量为18.6毫克, 样本标准差s =2.4毫克. 试求此种香烟尼古丁含量的总体方差的置信水平为0.99的置信区间.解 已知n =8, s 2 =2.42, α = 0.01, 查表可得220.0052(1)(7)20.278n αχχ-==, 220.99512(1)(7)0.989n αχχ--==, 所以方差σ 2的置信区间为2222122(1)(1)(,)(1)(1)n S n S n n ααχχ---=--22(81) 2.4(81) 2.4(,)20.2780.989-⨯-⨯=(1.988, 40.768). 4. 某厂利用两条自动化流水线灌装番茄酱, 分别从两条流水线上抽取样本:X 1,X 2,…,X 12及Y 1,Y 2,…,Y 17, 算出221210.6g,9.5g, 2.4, 4.7x y s s ====.假设这两条流水线上装的番茄酱的重量都服从正态分布, 且相互独立, 其均值分别为12,μμ. 又设两总体方差2212σσ=. 求12μμ-置信水平为0.95的置信区间, 并说明该置信区间的实际意义.解 由题设22121210.6,9.5, 2.4, 4.7,12,17,x y s s n n ======2222112212(1)(1)(121) 2.4(171) 4.71.94212172wn s n s s n n -+--⨯+-⨯===+-+-120.0252(2)(27) 2.05181,t n n t α+-==所求置信区间为122(()(2)((10.69.5) 2.05181 1.94x y t n n s α-±+-=-±⨯ =(-0.40,2.60).结论“21μμ-的置信水平为0.95 的置信区间是(-0.40,2.60)”的实际意义是:在两总体方差相等时, 第一个正态总体的均值1μ比第二个正态总体均值2μ大-0.40~2.60,此结论的可靠性达到95%.5. 某商场为了了解居民对某种商品的需求, 调查了100户, 得出每户月平均需求量为10公斤, 方差为9 . 如果这种商品供应10000户, 取置信水平为0.99.(1) 取置信度为0.99,试对居民对此种商品的平均月需求量进行区间估计; (2) 问最少要准备多少这种商品才能以99%的概率满足需要? 解 (1) 每户居民的需求量的置信区间为2222((1),(1))()(10 2.575,10 2.575)(9.2275,10.7725).,x n x n x z x αααα-+-≈+=-=10000户居民对此种商品月需求量的置信度为0.99的置信区间为(92275,107725);(2)最少要准备92275公斤商品才能以99%的概率满足需要.。
习题七1.设总体X 服从二项分布b (n ,p ),n 已知,X 1,X 2,…,X n 为来自X 的样本,求参数p 的矩法估计.【解】1(),(),E X np E X A X ===因此np =X所以p 的矩估计量 ˆXpn= 2.设总体X 的密度函数f (x ,θ)=22(),0,0,.x x θθθ⎧-<<⎪⎨⎪⎩其他X 1,X 2,…,X n 为其样本,试求参数θ的矩法估计. 【解】23022022()()d ,233x x E X x x x θθθθθθθ⎛⎫=-=-= ⎪⎝⎭⎰令E (X )=A 1=X ,因此3θ=X 所以θ的矩估计量为 ^3.X θ=3.设总体X 的密度函数为f (x ,θ),X 1,X 2,…,X n 为其样本,求θ的极大似然估计.(1) f (x ,θ)=,0,0,0.e x x x θθ-⎧≥⎨<⎩(2) f (x ,θ)=1,01,0,.x x θθ-⎧<<⎨⎩其他【解】(1) 似然函数111(,)e e eniii n nx x nn ii i L f x θθθθθθ=---==∑===∏∏1ln ln ni i g L n x θθ===-∑由1d d ln 0d d ni i g L n x θθθ===-=∑知 1ˆnii nxθ==∑所以θ的极大似然估计量为1ˆXθ=.(2) 似然函数11,01nni i i L x x θθ-==<<∏,i =1,2,…,n.1ln ln (1)ln ni i L n x θθ==+-∏由1d ln ln 0d ni i L n x θθ==+=∏知11ˆln ln nniii i n nxx θ===-=-∑∏所以θ的极大似然估计量为 1ˆln nii nxθ==-∑求这批股民的收益率的平均收益率及标准差的矩估计值. 【解】0.094x =- 0.101893s = 9n =0.094.EXx ==- 由222221()()[()],()ni i x E X D X E X E X A n==+==∑知222ˆˆ[()]E X A σ+=,即有 ˆσ=于是 ˆ0.101890.0966σ=== 所以这批股民的平均收益率的矩估计值及标准差的矩估计值分别为-0.94和0.966. 5.随机变量X 服从[0,θ]上的均匀分布,今得X 的样本观测值:0.9,0.8,0.2,0.8,0.4,0.4,0.7,0.6,求θ的矩法估计和极大似然估计,它们是否为θ的无偏估计. 【解】(1) ()2E X θ=,令()E X X =,则ˆ2X θ=且ˆ()2()2()E E X E X θθ===, 所以θ的矩估计值为ˆ220.6 1.2x θ==⨯=且ˆ2X θ=是一个无偏估计.(2) 似然函数8811(,)i i L f x θθ=⎛⎫== ⎪⎝⎭∏,i =1,2, (8)显然L =L (θ)↓(θ>0),那么18max{}i i x θ≤≤=时,L =L (θ)最大, 所以θ的极大似然估计值ˆθ=0.9.因为E(ˆθ)=E (18max{}i i x ≤≤)≠θ,所以ˆθ=18max{}i i x ≤≤不是θ的无偏计.6.设X 1,X 2,…,X n 是取自总体X 的样本,E (X )=μ,D (X )=σ2,2ˆσ=k 1211()n i i i XX -+=-∑,问k 为何值时2ˆσ为σ2的无偏估计. 【解】令 1,i i i Y X X +=-i =1,2,…,n -1,则 21()()()0,()2,i i i i E Y E X E X D Y μμσ+=-=-==于是 1222211ˆ[()](1)2(1),n ii E E k Yk n EY n k σσ-===-=-∑那么当22ˆ()E σσ=,即222(1)n k σσ-=时, 有 1.2(1)k n =-7.设X 1,X 2是从正态总体N (μ,σ2)中抽取的样本112212312211311ˆˆˆ;;;334422X X X X X X μμμ=+=+=+ 试证123ˆˆˆ,,μμμ都是μ的无偏估计量,并求出每一估计量的方差. 【证明】(1)11212212121ˆ()()(),333333E E X X E X E X μμμμ⎛⎫=+=+=+= ⎪⎝⎭21213ˆ()()()44E E X E X μμ=+=, 31211ˆ()()(),22E E X E X μμ=+= 所以123ˆˆˆ,,μμμ均是μ的无偏估计量. (2) 22221122145ˆ()()(),3399D D X D X X σμσ⎛⎫⎛⎫=+== ⎪ ⎪⎝⎭⎝⎭222212135ˆ()()(),448D D X D X σμ⎛⎫⎛⎫=+= ⎪ ⎪⎝⎭⎝⎭()223121ˆ()()(),22D D X D X σμ⎛⎫=+= ⎪⎝⎭8.某车间生产的螺钉,其直径X ~N (μ,σ2),由过去的经验知道σ2=0.06,今随机抽取6枚,测得其长度(单位mm )如下:14.7 15.0 14.8 14.9 15.1 15.2 试求μ的置信概率为0.95的置信区间. 【解】n =6,σ2=0.06,α=1-0.95=0.05,0.25214.95, 1.96,a x u u ===,μ的置信度为0.95的置信区间为/2(14.950.1 1.96)(14.754,15.146)x u α⎛±=±⨯= ⎝.9.总体X ~N (μ,σ2),σ2已知,问需抽取容量n 多大的样本,才能使μ的置信概率为1-α,且置信区间的长度不大于L ?【解】由σ2已知可知μ的置信度为1-α的置信区间为/2x u α⎛± ⎝,/2u α,/2u α≤L ,得n ≥22/224()u L ασ 10.设某种砖头的抗压强度X ~N (μ,σ2),今随机抽取20块砖头,测得数据如下(kg ·cm -2):64 69 49 92 55 97 41 84 88 99 84 66 100 98 72 74 87 84 48 81 (1) 求μ的置信概率为0.95的置信区间. (2) 求σ2的置信概率为0.95的置信区间. 【解】76.6,18.14,10.950.05,20,x s n α===-==/20.025222/20.0250.975(1)(19)2.093,(1)(19)32.852,(19)8.907t n t n ααχχχ-==-===(1) μ的置信度为0.95的置信区间/2(1)76.6 2.093(68.11,85.089)a x n ⎛⎫⎛⎫-== ⎪ ⎪⎝⎭⎝⎭(2)2σ的置信度为0.95的置信区间222222/21/2(1)(1)1919,18.14,18.14(190.33,702.01)(1)(1)32.8528.907n s n s n n ααχχ-⎛⎫--⎛⎫=⨯⨯= ⎪⎪--⎝⎭⎝⎭ 11.设总体X ~f (x )=(1),01;10,.x x θθθ⎧+<<>-⎨⎩其中其他 X 1,X 2,…,X n 是X 的一个样本,求θ的矩估计量及极大似然估计量.【解】(1)1101()()d (1)d ,2E X xf x x x x θθθθ+∞+-∞+==+=+⎰⎰ 又1(),2X E X θθ+==+ 故21ˆ1X Xθ-=- 所以θ的矩估计量 21ˆ.1X Xθ-=- (2) 似然函数11(1) 01(1,2,,)()()0n n ni i i i i x x i n L L f x θθθ==⎧+<<=⎪===⎨⎪⎩∏∏其他. 取对数11ln ln(1)ln (01;1),d ln ln 0,d 1nii i ni i L n x x i n L nx θθθθ===++<<≤≤=+=+∑∑所以θ的极大似然估计量为1ˆ1.ln nii nXθ==--∑12.设总体X ~f (x )= 36(),0;0,.xx x θθθ⎧-<<⎪⎨⎪⎩其他X 1,X 2,…,X n 为总体X 的一个样本 (1) 求θ的矩估计量ˆθ;(2) 求ˆ()D θ.【解】(1) 236()()d ()d ,2x E X xf x x x x θθθθ+∞-∞=-=⎰⎰令 ,2EX X θ==所以θ的矩估计量 ˆ2.X θ= (2)4ˆ()(2)4(),D D X D X DX nθ===, 又322236()63()d ,2010x x E X x θθθθθ-===⎰于是222223()()(),10420D XE X EX θθθ=-=-=,所以2ˆ().5D nθθ=13.设某种电子元件的使用寿命X 的概率密度函数为f (x ,θ)= 2()2,;0,.x x x θθθ--⎧>⎨≤⎩e其中θ(θ>0)为未知参数,又设x 1,x 2,…,x n 是总体X 的一组样本观察值,求θ的极大似然估计值.【解】似然函数12()12e 0;1,2,,;()0ln ln 22(),;1,2,,,ni i x n i n i i i x i n L L L n x x i n θθθθ=--=⎧∑⎪⋅≥===⎨⎪⎩=--≥=∑ 其他.由d ln 20ln (),d Ln L θθ=>↑知 那么当01ˆˆmin{}ln ()max ln ()ii nx L L θθθθ>≤≤==时 所以θ的极大似然估计量1ˆmin{}ii nx θ≤≤=其中θ(0<θ<12)是未知参数,利用总体的如下样本值3,1,3,0,3,1,2,3,求θ的矩估计值和极大似然估计值. 【解】813ˆ(1)()34,()4 28ii x E X E X x x x θθ=-=-====∑令得又 所以θ的矩估计值31ˆ.44x θ-== (2) 似然函数86241(,)4(1)(12).ii L P x θθθθ===--∏2ln ln 46ln 2ln(1)4ln(1),d ln 628628240,d 112(1)(12)L L θθθθθθθθθθθθ=++-+--+=--==---- 解2628240θθ-+=得1,272θ=. 由于71,122> 所以θ的极大似然估计值为7ˆ2θ-=. 15.设总体X 的分布函数为F (x ,β)=1,,0,.x xx ββααα⎧->⎪⎨⎪≤⎩其中未知参数β>1,α>0,设X 1,X 2,…,X n 为来自总体X 的样本(1) 当α=1时,求β的矩估计量;(2) 当α=1时,求β的极大似然估计量; (3) 当β=2时,求α的极大似然估计量. 【解】当α=1时,11,1;(,)(,1,)0,1.x x f x F x x x ββββ+⎧≥⎪==⎨⎪<⎩当β=2时, 2132,;(,)(,,2)0,.x x f x F x x x ααααα⎧≥⎪==⎨⎪<⎩(1) 111()d 11E X x x x βββββββ+∞-+∞===--⎰令()E X X =,于是ˆ,1XX β=- 所以β的矩估计量ˆ.1XX β=- (2) 似然函数(1)1111,1,(1,2,,);()(,)0,.ln ln (1)ln ,d ln ln 0,d n n ni i i i i ni i ni i x x i n L L f x L n x L n x ββββββββ-+====⎧⎛⎫>=⎪ ⎪===⎨⎝⎭⎪⎩=-+=-=∏∏∑∑ 其他所以β的极大似然估计量1ˆ.ln nii nxβ==∑(3) 似然函数23112,,(1,2,,);(,)0,.n ni nn i i i i x i n L f x x ααα==⎧≥=⎪⎪⎛⎫==⎨ ⎪⎝⎭⎪⎪⎩∏∏ 其他 显然(),L L α=↑那么当1ˆmin{}i i nx α≤≤=时,0ˆ()max ()a L L L αα>== , 所以α的极大似然估计量1ˆmin{}i i nx α≤≤=. 16.从正态总体X ~N (3.4,62)中抽取容量为n 的样本,如果其样本均值位于区间(1.4,5.4)内的概率不小于0.95,问n 至少应取多大?2/2()d zt z t ϕ-=⎰【解】26~3.4,X N n ⎛⎫⎪⎝⎭,则~(0,1),X Z N ={1.4 5.4}33210.95Z P X P PZ ΦΦΦ<<<<=⎧=-<<⎨⎩⎭⎛=-=-≥ ⎝于是0.975Φ≥ 1.96≥, ∴ n ≥35.17. 设总体X 的概率密度为f (x ,θ)=,01,1,12,0,.x x θθ<<⎧⎪-≤<⎨⎪⎩其他 其中θ是未知参数(0<θ<1),X 1,X 2,…,X n 为来自总体X 的简单随机样本,记N 为样本值x 1,x 2,…,x n 中小于1的个数.求: (1) θ的矩估计;(2) θ的最大似然估计. 解 (1) 由于121(;)d d (1)d EX xf x x x x x x θθθ+∞-∞==+⎰⎰⎰-133(1)222θθθ=+-=-. 令32X θ-=,解得32X θ=-, 所以参数θ的矩估计为32X θ=-. (2) 似然函数为1()(;)(1)nN n N i i L f x θθθθ-===-∏,取对数,得ln ()ln ()ln(1),L N n N θθθ=+--两边对θ求导,得d ln ().d 1L N n Nθθθθ-=-- 令 d ln ()0,d L θθ=得 Nnθ=,所以θ的最大似然估计为Nnθ=.。
概率论与数理统计课后习题答案第七章 参数估计1.[一] 随机地取8只活塞环,测得它们的直径为(以mm 计)求总体均值μ及方差σ2的矩估计,并求样本方差S 2。
解:μ,σ2的矩估计是6122106)(1ˆ,002.74ˆ-=⨯=-===∑ni i x X n X σμ621086.6-⨯=S 。
2.[二]设X 1,X 1,…,X n 为准总体的一个样本。
求下列各总体的密度函数或分布律中的未知参数的矩估计量。
(1)⎩⎨⎧>=+-其它,0,)()1(cx x c θx f θθ 其中c >0为已知,θ>1,θ为未知参数。
(2)⎪⎩⎪⎨⎧≤≤=-.,010,)(1其它x x θx f θ 其中θ>0,θ为未知参数。
(5)()p p m x p p x X P xm x m x ,10,,,2,1,0,)1()(<<=-==- 为未知参数。
解:(1)Xθcθθc θc θc θdx x c θdx x xf X E θθcθθ=--=-===+-∞+-∞+∞-⎰⎰1,11)()(1令,得cX X θ-=(2),1)()(10+===⎰⎰∞+∞-θθdx xθdx x xf X E θ2)1(,1X X θX θθ-==+得令(5)E (X ) = mp 令mp =X, 解得mX p=ˆ3.[三]求上题中各未知参数的极大似然估计值和估计量。
解:(1)似然函数1211)()()(+-===∏θn θn n ni ix x x cθx f θL0ln ln )(ln ,ln )1(ln )ln()(ln 11=-+=-++=∑∑==ni ini i xc n n θθd θL d x θc θn θn θL∑=-=ni icn xnθ1ln ln ˆ (解唯一故为极大似然估计量)(2)∑∏=--=-+-===ni iθn nni ix θθnθL x x x θx f θL 112121ln )1()ln(2)(ln ,)()()(∑∑====+⋅-=ni ini ix n θxθθn θd θL d 121)ln (ˆ,0ln 2112)(ln 。
第七章 参数估计注意: 这是第一稿(存在一些错误)1、解 由θθθμθ2),()(01===⎰d x xf X E ,204103)(2221θθθ=-==X D v ,可得θ的矩估计量为X 2^=θ,这时θθ==)(2)(^X E E ,nnX D D 5204)2()(22^θθθ=⋅==。
3、解 由)1(2)1(2)1(2)(21θθθθμ-=-+-==X E ,得θ的矩估计量为:3262121^=-=-=X θ。
建立关于θ的似然函数:482232)1(4)1())1(2()()(θθθθθθθ-=--=L令0148))1ln(4ln 8()(ln =--=∂-+∂=∂∂θθθθθθθL ,得到θ的极大似然估计值:32^=θ 4、解:矩估计:()1012122μθλθλθλ=⋅+⋅+⋅--=--,()()()()2222222121νθλθθλλθλθλ=--++-++--, 11A =,234B =, 故()()()()222ˆˆ221,3ˆˆˆˆˆˆˆˆˆˆ222121.4θλθλθθλλθλθλ⎧--=⎪⎨--++-++--=⎪⎩解得1ˆ,43ˆ.8λθ⎧=⎪⎪⎨⎪=⎪⎩为所求矩估计。
极大似然估计:(){}()33214526837,0,2,11L P X X X X X X X X θλθλθλ==========--,()()(),ln ,3ln 2ln 3ln 1l L θλθλθλθλ==++--,()(),330,1,230.1l l θλθθθλθλλλθλ∂⎧=-=⎪⎪∂--⎨∂⎪=-=⎪∂--⎩解得3ˆ,81ˆ.4θλ⎧=⎪⎪⎨⎪=⎪⎩即为所求。
5、解 由33)1(3)1(3)(222+-=-+-+=p p p p p p X E ,所以得到p 的矩估计量为^394(3)34322X X p -----==建立关于p 的似然函数:3210)1()2)1(3()()2)1(()(22n n n n p p p p p p p L ---= 令0)(ln =∂∂pp L ,求得到θ的极大似然估计值:n n n n p 22210^++=6、解:(1)()1112EX x x dx θθθθ+=+=+⎰, 由ˆ1ˆ2X θθ+=+得21ˆ1X X θ-=-为θ的矩估计量。
第七章3.设总体X 具有密度函数22(),0(:)0,x x f x θθθθ⎧-<<⎪=⎨⎪⎩其它 12,,,n X X X 是其样本,求θ的矩估计.解 122()2(1)3EX xx dx t t dt θθθθθ=-=-=⎰⎰,由矩法令3X θ=,解得3X θ=. 4.设12~(,),01,,,,n X b N p p X X X << 为其样本.求N 和p 的矩估计. 解 因 ,()(1)EX Np D X Np p ==-,由例7-1,令2,(1)n X N p S N p p ==- 解得 21,n S X p NXp=-= 5.设总体X 的密度函数(或分布律)为12(;),,,,n f x X X X θ 为其样本,求下列情况下θ的极大似然估计.(2)似然函数为1111()()nnn ii i i L XX θθθθθ--====∏∏似然方程为1l n ()ln 0ni i L nX θθθ=∂=+=∂∑ 解得 111(ln )nii Xnθ-==-∑.(4)似然函数为1111()()()(())irnrnnX r r ii ni i L XeX er r θθθθθ----====ΓΓ∏∏似然方程为 l n ()0L n rnX θθθ∂=-=∂解得 r Xθ=.6.设总体X 的密度为(;)(1),01f x x x βββ=+<<其中1β>-未知,12,,,n X X X 为其样本,求β的矩估计和极大似然估计.今得样本观察值0.30,0.80,0.27,0.35,0.62,0.55,求β的矩估计值和极大似然估计值.解101(1)2EX x x dx ββββ+=+=+⎰,由矩法令12X ββ+=+,解得矩估计121MXβ=--,矩估计值为 0.07Mβ=-.似然函数为11()(1)(1)()nnni i i i L X X βββββ===+=+∏∏似然方程为1l n ()ln 01ni i L nX βββ=∂=+=∂+∑ 解得极大似然估计 1111ln nLi i X nβ-=⎡⎤=--⎢⎥⎣⎦∑,极大似然估计值 0.234Lβ=. 9.设总体X 具有密度函数1(;),2xf x ex σσσ-=-∞<<∞其中0σ>未知,12,,,n X X X 为其样本.求σ的极大似然估计.解 似然函数为11111()22nX iii nX nni L eeσσσσσ=--=∑==∏似然方程为21l n ()10ni i L n X σσσσ=∂=-+=∂∑解得 11ni i X nσ==∑.10.设总体X 有密度函数(),(;)0,x e x f x x θθθθ--⎧>=⎨≤⎩其中θ-∞<<∞未知,12,,,n X X X 为其样本.求θ的矩估计和极大似然估计.解 1E X θ=+,令1X θ=+,解得矩估计 1M X θ=-. 似然函数为(1)()()(1)1()(1)(),,i nX n X i n X L eeX eX θθθθθ----=--==>≤>∏故θ的极大似然估计为 (1)L X θ=. 11.设总体212~(,),,,,n X N X X X μσ 为其样本.(1) 求k ,使 122111()n i i i X X kσ-+==-∑为2σ的无偏估计;(2) 求k ,使 11ni i X X kσ==-∑为σ的无偏估计.解 (1) 21(0,2)i i X X N σ+- ,2211()()2i i i i E X X D X X σ++-=-=122221111()2(1)n i i i E E X X n kkσσσ-+==-=-∑故2(1)k n =-.(2) 2111(1)(0,)i i j j in X X X X N nnnσ≠--=--∑2212i n E X X xx dx n σ∞-∞-⎧⎫-=-⎨⎬⎩⎭⎰220122n xx dx n σ∞-⎧⎫=-=⎨⎬⎩⎭⎰111ni i E EX X kkσσ==-===∑所以k =12.设 θ是参数θ的无偏估计,且有 ()0,D θ>证明 2θ不是2θ的无偏估计.解 2222()[]()E D E D θθθθθθ=+=+>. 13.设从均值为μ,方差为20σ>的总体中,分别抽取容量为12,n n 的两个独立样本.1X 和2X 分别是两样本的均值.试证,对于任意,(1),a b a b +=12Y aX bX =+都是μ的无偏估计,并确定常数,a b 使()D Y 达到最小.解 1212()()EY E aX bX aEX bEX a b a b μμμμ=+=+=+=+=2222222121212()()()abD Y D aX bX abn n n n σσσ=+=+=+即在条件1a b +=下,求2212abn n +的最小值.令2212(1)()aa L a n n -=+,求导得12()22(1)0dL a a a da n n -=-解得112n a n n =+,212n b n n =+.14.设分别自总体21(,)N μσ和22(,)N μσ中抽取容量为12,n n 的两个独立样本.其样本方差分别2212,S S .试证,对于任何常数2212,(1),a b a b Z aS bS +==+都是2σ的无偏估计,并确定常数,a b 求求()D Z 达到最小.解 22222212()EZ aES bES a b a b σσσσ=+=+=+=.利用222(1)(1),1,2i ii n S n i χσ--=得422(),1,21ii D S i n σ==-,所以22222241212()()()2()11abD Z a D S b D S n n σ=+=+--即在1a b +=下,求221211abn n +--的最小值,求得11212n a n n -=+-,21212n b n n -=+-.15.设总体X 的密度函数为 16.设总体X 的密度函数为1,0(0)(;)0,x f x θθθθ⎧<<>⎪=⎨⎪⎩其它123,,X X X 为其样本,试证(3)43X 及(1)4X 都是参数θ的无偏估计,问哪个较有效?解 考虑一般情形,设12,,,n X X X 为样本,比较()1n n X n+和(1)(1)n X +.(1)X 的密度为11(),0(;)0,n nn x x f x θθθθ-⎧-<<⎪=⎨⎪⎩其它 ()n X 的密度为1,0(;)0,n n n nx x f x θθθ-⎧<<⎪=⎨⎪⎩其它由此算得(1)()1,11nnE X E Xn n θθ==++(1)()1((1)),()n n E n X E X nθθ++== 又有2222(1)()2,(1)(2)2n nE X E X n n nθθ==+++22222(1)(1)(1)(1)((1))(1)()(1)[()]2nD nX n D X nE X E X n θ+=+=+-=+ 22222()()()()221(1)(1)1()()[()](2)n n n n n n n D X D X EX EX nnnn n θ+++==-=+故()1n n X n+较(1)(1)n X +有效,实际上()1n n X n+是θ的最小方差无偏估计.17.设总体X 服从指数分布,其密密函数为,0(;)0,0x e x f x x λλλ-⎧≥=⎨<⎩ (0)λ>12,,,n X X X 为其样本(2)n ≥.(1) 求λ的极大似然估计 λ; (2) 求k ,使 k λλ*=为λ的无偏估计; (3) 求1θλ=的置信水平为1α-的双侧置信区间.解 (1) 似然函数为1()inX n nXi L eeλλλλλ--===∏似然方程为ln ()0L nnX λλλ∂=-=∂解得 1Xλ=.(2) 22(2)Y nX n λχ=121(1)121111()2()2(1)112()2(1)2(1)y n nyn n nn E yedyY y n n y edy n n n ∞---∞----=ΓΓ-==ΓΓ--⎰⎰1112()2()21n E kE kE k n E nk E kXn XY n λλλλλλλ======-*由此得1n k n-=.(3) 因22(2)nXn χθ,由222212{(2)(2)}1nXP n n ααχχαθ-<<=-得的置信水平为1α-的双侧置信区间为2222122(,)(2)(2)nXnXααχαχα-.18.随机地从一批零件中抽取16个,测得长度(单位:cm)为2.14 2.10 2.13 2.15 2.13 2.12 2.13 2.102.15 2.12 2.14 2.10 2.13 2.11 2.14 2.11设零件长度的分布为正态,试求总体均值μ的90%的置信区间:(1)若0.01σ=;(2)若σ未知.解 设X为零件长度,则2(,)X N μσ .(1) 当0.01σ=已知时,μ的90%的置信区间为2211(,)(2.125 1.65,2.125 1.65)(2.121,2.129)X X αα---+=-+=(2) 当σ未知时,μ的90%的置信区间为2211((15),(15))(2.125 1.7531,2.125 1.753(2.1175,2.1325)X X αα---+=-+=22.随机地从A 批导线中抽取4根,并从B 批导线中抽取5根测得其电阻Ω为设测试数据分别服从正态分布21(,)N μσ和22(,)N μσ,且它们相互独立,又2σ未知,试求12μμ-的0.95置信区间.解 12μμ-的0.95置信区间为A 批导线 0.143 0.142 0.143 0.137B 批导线0.140 0.142 0.136 0.138 0.14022121211()(2)()(2)w wX Y t n n S X Y t n n S αα--⎛--+--++- ⎝经计算得2626121234,5,0.14125,8.2510,0.1392, 5.2102.5510w n n X S Y S S ---====⨯==⨯==⨯查表得 2120.9751(2)(7) 2.3646t n n t α-+-==,最后算得区间是(0.002,0.006)-.。
第七章 参数估计1. 解 )1()(,)(),,(~p np X D np X E p n B X -==∴⎩⎨⎧=-=⎩⎨⎧==22)1(,)()(B p np X np B X D X X E 即由解之,得n,p 的矩估计量为XB p B X X n 2221,-=⎥⎥⎦⎤⎢⎢⎣⎡-=∧∧注:“[ ]”表示取整。
2. 解 因为:220)(22)(1)1()(1)()(λλθλλθλθλθλ++=⋅=+=⋅==⎰⎰⎰∞+--∞+--∞+∞-dx e x x E dx e x dx x xf x E x x所以,由矩估计法得方程组: ⎪⎩⎪⎨⎧++=+=2221)1(1λλθλθA X 解得λθ,的矩估计量为 ⎪⎩⎪⎨⎧=-=∧∧221B B X λθ3. 解 (1) 由于 222)]([)()(X E X E X D -==σ令 ∑===n i iX n A X E 12221)( 又已知 μ=)(X E故 2σ的矩估计值为 ∑∑==∧-=-=-=n i i n i i X n X n A 12122222)(11μμμσ(2) μ已知时,似然函数为:⎭⎬⎫⎩⎨⎧--⋅=∑=-ni in x L 122222)(21exp )2()(μσπσσ因此∑=---=ni ixn L 12222)(21)2ln(2)(ln μσπσσ令 0)(2112)(ln 124222=-+-=∑=ni ixn L d dμσσσσ解得2σ的极大似然估计为: ∑=∧-=n i i X n 122)(1μσ4. 解 矩估计:λλ=∴=)()(X E X E 令X X E =)(故X =∧λ为所求矩估计量。
注意到 λ=)(X D 若令 2)(B X D =, 可得: 2B =∧λ似然估计:因为λλ-==e k k X P k!)(所以,λ的似然函数为∏=-=ni i xe x L i1!)(λλλ取对数λλλn x x L ni i ni i --=∑∑==11)!ln(ln )(ln令ln 1=-=∑=n xd d ni iλλλ, 解得∑=∧=ni ix n 11λ故,λ极大似然估计量为 X =∧λ5. 解 矩估计:21)1()()(11++=+==⎰⎰+∞+∞-θθθθdx x dx x xf X E令 X X E =)(, 即 X=++21θθ; 解之X X --=∧112θ 似然估计: 似然函数为⎪⎩⎪⎨⎧<<+=⎪⎩⎪⎨⎧<<+=∏∏==其它其它,010,)()1(,010,)1()(11i ni i ni n i i x x x x L θθθθθ 只需求10,)()1()(11<<+=∏=i ni i nx x L θθθ的驻点即可.又∑=++=ni ix n L 11ln )1ln()(ln θθθ令∑=++=ni ix n L d d 11ln 1)(ln θθθ; 解之∑=∧--=ni ixn1ln 1θ6. 解:似然函数为∑===---=-=---∏∏ni i i xn i i n ni x i ex ex L 12222)(l n 21112212)(l n 12)()2(21),(μσσμπσσπσμ取对数得 ∑----===∏n i ini i x x n L 122122)(l n 21)l n ()2l n (2),(ln μσπσσμ由 0)(l n 2112),(ln 0)1()(ln 221),(ln 124222122=∑-+⋅-=∂∂=∑-⋅--=∂∂==n i i n i i x n L x L μσσσμσμσσμμ联立解之,2,σμ的极大似然估计值为 ∑∑-=∑===∧=∧n i n i i in i i x n x n x n 12121)ln 1(ln 1,ln 1σμ7. 解:似然函数为 n i x x e ax L i i n i x a i ai ,,2,1;0,00,)(11 =⎪⎩⎪⎨⎧≤>=∏=--λλλ只需求∑⋅===--==--∏∏ni ai ai x a n i n n ni x a i ex a eax L 111111)()(λλλλλ的最值点。
概率论与数理统计第7章参数估计习题及答案第7章参数估计 ----点估计⼀、填空题1、设总体X 服从⼆项分布),(p N B ,10<计量=pXN. 2、设总体)p ,1(B ~X,其中未知参数 01<则 p 的矩估计为_∑=n 1i i X n 1_,样本的似然函数为_ii X 1n1i X )p 1(p -=-∏__。
3、设 12,,,n X X X 是来⾃总体 ),(N ~X 2σµ的样本,则有关于 µ及σ2的似然函数212(,,;,)n L X X X µσ=_2i 2)X (21n1i e21µ-σ-=∏σπ__。
⼆、计算题1、设总体X 具有分布密度(;)(1),01f x x x ααα=+<<,其中1->α是未知参数,n X X X ,,21为⼀个样本,试求参数α的矩估计和极⼤似然估计.解:因?++=+=101α2α1α102++=++=+|a x 令2α1α++==??)(X X EXX --=∴112α为α的矩估计因似然函数1212(,,;)(1)()n n n L x x x x x x ααα=+∑=++=∴ni i X n L 1α1αln )ln(ln ,由∑==++=??ni i X nL 101ααln ln 得,α的极⼤似量估计量为)ln (?∑=+-=ni iXn11α2、设总体X 服从指数分布 ,0()0,x e x f x λλ-?>=??其他,n X X X ,,21是来⾃X 的样本,(1)求未知参数λ的矩估计;(2)求λ的极⼤似然估计.解:(1)由于1()E X λ=,令11X Xλλ=?=i x nn L x x x eλλ=-∑=111ln ln ln 0nii ni ni ii L n x d L n n x d xλλλλλ====-=-=?=∑∑∑故λ的极⼤似然估计仍为1X。
、 第七章 假设检验7、1 设总体2(,)N ξμσ~,其中参数μ,2σ为未知,试指出下面统计假设中哪些就是简单假设,哪些就是复合假设:(1)0:0,1H μσ==; (2)0:0,1H μσ=>; (3)0:3,1H μσ<=; (4)0:03H μ<<; (5)0:0H μ=、解:(1)就是简单假设,其余位复合假设7、2 设1225,,,ξξξL 取自正态总体(,9)N μ,其中参数μ未知,x 就是子样均值,如对检验问题0010:,:H H μμμμ=≠取检验的拒绝域:12250{(,,,):||}c x x x x c μ=-≥L ,试决定常数c ,使检验的显著性水平为0、05 解:因为(,9)N ξμ~,故9(,)25N ξμ~ 在0H 成立的条件下,00053(||)(||)53521()0.053cP c P c ξμξμ-≥=-≥⎡⎤=-Φ=⎢⎥⎣⎦55()0.975,1.9633c cΦ==,所以c =1、176。
7、3 设子样1225,,,ξξξL 取自正态总体2(,)N μσ,20σ已知,对假设检验0010:,:H H μμμμ=>,取临界域12n 0{(,,,):|}c x x x c ξ=>L ,(1)求此检验犯第一类错误概率为α时,犯第二类错误的概率β,并讨论它们之间的关系;(2)设0μ=0、05,20σ=0、004,α=0、05,n=9,求μ=0、65时不犯第二类错误的概率。
解:(1)在0H 成立的条件下,200(,)nN σξμ~,此时00000()P c P ξαξ=≥=所以10αμ-=,由此式解出010c αμμ-=+在1H 成立的条件下,20(,)nN σξμ~,此时10100010()(P c P αξβξμ-=<==Φ=Φ=Φ-由此可知,当α增加时,1αμ-减小,从而β减小;反之当α减少时,则β增加。
(2)不犯第二类错误的概率为100.9511(0.650.51(3)0.21(0.605)(0.605)0.7274αβμμ--=-Φ-=-Φ-=-Φ-=Φ= 7、6 设一个单一观测的ξ子样取自分布密度函数为()f x 的母体,对()f x 考虑统计假设:0011101201:():()00x x x H f x H f x ≤≤≤≤⎧⎧==⎨⎨⎩⎩其他其他试求一个检验函数使犯第一,二类错误的概率满足2min αβ+=,并求其最小值。
概率论与数理统计练习题系 专业 班 姓名 学号第七章 参数估计(一)一、选择题:1矩估计必然是 [ C ] (A )无偏估计 (B )总体矩的函数 (C )样本矩的函数 (D )极大似然估计2.设12,X X 是正态总体(,1)N μ的容量为2的样本,μ为未知参数,μ的无偏估计是 [ D ] (A )122433X X +(B )121244X X + (C )123144X X - (D )122355X X + 3.设某钢珠直径X 服从正态总体(,1)N μ(单位:mm ),其中μ为未知参数,从刚生产的一大堆钢珠抽出9个,求的样本均值31.06X =,样本方差2290.98S =,则μ的极大似然估计值为 [ A ](A )31.06 (B )(31.06-0.98 , 31.06 + 0.98) (C )0.98 (D )9×31.06 二、填空题:1.如果1ˆθ与2ˆθ都是总体未知参数θ的估计量,称1ˆθ比2ˆθ有效,则1ˆθ与2ˆθ的期望与方差一定满足 1212ˆˆˆˆ,E E D D θθθθ=< 2.设样本1230.5,0.5,0.2x x x ===来自总体1~(,)X f x x θθθ-=,用最大似然法估计参数θ时,似然函数为()L θ= 31(0.05)θθ- 3.假设总体X 服从正态分布212(,),,,(1)n N X X X n μσ>为X 的样本,12211()n i i i C X X σ-+==-∑是2σ的一个无偏估计,则C =12(1)n -三、计算题:1.设总体X 具有分布律,其中(01)θθ<<为未知参数,已知取得了样本值1231,2,1x x x ===,试求θ456()2(1)22.5')1(0.6L L θθθθθθθθ=⋅-=-==解:该样本的似然函数.为令得三 、2.设12,,,n X X X 是来自于总体10~()0x X f x θθ⎧≤≤⎪=⎨⎪⎩其它(0)θ>的样本,试求:(1)θ的一个无偏估计1θ;(2)θ的极大似然估计2.θ3.设总体X 的概率密度为(1)01()0x x f x θθ⎧+<<=⎨⎩其它,其中1θ>-是未知参数,12,,,n X X X 为一个样本,试求参数θ的矩估计量和最大似然估计量。
. 第七章 假设检验设总体2(,)N ξμσ~,其中参数μ,2σ为未知,试指出下面统计假设中哪些是简单假设,哪些是复合假设:(1)0:0,1H μσ==; (2)0:0,1H μσ=>; (3)0:3,1H μσ<=; (4)0:03H μ<<; (5)0:0H μ=.解:(1)是简单假设,其余位复合假设设1225,,,ξξξL 取自正态总体(,9)N μ,其中参数μ未知,x 是子样均值,如对检验问题0010:,:H H μμμμ=≠取检验的拒绝域:12250{(,,,):||}c x x x x c μ=-≥L ,试决定常数c ,使检验的显着性水平为 解:因为(,9)N ξμ~,故9(,)25N ξμ~ 在0H 成立的条件下,00053(||)(||)53521()0.053cP c P c ξμξμ-≥=-≥⎡⎤=-Φ=⎢⎥⎣⎦55()0.975,1.9633c cΦ==,所以c =。
设子样1225,,,ξξξL 取自正态总体2(,)N μσ,20σ已知,对假设检验0010:,:H H μμμμ=>,取临界域12n 0{(,,,):|}c x x x c ξ=>L ,(1)求此检验犯第一类错误概率为α时,犯第二类错误的概率β,并讨论它们之间的关系;(2)设0μ=,20σ=,α=,n=9,求μ=时不犯第二类错误的概率。
解:(1)在0H 成立的条件下,200(,)nN σξμ~,此时00000()P c P ξαξ=≥=10αμ-=,由此式解出010c αμμ-=+在1H 成立的条件下,20(,)nN σξμ~,此时101010()(P c P αξβξμ-=<==Φ=Φ=Φ-由此可知,当α增加时,1αμ-减小,从而β减小;反之当α减少时,则β增加。
(2)不犯第二类错误的概率为100.9511(0.650.51(3)0.21(0.605)(0.605)0.7274αβμμ--=-Φ-=-Φ-=-Φ-=Φ=设一个单一观测的ξ子样取自分布密度函数为()f x 的母体,对()f x 考虑统计假设:0011101201:():()00x x x H f x H f x ≤≤≤≤⎧⎧==⎨⎨⎩⎩其他其他试求一个检验函数使犯第一,二类错误的概率满足2min αβ+=,并求其最小值。
解 设检验函数为1()0x cx φ∈⎧=⎨⎩其他(c 为检验的拒绝域)0101011112()2()()2[1()]()2[1()]()2(12())2(14)()P x c P x c P x c P x c E x E x x dx x x dx x x dxαβφφφφφ+=∈+∈=∈+-∈=+-=+-=+-⎰⎰⎰要使2min αβ+=,当140x -≥时,()0x φ= 当140x -<时,()1x φ=所以检验函数应取114()104x x x φ⎧≤⎪⎪=⎨⎪>⎪⎩,此时,10722(14)8x dx αβ+=+-=⎰。
设某产品指标服从正态分布,它的根方差σ已知为150小时。
今由一批产品中随机抽取了26个,测得指标的平均值为1637小时,问在5%的显着性水平下,能否认为该批产品指标为1600小时解 总体2(,150)N ξμ~,对假设,0:1600H μ=,采用U 检验法,在0H 为真时,检验统计量1.2578u ==临界值1/20.975 1.96u u α-==1/2||u u α-<,故接受0H 。
某电器零件的平均电阻一直保持在Ω,根方差保持在Ω,改变加工工艺后,测得100个零件,其平均电阻为Ω,根方差不变,问新工艺对此零件的电阻有无显着差异去显着性水平α=。
解 设改变工艺后电器的电阻为随机变量ξ,则E ξμ=未知,2(0.06)D ξ=, 假设为 0: 2.64H μ=,统计量 3.33u ξ==-由于1-/20.995 2.10||u u u α==<,故拒绝原假设。
即新工艺对电阻有显着差异。
(1)假设新旧安眠药的睡眠时间都服从正态分布,旧安眠剂的睡眠时间2(20.81.8)N ξ:,,新安眠剂的睡眠时间2()N ημσ:,,为检验假设01:23.8:23.8H H μμ=<从母体η取得的容量为7的子样观察值计算得%24.2x = *2 5.27ns = 由于η的方差2σ未知,可用t 检验。
t 0.461n x === 0.10a =取 0,10(71) 1.4398t t -=-<所以不能否定新安眠药已达到新的疗效的说法。
(2)可以先检验新的安眠剂睡眠时间η的方差是否与旧的安眠剂睡眠时间ξ的方差一致,即检验假设220:(1.8)H σ=。
用2χ-检验,*2222(1)6 5.279.76(1.8)nn s χσ-⨯===。
取220.060.05=(6)=1.635(6)=12.592αχχ0.10,,2220.060.05(6)(6)χχχ<<所以接受0H ,不能否认ξη和方差相同。
如认为η的方差2σu 0.18==取=α0.10,0.100.101.27,u u u =->,所以接受0H 。
有甲乙两个检验员,对同样的试样进行分析,各人实验分析的结果如下:试问甲乙两人的实验分析之间有无显着差异解 此问题可以归结为判断12x x ξ=-是否服从正态分布2(0,)N σ,其中2σ未知,即要检验假设0:0H μ=。
由t 检验的统计量 0.389nt ξ===-取α=,又由于,0.95(7) 1.8946||t t =>,故接受0H某纺织厂在正常工作条件下,平均每台布机每小时经纱断头率为根,每台布机的平均断头率的根方差为根,该厂作轻浆试验,将轻纱上浆率减低20%,在200台布机上进行实验,结果平均每台每小时轻纱断头次数为根,根方差为,问新的上浆率能否推广取显着性水平。
解 设减低上浆率后的每台布机断头率为随机变量η,有子样试验可得其均值和方差的无偏估计为及()2*2n s 0.16=,问新上浆率能否推广就要分析每台布机的平均断头率是否增大,即要检验01:0.973:0.973H E H E ηη=↔>由于D η未知,且n 较大,用t 检验,统计量为1.856nt η===查表知0.95t (199)1.645=,故拒绝原假设,不能推广。
在十块土地上试种甲乙两种作物,所得产量分别为1210(,,,)x x x L ,1210(,,,)y y y L ,假设作物产量服从正态分布,并计算得30.97x =,21.79y =,*26.7x s =,*12.1y s =取显着性水平,问是否可认为两个品种的产量没有显着性差别解 甲作物产量211(,)N ξμσ~,乙作物产量222(,)N ημσ~,即要检验 012:H μμ≠由于21σ,22σ未知,要用两子样t 检验来检验假设'22012:H σσ=,由F 检验,统计量为2*2*22120.99526.74.869(9,9) 6.5412.1F s s F ===<=(取显着性水平)故接受假设'22012:H σσ=,于是对于要检验的假设012:H μμ≠取统计量0.99t ==又0.01α=时,0.995(18) 2.878||t t =>,所以接受原假设,即两品种的产量没有显着性差别。
有甲、乙两台机床,加工同样产品,从这两台机床加工的产品中随机地抽取若干产品,测得产品直径为(单位:mm ): 甲 , , , , , 。
, 乙 , , , , , , 。
试比较甲乙两台机床加工的精度有无显着差异显着性水平为0.05α=。
解:假定甲产品直径服从211(,)N μσ,由子样观察值计算得20.00x =,1*22(0.3207)0.1029n s ==。
乙产品直径服从222(,)N μσ,由子样观察值计算得20.00y =,2*20.3967n s =。
要比较两台机床加工的精度,既要检验22012:H σσ=由 F-检验12*2*20.10290.25940.3967n F ns s ===0.05α=时查表得:0.975(7.6) 5.70F =,0.0250.97511(7.6)0.1953(6.7) 5.12F F ===由于0.0250.975(7.6)(7.6)F F F <<,所以接受0H ,即不能认为两台机床的加工精度有显着差异。
随机从一批钉子中抽取16枚,测得其长度为(cm )设钉长服从正态分布,分别对下面两个情况求出总体均值μ的90%的置信区间 (1)0.01cm σ=; (2)σ未知解 (1)由子样函数(0,1)U N ξ=:,0.95(||)0.90p U u <=,可求μ的置信区间 置信下限2.121ξ= 置信上限2.129ξ+= (2)在σ未知时,由子样函数(1)nt t n ξ=-:,0.95(||(1))0.90p t t n <-=可求得μ置信区间为置信下限*2.1175ξ= 置信上限*2.1325ξ+=包糖机某日开工包糖,抽取12包糖,称得重量为假定重量服从正态分布,试由此数据对该机器所包糖的平均重量 求置信水平为95%的区间估计。
解 由于σ未知,用统计量(1)nt t n ξ=-:,计算各数据值后可以得到均值的置信区间,置信上限为*10.2556ξ+=,下限为*9.9284ξ= 随机取9发炮弹做实验,得炮口速度的方差的无偏估计*211ns =(米/秒)2,设炮口速度服从正态分布,分别求出炮口速度的标准差σ和方差2σ的置信水平为90%的置信区间。
解 选取统计量*222(1)(1)nn s n χσ--:, 可得2σ的置信区间为:*2*2221/2/2(1)(1)(,)(5.6749,32.199)(1)(1)n n n s n s n n ααχχ---=-- 因为*2*22221/2/2(1)(1)()(1)(1)1n n n s n s p p n n αασσχχα---<<=<<--=-故,标准差的置信区间取方差的根方即可。
解:用子样函数t =必须要求2212σσ=,所以先应检验假设22012H σσ=:由样子观察值计算得12=81.625=75.875ξξ 12*2*2=145.696=102.125n n s s 12*2*2==1.4266n n s F s0.950.050.95=0.10(7.7) 3.79,(7.7)(7.7)F F F F α=<<取,由于,所以接受原假设0H ,可以用两子样t 统计量求12-μμ的置信水平为95%的置信区间。
置信下限1212-81.62575.8756.1885μμξξ=--=--=-置信上限12 2.145-81.62575.87517.1885μμ⨯=-+=-解:由于12*22*22/=/n A n Bs F s σσ服从12(1,1)F n n --分布,由12*220.05120.9512*222222220.95120.0512/(1,1)(1,1)/(1,1)(1,1)0.90n A n B A A A B B B s p F n n F n n s s s p S F n n S F n n σσσσ⎛⎫--<<-- ⎪ ⎪⎝⎭⎛⎫=<< ⎪----⎝⎭=所以22A Bσσ的置信区间为置信下限=*2*20.95120.54190.2810(1,1)0.6065 3.18AB s S F n n ==--⨯ 置信上限=*2*20.05120.5419 3.18 2.8413(1,1)0.6065AB s S F n n ⨯==-- 解:由于σ未知,μ的置信区间为**1/21/2*1/2*2221/2*2221/2*2221/22221/2(1),(1)2(1)4(1)()4(1)(1)4(1)(1)4(1)n nns s t n t n L t n sL t n ns E L E t n n n s t n E n n t n nαααααααξξσσσ-------⎛⎫--+- ⎪⎝⎭=-=-⎡⎤=-⎢⎥⎣⎦⎡⎤-=-⎢⎥-⎣⎦-=2222220.9752222220.9752222220.9752222220.975244()()(4)(2.7764) 6.16675544()()(9)(2.2622) 2.0470101044()()(29)(2.0452) 2.5577303044()()(7)(1.8946) 1.794888()(i E L t ii E L t iii E L t iv E L t v E L σσσσσσσσσσσσ============222220.9752222220.97544)(7)(2.3646) 2.79578844()()(7)(3.4995) 6.123388t vi E L t σσσσσσ======假设六个整数1,2,3,4,5,6被随机地选择,重复60次独立实验中出现1,2,3,4,5,6的次数分别为13,19,11,8,5,4。