实分析与复分析部分答案
- 格式:pdf
- 大小:299.66 KB
- 文档页数:48
分析实验习题答案实验习题是学生在学习过程中经常遇到的一种练习方式,通过实践和思考来巩固所学知识。
然而,对于一些复杂的实验习题,学生可能会遇到困惑和疑惑,不知道如何正确地解答。
因此,分析实验习题答案是非常重要的,它可以帮助我们理解问题的本质,掌握解题的方法和技巧。
首先,分析实验习题答案可以帮助我们理解问题的本质。
在解答习题时,我们往往只关注于得出正确答案,而忽略了问题的背后逻辑和思维过程。
通过仔细分析答案,我们可以深入思考问题的来源和目的,了解问题的关键点和要点。
这样,我们就能够更好地理解问题的本质,从而能够在类似的问题中灵活运用所学知识。
其次,分析实验习题答案可以帮助我们掌握解题的方法和技巧。
每个实验习题都有其独特的解题思路和方法,通过分析答案,我们可以学习到不同问题的解题思路和方法。
例如,在数学题中,我们可以通过分析答案来学习到不同的数学公式和定理的应用;在物理题中,我们可以通过分析答案来了解到不同物理原理的应用。
通过学习和掌握这些解题方法和技巧,我们就能够更加熟练地解答类似的问题,并且在解题过程中节省时间和精力。
此外,分析实验习题答案还可以帮助我们发现自己的问题和不足之处。
在分析答案的过程中,我们可能会发现自己在解题过程中犯了一些常见的错误,或者在某些环节上存在一些盲点。
通过发现问题和不足之处,我们可以及时调整学习方法和思维方式,避免再次犯同样的错误。
这样,我们就能够不断提高自己的解题能力和思维水平。
然而,分析实验习题答案并不仅仅是简单地照搬答案,而是要进行深入思考和探索。
我们需要从答案中找到问题的关键点和要点,理解问题的本质,并且掌握解题的方法和技巧。
只有这样,我们才能够真正地提高自己的解题能力和思维水平。
总之,分析实验习题答案是非常重要的,它可以帮助我们理解问题的本质,掌握解题的方法和技巧,发现自己的问题和不足之处。
通过不断地分析实验习题答案,我们可以提高自己的解题能力和思维水平,更好地应对学习中的各种挑战。
实分析与复分析比较实分析与复分析是数学中两个重要的分支,它们在分析学中有着不可替代的地位。
实分析主要研究实数域上的函数、极限、连续性、微积分等内容,而复分析则是在复数域上展开的分析学,研究复数域上的函数、解析函数、留数定理等内容。
本文将从实分析与复分析的定义、基本概念、应用等方面进行比较,以便更好地理解它们之间的联系和区别。
实分析是数学中的一个重要分支,它主要研究实数域上的函数、极限、连续性、微积分等内容。
实数域是指包含有理数和无理数的数域,是数学中最基本的数域之一。
实分析的基本概念包括实数、实数列、实函数、实极限、实微积分等。
实数是指可以用小数表示的数,包括有理数和无理数,是实分析研究的基本对象。
实数列是实数的一个序列,可以收敛到某个实数,也可以发散到无穷远。
实函数是定义在实数集上的函数,可以用来描述各种实际问题中的变化规律。
实极限是指当自变量趋于某个实数时,函数的取值趋于某个实数的性质。
实微积分是研究函数的变化率、积分、微分方程等内容,是实分析的重要组成部分。
复分析是在复数域上展开的分析学,研究复数域上的函数、解析函数、留数定理等内容。
复数是实数域的扩展,包括实部和虚部构成的数,可以用平面上的点表示。
复分析的基本概念包括复数、复数列、复函数、解析函数、留数定理等。
复数是实部和虚部构成的数,可以用来描述波动、震荡等具有周期性的现象。
复数列是复数的一个序列,可以收敛到某个复数,也可以发散到无穷远。
复函数是定义在复数集上的函数,具有解析性质,可以展开成幂级数。
解析函数是指在某个区域内可导的复函数,具有良好的性质和表达式。
留数定理是复分析中的重要定理,用来计算复函数在孤立奇点处的积分值,具有广泛的应用。
实分析与复分析在研究对象、基本概念、性质等方面有着明显的区别。
实分析主要研究实数域上的函数和性质,侧重于实数集上的极限、连续性、微积分等内容,是数学中的经典学科。
而复分析则是在复数域上展开的分析学,研究复数域上的函数和性质,侧重于复数集上的解析函数、留数定理等内容,是数学中的重要分支之一。
食品分析课后习题答案食品分析课后习题答案【篇一:食品分析试题及答案】>1、样品预处理的常用方法有:有机物破坏法、蒸馏法、溶剂提取法、色层分离法、化学分离法、浓缩法。
2、密度计的类型有:普通密度计、锤度计、乳稠计、波美计。
3、食品的物性测定是指色度测定、黏度测定和质构测定。
4、维生素分为脂溶性维生素和水溶性维生素。
5、肉制品常用的发色剂是亚硝酸盐(钠)和硝酸盐(钠),adi 值分别为0-0.2mg/kg和0-5mg/kg。
变旋光作用:具有光学活性的还原糖类(如葡萄糖、果糖、乳糖、麦芽糖等)溶解后,其旋光度起初迅速变化,然后渐渐变化缓慢,最后达到恒定值,这种现象称为变旋光作用。
有效酸度:指被测溶液中h+的溶度,准确的说应是溶液中h+的活度,所反映的是已离解的那部分酸的浓度,常用ph来表示,其大小可用酸度计(即ph计)来测定。
总糖:指具有还原性的(葡萄糖、果糖、乳糖、麦芽糖等)和在测定条件下能水解为还原性单糖的蔗糖的总量。
总灰分:食品的灰分常称为-。
在总灰分中,按其溶解性还可分为水溶性灰分、水不溶性灰分和酸不溶性灰分。
其中水溶性灰分反映的是可溶性的钾、钠、钙、镁等氧化物和盐类含量。
水不溶性灰分反映的是污染的泥砂和铁、铝等氧化物及碱土金属的碱式磷酸盐含量。
酸不溶性灰分反映的是环境污染混入产品中的泥砂及样品组织中的微量氧化硅含量。
1、怎样提高分析测试的准确度?(1)选择合适的分析方法(2)减少测定误差(3)增加平行测定次数,减少随机误差(4)消除测量过程中系统误差(5)标准曲线的回归2、水分测定有哪几种主要方法?采用时各有什么特点?(1)干燥法。
水分是样品中唯一的挥发物质;可以较彻底的去除水分;在加热过程中,如果样品中其他组分之间发生化学变化,由此而引起的质量变化可以忽略不计。
(2)蒸馏法。
快速,设备简单经济、管理方便,准确度能够满足常规分析的要求。
对于谷类、干果、油类、香料等样品,分析结果准确,特别是对于香料,蒸馏法是惟一的、公认的水分测定法。
2024年考研数学复分析题型详解及答案讲解在2024年的考研中,数学科目一直是各大考生关注的焦点,而复分析题型更是其中的难点之一。
本文将围绕2024年考研数学复分析题型进行详解,并提供相应的答案讲解,希望对考生有所帮助。
一、函数的解析性质在复分析中,函数的解析性质一直是研究的重点。
主要包括函数的解析性、全纯性和调和性等概念。
在考试中,我们经常会遇到与函数解析性质相关的选择题。
例如,考题可能会给出一个函数的定义式,要求判断其在某个区域内是否解析。
对于这类题目,我们一般需要利用函数的柯西—黎曼条件来进行判断。
如果柯西—黎曼条件在给定的区域内成立,则函数是解析的。
二、级数展开与积分计算级数展开和积分计算是复分析中常见的计算方法。
在考试中,我们可能会遇到需要对函数进行级数展开的题目,或者需要计算某个函数的积分值。
对于级数展开,我们可以利用泰勒级数或洛朗级数进行展开。
对于给定的函数,我们可以根据定义进行级数展开,然后利用展开式计算问题中要求的值。
对于积分计算,我们可以利用留数定理或者围道定理等方法进行求解。
对于给定的积分,我们可以通过找到合适的路径,将积分化简为简单的形式,然后利用定义或现有的公式进行计算。
三、解析函数的应用解析函数在实际问题求解中有着广泛的应用。
在考试中,我们可能会遇到需要利用解析函数进行问题求解的题目。
例如,题目可能给出一个实际问题,要求我们利用解析函数的性质进行求解。
在此类问题中,我们需要将实际问题转化为解析函数的形式,然后运用解析函数的性质进行计算。
四、常见题型详解及答案讲解1. 判断函数的解析性质题目描述:给定函数$f(z)=\frac{e^z}{z^3-z}$,判断其在区域$D=\{z|\frac{1}{2}<|z|<1\}$内是否解析。
答案讲解:为了判断函数的解析性质,我们需要验证柯西—黎曼条件是否成立。
柯西—黎曼条件要求函数的实部和虚部满足一定的偏导数关系。
首先,我们计算函数$f(z)$的实部和虚部:实部:$u(x,y)=\mathrm{Re}(f(z))=\frac{e^x\cos y}{x^3-x}-\frac{e^x\sin y}{x^3-x}$虚部:$v(x,y)=\mathrm{Im}(f(z))=\frac{e^x\sin y}{x^3-x}+\frac{e^x\cos y}{x^3-x}$然后,计算实部和虚部的偏导数:$\frac{\partial u}{\partial x}=\frac{3e^x\sin y}{x^3-x}-\frac{3e^x\cos y}{(x^3-x)^2}$$\frac{\partial u}{\partial y}=\frac{e^x\cos y}{x^3-x}-\frac{e^x\sin y}{x^3-x}$$\frac{\partial v}{\partial x}=\frac{3e^x\cos y}{x^3-x}+\frac{3e^x\sin y}{(x^3-x)^2}$$\frac{\partial v}{\partial y}=\frac{e^x\sin y}{x^3-x}+\frac{e^x\cos y}{x^3-x}$根据柯西—黎曼条件,我们有:$\frac{\partial u}{\partial x}=\frac{\partial v}{\partial y}$$\frac{\partial u}{\partial y}=-\frac{\partial v}{\partial x}$通过计算可以发现,这两个偏导数关系在区域$D$内成立。
实分析和复变函数的异同与衔接实分析和复变函数是现代数学中两个最重要的分析分支。
实分析是研究实数集合上性质与结构的数学分支,而复变函数则是研究复数集合上函数的性质与结构的分支。
虽然两者有许多相同之处,但是它们仍然存在着很大的差异和衔接。
本文将尝试探讨实分析和复变函数的异同以及它们之间的衔接。
一、实分析和复变函数的概述实分析和复变函数都是数学中重要的分支,它们在应用数学、物理学、工程学等领域都有广泛的应用。
实分析主要研究实数集合上函数的性质和结构,包括实数的连续性、可微性、积分等,是数学分析的基础。
而复变函数则主要研究复数集合上的函数,包括复函数的解析性、亚纯性、调和性等,是复分析的核心。
二、实分析和复变函数的异同1. 定义域和值域的差异实分析的对象是实数集合,函数的定义域和值域都是实数集合。
而复变函数则是定义在复数集合上的函数,其定义域和值域都是复数集合。
复数集合具有比实数集合更为丰富的结构和性质,如复数的代数结构、极点、奇点等,这些结构和性质是实分析中所不具备的。
2. 可微性的区别实分析中的函数通常只有一种可微性,即一阶可导性。
而复变函数则具有更为复杂的可微性,即解析性。
解析函数的导数不仅可以存在,而且存在时还与原函数在同一域上表示。
另外,复变函数的解析性具有良好的连续性和局部性质,这使得复变函数在实际应用中具有很大的优越性。
3. 积分的异同实分析中的积分在很大程度上是累次积分的推广。
而复变函数的积分则是一个全新的概念。
复变函数的积分不仅包括路径积分、曲线积分等,还包括复平面中的奇点积分,而奇点积分在实分析中是不存在的。
4. 极限的异同实分析中的极限概念主要是基于距离的概念引入的。
而复变函数中引入了一种新的距离概念,即复模长(绝对值)。
复数集合中的极限概念包括极限点、收敛、发散等。
当然,实数集是复数集的一个特例,所以实分析中产生的极限概念也适用于复变函数中。
三、实分析与复变函数的衔接实分析和复变函数不仅存在着很多的差异,也存在着深刻的衔接,这使得它们之间的交互和应用更加广泛和深入。
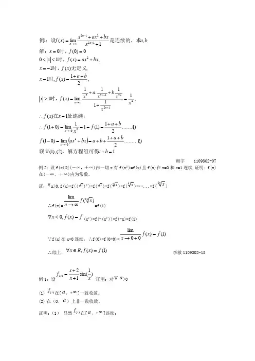
()1)2(),1()2.........(21lim )01()1.......(21)1(11lim )01(1)(,11111.1lim )(1,21)(,1,)(1,)(100)0(0,1lim )(120202122122212212=+++++=+=-++====+∴=∴=+++=>++==-=+=<<==+++=-→+→+-∞→+-∞→b a ba b a bx ax f ba f x f x x f x xx b x a x x f x ba x f x x f x bx ax x f x f xb a x bxax x x f x x n n n n n n n ,解方程组可得联立处连续,在时,时无定义时,时,时,解:是连续的,求:设例谢宇 1109302-07 例2:设f(x)对(-∞,+∞)内一切x 有f(x ²)=f(x)且f(x)在x=0和x=1连续,证明:f(x)在(-∞,+∞)内为常数。
证:∀x>0,f(x)=f((x )²)=f(x )=f(4x )=f(8x )=…...=f(nx 2)∴f(x)=)(lim2n x f n ∞→=f(1)f x f x =<∀)(,0(x ²)=f(-(x ²))=f(-x)=f(1)∵f(x)在x=0连续,∴f(0)=f(0+0)=)1()(00limf x f x =+→∴综上,)1()(,f x f R x =∈∀ 李敏1109302-18例1:设)1sin(12)(x x x f x ++=证明:对∀a >0(1))(x f 在[a ,+∞]一致收敛。
(2) 在(0,a )上非一致收敛。
证明:(1) 显然)(x f 在[a ,+∞]连续;')(x f =)1cos()1(2)1sin()1(12x x x x x x ++++- 由于函数)1(1+-x 和)1(22++x x x 在区间[a ,+∞]上单调递减且1)1sin(≤x ,1)1cos(≤x ;)1(2)1(12')(++++-≤a a a a f x =)1(232++a a a =)1(232++a a a所以')(x f 在[a ,+∞]上有界,即)(x f 在[a ,+∞]满足Lipschitz 条件;所以)(x f 在[a ,+∞]上一致收敛。
analysis数学-回复什么是数学分析?数学分析(Mathematical Analysis)是数学领域中的一个重要分支,它研究的对象是数学中的极限、连续性和微积分。
数学分析通常被认为是现代数学的基础,它的发展过程中涉及了很多数学家的贡献。
数学分析有两个主要的分支,即实分析(Real Analysis)和复分析(Complex Analysis)。
实分析主要研究实数和实数集上的函数,而复分析则考虑复数和复数域上的函数。
这两个分支都是数学分析的重要组成部分。
数学分析的历史可以追溯到古希腊数学,但是它的现代形式主要是在17世纪和18世纪由众多数学家共同奠定的。
其中最为重要的是牛顿和莱布尼茨的微积分理论,以及柯西对实分析和复分析的贡献。
这些数学家的工作为数学分析的发展奠定了基础。
数学分析的核心概念是极限与连续性。
极限是数学中的重要概念,它用来描述函数在某个点上的趋近行为。
当自变量在趋近于一个特定值时,函数的极限可以告诉我们函数的取值趋近于哪个数。
连续性则描述的是函数在整个定义域上没有间断或跳跃的性质。
连续函数是极其重要的,因为它们在数学和科学中的应用非常广泛。
微积分是数学分析中的重要分支,它是研究变化率和积分的数学理论。
微积分的发展也是数学分析发展的重要标志之一。
微分学研究的是函数的变化率,而积分学则研究的是函数的累积变化。
这两个概念是紧密相关的,微积分的基本定理将微分和积分联系了起来。
实分析和复分析在数学和工程领域中都有重要的应用。
实分析被广泛应用于物理、工程和经济学等领域,而复分析则是在电磁学、流体力学和信号处理等领域中的重要工具。
这些应用使得数学分析成为了一门研究的热点,也促进了数学分析的不断发展和完善。
总结起来,数学分析是数学中的重要分支,它研究的是数学中的极限、连续性和微积分。
实分析和复分析是数学分析的两个主要分支。
数学分析的发展受到了众多数学家的贡献,并在各个领域中有重要的应用。
数学分析的研究将继续推动数学的发展,并在科学和工程领域中发挥重要作用。
实分析精选50题第一章 测度论1. 设,μυ是定义在σ−代数S 上的两个测度, μ是有限的,且υ对于μ是绝对连续的,则存在可测集E ,使得X E −对于υ而言具有σ−有限测度,并使得对E 的任何可测子集F ,()F υ或为0或为∞.证明:(ⅰ)若υ本身是一个有限测度或者σ−有限测度,取E 为空集即可.(ⅱ)考虑υ不是一个有限测度或者σ−有限测度的情形:引理: 设,μυ是定义在σ−代数S 上的两个测度, μ是有限的,且υ对于μ是绝对连续的,υ不是一个有限测度或者σ−有限测度.若()E υ=∞,并且对于υ而言并非一个σ−有限集,则存在一个可测子集F ,F 的任何子集G ,()G υ或为0或为∞.证明:设sup{()|,0()G G E G αμυ=⊂<<∞或(),G υ=∞但1,()}i i i G G G υ∞==<∞∪则存在,(),()i i E E E i μα⊂→→∞,且i E 满足:,0()G E G υ⊂<<∞或(),G υ=∞但1,()i i i G G G υ∞==<∞∪.令1nn i i F E ==∪,则()(),n n F E μμ≥且n F 也满足上式的条件.()n F μα∴≤()()n F n μα∴→→∞,故:1()i i E μα∞==∪.考虑:1,i i F E E ∞==−∪()F υ=∞,否则E 对于υ而言具有σ−有限测度. F 的任何子集G ,()G υ或为0或为∞.如若不然:存在可测子集:0()M M υ<<∞,则:()0M μ≠,1i i M E ∞=⎛⎞=∅⎜⎟⎝⎠∩∪,且1()i i M E μα∞=⎛⎞>⎜⎟⎝⎠∪∪.但1i i M E ∞=⎛⎞⎜⎟⎝⎠∪∪满足:“,0()G E G υ⊂<<∞或(),G υ=∞但1,()i i i G G G υ∞==<∞∪”的条件.故与1()i i M E μα∞=⎛⎞≤⎜⎟⎝⎠∪∪矛盾.所以存在一个可测子集F ,F 的任何子集G ,()G υ或为0或为∞.令sup{()|,E E S βμ=∈()0E υ≠,对E 的任何可测子集F ,()F υ或为0或为}∞.类似与证明引理中的讨论,利用穷举法,存在:,(),()i i G G i μβ→→∞,1()i i G μβ∞==∪ ,这里,i G S ∈对i G 的任何可测子集F ,()F υ或为0或为}∞.()1,2,...i =考虑:1i i G E ∞==∪,则对E 的任何可测子集F ,()F υ或为0或为∞.在X E −中,不存在一个可测子集F ,()0F υ≠,F 的任何可测子集G ,()G υ或为0或为∞.事实上,若X E −中存在这样一个可测子集H ,则E H ∪满足:E H S ∈∪,()0E H υ≠∪,对E H ∪的任何可测子集F ,()F υ或为0或为∞.但 E H =∅∩,所以()()()E H E H μμμ=+∪. 又注意到()0H υ≠,所以()0H μ≠,所以()()()E H E H μμμβ=+>∪.这与β的定义是矛盾的.所以在X E −中,不存在一个可测子集F ,()0F υ≠,F 的任何可测子集G ,()G υ或为0或为∞.若X E −对于υ而言不具有σ−有限测度,则由引理, 存在一个可测子集F ,F 的任何子集G ,()G υ或为0或为∞.这与上面的讨论是矛盾的.所以X E −对于υ而言具有σ−有限测度. 证毕2. 设{}n μ是可测空间(,)X R 上一列有限的广义测度,()i 若{}n μ是全有限的测度序列,则必存在(,)X R 上全有限测度μ,使得n μ对于μ是绝对连续的(1,2...)n =.()ii 证明必存在(,)X R 上全有限测度μ,使得n μ对于μ是绝对连续的(1,2...)n =. 证明:()i {}n μ中0()2X μ≤≤的测度记为n υ,重新排列,其余的记为n T ,重新排列 定义111()()()2()n n nn n n nE T E E T X υμ∞∞+===+∑∑. 可以证明()0,()X μμ∅=<+∞,对于1,i i i i E E E ∞==∅∩∪:111111()()2()n i n i i i i nn n n i nE T E E TX υμ∞∞∞∞∞==+===⎛⎞=+⎜⎟⎝⎠∑∑∪∪∪=11111()()2()nin ii i nn n n n E T E T X υ∞∞∞∞==+==+∑∑∑∑由于二和均收敛,故可交换顺序.∴1i i E μ∞=⎛⎞⎜⎟⎝⎠∪=11111()()2()n i n i nn i n i n n E T E T X υ∞∞∞∞+====+∑∑∑∑=1()i i E μ∞=∑ 所以μ是一个全有限测度,容易验证: n μ对于μ是绝对连续的(1,2...)n =.()ii 考虑{}n μ的全变差测度{}n μ,n μ仍是一个全有限测度,由()i 的证明存在 有限测度μ,使得n μ对于μ是绝对连续的,所以n μ对于μ是绝对连续的(1,2...)n =. 证毕.3.()i 设μ是可测空间(,)X R 上全σ−有限的测度,证明:必存在(,)X R 上全有限测度υ,使得μ等价于υ.()ii 设{}n μ是可测空间(,)X R 上全σ−有限的广义测度序列, 证明必存在(,)X R 上全有限测度μ,使得n μ对于μ是绝对连续的(1,2...)n =. ()i 证明:μ∵是可测空间(,)X R 上全σ−有限的测度,1i i X E ∞=∴=∪,且()i E μ<+∞i E 互斥将{}i E 分类,()02i E μ≤≤的记作{}i F (重新排列), 其余的记为{}i G (重新排列),作(,)X R 上的可测函数f :()()11,1,2,...21,1,2,...n n n n n x F n f x G n G μ+⎧∈=⎪⎪=⎨∈=⎪⎪⎩考虑f 在X 上的积分:Xfd μ∫=11111()()2()n n n n n n nF G G μμμ∞∞+==+<∞∑∑, 令()EE fd υμ=∫. 易证υ是(,)X R 上全有限测度.1. 若()0()0E E μυ=⇒=2. 若()0E υ=,0,f >∵易证()0E μ= 所以μ等价于υ.()ii 考虑{}n μ的全变差测度{}n μ,n μ仍是一个全σ−有限测度, 由()i 的证明: 存在(,)X R 上全有限测度n υ,使得n μ等价于n υ.由第2题()i 的证明, 必存在(,)X R 上全有限测度μ,使得n υ对于μ是绝对连续的(1,2...)n =. 所以:. n μ对于μ是绝对连续的(1,2...)n =,即: n μ对于μ是绝对连续的(1,2...)n =. 证毕.4. 设(,,)X S μ是一个全有限测度空间,f 是(,,)X S μ上的一个可测函数,如果对于扩张数直线上的任何Borel 集M ,有1()(())M f M υμ−=,则υ是Borel 集类上的一个测度,设{}()():()g t x X f x t μ=∈<,若f 是有限函数,则g 具有下列性质:(1) 它是单调增加的 (2)左连续的()0,()()g g X μ−∞=∞=.我们称g 为f 的分布函数.若g 是连续的,则g 引出的Lebesgue Stieltjes −测度g μ是υ的增补.f 是可测集E 的特征函数,则()(1)()(0)()c M M M E E υχμχμ=+.证明:考虑∅,1()(())()0f υμμ−∅=∅=∅=考虑i M ,11()()i j i j M M f M f M −−=∅⇒=∅∩∩,1111()()i i i i f M f M ∞∞−−===∪∪所以由μ的可列可加性可以得到υ的可列可加性,所以υ是Borel 集类上的一个测度.考虑{}()():()g t x X f x t μ=∈<:{}()11():()g t x X f x t μ=∈<,{}()22():()g t x X f x t μ=∈<.若12t t <则12()()g t g t ≤.因为()g t 是单调增加的函数,其任一点的左极限必定存在,所以只需证明对某一列单调增加的数列:12......n x x x x <<<→,有lim ()()n n g x g x →∞=.事实上{}()11()():()g x g x t X x f t x μ−=∈≤<={}11:()n n n t X x f t x μ∞+=⎛⎞∈≤<⎜⎟⎝⎠∪ {}()11:()n n n t X x f t x μ∞+==∈≤<∑=[]11()()n n n g x g x ∞+=−∑[]11lim ()()n n g x g x +→∞=−11lim ()()n n g x g x +→∞=−.所以lim ()()n n g x g x →∞=,所以g 是左连续的.显然()0,()()g g X μ−∞=∞=.考虑g 引出的Lebesgue Stieltjes −测度g μ,设*g s 为*g μ−可测集类,s 是Borel 集类,任意的Borel 集必是*gμ−可测集,设__S 为υ的增补所组成的集类.(){}()*[,)()():()g a b g b g a x X a f x b μμ=−=∈≤<()[,)a b υ=所以*()()g M M υμ=. 对于任意*g E S ∈,不妨设*()g E μ<∞,对于E ,存在F S ∈,**()()g g E F μμ=.F 为E 的可测覆盖,*()0g F E μ∴−=,而F E −也有一个可测覆盖,()0g G G μ=()()E F G E G =−∪∩,E ∴∈__S ,所以*gS ⊂__S ,又注意到g μ是一个完全测度,所以由增补的定义, g μ是υ的增补.设f 是可测集E 的特征函数,则()()E f x x χ=.若11,0,()M M f M E −∈∉∴=,所以()(1)()(0)()c M M M E E υχμχμ=+ 类似进行讨论,可以得到结论. 证毕.5. 设*μ是可传σ−环H 上的正则外测度,如果{}n E 是H 中之集的一个增序列,且lim n n E E →∞=,则**lim ()()n n E E μμ→∞=.证明:(i) 若*lim ()n n E μ→∞=+∞,则问题不证自明.(ii)若*lim ()n n E μ→∞=+∞,由正则外测度的性质:__**()()n n E E μμ=.设 所有__μ−可测集为__S , ____()S S S =.__S ∴中存在n F 使得n n E F ⊂,____*()()n n E F μμ=,且对于n n G F E ⊂−__()0G μ= 对于1n E +,存在1n F +使得11n n E F ++⊂,____*11()()n n E F μμ++=.注意到1n n n n F E F E +−⊂−,所以__1()0n n F E μ+−=,所以可以作到1n F +包含n F . 同样有lim n n F F →∞=,____lim ()()n n F F μμ→∞=,____***()()()()n n n E F E E μμμμ==≤,所以__*()(),F E μμ≤但注意到1n n E E ∞==∪,1n n F F ∞==∪,故____**()()()F E E μμμ≥≥.所以__*()()F E μμ=,即**lim ()()n n E E μμ→∞=. 证毕6. 设(,,)X S μ是σ−有限测度空间,如果{}n υ是定义在S 上的有限广义测度的一个序列,其中每一个n υ对于μ都是绝对连续的,且对于S 中的每一个E ,lim ()n n E υ→∞存在且有限,则集函数n υ对于μ是一致绝对连续的.证明:设,E F S ∈,如果,E F 满足()0E F μΔ=,则我们将,E F 看作相等的.记为:[]E F μ=.在新的相等意义下,测度μ在S 上仍然无歧义地确定.又()0E μ=∵与E =∅等价,所以在新的相等意义下μ成为一个正测度,((),)S μμ作成一个测度环.设R 表示S 中一切具有有限测度的元素的集合,对于,E F R ∈,令:(,)()E F E F ρμ=Δ.这是R 上的一个度量,称R 为((),)S μμ连带的度量空间. 考虑下面的两个引理:引理1:R 按度量(,)()E F E F ρμ=Δ作成一个完备度量空间. 证明:若{}n E 是R 中一个基本列,即:(,)0()0n m n m E E E E ρμ→⇔Δ→()0,n m E E Xd n m χχμ∴−→→∞→∞∫所以{}n E χ是依测度基本的,故存在可测函数f ,使得{}n E χ依测度收敛于f . 根据黎斯引理,存在一个子列{}n kE χ,使得{}nkE χ几乎处处收敛于f .显然f 也是一个集合的特征函数,(设为E )所以由积分的定义和控制收敛定理,有:()0n E Xf d n χμ∴−→→∞∫,即()0nE E X d n χχμ∴−→→∞∫所以(,)0()0n n E E E E ρμ→⇔Δ→.即:R 按度量(,)()E F E F ρμ=Δ作成一个完备度量空间.引理2:υ是定义在S 上的有限测度,且υ对于μ是绝对连续的,则υ在R 上可以无歧义地确定,且是R 上的连续函数. 证明:由于υ对于μ是绝对连续的,所以()0()0E F E F μυΔ=⇒Δ=显然υ在R 上可以无歧义地确定,事实上由()E F μΔ的定义,只考虑在零点∅的连续性情形.若结论不成立:00ε∃>,存在,n E R ∈使得1(),1,2,3,...2n nE n μ<=但0()n E υε>. 令1i n i nF E ∞∞===∩∪:因为1(),1,2,3,...2n n E n μ<=所以11()()1,2,3,...2i n i nF E n μμ∞−=<<=∑故()0()0F F μυ=⇒=.但()0()lim lim m n n n m n F E E υυυε∞→∞→∞=⎛⎞=≥≥⎜⎟⎝⎠∪,矛盾.所以υ是R 上的连续函数.下面考虑本问题:考虑0ε∀>令::,()()1,2,...3k n m n k m k E E R E E k εευυ∞∞==⎧⎫=∈−≤=⎨⎬⎩⎭∩∩.由引理2,n υ和m υ都是R 上的连续函数,所以:,()()3n m E E R E E ευυ⎧⎫∈−≤⎨⎬⎩⎭是闭集,由闭集的性质::,()()1,2,...3k n m n k m k E E R E E k εευυ∞∞==⎧⎫=∈−≤=⎨⎬⎩⎭∩∩也是闭集.显然1k k R ε∞=⊂∪,对于本题来说,由于对于S 中的每一个E ,lim ()n n E υ→∞存在且有限,所以R 上的每一个E ,总存在一个1,k 使得1k E ε∈,所以1k k R ε∞=⊃∪.又因为1k k R ε∞=⊂∪,所以1k k R ε∞==∪.由引理1,R 按度量(,)()E F E F ρμ=Δ作成一个完备度量空间.所以由Baire 定理:完备的度量空间不能表示为可数个无处稠密集并的形式.故0,k ∃使得0k ε在某一个球中稠密,即:,B ∃使得00___k k B εε⊂=.这就说明:在R 中存在0E 和正数0r 使得:{}000:(,)k E E E r ρε<⊂.因为每一个n υ对于μ都是绝对连续的,由引理2:0,0n εδ∀>∃>,当()n E μδ<时,()3n E ευ<.取{}0012min ,,...k δδδδ=,所以00,0εδ∀>∃>,当0()E μδ<时,()3n E ευ<()01n k ≤≤令:00min(,)r δδ=,当()E μδ<时,000(,)E E E r ρ<∪,000(,)E E E r ρ−< 所以()()000n k E E E E υυ−∪∪3ε<,()()000k n E E E E υυ−−−3ε<对于0n k ≥的n υ来讲,因为()()00E E E E E =−−∪所以:()()()()0000()()n n n n E E E E E E E E E υυυυ=−−=−−∪∪()()()()()()0000000000n k k k k n E E E E E E E E E E E E υυυυυυ=−+−−+−−−∪∪∪ ()()()()()()0000000000n k k k k n E E E E E E E E E E E E υυυυυυ≤−+−−+−−−∪∪∪ ()()()()()0000000n k k k n E E E E E E E E E υυυυυ=−++−−−∪∪ 333εεεε<++=.所以集函数n υ对于μ是一致绝对连续的.进一步考虑:如果lim ()()n n E E υυ→∞=,显然υ具有有限可加性.设{},lim k k k E R E →∞∈=∅,且k E 是递减的.所以lim ()0k k E μ→∞=.则由刚刚证明的结论可以得到:()()sup ()0k n k E E υυ≤→.利用<<测度论讲义>>(严加安著).13P 1.3.4定理,()E υ是一个有限的广义测度,且υ对于μ是绝对连续的. 证毕7. 设{}n A 是互不相交的可测集列,()1,2,...n n B A n ⊂=,则()**11()n n n n m B m B ∞∞===∑∪.证明:由外测度的定义及性质:()**11()n n n n m B m B ∞∞==≤∑∪考虑到可测集的性质:对于任意的T ,***()()()c m T m T E m T E =+∩∩,所以**()()m T m T E ≥∩.令1n n T B ∞==∪,1n n E B ∞==∪ 所以有()**11()n n n n m B m B ∞∞==≥∑∪.故问题得到证明. 证毕8. 设点集12,E E ,且1E 是可测集,若12()0m E E Δ=.则:2E 可测,且12()()m E m E =. 证明:因为12()0m E E Δ=,所以*12()0m E E Δ=.∵12112212()()()()E E E E E E E E =Δ=Δ∪∪∪,所以***1212()()()m E E m E m E ==∪.1E 是可测集,12E E Δ可测,故()()121212\E E E E E E Δ=∪∩可测.考虑到:()()212112\E E E E E E =Δ⎡⎤⎣⎦∪∩,()12112E E E E E Δ=∪∪,故12E E ∪可测,所以()12E E ∩可测.则2E 可测.又由:***1212()()()m E E m E m E ==∪, 所以12()()m E m E =. 证毕9. 设1E R ⊂,是一个可测集,且0()m E α<<.则存在E 中有界闭集F ,使得()m F α=.证明:令[],x E x x =−,[]()(),g x m x x E =−∩,()0x ≥.易知:()g x 是[0,)+∞上的连续函数,(0)0,lim ()()x g g x m E →∞==.所以存在0x 使得0()()2m E g x αβα+==>定义[]00,x x E G −=∩,()m G βα=>,则G 是一个有界的集合,并且可测. 考虑G 的内测度(详见那汤松书):**()()()sup{():m G m G m G m F F ===是G 的闭子集}故存在G 的闭子集0F ,使得0()2m F αβηα+==>同样令[]()0(),f x m x x F =−∩,()0x ≥.易知:()f x 是[0,)+∞上的连续函数,(0)0,lim ()x f f x η→∞==.所以存在1x 使得1()f x α=.显然[]110,x x F −∩是一个有界的闭集.令F []110,x x F =−∩即可. 证毕10. 设X 是由1R 中某些互不相交的正测集组成的集类.则X 是可数的.证明:由上题可以得到:对于X 中任意一个元素E ,存在E 中有界闭集F ,使得()()m F m E α=<.这里因为F 属于某一个闭区间,去掉闭区间的两个端点, 考虑到开集的构造,由于0()()m F m E α<=<,所以必存在一个区间属于F .故对于每一个E ,存在一个区间,I I E ⊂.考虑到有理数的稠密性,所以每一个I 中存在有理数点.又因为有理数全体是可数的,所以X 是可数的. 证毕11. 设1E R ⊂有界,试证明:E 是可测集当且仅当0ε∀>,存在有限个互不相交的区间12,,...m I I I 之并集1mk k J I ==∪,使得*()m E J εΔ<.证明:⇒因为E 是可测集,且有界.所以存在一个闭集F E ⊂,使得(\)2m E F ε<.对于F ,必存在一个开集G F ⊃,使得(\)2m G F ε<.由开集的构造可以得到,存在{}k I ()1,2,...k =,使得1k k G I ∞==∪.注意到F 是一个有界闭集,所以是紧的.故存在有限个i I ,(不妨记为:12,,...m I I I )使得1mk k J I F ==⊃∪.注意到()()\\E J G F E F Δ⊂∪,所以*()()m E J m E J εΔ=Δ<.⇐由题意,0ε∀>,存在有限个互不相交的区间12,,...m I I I 之并集1mk k J I ==∪,使得*()m E J εΔ<.考虑\E J E J ⊂Δ,因为*()m E J εΔ<,总存在一个开集G 覆盖\E J 使得()m G εε<+.令\E J 0E =,所以*0(\)2m G E ε<.不妨考虑这有限个区间为开区间.这时0G J G ∪ 也为开集.并且:**00(\)(\)2m G E m G E ε<<由于ε的任意性,我们可以得到:0ε∀>,存在开集G ,使得G E ⊃,*(\)m G E ε<事实上这就是E 可测的充分必要条件.所以E 是可测集. 证毕12. 设,A B 是1R 上的正测集,令{};,E b a b B a A =−∈∈,则E 必包含一个区间. 证明:由周民强书P98定理2.15取34λ=,存在区间12,I I 使得: 113()()4m A I m I >∩,223()()4m B I m I >∩记:112(,)I x x =,234(,)I x x =. (ⅰ)若12()()m I m I ≥;考虑()()4321031313,44x x x x x x x x x −−⎡⎤∀∈−−+−⎢⎥⎣⎦:令0102,A A I B B I ==∩∩若{}01;,x E b a b B a A ∉=−∈∈,则:{}()0x A B+=∅∩但是{}()()()4321003333,44x x x x x A x x −−⎡⎤+⊂++⎢⎥⎣⎦.注意到12()()m I m I ≥,所以34(,)x x ()()43213333,44x x x x x x −−⎡⎤⊂++⎢⎥⎣⎦.于是得到:0B ()()43213333,44x x x x x x −−⎡⎤⊂++⎢⎥⎣⎦.又因为{}()000x A B +=∅∩,所以{}()()()432100033()()44x x x x m x A m B −−++≤+. 但由题意:{}()()()43210000033()()()()44x x x x m A m B m x A m B −−+=++>+ 所以矛盾故{}01;,x E b a b B a A ∈=−∈∈,即:()()432131313,44x x x x x x x x −−⎡⎤−−+−⊂⎢⎥⎣⎦{};,b a b B a A −∈∈.(ⅱ)若12()()m I m I <;考虑()()2143013133,44x x x x x x x x x −−⎡⎤∀∈−−+−⎢⎥⎣⎦:若{}02;,x E a b b B a A ∉=−∈∈,则{}()000x B A +=∅∩.但是:{}()00x B +()()43211133,44x x x x x x −−⎡⎤⊂++⎢⎥⎣⎦因为12()()m I m I <,所以0A ()()43211133,44x x x x x x −−⎡⎤⊂++⎢⎥⎣⎦.于是:{}()()()432100033()()44x x x x m x A m B −−++≤+ 但由题意:{}()()()43210000033()()()()44x x x x m A m B m x A m B −−+=++>+,矛盾. 所以{}02;,x E a b b B a A ∈=−∈∈,即:()(){}214313133,;,44x x x x x x x x a b b B a A −−⎡⎤−−+−⊂−∈∈⎢⎥⎣⎦由讨论知:无论如何E 必包含一个区间. 证毕13. 设*μ是可传σ−环上的外测度,__S 是由全体*μ−可测集组成的类,若A H ∈,{}n E 是__S 中之集的增序列,则()()**(lim )lim n n n n A E A E μμ→∞→∞=∩∩. 证明:事实上可以得到()()11lim n n n n n n A E E A E A ∞∞→∞==⎛⎞==⎜⎟⎝⎠∩∩∩∪∪.令0E =∅,1n n n D E E −=−,()1,2,...n =.所以()***111m mm n n n n n n E A D A D A μμμ===⎛⎞⎛⎞⎛⎞⎛⎞≤≤⎜⎟⎜⎟⎜⎟⎜⎟⎝⎠⎝⎠⎝⎠⎝⎠∑∩∩∩∪∪. 因为:____1,,n n E S E S −∈∈所以__n D S ∈.于是由卡氏条件:***()()()cn n n n n A E A E D A E D μμμ=+∩∩∩∩∩易见: **1()()cn n n A E D A E μμ−=∩∩∩,**()()n n n A E D A D μμ=∩∩∩所以***1()()()n n n A D A E A E μμμ−=−∩∩∩ ()1,2,...n =故()**1m n m n E A E A μμ=⎛⎞⎛⎞≤⎜⎟⎜⎟⎝⎠⎝⎠∩∩∪.令,m →∞有()()**(lim )lim n n n n A E A E μμ→∞→∞≤∩∩,而我们可以很容易地得到:()()**(lim )lim n n n n A E A E μμ→∞→∞≥∩∩,于是()()**(lim )lim n n n n A E A E μμ→∞→∞=∩∩.证毕 14. 设*μ是定义在X 上的一切子集所成的类上的正则外测度,使得*()1X μ=.设M 是X 的一个子集,使得*()0M μ=,*()1M μ=.如果令:***()()()E E E M υμμ=+∩试证明:(ⅰ)*υ是一个外测度.(ⅱ)集E 是*υ−可测集的充要条件:E 是*μ−可测集.(ⅲ)设A 是一个给定的集合,则对于包含A 的任何*υ−可测集E ,**inf ()2()E A υμ=. (ⅳ)*υ不是正则外测度. 证明:(ⅰ) 对于E =∅,***()()()0M υμμ∅=∅+∅=∩.若()()()()****121212,;E E E E E M E M μμμμ⊂≤≤∩∩,所以()()**12E E υυ≤.而()***111i i i i i i E E E M υμ∞∞∞===⎛⎞⎛⎞⎛⎞=+⎜⎟⎜⎟⎜⎟⎝⎠⎝⎠⎝⎠∩∪∪∪ **11()()i i i i E E M μμ∞∞==≤+∑∑∩=***11(()())()i i i i E E M E μμυ∞∞==+=∑∑∩所以*υ是一个外测度. (ⅱ) 若E 是一个*μ−可测集.所以对于任意的T :***()()()c T T E T E μμμ=+∩∩,***()()()c T M T M E T M E μμμ=+∩∩∩∩∩, 考虑对于任意的T :***()()()T T T M υμμ=+∩,***()()()T E T E T E M υμμ=+∩∩∩∩, *()c T E υ∩=**()()c c T E T E M μμ+∩∩∩,所以 ***()()()c T T E T E υυυ=+∩∩.即集E 是*υ−可测集. 若集E 是*υ−可测集,则有:******()()()()()()c c T T M T E T E M T E T E M μμμμμμ+=+++∩∩∩∩∩∩∩.由外测度的性质: *()T M μ≤∩ *()T E M μ∩∩ *()c T E M μ+∩∩. 所以E 是*μ−可测集.(ⅲ) E 是*υ−可测集,由(ⅱ), E 是*μ−可测集.所以由测度论书中P65定理8:()()()***c E E M E M μμμ=+∩∩.因为()()**c c E M M μμ≤∩,又因为:()***()()1c c M M M M μμμ+≤=∪,*()1M μ=所以*()0c M μ=, ()*0c E M μ=∩;()()**E E M μμ=∩故()**()2E E υμ=.由于*μ是正则外测度,所以存在可测覆盖F ,使得**()()F A μμ=.即:__**()inf ():,A E E A E S μμ⎧⎫=⊃∈⎨⎬⎩⎭.这里__S 指全体*μ−可测集.所以**inf ()2()E A υμ=. (ⅳ) __S 指全体*μ−可测集考虑:______*()inf ():,E F F E F S υυ⎧⎫=⊃∈⎨⎬⎩⎭:对于cM ,()__**()2c c M M υμ=,但()****()()()c c c c M M M M M υμμμ=+=∩.而事实上*()0c M μ≠.若*()0c M μ=,由*()0c M μ=,得到c M 是*μ−可测集.但事实上cM 并不是*μ−可测集.所以*()0cM μ≠.即: ()__**()ccMMυυ≠.即*υ不是正则外测度. 证毕15. 设,n A B R ⊂,A B ∪可测,且()m A B <∞∪.若:**()()()m A B m A m B =+∪.则:,A B 皆为Lebesgue 可测集. 证明:由题意,存在A 的等测包1H ,1H A ⊃;存在B 的等测包2H ,2H B ⊃; 且**12()(),()()m H m A m H m B ==,12H H A B ⊃∪∪.所以: 1212()()()()m H H m A B m H m H ≥=+∪∪ 由测度的性质: 1212()()()m H H m H m H ≤+∪,所以: 1212()()()()m H H m H m H m A B =+=∪∪. 故12H H ∪是A B ∪的等测包,且12()0m H H =∩.由外测度的性质:()()()**11212(\)(\)(\)0m H A m H H A B m H H A ≤+=∪∪∩所以1(\)0m H A =.故1\H A 可测,所以A 可测.同理可得B 可测. 证毕第二章 可测函数16.设{})(k f k 是E 上可测函数列(其中E 是n R 上的可测集)且: lim ()(),..k k f x f x a e x E →∞=∈.若有E 上非负可积函数)(x g ,使),2,1()()( =≤k x g x f k .试证明对任给,0>ε有{}0)()(:lim =⎟⎟⎠⎞⎜⎜⎝⎛>−∈∞≥∞→∪j k k j x f x f E x m ε. 证明:因为lim ()(),..k k f x f x a e x E →∞=∈,对于任意的0ε>,令:(){,}k k E x E f f εε=∈−>显然1()k j k jE ε∞∞==∩∪中的点一定不是收敛点.从而1(())0k j k jm E ε∞∞===∩∪.考虑若1{,()}k k x x E E ε∞=∈∈∪,x 必然属于{,()}2x E g x ε∈≥,所以:1{,()}k k x E E ε∞=∈⊂∪{,()}2x E g x ε∈≥.因为()g x 可积,所以({,()})2m x E g x ε∈≥<∞, 根据递减集合列测度定理,{}0)()(:lim =⎟⎟⎠⎞⎜⎜⎝⎛>−∈∞≥∞→∪j k k j x f x f E x m ε. 证毕 17. 设),2,1)((),( =k x f x f k 是))((1∞<⊂E m R E 上正实值可测函数,且有E x x f x f k k ∈=∞→),()(lim .试证明对任给0>δ存在E A ⊂以及δ<)(,0A m k 使得当0k k >时,()(),\k f x f x x E A δ≤+∈. 证明:对任给0>δ,令{,()()}k k E x E f x f x δ=∈>+.则考虑1k j k jE ∞∞==∩∪:因为E x x f x f k k ∈=∞→),()(lim ,所以1k j k jE ∞∞==∩∪=∅.否则,将存在一些点,使在这些点上lim ()(),k k f x f x →∞≠所以1ckj k jE E ∞∞===∪∩.于是1()()c k j k jm E m E ∞∞===∪∩.因为()m E <∞,所以对于0>δ,存在0k ,使得01()k c k j k jm E E δ∞==−<∪∩.则令01k c k j k j A E E ∞===−∪∩,在01k c k j k jE A E ∞==−=∪∩上,0k k >时,()()k f x f x δ≤+. 证毕18. 设(,,)X R μ是测度空间,E R ⊂,{}n f 是E 上可测函数序列,并且n f f μ⇒(有限函数),证明:必存在子序列{}v n f ,使得0δ∀>,E E δ∃⊂,()E E δμδ−<,且{}v n f 在E δ上一致收敛于f . 证明:∵ n f f μ⇒, ∴ {}():0n x E f f με∈−>→()n →∞.取1v ε=,存在v n ,使得11:2v n v x E f f v μ⎛⎞⎧⎫∈−><⎨⎬⎜⎟⎩⎭⎝⎠.按照这种方法取得{}v n f , 其中1v v n n +<.易有:1v μ∞=∑1:v n x E f f v ⎛⎞⎧⎫∈−><∞⎨⎬⎜⎟⎩⎭⎝⎠. 所以:lim j →∞1:0v n v j x E f f v μ∞=⎛⎞⎧⎫∈−>=⎜⎟⎨⎬⎩⎭⎝⎠∪.于是0δ∀>,取k j 充分大,使得1:2v k n k v j x E f f v δμ∞=⎛⎞⎧⎫∈−><⎜⎟⎨⎬⎜⎟⎩⎭⎝⎠∪,k j <1k j + 令11:v k n k v j E x E f f v δ∞∞==⎛⎞⎧⎫=∈−<⎨⎬⎜⎟⎩⎭⎝⎠∩∩,1()2k k E E δδμδ∞=−<=∑.下面证明在E δ上{}v n f 一致收敛于f :事实上,∵11:v k n k v j E x E f f v δ∞∞==⎛⎞⎧⎫=∈−<⎨⎬⎜⎟⎩⎭⎝⎠∩∩,对于一切x E δ∈,0ε∀>,只要0,k j ∃使得01k j ε<,即v ≥0k j 时,1vε<,有 v n f f ε−<.即:{}v n f 在E δ上一致收敛于f . 证毕19. 证明:存在[],a b 上一列连续函数{}()n f x ,使得形式级数123......n f f f f +++++在不打乱顺序的情况下,可将其中插入括号分段求和后所成的函数项级数(关于m )几乎处处收敛于任何给定的Lebesgue 可测函数.证明:有理系数多项式全体为一个可列集,将它们排成一列{}()n x ϕ,作:1()()()n n n f x x x ϕϕ+=− ()0()0x ϕ=对于任意的Lebesgue 可测函数()f x ,存在多项式函数[]()(),..,n P x f x a e x a b →∈ 对于每一个()k P x ,()k n x ϕ∃∈{}()n x ϕ()1k k n n −>,使得 1()()k k n P x x kϕ−<. 在()n P x 收敛于()f x 的集合上,考虑将123......n f f f f +++++加括号:()()()111111......lim lim k k k k k k k nn n n n n n n n k k k k ff ϕϕϕϕϕ+++∞∞→∞→∞===++=−=−=∑∑∑于是()lim lim 0k k n n n n k k f p p f ϕϕ→∞→∞−≤−+−=.得到lim k n k f ϕ→∞=,即:()[]11........,k k n n k ff fa e x ab +∞=++=∈∑ 证毕20. 设12(),(),(),......()...k f x f x f x f x 是[],a b 上几乎处处有限的可测函数,且有: []lim ()()..,k k f x f x a e x a b →∞=∈则存在[],n E a b ⊂,使得[]1,\0n n m a b E ∞=⎛⎞=⎜⎟⎝⎠∪,而()k f x 在每一个n E 上一致收敛于()f x . 证明:由ΕΓΟΡΟΒ定理: 对于1n ,存在n B ,使得1()n m B n <.在[],\n a b B 上,{}()k f x 一致收敛于()f x .取[],\n n E a b B =,1()0.n n m B ∞==∩ 因为[]11,\n n n n B a b E ∞∞===∩∪所以[]1,\0n n m a b E ∞=⎛⎞=⎜⎟⎝⎠∪,而()k f x 在每一个n E 上一致收敛于()f x . 证毕21. 设),,(μR X 是测度空间,X ⊂Ε,}{n f 是Ε上的可测函数列,+∞<Ε)(μ,∞⎯→⎯•μn f .则对0>∀δ,Ε∃的可测子集 δΕ,使得δμδ<Ε−Ε)(,且}{n f 在δΕ上均匀发散与∞.(即对任何0>m ,0>∃N ,使N n ≥,对一切δΕ∈x ,M x f n ≥)().证明:∵∞⎯→⎯•μn f ,+∞<Ε)(μ,∴考虑集合}|:|{M f x n ≥Ε∈(M 为任意自然数),令∩∪∩∞=∞=∞=≥Ε∈=11}|:|{M k k n nM fx F :则)()(Ε=μμF ,():()n x F f x ∈→∞.令∪∩∞=∞=≥Ε∈=1}|:|{k kn n m M f x F ,)()(lim Ε=∴+∞→μμm m F ,)(F −Εμ0=.这里∪∩∪∞=∞=∞=≤Ε∈=−Ε11}|:|{M k kn nM fx F ,)(F −Εμ0=.∴0)}|:|{(1=≤Ε∈∞=∞=∩∪k kn n M f x μ∴lim ({:||})0n k n kx f M μ∞→+∞=∈Ε≤=∪于是0>∀δ,对于每一个k M ,存在一个k n ,使kkn k n M f x 2)}|:|{(δμ<≤Ε∈∞=∪这里K M k =(不妨取1−>k k n n ).∴δμμ<≤Ε∈≤≤Ε∈∞=∞=∞=∞=∑)}|:|{(})|:|{(11∪∪∪kn n k n k k kn k n M f x M f x ,令∪∪∞=∞=≤Ε∈−Ε=Ε1}|:|{k kn k n M f x δ,则在∩∩∞=∞=≥Ε∈=Ε1}|:|{k n n k n kM f x δ上有:0>∀M ,M M k >∃,使δΕ∈∀x ,M f n ≥||,k n n ≥,即:n f 在δΕ上均收敛于∞+. 证毕22. 设(),()f x g x 是[],a b 上严格递减的连续函数.且对任意的1t R ∈,有:[]{}()[]{}(),:(),:()m x a b f x t m x a b g x t ∈>=∈>.则[]()(),f x g x x a b =∈. 证明:取()t f a =,[]{}(),:()()0m x a b f x f a ∈>=.所以: []{}(),:()()0m x a b g x f a ∈>=.(*)由于(),()f x g x 是[],a b 上严格递减的连续函数.所以(*)说明()()f a g a ≥.取()t g a =,[]{}(),:()()0m x a b g x g a ∈>=.所以: []{}(),:()()0m x a b f x g a ∈>=.(**) 所以(**)说明:()()f a g a ≤. 故()()f a g a =.对于00(),(,]t f x x a b =∈:[]{}()00,:()()m x a b f x f x x a ∈>=−,所以:[]{}()00,:()()m x a b g x f x x a ∈>=−.故()00()f x g x ≥; 对于00(),(,]t g x x a b =∈⇒()00()f x g x ≤.所以()00()f x g x =.所以[]()().,f x g x x a b =∈. 证毕23.设f 是有界变差函数,对任何分点b x x x a n =<<<=…10,记号: ),,(10n f x x x p …=))()((1'−−∑i i x f x f∑'表示满足0)()(1≥−−i i x f x f 的i 的求和,称),,(10n f x x x p …为正变差,而称)},(sup{)(0n f bax x p f P …=为正全变差.则)(i :对任何)(b c a c <<,bcc ab aP P f P +=)(;)(ii :)()(x p f P xa=,这里)(x p 是)(x f 的正变差函数.证明:)(i 0>∀ε,在],[c a ,],[b c 上分别取分点:c x x x a n =<<<=…10,b x x x c m =<<<=''1'0…,使),,(10n f x x x p …ε−>)(f P ca,>),,(''1'0mf x x x p …ε−)(f P b c.≥)(f P ba ),,,,,(''1'010m n f x x x x x x p …… =),,(10n f x x x p …+>),,(''1'0mf x x x p …ε→+bcc af P f P )()(令0→ε,便有bcc ab af P f P f P )()()(+≥另:0>∀ε,∃],[b a 上的一个分点n x x …0使),,(10n f x x x p …ε−>)(f P ba.设k k x c x ≤<−1作分点:n k k x x c x x ……,,10−. 于是:ε−)(f P ba <),,(10n f x x x p …),,,,(110n k k f x x c x x x p ……−≤=+−),,,(110c x x x p k f …(,)f k n p c x x ≤…bcc af P f P )()(+令0→ε,b cc ab af P f P f P )()()(+≤,∴bcc ab af P f P f P )()()(+=.)(ii )}()()({21)(a f x f f V x P xa −+=题目即证:=)(f P x a )}()()({21a f x f f V xa−+∵−=−)()()(x p a f x f )(x n ,令)(x n =)(x h −∴+=−)()()(x p a f x f )(x h ,))()((a f x f P ba−=))((x f P ba∴))((x f P b a =))()((x h x p P ba−,事实上由定义得()'11()()()()iii i p x h x p xh x −−+−−∑≤()'1()()ii p x p x −−∑+()'1()()ii h x h x −−∑∴))((x f P b a))((x p P b a≤))((x h P ba+)(b P =下证))((x f P b a)(b P ≥,对于 )(x f V ba,0>∀ε,存在一个分法:b x x x a n =<<<=…10 使|)()(|1−−∑i i x f x f ε−≥)(x f V ba令|)()(|1"−−∑i i x f x f 表示1()()0i i f x f x −−≤时绝对值求和 即()'1()()i i f x f x −−+∑()"1()()i i f x f x −−∑ε−≥)(x f Vba.()1()()ii f x f x −−+∑()'1()()ii f x f x −−+∑()"1()()ii f x f x −−∑+−≥ε)(x f V ba()1()()ii f x f x −−∑∴()'12()()i i f x f x −−∑ε−−+≥)()()(a f b f x f Vba∴()'1()()i i f x f x −−≥∑ε−−+)}()()({21a f b f f V ba =ε−)(b P ∴)(f P b aε−≥)(b P ,由ε的任意性,得)(f P b a)(b P ≥. ∴)(f P ba )(b P =对于任意的x ,)()(x p f P xa=也类似成立. 证毕第三章 积分论24. 设(,,)X R μ是测度空间,1,0p p η≤<∞<<.如果:lim 0,pn Xn f f d μ→∞−=∫lim 0pn X n g g d μ→∞−=∫试证明:lim p p nn XXn f g d fg d ηηηημμ−−→∞=∫∫证明:先证明三个引理:引理1:0,0,1,a b p ≥≥>则()pp p a b a b +≤+.证明:不妨设0a b >>,()1pp p a b a p b ξ−+−=,这里a a b ξ<<+,1111p p p p p p b b a b b b b ξξ−−−−∴>>>>,()pp p a b a b ∴+>+,其它情形会出现等号成立的情形.引理2:设(,,)X R μ是测度空间,f 是可积函数,则存在一个σ−有限测度集合,E 使得EXfd fd μμ=∫∫.证明:f ∵可积,f ∴可积,所以Xf d μ<+∞∫.令(1),0,1,2,...N E X N f N N =<≤+=()NN E N E f d μμ≤<∫X f d μ<+∞∫,所以()N E μ<+∞.设{:()0}E x X f x =∈≠,0NN E E∞==∪,所以E 是一个σ−有限测度集合,且EXfd fd μμ=∫∫.引理3: :设(,,)X R μ是测度空间.,n f f 是非负可测函数,(),()p p n f L X f L X ∈∈,1,p >则lim 0pn Xn f f d μ→∞−=⇔∫lim 0p p n Xn f f d μ→∞−=∫.证明:⇒由引理2,存在n E 使得np pn n E Xf d f d μμ=∫∫,n E 是一个σ−有限测度集合.令1n n A E ∞==∪,易见A 是一个σ−有限测度集合,令{:()0}B x X f x =∈≠,B 也是一个σ−有限测度集合,令S A B =∪,所以S 是一个σ−有限测度集合.且p pn n XSf f d f f d μμ−=−∫∫.2()p p pp n n SSSf d f f d f d μμμ≤−+∫∫∫∵.0,ε∀>对于S ,存在一个E ,使得(),pS EE f d μμε−<∞<∫.调整ε,能达到以下结果:0,ε∀>对于S ,存在一个F ,使得(),,33ppn S FS FF f d f d εεμμμ−−<∞<<∫∫1,2,3,.....n =(事实上lim 0pn Xn f f d μ→∞−=∫在这一个过程中起着至关重要的作用.)由闵可夫斯基不等式:()()()111ppppppn n FFFf d f fd fd μμμ≤−+∫∫∫()()()111ppppppn n FFFf d f fd f d μμμ≤−+∫∫∫所以lim p p n FFn f d f d μμ→∞=∫∫,又因为lim 0pn Xn f f d μ→∞−=∫,所以在X 上n f f ⇒.注意到在F 上,()F μ<∞,p p n f f ∴⇒.由周民强《实变函数论》第177页结论:在F 上lim 0p p n Fn f f d μ→∞−=∫,即:0,,N ε∀>∃当n N ≥时,3p p n Ff f d εμ−<∫,p p n Xf f d μ−<∫p p n Ff f d μ−∫+pS Ff d μ−∫+pn S Ff d με−<∫,lim 0p p n Xn f f μ→∞∴−=∫. ⇐0,0,n f f ≥≥∵当()()n f x f x >时,()()0n f x f x −>. 由引理1:[][][],p p p n n f f f f ∴−+≤[][][]p p pn n f f f f ∴−≤− 当()()n f x f x <时,()()0n f x f x −< 同样有:[][][]pppn n f f f f ∴−≤−,pp pn n f ff f∴−≤−,所以:lim 0p p n Xn f f d μ→∞−=∫⇒lim 0pn Xn f f d μ→∞−=∫.下证本题:0,0ppn n XXf f d f fd μμ−→∴−→∫∫∵,由引理30,()p pn Xf fd n μ∴−→→∞∫()()0,()p p p p p p nXf fd n ηηηημ−−−−∴−→→∞∫再由引理3:0,()pp p p nXf f d n ηηημ−−−∴−→→∞∫(2)同理有0,()pn X g gd n ηηημ∴−→→∞∫ (3)0pn Xf f d μ−→∫∵ ()n →∞()2pp ppn n XXXf d f d f f d μμμ∴≤+−∫∫∫所以1,M ∃使得11,,1,2...pp n X Xf d M f d M n μμ≤≤=∫∫ 同理2,M ∃22,,1,2...ppn XXg d M g d M n μμ≤≤=∫∫p p nn XXf g d fg d ηηηημμ−−∴−∫∫ =p p p p nn nnXXXXf g d f g d f g d fg d ηηηηηηηημμμμ−−−−−+−∫∫∫∫p p p nn nXXf g g d gf f d ηηηηηημμ−−−≤−+−∫∫;([])()p p pp p p pp nn nn XXXf g g d f d g gd ηηηηηηηηηημμμ−−−−−≤−∫∫∫(3)1()p p p p n XMg gd ηηηηημ−≤−⎯⎯→∫0 ()n →∞p p nXgf fd ηηημ−−−∫(2)2()0p p p p p pp nXM f f d ηηηηημ−−−−≤−⎯⎯→∫()n →∞0p p nn XX f g d fg d ηηηημμ−−∴−→∫∫ ()n →∞所以lim p p nn X Xn f g d fg d ηηηημμ−−→∞=∫∫. 证毕25. 设{}()n f x 是[],a b 上的连续函数序列,且n f 处处收敛到[],a b 上的Lebesgue 可积函数f ,问等式:[][],,lim()()n n a b a b f x dx f x dx →∞=∫∫是一定成立?解:不一定成立;举个反例:令:[]221()0,11n nf x x x n =∈⎛⎞+⎜⎟⎝⎠lim ()()n n f x f x →∞=0()0(0,1]x f x x ∞=⎧=⎨∈⎩ []0,1()0f x dx =∫ 但[]()[]20,10,1lim()limlim arctan 21n n n n nf x dx dx n nx π→∞→∞→∞===+∫∫0≠所以不一定成立. 解毕26. 设{}()n f x 是E 上的可积函数序列,且一致收敛至()f x . 问(1) ()f x 在E 上是否可积?(2)等式lim ()()n n EEf x dx f x dx →∞=∫∫是否一定成立?解(1) ()m E <∞时, ()f x 可积. 事实上:0ε∀>,0N ∃>,当n N ≥时: ()()()1n f x f x m E ε−<+所以()()()1N f x f x m E ε<++,这里()()1L E m E ε∈+.故()f x 可积.当()m E =∞,不一定成立; 考虑:2211()nn k f x x k==+∑()0,x ∈+∞因为22211x k k ≤+, 所以2211k x k∞=+∑一致收敛. 即: ()n f x 一致收敛至()f x ()()2210,0,1()nn k f x dx dx x k=+∞+∞=<∞+∑∫∫ 但()10,1()2k f x dx kπ∞=+∞==∞∑∫,即: ()f x 在E 上不可积.(2) ()m E <∞时,等式成立. 由(1) :0ε∀>,0N ∃>,当n N ≥时: ()()()1n f x f x m E ε−<+所以当n N ≥时:()()()()1n Ef x f x dx m E m E εε−<⋅<+∫于是lim ()()0n En f x f x dx →∞−=∫成立: lim ()()n n EEf x dx f x dx →∞=∫∫.当()m E =∞,不一定成立;令:()1(0,2]2()02,n nn n x f x x ⎧∈⎪=⎨⎪∈∞⎩显然()n f x 一致收敛至0.但是()1n Ef x dx =∫,所以lim ()()n n EEf x dx f x dx →∞≠∫∫ 解毕27. 设lim ()(),,()k k f x f x x E E μ→∞=∈<+∞,且()(1,2,...)rk Ef x d M k μ≤=∫,0.r <<∞则对0,p r <<有lim ()()0pk Ek f x f x d μ→∞−=∫.证明: 考虑,r q p=令:111'q q +=,对E 的任何可测子集e :()()11'()()1ppqq q k k eeef x d f x d d μμμ≤∫∫∫11'()q q M e μ≤于是:。
《实验设计与分析》习题与解答P41 习题一1.设用三种方法测定某溶液浓度时,得到三组数据,其平均值如下:1x (1.540.01)mol /L =± 2x (1.70.2)/mol L =± 3x (1.5370.005)mol /L =±试求它们的加权平均值。
解:①计算权重:211100000.01w == 212250.2w ==213400000.005w == 1:2:310000:25:40000400:1:1600w w w ==②计算平均值1.54400 1.71 1.5371600 1.538 1.5/40011600x mol L ⨯+⨯+⨯==≈++5.今欲测量大约8kPa (表压)的空气压力,试验仪表用①1.5级,量程0.2MPa 的弹簧管式压力表;②标尺分度为1mm 的U 形管水银柱压差计;③标尺分度为1mm 的U 形管水柱压差计。
求最大绝对误差和相对误差解:①max 0.21000 1.5%3x kPa ∆=⨯⨯=R E =3100%37.5%8R E =⨯=②33max 1109.8113.610133.4160.133x Pa kPa -∆=⨯⨯⨯⨯==0.133100% 1.66%8R E =⨯= ③33max1109.81109.810.00981x Pa kPa -∆=⨯⨯⨯==0.00981100%0.12%8R E =⨯=6.在用发酵法生产赖氨酸的过程中,对产酸率(%)作6次测定。
样本测定值为:3.48, 3.37, 3.47, 3.38, 3.40, 3.43,求该组数据的算术平均值、几何平均值、调和平均值、标准差s 、总体标准差σ、样本方差s 2、总体方差σ2、算术平均误差Δ和极差R 。
解:①算术平均值: 3.48 3.37 3.47 3.38 3.40 3.433.426x +++++==②几何平均值: 3.42G x == ③调和平均值:63.421111113.48 3.37 3.47 3.38 3.40 3.43H ==+++++④标准差:0.0463s ==⑤总体标准差:0.0422σ=⑥样本方差:()()()()()()2222222 3.48 3.42 3.37 3.42 3.47 3.42 3.38 3.42 3.40 3.42 3.43 3.420.0021261s -+-+-+-+-+-==-⑦总体方差:()()()()()()2222222 3.48 3.42 3.37 3.42 3.47 3.42 3.38 3.42 3.40 3.42 3.43 3.420.001766σ-+-+-+-+-+-==⑧算术平均误差:3.48 3.42 3.37 3.42 3.47 3.42 3.38 3.42 3.40 3.42 3.43 3.420.03836-+-+-+-+-+-∆==⑨极差:R=3.48-3.37=0.117.A 与B 两人用同一分析方法测定金属钠中的铁,测得铁含量(μg/g )分别为: 分析人员A :8.0,8.0,10.0,10.0,6.0,6.0,4.0,6.0,6.0,8.0 分析人员B :7.5,7.5,4.5,4.0,5.5,8.0,7.5,7.5,5.5,8.0 试问A 与B 两人测定铁的精密度是否有显著性差异?(α=0.05) 解:①算术平均值:8.08.010.010.0 6.0 6.0 4.0 6.0 6.08.07.210A x +++++++++==7.57.5 4.5 4.0 5.58.07.57.5 5.58.06.5510B x +++++++++==②方差22222222222(8.07.2)(8.07.2)(10.07.2)(10.07.2)(6.07.2)(6.07.2)(4.07.2)(6.07.2)(6.07.2)(8.07.2) 3.7101As -+-+-+-+-+-+-+-+-+-==-22222222222(7.5 6.55)(7.5 6.55)(4.5 6.55)(4.0 6.55)(5.5 6.55)(8.0 6.55)(7.5 6.55)(7.5 6.55)(5.57.2)(8.0 6.55) 2.3101B s -+-+-+-+-+-+-+-+-+-==-③统计量3.71.62.3F == ④临界值0.975(9,9)0.248F = 0.025(9,9) 4.03F =⑤检验∵0.9750.025(9,9)(9,9)F F F <<∴A 与B 两人测定铁的精密度是无显著性差异8. 用新旧两种工艺冶炼某种金属材料,分别从两种冶炼工艺生产的产品中抽样,测定产品中的杂质含量(%),结果如下:旧工艺:2.69,2.28,2.57,2.30,2.23,2.42,2.61,2.64,2.72,3.02,2.45,2.95,2.51 新工艺:2.26,2.25,2.06,2.35,2.43,2.19,2.06,2.32,2.34试问新冶炼工艺是否比旧工艺生产更稳定,并检验两种工艺之间是否存在系统误差?(α=0.05) 解:(1)①算术平均值: 2.69 2.28 2.57 2.30 2.23 2.42 2.61 2.64 2.72 3.02 2.45 2.95 2.512.5713x ++++++++++++==旧2.26 2.25 2.06 2.35 2.43 2.19 2.06 2.32 2.342.259x ++++++++==新②方差(2.69-2.57)(2.28-2.57)(2.57-2.57)(2.30-2.57)(2.23-2.57)(2.42-2.57)(2.61-2.57)(2.64-2.57)(2.72-2.57)(3.02-2.57)(2.45-2.57)(2.95-2.57)(2.51-2.57)13-10.0586s++++++++++++==2222222222(2.26 2.25)(2.25 2.25)(2.06 2.25)(2.35 2.25)(2.43 2.25)(2.19 2.25)(2.06 2.25)(2.32 2.25)(2.34 2.25)0.016491s -+-+-+-+-+-+-+-+-==-新③F 统计量0.05863.570.0164F ==④F 临界值0.05(12,8) 3.28F =⑤F 检验 ∵0.05F>(12,8)F∴新冶炼工艺比旧工艺生产更稳定 (2)①t 统计量t x x -==②自由度22222222220.05860.0164139df -2-2=200.05860.01641391319111s s n n s s n n n n ⎛⎫⎛⎫+ ⎪+ ⎪⎝⎭⎝⎭==⎛⎫⎛⎫⎛⎫⎛⎫ ⎪ ⎪ ⎪ ⎪⎝⎭⎝⎭+⎝⎭⎝⎭+++++新旧旧新新旧新旧旧新 ③t 临界值0.025t (20) 2.086=④t 检验 ∵0.025t >t (20)∴两种工艺之间存在系统误差9. 用新旧两种方法测得某种液体的黏度(mPa ·s ),如下: 新方法:0.73,0.91,0.84,0.77,0.98,0.81,0.79,0.87,0.85 旧方法:0.76,0.92,0.86,0.74,0.96,0.83,0.79,0.80,0.75其中旧方法无系统误差,试在显著性水平α=0.05时,检验新方法是否可行。