用迭代法解线性方程组的实例
- 格式:docx
- 大小:14.31 KB
- 文档页数:3
实验三 迭代法解线性方程组实验目的学会用Jacobi 迭代法、Gauss-Seidel 迭代法和超松驰迭代法求线性方程组解。
学会对迭代法做收敛性分析,研究求方程组解的最优迭代方法。
学会用共轭梯度法求线性方程组的解,研究共轭梯度法的计算效率。
实验要求按照题目要求完成实验内容。
写出相应的Matlab 程序。
给出实验结果。
对实验结果进行分析讨论。
写出相应的实验报告。
实验步骤1、研究Jacobi 迭代法求解线性方程组的方法和相应的收敛性。
(1)用Jacobi 迭代法(Jacobi.m )求解线性方程组⎪⎪⎩⎪⎪⎨⎧-=+--=-+-=--71912263532311321321321x x x x x x x x x (4.31) 取初始点()()Tx 0,0,00=,精度要求为105-=ε。
请给出满足精度要求的迭代次数和相应的计算结果。
function [x,k]=jc(a,b,x0,ep,max)n=length(a);k=0;if nargin<5max=500;endif nargin<4ep=1e-5;endif nargin<3x0=zeros(n,1);y=zeros(n,1);endx=x0;x0=x+2*ep;while norm(x0-x,inf)>ep&&k<maxk=k+1;x0=x;for i=1:ny(i)=b(i);for j=1:nif j~=iy(i)=y(i)-a(i,j)*x0(j);endendif abs(a(i,i))<1e-10||k==maxwarning('a(i,i) ̫С');return ;endy(i)=y(i)/a(i,i);endx=y;endend>> a=[11 -3 -2;-1 5 -3;-2 -12 19];>> b=[3 6 -7]';>> [x,k]=jc(a,b)x =0.9999859531466561.9999778590069020.999978180649185k = 33研究相应迭代矩阵的谱半径和Jacobi 迭代的渐近收敛速度。
【题目】:Gauss-Seidel迭代法及Matlab代码实例【内容】:1. Gauss-Seidel迭代法介绍Gauss-Seidel迭代法是一种用于解线性方程组的数值方法,基于逐次逼近的思想,通过不断迭代逼近线性方程组的解。
该方法通常用于求解大型稀疏线性方程组,其收敛速度相对较快。
2. 迭代公式推导假设有如下线性方程组:$$Ax=b$$其中A为系数矩阵,b为常数向量,x为未知向量。
Gauss-Seidel迭代法的迭代公式为:$$x^{(k+1)}=(D+L)^{-1}(b- Ux^{(k)})$$其中,D为A的对角矩阵,L为A的严格下三角矩阵,U为A的严格上三角矩阵,k为迭代次数。
3. Matlab代码实现下面给出Gauss-Seidel迭代法的Matlab代码实例:```matlabfunction [x, k] = gaussSeidel(A, b, x0, tol, maxIter)A: 系数矩阵b: 常数向量x0: 初始解向量tol: 容差maxIter: 最大迭代次数x: 解向量k: 迭代次数n = length(b);x = x0;k = 0;while k < maxIterx_old = x;for i = 1:nx(i) = (b(i) - A(i,1:i-1)*x(1:i-1) - A(i,i+1:n)*x_old(i+1:n)) / A(i,i); endif norm(x - x_old, inf) < tolreturnendk = k + 1;enddisp('迭代次数达到最大值,未达到容差要求'); end```4. 应用实例假设有如下线性方程组:$$\begin{cases}2x_1 - x_2 + x_3 = 5\\-x_1 + 2x_2 - x_3 = -2\\x_1 - x_2 + 2x_3 = 6\end{cases}$$系数矩阵A为:$$\begin{bmatrix}2 -1 1\\-1 2 -1\\1 -1 2\end{bmatrix}$$常数向量b为:$$\begin{bmatrix}5\\-2\\6\end{bmatrix}$$取初始解向量x0为:$$\begin{bmatrix}0\\0\\\end{bmatrix}$$容差tol为1e-6,最大迭代次数maxIter为100。
分别用 jacobi 迭代法和 gauss-seidel 迭代法,求解方程组【jacobi 迭代法和 gauss-seidel 迭代法分别应用于方程组的求解】1. 引言在数学领域中,方程组的求解一直是一个重要的课题。
为了解决复杂的线性方程组,人们提出了各种迭代方法,其中 jacobi 迭代法和gauss-seidel 迭代法是两种常见的方法。
本文将探讨这两种迭代方法在求解方程组中的应用。
2. jacobi 迭代法的原理和应用jacobi 迭代法是一种基于逐次逼近的迭代方法。
对于线性方程组AX=B,其中 A 是系数矩阵,X 是未知数向量,B 是已知向量。
我们可以通过以下公式进行逐次逼近:X(k+1) = D^(-1)*(B - (L+U)X(k))其中,D、L、U 分别是 A 的对角线、下三角和上三角矩阵。
jacobi 迭代法的优点在于易于理解和实现,但在收敛速度上较慢,需要进行多次迭代才能得到精确解。
在实际应用中,需要根据实际情况选择合适的迭代次数。
3. gauss-seidel 迭代法的原理和应用与 jacobi 迭代法类似,gauss-seidel 迭代法也是一种基于逐次逼近的迭代方法。
不同之处在于,gauss-seidel 迭代法在计算 X(k+1) 时利用了已经得到的 X(k) 的信息,即:X(k+1)_i = (B_i - Σ(A_ij*X(k+1)_j,j≠i))/A_ii这种方式使得 gauss-seidel 迭代法的收敛速度较快,通常比 jacobi 迭代法更快,尤其是对于对角占优的方程组。
4. 分别用 jacobi 迭代法和 gauss-seidel 迭代法求解方程组为了更具体地说明 jacobi 迭代法和 gauss-seidel 迭代法的应用,我们分别用这两种方法来求解以下方程组:2x1 + x2 = 9x1 + 3x2 = 11我们将该方程组写成矩阵形式 AX=B:|2 1| |x1| |9||1 3| * |x2| = |11|我们根据 jacobi 迭代法和 gauss-seidel 迭代法的原理,依次进行迭代计算,直到满足收敛条件。
实验3 线性方程组数值解-迭代法一、实验目的:掌握Jaccobi 迭代法、Guass-Sidel 迭代法、松弛法求解线性方程组的数值解。
二、实验内容:1.1题目分别用雅格比法与高斯-赛德尔迭代法解下列方程组Ax =b ,研究其收敛性,上机验证理论分析是否正确,比较它们的收敛速度,观察右端项对迭代收敛有无影响。
(1)A 行分别为A 1=[6,2,-1],A 2=[1,4,-2],A 3=[-3,1,4]; b 1=[-3,2,4]T , b 2=[100,-200,345]T , (2) A 行分别为A 1=[1,0.8,0.8],A 2 [0.8,1,0.8],A 3=[0.8,0.8,1];b 1=[3,2,1] T , b 2=[5,0,-10]T , (3)A 行分别为A 1=[1,3],A 2=[-7,1];b =[4,6]T , 1.2原理和思路1.2.1 基本原理(1)Jacobi 迭代法设有n 阶方程组A x=b ,若系数矩阵非奇异,且0≠ii a (i = 1, 2,…, n ),将方程组改写成同解方程组:()()()⎪⎪⎪⎪⎩⎪⎪⎪⎪⎨⎧----=----=----=--11,221112323122221213132121111111n n n n n n nn n n n n n x ax a x a b a x x a x a x a b a x x a x a x a b a x然后写成迭代格式:()()()⎪⎪⎪⎪⎩⎪⎪⎪⎪⎨⎧----=----=----=--+++)(11,)(22)(11)1()(2)(323)(121122)1(2)(1)(313)(212111)1(1111k n n n k n k n n nn k n k n n k k k k n n k k k x a x a x a b a x x a x a x a b a x x a x a x a b a x上式也可以简单地写为:),,2,1(1)(1)1(n i x a b a x k j n i j j ij i iik i =⎪⎪⎪⎭⎫ ⎝⎛-=∑≠=+对以上两式给定一组任意初值(0)(0)(0)(0)12(,,)Tn x x x x =后,经反复迭代可得到一向量序列()()()1(,)k k k Tn x x x =,如果x (k )收敛于****12(,,)T n x x x x =,则),,2,1(*n i x i =就是方程组A x=b 的解,该方法称为雅克比(Jacobi)迭代法。
数值分析--第三章--迭代法迭代⼀般⽅程:本⽂实例⽅程组:⼀.jacobi迭代法从第i个⽅程组解出xi。
线性⽅程组Ax=b,先给定⼀组x的初始值,如[0,0,0],第⼀次迭代,⽤x2=0,x3=0带⼊第⼀个式⼦得到x1的第⼀次迭代结果,⽤x1=0,x3=0,带⼊第⼆个式⼦得到x2的第⼀次迭代结果,⽤x1=0,x2=0带⼊第三个式⼦得到x3的第⼀次迭代结果。
得到第⼀次的x后,重复第⼀次的运算。
转化成⼀般的形式:(其中L是A的下三⾓部分,D是A的对⾓元素部分,U 是上三⾓部分)得到迭代公式:其中的矩阵B和向量f如何求得呢?其实,矩阵B的计算也很简单,就是每⾏的元素/该⾏上的对⾓元素⼆.Gauss-Seidel迭代法【收敛速度更快】这个可以和jacobi法对⽐进⾏理解,我们以第⼆次迭代为例(这⾥的第⼀次迭代结果都⽤⼀样的,懒得去换)从上表对⽐结果可以看出,Jacobi⽅法的第⼆次迭代的时候,都是从第⼀次迭代结果中,获取输⼊值。
上⼀次迭代结果[2.5,3.0,3.0],将这个结果带⼊上⾯式⼦1,得到x1=2.88,;将[2.5,3.0,3.0]替换成[2.88,3.0,3.0]带⼊第⼆个式⼦的运算,这⾥得到x2=1.95,所以把[2.88,3.0,3.0]替换成[2.88,1.95,3.0]输⼊第三个式⼦计算X3=1.0.这就完成了这⼀次的迭代,得到迭代结果[2.88,1.95,1.0],基于这个结果,开始下⼀次迭代。
特点:jacobi迭代法,需要存储,上⼀次的迭代结果,也要存储这⼀次的迭代结果,所以需要两组存储单元。
⽽Gauss-Seidel迭代法,每⼀次迭代得到的每⼀个式⼦得到的值,替换上⼀次迭代结果中的值即可。
所以只需要⼀组存储单元。
转化成⼀般式:注意:第⼆个式⼦中的是k+1次迭代的第⼀个式⼦的值,不是第k次迭代得值。
计算过程同jacobi迭代法的类似三.逐次超松弛法SOR法上⾯仅仅通过实例说明,Jacobi和Seidel迭代的运算过程。
迭代法举例
迭代法是指通过反复迭代,逐步逼近求解方程的一种方法。
下面我们来举几个例子。
1.牛顿迭代法求解方程根
牛顿迭代法是一种求解方程根的迭代方法,假设需要求解的方程为f(x)=0,初始点为
x0,则可以通过以下迭代公式求解:
xn+1=xn-f(xn)/f'(xn)
其中f'(xn)表示f(x)在点xn处的导数。
通过不断的迭代求解,当f(xn+1)足够小的时候,就可以认为xn+1是方程f(x)=0的解。
这可以用来求解很多实际问题,例如求解非线
性方程、求解微积分中的最大值和最小值等。
2.雅可比迭代法求解线性方程组
x(k+1)=D^{-1}(b-(L+U)x(k))
其中D是A的对角线元素构成的对角矩阵,L和U分别是A的下三角和上三角部分矩阵。
这个迭代公式是通过将原方程组的系数矩阵A分解为D-(L+U)的形式而得到的。
使用雅可比迭代法求解线性方程组时,需要保证矩阵A是对称正定的,否则该方法可
能会失效。
此外,这个方法的收敛速度通常较慢。
3.梯度下降法求解函数最小值
其中α为步长,∇f(xn)表示f(x)在点xn处的梯度。
通过不断的迭代求解,可以逐步逼近函数f(x)的最小值。
但是需要注意的是,当该函数的梯度存在很大的方向差异时,梯度下降法的收敛速度
可能较慢,因此需要改进方法,例如Adagrad和Adam等算法,使得每个变量的更新步长可以根据过去的梯度值自适应地调整。
仿真平台与工具应用实践Jacobi迭代法求解线性方程组实验报告院系:专业班级:姓名:学号:指导老师:一、实验目的熟悉Jacobi迭代法原理;学习使用Jacobi迭代法求解线性方程组;编程实现该方法;二、实验内容应用Jacobi迭代法解如下线性方程组:, 要求计算精度为三、实验过程(1)、算法理论迭代格式的引出是依据迭代法的基本思想: 构造一个向量系列, 使其收敛至某个极限, 则就是要求的方程组的准确解。
Jacobi迭代将方程组:在假设, 改写成如果引用系数矩阵, 及向量, , ,方程组(1)和(2)分别可写为: 及, 这样就得到了迭代格式用迭代解方程组时, 就可任意取初值带入迭代可知式, 然后求。
但是, 比较大的时候, 写方程组和是很麻烦的, 如果直接由, 能直接得到, 就是矩阵与向量的运算了, 那么如何得到, 呢?实际上, 如果引进非奇异对角矩阵将分解成:要求的解, 实质上就有而是非奇异的, 所以存在, 从而有我们在这里不妨令就得到迭代格式:(2)算法框图(3)、算法程序m 文件:function x=jacobi(A,b,P,delta,n)N=length(b); %返回矩阵b的最大长度for k=1:nfor j=1:Nx(j)=(b(j)-A(j,[1:j-1,j+1:N])*P([1:j-1,j+1:N]))/A(j,j);enderr=abs(norm(x'-P)); %求(x'-P)模的绝对值P=x';if(err<delta) %判断是否符合精度要求break;endendE=eye(N,N); %产生N行N列矩阵D=diag(diag(A));f=A*inv(D); %f是A乘D的逆矩阵B=E-f;Px=x';k,errBMATLAB代码:>> clear allA=[4, -1, 1;4, -8, 1;-2, 1, 5];b=[7, -21, 15]';P=[0,0,0]';x=jacobi(A,b,P,1e-7,20)(4)、算法实现用迭代法求解方程组:正常计算结果是2, 3, 4 , 下面是程序输出结果:P =2.00004.00003.0000k =17err =9.3859e-008B =0 -0.1250 -0.2000-1.0000 0 -0.20000.5000 0.1250 0x =2.00004.00003.0000四、实验体会五、MATLAB是非常实用的软件, 能够避免大量计算, 简化我们的工作, 带来便捷。
高斯-赛德尔迭代法例题高斯-赛德尔迭代法是一种用于解线性方程组的迭代算法。
它属于一类称为迭代法的数值计算方法,用于逼近方程组的解。
下面我们来看一个例题,以帮助理解高斯-赛德尔迭代法的工作原理。
假设我们有以下线性方程组:```3x + 2y - z = 12x - 2y + 4z = -2-x + 0.5y - z = 0```首先,我们需要将方程组转化为迭代形式。
将每个方程的未知数移到等号右边,得到:```x = (1 - 2y + z) / 3y = (-2 - 2x + 4z) / 2z = (-x + 0.5y) / -1```然后,我们选择一个初始解,例如x0 = 0, y0 = 0, z0 = 0。
根据这个初始解,我们可以使用上述迭代公式计算下一个近似解x1、y1 和z1。
将x0、y0 和z0 分别代入迭代公式中,我们可以计算得到新的近似解:```x1 = (1 - 2y0 + z0) / 3y1 = (-2 - 2x0 + 4z0) / 2z1 = (-x0 + 0.5y0) / -1```接着,我们可以使用这个新的近似解x1、y1 和z1,再次代入迭代公式中,计算得到更接近方程组解的近似解x2、y2 和z2。
按照上述步骤,我们可以进行多次迭代,直到达到预定的精度要求或迭代次数。
每次迭代都会产生一个新的近似解,逐渐逼近方程组的解。
需要注意的是,高斯-赛德尔迭代法的收敛性取决于方程组的特性。
对于某些特殊的方程组,该方法可能不会收敛或收敛速度较慢。
因此,在实际应用中,我们需要对问题进行分析和评估收敛性。
希望以上解答能够帮助您理解高斯-赛德尔迭代法的例题。
如果您还有其他问题,欢迎随时提问。
jacobi迭代法例题详解Jacobi迭代法是一种求解线性方程组的迭代方法,它是通过把线性方程组的系数矩阵对角线上的元素提取出来,并用其逆矩阵进行下一步迭代计算的方法。
其基本思路是,将线性方程组$Ax=b$表示为:$$Ax = Dx + (A-D)x = b$$其中,$D$为系数矩阵$A$的对角线部分,即$D_{ii} = A_{ii}$,$(A-D)$则为$A$的非对角线元素部分。
进而得到迭代式:$$x^{(k+1)} = D^{-1}(b-(A-D)x^{(k)})$$其中,$x^{(k)}$为迭代第$k$次的$x$的近似解。
下面以一个简单的例子来详细介绍Jacobi迭代法的求解过程。
例如有如下线性方程组:$$\begin{cases}2x_1-x_2-4x_3=7\\-x_1+4x_2+x_3=7\\x_1+x_2+5x_3=-15\end{cases}$$将其转化为矩阵形式$Ax=b$:$$\begin{pmatrix}2 & -1 & -4 \\-1 & 4 & 1 \\1 & 1 & 5\end{pmatrix}\cdot\begin{pmatrix}x_1\\x_2\\x_3\end{pmatrix}=\begin{pmatrix}7\\7\\-15\end{pmatrix}$$首先将$A$拆分为对角线矩阵$D$和非对角线矩阵$(A-D)$:$$D =\begin{pmatrix}2 & 0 & 0 \\0 & 4 & 0 \\0 & 0 & 5\end{pmatrix}, \qquad A-D =\begin{pmatrix}0 & -1 & -4 \\-1 & 0 & 1 \\1 & 1 & 0\end{pmatrix}$$然后计算$D^{-1}$:$$D^{-1} =\begin{pmatrix}\frac{1}{2} & 0 & 0 \\ 0 & \frac{1}{4} & 0 \\ 0 & 0 & \frac{1}{5}\end{pmatrix}$$由此得到迭代公式:$$\begin{pmatrix}x_1^{(k+1)}\\x_2^{(k+1)}\\x_3^{(k+1)}\end{pmatrix}=\begin{pmatrix}\frac{1}{2} & 0 & 0 \\0 & \frac{1}{4} & 0 \\0 & 0 & \frac{1}{5}\end{pmatrix}\cdot\begin{pmatrix}7 + x_2^{(k)}+4x_3^{(k)}\\7 + x_1^{(k)}-x_3^{(k)}\\-15 - x_1^{(k)}-x_2^{(k)}\end{pmatrix}$$初始值$x_1^{(0)}=x_2^{(0)}=x_3^{(0)}=0$,代入迭代公式中计算可得:第1次迭代:$$\begin{pmatrix}x_1^{(1)}\\x_2^{(1)}\\x_3^{(1)}\end{pmatrix}=\begin{pmatrix}\frac{1}{2} & 0 & 0 \\ 0 & \frac{1}{4} & 0 \\ 0 & 0 & \frac{1}{5} \end{pmatrix}\cdot \begin{pmatrix}7+0+4\cdot0\\7+0+0\\-15+0+0\end{pmatrix} =\begin{pmatrix}3.50\\1.75\\-3.00\end{pmatrix}$$第2次迭代:\begin{pmatrix}x_1^{(2)}\\x_2^{(2)}\\x_3^{(2)}\end{pmatrix}=\begin{pmatrix}\frac{1}{2} & 0 & 0 \\ 0 & \frac{1}{4} & 0 \\ 0 & 0 & \frac{1}{5} \end{pmatrix}\cdot \begin{pmatrix}7-1.75-4\cdot(-3)\\ 7+3.5+(-3)\\-15-3.5-1.75\end{pmatrix} =\begin{pmatrix}3.25\\1.63\\-2.90\end{pmatrix}$$继续迭代直到满足收敛条件为止,通常可以设置一个最大迭代次数来限制迭代次数的范围。
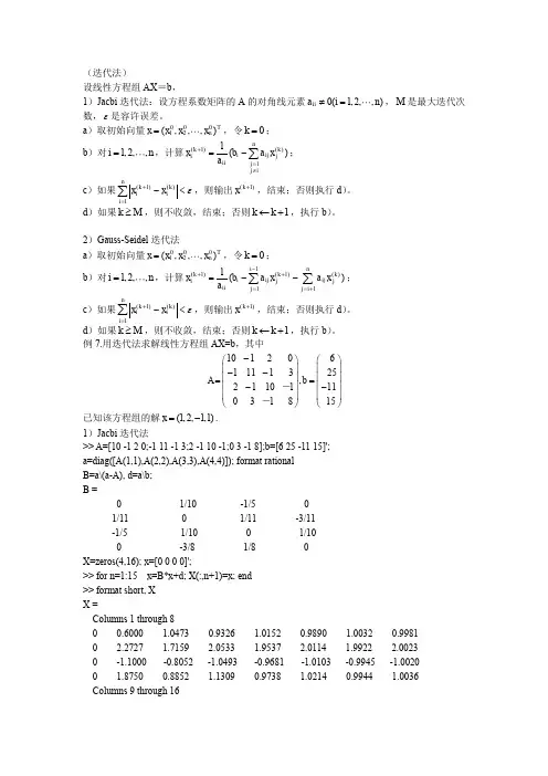
(迭代法)设线性方程组AX =b ,1)Jacbi 迭代法:设方程系数矩阵的A 的对角线元素0(1,2,,)ii a i n ≠=,M 是最大迭代次数,ε是容许误差。
a )取初始向量00012(,,,)Tn x x x x =,令0k =;b )对1,2,,i n =,计算(1)()11()nk k i ij i j ii j j ix b a x a +=≠=-∑; c )如果(1)()1nk k i i i x x ε+=-<∑,则输出(1)k x +,结束;否则执行d )。
d )如果k M ≥,则不收敛,结束;否则1k k ←+,执行b )。
2)Gauss-Seidel 迭代法a )取初始向量00012(,,,)Tn x x x x =,令0k =;b )对1,2,,i n =,计算1(1)(1)()111()i nk k k i ij ij i j j ii j j i x b a x a x a -++==+=--∑∑;c )如果(1)()1nk k i i i x x ε+=-<∑,则输出(1)k x +,结束;否则执行d )。
d )如果k M ≥,则不收敛,结束;否则1k k ←+,执行b )。
例7.用迭代法求解线性方程组AX=b ,其中1012061111325,21101110 3 1 815A b -⎛⎫⎛⎫⎪ ⎪--⎪ ⎪== ⎪ ⎪-- ⎪ ⎪⎝⎭⎝⎭-- 已知该方程组的解(1,2,1,1)x =-.1)Jacbi 迭代法>> A=[10 -1 2 0;-1 11 -1 3;2 -1 10 -1;0 3 -1 8];b=[6 25 -11 15]'; a=diag([A(1,1),A(2,2),A(3,3),A(4,4)]); format rational B=a\(a-A), d=a\b; B =0 1/10 -1/5 0 1/11 0 1/11 -3/11 -1/5 1/10 0 1/10 0 -3/8 1/8 0 X=zeros(4,16); x=[0 0 0 0]';>> for n=1:15 x=B*x+d; X(:,n+1)=x; end >> format short, X X =Columns 1 through 80 0.6000 1.0473 0.9326 1.0152 0.9890 1.0032 0.9981 0 2.2727 1.7159 2.0533 1.9537 2.0114 1.9922 2.0023 0 -1.1000 -0.8052 -1.0493 -0.9681 -1.0103 -0.9945 -1.0020 0 1.8750 0.8852 1.1309 0.9738 1.0214 0.9944 1.0036 Columns 9 through 161.0006 0.9997 1.0001 0.9999 1.0000 1.0000 1.0000 1.0000 1.99872.0004 1.9998 2.0001 2.0000 2.0000 2.0000 2.0000 -0.9990 -1.0004 -0.9998 -1.0001 -1.0000 -1.0000 -1.0000 -1.0000 0.9989 1.0006 0.9998 1.0001 1.0000 1.0000 1.0000 1.0000 2)Gauss-Seidel 迭代法>> A=[10 -1 2 0;-1 11 -1 3;2 -1 10 -1;0 3 -1 8];b=[6 25 -11 15]'; a=diag([A(1,1),A(2,2),A(3,3),A(4,4)]); format rational B=a\(a-A);d=a\b;X=zeros(4,8);x=[0 0 0 0]'; >>x1=0;x2=x1;x3=x1;x4=x1; for n=1:8x1=B(1,:)*x+d(1);x=[x1,x2,x3,x4]'; x2=B(2,:)*x+d(2);x=[x1,x2,x3,x4]'; x3=B(3,:)*x+d(3);x=[x1,x2,x3,x4]'; x4=B(4,:)*x+d(4);x=[x1,x2,x3,x4]';X(:,n+1)=x; %保存迭代过程的中间变量 end>> format short, X X =0 0.6000 1.0302 1.0066 1.0009 1.0001 1.0000 1.0000 1.0000 0 2.3273 2.0369 2.0036 2.0003 2.0000 2.0000 2.0000 2.0000 0 -0.9873 -1.0145 -1.0025 -1.0003 -1.0000 -1.0000 -1.0000 -1.0000 0 0.8789 0.9843 0.9984 0.9998 1.0000 1.0000 1.0000 1.0000可以看出高斯-塞德尔迭代法的收敛速度只需5次迭代就求得了结果,明显比雅可比迭代法快。
解线性方程组的迭代法实际应用
现今,互联网行业的发展速度越来越快,数据和信息的传播变得越来越重要,因此,熟练掌握并利用数据和信息变得越来越必要。
迭代法是解决线性方程组最重要的算法之一,在互联网行业中也有广泛的应用。
迭代法能够有效的求出不同的近似解,而且计算速度较快,能够满足互联网行业的快速发展。
比如运行在分布式环境中的搜索引擎,其中有大量的系统参数,如摆放有系统服务器到网络以及运行配置等,这些参数有很多线性方程组,这些线性方程组很难使用传统的数学方法来求解,而使用迭代法可以快速得到这些方程组的答案,为搜索引擎提供良好的运行环境。
另外,现代的宽带技术和视频技术极大的提高了节目的传输效率。
它们的实现依赖于复杂的线性方程,迭代法可以有效的帮助实现技术的快速发展。
此外,依靠迭代法的快速求解,将抗性算法转换为原始算法,也可以有效改进网络的性能,比如入侵检测算法中,使用迭代引入抗性算法来更新原始算法,结合专业技术确定加密规则,从而更有效的防止非法攻击。
总之,迭代法在互联网行业中发挥着重要作用,在搜索引擎、宽带技术和入侵检测算法等方面,迭代法及其所需技术都可以极大地提升网络系统的效率,确保互联网系统的可靠性和安全性,完善互联网的运作环境。
《解线性方程组的VRP-GMRES(m)迭代法》篇一一、引言在科学与工程计算中,线性方程组的求解是一个常见的任务。
对于大型的、稀疏的或者非对称的线性方程组,传统的直接法求解可能并不高效。
因此,迭代法成为了处理这类问题的有效手段。
VRP-GMRES(m)迭代法是其中一种常用的方法,它结合了GMRES算法的优越性和VRP(Variable Residual Projection)的快速收敛性。
本文将详细介绍VRP-GMRES(m)迭代法的基本原理、实现步骤以及应用实例。
二、VRP-GMRES(m)迭代法的基本原理VRP-GMRES(m)迭代法是一种基于Krylov子空间的迭代法,它通过最小化残差向量的范数来逐步逼近方程组的解。
该方法在每次迭代中,都会计算一个Krylov子空间中的向量,并利用这个向量来更新解的估计值。
与传统的GMRES算法相比,VRP-GMRES(m)在求解过程中更加注重对残差的优化,从而提高了收敛速度和求解精度。
三、算法实现步骤1. 初始化:设定初始解向量x0和初始残差向量r0,其中r0为方程组的右侧向量与矩阵A乘以初始解x0之差。
设定迭代次数m以及算法的终止条件(如残差向量的范数小于某个阈值)。
2. 构建Krylov子空间:根据初始残差向量r0,构建一个Krylov子空间。
该子空间包含了所有与矩阵A相关的向量组成的线性组合。
3. 计算投影矩阵:在Krylov子空间中,计算一个投影矩阵Pm,该矩阵用于将残差向量投影到m维子空间中。
4. 求解最小二乘问题:利用投影矩阵Pm,将原方程组转化为一个m阶的最小二乘问题。
通过求解这个最小二乘问题,可以得到一个新的解向量估计值。
5. 更新解向量和残差向量:根据新的解向量估计值,更新当前的解向量和残差向量。
6. 判断是否满足终止条件:如果残差向量的范数小于设定的阈值,则认为算法已经收敛,输出当前解向量作为方程组的解;否则,继续执行步骤2至步骤6的迭代过程。
jacobi迭代法matlab编程例题Jacobi迭代法是一种常用的数值方法,用于求解线性方程组。
它的基本思想是通过迭代逐步逼近方程组的解。
在使用Jacobi迭代法解决线性方程组时,首先需要将方程组的系数矩阵A进行分解,即将A分解为D、L和U三个矩阵的和,其中D是A的对角线矩阵,L是A的下三角矩阵,U是A的上三角矩阵。
然后可以得到迭代公式:X(k+1) = D^(-1) * (B - (L+U) * X(k))其中,X(k)表示第k次迭代的解向量,X(k+1)表示第k+1次迭代的解向量,B是方程组的常数项向量。
下面我们通过一个具体的例子来展示如何使用Matlab编程实现Jacobi迭代法。
假设有如下线性方程组:2x + y + z = 9x + 3y - z = 43x - y + 2z = 8首先,我们可以将这个方程组转换为矩阵形式:Ax = B其中,A = [2 1 1;1 3 -1;3 -1 2]B = [9; 4; 8]然后,我们需要将矩阵A进行分解:D = diag(diag(A)) = [2 0 0;0 3 0;0 0 2]L = -tril(A) + D = [0 0 0;-1 0 0;-3 1 0]U = -triu(A) + D = [0 -1 -1;0 0 1;0 0 0]接下来,我们需要设置迭代的初始解向量X(0),这里可以选择一个任意的初始值。
假设我们选择X(0) = [0; 0; 0]。
然后,我们可以通过迭代公式来逐步逼近方程组的解。
根据公式,我们可以得到如下的迭代过程:X(1) = D^(-1) * (B - (L+U) * X(0))X(2) = D^(-1) * (B - (L+U) * X(1))X(3) = D^(-1) * (B - (L+U) * X(2))...直到满足停止条件,通常可以选择迭代次数或解的相对误差作为停止条件。
在Matlab中,我们可以使用for循环来实现迭代过程,具体代码如下:A = [2 1 1; 1 3 -1; 3 -1 2];B = [9; 4; 8];X = [0; 0; 0]; % 初始解向量D = diag(diag(A));L = -tril(A) + D;U = -triu(A) + D;for k = 1:100 % 设置最大迭代次数为100X = inv(D) * (B - (L+U) * X);% 判断停止条件% 可以根据需要设置不同的停止条件,比如迭代次数或解的相对误差if norm(A*X - B) < 1e-6break;endenddisp('解向量:');disp(X);在上述代码中,我们设置了最大迭代次数为100,并使用了解的相对误差作为停止条件。
一、 姓名: 学号:二、 问题:用Jacobi 迭代法解线性方程解线性方程有两种方法:直接法和间接法。
迭代法属于后者。
考虑方程组Ax=b ,其中A 为非奇异矩阵。
当A 为低阶稠密矩阵时,想去发是解方程组的有效方法。
但是,对于工程技术中产生的大型稀疏矩阵方程组(A 阶数n 很大,但零元素较多),利用迭代法是合适的。
在计算机内存和运算两方面,迭代法都有很大优势。
三、 具体算法对方程组Ax=b ,其中A 为非奇异矩阵。
设0(1,2,,),ii a i n ≠= 并将A 写为三部分 121,1111212,12221,11,21,12,100000000n n n n n n n n nn n n n n a a a a a a a a A a a a a a a a ---------⎡⎤⎡⎤⎡⎤⎢⎥⎢⎥--⎢⎥⎢⎥⎢⎥⎢⎥⎢⎥⎢⎥=--⎢⎥⎢⎥⎢⎥---⎢⎥⎢⎥⎢⎥⎣⎦⎢⎥⎢⎥---⎣⎦⎣⎦=D-L-U.于是().Ax b D L U x b =⇔--=即11().x D L U x D b --=++所以解Ax=b 的基本迭代公式为(0)(0)(0)1(1)()1(,,),()/(1,2,,)(0,1,).n nk k ii ij j iij j i x x x x b a x a i n k +=≠⎧=⎪⎪⎨=-==⎪⎪⎩∑由上式可知,Jacobi 迭代法计算公式简单,每迭代一次只需计算一次矩阵和向量的乘法且计算过程原始矩阵A 始终不变.例:以课本第八章例题8.1为例。
求解线性方程组Ax=b ,其中123832204111,,33631236x A x x b x -⎡⎤⎡⎤⎡⎤⎢⎥⎢⎥⎢⎥=-==⎢⎥⎢⎥⎢⎥⎢⎥⎢⎥⎢⎥⎣⎦⎣⎦⎣⎦精确解是x*=(3,2,1)T.精度要求小于10-5。
五、 运算结果迭代15次达到所需精度10-5。
初始赋值(0)(0,,0)x =进行迭代(1)()1()/(1,2,,)(0,1,)nk k ii ij j ii j j ixb a x a i n k +=≠=-==∑比较()k x和(1)k x+是否小于10-5是停止迭代 输出结果否继续迭代。