函数·典型例题分析
- 格式:doc
- 大小:79.00 KB
- 文档页数:9
函数及其图像典型例题例1、已知点()p x y ,的坐标满足方程x y ++-=120,则点p 在( )A .第一象限B .第二象限C .第三象限D .第四象限分析:这道题首先考察了平面内点的坐标,在各象限内的横纵坐标的特点,其次是绝对值,算术平方根,互为相反数的性质与概念的理解。
由x y ++-=120,可知:x y =-=12,,所以点()p x y ,,在第二象限,应选(B )。
例2、已知点M m -⎛⎝ ⎫⎭⎪123,关于原点对称的点在第一象限,那么m 的取值范围是 ;分析:这道题考查对称点的特点,关于原点对称的点,它们的横纵坐标互为相反数,与点M关于原点对称的点在第一象限,说明点M 在第三象限,则30m <,,即m <0例3、求函数自变量的取值范围 (1)函数y xx =--532自变量x 的取值范围是 ;(2)函数y x x =++-25自变量x 的取值范围是 ;分析:由解析式给出的函数表达式,自变量x 的取值范围应使解析式有意义,即二次根式的被开方式要大于等于零,分式的分母不能等于零,等。
解:(1) 50320235-≥->⎧⎨⎩∴<<x x x(2) x x x +≥-≥⎧⎨⎩∴-≤≤205025例4、平行四边形相邻的两边长是x y ,,它的周长是30,则y 关于x 的函数关系式是 。
解:平行四边形对边相等,所以周长为2230x y +=,得到x y +=15,则y 关于x 的函数关系式为:()y x x =-+<<15015例5、已知,如图,正方形ABCD 中,E 是BC 边上的点,F 是CD 边上的点,且AE =AF ,AB =4,设三角形AEF 的面积为y ,EC 为x ,求y 与x 之间的函数关系式,并在直角坐标系中画出这个函数的图象。
简解: ABCD AB AD B D 是正方形,,∴=∠=∠=∠Rtx FC EC CD BC DF BE ADF ABE AF AE ==∴==∆≅∆∴=,,,, 且 BE DF x ==-4则正方形S S S S AEF ABE CEF ∆∆∆∆=--2即()y x x =-⨯⨯⨯--1621244122整理合并为:y x x =-+1242,因为E 点在BC 上,F 是CD 上的点,当E 与C 点重合时三角形AEF 不存在,所以x 的取值范围是()04<≤x (图象略)例6、已知:y -1与x 成正比例,当x =2时,y =9那么y 与x 之间的函数关系是 。
初二关于函数的10题典型例题初二数学中关于函数的典型例题有很多,下面列举了其中的10题,并进行了解答。
1. 已知函数 f(x) = 2x + 1,求 f(3) 的值。
解答:将 x 替换为 3,计算得 f(3) = 2 * 3 + 1 = 7。
2. 已知函数 g(x) = x^2 + 3x,求 g(-2) 的值。
解答:将 x 替换为 -2,计算得 g(-2) = (-2)^2 + 3 * (-2) = 4 - 6 = -2。
3. 已知函数 h(x) = 4x^3 + 2x^2 + x,求 h(0) 的值。
解答:将 x 替换为 0,计算得 h(0) = 4 * 0^3 + 2 * 0^2 + 0 = 0。
4. 已知函数 f(x) = 3x - 2,求 f(1/2) 的值。
解答:将 x 替换为 1/2,计算得 f(1/2) = 3 * (1/2) - 2 = 1/2 - 2 = -3/2。
5. 已知函数 g(x) = 2x + 3,求使得 g(x) = 7 的 x 的值。
解答:将 g(x) = 7,解方程得 2x + 3 = 7,即 2x = 4,x = 2。
6. 已知函数 h(x) = 5x^2 + 4x + 1,求使得 h(x) = 0 的 x 的值。
解答:将 h(x) = 0,解方程得 5x^2 + 4x + 1 = 0,该方程可以因式分解为 (5x + 1)(x + 1) = 0,得到 x = -1 或 x = -1/5。
7. 已知函数 f(x) = 2x^2 + 5x + 3,求 f(-1) 的值。
解答:将 x 替换为 -1,计算得 f(-1) = 2 * (-1)^2 + 5 * (-1) + 3 = 2 - 5 + 3 = 0。
8. 已知函数 g(x) = 3x^2 + 2x + 1,求 g(2) 的值。
解答:将 x 替换为 2,计算得 g(2) = 3 * 2^2 + 2 * 2 + 1 = 12 + 4 + 1 = 17。
高三数学函数的单调性和最值典型例题解析1.由二次函数的值域和对数函数的单调性,求得()f x 的最小值,解不等式112log 48a a ⎛⎫≥+ ⎪⎝⎭,可得所求范围. 【详解】(1)由2040x a a x ->⎧⎨->⎩可得24a x a <<,则()f x 的定义域为()2,4a a ,()log (2)log (4)log (2)(4)a a a f x x a a x x a a x =-+-=--22log (3)a x a a ⎡⎤=--+⎣⎦,当1a >时,()f x 的增区间为()2,3a a ,减区间为()3,4a a .证明:设()22()3g x x a a =--+,()g x 的增区间为(),3a -∞,减区间为()3,a +∞,当1a >时,设1223a x x a <<<,可得()()12g x g x <,()()12log log []a a g x g x <⎡⎤⎣⎦,即()()12f x f x <,可得()f x 在()2,3a a 递增;设1234a x x a <<<,可得()()12g x g x >,()()12log log []a a g x g x >⎡⎤⎣⎦, 即()()12f x f x >,可得()f x 在()3,4a a 递减.(2)由01a <<,()2223x a a a --+≤,可得2()log 2a f x a ≥=,所以112log 48a a ⎛⎫≥+ ⎪⎝⎭,即为211048a a --≤,解得102a <≤,即a 的取值范围是10,2⎛⎤⎥⎝⎦.2. 已知定义域为R 的函数12()12xxf x -=+. (1)试判断函数12()12xxf x -=+在R 上的单调性,并用函数单调性的定义证明;(2)若对于任意t ∈R ,不等式22(2)()0f t t f t k -+-<恒成立,求实数k 的取值范围. 【答案】(1)函数()f x 在R 上单调递减,证明见解析;(2)1,2⎛⎫-∞- ⎪⎝⎭.【详解】(1)函数12()12xx f x -=+在R 上单调递减.证明如下:任取12,x x ∈R ,且12x x <,122112*********(22)()()1212(12)(12)x x x x x x x x f x f x ----=-=++++,因为12x x <,所以1222x x <,1120x +>,2120x +>,即12()()f x f x >,故函数12()12xxf x -=+在R 上单调递减. (2)因为1221()()1221x x x x f x f x -----===-++,故12()12xxf x -=+为奇函数,所以222(2)()()f t t f t k f k t -<--=-, 由(1)知,函数()f x 在R 上单调递减,故222t t k t ->-,即2220t t k -->对于任意t ∈R 恒成立,所以222k t t <-,令()222g t t t =-,则()min k g t <,因为()22111222222g t t t t ⎛⎫=-=--≥- ⎪⎝⎭,所以()min 12g t =-,所以12k <-,即实数k 的取值范围是1,2⎛⎫-∞- ⎪⎝⎭.3.下列函数中是偶函数,且在区间(0,1)上单调递增的是() A .22y x =-B .2y x=C .1||||y x x =+D .2||x y x =【答案】AD 【详解】A ,因为()()()2222f x x x f x -=--=-=,22y x =-是偶函数,在区间(0,1)上为增函数,符合题意;B ,因为()()22x x f x f x =--=--=,2y x=是奇函数,且在区间(0,1)上为减函数,不符合题意; C ,因为()()11||||||||f x x x f x x x -=-+=+=-,1||(0)||y x x x =+≠是偶函数,当(0,1)x ∈时,1y x x=+单调递减,不符合题意;D ,因为()()22||||x x f x f x x x -===-,2(0)||x y x x =≠是偶函数,且在区间(0,1)上为增函数,符合题意. 故选:AD4.定义在[1,1]-上的奇函数()f x ,对任意,0m n ≠时,恒有()()0f m f n m n+>+.(1)比较1()2f 与1()3f 大小;(2)判断()f x 在[1,1]-上的单调性,并用定义证明;(3)若810a x -+>对满足不等式11()(2)024f x f x -+-<的任意x 恒成立,求a 的取值范围. 【答案】(1)11()()23f f >;(2)函数()f x 在[1,1]-上为单调递增函数,证明见解析;(3)4a >. 【解析】试题解析:(1)利用作差法,即可比较1()2f 与1()3f 大小;(2)利用单调性定义证明步骤,即可得出结论;(3)先确定x 的范围,再分离参数求最值,即可求a 的取值范围.试题解析:(1)第一步,由()()0f m f n m n+>+得出031213121>⎪⎭⎫ ⎝⎛-+⎪⎭⎫ ⎝⎛-+⎪⎭⎫ ⎝⎛f f :∵11()023+-≠,031213121>⎪⎭⎫ ⎝⎛-+⎪⎭⎫ ⎝⎛-+⎪⎭⎫ ⎝⎛f f , ∵03121>⎪⎭⎫ ⎝⎛-+⎪⎭⎫ ⎝⎛f f , 第二步,由奇偶性得出结论: ∵11()()23f f >--∵11()()23f f >. (2)第一步,取值、作差: 任取12[1,1]x x ∈-,且12x x <,21212121212121()()()()()()()()()f x f x f x f x f x f x x x x x x x x x -+--=-=--+-.第二步,判断符号:∵2121()()0()f x f x x x +->+-,210x x ->,∵21()()0f x f x ->,第三步,下结论:∵函数()f x 在[1,1]-上为单调递增函数. (3)4a >.考点:函数奇偶性与单调性的综合问题. 5.已知函数()21xf x x =+. (1)判断并证明函数()f x 的奇偶性;(2)判断当()1,1x ∈-时函数()f x 的单调性,并用定义证明; (3)若()f x 定义域为()1,1-,解不等式()()210f x f x -+<. 【答案】(1)奇函数(2)增函数(3)1{|0}3x x <<【解析】试题解析:(1)判断与证明函数的奇偶性,首先要确定函数的定义域是否关于原点对称,再判断f(-x)与f(x)的关系,如果对定义域上的任意x ,都满足f(-x)=f(x)就是偶函数,如果f(-x)=-f(x)就是奇函数,否则是非奇非偶函数。
第三章 函数的概念与性质典型易错题集易错点1.忽视定义域表示的是谁的范围【典型例题1】(2022·黑龙江让胡路·大庆中学高一月考)已知函数()y f x =的定义域为[)1,2-,则函数()2y f x =+的定义域为( )A .[]3,0-B .[)1,4C .[)3,0-D .(]1,4【错解D 】因为函数()y f x =的定义域为[)1,2-,即12x -≤<,对于()2y f x =+有124x ≤+<。
点评:本题错解在于将()y f x =中的“x ”与()2y f x =+中的“x ”当成同一个量,其次就是没有理解函数定义域的定义,表示的是“x ”的取值范围,本题错解反而求()2y f x =+中2x +的取值范围当做定义域。
【正解】C 【详解】因为函数()y f x =的定义域为[)1,2-, 所以122x -≤+<,解得30x -≤< 所以函数(2)y f x =+的定义域为[)3,0-. 故选:C.易错点2.解不等式问题时忽略讨论最高项系数是否为0【典型例题2】(2022·黑龙江让胡路·大庆中学高一月考)若函数()f x =的定义域为R ,则实数m 的取值范围是( ) A .()0,4 B .[)0,4C .[]0,4D .(](),04,-∞+∞【错解A 】函数的定义域为R ,即不等式224mx mx ++>0的解集为R2416004m m m m >⎧⇒<<⎨⎩∆=-<点评:在解不等式问题时,本题错解漏了考虑最高项系数为0的情况,在解不等式问题时,需要特别注意最高项系数为0的情况。
【正解】B 【详解】函数的定义域为R ,即不等式224mx mx ++>0的解集为R(1)当0m =时,得到40>,显然不等式的解集为R ;(2)当0m <时,二次函数224y mx mx =++开口向下,函数值y 不恒大于0,故解集为R 不可能. (3)当0m >时,二次函数224y mx max =++开口向上,由不等式的解集为R , 得到二次函数与x 轴没有交点,即24160m m ∆=-<,即(4)0m m -<,解得04m <<; 综上,a 的取值范围为[)0,4 故选:B易错点3.忽视函数的定义域【典型例题3】(2022·全国高一单元测试)若1)f x =+()f x 的解析式为( ) A .2()f x x x =-B .2()(0)f x x x x =+≥C .()2()1f x x x x =-≥D .2()f x x x =+【错解A 】1)f x =+1t =,则2(1)x t =-, ∴22()(1)1f t t t t t =-+-=-,, ∴函数()f x 的解析式为2()f x x x =-.点评:本题错解在换元时没有考虑变量的取值范围,换元必换范围。
专题13:函数的定义域与值域求法典型例题(解析版)函数定义域的常见其一、已知函数解析式型即给出函数的解析式的定义域求法,其解法是由解析式有意义列出关于自变量的不等式或不等式组,解此不等式(或组)即得原函数的定义域。
例1、求函数yx 2 2x 15的定义域。
x 3 82 x 5或x3 x 2x 15 0解:要使函数有意义,则必须满足即 x 5且x 11 x 3 8 0解得x 5或x 3且x 11即函数的定义域为x x 5或x 3且x 11 。
二、抽象函数型抽象函数是指没有给出解析式的函数,不能用常规方法求解,一般表示为已知一个抽象函数的定义域求另一个抽象函数的定义域,一般有两种情况。
(一)已知f (x )的定义域,求f g (x ) 的定义域。
其解法是:已知f (x )的定义域是[a ,b ]求f g (x ) 的定义域是解a g (x ) b ,即为所求的定义域。
例2、已知f (x )的定义域为[ 2,2],求f (x 1)的定义域。
2解: 2 x 2, 2 x 1 2,解得 3 x 23即函数f (x 1)的定义域为x 3 x 3(二)已知fg (x ) 的定义域,求f (x )的定义域。
2其解法是:已知f g (x ) 的定义域是[a ,b ]求f (x )的定义域的方法是:a x b ,求g (x )的值域,即所求f (x )的定义域。
例3、已知f (2x 1)的定义域为[1,2],求f (x )的定义域。
解: 1 x 2, 2 2x 4, 3 2x 1 5。
即函数f (x )的定义域是x |3 x 5 。
三、逆向思维型即已知所给函数的定义域求解析式中参数的取值范围。
特别是对于已知定义域为R ,求参数的范围问题通常是转化为恒成立问题来解决。
例4、已知函数ymx 2 6mx m 8的定义域为R 求实数m 的取值范围。
22分析:函数的定义域为R ,表明mx 6mx m 8 0,使一切x R 都成立,由x 项的系数是m ,所以应分m 0或m 0进行讨论。
指数函数典型例题详细解析指数函数·例题解析第一课时例1:求下列函数的定义域与值域:1) $y=\frac{3}{2-x}$解:定义域为$x\in R$且$x\neq 2$,值域为$y>0$且$y\neq1$。
2) $y=2x+2-1$解:由$2^{\frac{x+2}{2}-1}\geq 0$,得定义域为$x\geq -2$,值域为$|y|\geq 0$。
3) $y=3-3x-1$解:由$3-3^{\frac{x-1}{2}}\geq 0$,得定义域为$x\leq 2$,由$3-3^{\frac{x-1}{2}}<3$,得值域为$y<3$。
1.指数函数$y=a^x$($a>0$且$a\neq 1$)的定义域是$R$,值域是$(0,+\infty)$。
2.求定义域的几个原则:①含根式(被开方数不为负)②含分式,分母不为$0$③形如$a^0$,($a\neq 0$)3.求函数的值域:①利用函数$y=a^x$单调性②函数的有界性($x^2\geq 0;a^x>0$)③换元法。
例如:$y=4x+\frac{6}{2x-8}$($1\leq x\leq 2$),先换元,再利用二次函数图象与性质(注意新元的范围)。
例2:指数函数$y=a^x$,$y=b^x$,$y=c^x$,$y=d^x$的图像如图2.6-2所示,则$a$、$b$、$c$、$d$、$1$之间的大小关系是?解:选$(c)$,在$x$轴上任取一点$(x,0)$,则得$b<a<1<d<c$。
例3:比较大小:1)$2$、$3^2$、$5^4$、$8^8$、$9^{16}$的大小关系是:$2<3^2<5^4<8^8<9^{16}$。
2)$\frac{0.6}{4}-\frac{5}{13}-2$,$2$的大小关系是:$\frac{0.6}{4}-\frac{5}{13}-2<2$。
2.3.1 函数的单调性·例题解析【例1】求下列函数的增区间与减区间(1)y =|x 2+2x -3|(2)y (3)y ==xx x x x 2221123-----+||解 (1)令f(x)=x 2+2x -3=(x +1)2-4.先作出f(x)的图像,保留其在x 轴及x 轴上方部分,把它在x 轴下方的图像翻到x 轴就得到y =|x 2+2x -3|的图像,如图2.3-1所示.由图像易得:递增区间是[-3,-1],[1,+∞)递减区间是(-∞,-3],[-1,1](2)分析:先去掉绝对值号,把函数式化简后再考虑求单调区间. 解 当x -1≥0且x -1≠1时,得x ≥1且x ≠2,则函数y =-x . 当x -1<0且x -1≠-1时,得x <1且x ≠0时,则函数y =x -2. ∴增区间是(-∞,0)和(0,1)减区间是[1,2)和(2,+∞)(3)解:由-x 2-2x +3≥0,得-3≤x ≤1.令u ==g(x)=-x 2-2x +3=-(x +1)2+4.在x ∈[-3,-1]上是在x∈[-1,1]上是. 而=在≥上是增函数.y u 0u∴函数y 的增区间是[-3,-1],减区间是[-1,1].【例2】函数f(x)=ax 2-(3a -1)x +a 2在[-1,+∞]上是增函数,求实数a 的取值范围.解 当a =0时,f(x)=x 在区间[1,+∞)上是增函数.当≠时,对称轴=,若>时,由>≤,得<≤.a 0x a 0a 0 3a 10a 131212a aa--⎧⎨⎪⎩⎪ 若a <0时,无解.∴a 的取值范围是0≤a ≤1.【例3】已知二次函数y =f(x)(x ∈R )的图像是一条开口向下且对称轴为x =3的抛物线,试比较大小:(1)f(6)与f(4)(2)f(2)f(15)与解 (1)∵y =f(x)的图像开口向下,且对称轴是x =3,∴x ≥3时,f(x)为减函数,又6>4>3,∴f(6)<f(4)(2)x 3f(2)f(4)34f(x)x 3∵对称轴=,∴=,而<<,函数在≥15 时为减函数.∴>,即>.f(15)f(4)f(15)f(2)【例4】判断函数=≠在区间-,上的单调性.f(x)(a 0)(11)ax x 21- 解 任取两个值x 1、x 2∈(-1,1),且x 1<x 2.∵-=∵-<<<,+>,->,-<,-<.∴>f(x )f(x )1x x 1x x 10x x 0x 10x 10012121221a x x x x x x x x x x x x ()()()()()()()()12211222121212211222111111+---+---当a >0时,f(x)在(-1,1)上是减函数.当a <0时,f(x)在(-1,1)上是增函数.【例5】利用函数单调性定义证明函数f(x)=-x 3+1在(-∞,+∞)上是减函数.证 取任意两个值x 1,x 2∈(-∞,+∞)且x 1<x 2.∵-=-++这里有三种证法:当<时,++=+->当≥时,++>f(x )f(x )(x x )(x x x x )()x x 0x x x x (x x )x x 0x x 0x x x x 02112221212121212221221212121222证法一又∵x 1-x 2<0,∴f(x 2)<f(x 1)故f(x)在(-∞,+∞)上是减函数.证法二()x x x x (x x )x x x x 0x x 0x 0x 0x x x x x x 012122212222122122112121222∵++=++,这里+与不会同时为,否则若+=且=,则=这与<矛盾,∴++>.12341212得f(x)在(-∞,+∞)上是减函数.证法三()t x x x x x 4x 3x 00x 0x 0t x 03x 0t 0x x x x 0f(x )f(x )f(x)(22121212121212221222121221令=++,其判别式Δ=-=-≤,若Δ=时,则=,那么≠,∴=>,若Δ=-<,则>,即++>,从而<,∴在-∞,+∞上是减函数.)【例6】讨论函数=+的单调性,并画出它的大致图像.f(x)x 1x解 定义域为(-∞,0)∪(0,+∞),任取定义域内两个值x 1、x 2,且x 1<x 2.∵-=-,又-<,f(x )f(x )(x x )x x x x 012121112x x 221 ∴当0<x 1<x 2≤1或-1≤x 1<x 2<0时,有x 1x 2-1<0,x 1x 2>0,f(x 1)>f(x 2)∴f(x)在(0,1],[-1,0)上为减函数.当1≤x 1<x 2或x 1<x 2≤-1时,有x 1x 2-1>0,x 1x 2>0,f(x 1)>f(x 2),∴f(x)在(-∞,-1],[1,+∞)上为增函数.根据上面讨论的单调区间的结果,又x >0时,f(x)min =f(1)=2,当x <0时,f(x)max =f(-1)=-2.由上述的单调区间及最值可大致画出=+的图像如图.-.y x 2321x说明 1°要掌握利用单调性比较两个数的大小.2°注意对参数的讨论(如例4).3°在证明函数的单调性时,要灵活运用配方法、判别式法及讨论方法等.(如例5)4°例6是分层讨论,要逐步培养.。
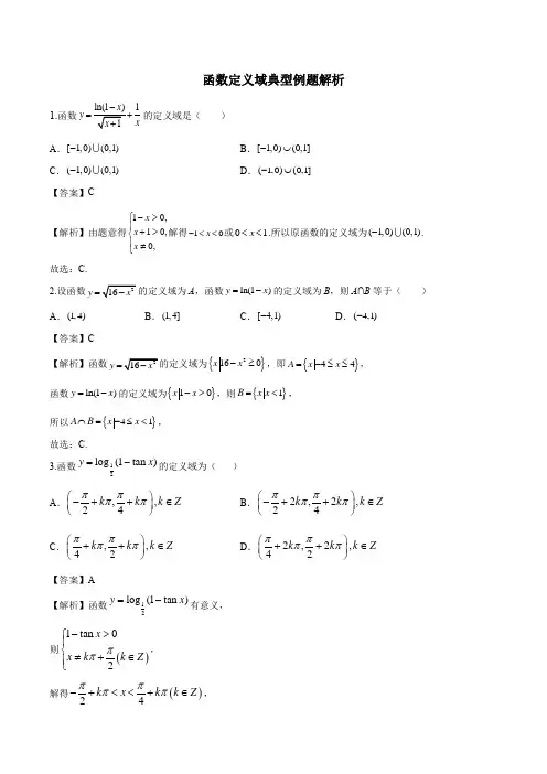
函数定义域典型例题解析1.函数的定义域是( ) A . B . C . D .【答案】C【解析】由题意得10,10,0,x x x ->⎧⎪+>⎨⎪≠⎩解得10x -<<或01x <<.所以原函数的定义域为(1,0)(0,1)-.故选:C.2.设函数的定义域为A ,函数的定义域为B ,则A ∩B 等于( ) A . B . C . D .【答案】C【解析】函数y {}2160x x -≥,即{}44A x x =-≤≤,函数ln(1)y x =-的定义域为{}10x x ->,则{}1B x x =<, 所以{}41A B x x ⋂=-≤<, 故选:C.3.函数12log (1tan )y x =-的定义域为( )A .,,24k k k Z ππππ⎛⎫-++∈ ⎪⎝⎭B .2,2,24k k k Z ππππ⎛⎫-++∈ ⎪⎝⎭C .,,42k k k Z ππππ⎛⎫++∈⎪⎝⎭D .2,2,42k k k Z ππππ⎛⎫++∈⎪⎝⎭【答案】A 【解析】函数12log (1tan )y x =-有意义,则()1tan 02x x k k Z ππ->⎧⎪⎨≠+∈⎪⎩, 解得()24k x k k Z ππππ-+<<+∈,1y x=[1,0)(0,1)-[1,0)(0,1]-⋃(1,0)(0,1)-(1,0)(0,1]-⋃y =ln(1)y x =-(1,4)(1,4][4,1)-(4,1)-所以函数的定义域为,,24k k k Z ππππ⎛⎫-++∈ ⎪⎝⎭.故选:A3.求函数的定义域.【答案】当1a >时,函数的定义域为{|0}x x >;当01a <<时,函数的定义域为{|0}x x <. 【解析】要使原式有意义需要满足10x a ->,即01x a a >= 当1a >时,xy a =是R 上的增函数,所以0x >; 当01a <<时,x y a =是R 上的减函数,所以0x <; 综上所述,当1a >时,函数的定义域为{|0}x x >;当01a <<时,函数的定义域为{|0}x x <.4.若函数()f x =R ,则实数a 取值范围是( )A .[]2,2- B .()2,+∞ C .(),2-∞ D .()2,2- 【答案】A【解析】由于函数()f x =的定义域为R ,所以210x ax ++≥在R 上恒成立,即方程21=0x ax ++至多有一个解,所以240a ∆=-≤,解得22a -≤≤,则实数a 取值范围是[]2,2-.故选A .5.已知函数f (x )=的定义域是R ,则实数a 的取值范围是( ) A .012≤<-a B .012<<-a C .31>a D .31≤a 【答案】A【解析】函数()f x =的定义域为R ,只需分母不为0即可,所以0a =或()2430a a a ≠∆=-⨯-<⎧⎨⎩,可得120a -<≤,故选A . 6.已知函数的定义域为,若有定义,则实数的取值范围是( ) A .B .C .D .log (1)(01)xa y a a a =->≠且31323-+-ax ax x ()f x []1,0-()()()g x f x a f x a =+--a 1,02⎡⎤-⎢⎥⎣⎦11,2⎡⎤--⎢⎥⎣⎦10,2⎡⎤⎢⎥⎣⎦11,22⎡⎤-⎢⎥⎣⎦【答案】D【解析】由题意可得1010x a x a -≤+≤⎧⎨-≤-≤⎩,解得11a x aa x a --≤≤-⎧⎨-≤≤⎩.因为()g x 有定义,所以当0a <时,由1a a --≤,得102a -≤<;当0a >时,由1a a -≤-,得102a <≤; 当0a =时,10x -≤≤,恒成立. 综上,实数a 的取值范围是11,22⎡⎤-⎢⎥⎣⎦.故选:D .7.已知函数()f x =()11f x x -+的定义域为( )A .(),1-∞B .(),1-∞-C .()(),11,0-∞--D .()(),11,1-∞--【答案】D【解析】令24x x >,即21x <,解得0x <.若()11f x x -+有意义,则10,10x x -<⎧⎨+≠⎩,即()(),11,1x ∈-∞-⋃-.故选:D.8.已知函数的定义域是,则函数的定义域是_______. 【答案】(]1,2【解析】令()()222111x x g x x x x +-=≥+-,则()()222111111111x x x x g x x x x x x x x+-+==+=+≥+-+--+,1y x x =-在[)1,+∞上单调递增,10x x∴-≥,10111x x∴<≤-+,()12g x ∴<≤,()f x ∴的定义域为(]1,2.9.用长为的铁丝编成下部为矩形,上部为半圆形的框架(如图所示).若矩形底边长为,求此框架围成的面积与关于的函数解析式,并求出它的定义域.22211x x y f x x ⎛⎫+-= ⎪+-⎝⎭[)1,+∞()y f x =L 2x y x【答案】242y x Lx π+=-+,函数的定义域为 【解析】如图,设,则= ,于是22L x xAD π--=,因此22222L x x x y x ππ--=⨯+,即242y x Lx π+=-+,再由题得20202x L x x π>⎧⎪⎨-->⎪⎩,解之得02L x π<<+,所以函数解析式是242y x Lx π+=-+,函数的定义域是 . 1.设函数的定义域A ,函数的定义域为B ,则A B ⋂=(A )(1,2) (B ) (C )(-2,1) (D )[-2,1)【答案】D2.下列函数中,其定义域和值域分别与函数y =10lg x 的定义域和值域相同的是( )A .y =xB .y =lg xC .y =2xD .y =1x【答案】D【解析】 y =10lg x =x ,定义域与值域均为(0,+∞),只有选项D 满足题意. 3. 函数1)(log 1)(22-=x x f 的定义域为( )A .)21,0(B .),2(+∞C .),2()21,0(+∞D .),2[]21,0(+∞【答案】C(0,)2L π+2AB x =CD x π(0,)2Lπ+【解析】由已知得22(log )10,x ->即2log 1x >或2log -1x <,解得2x >或102x <<,故选C . 4.函数的定义域是( )(A) (B) (C) (D)【答案】D【解析】由解得或,故选D .5.函数的定义域为( )A .B .C .D .【答案】.【解析】由函数的表达式可知,函数的定义域应满足条件:,解之得,即函数的定义域为,故应选.6.函数1()=ln 1f x x x ++的定义域是__________. 【答案】(0,)+∞【解析】要使得函数1()ln 1f x x x =++有意义,则100x x +≠⎧⎨>⎩,即0x >,∴定义域为(0,)+∞. 【专家解读】本题考查了分式函数、对数函数定义域的求法,考查数学运算学科素养.7.已知函数()(0,1)xf x a b a a =+>≠ 的定义域和值域都是[]1,0-,则a b += .【答案】32-【解析】若1a >,则()f x 在[]1,0-上为增函数,所以1110a b b -⎧+=-⎨+=⎩,此方程组无解;若01a <<,则()f x 在[]1,0-上为减函数,所以1011a b b -⎧+=⎨+=-⎩,解得122a b ⎧=⎪⎨⎪=-⎩,所以32a b +=-.8.函数y =的定义域是 ▲ .22(x)log (x 2x 3)f [3,1](3,1)(,3][1,)-∞-+∞(,3)(1,)-∞-+∞0)1)(3(0322>-+⇒>-+x x x x 3-<x 1>x 256()lg 3x x f x x -+-(2,3)(2,4](2,3)(3,4](1,3)(3,6]-C ()y f x =()f x 2564||0,03x x x x -+-≥>-22,2,3x x x -≤≤>≠()f x (2,3)(3,4]C【答案】[1,7]-【解析】由题意得到关于x 的不等式,解不等式可得函数的定义域.由已知得2760x x +-≥,即2670x x --≤,解得17x -≤≤,故函数的定义域为[1,7]-. 9.函数的定义域为( ) A . B . C . D .【答案】D【解析】要使函数有意义,只需21020x x x -≠⎧⎨->⎩,解得102x x ≠⎧⎨<<⎩,即函数定义域为{|01x x <<或12}x <<.故选D.10.设函数y =A ,函数12x y -=的值域为B ,则A B =( )A .()0,1B .(]0,1 C .()1,1- D .[]1,1-【答案】A【解析】函数定义域满足:210x ->,即11x -<<,所以{}11A x x =-<<, 函数12x y -=的值域{}0B y y =>,所以()0,1AB =,故选:A. 11.函数) A . B . C . D .【答案】C【解析】欲使函数有意义,则0lg 020x x x >⎧⎪≠⎨⎪-≥⎩,即012x x x >⎧⎪≠⎨⎪≤⎩,解得()(]0,11,2x ∈⋃,故选:C .12.设函数y =A ,函数ln(3)y x =-的定义域为B ,则A B =( )A .(,3)-∞B .(8,3)--C .{3}D .[3,3)-【答案】D()()221log 21f x x x x =+--()1,2()(),02,-∞+∞()(),11,2-∞()()0,11,21()lg f x x=+(0,2](0,2)(0,1)(1,2]⋃(,2]-∞【解析】由题意,对于函数y =290x -≥,解得33x -≤≤,即[]3,3A =-; 对于函数ln(3)y x =-,30x ->,解得3x <,即(),3B =-∞, 所以AB =[3,3)-.故选:D.13.已知等腰三角形的周长为,底边长是腰长的函数,则函数的定义域为( ) A . B .C .D .【答案】A【解析】由题设有402y x =-,由4020402x x x x ->⎧⎨+>-⎩得1020x <<,故选A.14.函数2()lg 2x f x x +⎛⎫= ⎪-⎝⎭的定义域为( )A .[1,2]B .[2,)+∞C .[1,2)D .(1,2]【答案】C【解析】解:根据函数()f x 解析式,有(2)(2)00ln 0x x x x +->⎧⎪>⎨⎪⎩,解得[1,2)x ∈,所以函数()f x 的定义域为[1,2)x ∈,故选:C.15.若函数()f x =R ,则实数m 取值范围是( )A .[0,8)B .(8,)+∞C .(0,8)D .(,0)(8,)-∞⋃+∞ 【答案】A【解析】∵函数f (x )的定义域为R ,∴不等式mx 2-mx +2>0的解集为R , ①m =0时,2>0恒成立,满足题意; ②m ≠0时,则280m m m ⎧⎨=-<⎩>,解得0<m <8. 综上得,实数m 的取值范围是[0,8),故选A .16.函数的定义域是__________. 【答案】[)1,4- 【解析】()()lg 4f x x =-,40cm ()y cm ()x cm ()10,20()0,10()5,10[)5,10()()lg 4f x x -1040x x +≥⎧∴⎨->⎩,解得14x -≤<,故函数的定义域为[)1,4-. 故答案为:[)1,4-.17.函数的定义域为______.【答案】(1,0)(0,2]-⋃;【解析】由题意,函数()f x =有意义,则满足2401011x x x ⎧-≥⎪+>⎨⎪+≠⎩,解得12x -<≤且0x ≠,所以函数()f x 的定义域为(1,0)(0,2]-⋃.18.函数()lg 2cos 21y x =-的定义域是______. 【答案】553,,,36666ππππ⎡⎫⎛⎫⎛⎤---⎪ ⎪⎢⎥⎣⎭⎝⎭⎝⎦【解析】因为()lg 2cos 21y x =-,所以2902cos 210x x ⎧-≥⎨->⎩,所以331cos 22x x -≤≤⎧⎪⎨>⎪⎩,所以33,66x k x k k Z ππππ-≤≤⎧⎪⎨-<<+∈⎪⎩,解得536x π-≤<-或66x ππ-<<或536x π<≤. 故答案为:553,,,36666ππππ⎡⎫⎛⎫⎛⎤---⎪ ⎪⎢⎥⎣⎭⎝⎭⎝⎦19.函数_____. 【答案】(0,1]【解析】依题意知,函数有意义,则需1020x x -≥⎧⎨>⎩,解得01x <≤,故定义域为(0,1].20.(2021·贵州省思南中学高三一模(理))函数的定义域为________. 【答案】(4,1]-【解析】由题意,要使函数()ln(4)f x x +有意义,则满足44040x x ⎧-≥⎨+>⎩,()f x ()ln(2)f x x =+()ln(4)f x x +解得41x -<≤,即函数()f x 的定义域为(4,1]-.21.如果几个函数的定义域相同、值域也相同,但解析式不同,称这几个函数为“同域函数”. 试写出y =“同域函数”的解析式为____________.【答案】23xy =-,[]1,2x ∈(答案不唯一)【解析】由1020x x -≥⎧⎨-≥⎩得:12x ≤≤ y ∴=[]1,2又y =∴值域为[]1,1-y ∴=的一个“同域函数”为23x y =-,[]1,2x ∈故答案为:23xy =-,[]1,2x ∈(答案不唯一)22.已知函数(21)f x -的定义域为(1,2)-,则函数(23)f x -的定义域为________. 【答案】15,33⎛⎫- ⎪⎝⎭【解析】因为(21)f x -的定义域为(1,2)-,即12x -<<。
《反函数_典型例题精析》反函数是指在函数关系中,将自变量和因变量的角色互换,从而得到一个新的函数关系。
它是函数关系的逆运算,用于解决一些特定的问题。
下面将通过几个典型的例题来对反函数进行精析。
例题1:已知函数y = 2x + 3,求它的反函数。
解析:要求反函数,需要将自变量和因变量的角色互换。
首先将原函数中的自变量x换成y,因变量y换成x:x = 2y + 3。
然后解方程,将y表示出来:y = (x - 3) / 2。
所以,原函数的反函数为f^(-1)(x) = (x - 3) / 2。
例题2:已知函数f(x) = x^2,求它的反函数。
解析:同样地,需要将自变量和因变量的角色互换。
将原函数中的自变量x换成y,因变量y换成x:x = y^2。
然后解方程,将y表示出来。
但是,由于原函数f(x) = x^2不是一一对应的函数,即存在多个x对应同一个y的情况,所以它没有反函数。
例题3:已知函数f(x) = e^x,求它的反函数。
解析:同样地,需要将自变量和因变量的角色互换。
将原函数中的自变量x换成y,因变量y换成x:x = e^y。
然后解方程,将y表示出来:y = ln(x)。
所以,原函数的反函数为f^(-1)(x) = ln(x)。
通过以上例题的分析可以看出,反函数的求解过程主要是将原函数中的自变量和因变量互换,然后解方程将因变量表示出来。
需要注意的是,反函数存在的条件是原函数必须是一一对应的函数,即每个自变量对应唯一的因变量。
如果原函数不是一一对应的函数,则不存在反函数。
反函数在实际问题中有着重要的应用,例如在金融领域中,可以利用反函数来解决利率计算、贷款计算等问题;在物理学中,可以利用反函数来解决速度、加速度等问题。
因此,熟练掌握反函数的求解方法对于解决实际问题具有重要意义。
总结起来,反函数是函数关系的逆运算,通过将自变量和因变量的角色互换,得到一个新的函数关系。
反函数的求解过程主要是将原函数中的自变量和因变量互换,然后解方程将因变量表示出来。
2.3.1 函数的单调性·例题解析【例1】求下列函数的增区间与减区间(1)y =|x 2+2x -3|(2)y (3)y ==x x x x x 2221123-----+||解 (1)令f(x)=x 2+2x -3=(x +1)2-4.先作出f(x)的图像,保留其在x 轴及x 轴上方部分,把它在x 轴下方的图像翻到x 轴就得到y =|x 2+2x -3|的图像,如图2.3-1所示.由图像易得:递增区间是[-3,-1],[1,+∞)递减区间是(-∞,-3],[-1,1](2)分析:先去掉绝对值号,把函数式化简后再考虑求单调区间. 解 当x -1≥0且x -1≠1时,得x ≥1且x ≠2,则函数y =-x . 当x -1<0且x -1≠-1时,得x <1且x ≠0时,则函数y =x -2. ∴增区间是(-∞,0)和(0,1)减区间是[1,2)和(2,+∞)(3)解:由-x 2-2x +3≥0,得-3≤x ≤1.令u ==g(x)=-x 2-2x +3=-(x +1)2+4.在x ∈[-3,-1]上是在x ∈[-1,1]上是. 而=在≥上是增函数.y u 0u∴函数y 的增区间是[-3,-1],减区间是[-1,1].【例2】函数f(x)=ax 2-(3a -1)x +a 2在[-1,+∞]上是增函数,求实数a 的取值范围.解 当a =0时,f(x)=x 在区间[1,+∞)上是增函数.当≠时,对称轴=,若>时,由>≤,得<≤.a 0x a 0a 0 3a 10a 131212a aa--⎧⎨⎪⎩⎪若a <0时,无解.∴a 的取值范围是0≤a ≤1.【例3】已知二次函数y =f(x)(x ∈R )的图像是一条开口向下且对称轴为x =3的抛物线,试比较大小:(1)f(6)与f(4)(2)f(2)f(15)与解 (1)∵y =f(x)的图像开口向下,且对称轴是x =3,∴x ≥3时,f(x)为减函数,又6>4>3,∴f(6)<f(4)(2)x 3f(2)f(4)34f(x)x 3∵对称轴=,∴=,而<<,函数在≥15 时为减函数.∴>,即>.f(15)f(4)f(15)f(2)【例4】判断函数=≠在区间-,上的单调性.f(x)(a 0)(11)ax x 21- 解 任取两个值x 1、x 2∈(-1,1),且x 1<x 2.∵-=∵-<<<,+>,->,-<,-<.∴>f(x )f(x )1x x 1x x 10x x 0x 10x 10012121221a x x x x x x x x x x x x ()()()()()()()()12211222121212211222111111+---+---当a >0时,f(x)在(-1,1)上是减函数.当a <0时,f(x)在(-1,1)上是增函数.【例5】利用函数单调性定义证明函数f(x)=-x 3+1在(-∞,+∞)上是减函数.证 取任意两个值x 1,x 2∈(-∞,+∞)且x 1<x 2.∵-=-++这里有三种证法:当<时,++=+->当≥时,++>f(x )f(x )(x x )(x x x x )()x x 0x x x x (x x )x x 0x x 0x x x x 02112221212121212221221212121222证法一又∵x 1-x 2<0,∴f(x 2)<f(x 1)故f(x)在(-∞,+∞)上是减函数.证法二()x x x x (x x )x x x x 0x x 0x 0x 0x x x x x x 012122212222122122112121222∵++=++,这里+与不会同时为,否则若+=且=,则=这与<矛盾,∴++>.12341212得f(x)在(-∞,+∞)上是减函数.证法三()t x x x x x 4x 3x 00x 0x 0t x 03x 0t 0x x x x 0f(x )f(x )f(x)(22121212121212221222121221令=++,其判别式Δ=-=-≤,若Δ=时,则=,那么≠,∴=>,若Δ=-<,则>,即++>,从而<,∴在-∞,+∞上是减函数.)【例6】讨论函数=+的单调性,并画出它的大致图像.f(x)x 1x解 定义域为(-∞,0)∪(0,+∞),任取定义域内两个值x 1、x 2,且x 1<x 2.∵-=-,又-<,f(x )f(x )(x x )x x x x 012121112x x 221 ∴当0<x 1<x 2≤1或-1≤x 1<x 2<0时,有x 1x 2-1<0,x 1x 2>0,f(x 1)>f(x 2)∴f(x)在(0,1],[-1,0)上为减函数.当1≤x 1<x 2或x 1<x 2≤-1时,有x 1x 2-1>0,x 1x 2>0,f(x 1)>f(x 2),∴f(x)在(-∞,-1],[1,+∞)上为增函数.根据上面讨论的单调区间的结果,又x >0时,f(x)min =f(1)=2,当x <0时,f(x)max =f(-1)=-2.由上述的单调区间及最值可大致画出=+的图像如图.-.y x 2321x说明 1°要掌握利用单调性比较两个数的大小.2°注意对参数的讨论(如例4).3°在证明函数的单调性时,要灵活运用配方法、判别式法及讨论方法等.(如例5)4°例6是分层讨论,要逐步培养.。
函数的单调性·例题解析1 2.3.】求下列函数的增区间与减区间【例123|2x(1)y=|x-+2x2?x=(2)y|1x?1?|23xx??2(3)y=?224+1).x-+2x-3=(x(1)解令f(x)=轴轴下方的图像翻到x轴及x轴上方部分,把它在x先作出f(x)的图像,保留其在x2 1所示..3-+2x-3|的图像,如图2=就得到y|x 由图像易得:) [1,+∞,-1],递增区间是[-31],[,-1递减区间是(-∞,-3] 分析:先去掉绝对值号,把函数式化简后再考虑求单调区间.(2) .=-xy且x≠2,则函数0≥且x-1≠1时,得x≥1解当x-1 .-2时,则函数y=x1≠-时,得x<1且x≠01当x-<0且x-11) (0,(-∞,0)和∴增区间是)(2,+∞[1,2)和减区间是2 .1≤x≤2x+3≥0,得-(3)解:由-x3-2在x∈[-1,-4.在x∈[3,-1]1]上是+xu令==g(x)=-+-2x3=-(x1)2+上是.而y=u在u≥0上是增函数.∴函数y的增区间是[-3,-1],减区间是[-1,1].22在[-1,+∞a1)x(3a=函数2【例】f(x)ax--+]上是增函数,求实数a的取值范围.上是增函数.,+∞)=0时,f(x)=x在区间[1解当a1?3a,=时,对称轴x当a≠0a2?0 >a ?.1a≤a>0时,由得0<若?1?3a,1≤?a2? 0时,无解.若a<1.∴a的取值范围是0≤a ≤的抛物线,=3=f(x)(x∈R)的图像是一条开口向下且对称轴为x【例3】已知二次函数y 试比较大小:f(4)(1)f(6)与15)(2)f(2)与f(6时,f(x)为减函数,又=3,∴x≥3解(1)∵y=f(x)的图像开口向下,且对称轴是xf(4)f(6)<>4>3,∴3在x≥<15<4,函数f(x)(2)∵对称轴x=3,∴f(2)=f(4),而3时为减函数.∴f(15)>f(4),即f(15)>f(2).ax(a≠0)在区间(-1,1)上的单调性.【例4】判断函数f(x)=2?1x解任取两个值x、x∈(-1,1),且x<x.2121a(xx?1)(x?x)1122=f(x))∵f(x-2212?1x)x?1)((2122∵-1<x<x<1,xx+1>0,x-x>0,x-1<0,x-1<0.11222111(xx?1)(x?x)1212>0∴22?1)(x)(x?121当a>0时,f(x)在(-1,1)上是减函数.当a<0时,f(x)在(-1,1)上是增函数.3+1在(-∞,+∞)上是减函数.x【例5】利用函数单调性定义证明函数f(x)=-证取任意两个值x,x∈(-∞,+∞)且x<x.211222+xx+x))=(x-x)(x这里有三种证法:∵f(x)-f(x11122221222=(x+x)-x+时,0x+xxxx>0x)证法(一当x<212122112122>x0x时,x+x+≥当xx0212121又∵x-x<0,∴f(x)<f(x) 1122 上是减函数.)-∞,+∞(在f(x)故.1312222=(x+x)++xx,这里x+x证法(二)∵x+xx2112122122241与x不会同时为0,否则若x+x=0且x=0,则x=0这与x<x2112122222.x0>矛盾,∴x+xx+2112上是减函数.(-∞,+∞)得f(x)在222223x=-x-4x+x,其判别式Δ(三)令t=x=+xx证法1122111223x =-,若=xΔ>0时,则x=0,那么x≠0,∴t≤0,若Δ=0112222+xx+x>0,从而f(x)<f(x),∴f(x)在(<0,则t>0,即x-∞,121212+∞)上是减函数.1的单调性,并画出它的大致图像.x+【例6】讨论函数f(x)=x解定义域为(-∞,0)∪(0,+∞),任取定义域内两个值x、x,且x<x.2211xx 121∵f(x)-f(x)=(x-x),又x-x<0,221211xx21∴当0<x<x≤1或-1≤x<x<0时,有xx-1<0,xx>0,f(x)>f(x) 2211221112∴f(x)在(0,1],[-1,0)上为减函数.当1≤x<x或x<x≤-1时,有xx-1>0,xx>0,f(x)>f(x),∴f(x)在(-2211112212∞,-1],[1,+∞)上为增函数.根据上面讨论的单调区间的结果,又x>0时,f(x)=f(1)=2,当x<0时,f(x)maxmin=f(-1)=-2.由上述的单调区间及最值可大致1的图像如图2.3+-2.x画出y=x说明1°要掌握利用单调性比较两个数的大小.2°注意对参数的讨论(如例4).3°在证明函数的单调性时,要灵活运用配方法、判别式法及讨论方法等.(如例5)是分层讨论,要逐步培养.6°例4.例题:已知函数f(x)对任意x,y∈R均满足:f(x+y)=f(x)+f(y);f(1)=2;当且仅当x<0时,f(x)<0,求:当-3≤x≤3时,求f(x)的最大值与最小值。
《函数》典型例题例1 下面变量之间的关系是不是函数关系?为什么?(1)矩形的面积一定,它的长与宽;(2)任意三角形的高与底;(3)矩形的周长与面积;(4)正方形的周长与面积.例2下面的表分别给出了变量x与y之间的对应关系,判断y是x的函数吗?如果不是,说明出理由.例3 判断下列关系是不是函数关系?(1)长方形的宽一定时,其长与面积;(2)等腰三角形的底边长与面积;(3)某人的年龄与身高;(4)关系式| y |=x中的y与x.例4 汽车由北京驶往相距850千米的沈阳,它的平均速度为80千米/小时,求汽车距沈阳的路程S(千米)与行驶时间t(小时)的函数关系式,写出自变量的取值范围.例5 如图,是某个篮球运动员在五场比赛中的得分情况,依据图回答:(1)该运动员第一场球得多少分;(2)哪场球得分比前一场得分少?(3)在五场比赛中最高得分是多少?最低得分是多少?(4)从这五场比赛中的得分情况分析,该运动员的竞技状态怎么样?参考答案例1 解(1)矩形的面积确定时,它的宽取一个值,就有惟一确定的y的值与宽对应,因此这是一个函数关系.(2)当一个三角形的底取一个值时,它的高并不能确定,因此“三角形的高与底”不是函数关系.(3)当矩形的周长是一个确定的值时,由于长、度不能确定,它的面积也不确定,这也不是函数关系.(4)当正方形的周长确定了,它的边长也确定,因此面积也确定,这是函数关系.例2解:(1)y是x的函数;(2)y是x的函数;(3)y不是x的函数,因为对于变量x=1,变量y有1与-1两个值与它对应;(4)y是x的函数说明:对于x的每一个值,y都有唯一的值与它对应.第四个是常数函数它符合函数的定义.例3分析:判断一个关系是不是函数关系,第一要看是不是一个变化过程;第二要看在这个变化过程中,是不是有两个变量;第三要看自变量每取一个确定值,函数是不是都有唯一确定的值与它对应.解:(1)长方形的宽一定时,其长所取的每一个确定的值,面积都有唯一确定的值与它对应,所以长与面积是函数关系.(2)因为三角形的面积受底和高两个因素的影响,当等腰三角形的底取一个定值时,它的面积又受高的影响,不能有唯一确定的值和底相对应,所以底边长与面积不是函数关系.(3)人的任意一个确定的年龄,都有唯一确定的身高与之相对应,所以某人的年龄与身高是函数关系.(4)x每取一个正值,y都有两个值与它对应,所以| y | = x不是函数关系. 说明:年龄与身高的变化不按某种规律,但某人每一个确定的年龄,必有唯一确定的身高和它相对应,因此函数关系是一定的,所以不要以为存在一定比例关系或一定规律,能用解析式表示的才是函数关系.例4 分析:北京距沈阳850千米,汽车距沈阳的路程等于全程减去已行驶的路程,已行驶的路程等于速度乘以时间. 解:85080S t =-0S t ≥⎧⎨≥⎩得850800tt -⎧⎨≥⎩850.8t ∴≤≤于是汽车距沈阳的路程S 与时间t 的函数关系式为85080S t =-,自变量t 的取值范围是850.8t ≤≤例5 解:(1)这个运动员在第一场比赛中得21分. (在场次栏中找到“1”,然后在得分栏中找到相应的得分) (2)第二场球比第一场球得分少,竞技状态趋下.(图形向下) (3)第五场比赛得分最高为36分,第一场比赛得分最低21分.(4)从这五场的比赛得分情况看,该运动员目前的竞技状态是向前发展,其趋势是良好的.(从第二场球之后图形全部向上.)说明:本题考查学生的识图能力。
2.4 反函數·例題解析【例1】求下列函數的反函數:(1)y (x )(2)y x 2x 3x (0]2=≠-.=-+,∈-∞,.352112x x -+(3)y (x 0)(4)y x +1(1x 0) (0x 1)=≤.=-≤≤-<≤112x x +⎧⎨⎪⎩⎪ 解 (1)y (x )y y (2y 3)x y 5x y (x )∵=≠-,∴≠,由=得-=--,∴=所求反函数为=≠.35211232352153253232x x x x y y y y -+-++-+- 解 (2)∵y =(x -1)2+2,x ∈(-∞,0]其值域為y ∈[2,+∞),由=-+≤,得-=-,即=-∴反函数为=-,≥.y (x 1)2(x 0)x 1x 1f (x)1(x 2)21y y x ----222解 (3)y (x 0)0y 1y x f (x)(0x 1)1∵=≤,它的值域为<≤,由=得=-,∴反函数为=-<≤.11111122x x y y x x++--- 解 (4)y (1x 0)0y 1f (x)x 1(0x 1)y (0x 1)12由=-≤≤,得值域≤≤,反函数=-≤≤.由=-<≤,x x +-1得值域-≤<,反函数=-≤<,故所求反函数为=-≤≤-≤<.1y 0f (x)(1x 0)y x 1(0x 1) x (1x 0)1222-⎧⎨⎪⎩⎪x【例2】求出下列函數的反函數,並畫出原函數与其反函數的圖像.(1)y 1(2)y 3x 2(x 0)2=-=--≤x -1解 (1)∵已知函數的定義域就是x ≥1,∴值域為y ≥-1,由=-,得反函数=++≥-.函数=-与它的反函数=++的图像如图.-所示.y 1y (x 1)1(x 1)y 1y (x 1)124122x x --11解 (2)由y =-3x 2-2(x ≤0)得值域y ≤-2, 反函数=-≤-.f (x)(x 2)1--+x 23它們的圖像如圖2.4-2所示.【例3】已知函数=≠-,≠.f(x)(x a a )3113x x a ++ (1)求它的反函數;(2)求使f -1(x)=f(x)的實數a 的值.解(1)y x a y(x a)3x 1(y 3)x 1ay y 3设=,∴≠-,∵+=+,-=-,这里≠,31x x a ++若=,则=这与已知≠矛盾,∴=,,即反函数=.y 3a a x f (x)113131313-----ay y ax x (2)f(x)f (x)x 1若=,即=对定义域内一切的值恒成立,-++--3113x x a ax x 令x =0,∴a =-3.或解 由f(x)=f -1(x),那麼函數f(x)與f -1(x)的定義域与值域相同,定義域就是{x|x ≠a,x ∈R },值域y ∈{y|y ≠3,y ∈R },∴-a =3即a =-3.【例4】已知函数==中,、、、均不为零,y f(x)a b c d ax b cx d++ 試求a 、b 、c 、d 滿足什麼條件時,它的反函數仍就是自身.解 f(x)bc ad 0f (x)x 1=+,∵常数函数没有反函数,∴-≠.又=,要使=,对定义域内一切值恒成立,a c bc ad c cx d dx b cx adx b cx a ax b cx d-+-+--+-++-()令x =0,得-a =d,即a +d =0.事實上,當a +d =0時,必有f -1(x)=f(x),因此所求的條件就是bc -ad ≠0,且a +d =0.【例5】設點M(1,2)既在函數f(x)=ax 2+b(x ≥0)的圖像上,又在它的反函數圖像上,(1)求f -1(x),(2)證明f -1(x)在其定義域內就是減函數.解证(1)2a b 14a b a b f(x)x (x 0)(2)y x (x 0)f (x)(x )221由=+=+得=-=,∴=-+≥由=-+≥得反函数=≤.⎧⎨⎩⎧⎨⎪⎪⎩⎪⎪--1373137313737373x 设<≤,∴->-≥,∴>,即>,故在-∞,上是减函数.x x 73x 73x 0f (x )f (x )f (x)(]121211121737337312-----x x x【例6】解法一若函数=,求的值.先求函数=的反函数=,于是==--.f(x)f (2)()f(x)f (x)f (2)532x x x x x x-+-++-+----121212112212111解法(二) 由函數y =f(x)與其反函數y =f -1(x)之間的一一對應關 系,求的值,就是求=时对应的的值,∴令=,得=--,即=--.f (2)f(x)2x 2x 532f (2)53211---+x x 12 【例7】已知∈,且≠,≠.设函数=∈且≠,证明=的图像关于直线=对称.a a 0a 1f(x)(x x )y f(x)y x R R x ax a --111证 y a 0a 1(ay 1)x y 1ay 10y a 1a 1由=,≠,≠,得-=-,如果-=,则=,∴=得=,这与已知≠矛盾,x ax aa x ax ----111111 ∴-≠,故=,∴=,即证得=的反函数就是它本身.ay 10x f (x)f(x)1y ay x ax x ax -------111111因為原函數的圖像與其反函數的圖像關於直線y =x 對稱, ∴函數y =f(x)的圖像關於直線y =x 對稱.。
三角函数典型例题分析目录0°~360°间的三角函数.典型例题分析 (3)弧度制.典型例题分析 (3)任意角的三角函数.典型例题分析一 (5)任意角的三角函数.典型例题精析二 (7)同角三角函数的基本关系式.典型例题分析 ............................. 诱导公式.典型例题分析............................................. 用单位圆中的线段表示三角函数值.典型例题分析 ....................... 三角公式总表....................................................... 正弦函数、余弦函数的图象和性质.典型例题分析 (28)函数y=Asin(wx+j)的图象·典型例题分析............................... 正切函数、余切函数的图象和性质·典型例题分析 ....................... 已知三角函数值求角·典型例题分析 ................................... 全章小结........................................................... 高考真题选讲.......................................................0°~360°间的三角函数·典型例题分析例1已知角α的终边经过点P(3a,-4a)(a<0,0°≤α≤360°),求解α的四个三角函数.解如图2-2:∵x=3a,y=-4a,a<0例2求315°的四个三角函数.解如图2-3,在315°角的终边上取一点P(x,y)设OP=r,作PM垂直于x轴,垂足是M,可见∠POM=45°注:对于确定的角α,三角函数值的大小与P点在角α的终边上的位置无关,如在315°的角的终边上取点Q(1,-1),计算出的结果是一样的.弧度制·典型例题分析角度与弧度的换算要熟练掌握,见下表.例2将下列各角化成2kπ+α(k∈Z,0≤α<2π)的形式,并确定其所在的象限。
智立方教育高一函数知识点及典型例题一、函数的概念与表示1、映射(1)映射:设A 、B 是两个集合,如果按照某种映射法则f ,对于集合A 中的任一个元素,在集合B 中都有唯一的元素和它对应,则这样的对应(包括集合A 、B 以及A 到B 的对应法则f )叫做集合A 到集合B 的映射,记作f :A→B. 注意点:(1)对映射定义的理解.(2)判断一个对应是映射的方法.一对多不是映射,多对一是映射 2、函数构成函数概念的三要素 ①定义域;②对应法则;③值域. 两个函数是同一个函数的条件:三要素有两个相同 例1、例2、}30|{},20|{≤≤=≤≤=y y N x x M 给出下列四个图形,其中能表示从集合M 到集合N 的函数关系的有( C )A 、 0个B 、 1个C 、 2个D 、3个由题意知:M={x|0≤x ≤2},N={y|0≤y ≤3},对于图①中,在集合M 中区间(1,2]内的元素没有象,比如f ( 3 2 )的值就不存在,所以图①不符合题意;对于图②中,对于M 中任意一个元素,N 中有唯一元素与之对应,符合函数的对应法则,故②正确; 对于图③中,对于M 中任意一个元素,N 中有唯一元素与之对应,且这种对应是一一对应,故③正确; 对于图④中,集合M 的一个元素对应N 中的两个元素.比如当x=1时,有两个y 值与之对应,不符合函数的定义,故④不正确xxxx1 2 1 1 1 2 2 2 11112 2 2 2 y y yy 3 OOOO二、函数的解析式与定义域1、求函数定义域的主要依据: (1)分式的分母不为零;(2)偶次方根的被开方数不小于零,零取零次方没有意义; (3)对数函数的真数必须大于零;(4)指数函数和对数函数的底数必须大于零且不等于1;例1、y =函数的定义域为根号下的数必须为正数,又当底数为大于0小于1的数时,只有当真数大于0小于1时,才能保证根号下的数为正数。
所以让0<4X 的平方-3X<1,解0<4X 的平方-3X 得X<0或3/4<X,解4X 的平方-3X<1得-1/4<X<1,取交集得X 的范围是《-1/4<X<0或3/4<X<1》四.函数的奇偶性1.定义: 设y=f(x),x ∈A ,如果对于任意x ∈A ,都有()()f x f x -=,则称y=f(x)为偶函数.如果对于任意x ∈A ,都有()()f x f x -=-,则称y=f(x)为奇函数.2.性质:①y=f(x)是偶函数⇔y=f(x)的图象关于y 轴对称, y=f(x)是奇函数⇔y=f(x)的图象关于原点对称, ②若函数f(x)的定义域关于原点对称,则f(0)=0 ③奇±奇=奇;偶±偶=偶;奇×奇=偶;偶×偶=偶;奇×偶=奇[两函数的定义域D 1 ,D 2,D 1∩D 2要关于原点对称] 3.奇偶性的判断①看定义域是否关于原点对称 ②看f(x)与f(-x)的关系例1.已知函数)(x f 是定义在),(∞+∞-上的偶函数. 当)0,(∞-∈x 时,4)(x x x f -=, 则当),0(∞+∈x 时,=)(x f .当x ∈(0,+∞),f(x)=-x-x^4 解:当x ∈(0,+∞),-x ∈(-∞,0),因为当x<0时,f(x)=x-x^4,所以把-x 代入这个式子中得 f(-x)=-x-(-x)^4=-x-x^4,又因为f(x)是偶函数,所以f(-x)=f(x) 于是f(x)=-x-x^4例2、已知定义域为R 的函数12()2x x bf x a+-+=+是奇函数.(Ⅰ)求,a b 的值;(Ⅱ)若对任意的t R ∈,不等式22(2)(2)0f t t f t k -+-<恒成立,求k 的取值范围.(Ⅰ)因为 f(x)是奇函数,所以f(0)=0,即(b-1)/(a+2)=0 ==>b=1 f(x)=(1-2^x)/(a+2^(x+1)) 又由f (1)= -f (-1)知a=2 (Ⅱ)解由(Ⅰ)知f(x)=(1-2^x)/(2+2^(x+1))=-1/2+1/(2^x+1) ,易知f(x) 在 正负无穷上为减函数。
函数²典型例题分析
例 1 与函数y=x表示相同函数的是 [ ]
则、值域不同,排除C.而
评注判断两个函数是否相同,要看函数的三要素:定义域,值域,对应法则.其中对应法则不能仅仅从解析式上考虑,要分析其对应法则的本质.例2 求下列函数的定义域
(5)设f(x)的定义域为[0,2],求函数f(x+a)+f(x-a)(a>0)的定义域.
∴定义域是空集,函数是虚设的函数
(2)由函数式可得
∴函数的定义域是{x|x=-1},定义域是一个孤立的点(-1,0)的横坐标(3)∵x2-4≠0
∴x≠±2
∴函数定义域为(-∞,-2)∪(-2,+2)∪(2,+∞)
(4)从函数式可知,x应满足的条件为
∴函数的定义域为
(5)∵f(x)定义域为[0,2]
所以f(x+a)+f(x-a)中x应满足
又∵a>0,若2-a≥a,则a≤1
即0<a≤1时,f(x+a)+f(x-a)的定义域为{x|a≤x≤2-a} 当a>1时,x∈
评注求f(x)的定义域就是求使函数f(x)有意义的x的取值范围,定义域表示法有:不等式法,集合法,区间表示法等.
例3 求下列函数的值域
解 (1)由原式可化为
(2)将函数变形,整理可得:
2yx2-4yx+3y-5=0
当y=0时,-5=0不可能,故y≠0
∵x∈R
∴Δ=(-4y)2-4³2y³(3y-5)≥0
即y(y-5)≤0解得0≤y≤5
而y≠0
∴0<y≤5
故函数值域为(0,5]
此二次函数对称轴为t=-1
评注求函数值域方法很多,此例仅以三个方面给出例子.学习时要分析函数式的结构特征,从而确定较简单的求值域的方法.
例4 (1)已知f(x)=x2,g(x)为一次函数,且y随x值增大而增大.若f[g(x)]=4x2-20x+25,求g(x)的解析式
解 (1)∵g(x)为一次函数,且y随x值增大而增大
故可设g(x)=ax+b(a>0)
∵f[g(x)]=4x2-20x+25
∴(ax+b)2=4x2-20x+25
即:a2x2+2abx+b2=4x2-20+25
解得 a=2,b=-5
故g(x)=2x-5
于是有t的象是t2-1,即f(t)=t2-1(t≥1)
故f(x)=x2-1(x≥1)
∴f(x+1)=(x+1)2-1=x2+2x(x≥0)
f(x2)=x4-1(x≤-1或x≥1)
评注对于(1)是用待定系数法求函数的解析式,要根据题意设出函数的形式,再利用恒等式的性质解之.求函数解析式的常用方法还有拼凑法,代换法(如(2)),解方程组等.
例5 如图1-7,灌溉渠的横断面是等腰梯形,底宽及两边坡总长度为a,边坡的倾角为60°.
(1)求横断面积y与底宽x的函数关系式;
评注本题是有关函数的实际问题,其方法是把实际问题用数学的形式表示出来,建立变量之间的函数关系.
例6 设x≥0时,f(x)=2,x<0时,f(x)=1又
解当0<x<1时,x-1<0,x-2<0
当1≤x<2时,x-1≥0,x-2<0
当x≥2时,
g(x)=2
评注分段函数关键是在x的不同条件下计算方法不同,不要认为是三个不同函数.。