武汉信息价
- 格式:xls
- 大小:42.50 KB
- 文档页数:6
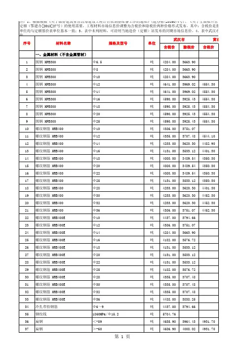
注:1、表中所列常用主要材料市场信息价均已包括运杂费、采保费(襄阳市所列常用主要材料市场信息价不含运杂费、采保费)。
2、为便于价差结算,表中所列计量单位均与定额基价表单位基本一致。
3、表中未列材料,可沿用当地造价(定额)站发布的同期市场信息价。
4、表中武汉市为2016年4月份市场信息价;黄冈、鄂州、宜昌、咸宁市为2016年3~4月份市场信息价;恩施市为2016年第2季度信息价;神农架为2016年第1季度信息价。
5、武汉市热轧碳素螺纹钢(400)抗震钢筋(带E),在表中武汉市三级螺纹钢基础上每吨加30元。
武汉历年房价变化情况研究(2007-1-12 8:55:06)武汉历年房价变化情况研究第一,从武房指数[1]看武汉房价历年变化趋势根据武房指数来看,自从2000年以来,武汉房地产市场呈现需求旺盛售价急剧上涨的特征,进入了稳定持续上涨的格局(图5)。
不排除国民经济的发展所带来的房价在一定程度上的合理上涨,但是根据武汉市土地整理储备供应中心和武汉市统计局公布的数据显示,2003年武汉平均楼面地价为每平方米1228元,同期武汉市商品房平均售价为每平方米2353元,地价房价之比为0.479:1,远远高于公认的合理标准;2004年武汉平均楼面地价为每平方米1333元,同期武汉市商品房平均售价为每平方米2668元,地价房价之比为0.472:1。
且自从实施土地招拍挂出让以来,房价爬升的斜率陡峭:2000年房价为1984元/m2,到2005年第二季度房价为3118元/m2。
武汉的现象绝非是推行土地储备制度后的个别现象,各地“地王”不断涌现,楼面地价迅速攀升,以武汉为例,土地交易单价直线上升。
中心城区的平均楼面地价2003年为12 28元/m2,2004年为1333元/m2,2005年初由于鹦鹉洲地块的带动达到了1861元/m2。
土地储备刺激地价上涨的状况愈演愈烈,房价步入只涨不跌的格局。
在房价快速上涨的同时,武汉市商品房销售则也处于供不应求的状态,中心城区和次市中心的现房楼盘销售率几乎达到100%,而外围区域的销售速度则更快,特别是一些开发水平较高的楼盘尚未竣工时就已实现100%的销售率。
销售状况的火暴给开发商和消费者良好的预期,反过来又刺激房价的上涨。
第二,从典型住宅价格指数[2]看武汉2005年房价走势(图6)2005年9月,武汉典型住宅价格为3679元/平方米,较8月上涨83元/平方米,涨幅为2.3%;“典型住宅价格指数”为3943点,较上月上涨88点,涨幅为2.28%。
2005年9月武汉市商品房备案统计数据显示,重点区域已备案项目共605个,商品房总套数为22万余套,可售8万余套。
武汉版信息技术教案四年级上一、教学内容本课的教学内容选自武汉版信息技术四年级上册第十课《用电脑画画》,主要介绍利用电脑绘图软件(如画图板)进行绘画的基本方法。
通过本课的学习,使学生掌握运用电脑绘图软件进行绘画的基本技巧,培养学生的创新意识和审美能力。
二、教学目标1. 让学生了解并掌握利用电脑绘图软件进行绘画的基本方法。
2. 培养学生运用信息技术进行创作的兴趣和能力。
3. 提高学生创新意识,培养审美情趣。
三、教学难点与重点重点:掌握利用电脑绘图软件进行绘画的基本方法。
难点:如何运用电脑绘图软件进行创新性绘画。
四、教具与学具准备教具:电脑、投影仪、绘图板、教学课件。
学具:学生自带的绘画作品、学生电脑。
五、教学过程1. 实践情景引入(5分钟)教师通过展示一些利用电脑绘图软件创作的精美画作,引起学生的兴趣,激发学生的创作欲望。
2. 基本操作讲解(10分钟)教师通过讲解和示范,向学生介绍电脑绘图软件的基本操作方法,如选择画笔、调整画笔大小、颜色等。
3. 创新性绘画实践(10分钟)学生在教师的指导下,运用所学的绘图方法进行创新性绘画。
教师在此过程中提供个别辅导,帮助学生解决绘画过程中遇到的问题。
4. 作品展示与评价(5分钟)学生将已完成的作品进行展示,相互交流评价,教师对学生的作品进行点评,给予肯定和鼓励,并提出改进意见。
5. 作业布置(5分钟)学生利用课后时间,运用电脑绘图软件进行绘画创作,可以是个人或小组合作完成。
六、板书设计板书设计如下:1. 电脑绘图软件基本操作选择画笔调整画笔大小调整画笔颜色2. 创新性绘画实践运用所学方法进行绘画教师提供个别辅导七、作业设计作业题目:利用电脑绘图软件进行绘画创作,可以是个人或小组合作完成。
答案:学生根据自己的兴趣和特长进行绘画创作,作品应具有创新性,画面美观。
八、课后反思及拓展延伸课后反思:本节课学生掌握了利用电脑绘图软件进行绘画的基本方法,能够在教师的指导下进行创新性绘画。
第11卷第9期中国水运V ol.11N o.92011年9月Chi na W at er Trans port Sept em ber 2011收稿日期:作者简介:卢连连(3),女,中交第二航务工程勘察设计院有限公司助理工程师、造价工程师。
浅谈设计阶段概算编制的方法与体会卢连连1,搢朱启2(1中交第二航务工程勘察设计院有限公司,湖北武汉430071;2武汉中交圣通勘察设计有限公司,湖北武汉430050)摘要:讨论了设计阶段造价管理的重要性,通过实例分析了设计阶段概算编制的难点,并针对如何编制好概算文件提出了几点认识。
关键词:设计阶段;概算;重要性;难点;方法;体会中图分类号:U 415.1文献标识码:A文章编号:1006-7973(2011)09-0123-02一、设计阶段造价管理工作的重要性建设工程项目的全过程大致可分为四个阶段:可行性研究阶段、初步设计阶段、施工图设计阶段和施工阶段,相对应四个阶段的投资控制值可称为:可行性研究阶段的估算、初步设计阶段的概算、施工图设计阶段预算和竣工结算。
这四个阶段对工程造价都有直接的影响,必须进行全过程的控制。
但各个阶段对工程造价的影响程度有大有小,有相关资料分析出以下表[2]。
表1各个阶段对工程造价的影响项目阶段可行性研究阶段估算初步设计阶段概算施工图设计阶段预算竣工结算影响程度30%左右70%左右30%左右5-10%左右从表中我们也可以看出,建设工程造价的关键,在于工程实施之前的设计阶段,即设计阶段影响工程造价的程度远大于工程实施阶段。
因此,在项目立项确定后控制工程造价的关键在于设计阶段。
然而,长期以来,普遍忽视设计阶段对工程造价的控制,把造价管理的主要精力放在工程实施阶段一一审核施工图预算,进行工程价款结算,算细账。
这样做尽管有一定效果,但毕竟是"亡羊补牢",事倍功半。
作为设计院从事概预算工作的一员,更应该感到设计概算的重要性。
但是做到编制出一个质量高的概算文件也不是件容易的事。
注:1、表中所列常用主要材料市场信息价均已包括运杂费、采保费(襄阳市所列常用主要材料市场信息价不含运杂费、采保费)。
2、为便于价差结算,表中所列计量单位均与定额基价表单位基本一致。
3、表中未列材料,可沿用当地造价(定额)站发布的同期市场信息价。
4、表中武汉市为2016年12月份市场信息价;黄冈、鄂州、宜昌、咸宁市为2016年9~10月份市场信息价;恩施市、神农架为2016年第3季度信息价。
5、武汉市热轧碳素螺纹钢(400)抗震钢筋(带E),在表中武汉市三级螺纹钢基础上每吨加30元。
武汉地区媒体情况简介一、报纸媒体信息白领读者比例楚天都市报楚天金报长江日报在各种职业读者中的渗透情况单位:%(一)长江报业集团1、《长江日报》(1)基本信息《长江日报》是中国中部地区发行量最大的城市综合性对开大报纸,创刊于1949年5月23日,属于中共武汉市委机关报。
从1980年评选全国好新闻以来,《长江日报》共获中国新闻奖28个,在全国城市报纸中位居前列。
中国人民大学舆论研究所对武汉地区开展的读者调查表明,读者眼中《长江日报》的独特价值主要表现在它是“一张新闻和信息较全的报纸”和“一张具有权威性的报纸”,传阅率达5.5人。
在全国副省级城市党委机关报中,《长江日报》发行量、广告额均位列前五位。
(2)价格信息2、《武汉晚报》(1)基本信息《武汉晚报》创刊于1961年2004年4月,总发行量已经超过100万份。
从读者的职位结构来看,《武汉晚报》读者中7.4%为党政官员,16.7%为专业技术人员,14.8%为企业或公司管理人员,《武汉晚报》读者的平均月收入为1047元,家庭平均收入为2199元,高于武汉市居民总体收入水平,为武汉媒体之首。
从读者年龄结构来看,20-45岁群体占70.7%,自费连续定报5年以上者达到73%,连续定报10年以上者达到27%。
(2)价格信息(3)折扣信息Ⅰ半版广告价格一般为72000元,折后价2万多元Ⅱ头版广告6折Ⅲ 2版和32版广告5折Ⅳ其他广告4折Ⅴ周四《广厦》专刊40000元/半版(铜版纸)3、《武汉晨报》(1)基本信息《武汉晨报》创刊于1999年,是长江日报集团下属的一份城市综合性日报,发行地区集中在武汉市。
2005年《武汉晨报》明确提出以本土新闻为核心,以经济新闻和教育新闻为特色,以各类周刊为独有色彩,致力于打造江城“第一创富顾问”、“第一教育宝典”。
其办报理念为:关注民生、反映社情、坚守正义、满足需求。
目标读者为:有一定文化素养、有一定消费能力、有一定社会话语权的都市主流人群,他们主要包括:公务人员、法律工作者、教育工作者、医务工作者、技术人员、个体私营业主、工商管理和服务人员、产业工人等社会中坚分子。
湖北省医疗机构制剂价格管理规定武汉市价格信息网The pony was revised in January 2021湖北省医疗机构制剂价格管理办法第一条为了加强医疗机构制剂价格管理,维护人民身体健康和用药的合法权益,根据《价格法》、《药品管理法》和《政府制定价格行为规则》及《湖北省定价目录》等法律、法规规定,制定本办法。
第二条在本省行政区域内的医疗机构,必须遵守本办法规定。
第三条本办法所称医疗机构,是指依据《医疗机构管理条例》和《医疗机构管理条例实施细则》的规定,经登记取得《医疗机构执业许可证》的机构;本办法所称医疗机构制剂,是指医疗机构根据本单位临床需要经批准而配制、自用的固定处方制剂。
第四条医疗机构制剂价格统一实行政府指导价,由省政府价格主管部门统一管理。
价格主管部门对医疗机构制剂制定最高零售价格,医疗机构可在不超过规定最高零售价格前提下自行作价销售。
省管医疗机构(具体名单见附件一)制剂最高零售价格,由省政府价格主管部门直接管理。
其他医疗机构制剂最高零售价格授权市(州)价格主管部门按照省政府价格主管部门制定的医疗机构制剂价格管理办法管理。
第五条医疗机构向价格主管部门提出自配药物制剂定调价格申请,必须具备以下条件: (一)自配药物制剂的生产单位必须具有省级药监部门或军队相关部门核发的《医疗机构制剂许可证》。
(二) 省级药监部门或军队相关部门核发的制剂生产批件及批准文号。
凡不具备上述条件的,各级价格主管部门一律不得审批价格。
第六条医疗机构制剂最高零售价格按保本微利原则制定或调整。
代表品最高零售价格计算公式为:最高零售价格=制造成本×(1+成本利润率)其中:(一)制造成本=材料费+包装费+综合费用1、材料费:指制剂投料中的原料、辅料等项的合计费用。
原材料损耗率:中药最高不超过20%;化学药品和生物制品等最高不超过5%,原材料的实际用量在规定损耗率的范围内据实计算。
2、包装费:指制剂内外使用的各种包装费用。