量子力学——第五章作业参考答案
- 格式:pdf
- 大小:73.52 KB
- 文档页数:2
量子力学习题及解答第一章 量子理论基础1.1 由黑体辐射公式导出维恩位移定律:能量密度极大值所对应的波长m λ与温度T 成反比,即m λ T=b (常量);并近似计算b 的数值,准确到二位有效数字。
解 根据普朗克的黑体辐射公式dv e chv d kThv v v 11833-⋅=πρ, (1)以及 c v =λ, (2)λρρd dv v v -=, (3)有,118)()(5-⋅=⋅=⎪⎭⎫ ⎝⎛-=-=kThc v v ehc cd c d d dv λλλπλλρλλλρλρρ这里的λρ的物理意义是黑体内波长介于λ与λ+d λ之间的辐射能量密度。
本题关注的是λ取何值时,λρ取得极大值,因此,就得要求λρ 对λ的一阶导数为零,由此可求得相应的λ的值,记作m λ。
但要注意的是,还需要验证λρ对λ的二阶导数在m λ处的取值是否小于零,如果小于零,那么前面求得的m λ就是要求的,具体如下:01151186'=⎪⎪⎪⎭⎫⎝⎛-⋅+--⋅=-kT hc kThce kT hc ehcλλλλλπρ⇒ 0115=-⋅+--kThc ekThcλλ⇒ kThcekThc λλ=--)1(5 如果令x=kThcλ ,则上述方程为 x e x =--)1(5这是一个超越方程。
首先,易知此方程有解:x=0,但经过验证,此解是平庸的;另外的一个解可以通过逐步近似法或者数值计算法获得:x=4.97,经过验证,此解正是所要求的,这样则有xkhc T m =λ 把x 以及三个物理常量代入到上式便知K m T m ⋅⨯=-3109.2λ这便是维恩位移定律。
据此,我们知识物体温度升高的话,辐射的能量分布的峰值向较短波长方面移动,这样便会根据热物体(如遥远星体)的发光颜色来判定温度的高低。
1.2 在0K 附近,钠的价电子能量约为3eV ,求其德布罗意波长。
解 根据德布罗意波粒二象性的关系,可知E=hv ,λh P =如果所考虑的粒子是非相对论性的电子(2c E e μ<<动),那么ep E μ22= 如果我们考察的是相对性的光子,那么E=pc注意到本题所考虑的钠的价电子的动能仅为3eV ,远远小于电子的质量与光速平方的乘积,即eV 61051.0⨯,因此利用非相对论性的电子的能量——动量关系式,这样,便有ph=λnmm m E c hc E h e e 71.01071.031051.021024.1229662=⨯=⨯⨯⨯⨯===--μμ在这里,利用了m eV hc ⋅⨯=-61024.1以及eV c e 621051.0⨯=μ最后,对Ec hc e 22μλ=作一点讨论,从上式可以看出,当粒子的质量越大时,这个粒子的波长就越短,因而这个粒子的波动性较弱,而粒子性较强;同样的,当粒子的动能越大时,这个粒子的波长就越短,因而这个粒子的波动性较弱,而粒子性较强,由于宏观世界的物体质量普遍很大,因而波动性极弱,显现出来的都是粒子性,这种波粒二象性,从某种子意义来说,只有在微观世界才能显现。
量子力学基础教程答案【篇一:量子力学课后答案】class=txt>????? 第一章绪论第二章波函数和薛定谔方程第三章力学量的算符表示第四章态和力学量的表象第五章微扰理论第六章弹性散射第七章自旋和全同粒子?301.1.由黑体辐射公式导出维恩位移定律:?mt?b,b?2.9?10m?c。
证明:由普朗克黑体辐射公式:8?h?31 ??d??d?, h3c ekt?1c c及??、d???2d?得?? 8?hc1?? ?5,hc?e?kt?1 d?hc令x?,再由??0,得?.所满足的超越方程为 ?d? ktxex 5?x e?1 hc x?4.97,即得用图解法求得?4.97,将数据代入求得?mt?b,b?2.9?10?3m?0c ?mkt1.2.在0k附近,钠的价电子能量约为3ev,求de broglie波长.0hh?10解:? ???7.09?10m?7.09a p2me # 3e?kt,求t?1k时氦原子的de broglie波长。
1.3. 氦原子的动能为 2h0hh?10??12.63?10m?12.63a 解:? ??p2me3mkt ?23?1其中m?4.003?1.66?10?27kg,k?1.38?10j?k # 1.4利用玻尔—索末菲量子化条件,求:(1)一维谐振子的能量。
(2)在均匀磁场中作圆周运动的电子的轨道半径。
绪论第一章b?10t,玻尔磁子?b?0.923?10?23j?t?1,求动能的量子化间隔?e,并与t?4k及已知外磁场t?100k 的热运动能量相比较。
p21解:(1)方法1:谐振子的能量e????2q2 2?2p2q2可以化为??1 22 ?2e?2e? ????2???2e 的平面运动,轨道为椭圆,两半轴分别为a?2?e,b?,相空间面积为 2 ??2?eepdq??ab???nh,n?0,1,2,? ?? e?nh?,n?0,1,2,? 所以,能量方法2:一维谐振子的运动方程为q????2q?0,其解为q?asin??t??? 速度为 q??a?cos??t???,动量为p??q??a??cos??t???,则相积分为 2222tta??a??t222pdq? a??cos??t???dt?(1?cos??t???)dt??nh,n?0,1,2,? 002222a??nh e???nh?,n?0,1,2,? 2t 2?v?v evb?(2)设磁场垂直于电子运动方向,受洛仑兹力作用作匀速圆周运动。
第五章全同粒子本章主要内容概要1. 全同粒子:质量、电荷、自旋等固有性质完全相同的微观粒子称为全同粒子。
在一个量子体系中全同粒子是不可区分的,两全同粒子相互交换不会引起物理性质的改变(全同性原理)。
所有的微观粒子可以分为两类:波色子和费米子。
所有自旋为 整数倍的粒子称为波色子,而所有自旋为/2 奇数倍的粒子称为费米子。
由费米子组成的量子体系,不能有两个或两个以上的费米子处于同一个状态(泡利不相容原理),体系的波函数在交换任意两个费米子时是反对称的。
对由波色子组成的量子体系,则不受泡利不相容原理的限制,两个或两个以上的波色子可以处于同一个状态,体系的波函数在交换任意两个波色子时是对称的。
如果体系的波函数可以由归一化的单粒子波函数()i q αφ的积表示,其中i 表示不同的单粒子态,q α表示第α个粒子的量子数(包括空间与自旋),则由N 个费米子组成体系的反对称波函数可以用N 阶行列式表示为12121212()()()()()()(,,...,,...,)()()()i i i N j j j N A N k k k N q q q q q q q q q q q q q αφφφφφφΦ=交换任何两个粒子就是交换行列式中的两列,这使行列式改变符号,即波函数A Φ在交换两粒子时是反对称的。
当任两粒子处于相同状态,即行列式中两行相同,行列式为零,表示不能有两个或两个以上的费米子处于同一个状态。
对由N 个波色子组成的体系,体系的对称波函数可以表示为 1212(,,...,,...,)()()...()A N i j k N Pq q q q C P q q q αφφφΦ=∑其中P 表示N 个粒子在波函数中的某一种排列,P∑表示对所有可能排列求和,由于波色子可以处于相同的状态,,,...,i j k 可以相等,C 是归一化常数为求和的项数,,,...,i j k 完全相等时为1,全不相等时为1/2.交换力:以两粒子体系为例,若体系的波函数可以表示为空间部分和自旋部分之积,对称和反对称的空间波函数为121212(,)()()()()]a b b a x x x x x x ψψψψψ±=±这种波函数对称化的要求会使两粒子间出现一种力的作用,称为交换力。
5.1 如果类氢原子的核不是点电荷,而是半径为0r 、电荷均匀分布的小球,计算这种效应对类氢原子基态能量的一级修正。
解:这种分布只对0r r <的区域有影响,对0r r ≥的区域无影响。
据题意知)()(ˆ0r U r U H -=' 其中)(0r U 是不考虑这种效应的势能分布,即 rze r U 024πε-=)()(r U 为考虑这种效应后的势能分布,在0r r ≥区域,rZe r U 024)(πε-=在0r r <区域,)(r U 可由下式得出,⎰∞-=rE d rer U )( ⎪⎪⎩⎪⎪⎨⎧≥≤=⋅⋅=)( 4 )( ,434410200300330420r r r Ze r r r r Ze r r Ze r E πεπεπππε⎰⎰∞--=0)(r r rEdr e Edr er U⎰⎰∞--=002023002144r r rdr r Ze rdr r Ze πεπε)3(84)(82203020*********r r r Ze r Ze r r r Ze --=---=πεπεπε )( 0r r ≤⎪⎩⎪⎨⎧≥≤+--=-=')( 0 )( 4)3(8)()(ˆ000222030020r r r r r Ze r r r Ze r U r U H πεπε由于0r 很小,所以)(2ˆˆ022)0(r U H H+∇-=<<'μ,可视为一种微扰,由它引起的一级修正为(基态r a Ze a Z 02/1303)0(1)(-=πψ) ⎰∞'=τψψd H E )0(1*)0(1)1(1ˆ ⎰-+--=0002202220302334]4)3(8[r r a Zdr r e r Ze r r r Ze a Z ππεπεπ ∴0a r <<,故102≈-r a Ze 。
∴ ⎰⎰+--=0302404220330024)1(1)3(2r r r d ra e Z dr r r r r a e Z Eπεπε2030024505030300242)5(2r a e Z r r r a e Z πεπε+--= 23002410r a e Z πε= 2032452r a e Z s = 5.2 转动惯量为I 、电偶极矩为D 的空间转子处在均匀电场在ε中,如果电场较小,用微扰法求转子基态能量的二级修正。
第五章: 对称性及守恒定律[1]证明力学量Aˆ(不显含t )的平均值对时间的二次微商为: ]ˆ],ˆ,ˆ[[222H H A A dtd -= (H ˆ是哈密顿量) (解)根据力学量平均值的时间导数公式,若力学量Aˆ 不显含t ,有]ˆ,ˆ[1H A i dt A d= (1) 将前式对时间求导,将等号右方看成为另一力学量]ˆ,ˆ[1H A i的平均值,则有: ]ˆ],ˆ,ˆ[[1]ˆ],ˆ,ˆ[1[1222H H A H H A i i dt A d -== (2) 此式遍乘2即得待证式。
[2]证明,在不连续谱的能量本征态(束缚定态)下,不显含t 的物理量对时间t 的导数的平均值等于零。
(证明)设Aˆ是个不含t 的物理量,ψ是能量H ˆ的公立的本征态之一,求A ˆ在ψ态中的平均值,有:⎰⎰⎰=ττψψd AA ˆ*将此平均值求时间导数,可得以下式(推导见课本§5.1)(1) 今ψ代表Hˆ的本征态,故ψ满足本征方程式 ψψE H=ˆ (E 为本征值) (2) 又因为Hˆ是厄密算符,按定义有下式(ψ需要是束缚态,这样下述积公存在) τψψτψψτd AHd A H ⎰⎰⎰⎰⎰⎰=)ˆ(*)ˆ()~(ˆ* (3)(题中说力学量导数的平均值,与平均值的导数指同一量)(2)(3)代入(1)得:τψψτψψd A H id H A i dt A d )ˆ(*)ˆ(1)ˆ(ˆ*1⎰⎰⎰⎰⎰⎰-= ⎰⎰⎰⎰⎰⎰-=τψψτψψd A iE d A i E ˆ**ˆ* 因*E E =,而0=dtAd[3]设粒子的哈密顿量为 )(2ˆˆ2r V p H +=μ。
(1) 证明V r p p r dtd ∀⋅-=⋅μ/)(2。
(2) 证明:对于定态 V r T ∀⋅=2(证明)(1)z y x p z p y p xp r ˆˆˆˆˆˆ++=⋅,运用力学量平均值导数公式,以及对易算符的公配律: ]ˆ,ˆˆ[1)ˆˆ(H p r i p rdt d⋅=⋅)],,(ˆ21,ˆˆˆˆˆˆ[]ˆ,ˆˆ[2z y x V pp z p y p x H p r z y x +++=⋅μ)],,()ˆˆˆ(21,ˆˆˆˆˆˆ[222z y x V p p p p z p y p xz y x z y x +++++=μ)],,(,[21],ˆˆˆˆˆˆ[222z y x V zp yp xp p p p p z p y p xz y x z y x z y x +++++++=μ(2) 分动量算符仅与一个座标有关,例如xi p x ∂∂= ,而不同座标的算符相对易,因此(2)式可简化成:]ˆ,ˆˆ[21]ˆ,ˆˆ[21]ˆ,ˆˆ[21]ˆ,ˆˆ[222z z y y x x p p z p p y p p x H p rμμμ++=⋅ )],,(,ˆˆˆˆˆˆ[z y x V p z p y p xz y x +++ ],ˆˆ[],ˆˆ[],ˆˆ[]ˆ,ˆˆ[21]ˆ,ˆˆ[21]ˆ,ˆˆ[21222V p z V p y V p xp p z p p y p p x z y x z z y y x x +++++=μμμ (3)前式是轮换对称式,其中对易算符可展开如下:x x x x p x pp x p p x ˆˆˆˆˆ]ˆ,ˆˆ[232-= x x x x x x p x p p x p p x p p x ˆˆˆˆˆˆˆˆˆˆˆ2223-+-= x x x x x p p x pp p x ˆ]ˆ,ˆ[ˆˆ]ˆ,ˆ[2+= 222ˆ2ˆˆx x x pi p i p i =+= (4) ],ˆ[ˆˆˆˆˆˆˆˆˆˆˆˆˆ],ˆˆ[V p x p V x V p x p x V V p x V p xx x x x x x =-=-= xV x i ∂∂=ˆˆ (5) 将(4)(5)代入(3),得:}{)ˆˆˆ(]ˆ,ˆˆ[222zV z y V y x V x i p p p i H p rz y x ∂∂+∂∂+∂∂+++=⋅ μ }ˆ{2V r pi ∀⋅+=μ代入(1),证得题给公式:V r pp r dt d ∀⋅-=⋅ μ2ˆ)( (6)(2)在定态ψ之下求不显含时间t 的力学量Aˆ的平均值,按前述习题2的结论,其 结果是零,令p r Aˆˆˆ ⋅= 则0)ˆˆ(*2=∀⋅-=⋅=⋅⎰⎰⎰V r p d p r p r dt d τμτψψ (7) 但动能平均值 μτψμψτ22ˆ*22p d p T =≡⎰⎰⎰由前式 V r T ∀⋅⋅=21[4]设粒子的势场),,(z y x V 是z y x ,,的n 次齐次式证明维里定理(Virial theorem )式中V是势能,T是动能,并应用于特例:(1)谐振子 T V = (2)库仑场 T V 2-=(3)T V n Cr V n 2,==(解)先证明维里定理:假设粒子所在的势场是直角坐标),,(z y x 的n 次齐次式,则不论n 是正、负数,势场用直角痤标表示的函数,可以表示为以下形式,式中V假定是有理函数(若是无理式,也可展开成级数):∑=ijkkj i ijk z y x C z y x V ),,( (1)此处的k j i ,,暂设是正或负的整数,它们满足:n k j i =++ (定数)ijk C 是展开式系数,该求和式可设为有限项,即多项式。
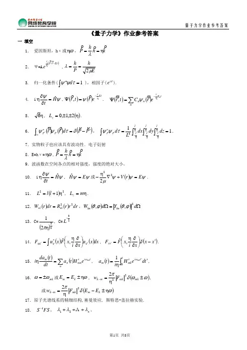
《量子力学》作业参考答案一 填空1. 爱因斯坦,h ν或ω ,k n h P==λ2. Ψ=A ()Et r P i e-⋅,Eh Ph μλ2==3. 归一化条件(⎰=∙1τψψd ),相因子(δi e ).4. i ψψH t ˆ=∂∂ ,()()Et i e r t r -=ψψ,. ()()∑-=ψntE in n n e r C t r ψ, 5. 6, () 2,1,0±±=z L .6. ()()()P P d r r P P '-=⎰∞*'δτψψ, 112222223==⎰⎰⎰⎰---*l l l l l l P P dz dy dx L d τψψ.7.实物粒子也应该具有波动性.电子衍射8.E=h ν=ω ,k n h P==λ9.波函数在空间各点的相对强度,强度的绝对大小。
10. i ψψH t ˆ=∂∂ , ψψE H =ˆ或()ψψψμE r V =+∇-222 . 11. ()221 +=l l L , m L z =.12.()()dr r r R dr r W nl nl 22=,()()Ω=Ωd Y d W lm lm 2,,ϕθϕθ13.C=()2321π, C=23-L14.()()dx x u x i x Fx u F q q q q ⎰'*'⎪⎭⎫ ⎝⎛∂∂= ,ˆ, ()x x x i x F F x x '-⎪⎭⎫ ⎝⎛∂∂='δ ,ˆ. 15.()()ti nmn n m mn e H t a dt t da i ω∑'= , ()⎰''='t t i mk m t d e H i t a mk 01ω , 16.mk ωω±=或ω ±=k m E E , ()ωωδπ±=-mk mk m k F w 222, 或()ωδπ±-=-k m mk m k E E F w 22 17.原子光谱线系的精细结构,塞曼效应, 斯特思-盖拉赫实验. 18. FS S 1-, n λλλ+++ 21,19. mk A , ()mk mk B I ω,20. ⎥⎦⎤⎢⎣⎡01ψ, ⎥⎦⎤⎢⎣⎡20ψ,21. ;j j ,j ,jj j j 2121211--++= 21m m m +=;22.由全同粒子构成的体系中,任意两粒子的交换,不引起体系状态的改变;全同粒子体系的波函数,具有确定的交换对称性,且这种交换对称性不随时间改变。
第五章思考题5.1 虚功原理中的“虚功”二字作何解释?用虚功原理理解平衡问题,有何优点和缺点?5.2为什么在拉格朗日方程中,不包含约束反作用力?又广义坐标与广义力的含义如a何?我们根据什么关系由一个量的量纲定出另一个量的量纲?5.3广义动量p a和广义速度q a是不是只相差一个乘数m?为什么p a比q a更富有意义?5.4既然T是广义动量,那么根据动量定理,d T是否应等于广义力?为什么q a dt q a在拉格朗日方程5.3.14 式中多出了T项?你能说出它的物理意义和所代表的物理量q a吗?5.5为什么在拉格朗日方程只适用于完整系?如为不完整系,能否由式 5.3.13得出式5.3.14?5.6平衡位置附近的小振动的性质,由什么来决定?为什么2 s2个常数只有 2 s个是独立的?5.7什么叫简正坐标?怎样去找?它的数目和力学体系的自由度之间有何关系又每一简正坐标将作怎样的运动?5.8多自由度力学体系如果还有阻尼力,那么它们在平衡位置附近的运动和无阻尼时有何不同?能否列出它们的微分方程?5.9dL 和dL有何区别?L 和L有何区别?q a q a5.10哈密顿正则方程能适用于不完整系吗?为什么?能适用于非保守系吗?为什么?5.11哈密顿函数在什么情况下是整数?在什么情况下是总能量?试祥加讨论,有无是总能量而不为常数的情况?5.12何谓泊松括号与泊松定理?泊松定理在实际上的功用如何?5.13哈密顿原理是用什么方法运动规律的?为什么变分符号可置于积分号内也可移到积分号外?又全变分符号能否这样?5.14正则变换的目的及功用何在?又正则变换的关键何在?5.15哈密顿 - 雅可比理论的目的何在?试简述次理论解题时所应用的步骤.5.16正则方程5.5.15与 5.10.10及5.10.11之间关系如何?我们能否用一正则变换由前者得出后者?5.17在研究机械运动的力学中,刘维定理能否发挥作用?何故?5.18 分析力学学完后,请把本章中的方程和原理与牛顿运动定律相比较,并加以评价.第五章思考题解答5.1 答:作 .用于质点上的力在任意虚位移中做的功即为虚功,而虚位移是假想的、符合约束的、无限小的 .即时位置变更,故虚功也是假想的、符合约束的、无限小的.且与过程无关的功,它与真实的功完全是两回事.从W F i r i可知:虚功与选用的坐标系无关,这i正是虚功与过程无关的反映;虚功对各虚位移中的功是线性迭加,虚功对应于虚位移的一次变分 .在虚功的计算中应注意:在任意虚过程中假定隔离保持不变,这是虚位移无限小性的结果 .虚功原理给出受约束质点系的平衡条件,比静力学给出的刚体平衡条件有更普遍的意义;再者,考虑到非惯性系中惯性力的虚功,利用虚功原理还可解决动力学问题,这是刚体力学的平衡条件无法比拟的;另外,利用虚功原理解理想约束下的质点系的平衡问题时,由于约束反力自动消去,可简便地球的平衡条件;最后又有广义坐标和广义力的引入得到广义虚位移原理,使之在非纯力学体系也能应用,增加了其普适性及使用过程中的灵活性.由于虚功方程中不含约束反力 .故不能求出约束反力,这是虚功原理的缺点.但利用虚功原理并不是不能求出约束反力,一般如下两种方法:当刚体受到的主动力为已知时,解除某约束或某一方向的约束代之以约束反力;再者,利用拉格朗日方程未定乘数法,景观比较麻烦,但能同时求出平衡条件和约束反力.5.2 答因拉格朗日方程是从虚功原理推出的,而徐公原理只适用于具有理想约束的力学体系虚功方程中不含约束反力,故拉格朗日方程也只适用于具有理想约束下的力学体系,不含约束力;再者拉格朗日方程是从力学体系动能改变的观点讨论体系的运动,而约束反作用力不能改变体系的动能,故不含约束反作用力,最后,几何约束下的力学体系其广义坐标数等于体系的自由度数,而几何约束限制力学体系的自由运动,使其自由度减小,这表明约束反作用力不对应有独立的广义坐标,故不含约束反作用力.这里讨论的是完整系的拉格朗日方程,对受有几何约束的力学体系既非完整系,则必须借助拉格朗日未定乘数法对拉格朗日方程进行修正 .广义坐标市确定质点或质点系完整的独立坐标,它不一定是长度,可以是角度或其他物理量,如面积、体积、电极化强度、磁化强度等.显然广义坐标不一定是长度的量纲.在完整约束下,广义坐标数等于力学体系的自由度数;广义力明威力实际上不一定有力的量纲可以是力也可以是力矩或其他物理量,如压强、场强等等,广义力还可以理解为;若让广义力对应的广义坐标作单位值的改变,且其余广义坐标不变,则广义力的数值等于外力的功由nsi 1F i r i1qW 知,q 有功的量纲,据此关系已知其中一个量的量纲则可得到另一个量的量纲 .若 q 是长度,则一定是力,若是力矩,则 q 一定是角度,若 q 是体积,则 一定是压强等 .5.3答p 与 q 不一定只相差一个常数m ,这要由问题的性质、坐标系的选取形式及广义坐标的选用而定。
量子力学课后习题详解 第五章 微扰理论5.1 如果类氢原子的核不是点电荷,而是半径为0r 、电荷均匀分布的小球,计算这种效应对类氢原子基态能量的一级修正。
解:类氢原子如果核是点电荷,核外电子运动的哈密顿量为00ˆˆ()H T U r =+ 其中,)(0r U 为点电荷库伦势的势能,即2004ze U r rπε=-()在小球核电荷分布情况下,核外电子运动的哈密顿量为ˆˆ()HT U r =+ 球对称核电荷分布只对0r r <的区域有影响,对0r r ≥的区域无影响,即在0r r ≥区域, 200()()4Ze U r U r r πε=-=在0r r <区域,)(r U 可由下式得出,⎰∞-=r Edr e r U )(⎪⎪⎩⎪⎪⎨⎧≥≤=⋅⋅=)( 4 )( ,4344102003003303420r r r Ze r r r r Ze r r Ze r E πεπεπππε⎰⎰∞--=0)(r r rEdr e Edr e r U⎰⎰∞--=002023002144r r rdr r Ze rdr r Ze πεπε)3(84)(82203020022203002r r r Ze r Ze r r r Ze --=---=πεπεπε )( 0r r ≤ 将哈密顿算符形式改写为 0ˆˆˆHH H '=+得 ⎪⎩⎪⎨⎧≥≤+--=-=')( 0 )( 4)3(8)()(ˆ000222030020r r r r r Ze r r r Ze r U r U H πεπε 由于通常0r 相对于电子的典型(平均)运动半径(玻尔半径)很小,所以,可以认为(0)ˆˆHH '<<,视为一种微扰。
对于基态r a Ze a Z 02/1303)0(1)(-=πψ,2422(0)1222e s s m Z e Z e E a =-=-由ˆH '引起的一级修正为 ⎰∞'=τψψd H E )0(1*)0(1)1(1ˆ ⎰-+--=0002202220302334]4)3(8[r r a Zdr r e r Ze r r r Ze a Z ππεπεπ 由于 00r r a ≤<<,故102≈-r a Ze 。
量子力学导论第5章答案第五章力学量随时间的变化与对称性5.1)设力学量不显含,为本体系的Hamilton量,证明证.若力学量不显含,则有,令则,5.2)设力学量不显含,证明束缚定态,证:束缚定态为::。
在束缚定态,有。
其复共轭为。
5.3)表示沿方向平移距离算符.证明下列形式波函数(Bloch波函数),是的本征态,相应的本征值为证:,证毕。
5.4)设表示的本征态(本征值为),证明是角动量沿空间方向的分量的本征态。
证:算符相当于将体系绕轴转角,算符相当于将体系绕轴转角,原为的本征态,本征值为,经过两次转动,固定于体系的坐标系(即随体系一起转动的坐标系)的轴(开始时和实验室轴重合)已转到实验室坐标系的方向,即方向,变成了,即变成了的本征态。
本征值是状态的物理属性,不受坐标变换的影响,故仍为。
(还有解法二,参钱..《剖析》.P327)5.5)设Hamilton量。
证明下列求和规则。
是的一个分量,是对一切定态求和,是相应于态的能量本征值。
证:()又。
不难得出,对于分量,亦有同样的结论,证毕。
5.6)设为厄米算符,证明能量表象中求和规则为(1)证:式(1)左端(2)计算中用到了公式。
由于是厄米算符,有下列算符关系:(3)式(2)取共轭,得到(4)结合式(2)和(4),得证毕。
5.7)证明schrödinger方程变换在Galileo变换下的不变性,即设惯性参照系的速度相对于惯性参照系运动(沿轴方向),空间任何一点两个参照系中的坐标满足下列关系:。
(1)势能在两个参照系中的表示式有下列关系(2)证明schrödinger方程在参照系中表为在参照系中表为其中证:由波函数的统计解释,和的意义完全相同。
,是时刻在点找到粒子的几率密度;,是时刻在点找到粒子的几率密度。
但是在给定时刻,给定地点发现粒子的几率应与参照系的选择无关,所以相应的几率应相等,即(6)从(1)式有(6’)由此可以得出,和两个波函数彼此只应差绝对值为1的相因子,所以(7)(7)由(1)式,,(3)式变为:(8)将(7’)代入(8)式,可得(9)选择适当的,使得(9)(4)。
5-1.点阵气体。
设有N 0个点阵位置,其上可以有一个或没有原子。
若N 个原子随机分布于点阵位置上(N ≦N 0),求简并函数(即可实现状态数)。
分别讨论原子可分区与不可分区的情况。
解:当原子可区分时,简并函数相当于从N 0个点阵位置中取N 个作排列,其数目为: )!(!)1)...(2)(1(000000N N N N N N N N -=+---=Ω当原子不可区分时,相当于从N 0个点阵位置中取N 个作组合,其数目为: !)!(!00N N N N -=Ω5-3.在容积V 中,若一个粒子的能量E 与动量P 的关系为cP E = (c 为光速) 求该粒子在能量E ~dE E +范围内的可实现状态数dE E )(Ω。
解:考虑到自由粒子在体积V (设边长为L 的立方体)中时,动量本征值为Lnh P i =于是2221/22221/22()(),,,0,1,2x y z x y z x y z E cP c P P P c n n n Ln n n π==++=⋅++=±±又 E ω= 所以有: 2n cωπ=当能量小于E 时的状态数显然为球体积,即3max 34)(x n E πφ=而max2x c n ωπ=于是33332(4()623)E c c ωπϕπωπ== 3223()2d d d d d cϕωωωωωωπΩ== 由于对给定动量,以光速运动的粒子还有两个偏振态。
则有:ωωπωωΩd cV d 232)(=5-10.一系统由N 个近独立粒子组成,每个粒子可处于能量为0和ε的能态之一,ε>0。
求此体系的平均能量表达式,并证明:温度很高时(KT>>ε), C V ∝T -2;温度很低时(KT<<ε),C V →0。
解:βεβ-+=∂-==e Z N NU U 1单5-13.某系统具有两个单粒子能级,能量分别为0和ε,每个能级上最多可占有一个粒子。