分式方程纯计算题50道教学内容
- 格式:doc
- 大小:176.50 KB
- 文档页数:4
分式方程50题一.解答题(共50小题)1.解分式方程(1);(2).2.解方程:(1)=;(2)﹣1=.3.解方程:(1)=;(2)=0.4.解分式方程:.5.(1)计算:•(1﹣);(2)解方程:=1﹣.6.解方程:(1)=;(2)=1.7.解方程:.8.解分式方程:.9.解方程:.10.解方程:=4.11.解方程:﹣=1.12.解方程:.13.解分式方程:﹣1=14.解分式方程:=1﹣.15.解方程+1=.16.解方程:.17.解分式方程:=0.18.解分式方程:(1)=;(2)=﹣2.19.解方程:=+1.20.解方程:(1)=;(2)﹣3=.21.解分式方程:﹣=1.22.解下列分式方程:(1)(2)23.解分式方程:(1)=;(2)﹣1=.24.解方程:﹣1=.25.解方程或方程组:(1);(2)+=.(1)+=0;(2)﹣=1.27.解方程或方程组:(1);(2).28.解分式方程:+1=﹣.29.(1)解二元一次方程组;(2)解分式方程=+1.30.解下列方程(组):(1)=;(2).31.解下列方程(组):(1);(2)+=1.32.解下列方程(组):(1);(2)=﹣5.33.解方程(组):(1);(2)+2=.34.解方程(组):(1);(2)=﹣.(1)=1+;(2).36.解分式方程:.37.解方程:﹣1=.38.解方程:=1.39.解方程或解方程组(1);(2)﹣2=.40.解方程:﹣=1.41.解方程:=.42.解方程:﹣=0.43.解分式方程:﹣=.44.解方程:(1)=0;(2)=1.45.解方程:.46.解方程:=2.47.解方程:(1)=;(2).48.解方程:(1)=﹣;(2)1﹣=.49.解下列方程:(1);(2).50.解方程:(1);(2)=1.。
解分式方程专项练习 200题(有答案)(8)(4) +2=_-(9)A 】1 J-24时1 ~ 1x-1x 2-l(5)(10)=0.(11) —La - 1 x+1 辽2 — ]JL 』咒 (13)- +3=—X-22-X(19)'; -一=一 =1覆-2 x 2 - 4(12)(X-L )(x-2)^FT =1'二 + = 6 时 1 K - 1x 2-l(14)(15)(20)(18)5a- 4x _ 2 3x _ 6(21)3K__2K_2K-541=0(26)s-i_ ie xH 工+i /_]-疋_](22)$亠一X_1x2-l(24)4 .5 _ 10-I2.3丈K+1(29)(30) - 1 =1 .工―1 F-1(31)x-5 5-x 2 (32)LR「"33)—匚■. - :: 24 _ SX£+2I x2 - 4(38) (36)(47)1 - it 7^21=12(43)''K- 1(48)□ 1(49)d l . ■-'(45)—£ 一X 工一(50)(56) ■12K- 4 y-2 2(57)2 12(58)(54)(55)^-4_2x+5 _JL2K- 4=3x - 6 1丄+ .2 :=1/-9+!- x s+3(61)(67) (65) (70)(76)(73)(72) (79)(77)-2-2K(75)(81)(82)2_361+lT 1 - K*\2-l(88)(84)x+2_ 16H+2x - 2 s£ - 4(89)(85)x _37^2(90)K - 2x+2丄丄3 ___________(97) •;(91)—x-1_2_=1x+1(94)(95)5 工一4 4 英+10x - 2 =3K -6x+1K-l x2=1;(100)对4x+1(92)(101)(x-D (x+2) _ 7^1=° 1 _ 2 :-_ x+1 1 - z| p-i(106) (104) (102) (103)2x+l 对L(108)工+22+K(109)(105)(iii )二j 一二一L 一2X-11-2X(116) ■'■ - 1- _ ■况 T?-1盘 _ ]g _________ 3_亠(耳+2) ( x _ 1) x _ 1(113) - - -■ -=1 .a_ 1a £-2a+l am 9 I 7 m 2 一 3+7m 15(115)(112) (117)(114)汀3- 4 S 2-6H9 点 5(119)(121)- - __ ;K+33 _ - 9(126)(122)(127)(123)2^+93x-9= \-3 2(128)(124)(129)2x+2 (125) (130)(131)(136)(13「— 1 4 —疋(137) 「+2=—x - 3 3 _K(133)(138) 1235(134) (139)X 2X_1_2X£-(140)(141) 2 _ 3 _ 6巫 ]_门_/(147)買+2 _工+£__/+临_工+£ x+1 工+3 x+5 工+7 (143)掘吃时5二时3兀+4(148)=1 - K+1 K+4-it+2 K+3(144) (149)(145) (150)(156)(152) 1 1 _®T5 K +3+6- 2r"2x 2 -18(157)+1(153)g 十2时? 丁 4i 2 -8 1_2亶(158) '■x _ 2 x+2(155)(154) (159)(160)x-2工+216x+2 x _ 2 / 一 q(161)3000 _ go二3000x (1+2C%)工(166)(162)——-4x- 3 3i-6(167)x 43x 『「9 / —乱(163) (165)2 1(164)1 五_ 2K+2工工 -2(168)(169)(170)a _ 3 z~7x _0 x _2+ 二 +x+2 x-h3 y+6 x+7竺=^K-3K-3l96_2x-l _3^-l *工2 _r+4 4 _ x3(175) ——K 2+2I K 2 — 2i(173)號吟寻=。
初二50道分式方程练习题1. 解方程:(3x + 2)/(5 - x) = 7/92. 解方程:(2x - 1)/(x + 3) = 4/53. 解方程:(5x + 1)/(2x - 3) = 3/44. 解方程:(4 - 2x)/(7x + 1) = 2/35. 解方程:(3x - 4)/(4 - x) = 2/56. 解方程:(x + 1)/(2x - 3) = 5/87. 解方程:(3x - 2)/(x + 5) = 1/28. 解方程:(2x - 5)/(x + 1) = 3/49. 解方程:(4x - 3)/(7x + 2) = 2/510. 解方程:(3x + 1)/(2 - x) = 7/911. 解方程:(5x - 4)/(3x - 2) = 1/212. 解方程:(x - 2)/(4x + 3) = 3/513. 解方程:(3 - 4x)/(5x + 2) = 2/714. 解方程:(2x - 3)/(x + 4) = 1/215. 解方程:(4x + 1)/(3 - 2x) = 5/716. 解方程:(9 - 2x)/(6x - 1) = 3/418. 解方程:(3x + 4)/(5 + x) = 1/319. 解方程:(2x - 5)/(3x + 1) = 4/920. 解方程:(4x + 3)/(7 - x) = 2/521. 解方程:(7x - 1)/(x - 3) = 5/922. 解方程:(3x + 2)/(4 - 2x) = 1/323. 解方程:(x - 1)/(2x + 3) = 2/524. 解方程:(4 - 3x)/(x + 2) = 1/425. 解方程:(5x + 1)/(3x - 4) = 7/826. 解方程:(3 - 5x)/(x + 2) = 2/327. 解方程:(2x + 1)/(3 - 4x) = 1/528. 解方程:(4 - 3x)/(2 + x) = 5/729. 解方程:(5x + 2)/(7x - 3) = 3/430. 解方程:(3x - 2)/(5x + 1) = 5/731. 解方程:(6 - 2x)/(5x - 3) = 1/232. 解方程:(3x + 2)/(2 - 4x) = 1/733. 解方程:(x - 3)/(4x - 1) = 3/535. 解方程:(2x + 1)/(3 - 5x) = 7/836. 解方程:(4 - 2x)/(3x + 1) = 3/537. 解方程:(3x - 1)/(2x + 5) = 1/238. 解方程:(2x + 3)/(x - 4) = 7/939. 解方程:(3 - 2x)/(x + 3) = 4/540. 解方程:(4x - 1)/(2x + 3) = 3/441. 解方程:(5 - 3x)/(x + 4) = 2/542. 解方程:(2x + 1)/(5x - 2) = 3/743. 解方程:(3x - 2)/(4x + 1) = 1/344. 解方程:(x + 3)/(2 - 3x) = 2/545. 解方程:(5x - 1)/(2x + 3) = 4/946. 解方程:(4 - 3x)/(3x - 2) = 1/247. 解方程:(2x - 1)/(7x + 3) = 5/948. 解方程:(3x + 4)/(5 - x) = 7/849. 解方程:(x + 2)/(3x - 5) = 4/750. 解方程:(5x - 2)/(4 + 3x) = 1/2以上是初二50道分式方程练习题,请根据题目逐一解答,求出每道题的x值。
八年级下册分式方程50道纯计算题3、解方程:=IH ----------Λ+3X -14、解方程: ------ =1Λ+l X-I137、解方程:——= -------+ 1X — 1 2Λ* — 2 8、解方程:—--1 =——X — 1 Λ* + 21、解方程:空+ 1 =丄J-I y2、解方程:占亠丙匕5、解方程:6、解方程:2 x-31 2x13√-12 —2x 10、解方程: 2 —+ X -1X + 2X Λ +3 AX I 3--------- 1 = --------12、解方程:— 21-O X — 2 2 — XΛ -4X + 23 5 14、解方程:3 + 1 -1x-3 Λ + lX — 2 2 — X9、解方程: 11、解方程: 13、解方程:3 Y-I-I Λ + l16、解方程:——X + 2 X — 22x 3 15、解方程:18、解方程:5Y — 117、解方程:丄+1 = —LX — 2 2 — Xx-3 2x + 2 3xΛ + 119、解方程:—— Λ + l 旦+ 13Λ + 3 20、解方程:21、解方程:亠+丄=1 x-1 X 22、解方程:3-5-T4 6x — 223、解方程: 2-Λ 1 -------- 1 X — 3 ------- 3 — X=124、解方程:E + 7⅛l=126、解方程:225、解方程: 3 X —3-------- 1 X — 2 ------- 2 — X27、解方程: 1 1 3--------- 1—= ----------1 — 3x2 6x — 228、解方程:⅛⅛29、解方程:1 ___ 3 _ 21-3Λ 2~3X -130、解方程:2 5 ---------- 1 2x -1 --- 1 - 2x=1 31、解方程:Λ + 1 3Λ-3x-1 Λ+132、解方程:世τ +节Iz1 2 4 33、解方程: 7 4 634'解方程:⅛÷⅛⅛35、解方程:1 x-1-------- 1X— 2 2 —X=-3 36、解方程:亠+丄2x— 5 5 —2x37、解方程:1 _ 12 2X + SX— 6 X+Λ* + 62 Y2 +138、解方程:=^- = 2xX + 239、解方程:1 4 40' 解方程:^=√^+141、解方程:X 6 1Λ +3+Λ2-9^Λ^342、解方程:Λ +5Λ2 -Λ5__3x-1 X49、解方程: Λ + lx-14=1x2-l ~3 1 6 ------ + X2-I Λ + l x-1X + 2 5x + 4 x-1x-1 ~Λ + l43、解方程: 45、解方程: 47、解方程:44'解方程:占亠戸口Y— 1 2 乂46、解方程:—+ 二L = OΛ* +1 1 —2Λ*1 1 348、解方程:----- + -= -------1 —3x2 6x— 2IX3Λ +350、解方程:吕+是^13。
分式方程专项练习50题(有答案)1.$\frac{x}{x+2}=\frac{2}{x-1}$,改写为$x(x-1)=2(x+2)$。
2.$\frac{5x-3}{x^2}=0$,当 $5x-3=0$ 时成立,即$x=\frac{3}{5}$。
3.$\frac{x}{x}+\frac{1}{x}=1$,当 $x\neq 0$ 时成立。
4.$x^2+2x=0$,当 $x=0$ 或 $x=-2$ 时成立。
5.$\frac{13}{x(x-2)}=\frac{1}{x-1}$,改写为 $13(x-1)=x(x-2)$。
6.$\frac{1}{x-1}-\frac{2}{x+1}=\frac{1}{2}$,改写为$3x^2-2x-5=0$,当 $x=\frac{1}{3}$ 或 $x=-\frac{5}{3}$ 时成立。
7.$\frac{x+1}{x-1}=\frac{x}{x+1}$,改写为 $x^2-1=0$,当 $x=1$ 或 $x=-1$ 时成立。
8.$\frac{2x-5}{3-x}=\frac{2x-2}{x+1}$,改写为 $4x^2-13x+7=0$,当 $x=1$ 或 $x=\frac{7}{4}$ 时成立。
9.$\frac{2x-5}{x-2}-\frac{1}{x+2}=x$,改写为 $3x^2-4x-3=0$,当 $x=\frac{1\pm\sqrt{13}}{3}$ 时成立。
10.$\frac{2x-1}{x+1}=1-\frac{1}{x+1}$,改写为 $x^2+3x-2=0$,当 $x=-3+\sqrt{11}$ 或 $x=-3-\sqrt{11}$ 时成立。
11.$\frac{x}{x+1}+\frac{x}{x-1}=2$,改写为 $2x^2-2x-1=0$,当 $x=\frac{1\pm\sqrt{3}}{2}$ 时成立。
12.$\frac{1}{x-1}+\frac{1}{x+1}=\frac{4}{x^2-1}$,改写为 $3x^4-8x^2-5=0$,当 $x=\pm\sqrt{\frac{5}{3}}$ 或$x=\pm\sqrt{\frac{8}{3}}$ 时成立。
分式方程应用题专项练习50题[推荐五篇]第一篇:分式方程应用题专项练习50题分式方程应用题专项练习1、老城街道改建工程指挥部,要对某路段工程进行招标,接到了甲、乙两个工程队的投标书.从投标书中得知:甲队单独完成这项工程所需天数是乙队单独完成这项工程所需天数的2;若由甲队先做103天,剩下的工程再由甲、乙两队合作30天可以完成.;求甲、乙两队单独完成这项工程各需多少天?2.某工厂为了完成供货合同,决定在一定天数内生产原种零件400个,由于对原有设备进行了技术改进,提高了生产效率,每天比原计划增产25%,结果提前10天完成了任务.原计划每天生产多少个零件?3、某项工程如果甲单独做,刚好在规定的日期内宛成,如果乙单独做,则要超出规定日期3天,现在先由甲、乙两人合做两天后,剩下的任务由乙完成,也刚好能按做时完式,问规定的日期是几天?4、某工程由甲、乙两队合做6天完成,厂家需会甲、乙两队共8700元;乙、丙两队合做10天完成,厂家需付乙、丙队共9500元;甲、丙两队合做5天完成全部工程的2,厂家需付甲、丙两队共55003元。
(1)求甲、乙、丙各队单独完成全部工程各需多少天?(2)若工期要求不超过15天完成全部工程,问:可由哪个单独承包此项工程花钱最少?请说明理由。
5.一个水池有甲乙两个进水管,甲管注满水池比乙管快4小时,如果单独放甲管5小时,再单独开放乙管6小时,就可以注满水池的一半,求单独开放一个水管,注满水池各需多长时间?6、轮船顺水航行80千米所需要的时间和逆水航行60千米所需要的时间相同,已知水流的速度是3千米/时,求轮船在静水中的速度。
7.一列客车长200米一列货车长280米,在平行轨道上相向而行,从车头相遇到车尾相离一共经过8秒钟.已知客车与货车的速度之比为5∶3.求两车的速度.8、如图,小明家、王老师家、学校在同一条路上,小明家到王老师家的路程为3km,王老师家到学校的路程为0.5km,由于小明的父母战斗在抗“非典”第一线,为了使他能按时到校,王老师每天骑自行车接小明上学.已知王老师骑自行车的速度是步行速度的3倍,每天比平时步行上班多用了20min,问王老师的步行速度及骑自行车的速度各是多少?9、一小船由A港到B顺流航行需6小时,由B港到A港逆流航行需8小时,小船从早晨6时由A港到B港时,发现一救生圈在途中掉落水中,立即返航,2小时后找到救生圈。
分式方程教案分式方程教案「篇一」关于分式方程的应用的教案范本关于分式方程的应用的教案范本教学目标1.使学生能分析题目中的等量关系,掌握列分式方程解应用题的.方法和步骤,提高学生分析问题和解决问题的能力;2.通过列分式方程解应用题,渗透方程的思想方法。
教学重点和难点重点:列分式方程解应用题。
难点:根据题意,找出等量关系,正确列出方程。
教学过程设计一、复习例解方程:(1)2x+xx+3=1; (2)15x=2×15 x+12;(3)2(1x+1x+3)+x-2x+3=1。
解 (1)方程两边都乘以x(3+3),去分母,得2(x+3)+x2=x2+3x,即2x-3x=-6所以 x=6。
检验:当x=6时,x(x+3)=6(6+3)≠0,所以x=6是原分式方程的根。
(2)方程两边都乘以x(x+12),约去分母,得15(x+12)=30x。
解这个整式方程,得x=12。
检验:当x=12时,x(x+12)=12(12+12)≠0,所以x=12是原分式方程的根。
(3)整理,得2x+2x+3+x-2x+3=1,即2x+2+x-2 x+3=1。
即 2x+xx+3=1。
方程两边都乘以x(x+3),去分母,得2(x+3)+x2=x(x+3)。
分式方程教案「篇二」一、教学目标1.知识与技能能掌握解分式方程的步骤,会如何解分式方程2.过程与方法通过一步步引导,使学生掌握解分式方程其实是转化为整式方程求解后验证解是否成立个一个过程。
3.情感、态度与价值观探求新知是一个将新知与旧知如何建模链接的过程,边探索,边完成这个过程。
二、重点与难点1.重点分式方程的解法2、难点分式方程转化整式方程时的理论依据及具体步骤三、学情分析及课前反思本节课的学习前,学生已经熟练掌握解整式方程的求解,等式的基本性质,分式的运算。
因此只需要点一下,应该就可以顺利过渡。
教师的任务是如何能恰当地点一下,并让学生知其所以然。
四、重难点突破1、前面复习时复习分式的性质要详尽并板书2、不按照传统的顺序,给出题目后马上给出整式方程,引起学生的学习兴趣。
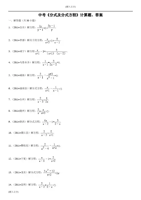
[键入文字]中考《分式及分式方程》计算题、答案一.解答题(共30小题)1.(2011•自贡)解方程:.2.(2011•孝感)解关于的方程:.3.(2011•咸宁)解方程.4.(2011•乌鲁木齐)解方程:=+1.5.(2011•威海)解方程:.6.(2011•潼南县)解分式方程:.7.(2011•台州)解方程:.8.(2011•随州)解方程:.9.(2011•陕西)解分式方程:.10.(2011•綦江县)解方程:.11.(2011•攀枝花)解方程:.12.(2011•宁夏)解方程:.13.(2011•茂名)解分式方程:.14.(2011•昆明)解方程:.15.(2011•菏泽)(1)解方程:(2)解不等式组.16.(2011•大连)解方程:.17.(2011•常州)①解分式方程;②解不等式组.18.(2011•巴中)解方程:.19.(2011•巴彦淖尔)(1)计算:|﹣2|+(+1)0﹣()﹣1+tan60°;(2)解分式方程:=+1.20.(2010•遵义)解方程:21.(2010•重庆)解方程:+=122.(2010•孝感)解方程:.23.(2010•西宁)解分式方程:24.(2010•恩施州)解方程:25.(2009•乌鲁木齐)解方程:26.(2009•聊城)解方程:+=127.(2009•南昌)解方程:28.(2009•南平)解方程:29.(2008•昆明)解方程:30.(2007•孝感)解分式方程:.答案与评分标准一.解答题(共30小题)1.(2011•自贡)解方程:.考点:解分式方程。
专题:计算题。
分析:方程两边都乘以最简公分母y(y﹣1),得到关于y的一元一方程,然后求出方程的解,再把y的值代入最简公分母进行检验.解答:解:方程两边都乘以y(y﹣1),得2y2+y(y﹣1)=(y﹣1)(3y﹣1),2y2+y2﹣y=3y2﹣4y+1,3y=1,解得y=,检验:当y=时,y(y﹣1)=×(﹣1)=﹣≠0,∴y=是原方程的解,∴原方程的解为y=.点评:本题考查了解分式方程,(1)解分式方程的基本思想是“转化思想”,把分式方程转化为整式方程求解.(2)解分式方程一定注意要验根.2.(2011•孝感)解关于的方程:.考点:解分式方程。
八年级下册分式方程50道纯计算题1、解方程:y y y y 13112-=+-2、解方程:)2)(1(311-+=-+x x x x3、解方程:1213-+=+x x x4、解方程:1111=--+x x x5、解方程:013132=-+--x x x6、解方程:xx 2132=-7、解方程:122311+-=-x x 8、解方程:2311+=--x x x9、解方程:x x x 221232=+-10、解方程:132=++x xx11、解方程:x x x -=--2312412、解方程:021422=+--x x13、解方程:1533+=-x x 14、解方程:12123=-+-xx15、解方程:2322-=+x x16、解方程:3121+=+x x x17、解方程:x x x --=+-21125 18、解方程:132231+=+--x x x x19、解方程:13321++=+x x x x 20、解方程:x x x -=+--2312321、解方程:111=+-x x x 22、解方程:2641313-=--x x23、解方程:13132=-+--x x x24、解方程:14143=-+--x x x25、解方程:12323=--+-x x x26、解方程:148222=-++-x x x27、解方程:26321311-=+-x x 28、解方程:xxx --=+-2132429、解方程:13223311-=--x x30、解方程:1215122=-+-x x31、解方程:213311=+---+x x x x 32、解方程:112142-=-++-xx x33、解方程:1412112-=-++x x x 34、解方程:1647222-=-++x x x x x35、解方程:32121-=--+-x x x 36、解方程:xx x 255152-=--37、解方程:6165122++=-+x x x x 38、解方程:x x x 22122=++39、解方程:141212-=++-x x x x 40、解方程:144212+-=-x x41、解方程:319632-=-++x x x x 42、解方程:x x x x x 31552--=-+43、解方程:114112=---+x x x 44、解方程:)2)(1(311+-=+-x x x x45、解方程:1611132-=-++x x x 46、解方程:021211=-++-x x x x47、解方程:141512++=---+x x x x x 48、解方程:26321311-=+-x x49、解方程:13321++=+x x x x 50、解方程:125552=-+-xx x最新文件仅供参考已改成word文本。
50道解分式方程及答案1.解分式方程:$\frac{5x-23}{x(x^2-1)}=\frac{2-x}{1}+4$2.解分式方程:$\frac{2-x}{1}+4=\frac{x-3}{3-x}$3.解分式方程:$\frac{x-3}{3-x}-x=1$4.解分式方程:$\frac{x^2}{x-2}-\frac{4}{2x-3}=1$5.解分式方程:$\frac{1}{2x-4}-\frac{2}{2x+2}=\frac{1}{2x-3}$6.解分式方程:$\frac{2}{2x-3}-\frac{1}{2x+3}=1$7.解方程:$\frac{2}{x-1}-\frac{3}{x+1}=1$8.解方程:$\frac{2x+1}{x-1}-\frac{3x-1}{x+1}=2$9.解方程:$\frac{5}{x-1}-\frac{3}{x+2}=2$10.解方程:$\frac{x^2}{x-4}-1=\frac{x}{2x-3}$11.解方程:$\frac{13}{x+2}=\frac{x-1}{x+3}$12.解关于$x$的方程:$\frac{2}{x+1}-\frac{1}{x-2}=x$13.解方程:$\frac{x+1}{x^2+3x-1}=\frac{1}{x-1}$14.解方程:$\frac{x+1}{x-1}+\frac{2}{x+2}=3$15.阅读理解:小云用换元法解方程$\frac{x+1}{x+1+y}+\frac{2y}{x+1+y}=3$,得到$y=1$,从而解得$x=0$。
16.解分式方程:$\frac{x^4}{x-2x^3}+2=\frac{x}{2x-3}$17.解分式方程:$\frac{2x-1}{x-1}-\frac{2x+1}{x+1}=1$18.解分式方程:$\frac{1-x}{x-2}+2=\frac{1}{x-2}$19.解分式方程:$\frac{x-1}{x+1}-\frac{x+1}{x-1}=2$20.解分式方程:$\frac{1}{x^2-1}-\frac{1}{x+1}=1$21.解分式方程:$\frac{2x-1}{x+1}-\frac{x+2}{x-1}=3$22.解分式方程:$\frac{4x-1}{x-1}-\frac{1}{x+1}=\frac{3x+1}{x^2-1}$23.解分式方程:$\frac{x-3}{3-x}-\frac{x}{x-2}=1$24.解分式方程:$\frac{x}{x+2}-\frac{1}{x-1}=\frac{4}{x+5}$25.解分式方程:$\frac{x+1}{x-1}+\frac{1}{x+1}=2$26.解分式方程:$\frac{x+1}{x-1}-\frac{1}{x+1}=1$27.解分式方程:$\frac{x-1}{x+1}-\frac{1}{x-1}=1$28.解分式方程:$\frac{2}{x-1}-\frac{1}{x+1}=\frac{2x}{x^2-1}$29.解分式方程:$\frac{3x}{2x-4}-1=\frac{2}{2x-2}$30.解分式方程:$\frac{5}{2x+3}-\frac{1}{x-x^2}=\frac{1}{x}$31.解分式方程:$\frac{x+1}{x-2}-\frac{2}{x+1}=1$32.解分式方程:$\frac{x-1}{x-2}+\frac{1}{2-x}=1$9.解法一:首先,将原方程化简为 $\frac{x-2}{2}=\frac{1}{y-2}$,令$y-2=t$,则原方程变为 $\frac{x-2}{2}=\frac{1}{t}$。
分式方程教案分式方程数学教案(精选6篇)解分式方程练习题篇一分式方程的教学设计分式方程的教学设计教学目标1.使学生能分析题目中的等量关系,掌握列分式方程解应用题的方法和步骤,提高学生分析问题和解决问题的能力;2.通过列分式方程解应用题,渗透方程的思想方法。
教学重点和难点重点:列分式方程解应用题。
难点:根据题意,找出等量关系,正确列出方程。
教学过程设计一、复习例解方程:(1)2x+xx+3=1; (2)15x=2×15 x+12;(3)2(1x+1x+3)+x-2x+3=1.解(1)方程两边都乘以x(3+3),去分母,得2(x+3)+x2=x2+3x,即2x-3x=-6所以x=6.检验:当x=6时,x(x+3)=6(6+3)≠0,所以x=6是原分式方程的根。
(2)方程两边都乘以x(x+12),约去分母,得15(x+12)=30x。
解这个整式方程,得x=12.检验:当x=12时,x(x+12)=12(12+12)≠0,所以x=12是原分式方程的根。
(3)整理,得2x+2x+3+x-2x+3=1,即2x+2+x-2 x+3=1,即2x+xx+3=1.方程两边都乘以x(x+3),去分母,得2(x+3)+x2=x(x+3),即2x+6+x2=x2+3x,亦即2x-3x=-6.解这个整式方程,得x=6.检验:当x=6时,x(x+3)=6(6+3)≠0,所以x=6是原分式方程的根。
二、新课例1 一队学生去校外参观,他们出发30分钟时,学校要把一个紧急通知传给带队老师,派一名学生骑车从学校出发,按原路追赶队伍。
若骑车的速度是队伍进行速度的2倍,这名学生追上队伍时离学校的距离是15千米,问这名学生从学校出发到追上队伍用了多少时间?请同学根据题意,找出题目中的等量关系。
答:骑车行进路程=队伍行进路程=15(千米);骑车的速度=步行速度的2倍;骑车所用的时间=步行的时间-0。
5小时。
请同学依据上述等量关系列出方程。
For personal use only in study and research; not forcommercial useFor personal use only in study and research; not forcommercial use50道解分式方程1. 解分式方程:13)1(2522-=--x x x x2. 解分式方程:xx x -=+--314323. 解分式方程:x-3113x x 2+=--4. 解分式方程:012132=---xx5. 解分式方程:212423=---x x x6. 解分式方程:2112323x x x -=-+7. 解方程:221+=1x+1x 1-8.(2011•宁夏)解方程:.9.(本题10分)解方程: 1422=---xx x x10.(2011•綦江县)解方程:.11.(本小题满分8分)解方程: 02311=-++xx12.(11·孝感)解关于的方程:2131x x x =++-13.(2011•攀枝花)解方程:.14.解方程:2x 1+=33x 19x 3--.15.阅读理解解分式方程11+x +12+x = 3时,小云用了如下的方法: 解:设 11+x = y ,则原方程可化为y +2y = 3解这个整式方程得 y= 1 由11+x = 1去分母,得x+1=1,∴x=0 经检验 x = 0 是原方程的根 ∴原方程的根为x = 0上面的方法叫换元法,请你用换元法解方程 2-x x + 634-x x = 216.解分式方程312422x x x -=--17.(5分)解分式方程:22111x x =---18.解分式方程:21221-=+--x x x .19.解分式方程:20.解分式方程:141212-=+--x x x x21.解分式方程:2353114=-+--xx x .22.解分式方程:45251=+-++xx x .23.24.解分式方程:22416222-+=--+x x x x x -2526.解分式方程: 212423=---x x x27.解分式方程:451+=x x28.解分式方程312422x x x -=--.2930.解分式方程:225103x x x x-=+-.31. 解分式方程:32. 解分式方程:223=124x x x --+-33.解分式方程:(本题6分)111142-+=+-x x x34.(2011昭通,22,73536.解分式方程37.解方程:24x+2+=11xx 1---.38.解方程:21-x +3=21-x -x39.解方程:21233x x x -=---40.解方程:48122-=--x x x . 41. 1412132-=+--x x x4243.解分式方程.(44.解方程:13321++=+x xx x .45.解下列分式方程: (1) 0223=--xx ; (2) x x x x +=++2111246.解方程:(1)32x x --+1=32x -; (2)41x +-11x -=241x -.47.解分式方程: (1)23+x =11+x (2)35--x x +1=x -3248.解分式方程 (1)35253=-+--x x x (2)114112=---+x x x49.解方程(1(250.解方程:2511=+++x x x x参考答案1.无解2.解:2- x+4(x-3)=-1 , (2分) 3x=9, ∴x=3 (2分) 经检验:x=3是增根,舍去 (1分) 所以原方程无解 (1分) 3.去分母:2-x=x-3-1 x=3经检验x=3是方程增根,原方程无解。
欧阳引擎创编 2021.01.01欧阳引擎创编 2021.01.01八年级下册分式方程50道纯计算题欧阳引擎(2021.01.01)1、解方程:y y y y 13112-=+-2、解方程:)2)(1(311-+=-+x x x x3、解方程:1213-+=+x x x4、解方程:1111=--+x x x 5、解方程:013132=-+--x x x 6、解方程:x x 2132=-7、解方程:122311+-=-x x 8、解方程:2311+=--x x x 9、解方程:x x x 221232=+-10、解方程:132=++x xx11、解方程:x x x -=--2312412、解方程:021422=+--x x13、解方程:1533+=-x x 14、解方程:12123=-+-x x 15、解方程:2322-=+x x 16、解方程:3121+=+x x x 17、解方程:x x x --=+-2112518、解方程:132231+=+--x x x x 19、解方程:13321++=+x x x x 20、解方程:x x x -=+--23123 21、解方程:111=+-x x x 22、解方程:2641313-=--x x23、解方程:13132=-+--x x x 24、解方程:14143=-+--x x x 25、解方程:12323=--+-x x x 26、解方程:148222=-++-x x x27、解方程:26321311-=+-x x 28、解方程:x xx --=+-21324 29、解方程:13223311-=--x x 30、解方程:1215122=-+-x x31、解方程:213311=+---+x x x x 32、解方程:112142-=-++-x x x 33、解方程:1412112-=-++x x x 34、解方程:1647222-=-++x x x x x 35、解方程:32121-=--+-x x x 36、解方程:x x x 255152-=-- 37、解方程:6165122++=-+x x x x 38、解方程:x x x 22122=++ 39、解方程:141212-=++-x x x x 40、解方程:144212+-=-x x 41、解方程:319632-=-++x x x x 42、解方程:x x x x x 31552--=-+ 43、解方程:114112=---+x x x 44、解方程:)2)(1(311+-=+-x x x x 45、解方程:1611132-=-++x x x 46、解方程:021211=-++-x x x x47、解方程:141512++=---+x x x x x 48、解方程:26321311-=+-x x49、解方程:13321++=+x x x x 50、解方程:125552=-+-x x x。
50道解分式方程1. 解分式方程:13)1(2522-=--x x x x2. 解分式方程:xx x -=+--314323. 解分式方程:x-3113x x 2+=--4. 解分式方程:012132=---xx5. 解分式方程:212423=---x x x6. 解分式方程:2112323x x x -=-+7. 解方程:221+=1x+1x 1- 8.(2011•宁夏)解方程:错误!未找到引用源。
.9.(本题10分)解方程:1422=---xx x x10.(2011•綦江县)解方程:错误!未找到引用源。
. 11.(本小题满分8分)解方程: 02311=-++xx12.(11·孝感)解关于的方程:2131x x x =++-13.(2011•攀枝花)解方程:错误!未找到引用源。
.14.解方程:2x 1+=33x 19x 3--.15.阅读理解解分式方程11+x +12+x = 3时,小云用了如下的方法: 解:设 11+x = y ,则原方程可化为y +2y = 3解这个整式方程得 y= 1 由11+x = 1去分母,得x+1=1,∴x=0 经检验 x = 0 是原方程的根 ∴原方程的根为x = 0上面的方法叫换元法,请你用换元法解方程 2-x x + 634-x x = 216.解分式方程312422x x x -=--17.(5分)解分式方程:22111x x =---18.解分式方程:21221-=+--x x x .19.解分式方程: 错误!未找到引用源。
.20.解分式方程:141212-=+--x x x x22.解分式方程:45251=+-++xx x .23. 解分式方程:4112242x x x--=--.24.解分式方程:22416222-+=--+x x x x x -25.解分式方程:2111x x x =-+-26.解分式方程: 212423=---x x x27.解分式方程:451+=x x28.解分式方程312422x x x -=--.29.解分式方程:12211x x x +=-+.30.解分式方程:225103x x x x-=+-.31. 解分式方程: 11322x x x-+=--.33.解分式方程:(本题6分)111142-+=+-x x x34.(2011昭通,22,7分)解分式方程:212423=---x x x35.解分式方程123482---=-xxx .36.解分式方程:23222x x x -=+-37.解方程:24x+2+=11xx 1---.38.解方程:21-x +3=21-x -x39.解方程:21233x x x -=---40.解方程:48122-=--x x x . 41. 1412132-=+--x x x42.解方程:213x x x +=+.43.解分式方程.(1) 错误!未找到引用源。
分式方程纯计算题50
道
收集于网络,如有侵权请联系管理员删除
八年级下册分式方程50道纯计算题
1、解方程:y y y y 13112-=+-
2、解方程:)
2)(1(3
11-+=-+x x x x
3、解方程:1213-+=+x x x
4、解方程:11
11=--+x x x
5、解方程:01
3
132=-+--x x x
6、解方程:
x
x 2132=-
7、解方程:122311+-=-x x 8、解方程:2
3
11+=--x x x
9、解方程:x x x 221232=+-
10、解方程:132=++x x
x
11、解方程:
x x x -=--23124 12、解方程:02
1
422
=+--x x
13、解方程:1533+=-x x 14、解方程:121
23=-+-x
x
15、解方程:2322-=+x x 16、解方程:3
1
21+=+x x x
收集于网络,如有侵权请联系管理员删除
17、解方程:x x x --=+-21125 18、解方程:1
32231+=
+--x x
x x
19、解方程:13321++=+x x x x 20、解方程:x
x x -=+--23
123
21、解方程:111=+-x x x 22、解方程:2
64
1313-=--x x
23、解方程:13132=-+--x x x
24、解方程:141
43=-+--x x x
25、解方程:12323=--+-x x x
26、解方程:148
222
=-++-x x x
27、解方程:26321311-=+-x x 28、解方程:x
x
x --=+-21324
29、解方程:13223311-=--x x 30、解方程:1215
122=-+-x
x
31、解方程:213311=+---+x x x x 32、解方程:112
142-=-++-x
x x
收集于网络,如有侵权请联系管理员删除
33、解方程:1412112-=-++x x x 34、解方程:1
6
472
22-=-++x x x x x
35、解方程:32121-=--+-x x x 36、解方程:x
x x 255
152-=
--
37、解方程:6
1
65122++=-+x x x x 38、解方程:
x x x 22122=++
39、解方程:141212-=++-x x x x 40、解方程:14
4
212+-=-x x
41、解方程:319632-=-++x x x x 42、解方程:x
x x x x 3
1552--=-+
43、解方程:11
4
112=---+x x x 44、解方程:
)2)(1(311+-=+-x x x x
45、解方程:1
6
11132
-=-++x x x 46、解方程:021211=-++-x x x x
47、解方程:1
4
1512++=
---+x x x x x 48、解方程:26321311-=+-x x
49、解方程:
13321++=+x x x x 50、解方程:1255
52=-+-x
x x。