初中数学分式方程计算题及答案
- 格式:docx
- 大小:32.88 KB
- 文档页数:2
初二数学分式方程试题1.若分式方程=2+的解为正数,则a的取值范围是()A.a>4B.a<4C.a<4且a≠2D.a<2且a≠0【答案】C.【解析】去分母得:x=2x﹣4+a,解得:x=4﹣a,根据题意得:4﹣a>0,且4﹣a≠2,解得:a<4且a≠2.故选C.【考点】分式方程的解.2.某文具店老板第一次用1000元购进一批文具,很快销售完毕,第二次购进时发现每件文具的进价比第一次上涨了2.5元,老板用2500元购进了第二批文具,所购进文具的数量是第一次购进数量的2倍,同样很快销售完毕,已知两批文具的售价均为每件15元.(1)第二次购进了多少件文具?(2)文具店老板在这两笔生意中共盈利多少元?【答案】(1)第二次购进了200件文具.(2)文具店老板在这两笔生意中共盈利1000元【解析】(1)设第二次购进了件文具,则第一次购进了件文具,根据题中的等量关系:第二次购进每件文具的进价比第一次上涨了2.5元,列出方程,解出并检验即可得到(2)计算出两次的利润即得试题解析:(1)设第二次购进了件文具,则第一次购进了件文具.依题意,得解得经检验,是方程的根.所以第二次购进了200件文具.(2)由(1)得,第一批文具的单价为(元),第二批文具单价为10+2.5=12.5(元),所以(15-10)×100+(15-12.5)×200=1000(元),所以文具店老板在这两笔生意中共盈利1000元.【考点】1、分式方程的应用;2、销售问题3.我市某中学开展了以“热爱家乡,与环境友好;牵手幸福,与健康同行”为主题的远足训练活动,师生到距学校18千米的森林公园并沿途捡拾垃圾,李老师因有事晚出发2个小时,为追赶师生队伍李老师骑自行车走近路比师生队伍少走了6千米,结果早到达48分钟,已知李老师骑自行车的平均速度是师生步行平均速度的3倍,设师生步行的平均速度为x千米/时,则根据题意可列出方程为:.(直接用方程中的数据,不必化简)【答案】=+2+【解析】设师生步行的平均速度为x千米/时,则李老师骑自行车的平均速度是3x千米/时,根据“李老师因有事晚出发2个小时,为追赶师生队伍李老师骑自行车走近路比师生队伍少走了6千米,结果早到达48分钟”得出等量关系:师生步行18千米的时间=李老师骑自行车12千米的时间+2小时+48分钟,据此列出方程即可.解:设师生步行的平均速度为x千米/时,则李老师骑自行车的平均速度是3x千米/时.由题意,=+2+.故答案为=+2+.点评:本题考查了由实际问题抽象出分式方程,找到关键描述语,找到等量关系是解决问题的关键.本题用到的等量关系为:时间=路程÷速度.4.上海世博会开馆前,某礼品经销商预测甲、乙两种礼品能够畅销,用16500元购进了甲种礼品,用44000元购进了乙种礼品,由于乙种礼品的单价是甲种礼品单价的4倍,实际购得甲种礼品的数量比乙种礼品的数量多100个.(1)求购进甲、乙两种礼品的单价各多少元?(2)如果要求每件商品在销售时的利润为20%,那么甲、乙两种礼品每件的售价各是多少元?(3)在(2)的条件下,如果甲种礼品的进价降低了,但售价保持不变,从而使销售甲种礼品的利润率提高了5%,那么此时每个甲种礼品的进价是多少元?(直接写出结果)(利润=售价﹣进价,利润率=×100%.)【答案】(1)55元和220元(2)66元和264元(3)52.8元【解析】(1)根据购买两种礼品的总钱数以及单价之间的关系,结合购买数量得出等式求出即可;(2)利用(1)中所求的进价,利用利润=售价﹣进价,求出即可;(3)根据已知得出甲种礼品的利润为25%,进而假设出进价得出等式求出即可.解:(1)设购进甲种礼品的单价为x元,则购进乙种礼品的单价为4x元,由题意得:﹣=100,解这个方程,得:x=55,经检验,x=55是所列方程的根.4x=220.所以购进甲、乙两种礼品的单价分别为55元和220元.(2)∵55×20%=11,220×20%=44,∴55+11=66(元),220+44=264(元),所以甲、乙两种礼品的售价分别为66元和264元.(3)设每个甲种礼品的进价是x元,根据题意得出:x(1+25%)=66,解得:x=52.8,答:此时每个甲种礼品的进价是52.8元.点评:此题主要考查了分式方程的应用以及利润率的求法,根据已知得出进价与售价关系是解题关键.5.解分式方程:【答案】【解析】先去分母得到整式方程,再解得到的整式方程即可,注意解分式方程最后要写检验.解:去分母得解得检验:当时,,∴为原方程的解.【考点】解分式方程点评:解分式方程是中考必考题,一般难度不大,要特别慎重,尽量不在计算上失分.6.某广告公司将一块广告牌任务交给师徒两人,已知师傅单独完成的时间是徒弟单独完成时间的,现由徒弟先做1天,师徒再合作2天完成。
初中数学:分式方程习题精选(附参考答案)1.某学校组织七、八两个年级学生到黄河岸边开展植树造林活动,已知七年级植树900棵与八年级植树1 200棵所用的时间相同,两个年级平均每小时共植树350棵。
求七年级年级平均每小时植树多少棵?设七年级年级平均每小时植树x 棵,则下面所列方程中正确的是( ) A .900350−x =1 200xB .900x =1 200350+xC .900350+x =1 200xD .900x=1 200350−x2.若关于x 的方程2x =m2x+1无解,则m 的值为( ) A .0 B .4或6 C .6D .0或43.解分式方程2x −1x+1=0去分母时,方程两边同乘的最简公分母是_____________. 4.分式方程3−x x−4+14−x=1的解是________.5.甲、乙两人做某种机器零件,甲每小时比乙每小时多做10个,甲做160个所用时间与乙做140个所用时间相等,甲、乙两人每小时分别做多少个?设甲每小时做x 个,则可列分式方程为__________. 6.(1)解方程:xx+1=2x 2−1(2)解方程:1x−1+1=32x−27.为了让学生崇尚劳动,尊重劳动,在劳动中提升综合素质,某校定期开展劳动实践活动。
甲、乙两班在一次体验挖土豆的活动中,甲班挖1 500千克土豆与乙班挖1 200千克土豆所用的时间相同。
已知甲班平均每小时比乙班多挖100千克土豆,问:乙班平均每小时挖多少千克土豆?8.已知点P (1-2a ,a -2)关于原点的对称点在第一象限内,且a 为整数,则关于x 的分式方程x+1x−a =2的解是( ) A .x =5 B .x =1 C .x =3D .不能确定9.某工厂生产一种零件,计划在20天内完成,若每天多生产4个,则15天完成且还多生产10个。
设原计划每天生产x 个,根据题意可列分式方程为( ) A .20x+10x+4=15 B .20x−10x+4=15 C .20x+10x−4=15 D .20x−10x−4=1510.照相机成像应用了一个重要原理,用公式1f =1u +1v (v ≠f )表示,其中f 表示照相机镜头的焦距,u 表示物体到镜头的距离,v 表示胶片(像)到镜头的距离。
初二数学分式方程试题答案及解析1.若关于的分式方程有增根,则.【答案】2.【解析】方程两边都乘(x﹣3),得m =2+x﹣3,∵原方程有增根,∴最简公分母,x﹣3=0,解得x=3,当x=3时,m=2.故答案是2.【考点】分式方程的增根.2.某蔬菜店第一次用400元购进某种蔬菜,由于销售状况良好,该店又用700元第二次购进该品种蔬菜,所购数量是第一次购进数量的2倍,但进货价每千克少了0.5元.(1)第一次所购该蔬菜的进货价是每千克多少元?(2)蔬菜店在销售中,如果两次售价均相同,第一次购进的蔬菜有2% 的损耗,第二次购进的蔬菜有3% 的损耗,若该蔬菜店售完这些蔬菜获利不低于944元,则该蔬菜每千克售价至少为多少元?【答案】(1)4;(2)7.【解析】(1)设第一次所购该蔬菜的进货价是每千克x元,则第二次购进时的价格为(x-0.5)元,根据两次购买的数量之间的关系建立方程求出其解即可;(2)先根据(1)的结论分别求出两次购买的数量,设该蔬菜每千克售价为y元,由销售问题的数量关系建立不等式求出其解即可.试题解析:(1)设第一次所购该蔬菜的进货价是每千克x元,则第二次购进时的价格为(x-0.5)元,根据题意,得,解得:x=4.经检验x=4是原方程的根,答:第一次所购该蔬菜的进货价是每千克4元;(2)由(1)知,第一次所购该蔬菜数量为:400÷4=100第二次所购该蔬菜数量为:100×2=200设该蔬菜每千克售价为y元,根据题意,得[100(1-2%)+200(1-3%)]y-400-700≥944.解得:y≥7.答:该蔬菜每千克售价至少为7元.【考点】1.分式方程的应用;2.一元一次不等式的应用.3.某一项工程,在工程招标时,接到甲、乙两个工程队的投标书,施工一天,需付甲工程队工程款1.5万元,乙工程队工程款1.1万元,工程领导小组根据甲乙两队的投标书测算,可有三种施工方案:(1)甲队单独完成这项工程刚好如期完成;(2)乙队单独完成这项工程要比规定日期多用5天;(3)若甲、乙两队合作4天,余下的工程由乙队单独也正好如期完成.在不耽误工期的情况下,你觉得那一种施工方案最节省工程款?【答案】方案(3)最节省.【解析】设这项工程的工期是x天,根据甲队单独完成这项工程刚好如期完成,乙队单独完成这项工程要比规定日期多用5天,若甲、乙两队合做4天,余下的工程由乙队单独做也正好如期完成以及工作量=工作时间×工作效率可列方程求解.再看费用情况:方案(1)、(3)不耽误工期,符合要求,可以求费用,方案(2)显然不符合要求.试题解析:设规定日期x天完成,则有:,解得x=20.经检验得出x=20是原方程的解;答:甲单独20天,乙单独25天完成.方案(1):20×1.5=30(万元),方案(2):25×1.1=27.5(万元),方案(3):4×1.5+1.1×20=28(万元).所以在不耽误工期的前提下,选第三种施工方案最节省工程款.所以方案(3)最节省.【考点】分式方程的应用.4.列分式方程解应用题为提升晚高峰车辆的通行速度,北京市交通委路政局积极设置潮汐车道,首条潮汐车道于2013年9月11日开始启用,试点路段为京广桥至慈云寺桥,全程约2.5千米.该路段实行潮汐车道后,在晚高峰期间,通过该路段的车辆的行驶速度平均提高了25%,行驶时间平均减少了1.5分钟.该路段实行潮汐车道之前,在晚高峰期间通过该路段的车辆平均每小时行驶多少千米?【答案】20.【解析】设该路段实行潮汐车道之前,在晚高峰期间通过该路段的车辆平均每小时行驶x千米,则实行潮汐车道后,在晚高峰期间,通过该路段的车辆的行驶速度为(1+25%)x千米/小时,根据实行潮汐车道前后的时间关系建立方程求出其解即可.试题解析:设该路段实行潮汐车道之前,在晚高峰期间通过该路段的车辆平均每小时行驶x千米,由题意,得,解得:x=20.经检验,x=20是原方程的解,∴原分式方程的解是x=20.答:设该路段实行潮汐车道之前,在晚高峰期间通过该路段的车辆平均每小时行驶20千米.考点: 分式方程的应用.5. 2011年雨季,一场大雨导致一条全长为550米的污水排放管道被冲毁,为了尽量减少施工对城市交通所造成的影响,实际施工时,每天的工效比原计划增加10%,结果提前5天完成这一任务,问原计划每天铺设多少米管道?(列方程解应用题)【答案】原计划每天铺设10m管道【解析】设原计划每天铺设x米管道,根据实际施工时,每天的工效比原计划增加10%,表示出现在每天铺设的米数,根据现在比原计划提前5天,用全长除以每天铺设的米数分别表示出原计划及现在的时间,两时间相减等于5即可列出所求的方程, -=5,解方程x=10.试题解析:设原计划每天铺设xm的管道,则实际每天铺设(1+10%)xm的管道,由题意列方程:-=5,化简得1.1×550-550=5×1.1x,x =10,检验:当x=10时,1.1x≠0,∴ x=10是原方程的根,答:原计划每天铺设10m管道.【考点】由实际问题抽象出分式方程.6.在我市某一城市美化工程招标时,有甲、乙两个工程队投标,经测算:甲队单独完成这项工程需要60天,若由甲队先做20天,剩下的工程由甲、乙合作24天可完成.(1)乙队单独完成这项工程需要多少天?(2)甲队施工一天,需付工程款3.5万元,乙队施工一天需付工程款2万元.若该工程计划在70天内完成,在不超过计划天数的前提下,是由甲队或乙队单独完成工程省钱?还是由甲乙两队全程合作完成该工程省钱?【答案】(1)90天(2)甲、乙合作完成最省钱【解析】(1)求的是乙的工效,工作时间明显.一定是根据工作总量来列等量关系.等量关系为:甲20天的工作量+甲乙合作24天的工作总量=1.(2)把在工期内的情况进行比较.解:(1)设乙队单独完成需x天.(1分)根据题意,得:×20+(+)×24=1解这个方程得:x=90.(4分)经检验,x=90是原方程的解.∴乙队单独完成需90天.(5分)(2)设甲、乙合作完成需y天,则有(+)y=1.解得y=36,(6分)甲单独完成需付工程款为60×3.5=210(万元).乙单独完成超过计划天数不符题意,甲、乙合作完成需付工程款为36×(3.5+2)=198(万元).(7分)答:在不超过计划天数的前提下,由甲、乙合作完成最省钱点评:本题考查分式方程的应用,分析题意,找到关键描述语,找到合适的等量关系是解决问题的关键.7.若关于x的方程有正数解,则k的取值为A.k>1B.k>3C.k≠3D.k>1且k≠3【答案】D【解析】先解方程得到用含k的代数式表示x的形式,再结合方程有正数解及分式的分母不能为0求解即可.解方程得由题意得且解得且故选D.【考点】解分式方程点评:此类问题是初中数学的重点,是中考中比较常见的知识点,一般难度不大,需熟练掌握.8.解方程:【答案】x="3"【解析】先去分母,再移项、合并同类项,化系数为1,注意解分式方程最后要写检验.经检验x=3是原方程的解.【考点】解分式方程点评:解方程是中考必考题,一般难度不大,要特别慎重,尽量不在计算上失分.9.某超市用5000元购进一批新品种的苹果试销,由于销售状况良好,超市决定再用11000元购进该种苹果,但这次进货价比试销时多了0.5元,购进苹果数量是试销时的两倍。
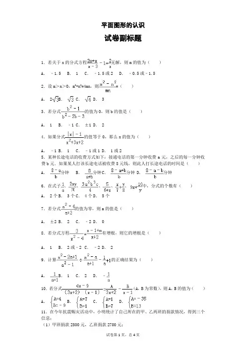
平面图形的认识试卷副标题1.若关于x的分式方程无解,则m的值为()A.﹣1.5 B. 1 C.﹣1.5或2 D.﹣0.5或﹣1.52.设m>n>0,m2+n2=4mn,则=()A. 2B. C. D. 33.若分式的值为0,则b的值是()A. 1 B.﹣1 C.±1 D. 24.如果分式的值等于0,那么x的值为()A.﹣1 B. 1 C.﹣1或1 D. 1或25.某种长途电话的收费方式如下:接通电话的第一分钟收费a元,之后的每一分钟收费b元.如果某人打该长途电话被收费8元钱,则此人打长途电话的时间是()A.分钟B.分钟C.分钟 D.分钟6.在式子、、、、、中,分式的个数有()A. 2个B. 3个C. 4个D. 5个7.若分式的值为零,则a的值是()A.±2 B. 2 C.﹣2 D. 08.若分式方程有增根,则它的增根是()A. 1 B. 2或﹣2 C.﹣2 D. 29.计算的正确结果为()A.B. 1 C. 2 D.﹣10.若分式(A,B为常数),则A,B的值为()A.B.C.D.11.在今年抗震赈灾活动中,小明统计了自己所在的甲、乙两班的捐款情况,得到三个信息:(1)甲班捐款2500元,乙班捐款2700元;(2)乙班平均每人捐款数比甲班平均每人捐款数多;(3)甲班比乙班多5人,设甲班有x人,根据以上信息列方程得()A.B.C.×(1+)=D.12.当m= 时,分式无意义;当m= 时,分式的值为零.13.已知3x=4y=5z,x≠0,则的值为.14.若分式的值为4,则x,y都扩大到原来的两倍后,这个分式的值为.15.若=2,则=16.方程的解为x= .17.已知分式方程的有增根,则实数k= .18.A、B两个港口相距300公里.若甲船顺水自A驶向B,乙船同时自B 逆水驶向A,两船在C处相遇.若乙船顺水自A驶向B,甲船同时自B逆水驶向A,则两船于D 处相遇,C、D相距30公里.已知甲船速度为27公里/小时,则乙船速度是公里/小时.19.已知,则代数式化简的最后结果是.20.在下列横线上填上“=”或“≠”号:(1);(2);(3);(4).21.已知(a≠b),求的值.22.设,求证23.先化简,再求值:,其中a的值在0,1,﹣1,2,5中选出一个合适的值.24.某工程,甲队单独做完所需天数是乙、丙两队合做所需天数的a倍,乙队独做所需天数是甲、丙两队合做所需天数的b倍,丙队独做所需天数是甲、乙两队合做所需天数的c倍,求的值.25.某自来水公司水费计算办法如下:若每户每月用水不超过5m3,则每立方米收费1.5元;若每户每月用水超过5m3,则超过部分每立方米收取较高的定额费用.2月份,小王家用水量是小李家用水量的,小王家当月水费是17.5元,小李家当月水费是27.5元,求超过5m3的部分每立方米收费多少元?26.太平洋号和北冰洋号两艘潜艇在海下沿直线同向潜航,北冰洋号在前,太平洋号在后,在潜航的某个时刻,太平洋号发出声波,间隔2秒后,再次发出声波.当声波传到北冰洋号时,北冰洋号会反射声波.已知太平洋号的航行速度是每小时54千米,第一次和第二次探测到北冰洋号反射的回波的间隔时间是2.01秒,声波传播的速度是每秒1185米,问北冰洋号潜航的速度是每小时多少千米?(精确到每小时1千米)27.小江计划将鱼在年底打捞出来运往某地出售,为了预订车辆运输,必须知道鱼塘内共有多少千克的鱼,他第一次从鱼塘中打捞出100条鱼,共240kg,作上记号后,又放回鱼塘.过了两天,又捞出200条鱼,共510kg,且发现其中有记号的鱼只有4条.(1)估计鱼塘中总共有多少条鱼?(2)若平均每千克鱼可获利润5元,预计小江今年卖鱼总利润约多少钱?28.某班组织20位同学去帮助某果园的果农采摘柑橘,任务是完成720千克柑橘的采摘、运送、包装三项工作,根据实际情况将三项工作的人员分配制成统计图,每人每小时完成某项工作量制作如下统计图:(1)按照如图的人员分配方案,已知各项工作完成的时间相等,那么问每人每小时运送、包装各多少千克柑橘并补全条形统计图;(2)若他们一起完成采摘任务后,小明同学将20人分成两组,一组运送,一组去包装,结果当负责运送的一组完成了任务时,另一个组在相等的时间内还有80千克的柑橘还没有包装,试问小明是怎样将人员分配的?29.若方程的解是正数,求a的取值范围.关于这道题,有位同学做出如下解答:解:去分母得:2x+a=﹣x+2.化简,得3x=2﹣a.故.欲使方程的根为正数,必须>0,得a<2.所以,当a<2时,方程的解是正数.上述解法是否有误?若有错误请说明错误的原因,并写出正确解答;若没有错误,请说出每一步解法的依据.30.先阅读下面的材料,然后解答问题:通过观察,发现方程:的解为;的解为;的解为;…(1)观察上述方程的解,猜想关于x的方程的解是;(2)根据上面的规律,猜想关于x的方程的解是;(3)把关于x的方程变形为方程的形式是,方程的解是.参考答案1.D【解析】试题分析:去分母得出方程①(2m+x)x﹣x(x﹣3)=2(x﹣3),分为两种情况:①根据方程无解得出x=0或x=3,分别把x=0或x=3代入方程①,求出m;②求出当2m+1=0时,方程也无解,即可得出答案.解:方程两边都乘以x(x﹣3)得:(2m+x)x﹣x(x﹣3)=2(x﹣3),即(2m+1)x=﹣6,①①∵当2m+1=0时,此方程无解,∴此时m=﹣0.5,②∵关于x的分式方程无解,∴x=0或x﹣3=0,即x=0,x=3,当x=0时,代入①得:(2m+0)×0﹣0×(0﹣3)=2(0﹣3),解得:此方程无解;当x=3时,代入①得:(2m+3)×3﹣3(3﹣3)=2(3﹣3),解得:m=﹣1.5,∴m的值是﹣0.5或﹣1.5,故选D.考点:分式方程的解.点评:本题考查了对分式方程的解的理解和运用,关键是求出分式方程无解时的x的值,题目比较好,难度也适中.2.A【解析】试题分析:先根据m2+n2=4mn可得出(m2+n2)2=16m2n2,由m>n>0可知,>0,故可得出=,再把(m2﹣n2)2化为(m2+n2)2﹣4m2n2代入进行计算即可.解:∵m2+n2=4mn,∴(m2+n2)2=16m2n2,∵m>n>0,∴>0,∴=,∵(m2﹣n2)2=(m2+n2)2﹣4m2n2,∴原式=====2.故选A.考点:分式的化简求值;完全平方公式.点评:本题考查的是分式的化简求值及完全平方公式,能根据完全平方公式得到(m2﹣n2)2=(m2+n2)2﹣4m2n2是解答此题的关键.3.A【解析】试题分析:分式的值为0的条件是:(1)分子=0;(2)分母≠0.两个条件需同时具备,缺一不可.据此可以解答本题.解:由题意,得:b2﹣1=0,且b2﹣2b﹣3≠0;解得:b=1;故选A.考点:分式的值为零的条件.点评:由于该类型的题易忽略分母不为0这个条件,所以常以这个知识点来命题.4.B【解析】试题分析:分式的值是0的条件是:分子为0,分母不为0.解:∵|x|﹣1=0,∴x=±1,当x=1时,x2+3x+2≠0,当x=﹣1时,x2+3x+2=0,∴当x=1时分式的值是0.故选B.考点:分式的值为零的条件.点评:分式是0的条件中特别需要注意的是分母不能是0,这是经常考查的知识点.5.C【解析】试题分析:由题意可知收费为=a+(打长途电话的时间﹣1)b.解:设此人打长途电话的时间是x分钟,则有a+b(x﹣1)=8,解得:x=.故选C.考点:列代数式(分式).点评:注意此题的分类收费方式.找到相应的量的等量关系是解决问题的关键.6.B【解析】试题分析:判断分式的依据是看分母中是否含有字母,如果含有字母则是分式,如果不含有字母则不是分式.解:、、9x+这3个式子的分母中含有字母,因此是分式.其它式子分母中均不含有字母,是整式,而不是分式.故选B.考点:分式的定义.点评:本题主要考查分式的概念,分式与整式的区别主要在于:分母中是否含有字母.7.B【解析】试题分析:分式的值为0的条件是:(1)分子=0;(2)分母≠0.两个条件需同时具备,缺一不可.据此可以解答本题.解:∵=0,∴,∴a=2,故选B.考点:分式的值为零的条件.点评:此题考查的是对分式的值为0的条件的理解,该类型的题易忽略分母不为0这个条件.8.C【解析】试题分析:让最简公分母为0可得分式方程可能的增根,进而代入得到的整式方程,舍去不合题意的解即可.解:由题意得x2﹣4=0,解得x=2或﹣2,原方程化为整式方程为3=(x﹣1+m)(x﹣2)当x=2时,右边为0,所以不能是2,当x=﹣2时,左边可能等于右边,故选C.考点:分式方程的增根.点评:考查分式方程增根的相关知识;用到的知识点为:分式方程的增根是分式方程化为整式方程后,产生的使原分式方程的分母为0的根.注意本题需检验不适合原方程的增根.9.B【解析】试题分析:先分解因式,再约分,最后算减法.解:原式=﹣+1=﹣+1=1.故选B.考点:分式的混合运算.点评:本题主要考查分式的混合运算,注意:混合运算的顺序.10.B【解析】试题分析:对等式右边通分加减运算和,再根据对应项系数相等列方程组求解即可.解:.所以,解得.故选B.考点:分式的加减法;解二元一次方程组.点评:此题考查了分式的减法,比较灵活,需要熟练掌握分式的加减运算.11.C【解析】试题分析:人数为未知数,有各个班的捐款总数,应根据每个班每人捐款数来列等量关系.关键描述语是:乙班平均每人捐款数比甲班平均每人捐款数多.等量关系为:甲班平均每人捐款数×(1+)=乙班平均每人捐款数.解:甲班每人的捐款额为:,乙班每人的捐款额为:.根据(2)中所给出的信息,方程可列为:×(1+)=.故选C.考点:由实际问题抽象出分式方程.点评:找到关键描述语,找到等量关系是解决问题的关键.12.1 1【解析】试题分析:当分母为零时,分式无意义;当分母不为0,分子为0时,分式的值为0.解:当1﹣m=0,即m=1时,分式无意义;当m2﹣1=0,且m+1≠0,即m=1时,分式的值为零.故答案是:1、1.考点:分式的值为零的条件;分式有意义的条件.点评:本题考查了分式的值为零的条件、分式有意义的条件.若分式的值为零,需同时具备两个条件:(1)分子为0;(2)分母不为0.这两个条件缺一不可.13.【解析】试题分析:因为x≠0,故y≠0,z≠0,设3x=4y=5z=k,则x=,y=,z=,将其代入原式即可.解:∵x≠0,故y≠0,z≠0,设3x=4y=5z=k,则x=,y=,z=.原式===.故答案为.考点:分式的基本性质.点评:本题主要考查分式的基本性质,比较简单.14.4【解析】试题分析:x,y都扩大到原来的两倍后,即x变成2x,y变成2y,用2x,2y分别代替式子中的x,y,利用分式的基本性质化简即可.解:用2x,2y分别代替式子中的x,y得=4故分式的值为4.考点:分式的基本性质.点评:解题的关键是抓住分子、分母变化的倍数.规律总结:解此类题首先把字母变化后的值代入式子中,然后约分,最终得出结论.15.【解析】试题分析:由=2,得x+y=2xy,整体代入所求的式子化简即可.解:由=2,得x+y=2xy则===.故答案为.考点:分式的基本性质.点评:解题关键是用到了整体代入的思想.16.【解析】试题分析:运用平方差公式将各分母因式分解,再将每个分式拆分为两个分式,化简合并后,去分母,解整式方程并检验.解:原方程化为:﹣﹣+﹣=,将分式拆分,得﹣﹣+﹣++﹣﹣+=,合并,得﹣=,去分母,整理得4x2=50,解得x=±,经检验x=±为原方程的根.故本题答案为:±.考点:解分式方程.点评:本题考查了解分式方程的方法.将各分母因式分解后,可以找公分母,也可以采用拆分的方法把方程化简.17.0【解析】试题分析:去分母后求出x,根据方程有增根得出x=0,x=﹣1,代入的两个关于k的方程,求出方程的解即可.解:去分母得:x=3k(x+1),x=,∵分式方程的有增根,∴x=0或x=﹣1,当x=0时,=0,解得:k=0,当x=﹣1时,=﹣1,此方程无解,故答案为:0.考点:分式方程的增根.点评:本题考查了对分式方程的增根的理解和运用,关键是得出关于k的方程.题型较好,但是一道比较容易出错的题目.18.33或22【解析】试题分析:两次相遇所用的时间相等.若C在D的上游,则根据乙比甲多走30公里列出方程解答即可;若C在D的下游,则根据甲比乙多走30公里列出方程解答即可.解:已知A、B两港相距300公里,甲船速为27公里/小时.设乙船速为v公里/小时,水流速为x公里/小时,则甲船顺水速为(27+x)公里/小时,逆水速为(27﹣x)公里/小时.乙船顺水速为(v+x)公里/小时,逆水速为(v﹣x)公里/小时.甲船自A顺水,乙船自B逆水同时相向而行,相遇在C处时间为:同理,乙船自A顺水,甲船自B逆水同时相向而行,相遇在D处所需时间为:可见,两个时间相等.由图易见,小时中,乙船比甲船多走30公里,即:,,,v=33.如果C在D的右边,由图易见,小时中,甲船比乙船多走30公里,即:,v=22.答:若C在D的左边,乙船速度是33公里/小时;若C在D的右边,乙船速度是22公里/小时.故答案为33或22.考点:分式方程的应用.点评:考查分式方程的应用;根据在相同时间内两船所走路程相差30公里得到等量关系是解决本题的关键.19.【解析】试题分析:观察已知,a、b的关系已经确定,那么需根据确定a与c或b与c的关系.即用c表示a、b.再将a、b代入化简求解.解:⇒⇒⇒⇒⇒又因为a+b=1所以,将a、b代入===.考点:分式的化简求值;完全平方式.点评:我们在用完全平方公式化简时,有时代数式比较复杂,也不要着急、恐惧,我们要按照基本步骤,最终达到化简目的.本题就是这样,在通过转化为的过程中就是这样.20.= ≠ = ≠【解析】试题分析:根据分式的基本性质,分式的分子分母同时乘以﹣1,分式的值不变,因而在分式的分子、分母、分式本身三者的符号中同时该变其中的两个分式的值不变,因而第一个和第三个分式的值不变,第二个同时改变三个式子的值变成原式的相反数.第四个式子的变形不是依据分式的基本性质.解:(1)=;(2)≠;(3)=;(4)≠.故答案为=、≠、=、≠.考点:分式的基本性质.点评:分式的符号变化时需要熟记的内容,它是分式的基本性质的基本应用.21.【解析】试题分析:求出=,通分得出﹣,推出,化简得出,代入求出即可.解:∵+=,∴=,∴﹣,=﹣,=,=,=,=.考点:分式的化简求值;约分;通分;分式的加减法.点评:本题考查了通分,约分,分式的加减的应用,能熟练地运用分式的加减法则进行计算是解此题的关键,用了整体代入的方法(即把当作一个整体进行代入).22.设=t(参数),则x=yt,a=bt,分别代入等式的左右两边化简,证明左边=右边.【解析】试题分析:设=t(参数),则x=yt,a=bt,分别代入等式的左右两边化简,证明左边=右边.证明:设=t,则x=yt,a=bt,左边=+=,右边===,左边=右边,得证.考点:分式的加减法.点评:本题考查了分式等式的证明方法,根据已知等式的特点,设参数,能使运算简便.23.﹣5【解析】试题分析:先把各分式的分子分母分解因式,并把除法运算转化为乘法运算,然后根据分式的乘法运算约分化简得到最简形式,再根据分式有意义的条件求出a的取值范围,再把a 的值代入进行计算即可求解.解:÷+(1+﹣)•,=•+•,=2a+•,=2a+,根据分式有意义的条件,a+1≠0,a﹣1≠0,a(a﹣2)≠0,解得a≠1,a≠﹣1,a≠0,a≠2,∴当a=5时,原式=2a+=2×5+=10﹣15=﹣5.故答案为:﹣5.考点:分式的化简求值.点评:本题主要考查了分式的化简求值,分子、分母能因式分解的先因式分解;除法要统一为乘法运算,注意根据分式有意义的条件求出a的取值范围,这也是本题容易出错的地方.24.1【解析】试题分析:分别设出甲、乙、丙单独做完成工程所需天数,利用工作时间=工作总量÷工作效率解答即可解:设甲、乙、丙单独完成这项工程各需x天、y天、z天,根据题意得,x=a =,由此得出a=,a+1=,=;同理可得=;=;所以=++==1.考点:分式方程的应用.点评:本题考查了分式方程在工程问题中的应用及分式的加法运算,有一定难度.根据工作时间=工作总量÷工作效率列出方程是解题的关键,根据比例的性质及分式的运算法则进行变形是本题的难点.25.【解析】试题分析:根据小王和小李家的水电费的金额可判断出两家用水均超过5立方米.关键描述语为:“小王家用水量是小李家用水量的”;等量关系为:小王家超出5立方米所付的钱÷超出部分的定额费用+5=(小李家超出5立方米所付的钱÷超出部分的定额费用+5)×.解:设超过5m3的部分每立方米收费x元.根据题意小王与小李家的用水量超过5立方米,可得:5+=×(5+).解之,得x=2.经检验,x=2是原方程的解,且符合题意.∴超过5m3的部分每立方米收费2元.考点:分式方程的应用.点评:分析题意,找到关键描述语,找到合适的等量关系是解决问题的关键.26.65千米/时【解析】试题分析:设出北冰洋号潜航的速度,第一次发信号时两船的距离,关键描述语是“第一次和第二次探测到北冰洋号反射的回波的间隔时间是2.01秒”,等量关系为:第二次得到信号所用的时间﹣第一次得到信号所用的时间=2.01,把相关数值代入即可求解.解:设太平洋号向北冰洋号第一次发出信号时,两艘潜艇相距S米,北冰洋号潜航的速度为v米/秒.太平洋号的航线速度为15米/秒;太平洋号第一次发出的声波传到北冰洋号的时间是(秒);第一个声波传到北冰洋号时,两艘潜艇相距的距离为S+×(v﹣15)(米);从太平洋号第一次发出声波到探测到第一个返回声波之间的时间为:+(秒);第二次发出声波时,两艘舰艇之间的距离为S+2×(v﹣15)(米);从太平洋号第二次发出声波到探测到第二个返回声波的时间是+(秒);∴2+﹣(+)=2.01,395×(v﹣15)=1185﹣v,解得v=17米/秒=64千米/时≈65千米/时.考点:分式方程的应用.点评:本题考查分式方程在行程问题中的应用,关键是得到时间相应的等量关系;易错点是得到相应时间关系的代数式.27.(1)鱼塘中总共有大约5000条鱼(2)预计小江今年卖鱼总利润约62500元【解析】试题分析:(1)等量关系为:4÷200=100÷鱼的总数,把相关数值代入计算即可;(2)求得捞出鱼的总重量,除以捞出鱼的总条数即为一条鱼的重量,乘以鱼的总条数,再乘以每千克鱼的利润可得总利润.解:(1)设鱼塘中总共有x条鱼,由题意,解得x=5000,经检验,x=5000是原方程的根.答:鱼塘中总共有大约5000条鱼.(2)解:塘中平均每条鱼约重(240+510)÷((100+200)=2.5(kg);塘中鱼的总质量约为2.5×5000=12500(kg);小江可获利润总额为12500×5=62500(元)答:预计小江今年卖鱼总利润约62500元.考点:用样本估计总体;分式方程的应用.点评:考查用样本估计总体的有关计算;用样本概率估计总体是解决本题的思想;求得塘中平均每条鱼的重量是解决本题的易错点;用到的知识点为:样本容量越大,得到的数值越精确.28.(1)运送每人每小时45千克,包装每人每小时60千克,(2)小明安排了12人运送,8人包装.【解析】试题分析:(1)用总人数乘以分别所占的百分比得采摘、运送、包装的具体人数,再用720千克除以6人采摘的总个数360,可得采摘的时间,即可每人每小时运送、包装的千克数;(2)根据题意,运用分式方程求解.解:(1)采摘20×30%=6人,运送20×40%=8人,包装20×30%=6人;设采摘了x小时,则,360x=720,∴x=2(小时)每人每时包装(千克)每人每时运送(千克)(2)负责包装的人数为y,则运送人数为20﹣y,依题意得,解得y=8经检验:y=8是原方程的根.答:(1)运送每人每小时45千克,包装每人每小时60千克,(2)小明安排了12人运送,8人包装.考点:条形统计图;分式方程的应用;扇形统计图.点评:本题考查的是条形统计图和扇形统计图的综合运用.读懂统计图,从不同的统计图中得到必要的信息是解决问题的关键.条形统计图能清楚地表示出每个项目的数据;扇形统计图直接反映部分占总体的百分比大小.29.有错,结果为a<2且a≠﹣4【解析】试题分析:化为整式方程,求得x的值然后根据解的情况进行分析没有错,但还应考虑分母x﹣2≠0即x≠2.解:有错,当a<2时,分母有可能为零;改正:因为x≠2,所以,a≠﹣4,所以结果为a<2且a≠﹣4.考点:分式方程的解.点评:本题需注意在任何时候都要考虑分母不为0.30.(1)(2)(3)【解析】试题分析:(1)观察所给材料的规律方程解有两个,一般是一个整数,另一个是它的倒数,所以此方程的解就可以确定.(2)根据(1)的结论容易确定方程一个是x=c,另一个是它的倒数;(3)首先把方程变形为,此时(x﹣1)相当于原来方程中的x,根据(1)就可以确定方程的解.解:(1);(2);(3)∵方程变形为:﹣1=a﹣1+再变形为:,∴,∴x﹣1=a﹣1,x﹣1=,∴.考点:解分式方程.点评:此题一个阅读题目,首先通过阅读题目,找出题目中的隐规律,然后利用规律解决后面的问题,尤其是第三小题还要将方程变形,才能利用前面的规律解题,对于学生的要求比较高.。
(专题精选)初中数学方程与不等式之分式方程经典测试题及答案一、选择题1.八年级学生去距学校10千米的博物馆参观,一部分学生骑自行车先走,过了20分钟后,其余学生乘汽车出发,结果他们同时到达,已知汽车的速度是骑车学生速度的2倍.设骑车学生的速度为x千米/小时,则所列方程正确的是()A.10x-102x=20 B.102x-10x=20 C.10x-102x=13D.102x-10x=13【答案】C【解析】【分析】根据八年级学生去距学校10千米的博物馆参观,一部分学生骑自行车先走,过了20分钟后,其余学生乘汽车出发,结果他们同时到达,可以列出相应的方程,从而可以得到哪个选项是正确的.【详解】由题意可得,10 x -102x=13,故选:C.【点睛】此题考查由实际问题抽象出分式方程,解题的关键是明确题意,找出题目中的等量关系,列出相应的方程.2.若数a使关于x的不等式组()3x a2x11x2x2⎧-≥--⎪⎨--≥⎪⎩有解且所有解都是2x+6>0的解,且使关于y的分式方程y51y--+3=ay1-有整数解,则满足条件的所有整数a的个数是()A.5 B.4 C.3 D.2【答案】D【解析】【分析】由不等式组有解且满足已知不等式,以及分式方程有整数解,确定出满足题意整数a的值即可.【详解】不等式组整理得:13x ax≥-⎧⎨≤⎩,由不等式组有解且都是2x+6>0,即x>-3的解,得到-3<a-1≤3,即-2<a≤4,即a=-1,0,1,2,3,4,分式方程去分母得:5-y+3y-3=a ,即y=22a -, 由分式方程有整数解,得到a=0,2,共2个,故选:D .【点睛】 本题考查了分式方程的解,解一元一次不等式,以及解一元一次不等式组,熟练掌握运算法则是解本题的关键.3.下列说法中正确的是( )A .顺次连接一个四边形四边中点得到的四边形是平行四边形B .9的平方根为3C .抛物线21(1)32y x =-++的顶点坐标为(1,3) D .关于x 的分式方程121m x -=-的解为非负数,则m 的取值范围是m≥-1 【答案】A【解析】【分析】 根据各个选项中的说法,可以判断各个选项中的说法是否正确,从而可以解答本题.【详解】A 、顺次连接一个四边形四边中点得到的四边形是平行四边形,该选项正确;B 、9的平方根是±3,该选项错误;C 、抛物线21(1)32y x =-++的顶点坐标为(-1,3) ,该选项错误; D 、由方程121m x -=-去分母得:12m x +=, ∵关于x 的分式方程的解为非负数, ∴102m +≥且112m x +=≠, 解得:1m ≥-且1m ≠,该选项错误;故选:A .【点睛】本题考查了二次函数的性质、平方根、平行四边形的判定、中点四边形、解分式方程,解答本题的关键是明确题意,可以判断各个选项中的说法是否正确.解分式方程要注意分母不能为0这个条件.4.甲、乙两个搬运工搬运某种货物,已知乙比甲每小时多搬运600kg ,甲搬运5000kg 所用的时间与乙搬运8000kg 所用的时间相等,求甲、乙两人每小时分别搬运多少千克货物.设甲每小时搬运xkg 货物,则可列方程为A .B .C .D .【答案】B【解析】甲种机器人每小时搬运x 千克,则乙种机器人每小时搬运(x+600)千克, 由题意得:, 故选B.【点睛】本题考查了列分时方程解实际问题的运用,解答时根据甲搬运5000kg 所用时间与乙搬运8000kg 所用时间相等建立方程是关键.5.如果关于x 的分式方程11222a x x-+=--有整数解,且关于x 的不等式组43(1)211(1)22x x x x a ≥-⎧⎪⎨-+<-⎪⎩有且只有四个整数解,那么符合条件的所有整数a 的和是( ) A .4B .-2C .-3D .2 【答案】A【解析】【分析】分式方程去分母转化为整式方程,表示出整数方程的解,不等式组整理后,由解只有四个整数解,确定出a 的值,求出之和即可.【详解】解:分式方程去分母得:1-a+2x-4=-1, 解得:22a x +=,且222a +≠,a 为偶数, 即2a ≠,a 为偶数, 不等式组整理得:34x a x ≥-⎧⎪⎨⎪⎩<, 由不等式组只有四个整数解,得到x=-3,-2,-1,0,可得0<4a ≤1,即0<a≤4,即a=1,2,3,4, 经检验a=4,则和为4,故选:A .【点睛】 此题考查了分式方程的解,以及一元一次不等式组的整数解,熟练掌握运算法则是解本题6.从﹣4,﹣3,﹣2,﹣1,0,1,3,4,5这九个数中,随机抽取一个数,记为a ,则数a 使关于x 的不等式组()1242122123x a x x ⎧--≤⎪⎪⎨-⎪<+⎪⎩至少有四个整数解,且关于x 的分式方程233a x x x ++--=1有非负整数解的概率是( ) A .29 B .13 C .49 D .59【答案】C【解析】【分析】先解出不等式组,找出满足条件的a 的值,然后解分式方程,找出满足非负整数解的a 的值,然后利用同时满足不等式和分式方程的a 的个数除以总数即可求出概率.【详解】解不等式组得:7x a x ≤⎧⎨>-⎩, 由不等式组至少有四个整数解,得到a≥﹣3,∴a 的值可能为:﹣3,﹣2,﹣1,0,1,3,4,5,分式方程去分母得:﹣a ﹣x+2=x ﹣3,解得:x =52a - , ∵分式方程有非负整数解,∴a =5、3、1、﹣3,则这9个数中所有满足条件的a 的值有4个,∴P =49故选:C .【点睛】本题主要考查解一元一次不等式组,分式方程的非负整数解,随机事件的概率,掌握概率公式是解题的关键.7.甲、乙二人做某种机械零件,甲每小时比乙多做6个,甲做90个所用的时间与做60个所用的时间相等.设甲每小时做x 个零件,下面所列方程正确的是( )A .90606x x =- B .90606x x =+ C .90606x x =- D .90606x x=+ 【答案】A解:设甲每小时做x个零件,则乙每小时做(x﹣6)个零件,由题意得:90606x x=-.故选A.8.甲、乙两人同时分别从A,B两地沿同一条公路骑自行车到C地.已知A,C两地间的距离为110千米,B,C两地间的距离为100千米.甲骑自行车的平均速度比乙快2千米/时.结果两人同时到达C地.求两人的平均速度,为解决此问题,设乙骑自行车的平均速度为x千米/时.由题意列出方程.其中正确的是()A.1101002x x=+B.1101002x x=+C.1101002x x=-D.1101002x x=-【答案】A【解析】设乙骑自行车的平均速度为x千米/时,则甲骑自行车的平均速度为(x+2)千米/时,根据题意可得等量关系:甲骑110千米所用时间=乙骑100千米所用时间,根据等量关系可列出方程即可.解:设乙骑自行车的平均速度为x千米/时,由题意得:1102 x+=100x,故选A.9.方程10020x+=6020x-的解为()A.x=10 B.x=﹣10 C.x=5 D.x=﹣5【答案】C【解析】【分析】方程两边同时乘以(20+x)(20﹣x),解得,x=5,经检验,x=5是方程的根.【详解】解:方程两边同时乘以(20+x)(20﹣x),得100(20﹣x)=60(20+x),整理,得8x=40,解得,x=5,经检验,x=5是方程的根,∴原方程的根是x=5;故选:C.【点睛】本题考查分式方程的解法;熟练掌握分式方程的解法,切勿遗漏验根是解题的关键.10.张老师和李老师同时从学校出发,步行15千米去县城购买书籍,张老师比李老师每小时多走1千米,结果比李老师早到半小时,两位老师每小时各走多少千米?设李老师每小时走x 千米,依题意,得到的方程是( )A .1515112x x -=+ B .1515112x x -=+ C .1515112x x -=- D .1515112x x -=- 【答案】B【解析】【分析】 设小李每小时走x 千米,则小张每小时走(x+1)千米,根据题意可得等量关系:小李所用时间-小张所用时间=半小时,根据等量关系列出方程即可.【详解】解:设小李每小时走x 千米,依题意得:1515112x x -=+ 故选B .【点睛】此题主要考查了由实际问题抽象出分式方程,关键是正确理解题意,找出题目中的等量关系列出方程.11.对于实数a 、b ,定义一种新运算“⊗”为:23a b a ab⊗=-,这里等式右边是通常的四则运算.若32x x ⊗⊗(﹣)=,则x 的值为( )A .-2B .-1C .1D .2 【答案】B【解析】【分析】利用题中的新定义变形已知等式,然后解方程即可.【详解】 根据题中的新定义化简得:339342x x=+-,去分母得:12﹣6x =27+9x ,解得:x =﹣1,经检验x =﹣1是分式方程的解.故选B .【点睛】本题考查了新定义和解分式方程,利用了转化的思想,解分式方程注意要检验.12.某车间加工12个零件后,采用新工艺,工效比原来提高了50%,这样加工同样多的零件就少用1小时,那么采用新工艺前每小时加工的零件数为 ( )A .3个B .4个C .5个D .6个【答案】B【分析】根据题意,找出题目的等量关系,列出方程,解方程即可得到答案.【详解】解:根据题意,得:12121(150%)x x -=+, 解得:4x =;经检验,4x =是原分式方程的解.∴那么采用新工艺前每小时加工的零件数为4个;故选:B .【点睛】此题主要考查了分式方程的应用,其中找出方程的关键语,找出数量关系是解题的关键.注意解分式方程需要检验.13.已知A 、C 两地相距40千米,B 、C 两地相距50千米,甲乙两车分别从A 、B 两地同时出发到C 地.若乙车每小时比甲车多行驶12千米,则两车同时到达C 地.设乙车的速度为x 千米/小时,依题意列方程正确的是( )A .405012x x =- B .405012x x =- C .405012x x =+ D .405012x x=+ 【答案】B【解析】 试题解析:设乙车的速度为x 千米/小时,则甲车的速度为(x-12)千米/小时, 由题意得,405012x x=-. 故选B .14.方程31144x x x --=--的解是( ) A .-3B .3C .4D .-4【答案】B【解析】【分析】分式方程去分母转化为整式方程,求出整式方程的解得到x 的值,经检验即可得到分式方程的解.【详解】去分母得:3-x-x+4=1,解得:x=3,经检验x=3是分式方程的解.【点睛】此题考查解分式方程,解分式方程的基本思想是“转化思想”,把分式方程转化为整式方程求解.解分式方程一定注意要验根.15.如果关于x 的分式方程2ax 423x x 3++=--有正整数解,且关于y 的不等式组()3y 34y y a⎧-⎨≥⎩>无解,那么符合条件的所有整数a 的和是( ) A .﹣16B .﹣15C .﹣6D .﹣4 【答案】D【解析】【分析】先根据分式方程有正整数解确定出a 的值,再由不等式组无解确定出满足题意的a 的值,求出之和即可.【详解】解:分式方程去分母得:2+ax ﹣2x+6=﹣4,整理得:(a ﹣2)x =﹣12(a ﹣2≠0),解得:x 12a 2=--, 由分式方程有正整数解,得到a =1,0,﹣1,﹣2,﹣4,﹣10,当a =﹣2时,x =3,原分式方程无解,所以a =1,0,﹣1,﹣4,﹣10,不等式组整理得:y<9y a -⎧⎨≥⎩, 由不等式组无解,即a≥﹣9,∴符合条件的所有整数a 有1,0,﹣1,﹣4,∴a =1,0,﹣1,﹣4,之和为﹣4,故选:D .【点睛】此题考查了分式方程的解,解一元一次不等式组的整数解,熟练掌握运算法则是解本题的关键.16.若整数a 使得关于x 的方程3222a x x-=--的解为非负数,且使得关于y 的不等式组32212203y y y a --⎧+>⎪⎪⎨-⎪≤⎪⎩至少有四个整数解,则所有符合条件的整数a 的和为( ).A.17 B.18 C.22 D.25【答案】C【解析】【分析】表示出不等式组的解集,由不等式至少有四个整数解确定出a的值,再由分式方程的解为非负数以及分式有意义的条件求出满足题意整数a的值,进而求出之和.【详解】解:3221223y yy a--⎧+>⎪⎪⎨-⎪⎪⎩„,不等式组整理得:1 yy a>-⎧⎨⎩„,由不等式组至少有四个整数解,得到-1<y≤a,解得:a≥3,即整数a=3,4,5,6,…,2-322ax x=--,去分母得:2(x-2)-3=-a,解得:x=72a -,∵72a-≥0,且72a-≠2,∴a≤7,且a≠3,由分式方程的解为非负数以及分式有意义的条件,得到a为4,5,6,7,之和为22.故选:C.【点睛】此题考查了解分式方程,以及解一元一次不等式组,熟练掌握运算法则是解本题的关键.17.小明上月在某文具店正好用 20 元钱买了几本笔记本,本月再去买时,恰遇此文具店搞优惠酬宾活动,同样的笔记本,每本比上月便宜 1 元,结果小明只比上次多用了 4 元钱,却比上次多买了 2 本.若设他上月买了 x 本笔记本,则根据题意可列方程()A.24x2+-20x=1 B.20x-24x2+=1C.24x-20x2+=1 D.20x2+-24x=1【答案】B【解析】试题解析:设他上月买了x本笔记本,则这次买了(x+2)本,根据题意得:2020412x x +-=+, 即:202412x x -=+. 故选B .考点:分式方程的应用.18.初二18班为课外体育活动购买了实心球和跳绳.已知跳绳的单价比实心球的单价贵40元,购买实心球总花费为1610元,购买跳绳总花费为1650元,购买实心球的数量比跳绳的数量多8个,求实心球的单价.设实心球单价为x 元,所列方程正确的是( ) A .16501610840x x -=+ B .16501610840x x -=+ C .16101650840x x -=+ D .16101650840x x -=+ 【答案】C【解析】【分析】设实心球单价为x 元,则跳绳单价为()40x +元,根据“购买实心球的数量比跳绳的数量多8个”即可得到方程.【详解】 解:设实心球单价为x 元,则跳绳单价为()40x +元,根据题意得,16101650840x x -=+. 故选:C【点睛】本题考查了分式方程的实际应用,解答本题的关键是审清题意,找到等量关系即可得解.19.“绿水青山就是金山银山”.某工程队承接了60万平方米的荒山绿化任务,为了迎接雨季的到来,实际工作时每天的工作效率比原计划提高了25%,结果提前30天完成了这一任务.设实际工作时每天绿化的面积为x 万平方米,则下面所列方程中正确的是( ) A .606030(125%)x x -=+ B .606030(125%)x x -=+ C .60(125%)6030x x⨯+-= D .6060(125%)30x x⨯+-= 【答案】C【解析】 分析:设实际工作时每天绿化的面积为x 万平方米,根据工作时间=工作总量÷工作效率结合提前 30 天完成任务,即可得出关于x 的分式方程.详解:设实际工作时每天绿化的面积为x 万平方米,则原来每天绿化的面积为125%x +万平方米, 依题意得:606030125%x x -=+,即()60125%6030x x ⨯+-=. 故选C .点睛:考查了由实际问题抽象出分式方程.找到关键描述语,找到合适的等量关系是解决问题的关键.20.“母亲节”当天,某花店主打“康乃馨花束”,上午销售额为3000元,下午因市场需求量增大,店家将该花束单价提高30元,且下午比上午多售出40束,销售额为7200元,设该花束上午单价为每束x 元,则可列方程为( )A .300072004030x x -=+ B .720030004030x x -=+ C .720030004030x x-=+ D .300072004030x x -=+ 【答案】C【解析】【分析】设该花束上午单价为每束x 元,则下午单价为每束(x+30)元,根据数量=总价÷单价,结合下午比上午多售出40束,即可得出关于x 的分式方程,此题得解.【详解】设该花束上午单价为每束x 元,则下午单价为每束(x+30)元,依题意,得:720030004030x x-=+ 故选:C【点睛】本题考查了列分式方程解决实际问题,审题是基础,难点是找出能够表示应用题全部含义的一个相等关系,关键是设未知数和用未知数的代数式表示有关的未知量.。
初中数学:分式和分式方程练习(含答案)(时间:90分钟 满分:120分)一、选择题(第1~6小题,每小题2分,第7~16小题,每小题3分,共42分) 1.下列各式:xπ+2,5p 2p,a 2-b 22,1n +m ,其中分式共有 ( )A.1个B.2个C.3个D.4个2.要使分式1x+2有意义,则x 的取值应满足 ( ) A.x =-2 B.x ≠2 C.x >-2 D.x ≠-23.下列分式是最简分式的是 ( ) A.2a 3a 2b B.aa 2-3a C.a+ba +b D.a 2-aba -b 4.下列运算错误的是 ( )A.(a -b )2(b -a )2=1B.-a -ba+b =-1 C.0.5a+b0.2a -0.3b =5a+10b 2a -3bD.a -ba+b =b -ab+a5.下列方程是分式方程的是 ( ) A.xx -1-3=1x+1 B.x5=10-x C.x -105=x+155D.5x +3=2x —26.解分式方程x3+x -22+x =1时,去分母后可得到 ( ) A.x (2+x )—2(3+x )=1 B.x (2+x )—2=2+xC.x (2+x )—2(3+x )=(2+x )(3+x )D.x —2(3+x )=3+x7.若分式x -1x 2+6的值为正数,则x 的取值范围为( )A.x >1B.x =-1C.x ≥-1D.x <-18.已知a2=b3=c4≠0,则a+b c的值为 ( )A.45 B.54 C.2 D.129.化简m 2+mnm 2-n 2的结果是 ( ) A.2mm -n B.mm -n C.m m+n D.m+n m -n10.化简m 2m -3-9m -3的结果是 ( ) A.m +3 B.m-3 C.m -3m+3 D.m+3m -3 11.若x =3是分式方程a -2x-1x -2=0的根,则a 的值是( )A.5B.-5C.3D.-312.方程3x =2x -2的解为 ( ) A.x =2 B.x =6 C.x =-6 D.无解13.在正数范围内定义一种运算“※”,其规则为a ※b =1a +1b ,如2※4=12+14=34.根据这个规则,方程3※(x +1)=1的解为 ( ) A.x =12 B.x =1 C.x =-1 D.x =-1214.张三和李四两人加工同一种零件,每小时张三比李四多加工5个零件,张三加工120个这种零件与李四加工100个这种零件所用时间相等,求张三和李四每小时各加工多少个这种零件.若设张三每小时加工这种零件x 个,则下面列出的方程正确的是 ( ) A.120x -5=100x B.120x =100x -5 C.120x+5=100xD.120x=100x+515.两个小组同时开始攀登一座450米高的山,第一组的攀登速度比第二组每分钟快1米,第一组比第二组早15分到达顶峰,则第一组的攀登速度是 ( ) A.6米/分 B.5.5米/分 C.5米/分 D.4米/分16.学完分式运算后,老师出了一道题“化简:x+3x+2+2-xx 2-4”.小明的做法是:原式=(x+3)(x -2)x -4-x -2x -4=x 2+x -6-x -2x -4=x 2-8x -4;小亮的做法是:原式=(x +3)(x-2)+(2-x )=x 2+x-6+2-x =x 2-4;小芳的做法是:原式=x+3x+2-x -2(x+2)(x -2)=x+3x+2-1x+2=x+3-1x+2=1.其中正确的是 ( )A.小明B.小亮C.小芳D.没有正确的二、填空题(每小题3分,共12分)17.当x 时,分式x+2x 2+1的值为正;当a 时,分式3a -1a 2+1的值为非负数.18.已知关于x 的分式方程a+1x -3=2有增根,则a = .19.一组按规律排列的式子:a 2,a 43,a 65,a 87,….则第n 个式子是 . 20.已知x +1x =9,则x 2+1x 的值为 . 三、解答题(共66分)21.(10分)计算(a 2b )2·(-b 2a )3÷(-b a )4.22.(10分)先化简,再求值:(1-1x+1)÷xx -1,其中x =-32. 23.(10分)解方程. (1)31-x =xx -1-5; (2)3x 2-9+xx -3=1.24.(12分)若关于x 的方程1x -2+kx+2=3x 2-4有增根,求增根和k 的值.25.(12分)甲、乙两位采购员同去一家饲料公司各购买两次饲料.两次饲料的价格略有变化,两位采购员的购货方式也不同,其中甲每次购买1000千克,乙每次用去800元,而不管购买多少饲料,设两次购买饲料的单价分别为m元/千克和n 元/千克(m,n是正数,且m≠n),那么甲、乙两次所购买的饲料的平均单价各是多少?哪一个较低?26.(12分)烟台享有“苹果之乡”的美誉.甲、乙两超市分别用3000元以相同的进价购进质量相同的苹果.甲超市销售方式是:将苹果按大小分类包装销售,其中大苹果400千克,以进价的2倍标价销售,剩下的小苹果以高于进价10%的价格销售.乙超市的销售方式是:不将苹果按大小分类,直接包装销售,价格按甲超市大、小两种苹果售价的平均价定价.若两超市将苹果全部售完,其中甲超市获利2100元(其他成本不计).则:(1)苹果进价为每千克多少元?(2)乙超市获利多少元?并比较哪种销售方式获利多.【答案与解析】 1.B(解析:分式:5p 2p,1n +m ,共2个.)2.D(解析:因为分式1x+2有意义,所以x +2≠0,所以x ≠-2,即x 的取值应满足x ≠-2.)3.C(解析:因为2a 3a 2b =23ab ,所以A 错误;因为a a 2-3a =1a -3,所以B 错误;a+ba 2+b 2是最简分式;因为a 2-aba -b =a (a -b )(a+b )(a -b )=aa+b ,所以D 错误.) 4.D(解析:因为(a -b )2(b -a )2=(a -b )2(a -b )2=1,所以A 正确;因为-a -b a+b=-(a+b )a+b =-1,所以B 正确;因为0.5a+b0.2a -0.3b =(0.5a+b )×10(0.2a -0.3b )×10=5a+10b 2a -3b,所以C 正确;因为a -ba+b =-(b -a )b+a,所以D 错误.)5.A(解析:A.方程x x -1-3=1x+1的分母中含未知数x ,所以它是分式方程,故本选项正确;B.方程x5=10-x 的分母中不含未知数,所以它不是分式方程,故本选项错误;C.方程x -105=x+155的分母中不含未知数,所以它不是分式方程,故本选项错误;D.方程5x +3=2x-2中不含分母,所以它不是分式方程,故本选项错误.) 6.C(解析:方程两边都乘(3+x )(2+x ),得x (2+x )-2(3+x )=(2+x )(3+x ).) 7.A(解析:因为分式x -1x 2+6的值为正数,且x 2+6>0,所以x-1>0,解得x >1.) 8.B(解析:设a2=b3=c 4=k (k ≠0),则a =2k ,b =3k ,c =4k ,将其代入分式进行计算即可.)9.B(解析:m 2+mnm 2-n 2=m (m+n )(m+n )(m -n )=mm -n .) 10.A(解析:原式=m 2-9m -3=(m+3)(m -3)m -3=m +3.)11.A(解析:因为x =3是分式方程a -2x-1x -2=0的根,所以a -23-13-2=0,所以a -23=1,所以a-2=3,所以a =5.)12.B(解析:方程两边同乘x (x-2),得3(x-2)=2x ,解得x =6,将x =6代入x (x-2)=24≠0,所以原方程的解为x =6.)13.A(解析:根据题意,得13+1x+1=1,去分母,得(x +1)+3=3(x +1),去括号得x +1+3=3x +3,解得x =12,经检验,x =12是原分式方程的解.)14.B(解析:根据每小时张三比李四多加工5个零件和张三每小时加工这种零件x 个,可知李四每小时加工这种零件的个数,根据张三加工120个这种零件与李四加工100个这种零件所用时间相等,列出方程即可.)15.A(解析:设第一组的攀登速度是x 米/分,则第二组的攀登速度是(x-1)米/分,根据题意可得450x=450x -1-15,解得x =6,经检验,得x =6是原方程的根,故第一组的攀登速度是6米/分.)16.C(解析:原式=x+3x+2-x -2(x+2)(x -2)=x+3x+2-1x+2=x+3-1x+2=1,所以正确的应是小芳.)17.>-2 ≥1318.-1(解析:方程两边都乘(x-3)得,a +1=2(x-3),因为分式方程有增根,所以x-3=0,解得x =3,所以a +1=2×(3-3),解得a =-1.)19.a 2n2n -1(解析:分子部分为a 的连续偶数次幂,分母为连续奇数,所以第n 个式子是a 2n 2n -1.)20.79(解析:将x +1x =9两边平方,得(x +1x )2=81,整理,得x 2+1x 2=79.) 21.解:原式=a 4b 2·(-b 6a 3)·a 4b 4=-a 5. 22.解:(1-1x+1)÷xx -1=xx+1·(x+1)(x -1)x=x-1.当x =-32时,原式=-32-1=-52.23.解:(1)方程的两边同乘(x-1),得-3=x-5(x-1),解得x =2.检验,将x =2代入(x-1)=1≠0.所以x =2是原方程的解. (2)两边同乘x 2-9得3+x (x +3)=x 2-9,化简得3x =-12,解得x =-4,检验:x =-4时,x 2-9≠0,所以x =-4是原分式方程的解. 24.解:方程两边都乘(x-2)(x +2),得x +2+k (x-2)=3,因为原方程有增根,所以最简公分母(x-2)(x +2)=0,所以x =2或x =-2,把x =2代入整式方程得4=3,故矛盾,所以x ≠2,把x =-2代入整式方程得k =-34.所以增根为x =-2,k =-34.25.解:因为甲每次购买1000千克,两次购买饲料的单价分别为m 元/千克和n 元/千克,所以甲两次购买饲料的平均单价为1000m+1000n 1000+1000=m+n 2元/千克,又乙每次用去800元,两次购买饲料的单价分别为m 元/千克和n 元/千克,所以乙两次购买饲料的平均单价为1600800m+800n=2mn m+n (元/千克),所以m+n 2-2mn m+n =(m+n )2-4mn 2(m+n )=(m -n )22(m+n ),因为m ,n 是正数,且m ≠n ,所以m+n 2-2mn m+n >0,所以乙所购买的饲料的平均单价较低.26.解:(1)设苹果进价为每千克x 元.根据题意,得400x +10%x (3000x-400)=2100,解得x =5,经检验x =5是原方程的解且符合题意.答:苹果进价为每千克5元. (2)由(1),得每个超市苹果总量都为30005=600(千克),甲超市大、小苹果售价分别为10元和5.5元,则乙超市获利600×(10+5.52-5)=1650(元),因为甲超市获利2100元,2100>1650,所以甲超市的销售方式获利多.。
初中数学-《分式与分式方程》测试题班级:___________ 姓名:___________ 得分:___________一.选择题:(每小题3分共36分) 1.在2a b -,x x 1+,5πx +,a ba b+-中,是分式的有( )A .1个B .2个C .3个D .4个2.每千克m 元的糖果x 千克与每千克n 元的糖果y 千克混合成杂拌糖,这样混合后的杂拌糖果每千克的价格为( ) A .y x my nx ++元 B .y x ny mx ++元 C .y x n m ++元 D .12x y m n ⎛⎫+ ⎪⎝⎭元3.当x =2时,下列分式中,值为零的是( ) A .2322+--x x x B .942--x x C .21-x D .12++x x4.下列分式是最简分式的是( ) A .11m m -- B .3xy y xy - C .22x y x y -+ D .6132mm -5.若34y x =,则x yx+的值为( ) A .1 B .47 C .54 D .746.计算⎪⎭⎫⎝⎛-÷-x x x x 11所得的正确结论是( ) A.11x - B.1 C. 11x + D.-1 7.a ÷b ×b 1÷c ×c 1÷d ×d1等于( )A .aB .222dc b a C .d a D .ab 2c 2d 28.计算22193m m m --+的结果为: ( ) A .13m + B .-13m - C .-13m + D .13m - 9.分式121x x +-的分子分母都加1,所得的分式22x x +的值比121x x +-( )A .减小了B .不变C .增大了D .不能确定 10.若241()w 1a 42a+⋅=--,则w=( ) A.a 2(a 2)+≠- B.a 2(a 2)-+≠ C.a 2(a 2)-≠ D.a 2(a 2)--≠- 11.关于x 的方式方程232x mx +=-的解是正数,则m 可能是( ) A .﹣4 B .﹣5 C .﹣6 D .﹣7 12.如果关于x 的方程2435x a x b++=的解不是负值,那么a 与b 的关系是( ) A . a >35b B . b≥35a C .5a≥3b D .5a=3b 二、填空题:(每小题3分共12分)13.化简:23410ab ba = .14.已知31=+a a ,则221a a +的值是 。
初中数学分式计算题及答案分式计算题精选一、选择题(共2小题)1.(2012·台州)小王乘公共汽车从甲地到相距40千米的乙地办事,然后乘出租车返回,出租车的平均速度比公共汽车多20千米/时,回来时路上所花时间比去时节省了,设公共汽车的平均速度为x千米/时,则下面列出的方程中正确的是()A。
2.(2011·齐齐哈尔)分式方程A。
和B。
C。
1和-2D。
3二、填空题(共15小题)3.计算4.若。
xy+yz+zx=,则实数k=5.已知等式:2+ =22×,3+ =32×,4+ =42×, (10)=102×,(a,b均为正整数),则a+b=6.计算(x+y)•=7.化简8.化简:9.化简:10.化简:11.若分式方程:12.方程13.已知关于x的方程14.若方程有增根,则k=15.若关于x的分式方程16.已知方程无解,则a=的解为m,则经过点(m,)的一次函数y=kx+3的解析式为17.XXX上XXX在超市花10元钱买了几袋牛奶,周日再去买时,恰遇超市搞优惠酬宾活动,同样的牛奶,每袋比周三便宜0.5元,结果XXX只比上次多花了2元钱,却比上次多买了2袋牛奶,若设他上XXX买了x袋牛奶,则根据题意列得方程为三、解答题(共13小题)18.计算:20.A玉米试验田是边长为a米的正方形减去一个边长为1米的正方形蓄水池后余下部分,B玉米试验田是边长为(a-1)米的正方形,两块试验田的玉米都收获了500千克。
1)哪种玉米的单位面积产量高?21.化简:23.计算:25.解方程:27.解方程。
19.化简。
22.化简。
24.计算。
26.解方程:28.①解方程:2- =1;②利用①的结果,先化简代数式(1+ ),再化简代数式注:本文中的“×”表示乘号。
需要分子相减即可.最后再化简即可得出答案.解答:=(通分)=(分子相减)=(化简)=点评:本题主要考查分式的混合运算,需要掌握分式的加减乘除法则,以及通分和化简的方法.注意计算过程中要小心,避免出错.29.解方程:(1) $\frac{x+1}{x-1}=\frac{1}{2}$;(2) $\frac{2x-3}{x+1}=0$.解答:1) $\because \frac{x+1}{x-1}=\frac{1}{2}$therefore 2(x+1)=x-1$XXX2) $\because \frac{2x-3}{x+1}=0$therefore 2x-3=0$XXXfrac{3}{2}$30.解方程:(1) $\frac{2}{x-1}-\frac{3}{x+2}=1$;(2) $\frac{1}{x+1}=0$.解答:1) $\because \frac{2}{x-1}-\frac{3}{x+2}=1$XXX{2(x+2)-3(x-1)}{(x-1)(x+2)}=1$therefore -x+7=0$XXX2) $\because \frac{1}{x+1}=0$therefore$ 分母不为0,分子为0therefore x+1 \neq 0$therefore x \neq -1$解:首先将分式分解因式,得到:原式 =然后将分式除法转换成乘法,得到:原式 =接着运用平方差公式、平方公式分别将分式分解因式,得到:原式 =将分式通分,得到:原式 =然后合并同类项,得到:原式 =最后约分化XXX,得到:原式 =故答案为:1.点评:此题考查学生灵活运用分式的化简方法,需要掌握平方差公式、平方公式、分式除法转换成乘法等知识点。
初中数学分式方程精选试题一.选择题1. (2018·湖南怀化·4分)一艘轮船在静水中的最大航速为30km/h.它以最大航速沿江顺流航行100km所用时间.与以最大航速逆流航行80km所用时间相等.设江水的流速为v km/h.则可列方程为()A.=B.=C.=D.=【分析】根据“以最大航速沿江顺流航行100km所用时间.与以最大航速逆流航行80km所用时间相等.”建立方程即可得出结论.【解答】解:江水的流速为v km/h.则以最大航速沿江顺流航行的速度为(30+v)km/h.以最大航速逆流航行的速度为(30﹣v)km/h. 根据题意得..故选:C.【点评】此题是由实际问题抽象出分式方程.主要考查了水流问题.找到相等关系是解本题的关键.2.(2018•临安•3分)下列各式计算正确的是()A.a12÷a6=a2 B.(x+y)2=x2+y2C.D.【分析】此类题目难度不大.可用验算法解答.【解答】解:A.a12÷a6是同底数幂的除法.指数相减而不是相除.所以a12÷a6=a6.错误;B.(x+y)2为完全平方公式.应该等于x2+y2+2xy.错误;C.===﹣.错误;D.正确.故选:D.【点评】正确理解二次根式乘法、积的算术平方根等概念是解答问题的关键.运算法则:①a m÷a n=a m﹣n.②÷=(a≥0.b>0).3.(2018•金华、丽水•3分)若分式的值为0.则x的值是()A. 3B.C. 3或D. 0【解析】【解答】解:若分式的值为0.则.解得.故答案为:A.【分析】分式指的是分母是含字母的整式且分母的值不为0的代数式;当分式为0时.则分子为零.分母不能为0.5.(2018·黑龙江哈尔滨·3分)方程=的解为()A.x=﹣1 B.x=0 C.x=D.x=1【分析】分式方程去分母转化为整式方程.求出整式方程的解得到x 的值.经检验即可得到分式方程的解.【解答】解:去分母得:x+3=4x.解得:x=1.经检验x=1是分式方程的解.故选:D.【点评】此题考查了解分式方程.利用了转化的思想.解分式方程注意要检验.6.(2018·黑龙江龙东地区·3分)已知关于x的分式方程=1的解是负数.则m的取值范围是()A.m≤3B.m≤3且m≠2 C.m<3 D.m<3且m≠2【分析】直接解方程得出分式的分母为零.再利用x≠﹣1求出答案.【解答】解:=1解得:x=m﹣3.∵关于x的分式方程=1的解是负数.∴m﹣3<0.解得:m<3.当x=m﹣3=﹣1时.方程无解.则m≠2.故m的取值范围是:m<3且m≠2.故选:D.【点评】此题主要考查了分式方程的解.正确得出分母不为零是解题关键.7.(2018•贵州黔西南州•4分)施工队要铺设1000米的管道.因在中考期间需停工2天.每天要比原计划多施工30米才能按时完成任务.设原计划每天施工x米.所列方程正确的是()A.=2 B.=2C.=2 D.=2【分析】设原计划每天施工x米.则实际每天施工(x+30)米.根据:原计划所用时间﹣实际所用时间=2.列出方程即可.【解答】解:设原计划每天施工x米.则实际每天施工(x+30)米. 根据题意.可列方程:﹣=2.故选:A.【点评】本题考查了由实际问题抽象出分式方程.关键是读懂题意.找出合适的等量关系.列出方程.8.(2018•海南•3分)分式方程=0的解是()A.﹣1 B.1 C.±1D.无解【分析】根据解分式方程的步骤计算可得.【解答】解:两边都乘以x+1.得:x2﹣1=0.解得:x=1或x=﹣1.当x=1时.x+1≠0.是方程的解;当x=﹣1时.x+1=0.是方程的增根.舍去;所以原分式方程的解为x=1.故选:B.【点评】本题主要考查分式方程的解.解题的关键是熟练掌握解分式方程的步骤.9.(2018湖南张家界3.00分)若关于x的分式方程=1的解为x=2.则m的值为()A.5 B.4 C.3 D.2【分析】直接解分式方程进而得出答案.【解答】解:∵关于x的分式方程=1的解为x=2.∴x=m﹣2=2.解得:m=4.故选:B.【点评】此题主要考查了分式方程的解.正确解方程是解题关键.二.填空题1. (2018·湖北襄阳·3分)计算﹣的结果是.【分析】根据同分母分式加减运算法则计算即可.最后要注意将结果化为最简分式.【解答】解:原式===.故答案为:.【点评】本题考查了分式的加减.归纳提炼:分式的加减运算中.如果是同分母分式.那么分母不变.把分子直接相加减即可;如果是异分母分式.则必须先通分.把异分母分式化为同分母分式.然后再相加减.2. (2018•达州•3分)若关于x的分式方程=2a无解.则a 的值为.【分析】直接解分式方程.再利用当1﹣2a=0时.当1﹣2a≠0时.分别得出答案.【解答】解:去分母得:x﹣3a=2a(x﹣3).整理得:(1﹣2a)x=﹣3a.当1﹣2a=0时.方程无解.故a=;当1﹣2a≠0时.x==3时.分式方程无解.则a=1.故关于x的分式方程=2a无解.则a的值为:1或.故答案为:1或.【点评】此题主要考查了分式方程的解.正确分类讨论是解题关键.3. (2018•遂宁•4分)A.B两市相距200千米.甲车从A市到B市.乙车从B市到A市.两车同时出发.已知甲车速度比乙车速度快15千米/小时.且甲车比乙车早半小时到达目的地.若设乙车的速度是x千米/小时.则根据题意.可列方程.【分析】直接利用甲车比乙车早半小时到达目的地得出等式即可.【解答】解:设乙车的速度是x千米/小时.则根据题意.可列方程:﹣=.故答案为:﹣=.【点评】此题主要考查了由实际问题抽象出分式方程.正确表示出两车所用时间是解题关键.4. (2018•湖州•4分)当x=1时.分式的值是.【分析】将x=1代入分式.按照分式要求的运算顺序计算可得.【解答】解:当x=1时.原式==.故答案为:.【点评】本题主要考查分式的值.在解答时应从已知条件和所求问题的特点出发.通过适当的变形、转化.才能发现解题的捷径.5. (2018•嘉兴•4分.)甲、乙两个机器人检测零件,甲比乙每小时多检测20个,甲检测300个比乙检测200个所用的时间少10%.若设甲每小时检测个.则根据题意,可列出方程:________.【答案】【解析】【分析】若设甲每小时检测个.检测时间为.乙每小时检测个.检测时间为.根据甲检测300个比乙检测200个所用的时间少.列出方程即可.【解答】若设甲每小时检测个.检测时间为.乙每小时检测个.检测时间为.根据题意有:.故答案为:【点评】考查分式方程的应用.解题的关键是找出题目中的等量关系.7.(2018·黑龙江哈尔滨·3分)函数y=中.自变量x的取值范围是x≠4.【分析】根据分式分母不为0列出不等式.解不等式即可.【解答】解:由题意得.x﹣4≠0.解得.x≠4.故答案为:x≠4.【点评】本题考查的是函数自变量的取值范围.掌握分式分母不为0是解题的关键.8.(2018·黑龙江齐齐哈尔·3分)若关于x的方程+=无解.则m的值为﹣1或5或﹣.【分析】直接解方程再利用一元一次方程无解和分式方程无解分别分析得出答案.【解答】解:去分母得:x+4+m(x﹣4)=m+3.可得:(m+1)x=5m﹣1.当m+1=0时.一元一次方程无解.此时m=﹣1.当m+1≠0时.则x==±4.解得:m=5或﹣.综上所述:m=﹣1或5或﹣.故答案为:﹣1或5或﹣.【点评】此题主要考查了分式方程的解.正确分类讨论是解题关键.9.(2018•广西贵港•3分)若分式的值不存在.则x的值为﹣1 .【分析】直接利用分是有意义的条件得出x的值.进而得出答案.【解答】解:若分式的值不存在.则x+1=0.解得:x=﹣1.故答案为:﹣1.【点评】此题主要考查了分式有意义的条件.正确把握分式有意义的条件:分式有意义的条件是分母不等于零是解题关键.11.(2018•贵州铜仁•4分)分式方程=4的解是x= ﹣9 .【分析】分式方程去分母转化为整式方程.求出整式方程的解得到x 的值.经检验即可得到分式方程的解.【解答】解:去分母得:3x﹣1=4x+8.解得:x=﹣9.经检验x=﹣9是分式方程的解.故答案为:﹣912. (2018湖南长沙3.00分)化简:= 1 .【分析】根据分式的加减法法则:同分母分式加减法法则:同分母的分式想加减.分母不变.把分子相加减计算即可.【解答】解:原式==1.故答案为:1.【点评】本题考查了分式的加减法法则.解题时牢记定义是关键.13.(2018湖南湘西州4.00分)要使分式有意义.则x的取值范围为x≠﹣2 .【分析】根据根式有意义的条件即可求出答案.【解答】解:由题意可知:x+2≠0.∴x≠﹣2故答案为:x≠﹣2【点评】本题考查分式有意义的条件.解题的关键是正确理解分式有意义的条件.本题属于基础题型.14. (2018•达州•3分)若关于x的分式方程=2a无解.则a 的值为.【分析】直接解分式方程.再利用当1﹣2a=0时.当1﹣2a≠0时.分别得出答案.【解答】解:去分母得:x﹣3a=2a(x﹣3).整理得:(1﹣2a)x=﹣3a.当1﹣2a=0时.方程无解.故a=;当1﹣2a≠0时.x==3时.分式方程无解.则a=1.故关于x的分式方程=2a无解.则a的值为:1或.故答案为:1或.【点评】此题主要考查了分式方程的解.正确分类讨论是解题关键.15. (2018•遂宁•4分)A.B两市相距200千米.甲车从A市到B市.乙车从B市到A市.两车同时出发.已知甲车速度比乙车速度快15千米/小时.且甲车比乙车早半小时到达目的地.若设乙车的速度是x千米/小时.则根据题意.可列方程.【分析】直接利用甲车比乙车早半小时到达目的地得出等式即可.【解答】解:设乙车的速度是x千米/小时.则根据题意.可列方程:﹣=.故答案为:﹣=.【点评】此题主要考查了由实际问题抽象出分式方程.正确表示出两车所用时间是解题关键.三.解答题1. (2018·湖北江汉油田、潜江市、天门市、仙桃市·5分)化简:•.【分析】先将分子、分母因式分解.再约分即可得.【解答】解:原式=•=.【点评】本题主要考查分式的乘除法.解题的关键是掌握分式乘除运算顺序和运算法则.2. (2018·湖北随州·6分)先化简.再求值:.其中x为整数且满足不等式组.【分析】根据分式的除法和加法可以化简题目中的式子.由x为整数且满足不等式组可以求得x的值.从而可以解答本题.【解答】解:===.由得.2<x≤3.∵x是整数.∴x=3.∴原式=.【点评】本题考查分式的化简求值、解一元一次不等式组、一元一次不等式组的整数解.解答本题的关键是明确分式的化简求值的计算方法.3. (2018·湖北襄阳·6分)正在建设的“汉十高铁”竣工通车后.若襄阳至武汉段路程与当前动车行驶的路程相等.约为325千米.且高铁行驶的速度是当前动车行驶速度的2.5倍.则从襄阳到武汉乘坐高铁比动车所用时间少1.5小时.求高铁的速度.【分析】设高铁的速度为x千米/小时.则动车速度为0.4x千米/小时.根据题意列出方程.求出方程的解即可.【解答】解:设高铁的速度为x千米/小时.则动车速度为0.4x千米/小时.根据题意得:﹣=1.5.解得:x=325.经检验x=325是分式方程的解.且符合题意.则高铁的速度是325千米/小时.【点评】此题考查了分式方程的应用.弄清题中的等量关系是解本题的关键.4.(2018•内蒙古包头市•3分)化简;÷(﹣1)= ﹣.【分析】根据分式混合运算顺序和运算法则计算可得.【解答】解:原式=÷(﹣)=÷=•=﹣.故答案为:﹣.【点评】本题主要考查分式的混合运算.解题的关键是掌握分式混合运算顺序和运算法则.2.(2018•内蒙古包头市•10分)某商店以固定进价一次性购进一种商品.3月份按一定售价销售.销售额为2400元.为扩大销量.减少库存.4月份在3月份售价基础上打9折销售.结果销售量增加30件.销售额增加840元.(1)求该商店3月份这种商品的售价是多少元?(2)如果该商店3月份销售这种商品的利润为900元.那么该商店4月份销售这种商品的利润是多少元?【分析】(1)设该商店3月份这种商品的售价为x元.则4月份这种商品的售价为0.9x元.根据数量=总价÷单价结合4月份比3月份多销售30件.即可得出关于x的分式方程.解之经检验即可得出结论;(2)设该商品的进价为y元.根据销售利润=每件的利润×销售数量.即可得出关于y的一元一次方程.解之即可得出该商品的进价.再利用4月份的利润=每件的利润×销售数量.即可求出结论.【解答】解:(1)设该商店3月份这种商品的售价为x元.则4月份这种商品的售价为0.9x元.根据题意得:=﹣30.解得:x=40.经检验.x=40是原分式方程的解.答:该商店3月份这种商品的售价是40元.(2)设该商品的进价为y元.根据题意得:(40﹣a)×=900.解得:a=25.∴(40×0.9﹣25)×=990(元).答:该商店4月份销售这种商品的利润是990元.【点评】本题考查了分式方程的应用以及一元一次方程的应用.解题的关键是:(1)找准等量关系.正确列出分式方程;(2)找准等量关系.正确列出一元一次方程.6.(2018•山东烟台市•6分)先化简.再求值:(1+)÷.其中x满足x2﹣2x﹣5=0.【分析】原式括号中两项通分并利用同分母分式的加法法则计算.同时利用除法法则变形.约分得到最简结果.把已知等式变形后代入计算即可求出值.【解答】解:原式=•=•=x(x﹣2)=x2﹣2x.由x2﹣2x﹣5=0.得到x2﹣2x=5.则原式=5.【点评】此题考查了分式的化简求值.熟练掌握运算法则是解本题的关键.7.(2018•山东东营市•8分)小明和小刚相约周末到雪莲大剧院看演出.他们的家分别距离剧院1200m和2000m.两人分别从家中同时出发.已知小明和小刚的速度比是3:4.结果小明比小刚提前4min到达剧院.求两人的速度.【分析】设小明的速度为3x米/分.则小刚的速度为4x米/分.根据时间=路程÷速度结合小明比小刚提前4min到达剧院.即可得出关于x 的分式方程.解之经检验后即可得出结论.【解答】解:设小明的速度为3x米/分.则小刚的速度为4x米/分. 根据题意得:﹣=4.解得:x=25.经检验.x=25是分式方程的根.且符合题意.∴3x=75.4x=100.答:小明的速度是75米/分.小刚的速度是100米/分.【点评】本题考查了分式方程的应用.找准等量关系.正确列出分式方程是解题的关键.8.(2018•山东济宁市•7分)先化简.再求值:﹣÷(﹣).其中a=﹣.【分析】首先计算括号里面的减法.然后再计算除法.最后再计算减法.化简后.再代入a的值可得答案.【解答】解:原式=﹣÷[﹣].=﹣÷[﹣].=﹣÷.=﹣•.=﹣.=﹣.当a=﹣时.原式=﹣=﹣4.【点评】此题主要考查了分式的化简求值.关键是掌握化简求值.一般是先化简为最简分式或整式.再代入求值.9. (2018•达州•6分)化简代数式:.再从不等式组的解集中取一个合适的整数值代入.求出代数式的值.【分析】直接将=去括号利用分式混合运算法则化简.再解不等式组.进而得出x的值.即可计算得出答案.【解答】解:原式=×﹣×=3(x+1)﹣(x﹣1)=2x+4..解①得:x≤1.解②得:x>﹣3.故不等式组的解集为:﹣3<x≤1.把x=﹣2代入得:原式=0.【点评】此题主要考查了分式的化简求值以及不等式组解法.正确掌握分式的混合运算法则是解题关键.10. (2018•遂宁•8分)先化简.再求值•+.(其中x=1.y=2)【分析】根据分式的运算法则即可求出答案.【解答】解:当x=1.y=2时.原式=•+=+==﹣3【点评】本题考查分式的运算.解题的关键是熟练运用分式的运算法则.本题属于基础题型.11.(2018•资阳•7分)先化简.再求值:÷(﹣a).其中a=﹣1.b=1.【分析】先根据分式混合运算顺序和运算法则化简原式.再将A.b的值代入计算可得.【解答】解:原式=÷=•=.当a=﹣1.b=1时.原式====2+.【点评】本题主要考查分式的化简求值.解题的关键是掌握分式混合运算顺序和运算法则.12.(2018•乌鲁木齐•10分)某校组织学生去9km外的郊区游玩.一部分学生骑自行车先走.半小时后.其他学生乘公共汽车出发.结果他们同时到达.己知公共汽车的速度是自行车速度的3倍.求自行车的速度和公共汽车的速度分别是多少?【分析】设自行车的速度为xkm/h.则公共汽车的速度为3xkm/h.根据时间=路程÷速度结合乘公共汽车比骑自行车少用小时.即可得出关于x的分式方程.解之经检验即可得出结论.【解答】解:设自行车的速度为xkm/h.则公共汽车的速度为3xkm/h. 根据题意得:﹣=.解得:x=12.经检验.x=12是原分式方程的解.∴3x=36.答:自行车的速度是12km/h.公共汽车的速度是36km/h.【点评】本题考查了分式方程的应用.找准等量关系.正确列出分式方程是解题的关键.13.(2018•临安•6分)(1)化简÷(x﹣).(2)解方程:+=3.【分析】(1)先计算括号内分式的减法.再计算除法即可得;(2)先去分母化分式方程为整式方程.解整式方程求解的x值.检验即可得.【解答】解:(1)原式=÷(﹣)=÷=•=;(2)两边都乘以2x﹣1.得:2x﹣5=3(2x﹣1).解得:x=﹣.检验:当x=﹣时.2x﹣1=﹣2≠0.所以分式方程的解为x=﹣.【点评】本题主要考查分式的混合运算与解分式方程.解题的关键是掌握解分式方程和分式混合运算的步骤.14.(2018•嘉兴•4分)化简并求值()•.其中a=1.b=2.【答案】原式= =a-b当a=1.b=2时.原式=1-2=-1【考点】利用分式运算化简求值【解析】分式的化简当中.可先运算括号里的.或都运用乘法分配律计算都可16. (2018•贵州安顺•10分)先化简.再求值:.其中.【答案】..【解析】分析:先化简括号内的式子.再根据分式的除法进行计算即可化简原式.然后将x=-2代入化简后的式子即可解答本题.详解:原式=.∵.∴.舍.当时.原式.点睛:本题考查分式的化简求值.解题的关键是明确分式化简求值的方法.17.(2018•广西桂林•8分)某校利用暑假进行田径场的改造维修.项目承包单位派遣一号施工队进场施工.计划用40天时间完成整个工程:当一号施工队工作5天后.承包单位接到通知.有一大型活动要在该田径场举行.要求比原计划提前14天完成整个工程.于是承包单位派遣二号与一号施工队共同完成剩余工程.结果按通知要求如期完成整个工程.(1)若二号施工队单独施工.完成整个工程需要多少天?(2)若此项工程一号、二号施工队同时进场施工.完成整个工程需要多少天?【答案】(1)60天;(2)24天.【解析】分析:(1)设二号施工队单独施工需要x天.根据题意可知一号施工队5天工作总量与一号施工队和二号施工队合作工作总量之和=1列出方程求解即可;(2)根据工作总量÷工作效率=工作时间求解即可.详解:(1)设二号施工队单独施工需要x天.依题可得解得x=60.经检验.x=60是原分式方程的解.∴由二号施工队单独施工.完成整个工期需要60天.(2)由题可得(天).∴若由一、二号施工队同时进场施工.完成整个工程需要24天.点睛:本题考查了列分式方程解应用题.灵活运用和掌握工作总量÷工作效率=工作时间是解题关键.18.(2018•广西南宁•6分)解分式方程:﹣1=.【分析】根据解分式方程的步骤:①去分母;②求出整式方程的解;③检验;④得出结论依次计算可得.【解答】解:两边都乘以3(x﹣1).得:3x﹣3(x﹣1)=2x.解得:x=1.5.检验:x=1.5时.3(x﹣1)=1.5≠0.所以分式方程的解为x=1.5.【点评】本题主要考查解分式方程.解题的关键是掌握解分式方程的步骤:①去分母;②求出整式方程的解;③检验;④得出结论.19. 2018·黑龙江大庆·4分)解方程:﹣=1.【分析】方程两边都乘以x(x+3)得出方程x﹣1+2x=2.求出方程的解.再代入x(x+3)进行检验即可.【解答】解:两边都乘以x(x+3).得:x2﹣(x+3)=x(x+3).解得:x=﹣.检验:当x=﹣时.x(x+3)=﹣≠0.所以分式方程的解为x=﹣.20. (2018·黑龙江哈尔滨·7分)先化简.再求代数式(1﹣)÷的值.其中a=4cos30°+3tan45°.【分析】根据分式的运算法则即可求出答案.【解答】解:当a=4cos30°+3tan45°时.所以a=2+3原式=•=【点评】本题考查分式的运算.解题的关键是熟练运用分式的运算法则.本题属于基础题型.21(2018·黑龙江龙东地区·5分)先化简.再求值:(1﹣)÷.其中a=sin30°.【分析】根据分式的运算法则即可求出答案.【解答】解:当a=sin30°时.所以a=原式=•=•==﹣1【点评】本题考查分式的运算.解题的关键是熟练运用分式的运算法则.本题属于基础题型.22..(2018·湖北省恩施·8分)先化简.再求值:•(1+)÷.其中x=2﹣1.【分析】直接分解因式.再利用分式的混合运算法则计算得出答案.【解答】解:•(1+)÷=••把x=2﹣1代入得.原式===.【点评】此题主要考查了分式的化简求值.正确进行分式的混合运算是解题关键.23.(2018•福建A卷•8分)先化简.再求值:(﹣1)÷.其中m=+1.【分析】根据分式的减法和除法可以化简题目中的式子.然后将m的值代入即可解答本题.【解答】解:(﹣1)÷===.当m=+1时.原式=.【点评】本题考查分式的化简求值.解答本题的关键是明确分式化简求值的方法.24.(2018•福建B卷•8分)先化简.再求值:(﹣1)÷.其中m=+1.【分析】根据分式的减法和除法可以化简题目中的式子.然后将m的值代入即可解答本题.【解答】解:(﹣1)÷===.当m=+1时.原式=.【点评】本题考查分式的化简求值.解答本题的关键是明确分式化简求值的方法.25.(2018•广东•6分)先化简.再求值:•.其中a=.【分析】原式先因式分解.再约分即可化简.继而将a的值代入计算.【解答】解:原式=•=2a.当a=时.原式=2×=.【点评】本题主要考查分式的化简求值.解题的关键是熟练掌握分式混合运算顺序和运算法则.26.(2018•广东•7分)某公司购买了一批A.B型芯片.其中A型芯片的单价比B型芯片的单价少9元.已知该公司用3120元购买A型芯片的条数与用4200元购买B型芯片的条数相等.(1)求该公司购买的A.B型芯片的单价各是多少元?(2)若两种芯片共购买了200条.且购买的总费用为6280元.求购买了多少条A型芯片?【分析】(1)设B型芯片的单价为x元/条.则A型芯片的单价为(x ﹣9)元/条.根据数量=总价÷单价结合用3120元购买A型芯片的条数与用4200元购买B型芯片的条数相等.即可得出关于x的分式方程.解之经检验后即可得出结论;(2)设购买a条A型芯片.则购买(200﹣a)条B型芯片.根据总价=单价×数量.即可得出关于a的一元一次方程.解之即可得出结论.【解答】解:(1)设B型芯片的单价为x元/条.则A型芯片的单价为(x﹣9)元/条.根据题意得:=.解得:x=35.经检验.x=35是原方程的解.∴x﹣9=26.答:A型芯片的单价为26元/条.B型芯片的单价为35元/条.(2)设购买a条A型芯片.则购买(200﹣a)条B型芯片.根据题意得:26a+35(200﹣a)=6280.解得:a=80.答:购买了80条A型芯片.【点评】本题考查了分式方程的应用以及一元一次方程的应用.解题的关键是:(1)找准等量关系.正确列出分式方程;(2)找准等量关系.正确列出一元一次方程.27.(2018•广西北海•6分)解分式方程:【答案】 x = 1.5【考点】解分式方程【解答】解:方程左右两边同乘3(x -1).得3x - 3(x -1) = 2x3x - 3x + 3 = 2x2x = 3x = 1.5检验:当x = 1.5时 . 3(x -1) ≠ 0所以.原分式方程的解为 x = 1.5 .【点评】根据解分式的一般步骤进行去分母.然后解一元一次方程,最后记得检验即可.28.(2018•广西贵港•10分)(1)计算:|3﹣5|﹣(π﹣3.14)0+(﹣2)﹣1+sin30°;(2)解分式方程:+1=.【分析】(1)先计算绝对值、零指数幂、负整数指数幂、代入三角函数值.再计算加减可得;(2)分式方程去分母转化为整式方程.求出整式方程的解得到x的值.经检验即可得到分式方程的解.【解答】解:(1)原式=5﹣3﹣1﹣+=1;(2)方程两边都乘以(x+2)(x﹣2).得:4+(x+2)(x﹣2)=x+2. 整理.得:x2﹣x﹣2=0.解得:x1=﹣1.x2=2.检验:当x=﹣1时.(x+2)(x﹣2)=﹣3≠0.当x=2时.(x+2)(x﹣2)=0.所以分式方程的解为x=﹣1.【点评】此题考查了实数的运算与解分式方程.解分式方程的基本思想是“转化思想”.把分式方程转化为整式方程求解.解分式方程一定注意要验根.29.(2018•贵州黔西南州•12分)(2)先化简(1﹣)•.再在1.2.3中选取一个适当的数代入求值.【分析】(2)根据分式的减法和乘法可以化简题目中的式子.再从1.2.3中选取一个使得原分式有意义的值代入化简后的式子即可解答本题.【解答】解:(2)(1﹣)•===. 当x=2时.原式=.【点评】本题考查分式的化简求值.解答本题的关键是明确它们各自的计算方法.31.(2018年湖南省娄底市)先化简.再求值:( +)÷.其中x=.【分析】原式括号中两项通分并利用同分母分式的加法法则计算.同时利用除法法则变形.约分得到最简结果.把x的值代入计算即可求出值.【解答】解:原式=•=.当x=时.原式==3+2.【点评】此题考查了分式的化简求值.熟练掌握运算法则是解本题的关键.31.(2018湖南省邵阳市)(8分)某公司计划购买A.B两种型号的机器人搬运材料.已知A型机器人比B型机器人每小时多搬运30kg材料.且A型机器人搬运1000kg材料所用的时间与B型机器人搬运800kg材料所用的时间相同.(1)求A.B两种型号的机器人每小时分别搬运多少材料;(2)该公司计划采购A.B两种型号的机器人共20台.要求每小时搬运材料不得少于2800kg.则至少购进A型机器人多少台?【分析】(1)设B型机器人每小时搬运x千克材料.则A型机器人每小时搬运(x+30)千克材料.根据A型机器人搬运1000kg材料所用的时间与B型机器人搬运800kg材料所用的时间相同建立方程求出其解就可以得出结论.(2)设购进A型机器人a台.根据每小时搬运材料不得少于2800kg 列出不等式并解答.【解答】解:(1)设B型机器人每小时搬运x千克材料.则A型机器人每小时搬运(x+30)千克材料.根据题意.得=.解得x=120.经检验.x=120是所列方程的解.当x=120时.x+30=150.答:A型机器人每小时搬运150千克材料.B型机器人每小时搬运120千克材料;(2)设购进A型机器人a台.则购进B型机器人(20﹣a)台.根据题意.得150a+120(20﹣a)≥2800.解得a≥.∵a是整数.∴a≥14.答:至少购进A型机器人14台.【点评】本题考查了分式方程的运用.一元一次不等式的运用.解决问题的关键是读懂题意.找到关键描述语.进而找到所求的量的数量关。
初中数学分式与分式方程真题练习一.选择题(共10小题)1.(2015•南昌)下列运算正确的是()A.(2a2)3=6a6B.﹣a2b2•3ab3=﹣3a2b5C.•=﹣1 D.+=﹣12.(2015•山西)化简﹣的结果是()A.B.C.D.3.(2015•台湾)将甲、乙、丙三个正分数化为最简分数后,其分子分别为6、15、10,其分母的最小公倍数为360.判断甲、乙、丙三数的大小关系为何?()A.乙>甲>丙B.乙>丙>甲C.甲>乙>丙D.甲>丙>乙4.(2015•厦门)2﹣3可以表示为()A. 22÷25B. 25÷22C. 22×25D.(﹣2)×(﹣2)×(﹣2)5.(2015•枣庄)关于x的分式方程=1的解为正数,则字母a的取值范围为()A.a≥﹣1 B.a>﹣1 C.a≤﹣1 D.a<﹣16.(2015•齐齐哈尔)关于x的分式方程=有解,则字母a的取值范围是()A.a=5或a=0 B.a≠0C.a≠5D.a≠5且a≠07.(2015•荆州)若关于x的分式方程=2的解为非负数,则m的取值范围是()A.m>﹣1 B.m≥1C.m>﹣1且m≠1D.m≥﹣1且m≠18.(2015•南宁)对于两个不相等的实数a、b,我们规定符号Max{a,b}表示a、b中的较大值,如:Max{2,4}=4,按照这个规定,方程Max{x,﹣x}=的解为()A. 1﹣B. 2﹣C. 1+或1﹣D. 1+或﹣19.(2015•营口)若关于x的分是方程+=2有增根,则m的值是()A.m=﹣1 B.m=0 C.m=3 D.m=0或m=310.(2015•茂名)张三和李四两人加工同一种零件,每小时张三比李四多加工5个零件,张三加工120个这种零件与李四加工100个这种零件所用时间相等,求张三和李四每小时各加工多少个这种零件?若设张三每小时经过这种零件x个,则下面列出的方程正确的是()A.=B.=C.=D.=二.填空题(共9小题)11.(2015•上海)如果分式有意义,那么x的取值范围是.12.(2015•常德)使分式的值为0,这时x=.13.(2015•梅州)若=+,对任意自然数n都成立,则a=,b;计算:m=+++…+=.14.(2015•黄冈)计算÷(1﹣)的结果是.15.(2015•安徽)已知实数a、b、c满足a+b=ab=c,有下列结论:①若c≠0,则+=1;②若a=3,则b+c=9;③若a=b=c,则abc=0;④若a、b、c中只有两个数相等,则a+b+c=8.其中正确的是(把所有正确结论的序号都选上).16.(2015•毕节市)关于x的方程x2﹣4x+3=0与=有一个解相同,则a=.17.(2015•黑龙江)关于x的分式方程﹣=0无解,则m=.18.(2015•湖北)分式方程﹣=0的解是.19.(2015•通辽)某市为处理污水,需要铺设一条长为5000m的管道,为了尽量减少施工对交通所造成的影响,实际施工时每天比原计划多铺设20m,结果提前15天完成任务.设原计划每天铺设管道x m,则可得方程.三.解答题(共10小题)20.(2015•宜昌)化简:+.21.(2015•南充)计算:(a+2﹣)•.22.(2015•重庆)计算:(1)y(2x﹣y)+(x+y)2;(2)(y﹣1﹣)÷.23.(2015•枣庄)先化简,再求值:(+2﹣x)÷,其中x满足x2﹣4x+3=0.24.(2015•烟台)先化简:÷(﹣),再从﹣2<x<3的范围内选取一个你最喜欢的值代入,求值.25.(2015•河南)先化简,再求值:÷(﹣),其中a=+1,b=﹣1.26.(2015•黔东南州)先化简,再求值:÷,其中m是方程x2+2x﹣3=0的根.27.(2015•哈尔滨)先化简,再求代数式:(﹣)÷的值,其中x=2+tan60°,y=4sin30°.28.(2015•广元)先化简:(﹣)÷,然后解答下列问题:(1)当x=3时,求原代数式的值;(2)原代数式的值能等于﹣1吗?为什么?29.(2015•安顺)“母亲节”前夕,某商店根据市场调查,用3000元购进第一批盒装花,上市后很快售完,接着又用5000元购进第二批这种盒装花.已知第二批所购花的盒数是第一批所购花盒数的2倍,且每盒花的进价比第一批的进价少5元.求第一批盒装花每盒的进价是多少元?参考答案:一.选择题(共10小题)1.(2015•南昌)下列运算正确的是()A.(2a2)3=6a6B.﹣a2b2•3ab3=﹣3a2b5C.•=﹣1 D.+=﹣1考点:分式的乘除法;幂的乘方与积的乘方;单项式乘单项式;分式的加减法.专题:计算题.分析:A、原式利用幂的乘方与积的乘方运算法则计算得到结果,即可做出判断;B、原式利用单项式乘以单项式法则计算得到结果,即可做出判断;C、原式约分得到结果,即可做出判断;D、原式变形后,利用同分母分式的减法法则计算,约分即可得到结果.解答:解:A、原式=8a4,错误;B、原式=﹣3a3b5,错误;C、原式=a﹣1,错误;D、原式===﹣1,正确;故选D.点评:此题考查了分式的乘除法,幂的乘方与积的乘方,单项式乘单项式,以及分式的加减法,熟练掌握运算法则是解本题的关键.2.(2015•山西)化简﹣的结果是()A.B.C.D.考点:分式的加减法.专题:计算题.分析:原式第一项约分后,利用同分母分式的减法法则计算,即可得到结果.解答:解:原式=﹣=﹣==,故选A.点评:此题考查了分式的加减法,熟练掌握运算法则是解本题的关键.3.(2015•台湾)将甲、乙、丙三个正分数化为最简分数后,其分子分别为6、15、10,其分母的最小公倍数为360.判断甲、乙、丙三数的大小关系为何?()A.乙>甲>丙B.乙>丙>甲C.甲>乙>丙D.甲>丙>乙考点:分式的混合运算.分析:首先把360分解质因数,可得360=2×2×2×3×3×5;然后根据甲乙丙化为最简分数后的分子分别为6、15、10,6=2×3,可得化简后的甲的分母中不含有因数2、3,只能为5,即化简后的甲为;再根据15=3×5,可得化简后的乙的分母中不含有因数3、5,只能为2,4或8;再根据10=2×5,可得化简后的丙的分母中不含有因数2、5,只能为3或9;最后根据化简后的三个数的分母的最小公倍数为360,甲的分母为5,可得乙、丙的最小公倍数是360÷5=72,再根据化简后的乙、丙两数的分母的取值情况分类讨论,判断出化简后的乙、丙两数的分母各是多少,进而求出化简后的甲乙丙各是多少,再根据分数大小比较的方法判断即可.解答:解:360=2×2×2×3×3×5;因为6=2×3,所以化简后的甲的分母中不含有因数2、3,只能为5,即化简后的甲为;因为15=3×5,所以化简后的乙的分母中不含有因数3、5,只能为2,4或8;因为10=2×5,所以化简后的丙的分母中不含有因数2、5,只能为3或9;因为化简后的三个数的分母的最小公倍数为360,甲的分母为5,所以乙、丙的最小公倍数是360÷5=72,(1)当乙的分母是2时,丙的分母是9时,乙、丙的最小公倍数是:2×9=18,它不满足乙、丙的最小公倍数是72;(2)当乙的分母是4时,丙的分母是9时,乙、丙的最小公倍数是:4×9=36,它不满足乙、丙的最小公倍数是72;所以乙的分母只能是8,丙的分母只能是9,此时乙、丙的最小公倍数是:8×9=72,所以化简后的乙是,丙是,因为,所以乙>甲>丙.故选:A.点评:(1)此题主要考查了最简分数的特征,以及几个数的最小公倍数的求法,考查了分类讨论思想的应用,要熟练掌握,解答此题的关键是分别求出化简后的甲、乙、丙的分母各是多少,进而求出化简后的甲乙丙各是多少.(2)此题还考查了分数大小比较的方法,要熟练掌握.4.(2015•厦门)2﹣3可以表示为()A. 22÷25B. 25÷22C. 22×25D.(﹣2)×(﹣2)×(﹣2)考点:负整数指数幂;有理数的乘方;同底数幂的乘法;同底数幂的除法.分析:根据负整数指数幂、同底数幂的除法,即可解答.解答:解:A、22÷25=22﹣5=2﹣3,故正确;B、25÷22=23,故错误;C、22×25=27,故错误;D、(﹣2)×(﹣2)×(﹣2)=(﹣2)3,故错误;故选:A.点评:本题考查了负整数指数幂、同底数幂的除法,解决本题的关键是熟记负整数指数幂、同底数幂的除法的法则.5.(2015•枣庄)关于x的分式方程=1的解为正数,则字母a的取值范围为()A.a≥﹣1 B.a>﹣1 C.a≤﹣1 D.a<﹣1考点:分式方程的解.专题:计算题.分析:将分式方程化为整式方程,求得x的值然后根据解为正数,求得a的范围,但还应考虑分母x+1≠0即x≠﹣1.解答:解:分式方程去分母得:2x﹣a=x+1,解得:x=a+1,根据题意得:a+1>0且a+1+1≠0,解得:a>﹣1且a≠﹣2.即字母a的取值范围为a>﹣1.故选:B.点评:本题考查了分式方程的解,本题需注意在任何时候都要考虑分母不为0.6.(2015•齐齐哈尔)关于x的分式方程=有解,则字母a的取值范围是()A.a=5或a=0 B.a≠0C.a≠5D.a≠5且a≠0考点:分式方程的解.分析:先解关于x的分式方程,求得x的值,然后再依据“关于x的分式方程=有解”,即x≠0且x≠2建立不等式即可求a的取值范围.解答:解:=,去分母得:5(x﹣2)=ax,去括号得:5x﹣10=ax,移项,合并同类项得:(5﹣a)x=10,∵关于x的分式方程=有解,∴5﹣a≠0,x≠0且x≠2,即a≠5,系数化为1得:x=,∴≠0且≠2,即a≠5,a≠0,综上所述:关于x的分式方程=有解,则字母a的取值范围是a≠5,a≠0,故选:D.点评:此题考查了求分式方程的解,由于我们的目的是求a的取值范围,根据方程的解列出关于a的不等式.另外,解答本题时,容易漏掉5﹣a≠0,这应引起同学们的足够重视.7.(2015•荆州)若关于x的分式方程=2的解为非负数,则m的取值范围是()A.m>﹣1 B.m≥1C.m>﹣1且m≠1D.m≥﹣1且m≠1考点:分式方程的解.专题:计算题.分析:分式方程去分母转化为整式方程,表示出整式方程的解,根据解为非负数及分式方程分母不为0求出m的范围即可.解答:解:去分母得:m﹣1=2x﹣2,解得:x=,由题意得:≥0且≠1,解得:m≥﹣1且m≠1,故选D点评:此题考查了分式方程的解,需注意在任何时候都要考虑分母不为0.8.(2015•南宁)对于两个不相等的实数a、b,我们规定符号Max{a,b}表示a、b中的较大值,如:Max{2,4}=4,按照这个规定,方程Max{x,﹣x}=的解为()A. 1﹣B. 2﹣C. 1+或1﹣D. 1+或﹣1考点:解分式方程.专题:新定义.分析:根据x与﹣x的大小关系,取x与﹣x中的最大值化简所求方程,求出解即可.解答:解:当x<﹣x,即x<0时,所求方程变形得:﹣x=,去分母得:x2+2x+1=0,即x=﹣1;当x>﹣x,即x>0时,所求方程变形得:x=,即x2﹣2x=1,解得:x=1+或x=1﹣(舍去),经检验x=﹣1与x=1+都为分式方程的解.故选D.点评:此题考查了解分式方程,解分式方程的基本思想是“转化思想”,把分式方程转化为整式方程求解.解分式方程一定注意要验根.9.(2015•营口)若关于x的分是方程+=2有增根,则m的值是()A.m=﹣1 B.m=0 C.m=3 D.m=0或m=3考点:分式方程的增根.分析:方程两边都乘以最简公分母(x﹣3),把分式方程化为整式方程,再根据分式方程的增根就是使最简公分母等于0的未知数的值求出x的值,然后代入进行计算即可求出m的值.解答:解:方程两边都乘以(x﹣3)得,2﹣x﹣m=2(x﹣3),∵分式方程有增根,∴x﹣3=0,解得x=2,∴2﹣3﹣m=2(3﹣3),解得m=﹣1.故选A.点评:本题考查了分式方程的增根,增根问题可按如下步骤进行:①让最简公分母为0确定增根;②化分式方程为整式方程;③把增根代入整式方程即可求得相关字母的值.10.(2015•茂名)张三和李四两人加工同一种零件,每小时张三比李四多加工5个零件,张三加工120个这种零件与李四加工100个这种零件所用时间相等,求张三和李四每小时各加工多少个这种零件?若设张三每小时经过这种零件x个,则下面列出的方程正确的是()A.=B.=C.=D.=考点:由实际问题抽象出分式方程.分析:根据每小时张三比李四多加工5个零件和张三每小时加工这种零件x个,可知李四每小时加工这种零件的个数,根据张三加工120个这种零件与李四加工100个这种零件所用时间相等,列出方程即可.解答:解:设张三每小时加工这种零件x个,则李四每小时加工这种零件(x﹣5)个,由题意得,=,故选B.点评:本题考查的是列分式方程解应用题,根据题意准确找出等量关系是解题的关键.二.填空题(共9小题)11.(2015•上海)如果分式有意义,那么x的取值范围是x≠﹣3.考点:分式有意义的条件.分析:根据分式有意义的条件是分母不为0,列出算式,计算得到答案.解答:解:由题意得,x+3≠0,即x≠﹣3,故答案为:x≠﹣3.点评:本题考查的是分式有意义的条件,从以下三个方面透彻理解分式的概念:(1)分式无意义⇔分母为零;(2)分式有意义⇔分母不为零;(3)分式值为零⇔分子为零且分母不为零.12.(2015•常德)使分式的值为0,这时x=1.考点:分式的值为零的条件.专题:计算题.分析:让分子为0,分母不为0列式求值即可.解答:解:由题意得:,解得x=1,故答案为1.点评:考查分式值为0的条件;需考虑两方面的情况:分子为0,分母不为0.13.(2015•梅州)若=+,对任意自然数n都成立,则a=,b﹣;计算:m=+++…+=.考点:分式的加减法.专题:计算题.分析:已知等式右边通分并利用同分母分式的加法法则计算,根据题意确定出a与b 的值即可;原式利用拆项法变形,计算即可确定出m的值.解答:解:=+=,可得2n(a+b)+a﹣b=1,即,解得:a=,b=﹣;m=(1﹣+﹣+…+﹣)=(1﹣)=,故答案为:;﹣;.点评:此题考查了分式的加减法,熟练掌握运算法则是解本题的关键.14.(2015•黄冈)计算÷(1﹣)的结果是.考点:分式的混合运算.专题:计算题.分析:原式括号中两项通分并利用同分母分式的减法法则计算,同时利用除法法则变形,约分即可得到结果.解答:解:原式=÷=•=,故答案为:.点评:此题考查了分式的混合运算,熟练掌握运算法则是解本题的关键.15.(2015•安徽)已知实数a、b、c满足a+b=ab=c,有下列结论:①若c≠0,则+=1;②若a=3,则b+c=9;③若a=b=c,则abc=0;④若a、b、c中只有两个数相等,则a+b+c=8.其中正确的是①③④(把所有正确结论的序号都选上).考点:分式的混合运算;解一元一次方程.分析:按照字母满足的条件,逐一分析计算得出答案,进一步比较得出结论即可.解答:解:①∵a+b=ab≠0,∴+=1,此选项正确;X k B 1 . c o m②∵a=3,则3+b=3b,b=,c=,∴b+c=+=6,此选项错误;③∵a=b=c,则2a=a2=a,∴a=0,abc=0,此选项正确;④∵a、b、c中只有两个数相等,不妨a=b,则2a=a2,a=0,或a=2,a=0不合题意,a=2,则b=2,c=4,∴a+b+c=8,此选项正确.其中正确的是①③④.故答案为:①③④.点评:此题考查分式的混合运算,一元一次方程的运用,灵活利用题目中的已知条件,选择正确的方法解决问题.16.(2015•毕节市)关于x的方程x2﹣4x+3=0与=有一个解相同,则a=1.考点:分式方程的解;解一元二次方程-因式分解法.分析:利用因式分解法求得关于x的方程x2﹣4x+3=0的解,然后分别将其代入关于x 的方程=,并求得a的值.解答:解:由关于x的方程x2﹣4x+3=0,得(x﹣1)(x﹣3)=0,∴x﹣1=0,或x﹣3=0,解得x1=1,x2=3;当x1=1时,分式方程=无意义;当x2=3时,=,解得a=1,经检验a=1是原方程的解.故答案为:1.点评:本题考查了一元二次方程的解、分式方程的解.解分式方程时,注意:分式的分母不为零.17.(2015•黑龙江)关于x的分式方程﹣=0无解,则m=0或﹣4.考点:分式方程的解.分析:分式方程无解的条件是:去分母后所得整式方程无解,或解这个整式方程得到的解使原方程的分母等于0.解答:解:方程去分母得:m﹣(x﹣2)=0,解得:x=2+m,∴当x=2时分母为0,方程无解,即2+m=2,∴m=0时方程无解.当m=﹣2时分母为0,方程无解,即2+m=﹣2,∴m=﹣4时方程无解.综上所述,m的值是0或﹣4.故答案为:0或﹣4.点评:本题考查了分式方程无解的条件,是需要识记的内容.18.(2015•湖北)分式方程﹣=0的解是15.考点:解分式方程.专题:计算题.分析:分式方程去分母转化为整式方程,求出整式方程的解得到x的值,经检验即可得到分式方程的解.解答:解:去分母得:x﹣5﹣10=0,解得:x=15,经检验x=15是分式方程的解.故答案为:15.点评:此题考查了解分式方程,解分式方程的基本思想是“转化思想”,把分式方程转化为整式方程求解.解分式方程一定注意要验根.19.(2015•通辽)某市为处理污水,需要铺设一条长为5000m的管道,为了尽量减少施工对交通所造成的影响,实际施工时每天比原计划多铺设20m,结果提前15天完成任务.设原计划每天铺设管道x m,则可得方程﹣=15.考点:由实际问题抽象出分式方程.分析:设原计划每天铺设管道x m,则实际每天铺设管道(x+20)m,根据题意可得,实际比原计划少用15天完成任务,据此列方程即可.解答:解:设原计划每天铺设管道x m,则实际每天铺设管道(x+20)m,由题意得,﹣=15.故答案为:﹣=15.点评:本题考查了由实际问题抽象出分式方程,解答本题的关键是读懂题意,设出未知数,找出合适的等量关系,列方程.三.解答题(共10小题)20.(2015•宜昌)化简:+.考点:分式的加减法.分析:首先约分,然后根据同分母分式加减法法则,求出算式+的值是多少即可.解答:解:+====1.点评:此题主要考查了分式的加减法,要熟练掌握,解答此题的关键是要明确:(1)同分母分式加减法法则:同分母的分式相加减,分母不变,把分子相加减.(2)异分母分式加减法法则:把分母不相同的几个分式化成分母相同的分式,叫做通分,经过通分,异分母分式的加减就转化为同分母分式的加减法.21.(2015•南充)计算:(a+2﹣)•.考点:分式的混合运算.分析:首先将括号里面通分运算,进而利用分式的性质化简求出即可.解答:解:(a+2﹣)•=[﹣]×=×=﹣2a﹣6.点评:此题主要考查了分式的混合运算,正确进行通分运算是解题关键.22.(2015•重庆)计算:(1)y(2x﹣y)+(x+y)2;(2)(y﹣1﹣)÷.考点:分式的混合运算;整式的混合运算.专题:计算题.分析:(1)原式利用单项式乘以多项式,以及完全平方公式化简,去括号合并即可得到结果;(2)原式括号中两项通分并利用同分母分式的减法法则计算,同时利用除法法则变形,约分即可得到结果.解答:解:(1)原式=2xy﹣y2+x2+2xy+y2=4xy+x2;(2)原式=•=.点评:此题考查了分式的混合运算,熟练掌握运算法则是解本题的关键.23.(2015•枣庄)先化简,再求值:(+2﹣x)÷,其中x满足x2﹣4x+3=0.考点:分式的化简求值;解一元二次方程-因式分解法.分析:通分相加,因式分解后将除法转化为乘法,再将方程的解代入化简后的分式解答.解答:解:原式=÷=•=﹣,解方程x2﹣4x+3=0得,(x﹣1)(x﹣3)=0,x1=1,x2=3.当x=1时,原式无意义;当x=3时,原式=﹣=﹣.点评:本题综合考查了分式的混合运算及因式分解同时考查了一元二次方程的解法.在代入求值时,要使分式有意义.24.(2015•烟台)先化简:÷(﹣),再从﹣2<x<3的范围内选取一个你最喜欢的值代入,求值.考点:分式的化简求值.专题:计算题.分析:原式括号中两项通分并利用同分母分式的减法法则计算,同时利用除法法则变形,约分得到最简结果,把x的值代入计算即可求出值.解答:解:原式=÷=•=,当x=2时,原式=4.点评:此题考查了分式的化简求值,熟练掌握运算法则是解本题的关键.25.(2015•河南)先化简,再求值:÷(﹣),其中a=+1,b=﹣1.考点:分式的化简求值.专题:计算题.分析:原式括号中两项通分并利用同分母分式的减法法则计算,同时利用除法法则变形,约分得到最简结果,把a与b的值代入计算即可求出值.解答:解:原式=•=,当a=+1,b=﹣1时,原式=2.点评:此题考查了分式的化简求值,熟练掌握运算法则是解本题的关键.26.(2015•黔东南州)先化简,再求值:÷,其中m是方程x2+2x﹣3=0的根.考点:分式的化简求值;解一元二次方程-因式分解法.分析:首先根据运算顺序和分式的化简方法,化简÷,然后应用因数分解法解一元二次方程,求出m的值是多少;最后把求出的m的值代入化简后的算式,求出算式÷的值是多少即可.解答:解:÷==∵x2+2x﹣3=0,∴(x+3)(x﹣1)=0,解得x1=﹣3,x2=1,∵m是方程x2+2x﹣3=0的根,∴m1=﹣3,m2=1,∵m+3≠0,∴m≠﹣3,∴m=1,所以原式===点评:(1)此题主要考查了分式的化简求值问题,注意化简时不能跨度太大,而缺少必要的步骤.(2)此题还考查了解一元二次方程﹣因式分解法,要熟练掌握,解答此题的关键是要明确因式分解法解一元二次方程的一般步骤:①移项,使方程的右边化为零;②将方程的左边分解为两个一次因式的乘积;③令每个因式分别为零,得到两个一元一次方程;④解这两个一元一次方程,它们的解就都是原方程的解.27.(2015•哈尔滨)先化简,再求代数式:(﹣)÷的值,其中x=2+tan60°,y=4sin30°.考点:分式的化简求值;特殊角的三角函数值.专题:计算题.分析:原式括号中两项通分并利用同分母分式的减法法则计算,同时利用除法法则变形,约分得到最简结果,把x与y的值代入计算即可求出值.解答:解:原式=•=,当x=2+,y=4×=2时,原式=.点评:此题考查了分式的化简求值,熟练掌握运算法则是解本题的关键.28.(2015•广元)先化简:(﹣)÷,然后解答下列问题:(1)当x=3时,求原代数式的值;(2)原代数式的值能等于﹣1吗?为什么?考点:分式的化简求值.分析:(1)这是个分式除法与减法混合运算题,运算顺序是先做括号内的减法,此时要注意把各分子、分母先因式分解,约分后再做减法运算;做除法时要注意先把除法运算转化为乘法运算,然后约分化为最简形式,再将x=3代入计算即可;(2)如果=1,求出x=0,此时除式=0,原式无意义,从而得出原代数式的值不能等于﹣1.解答:解:(1)(﹣)÷=[﹣]•=(﹣)•=•=.当x=3时,原式==2;(2)如果=1,那么x+1=x﹣1,解得x=0,当x=0时,除式=0,原式无意义,故原代数式的值不能等于﹣1.点评:本题考查了分式的化简求值.解这类题的关键是利用分解因式的方法化简分式,熟练掌握运算顺序与运算法则是解题的关键.29.(2015•安顺)“母亲节”前夕,某商店根据市场调查,用3000元购进第一批盒装花,上市后很快售完,接着又用5000元购进第二批这种盒装花.已知第二批所购花的盒数是第一批所购花盒数的2倍,且每盒花的进价比第一批的进价少5元.求第一批盒装花每盒的进价是多少元?考点:分式方程的应用.专题:应用题.分析:设第一批盒装花的进价是x元/盒,则第一批进的数量是:,第二批进的数量是:,再根据等量关系:第二批进的数量=第一批进的数量×2可得方程.解答:解:设第一批盒装花的进价是x元/盒,则2×=,解得x=30经检验,x=30是原方程的根.答:第一批盒装花每盒的进价是30元.点评:本题考查了分式方程的应用.注意,分式方程需要验根,这是易错的地方.。
新初中数学方程与不等式之分式方程专项训练及答案一、选择题1.已知关于x 的分式方程13222mx x x-+=--有解,则m 应满足的条件是( ) A . 1 2m m ≠≠且 B .2m ≠C .1m =或2m =D .1m ≠或2m ≠【答案】A 【解析】 【分析】分式方程去分母转化为整式方程(m-2)x=-2,由分式方程有解可知m-2≠0,最简公分母x-2≠0,求出x 的值,进一步求出m 的取值即可. 【详解】13222mx x x-+=--, 去分母得,1-(3-mx )=2(x-2) 整理得,(m-2)x=-2∵分式方程13222mx x x-+=--有解, ∴m-2≠0,即m≠2,∴22x m -=- ∵分式方程13222mx x x-+=--有解, ∴x-2≠0,即x≠2,∴222m -≠-,解得,m≠1, 所以,m 的取值为: 1 m ≠且2m ≠ 故选:A. 【点睛】此题主要考查了分式方程的求解,关键是会解出方程的解,注意隐含条件.2.某市从今年1月1日起调整居民用水价格,每立方米水费上涨13,小丽家去年12月份的水费是15元,而今年5月的水费则是30元,已知小丽家今年5月的用水量比去年12月的用水量多35m .求该市今年居民用水的价格.设去年居民用水价格为x 元/3m ,根据题意列方程,正确的是( )A .30155113x x -=⎛⎫+ ⎪⎝⎭ B .30155113x x -=⎛⎫- ⎪⎝⎭C.15305113xx-=⎛⎫+⎪⎝⎭D.15305113xx-=⎛⎫-⎪⎝⎭【答案】A【解析】【分析】利用总水费÷单价=用水量,结合小丽家今年5月的用水量比去年12月的用水量多5m3得出方程即可.【详解】解:设去年居民用水价格为x元/3m,根据题意得:30155113xx-=⎛⎫+⎪⎝⎭,故选:A.【点睛】此题主要考查了由实际问题抽象出分式方程,正确表示出用水量是解题关键.3.某服装店用10000元购进一批某品牌夏季衬衫若干件,很快售完;该店又用14700元钱购进第二批这种衬衫,所进件数比第一批多40%,每件衬衫的进价比第一批每件衬衫的进价多10元,求第一批购进多少件衬衫?设第一批购进x件衬衫,则所列方程为()A.10000x﹣10=14700(140)0x+B.10000x+10=14700(140)0x+C.10000(140)0x-﹣10=14700xD.10000(140)0x-+10=14700x【答案】B【解析】【分析】根据题意表示出衬衫的价格,利用进价的变化得出等式即可.【详解】解:设第一批购进x件衬衫,则所列方程为:10000x +10=()147001400x+.故选B.【点睛】此题主要考查了由实际问题抽象出分式方程,正确找出等量关系是解题关键.4.从﹣4,﹣3,﹣2,﹣1,0,1,3,4,5这九个数中,随机抽取一个数,记为a,则数a 使关于x 的不等式组()1242122123x a x x ⎧--≤⎪⎪⎨-⎪<+⎪⎩至少有四个整数解,且关于x 的分式方程233a x x x ++--=1有非负整数解的概率是( ) A .29B .13C .49D .59【答案】C 【解析】 【分析】先解出不等式组,找出满足条件的a 的值,然后解分式方程,找出满足非负整数解的a 的值,然后利用同时满足不等式和分式方程的a 的个数除以总数即可求出概率. 【详解】 解不等式组得:7x ax ≤⎧⎨>-⎩, 由不等式组至少有四个整数解,得到a≥﹣3, ∴a 的值可能为:﹣3,﹣2,﹣1,0,1,3,4,5, 分式方程去分母得:﹣a ﹣x+2=x ﹣3, 解得:x =52a - , ∵分式方程有非负整数解, ∴a =5、3、1、﹣3,则这9个数中所有满足条件的a 的值有4个, ∴P =49故选:C . 【点睛】本题主要考查解一元一次不等式组,分式方程的非负整数解,随机事件的概率,掌握概率公式是解题的关键.5.某医疗器械公司接到400件医疗器械的订单,由于生产线系统升级,实际每月生产能力比原计划提高了30%,结果比原计划提前4个月完成交货.设每月原计划生产的医疗器械有x 件,则下列方程正确的是( ) A .400400(130%)x x-+=4 B .400400(130%)x x-+=4C .400400(130%)x x--=4 D .4004004(130%)x x-=- 【答案】A【解析】 【分析】根据“原计划所用时间-实际所用时间=4”可得方程. 【详解】设每月原计划生产的医疗器械有x 件,根据题意,得:()4004004130%x x -=+ 故选A . 【点睛】本题考查了由实际问题抽象出分式方程,解答本题的关键是读懂题意,设出未知数,找出合适的等量关系,列方程.6.如果关于x 的不等式(a +1)x >2的解集为x <-1,则a 的值是( ). A .a =3 B .a ≤-3C .a =-3D .a >3【答案】C 【解析】 【分析】根据不等式的解集得出关于a 的方程,解方程即可. 【详解】解:因为关于x 的不等式(a +1)x >2的解集为x <-1, 所以a+1<0,即a <-1,且21a +=-1,解得:a=-3. 经检验a=-3是原方程的根 故选:C . 【点睛】此题主要考查了不等式的解集,当题中有两个未知字母时,应把关于某个字母的不等式中的字母当成未知数,求得解集,再根据解集进行判断,求得另一个字母的值.7.已知关于x 的分式方程211x k x x-=--的解为正数,则k 的取值范围为( ) A .20k -<< B .2k >-且1k ≠- C .2k >-D .2k <且1k ≠【答案】B 【解析】 【分析】先用k 表示x ,然后根据x 为正数列出不等式,即可求出答案. 【详解】 解:211x kx x-=--Q,21x kx +∴=-, 2x k ∴=+,Q 该分式方程有解,21k ∴+≠, 1k ∴≠-, 0x Q >, 20k ∴+>, 2k ∴>-,2k ∴>-且1k ≠-, 故选:B . 【点睛】本题考查的是分式方程,熟练掌握分式方程是解题的关键.8.对于非零实数a 、b ,规定a ⊗b =21a b a-.若x ⊗(2x ﹣1)=1,则x 的值为( ) A .1 B .13 C .﹣1D .-13【答案】A 【解析】 【分析】 【详解】解:根据题中的新定义可得:()21x x ⊗-=21121x x x-=-, 解得:x=1,经检验x=1是分式方程的解, 故选A . 【点睛】本题考查了新定义、解分式方程,解分式方程的基本思想是“转化思想”,把分式方程转化为整式方程求解.解分式方程一定注意要验根.9.某市在旧城改造过程中,需要整修一段全长2400m 的道路.为了尽量减少施工对城市交通所造成的影响,实际工作效率比原计划提高了20%,结果提前8小时完成任务.求原计划每小时修路的长度.若设原计划每小时修路xm ,则根据题意可得方程( ) A .240024008(120%)x x -=+ B .240024008(120%)x x -=+C .240024008(120%)x x-=-D .240024008(120%)x x-=- 【答案】A【解析】 【分析】求的是原计划的工效,工作总量为2400,根据工作时间来列等量关系.本题的关键描述语是:“提前8小时完成任务”;等量关系为:原计划用的时间-实际用的时间=8. 【详解】原计划用的时间为:2400x ,实际用的时间为:()2400120%x +.所列方程为:2400x-()2400120%x +=8.故选A 【点睛】本题考查分式方程的应用,分析题意,找到合适的等量关系是解决问题的关键.本题应用的等量关系为:工作时间=工作总量÷工效.10.若关于x 的方程244x ax x =+--有增根,则a 的值为( ) A .-4 B .2C .0D .4【答案】D 【解析】 【分析】增根是化为整式方程后产生的不适合分式方程的根.让最简公分母x-4=0,得到x=4.再将x=4代入去分母后的方程即可求出a=4. 【详解】解:由分式方程的最简公分母是x-4, ∵关于x 的方程244x a x x =+--有增根, ∴x-4=0,∴分式方程的增根是x=4.关于x 的方程244x a x x =+--去分母得x=2(x-4)+a, 代入x=4得a=4 故选D . 【点睛】本题考查了分式方程的增根,增根问题可按如下步骤进行: ①让最简公分母为0确定增根; ②化分式方程为整式方程;③把增根代入整式方程即可求得相关字母的值.11.甲、乙两船从相距300km 的A 、B 两地同时出发相向而行,甲船从A 地顺流航行180km时与从B地逆流航行的乙船相遇,水流的速度为6km/h,若甲、乙两船在静水中的速度均为xkm/h,则求两船在静水中的速度可列方程为()A.1806x+=1206x-B.1806x-=1206x+C.1806x+=120xD.180x=1206x-【答案】A【解析】分析:直接利用两船的行驶距离除以速度=时间,得出等式求出答案.详解:设甲、乙两船在静水中的速度均为xkm/h,则求两船在静水中的速度可列方程为:1806 x+=1206x-.故选A.点睛:此题主要考查了由实际问题抽象出分式方程,正确表示出行驶的时间和速度是解题关键.12.八年级学生去距学校10千米的博物馆参观,一部分学生骑自行车先走,过了20分钟后,其余学生乘汽车出发,结果他们同时到达,已知汽车的速度是骑车学生速度的2倍.设骑车学生的速度为x千米/小时,则所列方程正确的是()A.10x-102x=20 B.102x-10x=20 C.10x-102x=13D.102x-10x=13【答案】C【解析】【分析】根据八年级学生去距学校10千米的博物馆参观,一部分学生骑自行车先走,过了20分钟后,其余学生乘汽车出发,结果他们同时到达,可以列出相应的方程,从而可以得到哪个选项是正确的.【详解】由题意可得,10 x -102x=13,故选:C.【点睛】此题考查由实际问题抽象出分式方程,解题的关键是明确题意,找出题目中的等量关系,列出相应的方程.13.某工程队准备修建一条长1200米的道路,由于采用新的施工方式,实际每天修建道路的速度比原计划快20%,结果提前两天完成任务,若设原计划每天修建道路x米,则根据题意可列方程为().A .120012002(120%)x x -=+ B .120012002(120%)x x-=-C .120012002(120%)x x-=+D .120012002(120%)x x -=-【答案】A 【解析】设原计划每天修建道路xm ,则实际每天修建道路为(1+20%)xm ,由题意得,()120012002120%x x -=+. 故选A.14.若数k 使关于x 的不等式组301132x k x x +≤⎧⎪-⎨-≤⎪⎩只有4个整数解,且使关于y 的分式方程1k y -+1=1y ky ++的解为正数,则符合条件的所有整数k 的积为( )A .2B .0C .﹣3D .﹣6【答案】A 【解析】 【分析】解不等式组求得其解集,根据不等式组只有4个整数解得出k 的取值范围,解分式方程得出y=-2k+1,由方程的解为整数且分式有意义得出k 的取值范围,综合两者所求最终确定k 的范围,据此可得答案. 【详解】解:解不等式组301132x k x x +≤⎧⎪-⎨-≤⎪⎩得:﹣3≤x ≤﹣3k ,∵不等式组只有4个整数解, ∴0≤﹣3k<1, 解得:﹣3<k ≤0,解分式方程1k y -+1=1y k y ++得:y =﹣2k +1,∵分式方程的解为正数, ∴﹣2k +1>0且﹣2k +1≠1, 解得:k <12且k ≠0, 综上,k 的取值范围为﹣3<k <0,则符合条件的所有整数k 的积为﹣2×(﹣1)=2,故选A.【点睛】本题考查了解一元一次不等式组、分式方程的解,有难度,注意分式方程中的解要满足分母不为0的情况.15.若关于x的方程333x m mx x++--=3的解为正数,则m的取值范围是()A.m<92B.m<92且m≠32C.m>﹣94D.m>﹣94且m≠﹣34【答案】B【解析】【分析】【详解】解:去分母得:x+m﹣3m=3x﹣9,整理得:2x=﹣2m+9,解得:x=292m-+,已知关于x的方程333x m mx x++--=3的解为正数,所以﹣2m+9>0,解得m<92,当x=3时,x=292m-+=3,解得:m=32,所以m的取值范围是:m<92且m≠32.故答案选B.16.已知甲车行驶35千米与乙车行驶45千米所用时间相同,且乙车每小时比甲车多行驶15 千米,设甲车的速度为x千米/小时,依据题意列方程正确的是A.354515x x=-B.3545+15x x=C.3545-15x x=D.3545+15x x=【答案】D【解析】【分析】首先根据甲车的速度为x千米/小时,表示出乙车的速度为(x+15)千米/小时,再根据关键是语句“甲车行驶35千米与乙车行驶45千米所用时间相同”列出方程即可.【详解】解:设甲车的速度为x千米/小时,则乙车的速度为(x+15)千米/小时,由题意得:3545+15x x =, 故选D . 【点睛】此题主要考查了分式方程的应用,关键是正确理解题意,表示出甲乙两车的速度,再根据关键是语句列出方程即可.此题用到的公式是:路程÷速度=时间.17.某单位向一所希望小学赠送1080本课外书,现用A 、B 两种不同的包装箱进行包装,单独使用B 型包装箱比单独使用A 型包装箱可少用6个;已知每个B 型包装箱比每个A 型包装箱可多装15本课外书.若设每个A 型包装箱可以装书x 本,则根据题意列得方程为( ) A . B . C .D .【答案】C 【解析】设每个A 型包装箱可以装书x 本,则每个B 型包装箱可以装书(x+15)本,根据单独使用B 型包装箱比单独使用A 型包装箱可少用6个,列方程得:,故选C.18.若关于x 的分式方程2233x mx x -=--有增根,则m 的值为( ). A .3 B .3C 3D .3±【答案】D 【解析】解关于x 的方程2233x mx x -=--得:26x m =-, ∵原方程有增根,∴30x -=,即2630m --=,解得:3m = 故选D.点睛:解这类题时,分两步完成:(1)按解一般分式方程的步骤解方程,用含待定字母的式子表示出方程的根;(2)方程有增根,则把(1)中所得的结果代入最简公分母中,最简公分母的值为0,由此即可求得待定字母的值.19.小明上月在某文具店正好用 20 元钱买了几本笔记本,本月再去买时,恰遇此文具店搞优惠酬宾活动,同样的笔记本,每本比上月便宜 1 元,结果小明只比上次多用了 4 元钱, 却比上次多买了 2 本.若设他上月买了 x 本笔记本,则根据题意可列方程( )A .24x 2+ -20 x =1 B .20x -24 x 2+ =1 C .24x - 20x 2+ =1 D .20x 2+ -24 x =1 【答案】B【解析】试题解析:设他上月买了x 本笔记本,则这次买了(x+2)本, 根据题意得:2020412x x +-=+, 即:202412x x -=+. 故选B .考点:分式方程的应用.20.从4-,2-,1-,0,1,2,4,6这八个数中,随机抽一个数,记为a .若数a 使关于x 的一元二次方程()22240x a x a --+=有实数解.且关于y 的分式方程1311y a y y+-=--有整数解,则符合条件的a 的值的和是( ) A .6-B .4-C .2-D .2【答案】C【解析】【分析】由一元二次方程()22240x a x a --+=有实数解,确定a 的取值范围,由分式方程1311y a y y+-=--有整数解,确定a 的值即可判断. 【详解】方程()22240x a x a --+=有实数解, ∴△=4(a −4)2−4a 2⩾0,解得a ⩽2∴满足条件的a 的值为−4,−2,−1,0,1,2 方程1311y a y y+-=-- 解得y=2a +2 ∵y 有整数解∴a=−4,0,2,4,6综上所述,满足条件的a 的值为−4,0,2,符合条件的a 的值的和是−2故选:C【点睛】本题考查了一元二次方程根据方程根的情况确定方程中字母系数的取值范围;以及分式方程解的定义:求出使分式方程中令等号左右两边相等且分母不等于0的未知数的值,这个值叫分式方程的解.。
初中数学解分式方程练习题一、单选题1.下列方程不是分式方程的是( ) A.31x x-= B.1111x x x +=+- C.342x y+= D.1223x x --= 2.下列各式中,是关于x 的分式方程的是( )A.230x y -=B.12327x x +-=C. 352x x =-D.132x x ++- 3.方程2131x x =+-的解是( ) A.53x = B.5x = C.4x = D.5x =-4.如图,一个瓶身为圆柱体的玻璃瓶内装有高a 厘米的墨水,将瓶盖盖好后倒置,墨水水面高为h 厘米,则瓶内的墨水的体积约占玻璃瓶容积的( )A.a a b +B.b a b +C.h a b +D.h a h+ 5.已知关于x 的分式方程3133x a x -=-的解是非负数,那么a 的取值范围是( ) A.1a > B.1a ≥C.1a ≥且9a ≠D.1a ≤ 6.九年级(1)班学生周末从学校出发到某实践基地研学旅行,实践基地距学校150千米,一部分学生乘慢车先行,出发30分钟后,另一部分学生乘快车前往,结果他们同时到达实践基地,已知快车的速度是慢车速度的1.2倍,如果设慢车的速度为x 千米/时,根据题意列方程得( )A.15015030 1.2x x-= B.15015030 1.2x x += C.15011502 1.2x x -= D.15011502 1.2x x +=7.新能源汽车环保节能,越来越受到消费者的喜爱,各种品牌相继投放市场.一汽贸公司经销某品牌新能源汽车,去年销售总额为5000万元,今年1~5月份,每辆车的销售价格比去年降低1万元,销售数量与去年一整年的相同,销售总额比去年一整年的少20%,今年1~5月份每辆车的销售价格是多少万元?设今年1~5月份每辆车的销售价格为x 万元,根据题意,列方程正确的是( ) A.5000500010)1(2x x -=+% B.5000500010)1(2x x +=+% C.5000500010)1(2x x -=-% D. 5000500010)1(2x x+=-% 8.解分式方程14322x x-=--时,去分母可得( ) A.()1324x --=B.()1324x --=-C.()1324x --=-D.()1324x --= 9.小王乘公共汽车从甲地到相距40千米的乙地办事.然后乘出租车返回,出租车的平均速度比公共汽车多2千米/时.回来时路上所花时间比去时节省了14,设公共汽车的平均速度为x 千米/时,则下面列出的方程中正确的是( ) A.40340204x x=⨯+ B.40340420x x =⨯+ C.40140204x x+=+ D.40140204x x -=+ 二、解答题10.甲、乙两同学与学校的距离均为3000米.甲同学先步行600米,然后乘公交车去学校,乙同学骑自行车去学校.已知甲步行的速度是乙骑自行车速度的12,公交车速度是乙骑自行车速度的2倍.甲、乙两同学同时从家出发去学校,结果甲同学比乙同学早到2分钟.1.求乙骑自行车的速度;2.当甲到达学校时,乙同学离学校还有多远?三、填空题11.分式方程3142x x -=+的解是x = . 12.某市为治理污水,需要铺设一段全长为3000米的污水排放管道,为了尽量减少施工对城市交通所造成的影响,实际施工时,每天的工效比原计划增加25%,结果提前20天完成这一任务,则原计划每天铺设 米管道.13.当m = 时,解分式方程533x m x x -=--会出现增根. 14.分式72x -与2x x-的和为4,则x 的值为 . 参考答案1.答案:D解析: A,B,C 选项中的方程分母中都含未知数,是分式方程;D 选项的方程分母中不含未知数,不是分式方程,故选D.2.答案:C解析:230x y -=是整式方程,故A 错误;1237x x x +-=是整式方程,故B 错误;352x x =-是分式方程,且未知数为x ,故C 正确;132x x ++-不是方程故D 错误故选C 3.答案:B 解析:方程的两边都乘()()31x x +-得223x x -=+,解方程得5x =.经检验,5x =是原分式方程的解,所以原方程的解是5x =.故选B.4.答案:A解析:设第一个图形中下底面积为S ,倒立放置时,空余部分的体积为bS ,正立放置时,有墨水部分的体积是aS ,因此墨水的体积约占玻璃瓶容积的aS a aS bS a b =++故选A 5.答案:C 解析:由3133x a x -=-,解得338a x -=.分式方程的解是非负数,33018a a -∴≥≥,. 又3x ≠,3338a -∴≠,即9a ≠,1a ∴≥且9a ≠.故选C. 6.答案:C 解析:已知慢车的速度为x 千米/时,则快车的速度为1.2x 千米/时,根据题意可得15011502 1.2x x -= 7.答案:A解析:已知今年1~5月份每辆车的销售价格为x 万元,则去年每辆车的销售价格为()1x +万元,根据“销售数量与去年一整年的相同”可列方程50005000(120%)1x x-=+故选A. 8.答案:B解析:原方程可变形为14322x x -=---,方程两边同时乘()2x -,得()1324x --=-.故选B 9.答案:A 解析:公共汽车的平均速度为x 千米/时,则出租车的平均速度为()20x +千米/时,根据回来时路上所花时间比去时节省了14,得出方程为40340204x x=⨯+. 10.答案:1.设乙骑自行车的速度为x 米/分钟,则甲步行的速度是12x 米/分钟,公交车的速度是2x 米/分钟,根据题意得600300060030002122x x x -+=-,解得300x =,经检验300x =是分式方程的解答:乙骑自行车的速度为300米/分钟2.3002600⨯= (米)答:当甲到达学校时,乙同学离学校还有600米解析:11.答案:9-解析:去分母,得()3142x x -=+,去括号,得3148x x -=+,移项、合并同类项,得9x -=,系数化为1,得9x =-.检验:当9x =-时,20x +≠,所以原分式方程的解是9x =-. 12.答案:30解析:设原计划每天铺设x 米管道,则依题意可得3000300020(125%)x x-=+,解得30x =,经检验,30x =是原分式方程的解,∴原计划每天铺设30米管道.13.答案:2解析:去分母得5x m -=-,解得5x m =-由原分式方程的分母可知,分式方程的增根是3x =,即53m -=,解得2m =.14.答案:3 解析:根据题意,得7422x x x+=--方程两边同乘()2x -,得()742x x -=-,解得3x =,检验:当3x =时,20x -≠,所以原分式方程的解是3x =.。
分式方程
分式方程的定义
分式方程是数学学科内的一种术语,等号两边至少有一个分母含有未知数的有理方程叫做分式方程。
分式方程是初等数学知识的重点,也是难点,是学习方程式的基础知识点。
分式方程特征:
①一是方程
②二是分母中含有未知数。
因此整式方程和分式方程的根本区别就在于分母中是否含有未知数。
分式方程的解法
解分式方程的基本思路是将分式方程化为整式方程,具体做法是“去分母”,即方程两边同乘最简公分母,这也是解分式方程的一般思路和做法。
(1)在方程的两边都乘最简公分母,约去分母,化成整式方程;
(2)解这个整式方程;
(3)把整式方程的根代入最简公分母,看结果为不为零,使最简公分母为零的根是原方程的增根,必须舍去。
通常的分式方程用此方法都易得出方程的解,但使用一些不同的方法来解分式方程更容易,如:
例题:
(1)x/(x+1)=2x/(3x+3)+1
两边乘3(x+1)
3x=2x+(3x+3)
3x=5x+3
-2x=3
x=3/-2
经检验,x=-3/2是方程的解
(2)2/(x-1)=4/(x^2-1)
两边乘(x+1)(x-1)
2(x+1)=4
2x+2=4
2x=2
x=1
把x=1代入原方程,分母为0,所以x=1是增根。
所以原方程无解。
一定要检验!。