2021年反函数·典型例题精析
- 格式:doc
- 大小:17.01 KB
- 文档页数:2
大一反函数的经典例题(范文5篇)以下是网友分享的关于大一反函数的经典例题的资料5篇,希望对您有所帮助,就爱阅读感谢您的支持。
大一反函数的经典例题(1)[例1]若函数f (x ) 与g (x)的图象关于直线y =x 对称,且f (x )=(x -1) (x ≤1) ,求g (x ). 选题意图:本题考查互为反函数的函数的图象间的对称关系.解:f (x ) 与g (x ) 在定义域内互为反函数,f (x )=(x -1) 2(x ≤1) 的反函数是2y =1-x (x ≥0) ,∴g (x )=1-x (x ≥0).说明:互为反函数的图象关于y =x 对称,反之亦然,也是判断两个函数互为反函数的方法之一,本是f (x ) 与g (x )互为反函数,要求g (x ), 只须求f (x ) 在限定区间上的反函数即可.[例2]若点P (1,2) 在函数y=ax +b 的图象上,又在它的反函数的图象上,求a , b 的值.选题意图:本题考查反函数的概念,反函数的图象与原函数图象的对称关系的应用.解:由题意知P (1,2) 在其反函数的图象上,根据互为反函数的函数图象关于y =x 对称的性质,P′(2,1) 也在函数y =+b 的图象上,⎧⎪2=a +b 因此:⎨解得:a =-3,b =7. ⎪⎩1=2a +b说明:引导学生树立创造性思考问题的方式、方法,利用互为反函数的图象的对称关系. (1,2)在反函数图象上,则(2,1) 也在原函数图象上是解决该问题的关键所在,即f (2)=1,这是得到a , b 的另一个关系式的条件,这样两个条件两个未知数,就可解出a , b 的值.[例3]已知函数f (x )=(1+x 2-1) -2(x ≥-2) ,求方程f (x )=f (x ) 的2解集.选题意图:本题考查互为反函数的函数的图象关于y =x 对称的关系,灵活运用这一关系解决问题的能力.分析:若先求出f (x )=2x +2-2(x ≥-2), 再解方程(1+-1-1图2—8 x 2) -2=2x +2-2,整理得四2次方程,求解有困难,但我们可以利用y =f (x ) 与y =f (x ) 的图象的关系求解. 先画出y =f (x )=(1+x 2-1) -2的图象,如图,因为y =f (x ) 的图象和y =f (x ) 的图象关于直线y =x 对称,2-1可立即画出y =f (x ) 的图象,由图象可见两图象恰有两个交点,且交点在y =x 上,因此,由x 2⎧⎪y =(1+) -2方程组⎨联立即可解得. 2⎪⎩y =x解:由函数f (x )=(1+x 2) -2(x ≥-2) 画出图象,如图,由于函数f (x ) 的反函数的图象与2函数f (x ) 的图象关于y =x 对称,故可以画出其反函数图象(如图),由图可知两图象恰有两x 2⎧y =(1+) -2⎪-1个交点且交点都在y =x 上. 因此,方程组⎨的解即为f (x )=f (x ) 的解,于是2⎪⎩y =x解方程组得x =-2或x =2,从而方程f (x )=f (x ) 的解集为{-2,2}.说明:解决本题的关键是,根据互为反函数的图象关于y =x 对称,若两个函数有交点,则交点必在直线y =x 上,由此,将要解的两个较复杂的方程组转化为直线y =x 与其中-1y =(1+x 2) -2一个方程组的解的问题. 2大一反函数的经典例题(2)[例1]下列各组函数中,不互为反函数的是( ) ......1(x -3) 21B. f (x )=2x +3,g (y )= (y -3)2A. f (x )=2x +3,g (x )=C. f (x )=x , g (x )=x2D. f (x )=x (x <0) , g (x )=-x (x >0)2选题意图:本题主要考查函数的反函数的有关概念,判断互为反函数的两个函数必须满足的条件:即函数解析式之间的关系是互相能确定x 、y ,定义域与值域之间的关系,是否是一个函数的定义域和值域分别是另一个函数的值域和定义域.解析:由f (x )=x 的定义域为x ∈R ,而值域为y ≥0; g (x )= x 的定义域为x ≥0,而值域为y ≥0. 由反函数的概念知反函数的定义域和值域正是原函数的值域和定义域推得它们不能互为反函数.说明:注意例1是判断不互为反函数的命题,否定互为反函数的三条件之一即不是反函数.[例2]判断函数y =x -x 有无反函数? 如果有,求出其反函数.选题意图:加深函数有无反函数判断的理解以及熟悉求反函数的方法与步骤.解:判断函数y =f (x ) 有无反函数,根据反函数的概念,应该判断:对每个确定的y 的(可能取到) 值,是否有惟一确定的x 值与之相对应. 由y =x -x112-12-1,得∴(x ) -y ⋅x -1=0112212①.11y ±y 2+4y -y +4x =, , x 0, ∴x =舍去,22y +y 2+4y 2+y y 2+4∴x =, ∴x =+1∴每一个确定的y 值,对应着(即只能221求出) 一个x , ∴x是y 的函数,即y =x -x1-1有反函数,,由上面过程,易见反函数为x 2+x x 2+4x 2+x x 2+4,值域为(0,y =+1, 且f (x ) =y =+1的定义域是(x ∈R)22+∞).说明:上述过程包含着:对于任意实数y 的取值方程①必有根,因此x 2-x11-12可以取到任意实数即函数y =x -x 的值域为(-∞,+∞),所以反函数的定义域为(-∞,x 2+x x 2+4+∞),恰是函数y =+1的定义域,在这种情况下,可以不注明函数的定义2域,当然原函数y =x -x 的值域也可以用以下方法解:当x =1时,y =0,当0<x<1时,0<x <1,x112-12-1>1, 则y <0,且当x →0时,x →0, x121-1→+∞, 这时y 可以取任12何负数. 当x >1时,x >1,0<x12-12<1, 则y >0,且当x →+∞时,x →+∞, x-12-12→0.这时y 可以取任何正数,∴y =x -x 的值域为R ,即(-∞,+∞).[例3]已知一次函数y =f (x ) 的反函数仍是它自己,求f(x ). 选题意图:本题考查反函数的概念,利用反函数与原函数的关系分析问题解决问题的能力.解:设y =f (x )=ax +b (a ≠0) ,则f1bx -, a a 1bax +b =x -对于一切x 都成立,a a-1(x ) =1⎧a =⎪⎧a =1⎧a =-1⎪a ∴⎨∴⎨或⎨⎪-b =b , ⎩b =0. ⎩b ∈R, ⎪⎩a∴f (x )=x 或f (x )=-x +b (b ∈R).说明:利用互为反函数的条件判断或证明某个或某两个函数是互为反函数的基本方法,此题是一个特殊函数的反函数的证明,希望读者掌握这种证明方法和思路.大一反函数的经典例题(3)函数的性质、反函数函数的单调性例题例1-5-1 下列函数中,属于增函数的是[ ]解 D例1-5-2 若一次函数y=kx+b(k≠0) 在(-∞,+∞) 上是单调递减函数,则点(k,b) 在直角坐标平面的[ ]A .上半平面B.下半平面C .左半平面D.右半平面解 C 因为k <0,b ∈R .例1-5-3 函数f(x)=x2+2(a-1)x+2在区间(-∞,4) 上是减函数,则实数a 的取值范围是[ ]A .a ≥3 B.a ≤-3C .a ≤5 D.a=-3解 B 因抛物线开口向上,对称轴方程为x=1-a,所以1-a ≥4,即a ≤-3.例1-5-4 已知f(x)=8+2x-x2,如果g(x)=f(2-x2) ,那么g(x) [ ]A .在区间(-1,0) 内是减函数B .在区间(0,1) 内是减函数C .在区间(-2,0) 内是增函数D .在区间(0,2) 内是增函数解 A g(x)=-(x2-1) 2+9.画出草图可知g(x)在(-1,0) 上是减函数.+bx在(0,+∞) 上是______函数(选填“增”或“减”) .解[-2,1]大一反函数的经典例题(4)反函数例题讲解例1.下列函数中,没有反函数的是(A) y = x 2-1(x 1)2( )(B) y = x 3+1(x ∈R )(D) y =⎨⎧2x -2(x ≥2) ,-4x (x x(x ∈R ,x ≠1)x -1分析:一个函数是否具有反函数,完全由这个函数的性质决定.判断一个函数有没有反函数的依据是反函数的概念.从代数角度入手,可试解以y 表示x 的式子;从几何角度入手,可画出原函数图像,再作观察、分析.作为选择题还可用特例指出不存在反函数.本题应选(D ).因为若y = 4,则由⎨⎧2x -2=4,得x = 3.x ≥2⎩由⎨⎧-4x =4,得x = -1.x ∴(D )中函数没有反函数.如果作出y =⎨⎧2x -2(x ≥2) ,的图像(如图),依图-4x (x 更易判断它没有反函数.例2.求函数y =1--x 2(-1≤x ≤0)的反函数.解:由y =1--x 2,得:-x 2=1-y .∴1-x 2 = (1-y ) 2,x 2 = 1-(1-y ) 2 = 2y -y 2 .∵-1≤x ≤0,故x =-2y -y 2.又当-1≤x ≤0 时,0≤1-x 2≤1,∴0≤-x 2≤1,0≤1--x 2≤1,即0≤y ≤1 .∴所求的反函数为y =-2x -x 2(0≤x ≤1).由此可见,对于用解析式表示的函数,求其反函数的主要步骤是:①把给出解析式中的自变量x 当作未知数,因变量y 当作系数,求出x = φ ( y ).②求给出函数的值域,并作为所得函数的定义域;③依习惯,把自变量以x 表示,因变量为y 表示,改换x = φ ( y ) 为y = φ ( x ).例3.已知函数 f ( x ) = x 2 + 2x + 2(x 分析:依据f -1 (2 )这一符号的意义,本题可由f ( x )先求得f -1 ( x ),再求f -1 (2 )的值(略).依据函数与反函数的联系,设f -1 (2 ) = m ,则有f ( m ) = 2.据此求f -1(2 )的值会简捷些.令x 2 + 2x + 2 = 2,则得:x 2 + 2x = 0 .∴x = 0 或x =-2 .又x 的图像是(( )(B((分析:作为选择题,当然不必由f ( x )求出f -1 ( x ),再作出f -1 ( x )图像,予以比较、判断.由f (x ) =+4x 2(x ≤0)易得函数f ( x )的定义域为(-∞, 0],值域为[1, +∞).于是有函数f-1( x )的定义域为[1, +∞),值域为(-∞, 0].依此对给出图像作检验,显然只有(D )是正确的.因此本题应选(D ).例5.给定实数a ,a ≠0,a ≠1,设函数y =x -11(x ∈R ,x ≠).a ax -1求证:这个函数的图像关于直线y = x 成轴对称图形.分析:本题可用证明此函数与其反函数是同一个函数的思路.证明:先求给出函数的反函数:由y =∴x -11(x ∈R ,x ≠),得y ( ax -1) = x -1 .a ax -1(ay -1) x = y -1 .①若ay -1 = 0,则ay = 1 .又a ≠0,故y =11.此时由①可有y = 1.于是=1,即a = 1, a a这与已知a ≠1是矛盾的,故ay -1 ≠ 0 .则由①得x =∴函数y =≠).由于函数f ( x )与f -1 ( x )的图像关于直线y = x 对称,故函数y =(x ∈R 且x ≠1)的图像关于直线y = x 成轴对称图形. a1ay -11(y ∈R ,y ≠).ay -1ax -11x -1(x ∈R ,x ≠)的反函数还是y =(x ∈R ,xa ax -1ax -1x -1ax -1本题证明还可依轴对称的概念进行,即证明:若点P (x ,y )是函数f ( x ) 图像上任一点,则点P 关于直线的对称点Q (y ,x )也在函数f ( x )的图像上(过程略).例题讲解(反函数)例1.求下列函数的反函数:(1) y =3x -1 (x ∈R ) ;(2) y =x 3+1 (x ∈R ) ;(3)y =x +1 (x ≥0) ;(4)y =2x +3(x ∈R ,且x ≠1) .x -1通过本例,使学生掌握求反函数的方法.求反函数时,要强调分三个步骤进行.第一步将y = f (x ) 看成方程,解出x = f -1 (y ) ,第二步将x ,y 互换,得到y = f -1 (x ) ,第三步求出原函数的值域,作为反函数的定义域.其中第三步容易被忽略,造成错误.如第(3)小题,由y =x +1解得x = (y -1) 2,再将x ,y 互换,得y = (x -1) 2.到此以为反函数即y = (x -1) 2,这就错了.必须根据原函数的定义域x ≥0,求得值域y ≥1,得到反函数的定义域,于是所求反函数为y = (x -1) 2 (x ≥1) .例2.求下列函数的反函数:(1) y = x 2-2x -3 (x ≤0) ;⎧x -1(x ≤0) ,⎪(2) y =⎨1-1(x >0) .⎪⎩x通过本例,使学生进一步掌握求反函数的方法,明确求解中三个步骤缺一不可.解:(1) 由y = x 2-2x -3,得y = (x -1) 2-4,即(x -1) 2 = y +4,因为x ≤0,所以x -1=-y +4,所以原函数的反函数是y =1-x +4 ( x≥-3) .(2) 当x ≤0时,得x = y+1且y ≤-1;当x >0时,得x =1且y >-1,y +1所以,原函数的反函数是:x ≤-1,x >-1.⎧x +1⎪y =⎨1⎪⎩x +1例题讲解(反函数)[例1]若函数f (x ) 与g (x)的图象关于直线y =x 对称,且f (x )=(x -1) 2(x ≤1) ,求g (x ).选题意图:本题考查互为反函数的函数的图象间的对称关系. 解:f (x ) 与g (x ) 在定义域内互为反函数,f (x )=(x -1) 2(x ≤1) 的反函数是y =1-x (x ≥0) ,∴g (x )=1-x (x ≥0).说明:互为反函数的图象关于y =x 对称,反之亦然,也是判断两个函数互为反函数的方法之一,本是f (x ) 与g (x ) 互为反函数,要求g (x ), 只须求f (x ) 在限定区间上的反函数即可.[例2]若点P (1,2) 在函数y=ax +b 的图象上,又在它的反函数的图象上,求a , b 的值. 选题意图:本题考查反函数的概念,反函数的图象与原函数图象的对称关系的应用. 解:由题意知P (1,2) 在其反函数的图象上,根据互为反函数的函数图象关于y =x 对称的性质,P′(2,1) 也在函数y =ax +b 的图象上,⎧⎪2=a +b因此:⎨解得:a =-3,b =7.⎪⎩1=2a +b说明:引导学生树立创造性思考问题的方式、方法,利用互为反函数的图象的对称关系. (1,2)在反函数图象上,则(2,1) 也在原函数图象上是解决该问题的关键所在,即f (2)=1,这是得到a , b 的另一个关系式的条件,这样两个条件两个未知数,就可解出a , b 的值.x[例3]已知函数f (x )=(1+) 2-2(x ≥-2) ,求方程2-1f (x )=f (x ) 的解集.选题意图:本题考查互为反函数的函数的图象关于y =x 对称的关系,灵活运图2—8 用这一关系解决问题的能力.x分析:若先求出 f -1(x )=2x +2-2(x ≥-2), 再解方程(1+) 2-2=2x +2-2,2整理得四次方程,求解有困难,但我们可以利用y =f (x ) 与y =f -1(x ) 的图象的关系x求解. 先画出y =f (x )=(1+) 2-2的图象,如图,因为y =f (x ) 的图象和y =f -1(x ) 的2图象关于直线y =x 对称,可立即画出y =f -1(x ) 的图象,由图象可见两图象恰有两x 2⎧y =(1+) -2⎪个交点,且交点在y =x 上,因此,由方程组⎨联立即可解得. 2⎪⎩y =xx 2) -2(x ≥-2) 画出图象,如图,由于函数f (x ) 的反函2数的图象与函数f (x ) 的图象关于y =x 对称,故可以画出其反函数图象(如图) ,解:由函数f (x )=(1+x 2⎧⎪y =(1+) -2由图可知两图象恰有两个交点且交点都在y =x 上. 因此,方程组⎨2⎪⎩y =x 的解即为f (x )=f -1(x ) 的解,于是解方程组得x =-2或x =2,从而方程f (x )=f -1(x )的解集为{-2,2}.说明:解决本题的关键是,根据互为反函数的图象关于y =x 对称,若两个函数有交点,则交点必在直线y =x 上,由此,将要解的两个较复杂的方程组转化为x 2直线y =x 与其中y =(1+) -2一个方程组的解的问题.2例题讲解(练习)例1.函数f (x )=x -x 是否存在反函数?说明理由点评:不存在,∵ f (0)=f (-1)=f (1)=0.例2.求下列函数的反函数.(1) f (x )=36x +5x -1(2) y =-x -1(3) f (x )=x -2x +3,x ∈(1,+∞) (4)f (x )=1--x 2(-1≤x ≤0)点评:(1) f-12(x )=2x +5(x ∈R 且x ≠6) x -6(2) f (x )=x +1 (x ≤0) (3) f (4) f-1-1(x )=(x )=-x -2+1 (x >2)-x -1 (0≤x ≤1)2-1⎧⎪x -1(x ≥1)例3.求函数y =⎨的反函数.⎪⎩--x (x 2 ⎧⎪x +1点评:反函数为y =⎨2⎪⎩1-x(x ≥0).(x 例4.已知f (x )=3x +2-1,求f [f (x )]的值.x +1⎡点评:f ⎢f⎢⎣-1⎛2⎫⎤2⎪⎥=,注意f (x ) 的定义域为{x |x ∈R 且x ≠-1},值域为{y |y 2⎪2⎝⎭⎥⎦∈R 且y ≠-3}.例5.已知一次函数y =f (x ) 反函数仍是它自己,试求f (x ) 的表达式.分析:设y =f (x )=ax +b (a ≠0) ,则f (x )=-11(x -b ) .a⎧1=a ⎪⎧a =-1⎧a =11⎪a由(x -b )=ax +b 得⎨或⎨⇒⎨a b b ∈R b =0⎩⎩⎪-=b ⎪⎩a∴ f (x )=x 或f (x )=-x+b (b ∈R )例6.若函数y =ax +1在其定义域内存在反函数.4x +3(1) 求a 的取值范围;(2) 求此函数的值域.解:(1)方法一:原式可化为4xy +3y =ax +1,(4y -a ) x =1-3y ,a ax +1a≠时,,即44x +344解得a ≠时原函数有反函数.3ax +1方法二:要使y =在其定义域内存在反函数,则需此函数为非常数函数,4x +3a 14ax +1即≠,所以a ≠时函数y =在其定义域内存在反函数.3434x +3当y ≠(2) 由y =ax +1-3y +1解得x =.4x +34y -aax +1-3x +1的反函数为y =.4x +34x -a -3x +1a ∵y =的定义域是{x |x ∈R 且x =}44x -aax +1a 故y =的值域是{y |y ∈R 且y ≠}.44x +3∴y =例7.设函数y =f (x ) 满足f (x -1)=x -2x +3(x ≤0) ,求f (x +1).解:∵x ≤0,则x -1≤-1.∵ f (x -1)=(x -1) +2 (x ≤0) ∴ f (x )=x +2 (x ≤-1) .由y =x +2 (x ≤1) 解得x =-y -2(y ≥3)2222-1∴ f 故f-1(x )=-x -2 (x ≥3) .x -1 (x ≥2) .-1-1-1(x +1)=--1点评:f (x +1)表示以x +1代替反函数f (x ) 中的x ,所以要先求f (x ) ,再以x +1代x ,不能把f (x +1)理解成求f (x +1)的反函数.习题1.已知函数 f (x )=x -1 (x ≤-2) ,那么 f (4)=______________.2.函数y =-x +x -1 (x ≤22-1-11) 的反函数是_________________.22⎧1]⎪x -1,x ∈(0,3.函数y =⎨2的反函数为__________________.⎪⎩x ,x ∈[-1,0)4.函数y =5.已知y =x 2-2x +3 (x ≤1) 的反函数的定义域是_____________.11x +m 与y =nx -是互为反函数,则m =______和n =________.23答案1.-2.y =1--4x -3⎛⎝x ≤-3⎫24⎪⎭3.y =⎧⎪⎨x +1,x ∈(-1,0],⎪⎩-x ,x ∈(0,1]4.2,+∞)5.16,2大一反函数的经典例题(5)反函数求值例1、设互为反函数,求有反函数的值.,且函数与分析:本题对概念要求较强,而且函数不具体,无法通过算出反函数求解,所以不妨试试“赋值法”,即给变量一些适当的值看看能得到什么后果.解:设在函数这样即有,则点的图象上,即,从而在函数的图象上,从而点.由反函数定义有.,小结:利用反函数的概念,在不同式子间建立联系,此题考查对反函数概念的理解,符号间关系的理解.两函数互为反函数, 确定两函数的解析式例2 若函数的值.与函数互为反函数,求分析:常规思路是根据已知条件布列关于布列?如果注意到g(x)的定义域、值域已知,又义域与值域互换,有如下解法:的三元方程组,关键是如何与g(x)互为反函数,其定解:∵g(x)的定义域为.且,的值域为又∵g(x) 的定义域就是∵g(x) 的值域为的值域, ∴,.由条件可知∴.的定义域是, ,∴.令, 则即点(3,1) 在的图象上.又∵与g(x) 互为反函数,的对称点(1,3) 必在g(x)的图象上.∴(3,1) 关于∴3=1+ , .故 .判断是否存在反函数例3、给出下列函数:(1) ;(2) ;(3) ;(4) ;(5) .其中不存在反函数的是__________________.分析:判断一个函数是否有反函数, 从概念上讲即看对函数值域内任意一个,依照这函数的对应法则, 自变量总有唯一确定的值与之对应, 由于这种判断难度较大, 故通常对给出的函数的图象进行观察, 断定是否具有反函数.解: (1) ,(2)都没有问题, 对于(3)当.对于(4)时,和时, 和,且.对于(5)当时, 和 .故(3),(4),(5)均不存在反函数.小结:从图象上观察, 只要看在相应的区间内是否单调即可.求复合函数的反函数例4、已知函数分析: 由于已知是找到解:令,由得. 于是有,再由,则,所求是求出, ,求的反函数.的反函数,因此应首先由的表达式, 再求反函数., ,.,由于,又,的反函数是. 的值域是, .小结:此题涉及对抽象函数符号的认识与理解, 特别是在换元过程中, 相应变量的取值范围也要随之发生改变, 这一点是学生经常忽略的问题.原来的函数与反函数解析式相同求系数例5、已知函数试指出与其反函数是同一个一次函数,的所有取值可能.的反函数的解析式,与分析:此题可以有两种求解思路:一是求解比较, 让对应系数相等, 列出关于的方程, 二是利用两个函数图象的对称性, 找对称点, 利用点的坐标满足解析式来列方程. 解:由上, 于是又于是知点在图象上, 则点定在的图象(1) 过点(2),则点也在的图象上,由(1)得当或,当.时, 代入(2),此时(2)恒成立即;代入(2)解得综上, 的所有取值可能有或 .小结:此题是反函数概念与方程思想的综合. 在这个题目中特殊点的选取一般是考虑计算简单方便, 而且这种取特殊点列方程的方法在其他地方也有应用, 故对此种方法要引起重视. 另外此题在最后作答时, 要求写出的所有取值可能即要把的取值与的取值搭配在一起, 所以解方程组时要特别小心这一点. 选题角度:反函数图象关系、将反函数问题转化为原函数、利用性质求解析式、两函数互为反函数,确定两函数的解析式判断是否存在反函数、求出反函数解析式解关于反函数的不等式、求复合函数的反函数、由原来函数运算关系证明反函数运算。
高三数学反函数试题答案及解析1.函数的反函数为_______.【答案】【解析】由题意得,,所以反函数为.【考点】反函数.2.函数是奇函数,且当时,,则= 。
【答案】-2【解析】∵时,,∴时,<0∵=-<0由反函数的性质得-=x=-2∴=-23.已知函数存在反函数,若函数的图像经过点,则的值是___________.【答案】2【解析】本题关键是出函数的反函数,由得,,即函数的反函数为,那么这个反函数图象一定过点,所以,.【考点】反函数的性质与求反函数.4.函数与的图像关于直线对称,则 .【答案】4【解析】由已知可知g(x)与f(x)是互为反函数,设g(3)=b,则1+logb=3,解得b=4,所以2g(3)=4.【考点】反函数的图象及其性质.5.函数的反函数________________.【答案】【解析】由函数≥2,可得x=2y-1(y≥2),所以所求的反函数为.【考点】反函数的求法.6.函数与的图像关于直线对称,则 .【答案】4【解析】因为函数与的图像关于直线对称,所以,与互为反函数。
就是为3时的x值,即由=3得,,x=4,故 4.【考点】本题主要考查反函数的概念,互为反函数的图象关系。
点评:简单题,函数f(x)的图象过(a,b),则其反函数的图象过(b,a)。
7.设函数的反函数是,且过点,则经过点.【答案】【解析】因为函数的反函数是,且过点,而的图象就是的图象沿x轴向右平移1单位的结果,所以反函数是的图象过(0,2),的图象过(2,0),故经过点(3,0).【考点】本题主要考查互为反函数的函数图象之间的关系,图象的平移。
点评:基础题,点(a,b)在函数的图象上,则点(b,a)在反函数的图象上。
8.已知函数,则________.【答案】-2.【解析】即x的值,解得:x=-2.【考点】本题主要考查互为反函数的函数关系。
点评:简单题,注意互为反函数的函数定义域,值域互换。
9.已知函数,则的反函数是()A.B.C.D.【答案】A【解析】解:因为,故f(x)的反函数即为再结合原函数的值域得到反函数的定义域,选A10.函数的反函数是,若,则( )A.B.C.D..【答案】D【解析】根据原函数与反函数定义域与值域的关系可知.11.函数的反函数的大致图象为【答案】C【解析】首先先找出的反函数。
)(x x +1((0-112x x +ìíï(x )(x ),得所35211232352153253232x x x x y y y y --++-,--,0)x y y x ---222(x (0得-,-111122yy x x--((0=-x x +1【例2】求出下列函数的反函数,并画出原函数和其反函数的图像.求出下列函数的反函数,并画出原函数和其反函数的图像.(1)y 1(2)y 3x 2(x 0)2=-=--≤x -1解 (1)∵已知函数的定义域是x ≥1,∴值域为y ≥-1,由=-,得反函数=++≥-.函数=-与它的反函数=++的图像如图.-所示.y 1y (x 1)1(x 1)y 1y (x 1)124122x x --11解 (2)由y =-3x 2-2(x ≤0)得值域y ≤-2,反函数=-≤-.f (x)(x 2)1--+x 23它们的图像如图2.4-2所示.所示.【例3】已知函数=≠-,≠.f(x)(x a a )3113x x a++(1)求它的反函数;(2)求使f -1(x)=f(x)的实数a 的值.的值.解(1)y x a y(x a)3x 1(y 3)x 1ay y 3设=,∴≠-,∵+=+,-=-,这里≠,31x x a++若=,则=这与已知≠矛盾,∴=,,即反函数=.y 3a a x f (x)113131313-----ay y ax x(2)f(x)f(x)x 1若=,即=对定义域内一切的值恒成立,-++--3113x x aax x令x =0,∴a =-3.或解 由f(x)=f -1(x),那么函数f(x)与f -1(x)的定义域和值域相同,定义域是{x|x ≠a ,x ∈R },值域y ∈{y|y ≠3,y ∈R },∴-a =3即a =-3.【例4】已知函数==中,、、、均不为零,y f(x)a b c d ax b cx d++试求a 、b 、c 、d 满足什么条件时,它的反函数仍是自身.满足什么条件时,它的反函数仍是自身.解 f(x)bc ad 0f (x)x 1=+,∵常数函数没有反函数,∴-≠.又=,要使=,对定义域内一切值恒成立,a c bc ad c cx d dxb cx adx b cx aax b cx d-+-+--+-++-()令x =0,得-a =d ,即a +d =0.事实上,当a +d =0时,必有f -1-1(x)(x)=f(x), 因此所求的条件是bc -ad ≠0,且a +d =0.【例5】设点M(1,2)既在函数f(x)=ax 2+b(x ≥0)的图像上,又在它的反函数图像上,(1)求f -1(x),(2)证明f -1(x)在其定义域内是减函数.在其定义域内是减函数.解证(1)2a b 14a b ab f(x)x (x 0)(2)y x (x 0)f(x)(x )221由=+=+得=-=,∴=-+≥由=-+≥得反函数=≤.ìíîìíïïîïï--1373137313737373x 设<≤,∴->-≥,∴>,即>,故在-∞,上是减函数.x x 73x 73x 0f(x )f(x )f(x)(]121211121737337312-----x x x【例6】解法一若函数=,求的值.先求函数=的反函数=,于是==--.f(x)f (2)()f(x)f (x)f(2)532x x x x x x -+-++-+----121212112212111解法(二) 由函数y =f(x)与其反函数y =f -1(x)之间的一一对应关之间的一一对应关系,求的值,就是求=时对应的的值,∴令=,得=--,即=--.f (2)f(x)2x 2x 532f (2)53211-----+x x 12【例7】已知∈,且≠,≠.设函数=∈且≠,证明=的图像关于直线=对称.a a 0a 1f(x)(x x )y f(x)y x R R x ax a--111证 y a 0a 1(ay 1)x y 1ay 10y a 1a 1由=,≠,≠,得-=-,如果-=,则=,∴=得=,这与已知≠矛盾,x ax a a x ax ----111111∴-≠,故=,∴=,即证得=的反函数就是它本身.ay 10x f(x)f(x)1y ay x ax x ax -------111111因为原函数的图像与其反函数的图像关于直线y =x 对称,对称, ∴函数y =f(x)的图像关于直线y =x 对称.对称.。
高考数学经典错题深度剖析及针对训练专题07反函数编辑整理:尊敬的读者朋友们:这里是精品文档编辑中心,本文档内容是由我和我的同事精心编辑整理后发布的,发布之前我们对文中内容进行仔细校对,但是难免会有疏漏的地方,但是任然希望(高考数学经典错题深度剖析及针对训练专题07 反函数)的内容能够给您的工作和学习带来便利。
同时也真诚的希望收到您的建议和反馈,这将是我们进步的源泉,前进的动力。
本文可编辑可修改,如果觉得对您有帮助请收藏以便随时查阅,最后祝您生活愉快业绩进步,以下为高考数学经典错题深度剖析及针对训练专题07 反函数的全部内容。
专题07 反函数【标题01】没有弄明白反函数的定义域怎么求【习题01】y =(12)x ≤≤的反函数是 ( )A.111)y x =-≤≤ B. 11)y x =≤≤C 。
111)y x =-≤≤ D. 11)y x =≤≤【经典错解】∵222y x x =- ∴22(1)1x y -=- 所以1x -=∴1x =,x y 对换得1y = 又210x -≥ ∴11x -≤≤.因而()f x 的反函数为1y = (11x -≤≤)【详细正解】∵222y x x =- ∴22(1)1x y -=-因为12x ≤≤ 所以011x ≤-≤∴11x x -=∴=,x y 对换得1y =又∵(12)y x ==≤≤ ∴01y ≤≤ 即原函数值域为[0,1].所以反函数为11)y x =≤≤。
故选B .【深度剖析】(1)经典错解错在没有弄明白反函数的定义域怎么求.(2)经典错解有两处错误,错误①:因为12x ≤≤ 所以011x ≤-≤,由22(1)1x y -=-开方取“正号”而不是取“负号";②反函数的定义域应通过求原函数的值域而得到,而不是由反函数解析式确定。
(3)求反函数的一般步骤分四步,第一步:解方程求x ;第二步:交换x 和y ;第三步:求原函数的值域得到反函数的定义域,第四步:写出原函数的反函数.【习题01针对训练】函数()210x y x -=+>的反函数是 .【标题02】对函数1(1)f x -+的求法理解不透彻【习题02】已知()34f x x =+,求函数1(1)f x -+的解析式。
反函数题型及解析1.求下列函数的反函数,找出它们的定义域和值域(1)y=2+lg(x+1);(2)y=3+;(3)y=.2.求函数的反函数(1)y=(2)y=(3)y=lnx+1 (4)y=3x+23.求下列函数的反函数的定义域(1)y=(2)(3)4.求下列函数的反函数,并指出该函数和它的反函数的定义域(1)y=;(2)y=;(3)y=e x﹣15.求下列函数的反函数(1)y=;(2)y=(e x﹣e﹣x);(3)y=1+ln(x﹣1)6.求下列函数的反函数.(1)y=log(1﹣x)+2(x<0);(2)y=2﹣(﹣2≤x≤0);(3)y=(﹣1≤x≤0);(4)y=x|x|+2x.反函数题型解析1.分析:(1)由对数式的真数大于0求出原函数的定义域,进一步求出原函数的值域,把原函数变形,化对数式为指数式,再把x,y互换求出原函数的反函数,得到反函数的定义域和值域;(2)由根式内部的代数式大于等于0求出原函数的定义域,进一步求出原函数的值域,把原函数变形,求出x,再把x,y互换求出原函数的反函数,得到反函数的定义域和值域;(3)由分式的分母不为0求出原函数的定义域,进一步求出原函数的值域,把原函数变形,求出x,再把x,y 互换求出原函数的反函数,得到反函数的定义域和值域.解:(1)y=2+lg(x+1),由x+1>0,可得x>﹣1,∴原函数的定义域为(﹣1,+∞),值域为R.由y=2+lg(x+1),得lg(x+1)=y﹣2,化为指数式得,x+1=10y﹣2,x,y互换得:y=10x﹣2﹣1,此反函数的定义域为R,值域为(﹣1,+∞);(2)y=3+,由x≥0,可得原函数的定义域为[0,+∞),值域为[3,+∞).由y=3+,得,x=(y ﹣3)2,x,y互换得:y=(x﹣3)2,此反函数的定义域为[3,+∞),再由为[0,+∞);(3)y=,由x+1≠0,得x≠﹣1,∴原函数的定义域为{x|x≠﹣1},由y==,∴原函数的值域为{y|y≠1}.由y=,得yx+y=x﹣1,即(1﹣y)x=1+y,∴x=,x与y互换得:,此反函数的定义域为{x|x≠1},值域为{y|y≠﹣1}.2. 分析:由已知的解析式求出x的表达式,再把x换成y、y换成x,并注明反函数的定义域.解:由y=的得,xy+4y=x﹣4,解得(y≠1),所以(x≠1),则函数y=的反函数是(x≠1).(2)函数y=可得:2x=2x y+y.可得2x(1﹣y)=y,2x=,可得x=,函数y=的反函数为y=.(3)由y=lnx+1解得x=e y﹣1,即:y=e x﹣1,∵x>0,∴y∈R所以函数f(x)=lnx+1(x>0)反函数为y=e x﹣1(x∈R);(4)∵y=3x+2,∴3x=y﹣2,又3x>0,故y>2,∴x=log3(y﹣2)(y>2),∴函数y=3x+2的反函数是y=log3(x﹣2)(x>2)3.分析:欲求反函数的定义域,可以通过求原函数的值域获得,所以只要求出函数的值域即可,反函数的定义域即为原函数的值域求解即可解:(1)∵y=,∴ye x+y=e x,∴(y﹣1)e x=﹣y,∴,∴x=ln,x,y互换,得函数y=的反函数为:,,解得反函数的定义域为:{x|0<x<1}(2)反函数的定义域即为原函数的值域,由,x>0,所以,所以,则y<0,反函数的定义域为(﹣∞,0)(3)由得,e x=.∵e x>0,∴>0,∴﹣1<y<1,∴反函数的定义域是(﹣1,1)4.解:(1)由y=,即2xy﹣y=x,x(2y﹣1)=y,解得x=,x,y互换得y=,其定义域为{x|x ≠}(2)由(2)y=可得y2=2x﹣3,即x=(y2+3),x,y互换得y=(x2+3),因为原函数的值域为[0,+∞),则反函数的定义域为[0,+∞)(3)由y=e x﹣1则x﹣1=lny,即x=1+lny,x,y互换得y=1+lnx,则其定义域为(0,+∞)5.分析:由已知解析式,用y表示出x,然后把x与y互换,即得反函数,应注意定义域与值域的互换.解:(1)由y=得到x=,把x与y互换可得:y=,(x∈R);(2)由y=(e x﹣e﹣x)得到:e x=y±,∵e x>0,∴e x=y+,由此得:x=ln(y+)∴函数y=(e x﹣e﹣x)的反函数是y=ln(x+)(x∈R);(3)∵y=1+ln(x﹣1)∴x=e y﹣1+1(y∈R),∴函数y=1+ln(x﹣1)的反函数为y=e x﹣1+1(x∈R);6.分析:首先确定函数的值域,即反函数的定义域,然后看作方程解出x,从而将x与y互换即可.解:(1)∵y=log(1﹣x)+2(x<0);∴y<2,∴y=﹣log2(1﹣x)+2,∴x=1﹣22﹣y,即y=1﹣22﹣x,(x<2);(2)∵y=2﹣(﹣2≤x≤0)的值域为[0,2],∴x=﹣,即y=﹣,(x∈[0,2]);(3)∵y=(﹣1≤x≤0)的值域为[,1],∴x2=1+log3y,∴x=﹣,故y=﹣,(≤x≤1);(4)y=x|x|+2x的值域为R,当x≥0时,y=x2+2x,故x=,当x<0时,y=﹣x2+2x,x=1﹣;故y=.。
高三数学反函数试题答案及解析1.已知函数,则.【答案】1【解析】因为,所以因此【考点】反函数2.设方程和方程的根分别为和,函数,则()A.B.C.D.【答案】A【解析】令,可得,同理,令,得,从而为曲线与直线交点的横坐标,为曲线与直线交点的横坐标,而曲线与曲线关于直线对称,故点与点关于直线对称,由于直线与直线对称,故的中点即为直线与直线的交点,故点的坐标为,由中点坐标公式可得,,故曲线的对称轴为直线,因此函数在上单调递增,故有,故选A.【考点】1.函数的零点;2.互为反函数的两个函数图象的关系;3.二次函数3.若函数是函数且的反函数,且函数的图像经过点,则____________.【答案】【解析】函数且的反函数是,又因为图像经过点,,解得:,所以.【考点】本题反函数的定义,学生的基本运算能力.4.函数与的图像关于直线对称,则 .【解析】由已知可知g(x)与f(x)是互为反函数,设g(3)=b,则1+logb=3,解得b=4,所以2g(3)=4.【考点】反函数的图象及其性质.5.函数的反函数()A.B.C.D.【答案】A【解析】由.∵x>0,∴y>0. ∴.故选A.【考点】反函数的求解.6.函数的反函数是()A.B.C.D.【答案】B【解析】根据已知函数,函数,由得,所求反函数为,选B。
【考点】反函数点评:主要是考查了反函数的求解,属于基础题。
7.设函数的反函数是,且过点,则经过点.【答案】【解析】因为函数的反函数是,且过点,而的图象就是的图象沿x轴向右平移1单位的结果,所以反函数是的图象过(0,2),的图象过(2,0),故经过点(3,0).【考点】本题主要考查互为反函数的函数图象之间的关系,图象的平移。
点评:基础题,点(a,b)在函数的图象上,则点(b,a)在反函数的图象上。
8.若函数y=的图象经过(0,-1),则y=的反函数图象经过点( )A.(4,一1)B.(一1,-4)C.(-4,- 1)D.(1,-4)【答案】B【解析】根据原函数与反函数图象之间的关系可得结论,对于原函数与复合函数的所过定点问题,本题可利用在函数值-1保持不变的情况下,求出与原函数自变量x=0与之对应的复合函数的自变量x=-4,由函数y=f(x)的图象经过点(0,-1),所以当x=-4时有f(4+x)=f(0)=-1,从而函数y=f(4+x)过点(-4,-1),则函数y=f(4+x)的反函数并经过点(-1,-4),故答案为B。
《反函数_典型例题精析》反函数是指在函数关系中,将自变量和因变量的角色互换,从而得到一个新的函数关系。
它是函数关系的逆运算,用于解决一些特定的问题。
下面将通过几个典型的例题来对反函数进行精析。
例题1:已知函数y = 2x + 3,求它的反函数。
解析:要求反函数,需要将自变量和因变量的角色互换。
首先将原函数中的自变量x换成y,因变量y换成x:x = 2y + 3。
然后解方程,将y表示出来:y = (x - 3) / 2。
所以,原函数的反函数为f^(-1)(x) = (x - 3) / 2。
例题2:已知函数f(x) = x^2,求它的反函数。
解析:同样地,需要将自变量和因变量的角色互换。
将原函数中的自变量x换成y,因变量y换成x:x = y^2。
然后解方程,将y表示出来。
但是,由于原函数f(x) = x^2不是一一对应的函数,即存在多个x对应同一个y的情况,所以它没有反函数。
例题3:已知函数f(x) = e^x,求它的反函数。
解析:同样地,需要将自变量和因变量的角色互换。
将原函数中的自变量x换成y,因变量y换成x:x = e^y。
然后解方程,将y表示出来:y = ln(x)。
所以,原函数的反函数为f^(-1)(x) = ln(x)。
通过以上例题的分析可以看出,反函数的求解过程主要是将原函数中的自变量和因变量互换,然后解方程将因变量表示出来。
需要注意的是,反函数存在的条件是原函数必须是一一对应的函数,即每个自变量对应唯一的因变量。
如果原函数不是一一对应的函数,则不存在反函数。
反函数在实际问题中有着重要的应用,例如在金融领域中,可以利用反函数来解决利率计算、贷款计算等问题;在物理学中,可以利用反函数来解决速度、加速度等问题。
因此,熟练掌握反函数的求解方法对于解决实际问题具有重要意义。
总结起来,反函数是函数关系的逆运算,通过将自变量和因变量的角色互换,得到一个新的函数关系。
反函数的求解过程主要是将原函数中的自变量和因变量互换,然后解方程将因变量表示出来。
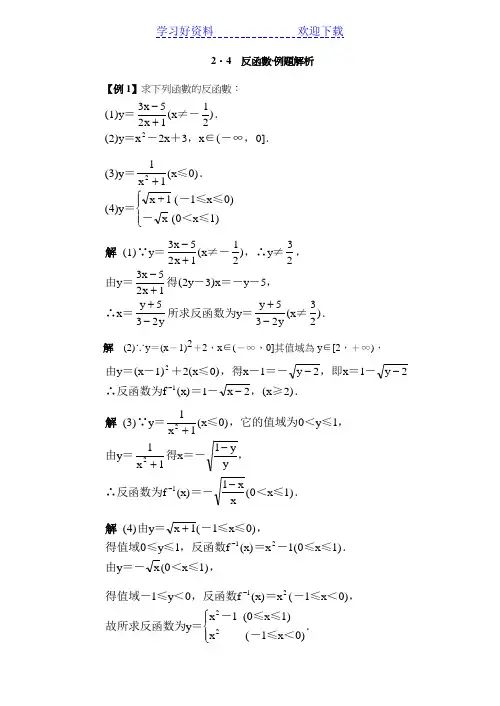
《反函数》典型例题解析【例1】求下列函数的反函数:(1)3521x y x -=+(12x ≠-); (2)223y x x =-+((],0x ∈-∞);(3)211y x =+(0x ≤); (4)()()1001x y x -≤≤=<≤⎪⎩。
【解析】(1)∵3521x y x -=+()313213132221242x x x +-==-++, 当12x ≠-时,32y ≠; 由3521x y x -=+可得()235y x y -=--,即523y x y --=-; ∴所求反函数为523x y x --=-(32x ≠)。
(2)∵223y x x =-+()212x =-+, ∴函数在(],0-∞上单调递减,其值域为[)3,+∞;又由()212y x =-+((],0x ∈-∞)可得1x -=1x = 所以反函数为()11fx -=[)3,x ∈+∞) (3)∵211y x =+(0x ≤),其值域为01y <≤, 由211y x =+得x = 所以反函数为()1fx -=01x <≤)。
(4)由y =10x -≤≤)得值域为01y ≤≤,又由y =21x y =-,所以反函数为()121f x x -=-(01x ≤≤);由y =01x <≤)得值域为10y -≤<,且由y =2x y =,所以反函数为()12f x x -=(10x -≤<);故所求反函数为()()()212,101,01x x f x x x -⎧-≤<⎪=⎨-≤≤⎪⎩。
注意:分段函数的反函数一定为分段函数(由各段的反函数合并而成)。
【例2】求出下列函数的反函数,并画出原函数和其反函数的图像.(1)1y =; (2)232y x =--(0x ≤)【解析】(1)∵已知函数的定义域是[)1,+∞,且函数1y =在定义域上单调递增, ∴值域为{}1y y ≥;又由1y =可得()211x y =++,所以函数1y =的反函数为()211y x =++([)1,x ∈+∞)。
反函数·例题解析【例1】求下列函数的反函数:(1)y (x )(2)y x 2x 3x (0]2=≠-.=-+,∈-∞,.352112x x -+(3)y (x 0)(4)y x +1(1x 0) (0x 1)=≤.=-≤≤-<≤112x x +⎧⎨⎪⎩⎪ 解 (1)y (x )y y (2y 3)x y 5x y (x )∵=≠-,∴≠,由=得-=--,∴=所求反函数为=≠.35211232352153253232x x x x y y y y -+-++-+- 解 (2)∵y =(x -1)2+2,x ∈(-∞,0]其值域为y ∈[2,+∞),由=-+≤,得-=-,即=-∴反函数为=-,≥.y (x 1)2(x 0)x 1x 1f (x)1(x 2)21y y x ----222解 (3)y (x 0)0y 1y x f (x)(0x 1)1∵=≤,它的值域为<≤,由=得=-,∴反函数为=-<≤.11111122x x y y x x++--- 解 (4)y (1x 0)0y 1f (x)x 1(0x 1)y (0x 1)12由=-≤≤,得值域≤≤,反函数=-≤≤.由=-<≤,x x +-1得值域-≤<,反函数=-≤<,故所求反函数为=-≤≤-≤<.1y 0f (x)(1x 0)y x 1(0x 1) x (1x 0)1222-⎧⎨⎪⎩⎪x【例2】求出下列函数的反函数,并画出原函数和其反函数的图像.(1)y 1(2)y 3x 2(x 0)2=-=--≤x -1解 (1)∵已知函数的定义域是x ≥1,∴值域为y ≥-1,由=-,得反函数=++≥-.函数=-与它的反函数=++的图像如图.-所示.y 1y (x 1)1(x 1)y 1y (x 1)124122x x --11解 (2)由y =-3x 2-2(x ≤0)得值域y ≤-2, 反函数=-≤-.f (x)(x 2)1--+x 23它们的图像如图2.4-2所示.【例3】已知函数=≠-,≠.f(x)(x a a )3113x x a ++ (1)求它的反函数;(2)求使f -1(x)=f(x)的实数a 的值.解(1)y x a y(x a)3x 1(y 3)x 1ay y 3设=,∴≠-,∵+=+,-=-,这里≠,31x x a ++若=,则=这与已知≠矛盾,∴=,,即反函数=.y 3a a x f (x)113131313-----ay y ax x(2)f(x)f (x)x 1若=,即=对定义域内一切的值恒成立,-++--3113x x a ax x 令x =0,∴a =-3.或解 由f(x)=f -1(x),那么函数f(x)与f -1(x)的定义域和值域相同,定义域是{x|x ≠a ,x ∈R },值域y ∈{y|y ≠3,y ∈R },∴-a =3即a =-3.【例4】已知函数==中,、、、均不为零,y f(x)a b c d ax b cx d++ 试求a 、b 、c 、d 满足什么条件时,它的反函数仍是自身.解 f(x)bc ad 0f (x)x 1=+,∵常数函数没有反函数,∴-≠.又=,要使=,对定义域内一切值恒成立,a c bc ad c cx d dx b cx adx b cx a ax b cx d-+-+--+-++-()令x =0,得-a =d ,即a +d =0.事实上,当a +d =0时,必有f -1(x)=f(x),因此所求的条件是bc -ad ≠0,且a +d =0.【例5】设点M(1,2)既在函数f(x)=ax 2+b(x ≥0)的图像上,又在它的反函数图像上,(1)求f -1(x),(2)证明f -1(x)在其定义域内是减函数.解证(1)2a b 14a b a b f(x)x (x 0)(2)y x (x 0)f (x)(x )221由=+=+得=-=,∴=-+≥由=-+≥得反函数=≤.⎧⎨⎩⎧⎨⎪⎪⎩⎪⎪--1373137313737373x 设<≤,∴->-≥,∴>,即>,故在-∞,上是减函数.x x 73x 73x 0f (x )f (x )f (x)(]121211121737337312-----x x x【例6】解法一若函数=,求的值.先求函数=的反函数=,于是==--.f(x)f (2)()f(x)f (x)f (2)532x x x x x x-+-++-+----121212112212111 解法(二) 由函数y =f(x)与其反函数y =f -1(x)之间的一一对应关系,求的值,就是求=时对应的的值,∴令=,得=--,即=--.f (2)f(x)2x 2x 532f (2)53211---+x x 12【例7】已知∈,且≠,≠.设函数=∈且≠,证明=的图像关于直线=对称.a a 0a 1f(x)(x x )y f(x)y x R R x ax a --111证 y a 0a 1(ay 1)x y 1ay 10y a 1a 1由=,≠,≠,得-=-,如果-=,则=,∴=得=,这与已知≠矛盾,x ax aa x ax ----111111 ∴-≠,故=,∴=,即证得=的反函数就是它本身.ay 10x f (x)f(x)1y ay x ax x ax -------111111因为原函数的图像与其反函数的图像关于直线y =x 对称,∴函数y =f(x)的图像关于直线y =x 对称.。
2.4 反函数·例题解析【例1】求以下函数的反函数:(1)y (x )(2)y x 2x 3x (0]2=≠-.=-+,∈-∞,.352112x x -+(3)y (x 0)(4)y x +1(1x 0)(0x 1)=≤.=-≤≤-<≤112x x +⎧⎨⎪⎩⎪ 解 (1)y (x )y y (2y 3)x y 5x y (x )∵=≠-,∴≠,由=得-=--,∴=所求反函数为=≠.35211232352153253232x x x x y y y y -+-++-+- 解 (2)∵y =(x -1)2+2,x ∈(-∞,0]其值域为y ∈[2,+∞),由=-+≤,得-=-,即=-∴反函数为=-,≥.y (x 1)2(x 0)x 1x 1f (x)1(x 2)21y y x ----222解 (3)y (x 0)0y 1y x f (x)(0x 1)1∵=≤,它的值域为<≤,由=得=-,∴反函数为=-<≤.11111122x x yy xx++--- 解 (4)y (1x 0)0y 1f (x)x 1(0x 1)y (0x 1)12由=-≤≤,得值域≤≤,反函数=-≤≤.由=-<≤,x x +-1 得值域-≤<,反函数=-≤<,故所求反函数为=-≤≤-≤<.1y 0f (x)(1x 0)y x 1(0x 1)x (1x 0)1222-⎧⎨⎪⎩⎪x【例2】求出以下函数的反函数,并画出原函数和其反函数的图像.(1)y 1(2)y 3x 2(x 0)2=-=--≤x -1解 (1)∵函数的定义域是x ≥1,∴值域为y ≥-1,由=-,得反函数=++≥-.函数=-与它的反函数=++的图像如图.-所示.y 1y (x 1)1(x 1)y 1y (x 1)124122x x --11解 (2)由y =-3x 2-2(x ≤0)得值域y ≤-2,反函数=-≤-.f (x)(x 2)1--+x 23它们的图像如图2.4-2所示.【例3】已知函数=≠-,≠.f(x)(x a a )3113x x a ++(1)求它的反函数;(2)求使f -1(x)=f(x)的实数a 的值.解(1)y x a y(x a)3x 1(y 3)x 1ay y 3设=,∴≠-,∵+=+,-=-,这里≠,31x x a ++若=,则=这与已知≠矛盾,∴=,,即反函数=.y 3a a x f (x)113131313-----ay y ax x(2)f(x)f (x)x 1若=,即=对定义域内一切的值恒成立,-++--3113x x a ax x令x =0,∴a =-3.或者解 由f(x)=f -1(x),那么函数f(x)与f -1(x)的定义域和值域一样,定义域是{x|x ≠a ,x ∈R },值域y ∈{y|y ≠3,y ∈R },∴-a =3即a =-3.【例4】已知函数==中,、、、均不为零,y f(x)a b c d ax bcx d++试求a 、b 、c 、d 满足什么条件时,它的反函数仍是自身.解 f(x)bc ad 0f (x)x 1=+,∵常数函数没有反函数,∴-≠.又=,要使=,对定义域内一切值恒成立,a c bc adc cxd dx bcx adx b cx a ax b cx d-+-+--+-++-()令x =0,得-a =d ,即a +d =0. 事实上,当a +d =0时,必有f -1(x)=f(x), 因此所求的条件是bc -ad ≠0,且a +d =0.【例5】设点M(1,2)既在函数f(x)=ax 2+b(x ≥0)的图像上,又在它的反函数图像上,(1)求f -1(x),(2)证明f -1(x)在其定义域内是减函数.解证(1)2a b 14a b a b f(x)x (x 0)(2)y x (x 0)f (x)(x )221由=+=+得=-=,∴=-+≥由=-+≥得反函数=≤.⎧⎨⎩⎧⎨⎪⎪⎩⎪⎪--1373137313737373x 设<≤,∴->-≥,∴>,即>,故在-∞,上是减函数.x x 73x 73x 0f (x )f (x )f (x)(]121211121737337312-----x x x 【例6】解法一若函数=,求的值.先求函数=的反函数=,于是==--.f(x)f (2)()f(x)f (x)f (2)532x x x x xx-+-++-+----121212112212111解法(二) 由函数y =f(x)与其反函数y =f -1(x)之间的一一对应关系,求的值,就是求=时对应的的值,∴令=,得=--,即=--.f (2)f(x)2x 2x 532f (2)53211---+x x 12【例7】已知∈,且≠,≠.设函数=∈且≠,证明=的图像关于直线=对称.a a 0a 1f(x)(x x )y f(x)y x R R x ax a--111证 y a 0a 1(ay 1)x y 1ay 10y a 1a 1由=,≠,≠,得-=-,如果-=,则=,∴=得=,这与已知≠矛盾,x ax aa x ax ----111111∴-≠,故=,∴=,即证得=的反函数就是它本身.ay 10x f (x)f(x)1y ay x ax x ax -------111111因为原函数的图像与其反函数的图像关于直线y =x 对称, ∴函数y =f(x)的图像关于直线y =x 对称.励志赠言经典语录精选句;挥动**,放飞梦想。
2.4 反函數·例題解析【例1】求下列函數的反函數:(1)y (x )(2)y x 2x 3x (0]2=≠-.=-+,∈-∞,.352112x x -+(3)y (x 0)(4)y x +1(1x 0) (0x 1)=≤.=-≤≤-<≤112x x +⎧⎨⎪⎩⎪ 解 (1)y (x )y y (2y 3)x y 5x y (x )∵=≠-,∴≠,由=得-=--,∴=所求反函数为=≠.35211232352153253232x x x x y y y y -+-++-+- 解 (2)∵y =(x -1)2+2,x ∈(-∞,0]其值域為y ∈[2,+∞), 由=-+≤,得-=-,即=-∴反函数为=-,≥.y (x 1)2(x 0)x 1x 1f (x)1(x 2)21y y x ----222解 (3)y (x 0)0y 1y x f (x)(0x 1)1∵=≤,它的值域为<≤,由=得=-,∴反函数为=-<≤.11111122x x y y x x++--- 解 (4)y (1x 0)0y 1f (x)x 1(0x 1)y (0x 1)12由=-≤≤,得值域≤≤,反函数=-≤≤.由=-<≤,x x +-1得值域-≤<,反函数=-≤<,故所求反函数为=-≤≤-≤<.1y 0f (x)(1x 0)y x 1(0x 1) x (1x 0)1222-⎧⎨⎪⎩⎪x【例2】求出下列函數的反函數,並畫出原函數和其反函數的圖像.(1)y 1(2)y 3x 2(x 0)2=-=--≤x -1解 (1)∵已知函數的定義域是x ≥1,∴值域為y ≥-1,由=-,得反函数=++≥-.函数=-与它的反函数=++的图像如图.-所示.y 1y (x 1)1(x 1)y 1y (x 1)124122x x --11解 (2)由y =-3x 2-2(x ≤0)得值域y ≤-2, 反函数=-≤-.f (x)(x 2)1--+x 23它們的圖像如圖2.4-2所示.【例3】已知函数=≠-,≠.f(x)(x a a )3113x x a ++ (1)求它的反函數;(2)求使f -1(x)=f(x)的實數a 的值.解(1)y x a y(x a)3x 1(y 3)x 1ay y 3设=,∴≠-,∵+=+,-=-,这里≠,31x x a ++若=,则=这与已知≠矛盾,∴=,,即反函数=.y 3a a x f (x)113131313-----ay y ax x (2)f(x)f (x)x 1若=,即=对定义域内一切的值恒成立,-++--3113x x a ax x 令x =0,∴a =-3.或解 由f(x)=f -1(x),那麼函數f(x)與f -1(x)的定義域和值域相同,定義域是{x|x ≠a ,x ∈R },值域y ∈{y|y ≠3,y ∈R },∴-a =3即a =-3.【例4】已知函数==中,、、、均不为零,y f(x)a b c d ax b cx d++ 試求a 、b 、c 、d 滿足什麼條件時,它的反函數仍是自身.解 f(x)bc ad 0f (x)x 1=+,∵常数函数没有反函数,∴-≠.又=,要使=,对定义域内一切值恒成立,a c bc ad c cx d dx b cx adx b cx a ax b cx d-+-+--+-++-()令x =0,得-a =d ,即a +d =0.事實上,當a +d =0時,必有f -1(x)=f(x),因此所求的條件是bc -ad ≠0,且a +d =0.【例5】設點M(1,2)既在函數f(x)=ax 2+b(x ≥0)的圖像上,又在它的反函數圖像上,(1)求f -1(x),(2)證明f -1(x)在其定義域內是減函數.解证(1)2a b 14a b a b f(x)x (x 0)(2)y x (x 0)f (x)(x )221由=+=+得=-=,∴=-+≥由=-+≥得反函数=≤.⎧⎨⎩⎧⎨⎪⎪⎩⎪⎪--1373137313737373x 设<≤,∴->-≥,∴>,即>,故在-∞,上是减函数.x x 73x 73x 0f (x )f (x )f (x)(]121211121737337312-----x x x【例6】解法一若函数=,求的值.先求函数=的反函数=,于是==--.f(x)f (2)()f(x)f (x)f (2)532x x x x x x-+-++-+----121212112212111解法(二) 由函數y =f(x)與其反函數y =f -1(x)之間的一一對應關 系,求的值,就是求=时对应的的值,∴令=,得=--,即=--.f (2)f(x)2x 2x 532f (2)53211---+x x 12 【例7】已知∈,且≠,≠.设函数=∈且≠,证明=的图像关于直线=对称.a a 0a 1f(x)(x x )y f(x)y x R R x ax a --111证 y a 0a 1(ay 1)x y 1ay 10y a 1a 1由=,≠,≠,得-=-,如果-=,则=,∴=得=,这与已知≠矛盾,x ax aa x ax ----111111 ∴-≠,故=,∴=,即证得=的反函数就是它本身.ay 10x f (x)f(x)1y ay x ax x ax -------111111因為原函數的圖像與其反函數的圖像關於直線y =x 對稱, ∴函數y =f(x)的圖像關於直線y =x 對稱.。
2.4 反函數·例題解
析
欧阳歌谷(2021.02.01)
【例1】求下列函數的反函數:
解(2)∵y=(x-1)2+2,x∈(-∞,0]其值域為y∈[2,+∞),
【例2】求出下列函數的反函數,並畫出原函數和其反函數的圖像.
解(1)∵已知函數的定義域是x≥1,∴值域為y≥-1,
解(2)由y=-3x2-2(x≤0)得值域y≤-2,它們的圖像如圖2.4-2所示.
(1)求它的反函數;(2)求使f-1(x)=f(x)的實數a的值.
令x=0,∴a=-3.
或解由f(x)=f-1(x),那麼函數f(x)與f-1(x)的定義域和值域相同,定義域是{x|x≠a,x∈R},值域y∈{y|y≠3,y∈R},∴-a=3即a =-3.
試求a、b、c、d滿足什麼條件時,它的反函數仍是自身.
令x=0,得-a=d,即a+d=0.
事實上,當a+d=0時,必有f-1(x)=f(x),因此所求的條件是bc-ad≠0,且a+d=0.
【例5】設點M(1,2)既在函數f(x)=ax2+b(x≥0)的圖像上,又在它的反函數圖像上,(1)求f-1(x),(2)證明f-1(x)在其定義域內是減函數.
解法(二) 由函數y=f(x)與其反函數y=f-1(x)之間的一一對應關
因為原函數的圖像與其反函數的圖像關於直線y=x對稱,
∴函數y=f(x)的圖像關於直線y=x對稱.。
反函数求值例1、设有反函数,且函数与互为反函数,求的值.分析:本题对概念要求较强,而且函数不具体,无法通过算出反函数求解,所以不妨试试“赋值法”,即给变量一些适当的值看看能得到什么后果.解:设,则点在函数的图象上,从而点在函数的图象上,即.由反函数定义有,这样即有,从而.小结:利用反函数的概念,在不同式子间建立联系,此题考查对反函数概念的理解,符号间关系的理解.两函数互为反函数,确定两函数的解析式例2 若函数与函数互为反函数,求的值.分析:常规思路是根据已知条件布列关于的三元方程组,关键是如何布列?如果注意到g(x)的定义域、值域已知,又与g(x)互为反函数,其定义域与值域互换,有如下解法:解:∵ g(x)的定义域为且,的值域为.又∵g(x) 的定义域就是的值域, ∴.∵g(x) 的值域为 ,由条件可知的定义域是 , ,∴.∴.令, 则即点(3,1) 在的图象上.又∵与g(x) 互为反函数,∴ (3,1) 关于的对称点(1,3) 必在g(x)的图象上.∴ 3=1+ , .故 .判断是否存在反函数例3、给出下列函数:(1); (2); (3);(4); (5) .其中不存在反函数的是__________________.分析:判断一个函数是否有反函数,从概念上讲即看对函数值域内任意一个 ,依照这函数的对应法则,自变量总有唯一确定的值与之对应,由于这种判断难度较大,故通常对给出的函数的图象进行观察,断定是否具有反函数.解: (1) ,(2)都没有问题,对于(3)当时,和 ,且.对于(4)时,和 .对于(5)当时,和 .故(3),(4),(5)均不存在反函数.小结:从图象上观察,只要看在相应的区间内是否单调即可.求复合函数的反函数例4、已知函数 , ,求的反函数.分析: 由于已知是 ,所求是的反函数,因此应首先由找到 ,再由求出的表达式,再求反函数.解:令 ,则, , ,.于是有 .由得 ,由于 ,.又 ,的值域是 ,的反函数是 .小结:此题涉及对抽象函数符号的认识与理解,特别是在换元过程中,相应变量的取值范围也要随之发生改变,这一点是学生经常忽略的问题.原来的函数与反函数解析式相同求系数例5、已知函数与其反函数是同一个一次函数 ,试指出的所有取值可能.分析:此题可以有两种求解思路:一是求解的反函数的解析式,与比较, 让对应系数相等,列出关于的方程,二是利用两个函数图象的对称性,找对称点,利用点的坐标满足解析式来列方程.解:由知点在图象上,则点定在的图象上,于是 (1)又过点 ,则点也在的图象上,于是 (2)由(1)得或 ,当时,代入(2),此时(2)恒成立即 ;当代入(2)解得 .综上, 的所有取值可能有或 .小结:此题是反函数概念与方程思想的综合.在这个题目中特殊点的选取一般是考虑计算简单方便,而且这种取特殊点列方程的方法在其他地方也有应用,故对此种方法要引起重视.另外此题在最后作答时,要求写出的所有取值可能即要把的取值与的取值搭配在一起,所以解方程组时要特别小心这一点.选题角度:反函数图象关系、将反函数问题转化为原函数、利用性质求解析式、两函数互为反函数,确定两函数的解析式判断是否存在反函数、求出反函数解析式解关于反函数的不等式、求复合函数的反函数、由原来函数运算关系证明反函数运算。
反函数知识点总结及习题精练1.函数的定义:给了函数)(x f 与)(y g ,设x 、y 分别是函数)(x f ,)(y g 定义域内的任意元素,如果x x f g =))((且y y g f =))((,则称)(x f 与)(y g 互为反函数,)(x f 之反函数记做)(1x f -,此时)(x f 的定义域就是)(1x f -的值域,而)(x f 的值域就是)(1x f -的定义域。
2.求)(53)(R x x x f ∈-=之反函数的方法如下:令)(53y x x y f −→−-=则)(3531351x y y y x f −→−+=+=-53)(-=∴x x f 的反函数为3531)(1+=-x x f7.函数与其反函数,两者的图形恒对称于直线L :x y =。
典型例题1.下列哪一函数之图形与y = a - x (a > 1)之图形对称于直线y = x ?(A) y = a x (B) y = log a ( - x ) (C) y = - log a x (D) y = log a 1x (E) y = log ax1。
【解答】 (A) (B) (C)(D) y = - log a x 同(C),(E)同(C)∴选((C)(D)(E)2.f (x ) = log 3 (x - 4),x > 4之反函数为 。
【解答】f (x ) = log 3(x - 4),x > 4,y = log 3(x - 4) ⇒ 3 y = x - 4反函数图形对称于直线y = x ∴ 反函数为3 x = y - 4 ⇒ y = 3x + 43.若f (x ) = 2x - 1,则f - 1(x ) = 。
【解答】令y = 2x - 1 ⇒ 2x = y + 1 ⇒ log 22x = log 2(y + 1) ⇒ x = log 2(y + 1)∴ f -1(x ) = log 2(x + 1)随堂练习.设f (x ) = log(x +12-x ),x > 1,则f 之反函数f -1(x ) = 。
反函数例题讲解例1.下列函数中,没有反函数的是 ( )(A) y = x 2-1(x <21-) (B) y = x 3+1(x ∈R )(C) 1-=x xy (x ∈R ,x ≠1) (D) ⎩⎨⎧<-≥-=).1(4)2(22x x x x y ,分析:一个函数是否具有反函数,完全由这个函数的性质决定.判断一个函数有没有反函数的依据是反函数的概念.从代数角度入手,可试解以y 表示x 的式子;从几何角度入手,可画出原函数图像,再作观察、分析.作为选择题还可用特例指出不存在反函数.本题应选(D ).因为若y = 4,则由 ⎩⎨⎧≥=-2422x x ,得 x = 3.由 ⎩⎨⎧<=-144x x ,得 x = -1.∴ (D )中函数没有反函数. 如果作出 ⎩⎨⎧<-≥-=).1(4)2(22x x x x y ,的图像(如图),依图更易判断它没有反函数.例2.求函数 211x y --=(-1≤x ≤0)的反函数. 解:由 211x y --=,得:y x -=-112 .∴ 1-x 2 = (1-y )2,x 2 = 1-(1-y )2 = 2y -y 2 . ∵ -1≤x ≤0,故 22y y x --=. 又 当 -1≤x ≤0 时, 0≤1-x 2≤1,∴ 0≤21x-≤1,0≤1-21x-≤1,即 0≤y≤1 .∴所求的反函数为22xxy--=(0≤x≤1).由此可见,对于用解析式表示的函数,求其反函数的主要步骤是:①把给出解析式中的自变量x当作未知数,因变量y当作系数,求出x= φ( y ).②求给出函数的值域,并作为所得函数的定义域;③依习惯,把自变量以x表示,因变量为y表示,改换x= φ( y)为y= φ ( x ).例3.已知函数f ( x ) = x2 + 2x + 2(x<-1),那么f-1 (2 )的值为__________________.分析:依据f-1 (2 )这一符号的意义,本题可由f ( x )先求得f-1 ( x ),再求f-1 (2 )的值(略).依据函数与反函数的联系,设f-1 (2 ) = m,则有f ( m ) = 2.据此求f-1 (2 )的值会简捷些.令x2 + 2x + 2 = 2,则得:x2+ 2x = 0 .∴x = 0 或x =-2 .又x<-1,于是舍去x = 0,得x =-2,即f-1 (2 ) = -2 .例4.已知函数241)(xxf+=(x≤0),那么f ( x )的反函数f-1 ( x )的图像是( )(A)yx0 1y(B)x-1分析:作为选择题,当然不必由f ( x )求出f -1 ( x ),再作出f -1 ( x )图像,予以比较、判断.由241)(x x f +=(x ≤0)易得函数f ( x )的定义域为(]0,∞-,值域为[)∞+,1.于是有函数f-1( x )的定义域为[)∞+,1,值域为(]0,∞-.依此对给出图像作检验,显然只有(D )是正确的.因此本题应选(D ).例5.给定实数a ,a ≠0,a ≠1,设函数11--=ax x y (x ∈R ,x ≠a 1).求证:这个函数的图像关于直线y = x 成轴对称图形. 分析:本题可用证明此函数与其反函数是同一个函数的思路. 证明:先求给出函数的反函数:由 11--=ax x y (x ∈R ,x ≠a 1),得y ( ax -1) = x -1 .∴(ay -1)x = y -1 . ①若ay -1 = 0,则ay = 1 . 又a ≠0,故 a y 1=.此时由①可有y = 1.于是a1=1,即a = 1, 这与已知a ≠1是矛盾的,故ay -1 ≠ 0 .y(D )yx1(C )x-1则由①得 11--=ay y x (y ∈R ,y ≠a1). ∴ 函数 11--=ax x y (x ∈R ,x ≠a 1)的反函数还是11--=ax x y (x ∈R ,x≠a1).由于函数f ( x )与f -1 ( x )的图像关于直线y = x 对称,故函数11--=ax x y (x ∈R 且x ≠a1)的图像关于直线y = x 成轴对称图形. 本题证明还可依轴对称的概念进行,即证明:若点P (x ,y )是函数f ( x )图像上任一点,则点P 关于直线的对称点Q (y ,x )也在函数f ( x )的图像上(过程略).例题讲解(反函数)例1.求下列函数的反函数: (1) y =3x -1 (x ∈R ); (2) y =x 3+1 (x ∈R ); (3)1+=x y (x ≥0); (4)132-+=x x y (x ∈R ,且x ≠1). 通过本例,使学生掌握求反函数的方法.求反函数时,要强调分三个步骤进行.第一步将y = f (x )看成方程,解出x = f -1 (y ),第二步将x ,y 互换,得到y = f -1 (x ),第三步求出原函数的值域,作为反函数的定义域.其中第三步容易被忽略,造成错误.如第(3)小题,由1+=x y 解得x = (y -1)2,再将x ,y 互换,得y = (x -1)2.到此以为反函数即y = (x -1)2,这就错了.必须根据原函数的定义域x≥0,求得值域y ≥1,得到反函数的定义域,于是所求反函数为y = (x -1)2 (x ≥1). 例2.求下列函数的反函数: (1) y = x 2-2x -3 (x ≤0);(2) =y ⎪⎩⎪⎨⎧--111xx通过本例,使学生进一步掌握求反函数的方法,明确求解中三个步骤缺一不可.解:(1) 由y = x 2-2x -3, 得y = (x -1)2-4, 即 (x -1)2 = y +4,因为x ≤0,所以41+-=-y x ,所以原函数的反函数是41+-=x y ( x ≥-3).(2) 当x ≤0时,得x = y +1且y ≤-1; 当x >0时, 得11+=y x 且y >-1,所以,原函数的反函数是:=y ⎪⎩⎪⎨⎧++111x x例题讲解(反函数)[例1]若函数f (x )与g (x)的图象关于直线y =x 对称,且f (x )=(x -1)2(x ≤1),求g (x ).选题意图:本题考查互为反函数的函数的图象间的对称关系. 解:f (x )与g (x )在定义域内互为反函数, f (x )=(x -1)2(x ≤1)的反函数是(x ≤0), (x >0). x ≤-1, x >-1.y =1-x (x ≥0), ∴g (x )=1-x (x ≥0).说明:互为反函数的图象关于y =x 对称,反之亦然,也是判断两个函数互为反函数的方法之一,本是f (x )与g (x )互为反函数,要求g (x ),只须求f (x )在限定区间上的反函数即可.[例2]若点P (1,2)在函数y=b ax +的图象上,又在它的反函数的图象上,求a ,b 的值. 选题意图:本题考查反函数的概念,反函数的图象与原函数图象的对称关系的应用.解:由题意知P (1,2)在其反函数的图象上,根据互为反函数的函数图象关于y =x 对称的性质,P′(2,1)也在函数y =b ax +的图象上,因此:⎪⎩⎪⎨⎧+=+=ba ba 212解得:a =-3,b =7.说明:引导学生树立创造性思考问题的方式、方法,利用互为反函数的图象的对称关系.(1,2)在反函数图象上,则(2,1)也在原函数图象上是解决该问题的关键所在,即f (2)=1,这是得到a ,b 的另一个关系式的条件,这样两个条件两个未知数,就可解出a ,b 的值.[例3]已知函数f (x )=(1+2x)2-2(x ≥-2),求方程f (x )=f -1(x )的解集.选题意图:本题考查互为反函数的函数的图象关于y =x 对称的关系,灵活运用这一关系解决问题的能力.分析:若先求出f -1(x )=22+x -2(x ≥-2),再解方程(1+2x )2-2=22+x -2,整理得四次方程,求解有困难,但我们可以利用y =f (x )与y =f -1(x )的图象的关系求解.先画出y =f (x )=(1+2x)2-2的图象,如图,因为y =f (x )的图象和y =f -1(x )的图象关于直线y =x 对称,可立即画出y =f -1(x )的图象,由图象可见两图象恰有两个交点,且交点在y =x 上,因此,由方程组⎪⎩⎪⎨⎧=-+=xy x y 2)21(2联立即可解得. 图2—8解:由函数f (x )=(1+2x )2-2(x ≥-2)画出图象,如图,由于函数f (x )的反函数的图象与函数f (x )的图象关于y =x 对称,故可以画出其反函数图象(如图),由图可知两图象恰有两个交点且交点都在y =x 上.因此,方程组⎪⎩⎪⎨⎧=-+=xy x y 2)21(2的解即为f (x )=f -1(x )的解,于是解方程组得x =-2或x =2,从而方程f (x )=f -1(x )的解集为{-2,2}.说明:解决本题的关键是,根据互为反函数的图象关于y =x 对称,若两个函数有交点,则交点必在直线y =x 上,由此,将要解的两个较复杂的方程组转化为直线y =x 与其中y =(1+2x)2-2一个方程组的解的问题.例题讲解(练习)例1.函数f (x )=x -x 3是否存在反函数?说明理由 点评:不存在,∵ f (0)=f (-1)=f (1)=0. 例2.求下列函数的反函数. (1) ()156-+=x x x f (2) 1--=x y(3) f (x )=x 2-2x +3,x ∈(1,+∞) (4)()211x x f --=(-1≤x ≤0)点评:(1) ()651-+=-x x x f(x ∈R 且x ≠6) (2) f -1(x )=x 2+1 (x ≤0) (3) ()121+-=-x x f (x >2) (4) ()()2111---=-x x f(0≤x ≤1)例3.求函数()()⎪⎩⎪⎨⎧<--≥-=1111x x x x y 的反函数. 点评:反函数为()()⎪⎩⎪⎨⎧<-≥+=010122x xx x y .例4.已知()123++=x x x f ,求f [f -1(x )]的值. 点评:22221=⎥⎥⎦⎤⎢⎢⎣⎡⎪⎪⎭⎫ ⎝⎛-ff ,注意f (x )的定义域为{x |x ∈R 且x ≠-1},值域为{y |y ∈R 且y ≠-3}.例5.已知一次函数y =f (x )反函数仍是它自己,试求f (x )的表达式. 分析:设y =f (x )=ax +b (a ≠0),则f -1(x )=a1(x -b ).由a 1(x -b )=ax +b 得⎪⎪⎩⎪⎪⎨⎧=-=bab a a1⎩⎨⎧∈-=⇒R b a 1或⎩⎨⎧==01b a∴ f (x )=x 或f (x )=-x+b (b ∈R ) 例6.若函数341++=x ax y 在其定义域内存在反函数. (1) 求a 的取值范围;(2) 求此函数的值域. 解:(1)方法一:原式可化为4xy +3y =ax +1,(4y -a )x =1-3y ,当y ≠4a ,即4341a x ax ≠++时, 解得34≠a 时原函数有反函数.方法二:要使341++=x ax y 在其定义域内存在反函数,则需此函数为非常数函数,即314≠a ,所以34≠a 时函数341++=x ax y 在其定义域内存在反函数.(2) 由341++=x ax y 解得a y y x -+-=413.∴341++=x ax y 的反函数为a x x y -+-=413. ∵ax x y -+-=413的定义域是{x |x ∈R 且x =4a }故341++=x ax y 的值域是{y |y ∈R 且y ≠4a }.例7.设函数y =f (x )满足f (x -1)=x 2-2x +3(x ≤0),求f -1(x +1). 解:∵ x ≤0,则x -1≤-1.∵ f (x -1)=(x -1)2+2 (x ≤0) ∴ f (x )=x 2+2 (x ≤-1).由y =x 2+2 (x ≤1)解得2--=y x (y ≥3)∴ ()21--=-x x f (x ≥3). 故()111--=+-x x f(x ≥2).点评:f -1(x +1)表示以x +1代替反函数f -1(x )中的x ,所以要先求f -1(x ),再以x +1代x ,不能把f -1(x +1)理解成求f (x +1)的反函数. 习 题1.已知函数f (x )=x 2-1 (x ≤-2),那么f -1(4)=______________. 2.函数y =-x 2+x -1 (x ≤21)的反函数是_________________. 3.函数(][)⎪⎩⎪⎨⎧-∈∈-=0110122,,,,x x x x y 的反函数为__________________.4.函数322+-=x x y (x ≤1)的反函数的定义域是_____________.5.已知m x y +=21与31-=nx y 是互为反函数,则m =______和n =________. 答 案 1.5-2.⎪⎭⎫ ⎝⎛-≤---=432341x x y3.(](]⎪⎩⎪⎨⎧∈--∈+=10011,,,,,x x x x y4.[)∞+,25.61,2。
反函数问题典型例题:例1. 〔2021年全国大纲卷文5分〕函数y =1x + (x ≥-1)的反函数为【 】A.21(0)y x x =-≥B.21(1)y x x =-≥C.21(0)y x x =+≥ D. 21(1)y x x =+≥【答案】A 。
【解析】由原函数求出x 关于y 的关系式,再x 、y 对换,原函数的值域是反函数的定义域。
因此,将y =1x +两边平方,得21y x =+,即21x y =-。
将x 、y 对换,得21y x =-。
又函数y =1x +的值域为0y ≥,所以21y x =-的定义域为0x ≥。
应选A 。
例2. 〔2021年全国课标卷理5分〕设点P 在曲线12x y e =上,点Q 在曲线ln(2)y x =上,那么PQ 最小值为【 】【答案】B 。
【考点】反函数的性质,导数的应用。
【解析】∵函数12x y e =与函数ln(2)y x =互为反函数,∴它们的图象关于y x =对称。
∴函数12x y e =上的点1(,)2x P x e 到直线y x =的距离为122x e x d -= 设函数1()2x g x e x =-,那么1()12x g x e '=-,∴min ()1ln 2g x =-。
∴min 2d =。
〔1〕假设1)()21(0<--<x f x f ,求x 的取值范围;〔6分〕〔2〕假设)(x g 是以2为周期的偶函数,且当10≤≤x 时,有)()(x f x g =,求函数)(x g y =])2,1[(∈x 的反函数.〔8分〕【答案】〔1〕由⎩⎨⎧>+>-01022x x ,得11<<-x 。
由220lg(22)lg(1)lg11x x x x -<--+=<+得221101x x -<<+。
∵01>+x ,∴1010221+<-<+x x x ,解得2133x -<<。
2.4 反函數·例題解析
欧阳光明(2021.03.07)
【例1】求下列函數的反函數:
解(2)∵y=(x-1)2+2,x∈(-∞,0]其值域為y∈[2,+∞),
【例2】求出下列函數的反函數,並畫出原函數和其反函數的圖像.
解(1)∵已知函數的定義域是x≥1,∴值域為y≥-1,
解(2)由y=-3x2-2(x≤0)得值域y≤-2,
它們的圖像如圖2.4-2所示.
(1)求它的反函數;(2)求使f-1(x)=f(x)的實數a的值.
令x=0,∴a=-3.
或解由f(x)=f-1(x),那麼函數f(x)與f-1(x)的定義域和值域相同,定義域是{x|x≠a,x∈R},值域y∈{y|y≠3,y∈R},∴-a=3即a=-3.試求a、b、c、d滿足什麼條件時,它的反函數仍是自身.
令x=0,得-a=d,即a+d=0.
事實上,當a+d=0時,必有f-1(x)=f(x),
因此所求的條件是bc-ad≠0,且a+d=0.【例5】設點M(1,2)既在函數f(x)=ax2+b(x≥0)的圖像上,又在它的反函數圖像上,(1)求f-1(x),(2)證明f-1(x)在其定義域內是減函數.解法(二) 由函數y=f(x)與其反函數y=f-1(x)之間的一一對應關
因為原函數的圖像與其反函數的圖像關於直線y=x對稱,
∴函數y=f(x)的圖像關於直線y=x對稱.。