反函数典型例题
- 格式:doc
- 大小:135.00 KB
- 文档页数:4
大一反函数的经典例题(范文5篇)以下是网友分享的关于大一反函数的经典例题的资料5篇,希望对您有所帮助,就爱阅读感谢您的支持。
大一反函数的经典例题(1)[例1]若函数f (x ) 与g (x)的图象关于直线y =x 对称,且f (x )=(x -1) (x ≤1) ,求g (x ). 选题意图:本题考查互为反函数的函数的图象间的对称关系.解:f (x ) 与g (x ) 在定义域内互为反函数,f (x )=(x -1) 2(x ≤1) 的反函数是2y =1-x (x ≥0) ,∴g (x )=1-x (x ≥0).说明:互为反函数的图象关于y =x 对称,反之亦然,也是判断两个函数互为反函数的方法之一,本是f (x ) 与g (x )互为反函数,要求g (x ), 只须求f (x ) 在限定区间上的反函数即可.[例2]若点P (1,2) 在函数y=ax +b 的图象上,又在它的反函数的图象上,求a , b 的值.选题意图:本题考查反函数的概念,反函数的图象与原函数图象的对称关系的应用.解:由题意知P (1,2) 在其反函数的图象上,根据互为反函数的函数图象关于y =x 对称的性质,P′(2,1) 也在函数y =+b 的图象上,⎧⎪2=a +b 因此:⎨解得:a =-3,b =7. ⎪⎩1=2a +b说明:引导学生树立创造性思考问题的方式、方法,利用互为反函数的图象的对称关系. (1,2)在反函数图象上,则(2,1) 也在原函数图象上是解决该问题的关键所在,即f (2)=1,这是得到a , b 的另一个关系式的条件,这样两个条件两个未知数,就可解出a , b 的值.[例3]已知函数f (x )=(1+x 2-1) -2(x ≥-2) ,求方程f (x )=f (x ) 的2解集.选题意图:本题考查互为反函数的函数的图象关于y =x 对称的关系,灵活运用这一关系解决问题的能力.分析:若先求出f (x )=2x +2-2(x ≥-2), 再解方程(1+-1-1图2—8 x 2) -2=2x +2-2,整理得四2次方程,求解有困难,但我们可以利用y =f (x ) 与y =f (x ) 的图象的关系求解. 先画出y =f (x )=(1+x 2-1) -2的图象,如图,因为y =f (x ) 的图象和y =f (x ) 的图象关于直线y =x 对称,2-1可立即画出y =f (x ) 的图象,由图象可见两图象恰有两个交点,且交点在y =x 上,因此,由x 2⎧⎪y =(1+) -2方程组⎨联立即可解得. 2⎪⎩y =x解:由函数f (x )=(1+x 2) -2(x ≥-2) 画出图象,如图,由于函数f (x ) 的反函数的图象与2函数f (x ) 的图象关于y =x 对称,故可以画出其反函数图象(如图),由图可知两图象恰有两x 2⎧y =(1+) -2⎪-1个交点且交点都在y =x 上. 因此,方程组⎨的解即为f (x )=f (x ) 的解,于是2⎪⎩y =x解方程组得x =-2或x =2,从而方程f (x )=f (x ) 的解集为{-2,2}.说明:解决本题的关键是,根据互为反函数的图象关于y =x 对称,若两个函数有交点,则交点必在直线y =x 上,由此,将要解的两个较复杂的方程组转化为直线y =x 与其中-1y =(1+x 2) -2一个方程组的解的问题. 2大一反函数的经典例题(2)[例1]下列各组函数中,不互为反函数的是( ) ......1(x -3) 21B. f (x )=2x +3,g (y )= (y -3)2A. f (x )=2x +3,g (x )=C. f (x )=x , g (x )=x2D. f (x )=x (x <0) , g (x )=-x (x >0)2选题意图:本题主要考查函数的反函数的有关概念,判断互为反函数的两个函数必须满足的条件:即函数解析式之间的关系是互相能确定x 、y ,定义域与值域之间的关系,是否是一个函数的定义域和值域分别是另一个函数的值域和定义域.解析:由f (x )=x 的定义域为x ∈R ,而值域为y ≥0; g (x )= x 的定义域为x ≥0,而值域为y ≥0. 由反函数的概念知反函数的定义域和值域正是原函数的值域和定义域推得它们不能互为反函数.说明:注意例1是判断不互为反函数的命题,否定互为反函数的三条件之一即不是反函数.[例2]判断函数y =x -x 有无反函数? 如果有,求出其反函数.选题意图:加深函数有无反函数判断的理解以及熟悉求反函数的方法与步骤.解:判断函数y =f (x ) 有无反函数,根据反函数的概念,应该判断:对每个确定的y 的(可能取到) 值,是否有惟一确定的x 值与之相对应. 由y =x -x112-12-1,得∴(x ) -y ⋅x -1=0112212①.11y ±y 2+4y -y +4x =, , x 0, ∴x =舍去,22y +y 2+4y 2+y y 2+4∴x =, ∴x =+1∴每一个确定的y 值,对应着(即只能221求出) 一个x , ∴x是y 的函数,即y =x -x1-1有反函数,,由上面过程,易见反函数为x 2+x x 2+4x 2+x x 2+4,值域为(0,y =+1, 且f (x ) =y =+1的定义域是(x ∈R)22+∞).说明:上述过程包含着:对于任意实数y 的取值方程①必有根,因此x 2-x11-12可以取到任意实数即函数y =x -x 的值域为(-∞,+∞),所以反函数的定义域为(-∞,x 2+x x 2+4+∞),恰是函数y =+1的定义域,在这种情况下,可以不注明函数的定义2域,当然原函数y =x -x 的值域也可以用以下方法解:当x =1时,y =0,当0<x<1时,0<x <1,x112-12-1>1, 则y <0,且当x →0时,x →0, x121-1→+∞, 这时y 可以取任12何负数. 当x >1时,x >1,0<x12-12<1, 则y >0,且当x →+∞时,x →+∞, x-12-12→0.这时y 可以取任何正数,∴y =x -x 的值域为R ,即(-∞,+∞).[例3]已知一次函数y =f (x ) 的反函数仍是它自己,求f(x ). 选题意图:本题考查反函数的概念,利用反函数与原函数的关系分析问题解决问题的能力.解:设y =f (x )=ax +b (a ≠0) ,则f1bx -, a a 1bax +b =x -对于一切x 都成立,a a-1(x ) =1⎧a =⎪⎧a =1⎧a =-1⎪a ∴⎨∴⎨或⎨⎪-b =b , ⎩b =0. ⎩b ∈R, ⎪⎩a∴f (x )=x 或f (x )=-x +b (b ∈R).说明:利用互为反函数的条件判断或证明某个或某两个函数是互为反函数的基本方法,此题是一个特殊函数的反函数的证明,希望读者掌握这种证明方法和思路.大一反函数的经典例题(3)函数的性质、反函数函数的单调性例题例1-5-1 下列函数中,属于增函数的是[ ]解 D例1-5-2 若一次函数y=kx+b(k≠0) 在(-∞,+∞) 上是单调递减函数,则点(k,b) 在直角坐标平面的[ ]A .上半平面B.下半平面C .左半平面D.右半平面解 C 因为k <0,b ∈R .例1-5-3 函数f(x)=x2+2(a-1)x+2在区间(-∞,4) 上是减函数,则实数a 的取值范围是[ ]A .a ≥3 B.a ≤-3C .a ≤5 D.a=-3解 B 因抛物线开口向上,对称轴方程为x=1-a,所以1-a ≥4,即a ≤-3.例1-5-4 已知f(x)=8+2x-x2,如果g(x)=f(2-x2) ,那么g(x) [ ]A .在区间(-1,0) 内是减函数B .在区间(0,1) 内是减函数C .在区间(-2,0) 内是增函数D .在区间(0,2) 内是增函数解 A g(x)=-(x2-1) 2+9.画出草图可知g(x)在(-1,0) 上是减函数.+bx在(0,+∞) 上是______函数(选填“增”或“减”) .解[-2,1]大一反函数的经典例题(4)反函数例题讲解例1.下列函数中,没有反函数的是(A) y = x 2-1(x 1)2( )(B) y = x 3+1(x ∈R )(D) y =⎨⎧2x -2(x ≥2) ,-4x (x x(x ∈R ,x ≠1)x -1分析:一个函数是否具有反函数,完全由这个函数的性质决定.判断一个函数有没有反函数的依据是反函数的概念.从代数角度入手,可试解以y 表示x 的式子;从几何角度入手,可画出原函数图像,再作观察、分析.作为选择题还可用特例指出不存在反函数.本题应选(D ).因为若y = 4,则由⎨⎧2x -2=4,得x = 3.x ≥2⎩由⎨⎧-4x =4,得x = -1.x ∴(D )中函数没有反函数.如果作出y =⎨⎧2x -2(x ≥2) ,的图像(如图),依图-4x (x 更易判断它没有反函数.例2.求函数y =1--x 2(-1≤x ≤0)的反函数.解:由y =1--x 2,得:-x 2=1-y .∴1-x 2 = (1-y ) 2,x 2 = 1-(1-y ) 2 = 2y -y 2 .∵-1≤x ≤0,故x =-2y -y 2.又当-1≤x ≤0 时,0≤1-x 2≤1,∴0≤-x 2≤1,0≤1--x 2≤1,即0≤y ≤1 .∴所求的反函数为y =-2x -x 2(0≤x ≤1).由此可见,对于用解析式表示的函数,求其反函数的主要步骤是:①把给出解析式中的自变量x 当作未知数,因变量y 当作系数,求出x = φ ( y ).②求给出函数的值域,并作为所得函数的定义域;③依习惯,把自变量以x 表示,因变量为y 表示,改换x = φ ( y ) 为y = φ ( x ).例3.已知函数 f ( x ) = x 2 + 2x + 2(x 分析:依据f -1 (2 )这一符号的意义,本题可由f ( x )先求得f -1 ( x ),再求f -1 (2 )的值(略).依据函数与反函数的联系,设f -1 (2 ) = m ,则有f ( m ) = 2.据此求f -1(2 )的值会简捷些.令x 2 + 2x + 2 = 2,则得:x 2 + 2x = 0 .∴x = 0 或x =-2 .又x 的图像是(( )(B((分析:作为选择题,当然不必由f ( x )求出f -1 ( x ),再作出f -1 ( x )图像,予以比较、判断.由f (x ) =+4x 2(x ≤0)易得函数f ( x )的定义域为(-∞, 0],值域为[1, +∞).于是有函数f-1( x )的定义域为[1, +∞),值域为(-∞, 0].依此对给出图像作检验,显然只有(D )是正确的.因此本题应选(D ).例5.给定实数a ,a ≠0,a ≠1,设函数y =x -11(x ∈R ,x ≠).a ax -1求证:这个函数的图像关于直线y = x 成轴对称图形.分析:本题可用证明此函数与其反函数是同一个函数的思路.证明:先求给出函数的反函数:由y =∴x -11(x ∈R ,x ≠),得y ( ax -1) = x -1 .a ax -1(ay -1) x = y -1 .①若ay -1 = 0,则ay = 1 .又a ≠0,故y =11.此时由①可有y = 1.于是=1,即a = 1, a a这与已知a ≠1是矛盾的,故ay -1 ≠ 0 .则由①得x =∴函数y =≠).由于函数f ( x )与f -1 ( x )的图像关于直线y = x 对称,故函数y =(x ∈R 且x ≠1)的图像关于直线y = x 成轴对称图形. a1ay -11(y ∈R ,y ≠).ay -1ax -11x -1(x ∈R ,x ≠)的反函数还是y =(x ∈R ,xa ax -1ax -1x -1ax -1本题证明还可依轴对称的概念进行,即证明:若点P (x ,y )是函数f ( x ) 图像上任一点,则点P 关于直线的对称点Q (y ,x )也在函数f ( x )的图像上(过程略).例题讲解(反函数)例1.求下列函数的反函数:(1) y =3x -1 (x ∈R ) ;(2) y =x 3+1 (x ∈R ) ;(3)y =x +1 (x ≥0) ;(4)y =2x +3(x ∈R ,且x ≠1) .x -1通过本例,使学生掌握求反函数的方法.求反函数时,要强调分三个步骤进行.第一步将y = f (x ) 看成方程,解出x = f -1 (y ) ,第二步将x ,y 互换,得到y = f -1 (x ) ,第三步求出原函数的值域,作为反函数的定义域.其中第三步容易被忽略,造成错误.如第(3)小题,由y =x +1解得x = (y -1) 2,再将x ,y 互换,得y = (x -1) 2.到此以为反函数即y = (x -1) 2,这就错了.必须根据原函数的定义域x ≥0,求得值域y ≥1,得到反函数的定义域,于是所求反函数为y = (x -1) 2 (x ≥1) .例2.求下列函数的反函数:(1) y = x 2-2x -3 (x ≤0) ;⎧x -1(x ≤0) ,⎪(2) y =⎨1-1(x >0) .⎪⎩x通过本例,使学生进一步掌握求反函数的方法,明确求解中三个步骤缺一不可.解:(1) 由y = x 2-2x -3,得y = (x -1) 2-4,即(x -1) 2 = y +4,因为x ≤0,所以x -1=-y +4,所以原函数的反函数是y =1-x +4 ( x≥-3) .(2) 当x ≤0时,得x = y+1且y ≤-1;当x >0时,得x =1且y >-1,y +1所以,原函数的反函数是:x ≤-1,x >-1.⎧x +1⎪y =⎨1⎪⎩x +1例题讲解(反函数)[例1]若函数f (x ) 与g (x)的图象关于直线y =x 对称,且f (x )=(x -1) 2(x ≤1) ,求g (x ).选题意图:本题考查互为反函数的函数的图象间的对称关系. 解:f (x ) 与g (x ) 在定义域内互为反函数,f (x )=(x -1) 2(x ≤1) 的反函数是y =1-x (x ≥0) ,∴g (x )=1-x (x ≥0).说明:互为反函数的图象关于y =x 对称,反之亦然,也是判断两个函数互为反函数的方法之一,本是f (x ) 与g (x ) 互为反函数,要求g (x ), 只须求f (x ) 在限定区间上的反函数即可.[例2]若点P (1,2) 在函数y=ax +b 的图象上,又在它的反函数的图象上,求a , b 的值. 选题意图:本题考查反函数的概念,反函数的图象与原函数图象的对称关系的应用. 解:由题意知P (1,2) 在其反函数的图象上,根据互为反函数的函数图象关于y =x 对称的性质,P′(2,1) 也在函数y =ax +b 的图象上,⎧⎪2=a +b因此:⎨解得:a =-3,b =7.⎪⎩1=2a +b说明:引导学生树立创造性思考问题的方式、方法,利用互为反函数的图象的对称关系. (1,2)在反函数图象上,则(2,1) 也在原函数图象上是解决该问题的关键所在,即f (2)=1,这是得到a , b 的另一个关系式的条件,这样两个条件两个未知数,就可解出a , b 的值.x[例3]已知函数f (x )=(1+) 2-2(x ≥-2) ,求方程2-1f (x )=f (x ) 的解集.选题意图:本题考查互为反函数的函数的图象关于y =x 对称的关系,灵活运图2—8 用这一关系解决问题的能力.x分析:若先求出 f -1(x )=2x +2-2(x ≥-2), 再解方程(1+) 2-2=2x +2-2,2整理得四次方程,求解有困难,但我们可以利用y =f (x ) 与y =f -1(x ) 的图象的关系x求解. 先画出y =f (x )=(1+) 2-2的图象,如图,因为y =f (x ) 的图象和y =f -1(x ) 的2图象关于直线y =x 对称,可立即画出y =f -1(x ) 的图象,由图象可见两图象恰有两x 2⎧y =(1+) -2⎪个交点,且交点在y =x 上,因此,由方程组⎨联立即可解得. 2⎪⎩y =xx 2) -2(x ≥-2) 画出图象,如图,由于函数f (x ) 的反函2数的图象与函数f (x ) 的图象关于y =x 对称,故可以画出其反函数图象(如图) ,解:由函数f (x )=(1+x 2⎧⎪y =(1+) -2由图可知两图象恰有两个交点且交点都在y =x 上. 因此,方程组⎨2⎪⎩y =x 的解即为f (x )=f -1(x ) 的解,于是解方程组得x =-2或x =2,从而方程f (x )=f -1(x )的解集为{-2,2}.说明:解决本题的关键是,根据互为反函数的图象关于y =x 对称,若两个函数有交点,则交点必在直线y =x 上,由此,将要解的两个较复杂的方程组转化为x 2直线y =x 与其中y =(1+) -2一个方程组的解的问题.2例题讲解(练习)例1.函数f (x )=x -x 是否存在反函数?说明理由点评:不存在,∵ f (0)=f (-1)=f (1)=0.例2.求下列函数的反函数.(1) f (x )=36x +5x -1(2) y =-x -1(3) f (x )=x -2x +3,x ∈(1,+∞) (4)f (x )=1--x 2(-1≤x ≤0)点评:(1) f-12(x )=2x +5(x ∈R 且x ≠6) x -6(2) f (x )=x +1 (x ≤0) (3) f (4) f-1-1(x )=(x )=-x -2+1 (x >2)-x -1 (0≤x ≤1)2-1⎧⎪x -1(x ≥1)例3.求函数y =⎨的反函数.⎪⎩--x (x 2 ⎧⎪x +1点评:反函数为y =⎨2⎪⎩1-x(x ≥0).(x 例4.已知f (x )=3x +2-1,求f [f (x )]的值.x +1⎡点评:f ⎢f⎢⎣-1⎛2⎫⎤2⎪⎥=,注意f (x ) 的定义域为{x |x ∈R 且x ≠-1},值域为{y |y 2⎪2⎝⎭⎥⎦∈R 且y ≠-3}.例5.已知一次函数y =f (x ) 反函数仍是它自己,试求f (x ) 的表达式.分析:设y =f (x )=ax +b (a ≠0) ,则f (x )=-11(x -b ) .a⎧1=a ⎪⎧a =-1⎧a =11⎪a由(x -b )=ax +b 得⎨或⎨⇒⎨a b b ∈R b =0⎩⎩⎪-=b ⎪⎩a∴ f (x )=x 或f (x )=-x+b (b ∈R )例6.若函数y =ax +1在其定义域内存在反函数.4x +3(1) 求a 的取值范围;(2) 求此函数的值域.解:(1)方法一:原式可化为4xy +3y =ax +1,(4y -a ) x =1-3y ,a ax +1a≠时,,即44x +344解得a ≠时原函数有反函数.3ax +1方法二:要使y =在其定义域内存在反函数,则需此函数为非常数函数,4x +3a 14ax +1即≠,所以a ≠时函数y =在其定义域内存在反函数.3434x +3当y ≠(2) 由y =ax +1-3y +1解得x =.4x +34y -aax +1-3x +1的反函数为y =.4x +34x -a -3x +1a ∵y =的定义域是{x |x ∈R 且x =}44x -aax +1a 故y =的值域是{y |y ∈R 且y ≠}.44x +3∴y =例7.设函数y =f (x ) 满足f (x -1)=x -2x +3(x ≤0) ,求f (x +1).解:∵x ≤0,则x -1≤-1.∵ f (x -1)=(x -1) +2 (x ≤0) ∴ f (x )=x +2 (x ≤-1) .由y =x +2 (x ≤1) 解得x =-y -2(y ≥3)2222-1∴ f 故f-1(x )=-x -2 (x ≥3) .x -1 (x ≥2) .-1-1-1(x +1)=--1点评:f (x +1)表示以x +1代替反函数f (x ) 中的x ,所以要先求f (x ) ,再以x +1代x ,不能把f (x +1)理解成求f (x +1)的反函数.习题1.已知函数 f (x )=x -1 (x ≤-2) ,那么 f (4)=______________.2.函数y =-x +x -1 (x ≤22-1-11) 的反函数是_________________.22⎧1]⎪x -1,x ∈(0,3.函数y =⎨2的反函数为__________________.⎪⎩x ,x ∈[-1,0)4.函数y =5.已知y =x 2-2x +3 (x ≤1) 的反函数的定义域是_____________.11x +m 与y =nx -是互为反函数,则m =______和n =________.23答案1.-2.y =1--4x -3⎛⎝x ≤-3⎫24⎪⎭3.y =⎧⎪⎨x +1,x ∈(-1,0],⎪⎩-x ,x ∈(0,1]4.2,+∞)5.16,2大一反函数的经典例题(5)反函数求值例1、设互为反函数,求有反函数的值.,且函数与分析:本题对概念要求较强,而且函数不具体,无法通过算出反函数求解,所以不妨试试“赋值法”,即给变量一些适当的值看看能得到什么后果.解:设在函数这样即有,则点的图象上,即,从而在函数的图象上,从而点.由反函数定义有.,小结:利用反函数的概念,在不同式子间建立联系,此题考查对反函数概念的理解,符号间关系的理解.两函数互为反函数, 确定两函数的解析式例2 若函数的值.与函数互为反函数,求分析:常规思路是根据已知条件布列关于布列?如果注意到g(x)的定义域、值域已知,又义域与值域互换,有如下解法:的三元方程组,关键是如何与g(x)互为反函数,其定解:∵g(x)的定义域为.且,的值域为又∵g(x) 的定义域就是∵g(x) 的值域为的值域, ∴,.由条件可知∴.的定义域是, ,∴.令, 则即点(3,1) 在的图象上.又∵与g(x) 互为反函数,的对称点(1,3) 必在g(x)的图象上.∴(3,1) 关于∴3=1+ , .故 .判断是否存在反函数例3、给出下列函数:(1) ;(2) ;(3) ;(4) ;(5) .其中不存在反函数的是__________________.分析:判断一个函数是否有反函数, 从概念上讲即看对函数值域内任意一个,依照这函数的对应法则, 自变量总有唯一确定的值与之对应, 由于这种判断难度较大, 故通常对给出的函数的图象进行观察, 断定是否具有反函数.解: (1) ,(2)都没有问题, 对于(3)当.对于(4)时,和时, 和,且.对于(5)当时, 和 .故(3),(4),(5)均不存在反函数.小结:从图象上观察, 只要看在相应的区间内是否单调即可.求复合函数的反函数例4、已知函数分析: 由于已知是找到解:令,由得. 于是有,再由,则,所求是求出, ,求的反函数.的反函数,因此应首先由的表达式, 再求反函数., ,.,由于,又,的反函数是. 的值域是, .小结:此题涉及对抽象函数符号的认识与理解, 特别是在换元过程中, 相应变量的取值范围也要随之发生改变, 这一点是学生经常忽略的问题.原来的函数与反函数解析式相同求系数例5、已知函数试指出与其反函数是同一个一次函数,的所有取值可能.的反函数的解析式,与分析:此题可以有两种求解思路:一是求解比较, 让对应系数相等, 列出关于的方程, 二是利用两个函数图象的对称性, 找对称点, 利用点的坐标满足解析式来列方程. 解:由上, 于是又于是知点在图象上, 则点定在的图象(1) 过点(2),则点也在的图象上,由(1)得当或,当.时, 代入(2),此时(2)恒成立即;代入(2)解得综上, 的所有取值可能有或 .小结:此题是反函数概念与方程思想的综合. 在这个题目中特殊点的选取一般是考虑计算简单方便, 而且这种取特殊点列方程的方法在其他地方也有应用, 故对此种方法要引起重视. 另外此题在最后作答时, 要求写出的所有取值可能即要把的取值与的取值搭配在一起, 所以解方程组时要特别小心这一点. 选题角度:反函数图象关系、将反函数问题转化为原函数、利用性质求解析式、两函数互为反函数,确定两函数的解析式判断是否存在反函数、求出反函数解析式解关于反函数的不等式、求复合函数的反函数、由原来函数运算关系证明反函数运算。
反函数的定义设函数y=f(x)的定义域是A ,值域是C .我们从式子y=f(x)中解出x 得到式子x=φ(y).如果对于y 在C 中的任何一个值,通过式子x=φ(y),x 在A 中都有唯一的值和它对应,那么式子x=φ(y)叫函数y=f(x)的反函数,记作x=f -1(y),习惯表示为y=f -1(x).注意:函数y=f(x)的定义域和值域,分别是反函数y=f -1(x)的值域和定义域,例如:f(x)=的定义域是[-1,+∞],值域是[0,+∞),它的反函数f -1(x)=x 2-1, x≥0,定义域为[0,+∞),值域是[-1,+∞)。
2.反函数存在的条件按照函数定义,y=f(x)定义域中的每一个元素x ,都唯一地对应着值域中的元素y ,如果值域中的每一个元素y 也有定义域中的唯一的一个元素x 和它相对应,即定义域中的元素x 和值域中的元素y ,通过对应法则y=f(x)存在着一一对应关系,那么函数y=f(x)存在反函数,否则不存在反函数.例如:函数y=x 2,x∈R,定义域中的元素±1,都对应着值域中的同一个元素1,所以,没有反函数.而y=x 2, x≥1表示定义域到值域的一一对应,因而存在反函数. 3.函数与反函数图象间的关系函数y=f(x)和它的反函数y=f -1(x)的图象关于y=x 对称.若点(a,b)在y=f(x)的图象上,那么点(b,a)在它的反函数y=f -1(x)的图象上. 4.反函数的几个简单命题(1)一个奇函数y=f(x)如果存在反函数,那么它的反函数y=f -1(x)一定是奇函数.(2)一个函数在某一区间是(减)函数,并且存在反函数,那么它的反函数在相应区间也是增(减)函数.【例1】求下列函数的反函数: (1)y (x )(2)y x 2x 3x (0]2=≠-.=-+,∈-∞,.352112x x -+(3)y (x 0)(4)y x +1(1x 0)(0x 1)=≤.=-≤≤-<≤112x x +⎧⎨⎪⎩⎪ 解 (1)y (x )y y (2y 3)x y 5x y (x )∵=≠-,∴≠,由=得-=--,∴=所求反函数为=≠.35211232352153253232x x x x y yy y-+-++-+-解 (2)∵y =(x -1)2+2,x ∈(-∞,0]其值域为y ∈[2,+∞),由=-+≤,得-=-,即=-∴反函数为=-,≥.y (x 1)2(x 0)x 1x 1f(x)1(x 2)21y y x ----222解 (3)y (x 0)0y 1y x f(x)(0x 1)1∵=≤,它的值域为<≤,由=得=-,∴反函数为=-<≤.11111122x x y yx x++---解 (4)y (1x 0)0y 1f (x)x 1(0x 1)y (0x 1)12由=-≤≤,得值域≤≤,反函数=-≤≤.由=-<≤,x x +-1得值域-≤<,反函数=-≤<,故所求反函数为=-≤≤-≤<.1y 0f(x)(1x 0)y x 1(0x 1)x(1x 0)1222-⎧⎨⎪⎩⎪x【例2】求出下列函数的反函数,并画出原函数和其反函数的图像.(1)y 1(2)y 3x 2(x 0)2=-=--≤x -1解 (1)∵已知函数的定义域是x ≥1,∴值域为y ≥-1,由=-,得反函数=++≥-.函数=-与它的反函数=++的图像如图.-所示.y 1y (x 1)1(x 1)y 1y (x 1)124122x x --11解 (2)由y =-3x 2-2(x ≤0)得值域y ≤-2, 反函数=-≤-.f(x)(x 2)1--+x 23它们的图像如图2.4-2所示.【例3】已知函数=≠-,≠.f(x)(x a a )3113x x a++(1)求它的反函数;(2)求使f -1(x)=f(x)的实数a 的值. 解(1)y x a y(x a)3x 1(y 3)x 1ay y 3设=,∴≠-,∵+=+,-=-,这里≠,31x x a++若=,则=这与已知≠矛盾,∴=,,即反函数=.y 3a a x f(x)113131313-----ay y ax x (2)f(x)f(x)x 1若=,即=对定义域内一切的值恒成立,-++--3113x x aax x令x =0,∴a =-3.或解 由f(x)=f -1(x),那么函数f(x)与f -1(x)的定义域和值域相同,定义域是{x|x ≠a ,x ∈R },值域y ∈{y|y ≠3,y ∈R },∴-a =3即a =-3.【例4】已知函数==中,、、、均不为零,y f(x)a b c d ax b cx d++试求a 、b 、c 、d 满足什么条件时,它的反函数仍是自身.解 f(x)bc ad 0f (x)x 1=+,∵常数函数没有反函数,∴-≠.又=,要使=,对定义域内一切值恒成立,a c bc ad c cx d dxb cx adx b cx aax b cx d-+-+--+-++-()令x =0,得-a =d ,即a +d =0.事实上,当a +d =0时,必有f -1(x)=f(x), 因此所求的条件是bc -ad ≠0,且a +d =0.【例5】设点M(1,2)既在函数f(x)=ax 2+b(x ≥0)的图像上,又在它的反函数图像上,(1)求f -1(x),(2)证明f -1(x)在其定义域内是减函数.解证(1)2a b14a ba b f(x)x (x 0)(2)y x (x 0)f(x)(x )221由=+=+得=-=,∴=-+≥由=-+≥得反函数=≤.⎧⎨⎩⎧⎨⎪⎪⎩⎪⎪--1373137313737373x设<≤,∴->-≥,∴>,即>,故在-∞,上是减函数.x x 73x 73x 0f(x )f(x )f(x)(]121211121737337312-----x x x【例6】解法一若函数=,求的值.先求函数=的反函数=,于是==--.f(x)f (2)()f(x)f (x)f(2)532x x x x x x-+-++-+----121212112212111解法(二) 由函数y =f(x)与其反函数y =f -1(x)之间的一一对应关 系,求的值,就是求=时对应的的值,∴令=,得=--,即=--.f(2)f(x)2x 2x 532f(2)53211---+x x 12【例7】已知∈,且≠,≠.设函数=∈且≠,证明=的图像关于直线=对称.a a 0a 1f(x)(x x )y f(x)y x R R x ax a--111证 y a 0a 1(ay 1)x y 1ay 10y a 1a 1由=,≠,≠,得-=-,如果-=,则=,∴=得=,这与已知≠矛盾,x ax a a x ax ----111111∴-≠,故=,∴=,即证得=的反函数就是它本身.ay 10x f(x)f(x)1y ay x ax x ax -------111111因为原函数的图像与其反函数的图像关于直线y =x 对称,∴函数y =f(x)的图像关于直线y =x 对称.。
反函数例题及解析反函数可是数学里很有趣的一部分呢!那咱就直接开始看例题吧。
就说这个简单的函数y = 2x + 1,我们想求它的反函数。
第一步呀,我们要把x用y来表示。
从y = 2x + 1开始,我们可以通过移项来求解x,那就是y - 1 = 2x,然后x就等于(y - 1)/2。
这就是它的反函数啦,写成y=(x - 1)/2。
你看,是不是也没有那么难呀?再来看一个稍微复杂一点的函数,y = 3x²(x≥0)。
这个求反函数的时候要小心哦。
首先我们把x解出来,x²=y/3,因为x≥0嘛,所以x等于根号下(y/3)。
那这个函数的反函数就是y = 根号下(x/3)啦。
那为啥要学反函数呢?这就好比你在一个迷宫里走,函数是从入口走到出口的路线,反函数呢,就是从出口倒着走回入口的路线。
很神奇吧!还有这个函数y = 1/(x - 1)(x≠1)。
我们先让y = 1/(x - 1),然后通过交叉相乘得到y(x - 1)=1,展开就是xy - y = 1,移项得到xy = 1 + y,再把x解出来,x=(1 + y)/y。
所以这个函数的反函数就是y=(1 + x)/x(x≠0)。
在求反函数的时候,一定要注意原函数的定义域和值域哦。
比如说有的函数在整个实数域上不是单调的,那我们可能要划分区间来求反函数呢。
就像y = x²,如果不规定x的范围,它的反函数就不是唯一的。
只有规定了x≥0或者x≤0的时候,才能准确地求出反函数。
再给个例子,y = sinx(-π/2≤x≤π/2)。
这个函数在这个区间上是单调递增的,所以可以求反函数。
我们知道sinx=y,那x = arcsiny。
这里的arcsin就是反正弦函数啦。
这就告诉我们呀,函数的单调性对求反函数可重要了。
你要是觉得反函数有点难,别担心。
多做几个例题就好啦。
就像学骑自行车,刚开始可能会摔倒,但是骑得多了就很熟练啦。
反函数也是这样,看的例题多了,自己做的时候就得心应手了。
反函数练习题反函数是数学中的一个重要概念,它与函数之间的关系密切相关。
在本文中,我们将通过一些练习题来加深对反函数的理解和运用。
题目一:求反函数已知函数f(x) = 2x - 3,求其反函数f^{-1}(x)。
解析:为求反函数f^{-1}(x),我们先将f(x)写成关于x的等式y = 2x - 3。
接下来,我们将x和y交换位置,得到x = 2y - 3。
接下来,解出y,即可得到反函数f^{-1}(x)。
将x = 2y - 3两边加3,得到x + 3 = 2y。
再将等式两边同时除以2,得到(y = (x + 3)/2)。
所以,反函数f^{-1}(x) = (x + 3)/2。
题目二:验证反函数已知函数f(x) = 4x - 5,求其反函数f^{-1}(x)并验证是否为反函数。
解析:首先,我们仍然将f(x)写成关于x的等式y = 4x - 5。
然后,将x和y交换位置,得到x = 4y - 5。
再次解出y,即可得到反函数f^{-1}(x)。
将x = 4y - 5两边加5,得到x + 5 = 4y。
再将等式两边同时除以4,得到((x + 5)/4 = y)。
所以,反函数f^{-1}(x) = (x + 5)/4。
为了验证f^{-1}(x)是否为f(x)的反函数,我们需要计算复合函数f(f^{-1}(x))和f^{-1}(f(x)),并判断它们是否等于x。
首先,计算f(f^{-1}(x)) = f((x + 5)/4)。
将(x + 5)/4代入f(x)的表达式中,得到f(f^{-1}(x)) = 4((x + 5)/4) - 5 = x - 1。
我们可以看到,f(f^{-1}(x))得到了x。
接下来,计算f^{-1}(f(x)) = f^{-1}(4x - 5)。
将4x - 5代入f^{-1}(x)的表达式中,得到f^{-1}(f(x)) = ((4x - 5) + 5)/4 = x。
我们可以看到,f^{-1}(f(x))也得到了x。
单调性奇偶性反函数典型例题总结一:单调性类型一:函数单调性的证明。
例1:证明函数上的单调性.证明:在(0,+∞)上任取x1、x2(x1≠x2),令△x=x2-x1>0则∵x1>0,x2>0,∴∴上式<0,∴△y=f(x2)-f(x1)<0∴上递减.【变式1】用定义证明函数上是减函数.思路点拨:本题考查对单调性定义的理解,在现阶段,定义是证明单调性的唯一途径.证明:设x1,x2是区间上的任意实数,且x1<x2,则∵0<x1<x2≤1 ∴x1-x2<0,0<x1x2<1∵0<x1x2<1故,即f(x1)-f(x2)>0∴x 1<x 2时有f(x 1)>f(x 2)上是减函数.例2:解 任取两个值x 1、x 2∈(-1,1),且x 1<x 2.当a >0时,f(x)在(-1,1)上是减函数. 当a <0时,f(x)在(-1,1)上是增函数.总结:可以用同样的方法证明此函数在上是增函数;在今后的学习中经常会碰到这个函数,在此可以尝试利用函数的单调性大致给出函数的图象.类型二:求函数的单调区间例1.判断下列函数的单调区间; (1)y=x 2-3|x|+2; (2)解:(1)由图象对称性,画出草图∴f(x)在上递减,在上递减,在上递增.(2)∴图象为∵-=∵-<<<,+>,->,-<,-<.∴>f(x )f(x )1x x 1x x 10x x 0x 10x 10012121221a x x x x x x x x x x x x ()()()()()()()()12211222121212211222111111+---+---判断函数 =≠ 在区间 - , 上的单调性. f(x) (a 0) ( 1 1) axx 2 1-∴f(x)在上递增.例2:(1)y=|x2+2x-3| (2)(2)(1)令f(x)=x2+2x-3=(x+1)2-4.先作出f(x)的图像,保留其在x轴及x轴上方部分,把它在x轴下方的图像翻到x轴就得到y=|x2+2x-3|的图像,如图2.3-1所示.由图像易得:递增区间是[-3,-1],[1,+∞)递减区间是(-∞,-3],[-1,1](2)定义域为,其中u=2x-1为增函数,在(-∞,0)与(0,+∞)为减函数,则上为减函数;总结升华:[1]数形结合利用图象判断函数单调区间;[2]关于二次函数单调区间问题,单调性变化的点与对称轴相关.[3]复合函数的单调性分析:先求函数的定义域;再将复合函数分解为内、外层函数;利用已知函数的单调性解决.关注:内外层函数同向变化→复合函数为增函数;内外层函数反向变化→复合函数为减函数. 类型三:单调性的应用(比较函数值的大小,求函数值域,求函数的最大值或最小值)例1:已知二次函数f(x)=x2-(a-1)x+5在区间上是增函数,求:(1)实数a的取值范围;(2)f(2)的取值范围.解:(1)∵对称轴是决定f(x)单调性的关键,联系图象可知只需;(2)∵f(2)=22-2(a-1)+5=-2a+11又∵a ≤2,∴-2a ≥-4 ∴f(2)=-2a+11≥-4+11=7.例2:函数f(x)=ax 2-(3a -1)x +a 2在[-1,+∞]上是增函数,求实数a 的取值范围.解 当a =0时,f(x)=x 在区间[1,+∞)上是增函数.若a <0时,无解. ∴a 的取值范围是0≤a ≤1.例3已知二次函数y =f(x)(x ∈R )的图像是一条开口向下且对称轴为x =3的抛物线,试比较大小:(1)f(6)与f(4)解 (1)∵y =f(x)的图像开口向下,且对称轴是x =3,∴x ≥3时,f(x)为减函数,又6>4>3,∴f(6)<f(4)时为减函数.类型四:分段函数的单调性:分段函数的单调性,首先应该判断各段函数的单调性,若每一段函数单调性一致,再判断分界点处函数值的关系,符合单调性定义,则该函数在整个定义域上单调递增或递减,不符合,则必须分开说明单调性.例1:例1 若f (x )=⎩⎪⎨⎪⎧a x(x >1),()4-a2x +2(x ≤1)是R 上的单调递增..函数,则实数a 的取值范围为________. [4,8) 【解析】 因为f (x )是定义在R 上的增函数,故y =a x 和y =()4-a2x +2均为增函数,所以a >1且4-a2>0,即1<a <8.又画出该分段函数图象,由图象可得,该函数还必须满足:a 1≥()4-a2×1+2,即a ≥4. 综上,a 的取值范围为4≤a <8.当≠时,对称轴=,若>时,由>≤,得<≤.a 0x a 0a 0 3a 10a 131212a aa--⎧⎨⎪⎩⎪(2)f(2)f(15)与(2)x 3f(2)f(4)34f(x)x 3∵对称轴=,∴=,而<<,函数在≥15∴>,即>.f(15)f(4)f(15)f(2)二:奇偶性类型一、判断函数的奇偶性例1:判断下列函数的奇偶性:(1)(2)(3)f(x)=x2-4|x|+3(4)f(x)=|x+3|-|x-3| (5)(6)(7)思路点拨:根据函数的奇偶性的定义进行判断.解:(1)∵f(x)的定义域为,不关于原点对称,因此f(x)为非奇非偶函数;(2)∵x-1≥0,∴f(x)定义域不关于原点对称,∴f(x)为非奇非偶函数;(3)对任意x∈R,都有-x∈R,且f(-x)=x2-4|x|+3=f(x),则f(x)=x2-4|x|+3为偶函数;(4)∵x∈R,f(-x)=|-x+3|-|-x-3|=|x-3|-|x+3|=-f(x),∴f(x)为奇函数;(5),∴f(x)为奇函数;(6)∵x∈R,f(x)=-x|x|+x ∴f(-x)=-(-x)|-x|+(-x)=x|x|-x=-f(x),∴f(x)为奇函数;(7),∴f(x)为奇函数.举一反三:【变式1】判断下列函数的奇偶性:(1);(2)f(x)=|x+1|-|x-1|;(3)f(x)=x2+x+1;(4).思路点拨:利用函数奇偶性的定义进行判断.解:(1);(2)f(-x)=|-x+1|-|-x-1|=-(|x+1|-|x-1|)=-f(x) ∴f(x)为奇函数;(3)f(-x)=(-x)2+(-x)+1=x2-x+1∴f(-x)≠-f(x)且f(-x)≠f(x) ∴f(x)为非奇非偶函数;(4)任取x>0则-x<0,∴f(-x)=(-x)2+2(-x)-1=x2-2x-1=-(-x2+2x+1)=-f(x)任取x<0,则-x>0 f(-x)=-(-x)2+2(-x)+1=-x2-2x+1=-(x2+2x-1)=-f(x)x=0时,f(0)=-f(0) ∴x∈R时,f(-x)=-f(x) ∴f(x)为奇函数.举一反三:【变式2】已知f(x),g(x)均为奇函数,且定义域相同,求证:f(x)+g(x)为奇函数,f(x)·g(x)为偶函数.证明:设F(x)=f(x)+g(x),G(x)=f(x)·g(x)则F(-x)=f(-x)+g(-x)=-f(x)-g(x)=-[f(x)+g(x)]=-F(x)G(-x)=f(-x)·g(-x)=-f(x)·[-g(x)]=f(x)·g(x)=G(x)∴f(x)+g(x)为奇函数,f(x)·g(x)为偶函数.类型二、函数奇偶性的应用(求值,求解析式,与单调性结合)例1:已知f(x)=x5+ax3-bx-8,且f(-2)=10,求f(2).解:法一:∵f(-2)=(-2)5+(-2)3a-(-2)b-8=-32-8a+2b-8=-40-8a+2b=10∴8a-2b=-50 ∴f(2)=25+23a-2b-8=8a-2b+24=-50+24=-26法二:令g(x)=f(x)+8易证g(x)为奇函数∴g(-2)=-g(2) ∴f(-2)+8=-f(2)-8∴f(2)=-f(-2)-16=-10-16=-26.举一反三:【变式1】(2011 湖南文12)已知为奇函数,,则为:.解:,又为奇函数,所以.例2: f(x)是定义在R上的奇函数,且当x<0时,f(x)=x2-x,求当x≥0时,f(x)的解析式,并画出函数图象.解:∵奇函数图象关于原点对称,∴x>0时,-y=(-x)2-(-x)即y=-x2-x又f(0)=0,,如图例3:.设定义在[-3,3]上的偶函数f(x)在[0,3]上是单调递增,当f(a-1)<f(a)时,求a 的取值范围. 解:∵f(a-1)<f(a) ∴f(|a-1|)<f(|a|) 而|a-1|,|a|∈[0,3].类型三:分段函数的奇偶性例1.判断函数22(1)(0)()(1)(0)x x x f x x x x ⎧-≥⎪=⎨-+<⎪⎩的奇偶性.当0x >时, 0x -<, 22()()(1)(1)()f x x x x x f x -=---+=-=, 当0x =时,(0)(0)0f f -==, 当0x <, 0x ->, 22()()(1)(1)()f x x x x x f x -=---=-+=因此, 对于任意x R ∈都有()()f x f x -=, 所以()f x 为偶函数.类型四:应用奇偶性求函数解析式。
提能拔高限时训练7 反函数一、选择题1.若y =f(x)有反函数,则方程f(x)=a(a 为常数)的实根的个数为( )A.无实数根B.只有一个实数根C.至多有一个实数根D.至少有一个实数根解析:y =f(x)存在反函数,则x 与y 是“一对一”的.但a 可能不在值域内,因此至多有一个实根. 答案:C2.设函数y =f(x)的反函数y =f -1(x),若f(x)=2x ,则f -1(21)的值为( ) A.2 B.1 C.21 D.-1 解析:令f(x)=2x =21,则x =-1,故f -1(21)=-1,故选D. 答案:D3.若函数y =f(x-1)的图象与函数1ln +=x y 的图象关于直线y =x 对称,则f(x)等于…( )A.e 2x-1B.e 2xC.e 2x+1D.e 2x+2 解析:由函数y =f(x-1)的图象与函数1ln+=x y 的图象关于直线y =x 对称,可知y =f(x-1)与1ln +=x y 互为反函数,有1ln +=x y ⇒1ln -=y x ⇒1-=y e x ⇒x =e 2y-2,所以y =e 2x-2⇒y =f(x-1)=e 2x-2.故f(x)=e 2x .答案:B4.已知函数f(x)=2x+3,f -1(x)是f(x)的反函数,若mn =16(m,n ∈R +),则f -1(m)+f -1(n)的值为( )A.-2B.1C.4D.10 解析:设y =2x+3,则有x+3=log 2y,可得f -1(x)=log 2x-3.于是f -1(m)+f -1(n)=log 2m+log 2n-6=log 2mn-6=-2.答案:A5.设函数x x f -=11)((0≤x <1)的反函数为f -1(x),则( )A.f -1(x)在其定义域上是增函数且最大值为1B.f -1(x)在其定义域上是减函数且最小值为0C.f -1(x)在其定义域上是减函数且最大值为1D.f -1(x)在其定义域上是增函数且最小值为0解析:由x x f -=11)((0≤x <1),得该函数是增函数,且值域是[1,+∞),因此其反函数f -1(x)在其定义域上是增函数,且最小值是0.答案:D6.函数⎩⎨⎧<-≥=0,,0,22x x x x y 的反函数是( )A.⎪⎩⎪⎨⎧<-≥=0,0,2x x x x y B.⎩⎨⎧<-≥=0,0,2x x x x y C.⎪⎩⎪⎨⎧<--≥=0,0,2x x x x y D.⎩⎨⎧<--≥=0,0,2x x x x y解析:当x ≥0时,y =2x,且y ≥0, ∴2)(1x x f =-(x ≥0). 当x <0时,y =-x 2且y <0, ∴x x f --=-)(1(x <0).∴函数⎩⎨⎧<-≥=0,,0,22x x x x y 的反函数是⎪⎩⎪⎨⎧<--≥=.0,,0,2x x x x y 答案:C7.(2009北京东城期末检测,7)已知函数24)(x x f --=在区间M 上的反函数是其本身,则M 可以是( )A.[-2,-1]B.[-2,0]C.[0,2]D.[-1,0] 解析:画出函数24)(x x f --=; 由24x y --=得y 2=4-x 2且y ≤0,即x 2+y 2=4,y ≤0,所以图象是以(0,0)为圆心,以2为半径的圆在x 轴下方的部分(包括点(±2,0));又y =f(x)在区间M 上反函数是其本身,故y =f(x)图象自身关于y =x 对称,故区间M 可以是[-2,0].答案:B8.设0<a <1,函数)2(log log )(1x x x f aa -+=,则函数f -1(x)<1的x 的取值范围是( )A.(0,2)B.(2,+∞)C.(0,+∞)D.(log a (2-a),+∞) 解析:f(x)在(0,2)上是减函数,所以x >f(1)=0.故选C.答案:C9.设函数为y =f(x)的反函数为y =f -1(x),将y =f(2x-3)的图象向左平移2个单位,再作关于x 轴的对称图形所对应的函数的反函数是( ) A.21)(1--=-x f y B.2)(11x f y --=- C.2)(1x f y -= D.21)(-=x f y解析:由题意知,最后得到的图形对应的函数可以表示为y =-f [2(x+2)-3]=-f(2x+1),即-y =f(2x+1),2x+1=f -1(-y),21)(1--=-y f x ,故所求函数的反函数是21)(1--=-x f y . 答案:A 10.已知函数⎪⎩⎪⎨⎧>-+≤-=,1,13,1,12)(x x x x x x f 若函数y =g(x)的图象与函数y =f -1(x-1)的图象关于直线y =x 对称,则g(11)的值是( ) A.512 B.913 C.513 D.1115 解析:∵函数y =g(x)的图象与函数y =f -1(x-1)的图象关于直线y =x 对称,∴函数y =g(x)与函数y =f -1(x-1)互为反函数.由g(11)得f -1(x-1)=11,∴x-1=f(11),即x =f(11)+1.∵57)11(=f ,∴512)11(=g . 答案:A二、填空题11.设f(x)=x 5-5x 4+10x 3-10x 2+5x+1,则f(x)的反函数为f -1(x)=_____________.解析:∵f(x)=(x-1)5+2, ∴12)(51+-=-x x f .答案:125+-x12.若函数)54(541≠++=a x ax y 的图象关于直线y =x 对称,则a =_________. 解析:∵54≠a , ∴541++=x ax y 不是常函数,且存在反函数. 在f(x)的图象上取一点(0,51),它关于y =x 的对称点(51,0)也在函数f(x)的图象上,可解得a =-5.答案:-513.已知函数f(x)的定义域为[-1,1],值域为[-3,3],其反函数为f -1(x),则f -1(3x-2)的定义域为___________,值域为____________.解析:由于函数f(x)的定义域为[-1,1],值域为[-3,3],所以其反函数f -1(x)的定义域为[-3,3],值域为[-1,1].所以由-3≤3x-2≤3,解得31-≤x ≤35.故函数f -1(3x-2)的定义域为[31-,35],值域为[-1,1].答案:[31-,35] [-1,1] 14.(2009河南南阳期末质检,14)定义在R 上的函数y =f(x)有反函数,则函数y =f(x+1)+2与y =f -1(x+1)+2的图象关于直线__________对称.解析:函数y =f(x)沿向量(-1,2)平移得到函数y =f(x+1)+2,函数y =f -1(x)沿向量(-1,2)平移得到函数y =f -1(x+1)+2,又y =f(x)与y =f -1(x)关于y =x 对称,y =x 沿向量(-1,2)平移得到y =x+3,∴y =f(x+1)+2与y =f -1(x+1)+2关于y =x+3对称.答案:y =x+3三、解答题15.已知函数11)(-+=x x x f ,g(x)=f -1(-x),求g(x). 解: 由11-+=x x y ,得xy-y =x+1, ∴11-+=y y x ,即11)(1-+=-x x x f . ∴g(x)=f -1(-x)=11+-x x . 16.已知函数f(x)=2(1121+-x a )(a >0且a≠1). (1)求函数y =f(x)的反函数y =f -1(x);(2)判定f -1(x)的奇偶性;(3)解不等式f -1(x)>1.解:(1)化简,得11)(+-=x x a a x f . 设11+-=x x a a y ,则y y a x -+=11. ∴yy x a -+=11log . ∴所求反函数为xx x f y a-+==-11log )(1(-1<x <1). (2)∵)(11log )11(log 11log )(111x f x x x x x x x f a a a ----=-+-=-+=+-=-, ∴f -1(x)是奇函数. (3)111log >-+xx a . 当a >1时, 原不等式⇒a x x >-+11⇒011)1(<--++x a x a . ∴11+-a a <x <1.当0<a <1时,原不等式⇒⎪⎪⎩⎪⎪⎨⎧>-+<-+,011,11xx a x x 解得⎪⎩⎪⎨⎧<<->+-<.11,111x x a a x 或 ∴-1<x <aa +-11. 综上,当a >1时,所求不等式的解集为(11+-a a ,1); 当0<a <1时,所求不等式的解集为(-1,11+-a a ). 教学参考例题 志鸿优化系列丛书【例1】 设函数⎪⎩⎪⎨⎧<-=>=,0,1,0,0,0,1)(x x x x f 若g(x)=(x-1)2f(x-1),y =g(x)的反函数为y =g -1(x),则g(-1)·g -1(-4)=___________.解析:由题意得⎪⎩⎪⎨⎧<-=>=-.1,1,1,0,1,1)1(x x x x f∴g(x)=(x-1)2f(x-1)=⎪⎩⎪⎨⎧<--=>-.1,)1(,1,0,1,)1(22x x x x x设g(x)=-4,可得-(x-1)2=-4且x <1,解得x =-1.∴g(-1)=-4.∴g -1(-4)=-1.∴g(-1)·g -1(-4)=-4×(-1)=4.答案:4【例2】 已知f(x)是定义在R 上的函数,它的反函数为f -1(x).若f -1(x+a)与f(x+a)互为反函数且f(a)=a(a 为非零常数),则f(2a)=____________.解析:设y =f -1(x+a),则x =f(y)-a,即y =f -1(x+a)的反函数为y =f(x)-a,∴f(x+a)=f(x)-a. 令x =a,得f(2a)=f(a)-a =a-a =0.答案:0。
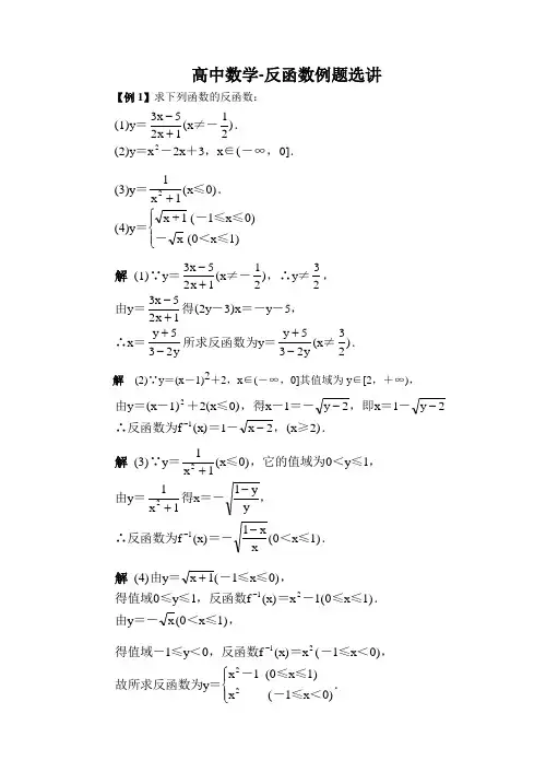
高中数学-反函数例题选讲【例1】求下列函数的反函数:(1)y (x )(2)y x 2x 3x (0]2=≠-.=-+,∈-∞,.352112x x -+(3)y (x 0)(4)y x +1(1x 0) (0x 1)=≤.=-≤≤-<≤112x x +⎧⎨⎪⎩⎪ 解 (1)y (x )y y (2y 3)x y 5x y (x )∵=≠-,∴≠,由=得-=--,∴=所求反函数为=≠.35211232352153253232x x x x y y y y -+-++-+- 解 (2)∵y =(x -1)2+2,x ∈(-∞,0]其值域为y ∈[2,+∞), 由=-+≤,得-=-,即=-∴反函数为=-,≥.y (x 1)2(x 0)x 1x 1f (x)1(x 2)21y y x ----222解 (3)y (x 0)0y 1y x f (x)(0x 1)1∵=≤,它的值域为<≤,由=得=-,∴反函数为=-<≤.11111122x x y y x x++--- 解 (4)y (1x 0)0y 1f (x)x 1(0x 1)y (0x 1)12由=-≤≤,得值域≤≤,反函数=-≤≤.由=-<≤,x x +-1 得值域-≤<,反函数=-≤<,故所求反函数为=-≤≤-≤<.1y 0f (x)(1x 0)y x 1(0x 1) x (1x 0)1222-⎧⎨⎪⎩⎪x【例2】求出下列函数的反函数,并画出原函数和其反函数的图像.(1)y 1(2)y 3x 2(x 0)2=-=--≤x -1解 (1)∵已知函数的定义域是x ≥1,∴值域为y ≥-1,由=-,得反函数=++≥-.函数=-与它的反函数=++的图像如图.-所示.y 1y (x 1)1(x 1)y 1y (x 1)124122x x --11解 (2)由y =-3x 2-2(x ≤0)得值域y ≤-2, 反函数=-≤-.f (x)(x 2)1--+x 23它们的图像如图2.4-2所示.【例3】已知函数=≠-,≠.f(x)(x a a )3113x x a ++ (1)求它的反函数;(2)求使f -1(x)=f(x)的实数a 的值.解(1)y x a y(x a)3x 1(y 3)x 1ay y 3设=,∴≠-,∵+=+,-=-,这里≠,31x x a ++若=,则=这与已知≠矛盾,∴=,,即反函数=.y 3a a x f (x)113131313-----ay y ax x (2)f(x)f (x)x 1若=,即=对定义域内一切的值恒成立,-++--3113x x a ax x 令x =0,∴a =-3.或解 由f(x)=f -1(x),那么函数f(x)与f -1(x)的定义域和值域相同,定义域是{x|x ≠a ,x ∈R },值域y ∈{y|y ≠3,y ∈R },∴-a =3即a =-3.【例4】已知函数==中,、、、均不为零,y f(x)a b c d ax b cx d++ 试求a 、b 、c 、d 满足什么条件时,它的反函数仍是自身.解 f(x)bc ad 0f (x)x 1=+,∵常数函数没有反函数,∴-≠.又=,要使=,对定义域内一切值恒成立,a c bc ad c cx d dx b cx adx b cx a ax b cx d-+-+--+-++-()令x =0,得-a =d ,即a +d =0.事实上,当a +d =0时,必有f -1(x)=f(x),因此所求的条件是bc -ad ≠0,且a +d =0.【例5】设点M(1,2)既在函数f(x)=ax 2+b(x ≥0)的图像上,又在它的反函数图像上,(1)求f -1(x),(2)证明f -1(x)在其定义域内是减函数.解证(1)2a b 14a b a b f(x)x (x 0)(2)y x (x 0)f (x)(x )221由=+=+得=-=,∴=-+≥由=-+≥得反函数=≤.⎧⎨⎩⎧⎨⎪⎪⎩⎪⎪--1373137313737373x 设<≤,∴->-≥,∴>,即>,故在-∞,上是减函数.x x 73x 73x 0f (x )f (x )f (x)(]121211121737337312-----x x x【例6】解法一若函数=,求的值.先求函数=的反函数=,于是==--.f(x)f (2)()f(x)f (x)f (2)532x x x x x x-+-++-+----121212112212111解法(二) 由函数y =f(x)与其反函数y =f -1(x)之间的一一对应关 系,求的值,就是求=时对应的的值,∴令=,得=--,即=--.f (2)f(x)2x 2x 532f (2)53211---+x x 12 【例7】已知∈,且≠,≠.设函数=∈且≠,证明=的图像关于直线=对称.a a 0a 1f(x)(x x )y f(x)y x R R x ax a --111证 y a 0a 1(ay 1)x y 1ay 10y a 1a 1由=,≠,≠,得-=-,如果-=,则=,∴=得=,这与已知≠矛盾,x ax aa x ax ----111111 ∴-≠,故=,∴=,即证得=的反函数就是它本身.ay 10x f (x)f(x)1y ay x ax x ax -------111111因为原函数的图像与其反函数的图像关于直线y =x 对称, ∴函数y =f(x)的图像关于直线y =x 对称.。
反函数练习(含详细解析)反函数练习一.填空题1.若f(x)=(x﹣1)2(x≤1),则其反函数f﹣1(x)=.2.定义在R上的函数f(x)=2x﹣1的反函数为y=f﹣1(x),则f﹣1(3)=3.若函数f(x)=x a的反函数的图象经过点(,),则a=.4.已知函数f(x)=2x﹣1的反函数是f﹣1(x),则f﹣1(5)=.5.函数y=x2+2(﹣1≤x≤0)的反函数是f﹣1(x)=.6.已知函数f(x)=2x+m,其反函数y=f﹣1(x)图象经过点(3,1),则实数m 的值为.7.设f﹣1(x)为的反函数,则f﹣1(1)=.8.函数f(x)=x2,(x<﹣2)的反函数是.9.函数的反函数是.10.函数y=x2+3(x≤0)的反函数是.11.设函数f(x)=3x,若g(x)为函数f(x)的反函数,则g (1)=.12.设函数y=f(x)存在反函数y=f﹣1(x),且函数y=x ﹣f(x)的图象经过点(2,5),则函数y=f﹣1(x)+3的图象一定过点.13.函数(x≤0)的反函数是.14.已知函数,则=.15.函数的反函数为f﹣1(x)=.16.函数的反函数的值域是.17.函数f(x)=x2﹣2(x<0)的反函数f﹣1(x)=.18.设f(x)=4x﹣2x+1(x≥0),则f﹣1(0)=.19.若函数y=ax+8与y=﹣x+b的图象关于直线y=x对称,则a+b=.20.已知函数f(x)=log2(x2+1)(x≤0),则f﹣1(2)=.参考答案一.填空题(共20小题)1.1﹣(x≥0);2.2;3.;4.3;5.,x∈[2,3];6.1;7.1;8.;9.f﹣1(x)=(x﹣1)2(x≥1);10.y=﹣(x ≥3);11.0;12.(﹣3,5);13.(x≥﹣1);14.﹣2;15.,(x∈(0,1));16.;17.(x>﹣2);18.1;19.2;20.﹣;。
《反函数》典型例题解析【例1】求下列函数的反函数:(1)3521x y x -=+(12x ≠-); (2)223y x x =-+((],0x ∈-∞);(3)211y x =+(0x ≤); (4)()()1001x y x -≤≤=<≤⎪⎩。
【解析】(1)∵3521x y x -=+()313213132221242x x x +-==-++, 当12x ≠-时,32y ≠; 由3521x y x -=+可得()235y x y -=--,即523y x y --=-; ∴所求反函数为523x y x --=-(32x ≠)。
(2)∵223y x x =-+()212x =-+, ∴函数在(],0-∞上单调递减,其值域为[)3,+∞;又由()212y x =-+((],0x ∈-∞)可得1x -=1x = 所以反函数为()11fx -=[)3,x ∈+∞) (3)∵211y x =+(0x ≤),其值域为01y <≤, 由211y x =+得x = 所以反函数为()1fx -=01x <≤)。
(4)由y =10x -≤≤)得值域为01y ≤≤,又由y =21x y =-,所以反函数为()121f x x -=-(01x ≤≤);由y =01x <≤)得值域为10y -≤<,且由y =2x y =,所以反函数为()12f x x -=(10x -≤<);故所求反函数为()()()212,101,01x x f x x x -⎧-≤<⎪=⎨-≤≤⎪⎩。
注意:分段函数的反函数一定为分段函数(由各段的反函数合并而成)。
【例2】求出下列函数的反函数,并画出原函数和其反函数的图像.(1)1y =; (2)232y x =--(0x ≤)【解析】(1)∵已知函数的定义域是[)1,+∞,且函数1y =在定义域上单调递增, ∴值域为{}1y y ≥;又由1y =可得()211x y =++,所以函数1y =的反函数为()211y x =++([)1,x ∈+∞)。
关于反函数的练习题反函数是数学中一个常见且重要的概念,它指的是对于给定函数f(x),存在一个函数 g(x) 使得对于所有的 x 在定义域中成立 g(f(x)) = x。
反函数可以帮助我们求出原函数的逆变换,从而解决一系列实际问题。
为了更好地理解和掌握反函数的性质,下面将给出一些有关反函数的练习题,希望能够帮助读者更好地理解和应用反函数。
题目一:设函数 f(x) = 2x + 3,求反函数 g(x) 的表达式。
首先,我们先假设 g(x) = y,根据反函数的定义,我们有 f(g(x)) = x。
将 f(x) 的表达式代入得到:2g(x) + 3 = x接下来,解方程可以得到g(x) = (x - 3) / 2因此,反函数为 g(x) = (x - 3) / 2。
题目二:已知函数 f(x) = x^2 + 1,求反函数 g(x) 的表达式。
同样地,我们假设 g(x) = y,根据反函数的定义,有 f(g(x)) = x。
代入 f(x) 的表达式得到:(g(x))^2 + 1 = x接下来,解这个二次方程可以得到:g(x) = √(x - 1)题目三:已知函数 f(x) = 3x,求反函数 g(x) 的表达式。
假设 g(x) = y,根据反函数的定义,有 f(g(x)) = x。
代入 f(x) 的表达式得到:3g(x) = x解这个一次方程可以得到:g(x) = x/3通过这些练习题,我们可以发现一些反函数的性质和规律。
首先,对于线性函数 f(x) = a*x + b,其反函数的表达式为 g(x) = (x - b) / a。
这表明了线性函数与其反函数之间存在着一种简单的关系。
其次,平方函数 f(x) = x^2 的反函数是开方函数g(x) = √x。
这一结果说明了平方和开方之间存在着一种互逆的关系,通过平方操作可以获得一个数的平方,通过开方操作可以得到平方根。
最后,我们观察到常数函数 f(x) = c 的反函数也是一个常数函数 g(x) = c',其中 c 可以是任意实数,c' 是 c 的逆元。
反函数·例题解析【例1】求下列函数的反函数:(1)y (x )(2)y x 2x 3x (0]2=≠-.=-+,∈-∞,.352112x x -+(3)y (x 0)(4)y x +1(1x 0) (0x 1)=≤.=-≤≤-<≤112x x +⎧⎨⎪⎩⎪ 解 (1)y (x )y y (2y 3)x y 5x y (x )∵=≠-,∴≠,由=得-=--,∴=所求反函数为=≠.35211232352153253232x x x x y y y y -+-++-+- 解 (2)∵y =(x -1)2+2,x ∈(-∞,0]其值域为y ∈[2,+∞),由=-+≤,得-=-,即=-∴反函数为=-,≥.y (x 1)2(x 0)x 1x 1f (x)1(x 2)21y y x ----222解 (3)y (x 0)0y 1y x f (x)(0x 1)1∵=≤,它的值域为<≤,由=得=-,∴反函数为=-<≤.11111122x x y y x x++--- 解 (4)y (1x 0)0y 1f (x)x 1(0x 1)y (0x 1)12由=-≤≤,得值域≤≤,反函数=-≤≤.由=-<≤,x x +-1得值域-≤<,反函数=-≤<,故所求反函数为=-≤≤-≤<.1y 0f (x)(1x 0)y x 1(0x 1) x (1x 0)1222-⎧⎨⎪⎩⎪x【例2】求出下列函数的反函数,并画出原函数和其反函数的图像.(1)y 1(2)y 3x 2(x 0)2=-=--≤x -1解 (1)∵已知函数的定义域是x ≥1,∴值域为y ≥-1,由=-,得反函数=++≥-.函数=-与它的反函数=++的图像如图.-所示.y 1y (x 1)1(x 1)y 1y (x 1)124122x x --11解 (2)由y =-3x 2-2(x ≤0)得值域y ≤-2, 反函数=-≤-.f (x)(x 2)1--+x 23它们的图像如图2.4-2所示.【例3】已知函数=≠-,≠.f(x)(x a a )3113x x a ++ (1)求它的反函数;(2)求使f -1(x)=f(x)的实数a 的值.解(1)y x a y(x a)3x 1(y 3)x 1ay y 3设=,∴≠-,∵+=+,-=-,这里≠,31x x a ++若=,则=这与已知≠矛盾,∴=,,即反函数=.y 3a a x f (x)113131313-----ay y ax x(2)f(x)f (x)x 1若=,即=对定义域内一切的值恒成立,-++--3113x x a ax x 令x =0,∴a =-3.或解 由f(x)=f -1(x),那么函数f(x)与f -1(x)的定义域和值域相同,定义域是{x|x ≠a ,x ∈R },值域y ∈{y|y ≠3,y ∈R },∴-a =3即a =-3.【例4】已知函数==中,、、、均不为零,y f(x)a b c d ax b cx d++ 试求a 、b 、c 、d 满足什么条件时,它的反函数仍是自身.解 f(x)bc ad 0f (x)x 1=+,∵常数函数没有反函数,∴-≠.又=,要使=,对定义域内一切值恒成立,a c bc ad c cx d dx b cx adx b cx a ax b cx d-+-+--+-++-()令x =0,得-a =d ,即a +d =0.事实上,当a +d =0时,必有f -1(x)=f(x),因此所求的条件是bc -ad ≠0,且a +d =0.【例5】设点M(1,2)既在函数f(x)=ax 2+b(x ≥0)的图像上,又在它的反函数图像上,(1)求f -1(x),(2)证明f -1(x)在其定义域内是减函数.解证(1)2a b 14a b a b f(x)x (x 0)(2)y x (x 0)f (x)(x )221由=+=+得=-=,∴=-+≥由=-+≥得反函数=≤.⎧⎨⎩⎧⎨⎪⎪⎩⎪⎪--1373137313737373x 设<≤,∴->-≥,∴>,即>,故在-∞,上是减函数.x x 73x 73x 0f (x )f (x )f (x)(]121211121737337312-----x x x【例6】解法一若函数=,求的值.先求函数=的反函数=,于是==--.f(x)f (2)()f(x)f (x)f (2)532x x x x x x-+-++-+----121212112212111 解法(二) 由函数y =f(x)与其反函数y =f -1(x)之间的一一对应关系,求的值,就是求=时对应的的值,∴令=,得=--,即=--.f (2)f(x)2x 2x 532f (2)53211---+x x 12【例7】已知∈,且≠,≠.设函数=∈且≠,证明=的图像关于直线=对称.a a 0a 1f(x)(x x )y f(x)y x R R x ax a --111证 y a 0a 1(ay 1)x y 1ay 10y a 1a 1由=,≠,≠,得-=-,如果-=,则=,∴=得=,这与已知≠矛盾,x ax aa x ax ----111111 ∴-≠,故=,∴=,即证得=的反函数就是它本身.ay 10x f (x)f(x)1y ay x ax x ax -------111111因为原函数的图像与其反函数的图像关于直线y =x 对称,∴函数y =f(x)的图像关于直线y =x 对称.。
反函数专题含答案学校:__________ 班级:__________ 姓名:__________ 考号:__________1. 把函数f(x)的图象向右平移一个单位长度,所得图象恰与函数y=e x的图象关于直线y=x对称,则f(x)=()A.ln(x−1)B.ln x−1C.ln(x+1)D.ln x+12. 指数函数y=a x(a>0, a≠1)的反函数图象过点(4, 2),则a=()A.3B.2C.9D.43. 已知函数y=f(x)的图象与函数y=2x+1(x>0)的图象关于直线y=x对称,则()A.f(x)=log2x−1(x>2)B.f(x)=log2x−1(x>0)C.f(x)=log2(x−1)(x>2)D.f(x)=log2(x−1)(x>0)4. 函数y=√x23−1(x≥−1)的反函数是()A.y=√(x+1)3(x≥−1)B.y=−√(x+1)3(x≥−1)C.y=√(x+1)3(x≥0)D.y=−√(x+1)3(x≥0)5. 若函数y=f(x)是函数y=2x的反函数,则f(2)的值是()A.4B.2C.1D.06. 函数y=(12)x2(x≥1)的反函数为()A.y=√log12x(0<x≤2) B.y=−√log12x(0<x≤12)C.y=√log12x(0<x≤12) D.y=−√log12x(0<x≤2)7. 函数y=log2(√x+4−2)(x>0)的反函数是()A.y=4x+2x+1(x>0)B.y=4x+2x+1(x∈R)C.y=4x+2x+2(x>0)D.y=4x+2x+2(x∈R)A.(−∞, 2]B.(−∞, −4]∪[2, +∞)C.[−2, +∞)D.(−∞, −2]∪[4, +∞)9. 已知函数y=f(x)与y=f−1(x)互为反函数,又y=f−1(x+1)与y=g(x)的图象关于直线y=x对称,若f(x)=log12(x2+2)(x>0),那么g(√6)等于()A.−4B.−3C.−2D.210. 已知函数f(x)=a x(a>0,a≠1)的反函数的图象经过点(√22,12).若函数g(x)的定义域为R,当x∈[−2,2]时,有g(x)=f(x),且函数g(x+2)为偶函数.则下列结论正确的是()A.g(π)<g(3)<g(√2)B.g(π)<g(√2)<g(3)C.g(√2)<g(3)<g(π)D.g(√2)<g(π)<g(3)11. 函数f(x)=xx+1(x>0)的反函数为f−1(x)=________.12. 函数y=log2(√x+4+2)(x>0)的反函数是________.13. f(x)=−√1−x(x≤1),则f−1(x)=________.14. 函数y=2x1+x(x∈(−1, +∞))图象与其反函数图象的交点为________.15. 已知函数f(x)=|1−12x4x|的反函数为f−1(x),则f−1(12)=________.16. 已知函数y=g(x)的图象与函数y=3x+1的图象关于直线y=x对称,则g(10)的值为________.17. 设f−1(x)为f(x)=3x−1+x−1,x∈[0, 1]的反函数,则y=f(x)+f−1(x)的最大值为________.18. 若函数y=2x+1x−a的图象关于直线y=x对称,则实数a的值为________.19. 若定义在R上的函数y=f(x+1)的反函数是y=f−1(x−1),且f(0)=1,则f(2006)=________.,函数y=g(x)的图象与y=f−1(x−1)的图象关于直线y= 20. 已知函数f(x)=1−2x1+xx对称,则g(x)=________.的反函数.21. 求函数y=2x2x+122. 设y=f(x)是函数y=a x−1(a>0, a≠1)的反函数,(1)试比较3f(x)与f(3x)的大小;(2)若在区间[1, 2]上的最大值比最小值大1,求实数a的值.的反函数.23. 求函数y=x−4x+424. 一次函数y=−x的图象与它的反函数的图象重合,试写出一个非一次函数的函数,使它的图象与其反函数的图象重合.25. 已知函数f(x)=3x,且f−1(18)=a+2,g(x)=3ax−4x(1)求a的值;(2)求g(x)的表达式;(3)当x∈[−1, 1]时,g(x)的值域并判断g(x)的单调性.26. 已知函数f(x)=3x−3−x,求它的反函数f−1(x).227. 已知函数f(x)=√a−3x的反函数为y=f−1(x)(1)求函数f(x)的反函数f−1(x)的解析式;(2)若y=f(x)的图象与直线y=x有交点,求实数a的取值范围;(3)判断方程f(x)=f −1(x)的实根的个数,并说明理由.28. 已知函数f(x)=log a (x +√1+x 2)(x ∈R ,a >0,a ≠1).(1)判断f(x)奇偶性;(2)若g(x)图象与曲线y =f(x)(x ≥34)关于y =x 对称,求g(x)的解析式及定义域;(3)若g(x)<5m −5−m 2对于任意的m ∈N ∗恒成立,求a 的取值范围.29. 求证:若奇函数f(x)存在反函数,则反函数必为奇函数.30. 若函数f(x)=a +1x−b 与g(x)=1+c 2x+1互为反函数,求实数a 、b 、c 的值.31. 求函数f(x)=√x 2+x(x ≤−1)的反函数.32. 求函数y ={−x +1x 2−1<x <00≤x <1的反函数.33. 求函数f(x)=√x +√1+x 23+√x −√1+x 23(x ∈R)的反函数.34. 已知函数f(x)=log a (a x −1)(a >1)且x >1,求使f(2x)=f −1(x)的x 的值.35. 若函数y =1−ax 1+ax (x ≠−1a , x ∈R)的图象关于直线y =x 对称,求a 的值.36. 已知函数f(x)=3x+1x+a (x ≠−a, a ≠13). (1)求f(x)的反函数f −1(x);(2)若函数f(x)的图象关于直线y =x 对称,求实数a 的值.(1)求f(x)的反函数图象上点(1, 0)处的切线方程;(2)证明:曲线y =f(x)与曲线y =12x 2+x +1有唯一公共点;(3)设a <b ,比较f(a)+f(b)2与f(b)−f(a)b−a 的大小,并说明理由.38. 已知函数f(x)的反函数是f −1(x),g(x)的反函数为g −1(x).(1)求证f (g(x))的反函数为g −1(f −1(x));(2)F(x)=f(−x),G(x)=f −1(−x),若F(x)是G(x)的反函数,求证:f(x)是奇函数.39. 已知函数f(x)=3x 的反函数经过点(18, a +2),设g(x)=3ax −4x 的定义域为区间[−1, 1],(1)求g(x)的解析式;(2)若方程g(x)=m 有解,求m 的取值范围;(3)对于任意的n ∈R ,试讨论方程g(|x|)+2|x|+1=n 的解的个数.40. 已知函数y =f(x)存在反函数,定义:若对给定的实数a(a ≠0),函数y =f(x +a)与y =f −1(x +a)互为反函数,则称y =f(x)满足“a 和性质”.(1)判断函数g(x)=x 2+1(x >0)是否满足“1和性质”,说明理由;(2)求所有满足“2和性质”的一次函数.参考答案与试题解析反函数专题含答案一、选择题(本题共计 10 小题,每题 3 分,共计30分)1.【答案】C【考点】反函数【解析】与函数y=e x的图象关于直线y=x对称的函数为y=ln x,只需把y=ln x向左平移一个单位长度即可.【解答】解:由题意可知与函数y=e x的图象关于直线y=x对称的函数为y=ln x,只需把y=ln x向左平移一个单位长度得到y=ln(x+1),∴f(x)=ln(x+1),故选:C2.【答案】B【考点】反函数【解析】根据反函数与原函数的定义域和值域的关系求解即可.【解答】指数函数y=a x(a>0, a≠1)的反函数图象过点(4, 2),根据反函数的值域是原函数的定义域,可知:指数函数图象过点(2, 4),可得,4=a2,解得:a=2;3.【答案】A【考点】反函数【解析】由题意可得,函数y=f(x)是函数y=2x+1(x>0)的反函数,求出函数y=2x+1(x> 0)的反函数,即可得到f(x)的解析式.【解答】解:由于函数y=f(x)的图象与函数y=2x+1(x>0)的图象关于直线y=x对称,故函数y=f(x)是函数y=2x+1(x>0)的反函数.由y=2x+1(x>0)可得x+1=log2y,x=log2y−1,y>2.故y=2x+1(x>0)的反函数为y=log2x−1 (x>2),故f(x)=log2x−1,(x>2).故选A.4.B【考点】反函数【解析】由条件求得y ≥−1,x =−√(y +1)3,把x 、y 互换,并注明反函数的定义域,即可求得反函数.【解答】解:∵ 函数y =√x 23−1(x ≥−1),y ≥−1,∴ x 2=(y +1)3,故x =−√(y +1)3,故反函数为y =−√(x +1)3(x ≥−1),故选B .5.【答案】C【考点】反函数【解析】令反函数的值 2x =2,可得x 的值,即为f(2)的值.【解答】解:根据函数与反函数的关系,令 2x =2,可得x =1,故f(2)=1,故选C .6.【答案】C【考点】反函数【解析】由y =(12)x 2(x ≥1),能导出x =√log 12y ,0<y ≤12,x ,y 互换,得到函数y =(12)x 2(x ≥1)的反函数为y =√log 12x ,0<x ≤12. 【解答】解:∵ y =(12)x 2(x ≥1),∴ x 2=log 12y ,0<y ≤12,x =√log 12y ,0<y ≤12,x ,y 互换,得到函数y =(12)x 2(x ≥1)的反函数为y =√log 12x ,0<x ≤12. 故选C .7.【答案】D【考点】【解析】根据已知中函数y=log2(√x+4−2)(x>0)的解析式及定义域,我们可以求出函数的值域,即反函数的定义域,进而将x表示成Y的函数,进而即可得到函数y=log2(√x+4−2)(x>0)的反函数.【解答】解:∵函数y=log2(√x+4−2)(x>0)则函数的值域为R又∵函数的解析式可化为:√x+4−2=2y即√x+4=2y+2即x+4=(2y+2)2即x=4y+2y+2,故函数y=log2(√x+4−2)(x>0)的反函数是y=4x+2x+2(x∈R)故选D8.【答案】D【考点】反函数【解析】函数f(x)=x2−bx+2在闭区间[−1, 2]上有反函数,只须函数f(x)=x2−bx+2在闭区间[−1, 2]上是单调函数⇔f′(x)≥0或f′(x)≤0在[−1, 2]恒成立,从而转化求函数g(x)=2x,在[−1, 2]上的最值问题解决即可.【解答】解:对函数求导可得,f′(x)=2x−b,函数f(x)=x2−bx+2在闭区间[−1, 2]上有反函数,只须函数f(x)=x2−bx+2在闭区间[−1, 2]上是单调函数即f′(x)=2x−b≥0或f′(x)=2x−b≤0在[−1, 2]恒成立即b≤2x或b≥2x在[−1, 2]上恒成立令g(x)=2x,则g(x)在[−1, 2]上的最小值为−2,最大值是g(2)=4∴a≤−2或a≥4故选D.9.【答案】A【考点】反函数【解析】求出函数f(x)的反函数,在反函数解析式中取x=x+1,然后由得到的解析式等于√6求解x的值.【解答】解:由f(x)=log12(x2+2)(x>0),得x=√(12)y−2,∴f(x)的反函数为f−1(x)=√(12)x−2(x<−1).又y=f−1(x+1)与y=g(x)的图象关于直线y=x对称,由√(12)x+1−2=√6,得x=−4.故g(√6)=−4.故选A.10.【答案】C【考点】反函数【解析】本题考查函数的奇偶性、反函数.【解答】解:因为函数f(x)的反函数的图象经过点(√22,12),则函数f(x)的图象经过点(12,√22),则由√22=a12,解得a=12,所以f(x)=(12)x,所以函数f(x)在定义域内为减函数.因为g(x+2)为偶函数,所以g(x+2)=g(2−x),所以g(3)=g(1+2)=g(2−1)= g(1),g(π)=g[(π−2)+2]=g(4−π).因为当x∈[−2,2]时,g(x)=f(x),所以g(x)在[−2,2]上单调递减,又4−π<1<√2,所以g(4−π)>g(1)>g(√2),即g(√2)<g(3)<g(π).故选C.二、填空题(本题共计 10 小题,每题 3 分,共计30分)11.【答案】x1−x,(x∈(0, 1))【考点】反函数【解析】由y=f(x)=xx+1(x>0),解得x=y1−y>0,解得0<y<1,即可得出.【解答】解:由y=f(x)=xx+1(x>0),解得x=y1−y>0,解得0<y<1,因此f(x)的反函数为f−1(x)=x1−x,(x∈(0, 1)).故答案为:x1−x,(x∈(0, 1)).12.【答案】y=22x−4⋅2x(x>2)【考点】反函数【解析】【解答】解:∵y=log2(√x+4+2)(x>0),∴y>2;√x+4+2=2y;则x=(2y−2)2−4=22y−4⋅2y(y>2);故答案为:y=22x−4⋅2x(x>2).13.【答案】1−x2,(x≤0)【考点】反函数【解析】由原函数的解析式解出自变量x的解析式,再把x和y交换位置,注明反函数的定义域(即原函数的值域).【解答】解:∵y=−√1−x(x≤1),∴x=1−y2,(y≤0)故反函数为f−1(x)=1−x2,(x≤0).故答案为:1−x2,(x≤0).14.【答案】(0, 0),(1, 1)【考点】反函数【解析】根据原函数和反函数关于y=x对称,解得原函数和y=x的交点即可.【解答】解:∵原函数和反函数关于y=x对称,∴联立{y=2x 1+xy=x,解的x=0或1,则当x=0时,y=0,当x=1时,y=1,故函数y=2x1+x(x∈(−1, +∞))图象与其反函数图象的交点为为(0, 0),(1, 1),故答案为(0, 0),(1, 1).15.【答案】log23【考点】反函数【解析】先根据二阶行列式的运算法则化简函数,然后欲求f−1(12)的值,只须从条件中函数式f(x)=12中反解出x,即得f−1(12)的值.解:f(x)=|1−12x4x|=1×4x−(−1)×2x=4x+2x,令f(x)=12,即4x+2x=12,即(2x−3)(2x+4)=0,解得:2x=3即x=log23,根据f(a)=b,则f−1(b)=a,可知f−1(12)=log23.故答案为:log23.16.【答案】2【考点】反函数【解析】利用互为反函数的性质:定义域与值域互换的性质即可得出.【解答】解:∵函数y=g(x)的图象与函数y=3x+1的图象关于直线y=x对称,∴10=3x+1,解得x=2.∴g(10)=2.故答案为2.17.【答案】2【考点】反函数【解析】f(x)=3x−1+x−1,x∈[0, 1],则f(x)在此区间上单调递增,可得f(x)∈[−23,1],利用互为反函数的性质可得:f−1(x)在x∈[−23,1]上单调递增,f−1(x)∈[0, 1].【解答】解:f(x)=3x−1+x−1,x∈[0, 1],则f(x)在此区间上单调递增,∴f(x)∈[−23,1],同理可得f−1(x)在x∈[−23,1]上单调递增,∴f−1(x)∈[0, 1].∴y=f(x)+f−1(x)的最大值为2.故答案为:2.18.【答案】2【考点】反函数【解析】一个函数关于直线y=x对称,则这个函数与其反函数是同一个函数.【解答】 解:由y =2x+1x−a得xy −ay =2x +1,即x =1+ay y−2,即ff −1(x)=1+ax x−2,所以有a =2. 故答案为:2 19.【答案】 2007 【考点】 反函数 【解析】由y =f −1(x −1),求出该函数的反函数,再由y =f −1(x −1)的反函数是y =f(x +1),得到f(x +1)=f(x)+1,结合已知f(0)=1可求答案. 【解答】解:由y =f −1(x −1),得x −1=f(y),即x =f(y)+1. ∴ 函数y =f −1(x −1)的反函数为y =f(x)+1. 又y =f −1(x −1)的反函数是y =f(x +1), ∴ f(x +1)=f(x)+1.∴ f(2006)=f(2005)+1=f(2004)+1+1=...=f(0)+1+1+...+1=f(0)+2006=2007. 故答案为:2007. 20. 【答案】 2−x1+x 【考点】 反函数 【解析】由已知中函数f(x)=1−2x 1+x,函数y =g(x)的图象与y =f −1(x −1)的图象关于直线y =x 对称,可得函数y =g(x)与y =f −1(x −1)互为反函数,根据互为反函数的图象的平移变换关系,可得函数y =g(x)的图象可由函数y =f(x)的图象向上平移一个单位得到,进而由函数图象的平移变换法则,可得答案. 【解答】解:∵ 函数y =g(x)的图象与y =f −1(x −1)的图象关于直线y =x 对称, ∴ 函数y =g(x)与y =f −1(x −1)互为反函数而y =f −1(x −1)的图象是把y =f −1(x)的图象向右平移一个单位 故函数y =g(x)的图象可由函数f(x)=1−2x 1+x的图象向上平移一个单位得到即y =g(x)=1−2x 1+x+1=2−x1+x故答案为:2−x1+x三、 解答题 (本题共计 20 小题 ,每题 10 分 ,共计200分 ) 21.【答案】解:函数y =2x 2x +1可得:2x =2x y +y .可得2x (1−y)=y , 2x =y1−y , 可得x =log 2y1−y ,函数y =2x2x +1的反函数为:y =log 2x1−x . 【考点】 反函数 【解析】直接利用反函数的对应求解反函数即可. 【解答】解:函数y =2x2x +1可得:2x =2x y +y . 可得2x (1−y)=y , 2x =y1−y , 可得x =log 2y1−y ,函数y =2x2x +1的反函数为:y =log 2x1−x . 22.【答案】解:由y =a x −1(a >0, a ≠1),得a x =1+y ,即x =log a (1+y), x ,y 互换得:y =log a (1+x),∴ f(x)=log a (1+x)(a >0, a ≠1).(1)3f(x)=3log a (1+x)=log a (1+x)3,f(3x)=log a (1+3x),∵ (1+x)3−(1+3x)=1+3x +3x 2+x 3−1−3x =3x 2+x 3=x 2(3+x)>0(x >−1), ∴ (1+x)3>1+3x .当a >1时,3f(x)>f(3x); 当0<a <1时,3f(x)<f(3x).(2)当a >1时,f(x)=log a (1+x)在区间[1, 2]上的最大值与最小值分别为log a 3,log a 2,由log a 3−log a 2=log a 32=1,解得a =32;当0<a <1时,f(x)=log a (1+x)在区间[1, 2]上的最大值与最小值分别为log a 2,log a 3,由log a 2−log a 3=1,解得:a =23.【考点】 反函数 【解析】(1)求出函数的反函数,得到3f(x)与f(3x),然后利用作差法比较真数的大小,然后利用对数函数的单调性得答案;(2)分类求出函数在区间[1, 2]上的最大值比最小值,由最大值比最小值大1求实数a 的值.【解答】解:由y =a x −1(a >0, a ≠1),得a x =1+y ,即x =log a (1+y), x ,y 互换得:y =log a (1+x),∴ f(x)=log a (1+x)(a >0, a ≠1).(1)3f(x)=3log a (1+x)=log a (1+x)3,f(3x)=log a (1+3x),∵ (1+x)3−(1+3x)=1+3x +3x 2+x 3−1−3x =3x 2+x 3=x 2(3+x)>0(x >−1), ∴ (1+x)3>1+3x .当a >1时,3f(x)>f(3x); 当0<a <1时,3f(x)<f(3x).(2)当a >1时,f(x)=log a (1+x)在区间[1, 2]上的最大值与最小值分别为log a 3,log a 2,由log a 3−log a 2=log a 32=1,解得a =32;当0<a <1时,f(x)=log a (1+x)在区间[1, 2]上的最大值与最小值分别为log a 2,log a 3,由log a 2−log a 3=1,解得:a =23. 23. 【答案】 解:由y =x−4x+4的得,xy +4y =x −4,解得x =4(1+y)1−y(y ≠1),所以y =4(1+x)1−x (x ≠1),则函数y =x−4x+4的反函数是y =4(1+x)1−x(x ≠1).【考点】 反函数 【解析】由已知的解析式求出x 的表达式,再把x 换成y 、y 换成x ,并注明反函数的定义域. 【解答】解:由y =x−4x+4的得,xy +4y =x −4,解得x =4(1+y)1−y(y ≠1),所以y =4(1+x)1−x (x ≠1),则函数y =x−4x+4的反函数是y =4(1+x)1−x(x ≠1).24.【答案】解:若函数f(x)的图象与其反函数的图象重合, 则函数f(x)自身关于y =x 对称,比如函数y =1x ,则由y =1x 得x =1y ,即函数y =1x 的反函数是y =1x . 【考点】反函数 【解析】根据反函数的定义进行寻找即可. 【解答】解:若函数f(x)的图象与其反函数的图象重合, 则函数f(x)自身关于y =x 对称,比如函数y =1x,则由y =1x得x =1y,即函数y =1x的反函数是y =1x.25.【答案】 解:(1)f −1(x)=log 3x ,log 318=a +2, ∴ a =log 32.(2)g(x)=(3a )x −4x =(33log2)x −4x =2x −4x . (3)令u =2x ,∵ −1≤x ≤1,则12≤u ≤2,g(x)=φ(u)=u −u 2=−(u −12)2+14,当u =12时,φ(u)max =14,当u =2时,φ(u)min =−2. ∴ g(x)的值域为[−2, 14],当−1≤x ≤1时,12≤u ≤2,φ(u)为减函数,而u =2x 为增函数, g(x)在[−1, 1]上为减函数.【考点】 反函数 【解析】(1)欲求a 的值,根据f −1(18)=a +2,只要即从原函数式中反解出x ,后再进行x ,y 互换,求得反函数的解析式即可.(2)由(1)求得的a 值直接代入g(x)=3ax −4x 欲即得g(x)的表达式;(3)令u =2x ,将g(x)的值域、单调性问题转化为二次函数u −u 2的值域、单调性解决即可.【解答】 解:(1)f −1(x)=log 3x ,log 318=a +2, ∴ a =log 32. (2)g(x)=(3a )x −4x =(33log 2)x −4x =2x −4x.(3)令u =2x ,∵ −1≤x ≤1,则12≤u ≤2, g(x)=φ(u)=u −u 2=−(u −12)2+14,当u =12时,φ(u)max =14,当u =2时,φ(u)min =−2.∴ g(x)的值域为[−2, 14],当−1≤x ≤1时,12≤u ≤2,φ(u)为减函数,而u =2x 为增函数, g(x)在[−1, 1]上为减函数. 26. 【答案】 解:令y =3x −3−x2,则3x −3−x −2y =0,∴ (3x )2−2y3x −1=0, ∴ 3x =2y+√4y 2+42=y +√y 2+1,∴ x =log 3(y +√y 2+1).∴ f −1(x)=log 3(x +√x 2+1). 【考点】 反函数 【解析】 令y =3x −3−x2,将式子变形用y 表示出x ,然后互换变量符号得出.【解答】 解:令y =3x −3−x2,则3x −3−x −2y =0,∴ (3x )2−2y3x −1=0, ∴ 3x =2y+√4y 2+42=y +√y 2+1,∴ x =log 3(y +√y 2+1).∴ f −1(x)=log 3(x +√x 2+1). 27. 【答案】解:(1)由y =√a −3x ,得:x =a−y 23(y ≥0),所以原函数的反函数为f −1(x)=a−x 23(x ≥0);(2)由y =f(x)=√a −3x ,得:y 2=−3x +a =−3(x −a3)(y ≥0),其图象是把函数y 2=−3x(y ≥0)的图象向左(a >0)或向右(a <0)平移|a3|个单位得到的,如图,要使y =f(x)的图象与直线y =x 有交点,则a ≥0;当a<0时,函数y=f(x)与其反函数的图象无交点,所以方程f(x)=f−1(x)无实根;当a≥0时,函数y=f(x)与其反函数的图象仅有一个交点,所以方程f(x)=f−1(x)有一个实根.【考点】反函数根的存在性及根的个数判断【解析】(1)把原函数两边平方后解出x,然后把x和y互换,注意反函数的定义域;(2)作出函数y=f(x)的图象,然后数形结合分析可得答案;(3)作出函数y=f(x)与其反函数y=f−1(x)的图象,由图可以直观看出方程f(x)= f−1(x)的实根的个数.【解答】解:(1)由y=√a−3x,得:x=a−y 23(y≥0),所以原函数的反函数为f−1(x)=a−x23(x≥0);(2)由y=f(x)=√a−3x,得:y2=−3x+a=−3(x−a3)(y≥0),其图象是把函数y2=−3x(y≥0)的图象向左(a>0)或向右(a<0)平移|a3|个单位得到的,如图,要使y=f(x)的图象与直线y=x有交点,则a≥0;当a<0时,函数y=f(x)与其反函数的图象无交点,所以方程f(x)=f−1(x)无实根;当a≥0时,函数y=f(x)与其反函数的图象仅有一个交点,所以方程f(x)=f−1(x)有一个实根.28.【答案】解:(1)∵f(x)=loga(x+√1+x2),∴f(−x)=loga [−x+√1+(−x)2]=loga(−x+√1+x2),可得f(x)+f(−x)=loga [(x+√1+x2)(−x+√1+x2)]=loga (1+x2−x2)=loga1=0,∴f(−x)=−f(x).∵f(x)的定义域为R,∴函数f(x)是奇函数.(2)∵f(x)=loga(x+√1+x2),g(x)图象与曲线y=f(x)关于y=x对称,∴函数y=g(x)与y=f(x)互为反函数,令x=loga(y+√1+y2),得y+√1+y2=a x,得(a x−y)2=1+y2,∴2ya x=a2x−1,得y=a2x−12a x,因此g(x)的解析式为g(x)=12(a x−a−x).∵f(x)的定义域为{x|x≥34},∴解不等式12(a x−a−x)≥34,得a x≥2,当a>1时,g(x)的定义域为[loga2, +∞);当0<a<1时,g(x)的定义域为(−∞,log a2].(3)由(2)得g(x)=12(a x−a−x),当0<a<1时,loga2<0,此时定义域中无正整数,不满足条件;当a>1时,需所有正整数在定义域中,故loga2≤1,得a≥2.∵g(x)=12(a x−a−x)在其定义域内是增函数,∴由不等式g(x)<5m−5−m2=g(5),得a<5,所求a的取值范围是2≤a<5.【考点】函数奇偶性的判断对数函数图象与性质的综合应用函数的定义域及其求法反函数不等式恒成立问题【解析】(1)根据对数的运算性质,化简得f(x)+f(−x)=0,可得f(−x)=−f(x),可得函数f(x)是奇函数;(2)由题意,函数y=g(x)与y=f(x)互为反函数,将f(x)的x、y互换,解出用x表示y的式子,即可得到g(x)的解析式.再结合a的范围加以讨论,即可得到函数g(x)的定义域;(3)根据a的范围加以讨论,并结合函数g(x)的单调性,建立关于a的不等式,解之即可得到实数a的取值范围.【解答】解:(1)∵f(x)=loga(x+√1+x2),∴f(−x)=loga [−x+√1+(−x)2]=loga(−x+√1+x2),可得f(x)+f(−x)=loga [(x+√1+x2)(−x+√1+x2)]=loga (1+x2−x2)=loga1=0,∴f(−x)=−f(x).∵f(x)的定义域为R,∴函数f(x)是奇函数.(2)∵f(x)=loga(x+√1+x2),g(x)图象与曲线y=f(x)关于y=x对称,∴函数y=g(x)与y=f(x)互为反函数,令x=loga(y+√1+y2),得y+√1+y2=a x,得(a x−y)2=1+y2,∴2ya x=a2x−1,得y=a2x−12a x,因此g(x)的解析式为g(x)=12(a x−a−x).∵f(x)的定义域为{x|x≥34},∴解不等式12(a x−a−x)≥34,得a x≥2,当a>1时,g(x)的定义域为[loga2, +∞);当0<a<1时,g(x)的定义域为(−∞,log a2].(3)由(2)得g(x)=12(a x−a−x),当0<a<1时,loga2<0,此时定义域中无正整数,不满足条件;当a>1时,需所有正整数在定义域中,故loga2≤1,得a≥2.∵g(x)=12(a x−a−x)在其定义域内是增函数,∴由不等式g(x)<5m−5−m2=g(5),得a<5,所求a的取值范围是2≤a<5.29.【答案】解:设奇函数f(x)的反函数为f−1(x),∵f(x)是奇函数,∴f(x)的值域关于原点对称,即f−1(x)的定义域关于原点对称.假设f(x)=y,则f(−x)=−y.∴f−1(y)=x,f−1(−y)=−x.∴f−1(−y)=−f−1(y),即f−1(−x)=−f−1(x)∴f−1(x)是奇函数.【考点】反函数【解析】根据奇函数的性质得出f−1(−x)和f−1(x)的关系,利用函数奇偶性的定义得出结论.【解答】解:设奇函数f(x)的反函数为f−1(x),∵f(x)是奇函数,∴f(x)的值域关于原点对称,即f−1(x)的定义域关于原点对称.假设f(x)=y,则f(−x)=−y.∴f−1(y)=x,f−1(−y)=−x.∴f−1(−y)=−f−1(y),即f−1(−x)=−f−1(x)∴f−1(x)是奇函数.30.【答案】解:∵y=a+1x−b,∴x=b+1y−a,∴f(x)=a+1x−b 的反函数为b+1x−a,∵f(x)与g(x)互为反函数,∴b+1x−a =1+c2x+1=1+12cx+12∴b=1,c=2,a=−12.【考点】反函数【解析】先求出f(x)的反函数,再根据反函数的定义得到一个等式相等,对应的系数相等即可求出实数a 、b 、c 的值 【解答】解:∵ y =a +1x−b , ∴ x =b +1y−a,∴ f(x)=a +1x−b 的反函数为b +1x−a , ∵ f(x)与g(x)互为反函数, ∴ b +1x−a =1+c2x+1=1+12c x+12∴ b =1,c =2,a =−12. 31. 【答案】解:由y =√x 2+x(x ≤−1) 得y 2=(x +12)2−14(x ≤−1), ∴ x +12=−√y 2+14(y ≥0),∴ 所求函数的反函数为y =−12−√x 2+14(x ≥0). 【考点】 反函数 【解析】欲求原函数f(x)=√x 2+x(x ≤−1)的反函数,即从原函数式中反解出x ,后再进行x ,y 互换,即得反函数的解析式. 【解答】解:由y =√x 2+x(x ≤−1) 得y 2=(x +12)2−14(x ≤−1),∴ x +12=−√y 2+14(y ≥0),∴ 所求函数的反函数为y =−12−√x 2+14(x ≥0). 32.【答案】解:当−1<x <0时,y =−x +1⇒x =−y +1,∴ y =−x +1的反函数为y =−x +1,(1<x <2). 当0≤x <1时, y =x 2⇒x =√y ,∴ y =x 2的反函数为y =√x(0≤x <1).故函数y ={−x +1x 2−1<x <00≤x <1的反函数为y ={−x +1√x (1<x <2)(0≤x <1).【考点】反函数 【解析】当−1<x <0时,y =−x +1⇒x =−y +1,所以y =−x +1的反函数为y =−x +1 (1<x <2);当0≤x <1时,y =x 2⇒x =√y ,所以y =x 2的反函数为y =√x(0≤x <1). 【解答】解:当−1<x <0时,y =−x +1⇒x =−y +1,∴ y =−x +1的反函数为y =−x +1,(1<x <2). 当0≤x <1时, y =x 2⇒x =√y ,∴ y =x 2的反函数为y =√x(0≤x <1).故函数y ={−x +1x 2−1<x <00≤x <1的反函数为y ={−x +1√x (1<x <2)(0≤x <1).33. 【答案】解:∵ y =f(x)=√x +√1+x 23√x −√1+x 23(x ∈R),∴ y 3=(√x +√1+x 23√x −√1+x 23)3=(x +√1+x 2)+3(√x +√1+x 23√x −√1+x 23)(√x +√1+x 23√x −√1+x 23)+(x −√1+x 2)=2x −3(√x +√1+x 23+√x −√1+x 23) =2x −3y , ∴ x =12(y 3+3y),x ,y 互换,得函数f(x)=√x +√1+x 23+√x −√1+x 23(x ∈R)的反函数为:y =12(x 3+3x).x ∈R . 【考点】 反函数 【解析】由已知条件,利用二项式定理求出y 3=2x −3y ,由此能求出函数f(x)=√x +√1+x 23+√x −√1+x 23(x ∈R)的反函数.【解答】解:∵ y =f(x)=√x +√1+x 23√x −√1+x 23(x ∈R),∴ y 3=(√x +√1+x 23√x −√1+x 23)3=(x +√1+x 2)+3(√x +√1+x 23√x −√1+x 23)(√x +√1+x 23√x −√1+x 23)+(x −√1+x 2)=2x −3(√x +√1+x 23+√x −√1+x 23) =2x −3y ,∴ x =12(y 3+3y),x ,y 互换,得函数f(x)=√x +√1+x 23+√x −√1+x 23(x ∈R)的反函数为:y =12(x 3+3x).x ∈R .34.【答案】解:∵ y =f(x)=log a (a x −1),∴ a x −1=a y ,解得x =log a (a y +1), ∴ 反函数f −1(x)=log a (a x +1),故f(2x)=f −1(x)可化为log a (a 2x −1)=log a (a x +1), 可得a 2x −1=a x −1,即(a x +1)(a x −1)=a x +1, ∵ a x +1>1,∴ a x −1=1,即x =log a 2,【考点】 反函数 【解析】求反函数可得f −1(x)=log a (a x +1),可得log a (a 2x −1)=log a (a x +1),解方程可得. 【解答】解:∵ y =f(x)=log a (a x −1),∴ a x −1=a y ,解得x =log a (a y +1), ∴ 反函数f −1(x)=log a (a x +1),故f(2x)=f −1(x)可化为log a (a 2x −1)=log a (a x +1), 可得a 2x −1=a x −1,即(a x +1)(a x −1)=a x +1, ∵ a x +1>1,∴ a x −1=1,即x =log a 2, 35.【答案】 a =1. 【考点】 反函数 【解析】求出原函数的反函数,根据函数图象本身关于直线y =x 对称知,原函数与它的反函数相同,从而比较系数求得a 值. 【解答】解:由y =1−ax1+ax ,解得x =1−yay+a . 故函数y =1−ax 1+ax 的反函数为y =1−x ax+a.∵ 函数y =1−ax1+ax 的图象关于直线y =x 对称, ∴ 函数y =1−ax1+ax 与它的反函数y =1−xax+a 相同. 由1−ax1+ax =1−xax+a 恒成立, 得a =1. 36.【答案】解:(1)设y=3x+1x+a,则y(x+a)=3x+1,整理得(y−3)x=1−ay.若y=3,则a=13,与已知矛盾,∴y≠3.∴x=1−ayy−3.故所求反函数为f−1(x)=1−axx−3(x≠3).(2)依题意得f−−1(x)=f(x),则3x+1x+a =1−axx−3,整理得3x2−8x−3=−ax2+(1−a2)x+a,比较两边对应项的系数,有{−a=3a2−1=8a=−3故a=−3.【考点】反函数【解析】(1)由y=3x+1x+a,得y(x+a)=3x+1,(y−3)x=1−ay.由此能求出所求反函数.(2)依题意得f−−1(x)=f(x),则3x+1x+a =1−axx−3,由此能求出a.【解答】解:(1)设y=3x+1x+a,则y(x+a)=3x+1,整理得(y−3)x=1−ay.若y=3,则a=13,与已知矛盾,∴y≠3.∴x=1−ayy−3.故所求反函数为f−1(x)=1−axx−3(x≠3).(2)依题意得f−−1(x)=f(x),则3x+1x+a =1−axx−3,整理得3x2−8x−3=−ax2+(1−a2)x+a,比较两边对应项的系数,有{−a =3a 2−1=8a =−3故a =−3. 37.【答案】 解:(1)由于f(x)=e x 的反函数为g(x)=ln x(x >0),则点(1, 0)处的切线斜率为k =g′(1)=1,故点(1, 0)处的切线方程为y −0=1×(x −1),即x −y −1=0.(2)证明:设ℎ(x)=f(x)−(12x 2+x +1)=e x −12x 2−x −1,则ℎ′(x)=e x −x −1,∵ ℎ″(x)=e x −1,故当x <0时,ℎ″(x)<0,ℎ′(x)为减函数. 当x >0时,ℎ″(x)>0,ℎ′(x)为增函数.故当x =0时,ℎ′(x)取得最小值为0,故有ℎ′(x)≥0恒成立, 故函数ℎ(x)在R 上是增函数,故函数ℎ(x)最多有一个零点. 再根据ℎ(0)=0,可得函数ℎ(x)有唯一零点. (3)设a <b ,∵ f(a)+f(b)2−f(b)−f(a)b−a =(2+b−a)f(a)+(b−2−a)f(b)2(b−a)=(2+b−a)⋅e a +(b−2−a)⋅e b2(b−a)=(b−a+2)+(b−a−2)⋅e b−a2(b−a)⋅e a=e a2(b−a)•[(b −a +2)+(b −a −2)⋅e b−a ].由于e a2(b−a)>0,故只需考虑(b −a +2)+(b −a −2)⋅e b−a 的符号即可. 令g(x)=x +2+(x −2)e x (x >0),则g′(x)=1+(x −1)e x .在(0, +∞)上,g ″(x)=xe x >0,∴ g′(x)在(0, +∞)上单调递增,且g′(0)=0, ∴ g′(x)>0,∴ g(x)在(0, +∞)上单调递增,而g(0)=0,∴ 在(0, +∞)上,g(x)>0.∵ 当x >0时,g(x)=x +2+(x −2)⋅e x >0,且a <b ,∴(b−2+a)+(b−2+a)e b−a ⋅e a2(b−a)>0, 即f(a)+f(b)2>f(b)−f(a)b−a.【考点】 反函数 【解析】(I )先求出其反函数,利用导数得出切线的斜率即可.(II)令ℎ(x)=f(x)−(12x 2+x +1)=e x −12x 2−x −1,利用导数研究函数ℎ(x)的单调性即可得出. (III)利用作差法得f(a)+f(b)2−f(b)−f(a)b−a=e a2(b−a)•[(b −a +2)+(b −a −2)⋅e b−a ].构造函数,令g(x)=x +2+(x −2)e x (x >0),利用导数的符号研究其单调性,可得g(x)的符号,从而得到f(a)+f(b)2与f(b)−f(a)b−a的大小关系.【解答】 解:(1)由于f(x)=e x 的反函数为g(x)=ln x(x >0),则点(1, 0)处的切线斜率为k=g′(1)=1,故点(1, 0)处的切线方程为y−0=1×(x−1),即x−y−1=0.(2)证明:设ℎ(x)=f(x)−(12x2+x+1)=e x−12x2−x−1,则ℎ′(x)=e x−x−1,∵ℎ″(x)=e x−1,故当x<0时,ℎ″(x)<0,ℎ′(x)为减函数.当x>0时,ℎ″(x)>0,ℎ′(x)为增函数.故当x=0时,ℎ′(x)取得最小值为0,故有ℎ′(x)≥0恒成立,故函数ℎ(x)在R上是增函数,故函数ℎ(x)最多有一个零点.再根据ℎ(0)=0,可得函数ℎ(x)有唯一零点.(3)设a<b,∵f(a)+f(b)2−f(b)−f(a)b−a=(2+b−a)f(a)+(b−2−a)f(b)2(b−a)=(2+b−a)⋅e a+(b−2−a)⋅e b2(b−a)=(b−a+2)+(b−a−2)⋅e b−a2(b−a)⋅e a=e a2(b−a)•[(b−a+2)+(b−a−2)⋅e b−a].由于e a2(b−a)>0,故只需考虑(b−a+2)+(b−a−2)⋅e b−a的符号即可.令g(x)=x+2+(x−2)e x(x>0),则g′(x)=1+(x−1)e x.在(0, +∞)上,g″(x)=xe x>0,∴g′(x)在(0, +∞)上单调递增,且g′(0)=0,∴g′(x)>0,∴g(x)在(0, +∞)上单调递增,而g(0)=0,∴在(0, +∞)上,g(x)>0.∵当x>0时,g(x)=x+2+(x−2)⋅e x>0,且a<b,∴(b−2+a)+(b−2+a)e b−a⋅e a2(b−a)>0,即f(a)+f(b)2>f(b)−f(a)b−a.38.【答案】证明:(1)∵函数f(x)的反函数是f−1(x),g(x)的反函数为g−1(x).令t=g(x),则y=f(g(x))=f(t),则g−1(t)=x.f−1(y)=t,即g−1(f−1(y))=x,即f(g(x))的反函数为g−1(f−1(x));(2)∵F(x)=f(−x),…①故函数F(x)与f(x)的图象关于y轴对称,又∵G(x)=f−1(−x),∴G(x)与f−1(x)的图象关于y轴对称,故G(x)的图象由f(x)的图象逆时针旋转90∘得到,又∵F(x)是G(x)的反函数,故F(x)与G(x)的图象关于y=x轴对称,故F(x)与f(x)的图象关于x轴对称,即F(x)=−f(x),…②由①②得:f(−x)=−f(x),故f(x)是奇函数【考点】反函数【解析】(1)令t =g(x),则y =f (g(x))=f(t),结合函数f(x)的反函数是f −1(x),g(x)的反函数为g −1(x),可得g −1(f −1(y))=x ,从而得到f (g(x))的反函数为g −1(f −1(x));(2)由已知中G(x)=f −1(−x),若F(x)是G(x)的反函数,可得F(x)与f(x)的图象关于x 轴对称,即F(x)=−f(x),结合F(x)=f(−x),可得f(−x)=−f(x),故f(x)是奇函数.【解答】 证明:(1)∵ 函数f(x)的反函数是f −1(x),g(x)的反函数为g −1(x). 令t =g(x),则y =f (g(x))=f(t), 则g −1(t)=x .f −1(y)=t , 即g −1(f −1(y))=x ,即f (g(x))的反函数为g −1(f −1(x)); (2)∵ F(x)=f(−x),…①故函数F(x)与f(x)的图象关于y 轴对称, 又∵ G(x)=f −1(−x),∴ G(x)与f −1(x)的图象关于y 轴对称,故G(x)的图象由f(x)的图象逆时针旋转90∘得到, 又∵ F(x)是G(x)的反函数,故F(x)与G(x)的图象关于y =x 轴对称, 故F(x)与f(x)的图象关于x 轴对称, 即F(x)=−f(x),…②由①②得:f(−x)=−f(x), 故f(x)是奇函数 39.【答案】 解:(1)∵ 函数f(x)=3x 的反函数经过点(18, a +2), ∴ 3a+2=18,解得:a =log 32;∴ g(x)=3ax −4x =3x log 32−4x =2x −4x ,x ∈[−1, 1];(2)∵ g(x)=2x −4x =−(2x −12)2+14, 又x ∈[−1, 1],∴ 12≤2x ≤2,0≤2x −12≤32,∴ 0≤(2x −12)2≤94, ∴ g(x)∈[−2, 14],∵ 方程g(x)=m 有解,∴ m 的取值范围为[−2, 14];(3)由ℎ(x)=g(|x|)+2|x|+1=2|x|−4|x|+2|x|+1=3⋅2|x|−4|x|可知,ℎ(x)为偶函数,在[0, 1]上,ℎ(x)=3⋅2x −4x ,令2x =t(1≤t ≤2),则y =−t 2+3t =−(t −32)2+94(1≤t ≤2),显然,y =−t 2+3t =−(t −32)2+94在区间[1, 32]上单调递增,在区间[32, 2]上单调递减, ∴ t =32(x =log 23−1)时,y max =94;又t =1(即x =0)时,y =2,当t =2(即x =1)时,y =2, ∴ t =1或t =2(即x =0或x =1)时,y min =2.又n ∈R ,∴ 当n >94或n <2时,方程g(|x|)+2|x|+1=n 的解的个数为0个; 当n =94时,方程g(|x|)+2|x|+1=n 的解的个数为2个; 当n =2时,方程g(|x|)+2|x|+1=n 的解的个数为3个; 当2<n <94时,方程g(|x|)+2|x|+1=n 的解的个数为4个;【考点】 反函数 【解析】(1)利用函数与其反函数之间的关系可得a =log 32,从而可求得g(x)的解析式; (2)由g(x)=2x −4x =−(2x −12)2+14,x ∈[−1, 1],可求得g(x)∈[−2, 14],方程g(x)=m 有解,从而可得m 的取值范围为[−2, 14];(3)由ℎ(x)=g(|x|)+2|x|+1=2|x|−4|x|+2|x|+1=3⋅2|x|−4|x|可知,ℎ(x)为偶函数,令2x =t ,当x ∈[0, 1]时,1≤t ≤2,则y =−t 2+3t =−(t −32)2+94(1≤t ≤2),利用二次函数的单调性可求得t =32(即x =log 23−1)时,y max =94,t =1或t =2(即x =0或x =1)时,y min =2,于是可得答案. 【解答】 解:(1)∵ 函数f(x)=3x 的反函数经过点(18, a +2), ∴ 3a+2=18,解得:a =log 32;∴ g(x)=3ax −4x =3x log 32−4x =2x −4x ,x ∈[−1, 1];(2)∵ g(x)=2x −4x =−(2x −12)2+14, 又x ∈[−1, 1],∴ 12≤2x ≤2,0≤2x −12≤32,∴ 0≤(2x −12)2≤94,∴ g(x)∈[−2, 14],∵ 方程g(x)=m 有解,∴ m 的取值范围为[−2, 14];(3)由ℎ(x)=g(|x|)+2|x|+1=2|x|−4|x|+2|x|+1=3⋅2|x|−4|x|可知,ℎ(x)为偶函数,在[0, 1]上,ℎ(x)=3⋅2x −4x ,令2x =t(1≤t ≤2),则y =−t 2+3t =−(t −32)2+94(1≤t ≤2),显然,y =−t 2+3t =−(t −32)2+94在区间[1, 32]上单调递增,在区间[32, 2]上单调递减, ∴ t =32(x =log 23−1)时,y max =94;又t =1(即x =0)时,y =2,当t =2(即x =1)时,y =2, ∴ t =1或t =2(即x =0或x =1)时,y min =2.又n ∈R ,∴ 当n >94或n <2时,方程g(|x|)+2|x|+1=n 的解的个数为0个;当n =94时,方程g(|x|)+2|x|+1=n 的解的个数为2个; 当n =2时,方程g(|x|)+2|x|+1=n 的解的个数为3个; 当2<n <94时,方程g(|x|)+2|x|+1=n 的解的个数为4个;40.【答案】 解:(1)不是;∵ g(x)=x 2+1(x >0)∴ y =g(x +1)=(x +1)2+1(x >0)∴ x +1=√y −1 ∴ x =√y −1−1∴ y =√x −1−1即g ′(x +1)=√x −1−1(x >2)① ∵ g ′(x)=√x −1,,∴ g ′(x +1)=√x 与①不符故函数g(x)=x 2+1(x >0)不满足“1和性质” (2)设所有满足“2和性质”的一次函数为f(x)=kx +b(k ≠0) 则f ′(x)=x−b k∴f′(x+2)=x+2−bk∵f(x+2)=k(x+2)+b∴f′(x+2)=x−2k−bk∴x+2−bk =x−2k−bk∴k=−1∴f(x)=−x+b【考点】反函数【解析】(1)根据y=f(x)满足“a和性质”的定义可先根据求反函数的步骤求出g′(x)=√x−1进而求出g′(x+1)=√x①;再根据g(x)=x2+1(x>0)求出g(x+1)=(x+1)2+ 1(x>0)进而求出g(x+1)的反函数即g′(x+1)②然后比较①②是否相同进而可根据定义得出结论.(2)设所有满足“2和性质”的一次函数为f(x)=kx+b(k≠0)然后求出f′(x)进而求出f′(x+2);再根据f(x+2)求出f′(x+2)然后两者相等求出k,b所满足的条件.【解答】解:(1)不是;∵g(x)=x2+1(x>0)∴y=g(x+1)=(x+1)2+1(x>0)∴x+1=√y−1∴x=√y−1−1∴y=√x−1−1即g′(x+1)=√x−1−1(x>2)①∵g′(x)=√x−1,,∴g′(x+1)=√x与①不符故函数g(x)=x2+1(x>0)不满足“1和性质”(2)设所有满足“2和性质”的一次函数为f(x)=kx+b(k≠0)则f′(x)=x−bk∴f′(x+2)=x+2−bk∵f(x+2)=k(x+2)+b∴f′(x+2)=x−2k−bk∴x+2−bk =x−2k−bk∴k=−1∴f(x)=−x+b。
2.4 反函數·例題解析【例1】求下列函數的反函數:(1)y (x )(2)y x 2x 3x (0]2=≠-.=-+,∈-∞,.352112x x -+(3)y (x 0)(4)y x +1(1x 0) (0x 1)=≤.=-≤≤-<≤112x x +⎧⎨⎪⎩⎪ 解 (1)y (x )y y (2y 3)x y 5x y (x )∵=≠-,∴≠,由=得-=--,∴=所求反函数为=≠.35211232352153253232x x x x y y y y -+-++-+- 解 (2)∵y =(x -1)2+2,x ∈(-∞,0]其值域為y ∈[2,+∞), 由=-+≤,得-=-,即=-∴反函数为=-,≥.y (x 1)2(x 0)x 1x 1f (x)1(x 2)21y y x ----222解 (3)y (x 0)0y 1y x f (x)(0x 1)1∵=≤,它的值域为<≤,由=得=-,∴反函数为=-<≤.11111122x x y y x x++--- 解 (4)y (1x 0)0y 1f (x)x 1(0x 1)y (0x 1)12由=-≤≤,得值域≤≤,反函数=-≤≤.由=-<≤,x x +-1得值域-≤<,反函数=-≤<,故所求反函数为=-≤≤-≤<.1y 0f (x)(1x 0)y x 1(0x 1) x (1x 0)1222-⎧⎨⎪⎩⎪x【例2】求出下列函數的反函數,並畫出原函數和其反函數的圖像.(1)y 1(2)y 3x 2(x 0)2=-=--≤x -1解 (1)∵已知函數的定義域是x ≥1,∴值域為y ≥-1,由=-,得反函数=++≥-.函数=-与它的反函数=++的图像如图.-所示.y 1y (x 1)1(x 1)y 1y (x 1)124122x x --11解 (2)由y =-3x 2-2(x ≤0)得值域y ≤-2, 反函数=-≤-.f (x)(x 2)1--+x 23它們的圖像如圖2.4-2所示.【例3】已知函数=≠-,≠.f(x)(x a a )3113x x a ++ (1)求它的反函數;(2)求使f -1(x)=f(x)的實數a 的值.解(1)y x a y(x a)3x 1(y 3)x 1ay y 3设=,∴≠-,∵+=+,-=-,这里≠,31x x a ++若=,则=这与已知≠矛盾,∴=,,即反函数=.y 3a a x f (x)113131313-----ay y ax x (2)f(x)f (x)x 1若=,即=对定义域内一切的值恒成立,-++--3113x x a ax x 令x =0,∴a =-3.或解 由f(x)=f -1(x),那麼函數f(x)與f -1(x)的定義域和值域相同,定義域是{x|x ≠a ,x ∈R },值域y ∈{y|y ≠3,y ∈R },∴-a =3即a =-3.【例4】已知函数==中,、、、均不为零,y f(x)a b c d ax b cx d++ 試求a 、b 、c 、d 滿足什麼條件時,它的反函數仍是自身.解 f(x)bc ad 0f (x)x 1=+,∵常数函数没有反函数,∴-≠.又=,要使=,对定义域内一切值恒成立,a c bc ad c cx d dx b cx adx b cx a ax b cx d-+-+--+-++-()令x =0,得-a =d ,即a +d =0.事實上,當a +d =0時,必有f -1(x)=f(x),因此所求的條件是bc -ad ≠0,且a +d =0.【例5】設點M(1,2)既在函數f(x)=ax 2+b(x ≥0)的圖像上,又在它的反函數圖像上,(1)求f -1(x),(2)證明f -1(x)在其定義域內是減函數.解证(1)2a b 14a b a b f(x)x (x 0)(2)y x (x 0)f (x)(x )221由=+=+得=-=,∴=-+≥由=-+≥得反函数=≤.⎧⎨⎩⎧⎨⎪⎪⎩⎪⎪--1373137313737373x 设<≤,∴->-≥,∴>,即>,故在-∞,上是减函数.x x 73x 73x 0f (x )f (x )f (x)(]121211121737337312-----x x x【例6】解法一若函数=,求的值.先求函数=的反函数=,于是==--.f(x)f (2)()f(x)f (x)f (2)532x x x x x x-+-++-+----121212112212111解法(二) 由函數y =f(x)與其反函數y =f -1(x)之間的一一對應關 系,求的值,就是求=时对应的的值,∴令=,得=--,即=--.f (2)f(x)2x 2x 532f (2)53211---+x x 12 【例7】已知∈,且≠,≠.设函数=∈且≠,证明=的图像关于直线=对称.a a 0a 1f(x)(x x )y f(x)y x R R x ax a --111证 y a 0a 1(ay 1)x y 1ay 10y a 1a 1由=,≠,≠,得-=-,如果-=,则=,∴=得=,这与已知≠矛盾,x ax aa x ax ----111111 ∴-≠,故=,∴=,即证得=的反函数就是它本身.ay 10x f (x)f(x)1y ay x ax x ax -------111111因為原函數的圖像與其反函數的圖像關於直線y =x 對稱, ∴函數y =f(x)的圖像關於直線y =x 對稱.。
1.设函数y =f(x)的反函数y =f -1(x),若f(x)=2x ,则f -1(21)的值为( ) A.2 B.1 C.21 D.-1 解析:令f(x)=2x =21,则x =-1,故f -1(21)=-1,故选D. 答案:D2.若函数y =f(x-1)的图象与函数1ln +=x y 的图象关于直线y =x 对称,则f(x)等于…( )A.e 2x-1B.e 2xC.e 2x+1D.e 2x+2 解析:由函数y =f(x-1)的图象与函数1ln+=x y 的图象关于直线y =x 对称,可知y =f(x-1)与1ln +=x y 互为反函数,有1ln +=x y ⇒1ln -=y x ⇒1-=y e x ⇒x =e 2y-2,所以y =e 2x-2⇒y =f(x-1)=e 2x-2.故f(x)=e 2x .答案:B3.已知函数f(x)=2x+3,f -1(x)是f(x)的反函数,若mn =16(m,n ∈R +),则f -1(m)+f -1(n)的值为( )A.-2B.1C.4D.10 解析:设y =2x+3,则有x+3=log 2y,可得f -1(x)=log 2x-3.于是f -1(m)+f -1(n)=log 2m+log 2n-6=log 2mn-6=-2.答案:A4.函数⎩⎨⎧<-≥=0,,0,22x x x x y 的反函数是( ) A.⎪⎩⎪⎨⎧<-≥=0,0,2x x x x y B.⎩⎨⎧<-≥=0,0,2x x x x y C.⎪⎩⎪⎨⎧<--≥=0,0,2x x x x y D.⎩⎨⎧<--≥=0,0,2x x x x y解析:当x ≥0时,y =2x,且y ≥0, ∴2)(1x x f =-(x ≥0). 当x <0时,y =-x 2且y <0, ∴x x f --=-)(1(x <0).∴函数⎩⎨⎧<-≥=0,,0,22x x x x y 的反函数是⎪⎩⎪⎨⎧<--≥=.0,,0,2x x x x y答案:C6.设函数为y =f(x)的反函数为y =f -1(x),将y =f(2x-3)的图象向左平移2个单位,再作关于x 轴的对称图形所对应的函数的反函数是( ) A.21)(1--=-x f y B.2)(11x f y --=- C.2)(1x f y -= D.21)(-=x f y 解析:由题意知,最后得到的图形对应的函数可以表示为y =-f [2(x+2)-3]=-f(2x+1),即-y =f(2x+1),2x+1=f -1(-y),21)(1--=-y f x ,故所求函数的反函数是21)(1--=-x fy .答案:A7.设f(x)=x 5-5x 4+10x 3-10x 2+5x+1,则f(x)的反函数为f -1(x)=_____________.解析:∵f(x)=(x-1)5+2, ∴12)(51+-=-x x f .答案:125+-x8.已知函数11)(-+=x x x f ,g(x)=f -1(-x),求g(x).解: 由11-+=x x y ,得xy-y =x+1, ∴11-+=y y x ,即11)(1-+=-x x x f .∴g(x)=f -1(-x)=11+-x x .9.已知函数f(x)=2(1121+-x a )(a >0且a≠1).(1)求函数y =f(x)的反函数y =f -1(x);(2)判定f -1(x)的奇偶性;(3)解不等式f -1(x)>1.解:(1)化简,得11)(+-=x xa a x f . 设11+-=x x a a y ,则y ya x -+=11.∴yy x a -+=11log . ∴所求反函数为xx x f y a-+==-11log )(1(-1<x <1). (2)∵)(11log )11(log 11log )(111x f x x x x x x x f a a a ----=-+-=-+=+-=-, ∴f -1(x)是奇函数. (3)111log >-+xx a . 当a >1时,原不等式⇒a x x >-+11⇒011)1(<--++x a x a . ∴11+-a a <x <1. 当0<a <1时,原不等式⇒⎪⎪⎩⎪⎪⎨⎧>-+<-+,011,11xx a x x 解得⎪⎩⎪⎨⎧<<->+-<.11,111x x a a x 或 ∴-1<x <aa +-11. 综上,当a >1时,所求不等式的解集为(11+-a a ,1); 当0<a <1时,所求不等式的解集为(-1,11+-a a ).。
[例1]若函数y =f (x )的反函数是y =f -1(x ),则下面一定成立的是( )A.若y =f (x )在[1,2]上为增函数,则f -1(x)在[1,2]上也是增函数B.若f (x )为奇函数,则y =f -1(x )亦为奇函数C.若y =f (x)为偶函数,则y =f -1(x )亦为偶函数D.若y =f (x )的图象与y 轴有交点,则f -1(x )的图象与y 轴也有交点选题意图:本题考查反函数与原函数的单调性、奇偶性之间的关系,反函数的有关概念. 解析:由y =f (x )为奇函数得f (-x )=-f (x )=-y ,而f -1(-y )=f -1[f (-x )]=-x =-f -1(y ),∴y =f -1(x )是奇函数.说明:判断反函数与原函数的单调性与奇偶性要充分利用互为反函数的两个函数的定义域和值域之间的关系,以及x 与y 的对应关系的变化实质,即f-1[f (x )]=x ,f [f-1(x)]=x.[例2]已知函数11)(--=x x x f 的反函数为f -1(x ),求不等式f -1(x )≤0的解集. 选题意图:本题主要考查互为反函数的两个函数的定义域与值域之间的关系.分析:如果先求f -1(x ),再解不等式f -1(x )≤0,则繁琐费时,其实只要注意到f (x )的定义域是R*,便可知f -1(x )的值域为R*,因此不等式f -1(x )≤0的解集为Ø.解:由函数解析式11)(--=xx x f 的定义域为(0,+∞).根据反函数与原函数的定义域和值域的关系,推知反函数f -1(x )的值域应为(0,+∞),而f -1(x )≤0显然无解.故不等式f -1(x )≤0的解集为ø.说明:本题用通解通法,即先解出f -1(x).然后解不等式f -1(x )≤0,其运算必将复杂、繁琐费时,注意到f (x )的定义域是R *,便可知f -1(x )的值域为R *,因此不等式的解集为∅,旨在培养学生灵活运用知识的能力及解题的创新精神.[例3]已知)3(,32)3(1x f x x xf -+=求 选题意图:本题考查简单的复合函数的反函数的概念及求法.并熟悉f -1(a )=b ⇒Q =f (b )的应用.分析:函数y =f -1(g (x ))表示将函数y =f -1(x )中的x 用g (x )来代替而得到的解析式,因此,求f -1(g (x ))时,应先求f -1(x ). 解:∵xx x xf 3232)3(+=+= .63)3(,21)(,21,12,12)(11-=∴-=∴-=+=+=∴--x x f x x f y x xy x x f 则令 说明:也可以用令t x =3进行换元:得t x 3=. 则.)3(,12)(,12336)(1的意义并注意即x f x x f t t t t f -+=+=+=。
反函数求值
例1、设有反函数,且函数与
互为反函数,求的值.
分析:本题对概念要求较强,而且函数不具体,无法通过算出反函数求解,所以不妨试试“赋值法”,即给变量一些适当的值看看能得到什么后果.
解:设,则点在函数的图象上,从而点
在函数的图象上,即.由反函数定义有,这样即有,从而.
小结:利用反函数的概念,在不同式子间建立联系,此题考查对反函数概念的理解,符号间关系的理解.
两函数互为反函数,确定两函数的解析式
例2 若函数与函数互为反函数,求
的值.
分析:常规思路是根据已知条件布列关于的三元方程组,关键是如何
布列如果注意到g(x)的定义域、值域已知,又与g(x)互为反函数,其定义域与值域互换,有如下解法:
解:∵ g(x)的定义域为且,的值域为
.
又∵g(x) 的定义域就是的值域, ∴.
∵g(x) 的值域为 ,
由条件可知的定义域是 , ,
∴.
∴.
令, 则即点(3,1) 在的图象上.
又∵与g(x) 互为反函数,
∴ (3,1) 关于的对称点(1,3) 必在g(x)的图象上.
∴ 3=1+ , .
故 .
判断是否存在反函数
例3、给出下列函数:
(1); (2); (3);
(4); (5) .
其中不存在反函数的是__________________.
分析:判断一个函数是否有反函数,从概念上讲即看对函数值域内任意一个 ,依照这函数的对应法则,自变量总有唯一确定的值与之对应,由于这种判断难度较大,故通常对给出的函数的图象进行观察,断定是否具有反函数.
解: (1) ,(2)都没有问题,对于(3)当时,和 ,且
.
对于(4)时,和 .对于(5)当时,和 .
故(3),(4),(5)均不存在反函数.
小结:从图象上观察,只要看在相应的区间内是否单调即可.
求复合函数的反函数
例4、已知函数 , ,求的反函数.
分析: 由于已知是 ,所求是的反函数,因此应首先由找到 ,再由求出的表达式,再求反函数.
解:令 ,则
, , ,
.于是有
.
由得 ,由于 ,
.
又 ,的值域是 ,
的反函数是 .
小结:此题涉及对抽象函数符号的认识与理解,特别是在换元过程中,相应变量的取值范围也要随之发生改变,这一点是学生经常忽略的问题.
原来的函数与反函数解析式相同求系数
例5、已知函数与其反函数是同一个一次函数 ,试指出的所有取值可能.
分析:此题可以有两种求解思路:一是求解的反函数的解析式,与比较, 让对应系数相等,列出关于的方程,二是利用两个函数图象的对称性,找对称点,利用点的坐标满足解析式来列方程.
解:由知点在图象上,则点定在的图象上,
于是 (1)
又过点 ,则点也在的图象上,
于是 (2)
由(1)得或 ,当时,代入(2),此时(2)恒成立即 ;
当代入(2)解得 .
综上, 的所有取值可能有或 .
小结:此题是反函数概念与方程思想的综合.在这个题目中特殊点的选取一般是考虑计算简单方便,而且这种取特殊点列方程的方法在其他地方也有应用,故对此种方法要引起重视.另外此题在最后作答时,要求写出的所有取值
可能即要把的取值与的取值搭配在一起,所以解方程组时要特别小心这一点.
选题角度:
反函数图象关系、将反函数问题转化为原函数、利用性质求解析式、两函数互为反函数,确定两函数的解析式判断是否存在反函数、求出反函数解析式解关于反函数的不等式、求复合函数的反函数、由原来函数运算关系证明反函数运算。