与椭圆有关的最值问题
- 格式:docx
- 大小:25.66 KB
- 文档页数:4
椭圆中的几种最值问题一:求离心率的最值问题1:若B A ,为椭圆)0(12222>>=+b a by a x 的长轴两端点,Q 为椭圆上一点,使0120=∠AQB ,求此椭圆离心率的最小值。
2:已知椭圆C :22221(0)x y a b a b+=>>两个焦点为12,F F ,如果曲线C 上存在一点Q ,使12FQ F Q ⊥,求椭圆离心率的最小值。
二:求点点(点线)的最值问题3:(05年上海)点A 、B 分别是椭圆1203622=+y x 长轴的左、右端点,点F 是椭圆的右焦 点,点P 在椭圆上,且位于x 轴上方,PF PA ⊥。
(1)求点P 的坐标;(2)设M 是椭圆长轴AB 上的一点,M 到直线AP 的距离等于||MB ,求椭圆上的点到点M 的距离d 的最小值。
4:定长为d d b a ≥⎛⎝⎫⎭⎪22的线段AB 的两个端点分别在椭圆x a y b a b 222210+=>>()上移动,求AB 的中点M 到椭圆右准线l 的最短距离。
三:求角的最值问题 5:(05年浙江)如图,已知椭圆的中心在坐标原点,焦点F 1,F 2在x 轴上,长轴A 1A 2的 长为4,左准线l 与x 轴的交点为M ,|MA 1|∶|A 1F 1|=2∶1。
(Ⅰ)求椭圆的方程; (Ⅱ)若直线l 1:x =m (|m |>1),P 为l 上的动点,使∠F PF 最大的点 P 记为Q ,求点Q 的坐标 (并用m 表示) 。
四:求面积的最值问题例6:(05年全国II )P 、Q 、M 、N 四点都在椭圆2212y x +=上,F 为椭圆在y 轴正半轴上的焦点.已知PF 与FQ共线,MF 与FN 共线,且0PF MF ⋅=.求四边形PMQN 的面积的最小值和最大值.五:求线段之和(或积)的最值问题 7:若椭圆13422=+y x 内有一点()1,1P ,F 为右焦点,椭圆上的点M 使得||2||MF MP +的值最小,则点M 的坐标为 ( )A.(3± B.(3C .3(1,)2± D .3(1,)28:如图,在直线09:=+-y x l 上任意取一点M ,经过M 点且以椭圆131222=+y x 的焦点作椭圆,问当M 在何处时,所作椭圆的长轴最短,并求出最短长轴为多少?9已知点F 是椭圆192522=+y x 的右焦点,M求|MA|+|MF|的最小值。
椭圆是一种重要的圆锥曲线,与椭圆有关的最值问题在高中数学试卷中比较常见,定义法是解答此类问题的重要方法.椭圆的定义除了第一定义,还有第二定义、第三定义.下面,我们重点谈一谈如何运用椭圆的这三个定义来解答与椭圆有关的最值问题.一、利用椭圆的第一定义求解椭圆的第一定义:平面内与两个定点F1、F2的距离的和等于常数(大于|F1F2|)的点的轨迹.在运用椭圆的第一定义解题时,要先确定两个定点的位置,然后建立关于动点M的关系式:MF1+MF2=2a.这样便可根据该关系式来寻找取得最小值的点M的位置,进而求得最值.例1.已知P()-2,3,F2为椭圆x225+y216=1的右焦点,点M在椭圆上移动.求MP+MF2的最大值和最小值.分析:所求的最值与MF2有关,可利用椭圆的第一定义建立关系式MF1+MF2=2a,将求MP+MF2的最值转化为求MP-MF1的最值,根据三角形三边之间的关系和性质便可求得问题的答案.解:如图1所示,连接PF1,延长PF1交椭圆于点M1,延长F1P交椭圆于点M2.由椭圆的第一定义知MF1+MF2=2a,所以MP+MF2=MP+2a-MF1,由三角形三边之间的关系知-PF1≤MP-MF1≤PF1,当且仅当M与图中M1合时取右边的等号,M与图中M2重合时取左边的等号.因为2a=10,PF1=2,所以MP+MF2的最大值为12,所以MP+MF2的最小值为8.图1一般地,若椭圆的方程为x2a2+y2b2=1(a>b>0),F1,F2分别是椭圆的左右焦点,P()x0,y0为平面内的一个定点,M为椭圆上的任意一点,当定点在椭圆的内部时,2a-PF1≤MF2+MP≤2a+PF1;当定点在椭圆的外部时,PF2≤MF2+MP≤2a+PF1.二、利用椭圆的第二定义求解圆锥曲线的第二定义:到定点的距离与到定直线的距离的比是e的点的轨迹.在运用椭圆的第二定义解题时,我们先要明确定点(即焦点F)和定直线(准线x=a2c)的位置,然后建立关于动点P(x0,y0)的关系式MP=e||||||x0-a2c,利用其关系或关系式来解题.例2.已知F1是椭圆5x2+9y2=45的左焦点,P是椭圆上动点,点A(1,1)是一个定点,求PA+32PF1的最小值.分析:明确题目中的数量关系后可以发现,所求目标中的32是椭圆离心率的倒数,联系第二定义:椭圆上的点到左焦点和到左准线的距离d之比为离心率e,可得PF1d=23,即d=32PF1,不难得到PA+32PF1=PA+d,所以PA+32PF1的最小值为椭圆上的P点到A点和到左准线的距离和的最小值,只需过点A,D作左准线的垂线即可.解:由题意可知,椭圆5x2+9y2=45的长半轴a=3,短半轴b=5,半焦距c=2,离心率e=23,右焦点F2()2,0,左准线x=-92.如图2所示,过点A,D作左准线的垂线,垂足为D1、D2.设P点到左准线的距离为d.由椭圆的第二定义可知PF1=ed,所以PA+32PF1=PA+32ed=PA+d,则PA+d的最小值就是点A到左准线x=-92的距离AD1=1+92=112,当且仅当点P在P1处PA+d取最小值,故PA+d的最小值为112.图2探索与研究颜琴55当与椭圆有关的最值问题涉及定点、定直线时,就要利用椭圆的第二定义,把与动点有关的最值问题转化为与定点、定直线之间的距离来求解.三、利用椭圆的第三定义求解椭圆的第三定义是指平面内动点到两定点A (a ,0)和B (-a ,0)的斜率的乘积等于常数e 2-1的点的轨迹.这也就是说,A ,B 是椭圆C :x 2a 2+y 2b2=1()a >b >0上的两个顶点,P 是椭圆上异于A ,B 的一个动点,若k PA ,k PB 的斜率都存在,则k PA ∙k PB =e 2-1=-b 2a2.运用椭圆的第三定义,可以快速找到过椭圆上两个顶点的直线的斜率之间的关系.例3.已知椭圆C :x 2a 2+y2b2=1()a >b >0的长轴长,短轴长和焦距成等差数列,若A ,B 是椭圆长轴的两个端点,M ,N 是关于x 轴对称的两点,直线AM ,BN 的斜率分别是k 1,k 2(k 1∙k 2≠0),则||k 1+||k 2的最小值为_______.分析:由长轴长、短轴长和焦距成之间的关系得到椭圆的离心率,由A ,B ,M ,N 的位置可联想到椭圆的第三定义,求得k 1∙k 2的值,再利用基本不等式就可以使问题得解.解:由椭圆的长轴长,短轴长和焦距成等差数列,得2a +2c =4b ,又b 2=a 2-c 2,可得e =c a =35,由椭圆的第三定义可得k 1∙k 2=e 2-1=-1625,而M ,N 是关于x 轴对称的两点,则k 1=-k 2,可得k 1∙k 2=1625,所以||k 1+||k 2≥2k 1k 2=85,当且仅当k 1=k 2时取等号.由以上几个题目可以看出,与椭圆有关的最值问题一般都会涉及椭圆上的定点、定直线.如果问题中的定点为焦点,就要考虑利用椭圆的第一定义来解题;如果问题中涉及的定点、定直线分别为焦点、准线,就要考虑用椭圆的第二定义来解题;如果问题中涉及了椭圆的顶点以及过顶点的直线的斜率,就要考虑采用椭圆的第三定义解题.(作者单位:江西省余干第一中学)探索与研究在学习中,我们经常会遇到抽象函数问题,此类问题一般侧重于考查同学们的直观想象能力和抽象思维能力.抽象函数一般没有具体的函数解析式,与x a 、sin x ()cos x 、ln x 、e x 的乘积构成的函数解析式也不明确,我们很难快速解出.而运用构造法,借助构造的新函数的性质、图象,则能快速破解此类问题.例1.已知定义在R 上的函数f ()x 为奇函数,当x ≤0时,恒有xf ′(x )≥3f ()-x ,则不等式8xf ()2x >()1-3x 3x 2f ()1-3x 的解集为_____.解:∵f ()x 是定义在R 上的奇函数,∴f ()-x =-f ()x ,当x ≤0时,由xf ′()x ≥3f ()-x 可得x 3f ′()x +f ()x ≥0,令g ()x =x 3f ()x ,∴当x ≤0时,g '()x =2x 2f ()x +x 3f ′()x =3x 2éëùûf ()x +x 3f '()x ≥0,∴g ()x 在(]-∞,0上单调递增,∵g ()-x =-x 3f ()-x =x 3f ()x =g ()x ,g ()x 是偶函数,∴g ()x 在[)0,+∞上单调递减,不等式8xf ()2x >()1-3x 3x2f ()1-3x 等价于8x 3f ()2x >()1-3x 3f ()1-3x ,即g ()2x >g ()1-3x ,等价于||2x <||1-3x ,解得x <15或x >1,∴不等式的解集为æèöø-∞,15⋃()1,+∞.56。
第15讲 椭圆中6大最值问题题型总结【题型目录】题型一:利用均值不等式求最值题型二:利用焦半径范围求最值题型三:椭圆上一点到定点距离最值问题题型四:椭圆上一点到直线距离最值问题题型五:椭圆有关向量积最值问题题型六:声东击西,利用椭圆定义求最值【典型例题】题型一:利用均值不等式求最值【例1】已知,是椭圆的两个焦点,点M 在C 上,则1F 2F 22:12516x y C +=12MF MF ⋅的最大值为( ).A .13B .12C .25D .16【答案】C 【解析】【分析】根据椭圆定义可得,利用基本不等式可得结果.1210MF MF +=【详解】由椭圆方程知:;根据椭圆定义知:,5a =12210MF MF a +==(当且仅当时取等号),21212252MF MF MF MF ⎛+⎫∴⋅≤= ⎪⎝⎭12MF MF =的最大值为.12MF MF ∴⋅25故选:C.【例2】(2022·安徽·高二阶段练习)已知椭圆C :221169x y +=的左、右焦点分别为1F ,2F ,点P 是椭圆C 上的动点,1m PF =,2n PF =,则14m n +的最小值为( )A .98B .54C D 【答案】A 【解析】【分析】由椭圆的定义可得8m n +=;利用基本不等式,若0a b >, ,则a b +≥,当且仅当a b =时取等号.【详解】根据椭圆的定义可知,1228a PF PF +==,即8m n +=,因为40m ≥>,40n ≥>,所以()141141419558888n m m n m n m n m n ⎛⎛⎫⎛⎫+=++=++≥⨯+= ⎪ ⎪ ⎝⎭⎝⎭⎝,当且仅当83m =,163n =时等号成立.故选:A【题型专练】1.(2022·河南·辉县市第一高级中学高二期末(文))设P 是椭圆22194x y +=上一点,1F 、2F 是椭圆的两个焦点,则12cos F PF ∠的最小值是( )A .19-B .1-C .19D .12【答案】A 【解析】【分析】利用椭圆的定义以及基本不等式可求得12cos F PF ∠的最小值.【详解】在椭圆22194x y +=中,3a =,2b =,c ==,由椭圆定义可得1226PF PF a +==,122F F c ==,由余弦定理可得()2222212121212121212122cos 22PF PF F F PF PF PF PF F F F PF PF PF PF PF +--⋅+-∠==⋅⋅22121262016161111218922PF PF PF PF -=-≥-=-=-⋅⎛+⎫⨯ ⎪⎝⎭,当且仅当123PF PF ==时,等号成立,因此,12cos F PF ∠的最小值为19-.故选:A.2.(2022·全国·高二课时练习)已知 P ( m , n ) 是椭圆上的一个动点,则22+=112x y 22m n+的取值范围是( )A .B .C .D .(]0,1[]1,2(]0,2[)2,+∞3.(2022·全国·高三专题练习)已知点P 在椭圆上,22221(0)y x a b a b +=>>12F F 、为椭圆的两个焦点,求的取值范围.12||||F P P F ⋅【答案】.22,b a ⎡⎤⎣⎦题型二:利用焦半径范围求最值【例1】(2022·全国·高二课时练习)已知椭圆C :()的右焦点,点22221x y a b +=0a b >>(),0F c (),P x y 是椭圆C 上的一个动点.求证:.a c PF a c-≤≤+【例2】(2021·山西吕梁·一模(理))已知为椭圆的左焦点,P 为椭圆上一点,则F 22143x y +=PF 的取值范围为_________.【答案】[1,3]【分析】设出点P 的坐标,由两点间的距离公式求出||PF ,进而根据点在椭圆上将式子化简,最后求出范围.【例3】(2022·河南·新蔡县第一高级中学高二开学考试(文))已知椭圆,点,22142x y +=()0,1A P为椭圆上一动点,则的最大值为____.PA【例4】(2023·全国·高三专题练习)已知点是椭圆+=1上的动点(点不在坐标轴上),P 24x 2y P 为椭圆的左,右焦点,为坐标原点;若是的角平分线上的一点,且丄12F F 、O M 12F PF ∠1F M MP,则丨丨的取值范围为( )OMA .(0B .(0,2)C .(l ,2)D 2)【题型专练】1.平面内有一长度为4的线段,动点P 满足,则的取值范围是( )AB ||||6PA PB +=||PA A .B .C .D .[1,5][1,6][2,5][2,6]【答案】A【解析】由题可得动点在以为焦点,长轴长为6的椭圆上,P ,A B ,3,2a c ∴==则可得的最小值为,最大值为,||PA 1a c -=5a c +=的取值范围是.∴||PA [1,5]故选:A.2.已知动点在椭圆上,若点的坐标为,点满足,且,则P 2214940x y +=A (30),M ||1AM = 0PM AM ⋅= 的最小值是 .||PM【答案】15【解析】由题意知 ,所以,解得,所以40,4922==b a 92=c 3=c ()0,3A 为椭圆的右焦点,由题意知点是以为圆心,为半径上的圆上一动点,且所以M A 1AM PM ⊥1222-=-=PA AMPA PM ,因的最小值为,所以PA437=-=-c a 15142min=-=PM3.已知是椭圆上的动点,且与的四个顶点不重合,,p 22:198x y C +=C 1F 2F 分别是椭圆的左、右焦点,若点在的平分线上,且,则M 12F PF ∠10MF MP ⋅=OM的取值范围是( )A .B .C .D .()0,2(0,(0,3-()0,1【答案】D 【解析】【分析】作出辅助线,得到,求出的取值范围,从而求出的取值范围.212OM F N =2F N OM 【详解】如图,直线与直线相交于点N ,1F M 2PF 由于PM 是的平分线,且,即PM ⊥,12F PF ∠10MF MP ⋅=1F N 所以三角形是等腰三角形,1F PN 所以,点M 为中点,1PF PN =1F N 因为O 为的中点,12F F 所以OM 是三角形的中位线,12F F N所以,212OM F N =其中,212112226F N PF PF PF a PF =-=-=-因为P 与的四个顶点不重合,设,则,C (),P m n ()0,3m ∈22198m n +=,193m ==+所以,又,()12,4PF ∈20F N >所以,()20,2F N ∈()210,12OM F N =∈∴的取值范围是.||OM ()0,1故选:D.题型三:椭圆上一点到定点距离最值问题【例1】(2022·全国·高三专题练习)已知椭圆的长轴长为,短轴长为,则椭圆上任意一点108P 到椭圆中心的距离的取值范围是( )O A .B .C .D .[]4,5[]6,8[]6,10[]8,10【例2】(2022·全国·高三专题练习)已知点是椭圆上的任意一点,过点作圆:P 221129x y +=P C 的切线,设其中一个切点为,则的取值范围为( )()2211x y +-=M PMA .B .C .D .4⎤⎦4⎤⎦【例3】(2022·重庆市实验中学高二阶段练习)已知点P 在椭圆22193x y +=上运动,点Q 在圆225(1)8x y -+=上运动,则PQ 的最小值为___________.【解析】【分析】将求PQ最小值的问题,转化为求点P 到圆心()1,0M 距离最小值的问题,结合点P满足椭圆方程,转化为二次函数求最值即可.【详解】不妨设点P 为()00,x y ,[]03,3x ∈-,则2200193x y +=,则220033x y =-设圆225(1)8x y -+=的圆心为M ,则M 坐标为()1,0则PQ的最小值,即为MP的最小值与圆225(1)8x y -+=.又MP ===当[]03,3x ∈-时,MP ≥,当且仅当032x =时取得等号;故PQ ≥=.故答案为.【题型专练】1.(2021·陕西·长安一中高二期中(文))设B 是椭圆的上顶点,点P 在C 上,则22:14x C y +=PB 的最大值为________.2.已知椭圆的焦点,过点引两条互相垂直的两直线、,若222:1(1)x T y a a+=>(20)F -,(01)M ,1l 2l P 为椭圆上任一点,记点到、的距离分别为、,则的最大值为( )P 1l 2l 1d 2d 2212d d +A .2B .C .D .134134254【答案】D【解析】由题意知 ,所以,解得,所以椭圆的方程为,设4,122==c b 52=a 5=a 1522=+y x ,因为,且,所以又因,所以()00,y x P 21l l ⊥()1,0M (),1202022221-+==+y x PM d d 152020=+y x ,202055y x -=所以因为,所以当时,6241255020020202221+--=+-+-=+y y y y y d d 110≤≤-y 410-=y 的最大值为2221d d +4253.(多选题)已知点是椭圆:上的动点,是圆:P C 2213x y +=Q D ()22114x y ++=上的动点,则( )A .椭圆的短轴长为1B .椭圆C C C .圆在椭圆的内部D .的最小D C PQ 【答案】BC 【解析】【分析】AB.利用椭圆的方程求解判断;C.由椭圆方程和圆的方程联立,利用判别式法判断;D.利用圆心到点的距离判断.【详解】解:因为椭圆方程为:,2213x y +=所以,故A 错误,B 正确;222223,1,2,c a b c a b e a ===-===由,得,()222213114x y x y ⎧+=⎪⎪⎨⎪++=⎪⎩2824210x x ++=因为,2244821960∆=-⨯⨯=-<所以椭圆与圆无公共点,又圆心在椭圆内部,()1,0-所以圆在椭圆内部,故C 正确;设,()(,P x y x ≤≤,==当时,取得最小则的最小,故D 错误,32x =-PD PQ 12故选:BC4.(全国·高二课前预习)点、分别在圆和椭圆上,则、P Q (222x y+=2214x y +=P Q两点间的最大距离是( )A .B .C .D .5.(2022·全国·高三专题练习)设椭圆的的焦点为2222:1(0)x y C a b a b +=>>12,,F F P是C 上的动点,直线的一个焦点,的周长为y x =12PF F △4+(1)求椭圆的标准方程;(2)求的最小值和最大值.12PF PF +题型四:椭圆上一点到直线距离最值问题两种思路:法一:设椭圆参数方程,即设椭圆上一点为()θθsin ,cos b a P ,用点到直线的距离公式法二:利用直线与椭圆相切,联立方程,利用判别式0=∆,求出切线,再求两直线间距离【例1】(2022·黑龙江·齐齐哈尔市恒昌中学校高二期中)椭圆22143x y +=上的点P 到直线l :30x y ++=的距离的最小值为( )ABCD【答案】C 【解析】【分析】根据椭圆的形式,运用三角代换法,结合点到直线距离公式、辅助角公式进行求解即可.【详解】由222cos 143x x y y θθ=⎧⎪+=⇒⎨⎪⎩,设(2cos )P θθ,设点P 到直线l :30x y ++=的距离d ,所以有d ,其中tan (0,))2πϕϕ=∈,所以当2()2k k Z πθϕπ+=-∈时,d 有最小=,故选:C【例2】(2022·全国·高二专题练习)椭圆上的点到直线22143x y +=290l x =:-的距离的最大值为______.【例3】(2021·浙江·慈溪市浒山中学高二阶段练习)设点在椭圆上,点()11,P x y 22182x y +=在直线上,则的最小值为___________.()22,Q x y 280x y +-=212136x x y y -+-【题型专练】1.(2022·甘肃·兰州一中高二期中(文))已知实数x ,y 满足方程,则22220x y +-=x y +的最大值为________.2.(2022·全国·高二专题练习)椭圆:上的点到直线C 22194x y +=P 43180l x y ++=:的距离的最小值为_____.3.(2022·四川遂宁·高二期末(理))如图,设P 是圆229x y +=上的动点,点D 是P 在x 轴上的射影,M 为PD 上的一点,且.23MD PD =(1)当P 在圆上运动时,求点M 的轨迹C 方程;(2)求点M 到直线距离的最大值.:290l x y +-=4.(2020·海南·高考真题)已知椭圆C :22221(0)x y a b a b +=>>过点M (2,3),点A 为其左顶点,且AM 的斜率为 ,12(1)求C 的方程;(2)点N 为椭圆上任意一点,求△AMN 的面积的最大值.联立直线方程与椭圆方程,2x y m -=2211612x y +=可得:,()2232448m y y ++=化简可得:,2216123480y my m ++-=题型五:椭圆有关向量积最值问题【例1】(2022·黑龙江·佳木斯一中高二期中)已知P 为椭圆2212524x y +=上任意一点,EF 为圆22:(1)4N x y -+=任意一条直径,则PE PF ⋅的取值范围为( )A .[8,12]B .[12,20]C .[12,32]D .[32,40]【答案】C 【解析】【分析】由题意可得圆心(1,0)N 恰好是椭圆的右焦点,将PE PF ⋅ 化简得24NP-+ ,由椭圆的性质可知[,]NP a c a c ∈-+,从而可求出PE PF ⋅ 的取值范围【详解】由2212524x y +=,得2225,24a b ==,则5,1a b c ===,圆22:(1)4N x y -+=的圆心(1,0)N 恰好是椭圆的右焦点,圆的半径为2,因为()()PE PF NE NP NF NP⋅=-⋅- ()2NE NF NP NE NF NP=⋅-⋅++ 2cos 0NE NF NPπ=⋅-+ 24NP=-+ ,因为P 为椭圆2212524x y +=上任意一点,N 为椭圆的右焦点,所以[,]NP a c a c ∈-+ ,即[4,6]NP ∈ ,所以2[16,36]NP ∈ ,所以24[12,32]NP -+∈ ,所以PE PF ⋅的取值范围为[12,32],故选:C【例2】(2022·全国·高三专题练习)已知是椭圆12,F F 22:142x y E +=的两个焦点,P 是椭圆E 上任一点,则的取值范围是____________12⋅ F P F P【例3】(2022·全国·高三专题练习)已知点满(),P x y =,点A ,B 关于点对称且,则的最大值为( )()0,2D -2AB =PA PB ⋅A .10B .9C .8D .2【题型专练】1.(2022·山东·高三开学考试)在椭圆上有两个动点,为定点,,则2214x y +=,P Q ()1,0E EP EQ ⊥的最小值为( )EP QP →→⋅131223故选:C .2.(2022·全国·高三专题练习多选题)已知椭圆的左、右焦点为、,点22:132x y C +=1F 2F M为椭圆上的点不在轴上),则下列选项中正确的是( )(M xA .椭圆的长轴长为CB .椭圆的离心率C 13e =C .△的周长为12MF F 2+D .的取值范围为12MF MF ⋅[1,2)3.(2022·全国·高三专题练习)已知是椭圆的两个焦点,12,F F 22163x y +=,A B分别是该椭圆的左顶点和上顶点,点在线段上,则的最小值为__________.P AB 12PF PF ⋅4.(2015·山西大同市·高二期末(理))设、分别是椭圆的左、右焦点,若Q 是该椭圆上的一个动点,则的最大值和最小值分别为A .与B .与C .与D .与12-22-11-21-【答案】A【详解】试题分析:设,由题得,所以(,)Q x y 12(F F ,12(,),,)QF x y QF x y =-=--,因为在椭圆上,所以所以2212·3QF QF x y =-+(22)x -≤≤(,)Q x y ,所以当有最小值;或222123·31244x x QF QF x =-+-=- (22)x -≤≤0x =2-2x =2-时,有最大值1题型六:声东击西,利用椭圆定义求最值此种类型题目,一般要利用椭圆定义,转化为三点共线问题,利用三角形两边之和大于第三边,或者两边之差小于第三边解决【例1】(2022·辽宁·高二期中)动点M 分别与两定点(5,0)A -,(5,0)B 连线的斜率的乘积为1625-,设点M 的轨迹为曲线C ,已知N ,(3,0)F -,则||||MF MN +的最小值为( )A .4B .8C .D .12【答案】B 【解析】【分析】求出轨迹方程2212516x y +=,根据椭圆的定义,可得210MF MF +=,当2MF 经过点N 时,MF MN+最短.【详解】设动点M 的坐标为()M x y , ,则165525y y x x ⋅=-+- 整理后得:2212516x y += ,动点M的轨迹为椭圆,左焦点为()30F -,,右焦点为()230F , ,210MF MF += ,如下图所示,当2MF 经过点N 时,MF MN+最短,此时210108MF MN MF MN +=-+==故选:B【例2】已知是椭圆的左焦点,为椭圆上任意一点,点坐标为,则F 22:11615x y C +=P C Q (4,4)的最大值为( )||||PQ PF +A B .13C .3D .5【答案】B 【解析】【分析】利用椭圆的定义求解.【详解】如图所示:,||||||2||2||813PQ PF PQ a PF a QF ''+=+-≤+==故选:B【例3】(2022·全国·高二课时练习)已知椭圆C:2212516x y +=内有一点()2,3M ,1F ,2F 分别为椭圆的左、右焦点,P 为椭圆C 上的一点,求:(1)1PM PF -的最大值与最小值;(2)1PM PF +的最大值与最小值.【答案】(1)最大,最小值为(2)最大值为10,最小值为10【解析】【分析】(1)由题意可知:根据三角形的性质,即可求得11||||||||PM PF MF -…然后得到1||||PM PF -的最大值与最小值;(2)利用椭圆的定义表示出1||||PM PF +,根据椭圆的定义及三角形三边的关系,即可求得答案.(1)由椭圆22:12516x y C +=可知5a =,4b =,3c =,则1(3,0)F -,2(3,0)F ,则11||||||||PM PF MF -…,当且仅当P 、M 、1F 三点共线时成立,所以1||||PM PF -…,所以1||||PM PF -和;(2)210a =,2(3,0)F ,2||MF =,设P 是椭圆上任一点,由12||||210PF PF a +==,22||||||PM PF MF -…,12212210PM PF PF MF PF a MF ∴+-+=-=…,等号仅当22||||||PM PF MF =-时成立,此时P 、M 、2F 共线,由22||||||PM PF MF +…,12212210PM PF PF MF PF a MF ∴+++=+=+…,等号仅当22||||||PM PF MF =+时成立,此时P 、M 、2F 共线,故1||||PM PF +的最大值10与最小值为10.【题型专练】1.(2022·全国·高二专题练习)已知点(4,0)A 和(2,2)B ,M 是椭圆221259x y +=上的动点,则||||MA MB +最大值是( )A .10+B .10-C .8+D .8【答案】A 【解析】【分析】设左焦点为(4,0)F -,A 为椭圆右焦点,利用椭圆定义转化||||10||||MA MB MB MF +=+-,然后利用平面几何的性质得最大值.【详解】解:椭圆221259x y +=,所以A 为椭圆右焦点,设左焦点为(4,0)F -,则由椭圆定义||||210MA MF a +==,于是||||10||||MA MB MB MF +=+-.当M 不在直线BF 与椭圆交点上时,M 、F 、B 三点构成三角形,于是||||||MB MF BF -<,而当M 在直线BF 与椭圆交点上时,在第一象限交点时,有||||||MB MF BF -=-,在第三象限交点时有||||||MB MF BF -=.显然当M 在直线BF 与椭圆第三象限交点时||||MA MB +有最大值,其最大值为||||10||||10||1010MA MB MB MF BF +=+-=+==+.故选:A.2.(2022·全国·高二专题练习)已知F 为椭圆221259x y +=的左焦点,(2,2)B 是其内一点,M为椭圆上的动点,则MF MB+的最大值为__,最小值为__.【答案】 10+10-【解析】【分析】设A 为椭圆右焦点,设左焦点为(4,0)F -,B 在椭圆内,由椭圆定义210MA MF a +==,结合当M 在直线AB 与椭圆交点上时和当M 在直线BA与椭圆交点,分别求得其最大值与最小值,即可求解.【详解】设A 为椭圆右焦点,设左焦点为(4,0)F -,B 在椭圆内,则由椭圆定义210MA MF a +==,当M 在直线AB 与椭圆交点上时,M 在x 轴的上方时,10MF MB AB+=-,取得最小值,最小值为:1010-=-;当M 在直线BA 与椭圆交点,在x 轴的下方时,MF MB+有最大值,其最大值为1010MF MB MF MA AB AB +≤++=+=+.故答案为:10+10-3.(2022·四川·成都七中高二期末(文))已知点()4,0A ,()2,2B 是椭圆221259x y +=内的两个点,M 是椭圆上的动点,则MA MB+的最大值为______.【答案】10+##10+【解析】【分析】结合椭圆的定义求得正确答案.【详解】依题意,椭圆方程为221259x y +=,所以5,3,4a b c ===,所以()4,0A 是椭圆的右焦点,设左焦点为()4,0C -,根据椭圆的定义可知210MA MB a MC MB MB MC+=-+=+-,=,所以MA MB+的最大值为10+故答案为:10+4.(多选题)已知椭圆的左、右焦点分别为、,点在椭圆内部,点22:12521x y C +=1F 2F ()2,3P Q在椭圆上,则可以是( )2QF QP+A .B .C .D .5101520【答案】ABC 【解析】【分析】作出图形,设直线交椭圆于点、,利用椭圆定义可得1PF C M N 2110QF QP QP QF +=+-,利用点分别与点、重合时取得最小值和最大值可求得Q M N 2QF QP+的取值范围,即可得出合适的选项.【详解】在椭圆中,,,,则、,如下图所示:C 5a =b =2c =()12,0F -()22,0F设直线交椭圆于点、,1PF C M N 5=由椭圆定义可得,则,故,1210QF QF +=2110QF QF =-2110QF QP QP QF +=+-当点与点重合时,此时取得最小值,即,Q M 2QF QP +()21min 105QF QP PF +=-=当点与点重合时,此时取得最大值,即.Q N 2QF QP+()21max 1015QF QP PF +=+=因此,的取值范围是.2QF QP+[]5,15故选:ABC.。
椭圆中的常见最值问题1、椭圆上的点P到二焦点的距离之积取得最大值的点是椭圆短轴的端点,取得最小值的点在椭圆长轴的端点。
例1、椭圆上一点到它的二焦点的距离之积为,则取得的最大值时,P点的坐标是。
P(0,3)或(0,-3)例2、已知椭圆方程()p为椭圆上一点,是椭圆的二焦点,求的取值范围。
分析:,当时,=,当时,即2、椭圆上到的椭圆内一个定点的距离与它到焦点距离之差取得最大值或最小值的点是这个定点与焦点连线xx或反向xx与椭圆的交点,最大值、最小值分别是定点到该焦点的距离和其相反数。
例3、已知,、是椭圆的左右焦点,P为椭圆上一动点,则的最大值是,此时P点坐标为。
的最小值是,此时P点坐标为。
3、椭圆上到椭圆内定点的距离与它到椭圆的一个焦点的距离之和取得最小值或最大值的点是另一焦点与定点连线的xx或反向xx与椭圆的交点。
例4、已知,是椭圆的左焦点,P为椭圆上一动点,则的最小值是,此时P点坐标为。
的最大值是,此时P点坐标为。
分析:,当P是的xx与椭圆的交点时取等号。
,当P是的反向xx与椭圆的交点时取等号。
4、椭圆上的点P到定点A的距离与它到椭圆的一个焦点F的距离的倍的和的最小值(为椭圆的离心率),可通过转化为(为P到相应准线的距离)最小值,取得最小值的点是A到准线的垂线与椭圆的交点。
例5、已知定点,点F为椭圆的右焦点,点M在该椭圆上移动,求的最小值,并求此时M点的坐标。
例6、已知点椭圆及点,为椭圆上一个动点,则的最小值是。
5、以过椭圆中心的弦的端点及椭圆的某一焦点构成面积最大的三角形是短轴的端点与该焦点构成的三角形。
例7、过椭圆()的中心的直线交椭圆于两点,右焦点,则的最大面积是。
例8、已知F是椭圆的一个焦点,PQ是过原点的一条弦,求面积的最大值。
6、椭圆上的点与椭圆二焦点为顶点的面积最大的三角形是椭圆的短轴的一个端点与椭圆二焦点为顶点的三角形。
例9、P为椭圆()一点,左、右焦点为,则的最大面积是。
7、椭圆上的点与椭圆长轴的端点为顶点的面积最大的三角形是短轴的一个端点和长轴两个端点为顶点的三角形。
2021年高考数学考点:椭圆的最值问题一、已知椭圆的方程,求线段或线段和的最值例1. 已知椭圆上的一动点P和一定点,试求线段|PA|的最小值。
分析:如图1所示,P为椭圆上的点,则点P的坐标有一定的范围限制,因此,求线段|PA|的最小值时要对a进行讨论。
解:设点P(x,y)是椭圆上的一点,则由两点公式可知当,即时,x取,当,即时,x取,当,即时,,点评:这里字母a是常量,但是不知道它的具体值,因此要加以讨论,许多同学会忽视这一情况。
例2. 已知椭圆的左焦点为F,椭圆内有一个定点A(4,1),P为椭圆上的任意一点,试求的最大值。
分析:如图2所示,设右焦点为C,式子|PF|+|PA|涉及到了焦半径|PF|,所以可利用椭圆的定义,将转化为,然后应用三角形中两边之和大于第三边这个性质求得最大值。
解:设椭圆的右焦点为C则(当点P在线段AC的延长线上时取“=”),所以说明:由上述求解过程可知,椭圆上任一点P到椭圆内一定点A及一焦点F的距离之和存在最大值,这个最大值就等于长轴长加上这个定点到另一焦点的距离。
二. 利用椭圆的定义或几何性质求最值(取值范围)例3. 已知椭圆的长轴的两端点分别是A、B,若椭圆上有一点P,使得∠APB=120°,求椭圆的离心率e的取值范围。
分析:要求离心率e的取值范围,根据条件建立等式,再根据椭圆上点的坐标的范围建立不等式求解。
解:由题设知设点,则有化简得由椭圆的几何性质知利用得,解得点评:当点P在椭圆上运动时,∠APB的大小也随之变化,且当点P在向短轴端点靠近时,∠APB逐渐增长,当点P为椭圆短轴端点时,∠APB达到最大。
因此,只要长轴关于短轴端点的张角大于或等于120°,椭圆上就存在一点P,使∠ABP=120°。
练一练:直线总有公共点,试求m的取值范围。
答案:。
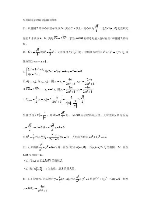
与椭圆有关的最值问题的例析例:设椭圆E 的中心在坐标原点O ,焦点在x 3,过点(1,0)C -的直线交椭圆E 于两点A 、B ,满足2CA BC =。
求当A O B ∆面积达到最大值时直线l 和椭圆E 的方程。
解:3e =得2223b a =,又直线过点(1,0)C -,设椭圆方程为2223(0),x y t t +=>直线方程为1my x =+。
由2223,1,x y t my x ⎧+=⎨=+⎩得22(23)420.m y m y t +-+-= 设1122(,),(,)A x y B x y ,则12122242,.2323m t y y y y m m -+==++2CA BC =,122.y y ∴=-则122284,.2323m my y m m -==++122166322322AO B m S y y m m m∆∴=-==≤++当且仅当32m m=,即2m =±时,A O B ∆面积取得最大值,此时直线l 的方程为102x y ++=或10.2x y -+=由232m =代入122223t y y m -=+得10t =,∴椭圆方程为222310.x y +=例:已知椭圆2221(1)x y a a+=>,直线l 过点(,0)A a -,(,)(0)B a ta t >交椭圆于M ,直线O M 交椭圆于N 。
(1)用,a t 表示A M N ∆的面积.S(2)若[]1,2t ∈,a 为定值,求S 的最大值。
解:(1)设直线l 的方程为(),2t y x a =+代入2221x y a+=得222(4)40a t y aty +-=,解得0y =或224.4at y a t =+所以点M 的纵坐标为224,4M at y a t =+22242.4AOM M a t S S OA y a t ∆==⋅=+(2)由(1)22244a t S a t =+(0)t >,令24.V a t t=+244a t a t+≥= (当且仅当2t a=时,等号成立),又[]1,2t ∈当12a ≤≤时,[]21,2,a∈即当2t a=时,S 的最大值为.a当2a >时,24V a t t=+在[]1,2上是增函数,因此S 在[]1,2上是减函数,所以当t=1时,2max 24.4aS a=+综上所述,2m ax2,124,24a a S a a a≤≤⎧⎪=⎨>⎪+⎩。
高中数学:椭圆相关角度的最值问题圆锥曲线中的最值问题主要包括长度最值、角度最值及面积最值等。
例题:如图1,已知椭圆的中心在坐标原点,焦点在x轴上,长轴的长为4,左准线与x轴的交点为M,。
(1)求椭圆的方程;(2)若直线,P为上的动点,使最大的点P记为Q,求点Q的坐标(用m表示)。
图1解:(1)设椭圆方程为半焦距为c,则由题意,得解得故椭圆方程为(2)设当时,当时,所以只需求的最大值即可。
直线的斜率直线的斜率所以当且仅当时,最大。
所以最大值点Q的坐标为显然,第二问是考查和椭圆有关的角度最值问题,可联想椭圆中的两种特殊情况。
特殊情况(1)已知椭圆的两个焦点分别为,点P为左准线上任意一点,求的最大值。
图2解:如图2,设准线交x轴于点M则又所以(其中)于是(当且仅当时等号成立)故的最大值为此时点P的坐标为同理,当点P在右准线时的最大值不变,最小值均为0另外由可得,当椭圆的离心率e一定时,的最大值为定值;若给出的值时,可由求出椭圆的离心率e的范围。
(2)已知椭圆的两个顶点分别为,点P为左准线上任意一点,求的最大值。
图3可用与问题(1)类似的方法求解(如图3):(当且仅当时等号成立。
)证明过程请自己完成。
推广及本质两种特殊情况分别研究了椭圆准线上任意一点P到两焦点、两顶点所得张角的最值问题,而例题是将准线推广到非准线位置,通过问题(1)的解决方法不难看出这类问题其实就是一个平面几何中的最值问题,如图4,A、B是直线同侧两定点,且直线,点P为直线上一动点,则∠APB有最大值。
使∠APB最大的点P有何几何意义呢?由于点A、B是定点,为定直线,我们不妨利用几何画板研究过三点A、B、P的圆,当点P在直线上运动时,过三点A、B、P的圆O与直线的关系是相交或相切,当圆O与直线相交时,(如图5),上总存在点Q在圆内且使∠AQB>∠APB;当且仅当圆O与直线相切时(如图6),直线上除切点外,其余点均在圆O 外,由同弧上的圆周角与圆外角的大小关系可知,此时∠APB最大,切点即为所求。
椭圆中的最值问题一.椭圆中线段的最值(1)椭圆中最长的直径为122A A a =,最短的直径为122B B b =;(2)椭圆中最长的焦点弦为122A A a =,最短的焦点弦为通径(2b a);(3)椭圆中最大的焦半径为a c +,最小的焦半径为a c -;或者说:椭圆上任一点到焦点的距离的最大值为a c +,最小值为a c -; 二.椭圆中常见角的最值设点P 为椭圆上任一点,则焦点三角形的顶角12F PF ∠的最大值为12F BF ∠,且212cos 12F PF e ∠≥-, 12F PF S ∆的最大值为bc ; 12A PA ∠的最大值为12A BA ∠;例1.P 为椭圆22194x y +=上的一点,1F 、2F 为椭圆的两个焦点,则12cos F PF ∠最小值为三.平面内任一点到两定点的距离之和(差)的最值问题 设P 为平面内一动点,A 、B 为两定点,则||||||PA PB AB +≥ 当且仅当点P 在线段AB 上时取得最小值;BA图1||||||||AB PA PB AB -≤-≤ 当且仅当点P 在线段AB (或BA )的延长线时取等号.B A P P图2例2.(1)已知点(3, 3)A -,点(5, 1)B ,点P 在x 轴上移动,使得||||PM PB +最小,则点P 的坐标为 .(2)已知椭圆22143x y +=的右焦点为F ,(3, 2)M ,点P 在椭圆上,则||||PM PF +的最小值是 ;||||PM PF -的最大值是 .例3.已知椭圆22143x y +=内有一点(1, 1)P -,F 为右焦点,在椭圆上有一动点M ,则||||MP MF +的最大值为 ,最小值为 .四.平面内一动点P 到一定点M 和定直线l 的距离之和的最小值问题设P 为平面内一动点,M 为定直线l 外的一定点,d 为P 到l 的距离,0d 为M 到l 的距离,则 ||PM d +的最小值为0d .例4.已知定点(2, 1)A ,1F 为椭圆22: 12516x y C +=的左焦点,点P 为C 上的动点,则13||5||PA PF + 的最小值为 .五.直线上一动点与两定点的视角的最大值问题 A 、B 是直线l 同侧两定点,且直线AB l ⊥, 点P 为直线l 上一动点,则APB ∠有最大值.使APB ∠最大的点P 有何几何意义呢?由于点A 、B 是定点,l 为定直线,我们不妨利用几何画板研究过三点A 、B 、P 的圆,(如图5、6)当点P 在直线l 上运动时,过三点A 、B 、P 的圆O 与直线l 的关系是相交或相切,当圆O 与直线l 相交时,l 上总存在点Q 在圆内且使AQB APB ∠>∠;当且仅当圆O 与直线l 相切时,直线上除切点外,其余点均在圆O 外,由同弧上的圆周角与圆外角的大小关系,此时APB ∠最大,切点即为所求.lP 'PQ图5MBAOlP 'P图 6MBAOlAB M图 4P例5.12F F 、是椭圆22142x y +=的左右焦点,l 是椭圆的准线,点P l ∈,求12F PF ∠的最大值.(30)解法2:因为当过12F F 、、P 三点的圆与准线l 相切时,12F PF ∠最大,由切割线定理得 212||||||6KP KF KF =⋅=,故||KP =六.当直线l 与椭圆相离时,椭圆上总存在到直线l 的距离有最大(小)值的点 方法1:设(cos ,sin )P a b θθ,利用点到直线的距离公式——求三角函数的最值; 方法2:设与l 平行的直线系l '——与椭圆方程联立消元——令0∆=——得出与l 平行的椭圆的两条切线1l 、2l ——求出l 与1l 、l 与2l 的距离即为所求.例6.设(2, 0)F 是椭圆2222 1 (0)x y a b a b+=>>的右焦点,以F 为圆心,5为半径的圆与椭圆相交于A 、B 两点,且||AB =(1)求椭圆的方程; (2)设直线2y kx =+交椭圆于M 、N 两点,O 为原点,求△MON 面积的最大值.练习1.( )已知点P 是抛物线22y x =上的动点,点P 在y 轴上的射影是M ,点A 的坐标为7(,4)2A ,则||||PA PM +的最小值是 (A )112 (B )4 (C )92(D )5练习2.已知抛物线28y x =和一点(3,2)A ,在抛物线上求一点M ,使得此点到点A 与到焦点F 的距离之和最小.。
椭圆的最值问题椭圆的最值问题是指在一个给定的椭圆内,找出某个函数的最大值或最小值。
为了解决这个问题,可以利用椭圆的性质和数学方法进行分析。
首先,我们需要确定椭圆的方程。
一个标准的椭圆方程可以表示为:(x-h)^2/a^2 + (y-k)^2/b^2 = 1其中,(h,k)表示椭圆的中心坐标,a和b分别表示椭圆在x轴和y轴上的半长轴和半短轴的长度。
接下来,我们需要确定要求最值的函数。
假设要求椭圆内的某个函数f(x, y) 的最大值或最小值。
有两种常见的方法可以解决椭圆的最值问题:1. 极值点法:我们可以计算函数f(x, y) 在椭圆边界上的极值点,并比较它们的函数值,找到最大值或最小值。
这可以通过拉格朗日乘数法等方法来实现。
2. 参数化法:我们可以将椭圆参数化为x = h + a*cos(t), y = k + b*sin(t),其中t 是一个参数。
然后将函数f(x, y) 在参数t 的取值范围内进行优化,找到最大值或最小值。
这可以通过微积分的方法来实现。
需要注意的是,在解决椭圆的最值问题时,我们还需要考虑函数f(x, y) 的定义域是否在椭圆内。
如果定义域超出了椭圆的范围,则需要对其进行限制或者使用其他方法进行求解。
椭圆的最值问题可以通过极值点法或参数化法来解决,具体的方法取决于具体的问题和函数形式。
通过合理选择方法并利用数学工具,我们可以有效地求解椭圆内函数的最大值或最小值。
当使用参数化法解决椭圆的最值问题时,以下是一些常见的步骤:1. 将椭圆参数化为x = h + a*cos(t), y = k + b*sin(t),其中(h,k) 是椭圆的中心坐标,a 和b 分别是椭圆在x 轴和y 轴上的半长轴和半短轴的长度。
2. 将函数f(x, y) 表示为f(t) 的形式,即将函数中的x 和y 替换为参数t 的表达式。
这样,问题就被转化为在参数t 的取值范围内寻找f(t) 的最大值或最小值。
3. 确定参数t 的取值范围。
解答椭圆中最值问题策略椭圆是圆锥曲线这一章节中的重要内容,而与椭圆有关的最值问题则是解析几何中最值问题的一个组成部分.与椭圆有关的最值问题具有综合性强、涉及知识面广等特点,是学习中的一个难点.要解决这类问题往往利用函数与方程思想、数形结合思想、转化与化归等数学思想方法,将它转化为解不等式或求函数值域,以及利用函数单调性、各种平面几何中最值的思想来解决.一、建立目标函数,利用函数性质例1 设P(x ,y)是椭圆x 264+y 228=1上的一点,F 1为椭圆的左焦点,求|PF 1|的最大值和最小值.分析:由于点F 的坐标为(-6,0),因此只须设出点P 的坐标(x ,y),结合椭圆方程即可建立|PF 1|关于横坐标x 的目标函数,再结合函数的即可求解.解:椭圆的左焦点F 1坐标为(-6,0),根据两点的距离公式,得|PF 1|=(x +6)2+y 2=(x +6)2+(28-716x 2)=916(x +323)2=34|x +323|, 由已知,得x ∈[-8,8],函数34|x +323|在[-8,8]上为增函数, 故|PF 1|max =34|8+323|=14,|PF 1|min =34|-8+323|=2. 点拨:函数法是探求最值问题的常用方法,尤其是二次函数,值得注意的是函数自变量取值范围的确定不容忽视.同时通过本题的解答,可得结论:椭圆上的点到焦点的距离取得最大值和最小值的点就是椭圆的两个端点.二、利用定义转化,结合平面几何性质例2 已知A (4,0)、B (2,2),M 是椭圆9x 2+25y 2=225上的动点,求|MA |+|MB |的最大与最小值.分析:由于A(4,0)是椭圆的焦点,因此可以利用椭圆的定义对|MA |+|MB |转化,转化为求解椭圆上一动点到定直线上两定点的距离之差的最值问题.解析:如图所示,由题意,知点A (4,0)恰为椭圆右焦点,则A 关于O 的对称点A 1(-4,0)(左焦点),由椭圆的第一定义,得|MA |+|MA 1|=2a ,|MA |=2a -|MA 1|,∴|MA |+|MB |=(2a -|MA 1|)+|MB |=2a +(|MB -|MA 1|),在△A 1BM 中,||MB |-|MA 1||≤|A 1B |=210,-210≤|MB |-|MA 1|≤210, 又2a =10.故|MA |+|MB |的最大值是10+210,最小值为10-210.点评:(1)涉及椭圆的焦点问题,一般都可以利用定义引导思维,同时常起着转化的作用;(2)注重使用平面几何知识“三角形中的三边关系”,三点共线为特例,从而确定最值.三、巧妙设角,利用三角函数有界性例3 已知椭圆C :x 2a 2+y 2b2=1(a >b >0)两个焦点为F 1,F 2,如果曲线C 上存在一点Q ,使F 1Q ⊥F 2Q ,求椭圆离心率的最小值。
DF By AOE椭圆中的最值问题1 .设F 1、F 2分别是椭圆2214x y +=的左、右焦点,若P 是该椭圆上的一个动点,求12PF PF ⋅的最大值和最小值.2 .如图,四边形ABCD 的顶点都在椭圆13622=+y x 上,对角线A C .BD 互相垂直且平分于原点O.(1)若点A 在第一象限,直线AB 的斜率为1,求直线AB 的方程; (2)求四边形ABCD 面积的最小值.3 .设F 1、F 2分别是椭圆1922=+y x 的左、右焦点。 (I)若M 是该椭圆上的一个动点,求21MF MF ⋅的最大值和最小值;(II)设过定点(0,2)的直线l 与椭圆交于不同两点A .B,且∠AOB 为钝角(其中O 为坐标原点),求直线l 的斜率k 的取值范围。4 .已知椭圆C 22:14y x +=,过点M (0, 1)的直线l 与椭圆C 相交于两点A 、B . (Ⅰ)若l 与x 轴相交于点P ,且P 为AM 的中点,求直线l 的方程; (Ⅱ)设点1(0,)2N ,求||NA NB +的最大值.5 .已知以原点O 为中心的椭圆的一条准线方程为43y =离心率3e =M 是椭圆上的动点. (Ⅰ)若,C D 的坐标分别是(0,3),(0,3)-,求MC MD 的最大值;(Ⅱ)如题(20)图,点A 的坐标为(1,0),B 是圆221x y +=上的点,N 是点M 在x 轴上的射影,点Q 满足条件:OQ OM ON =+,0QA BA =.求线段QB 的中点P 的轨迹方程;6 .(如图)设椭圆中心在坐标原点,(20)(01)A B ,,,是它的两个顶点,直线)0(>=k kx y 与AB 相交于点D ,与椭圆相交于E 、F 两点.(1)若6ED DF =,求k 的值; (2)求四边形AEBF 面积的最大值.7 .设椭圆为1422=+y x ,过点M (0,1)的直线l 交椭圆于A .B 两点,O 是坐标原点,点P 满足)(21+=,点N 的坐标是(0.5,0.5),当l 绕点M 旋转时,求:(1)动点P 的轨迹方程;(2)求|NP |的最大值与最小值。8 .已知椭圆22221(0)x y C a b a b+=>>:的离心率为6,短轴一个端点到右焦点的距离为3.(Ⅰ)求椭圆C 的方程;(Ⅱ)设直线l 与椭圆C 交于A B ,两点,坐标原点O 到直线l 的距离为3,求AOB △面积的最大值. 9 .椭圆的中心原点O ,焦点在y 轴上,离心率6e =,过(0,1)P 的直线l 与椭圆交于A 、B 两点,且2AP PB =,求AOB ∆面积的最大值及取得最大值时椭圆的方程.学科网10.已知动点A .B 分别在x 轴、y 轴上,且满足|AB|=2,点P 在线段AB 上,且).(是不为零的常数t t =设点P 的轨迹方程为C 。
与椭圆有关的最值问题圆锥曲线在高考中占很重要的地位,每年必考。
对椭圆、双曲线、抛物线的研究方法基本相同,椭圆为三曲线之首,对椭圆的学习就更为重要了。
而椭圆中的最值问题是比较重要的课题,它主要体现了转化思想及数形结合的应用,涉及到的知识有椭圆定义、标准方程、参数方程、三角函数、二次函数、不等式等内容。
能够考查学生的分析能力、理解能力、知识迁移能力、解决问题的能力等等。
下面介绍几种常见的与椭圆有关的最值问题的解决方法。
1.定义法例1。
P(-2,3),F 2为椭圆1162522=+y x 的右焦点,点M 在椭圆上移动,求︱MP ︱+︱MF 2︱的最大值和最小值。
分析:欲求︱MP ︱+︱MF 2︱的最大值和最小值 可转化为距离差再求。
由此想到椭圆第一定义 ︱MF 2︱=2a-︱MF 1︱, F 1为椭圆的左焦点。
解:︱MP ︱+︱MF 2︱=︱MP ︱+2a-︱MF 1︱连接PF 1延长PF 1交椭圆于点M 1,延长F 1P 交椭圆于点M 2由三角形三边关系知–︱PF 1︱≤︱MP ︱-︱MF 1︱≤︱PF 1︱当且仅当M 与M 122a=10, ︱PF 1︱=2所以(︱MP ︱+︱MF 2︱)max =12, (︱MP ︱+︱MF 2︱)min =8结论1:设椭圆12222=+by a x 的左右焦点分别为F 1、F 2, P(x 0,y 0)为椭圆内一点,M(x,y)为椭圆上任意一点,则︱MP ︱+︱MF 2︱的最大值为2a+︱PF 1︱,最小值为2a –︱PF 1︱。
例2:P(-2,6),F 2为椭圆1162522=+y x 的右焦点,点M 在椭圆上移动,求︱MP ︱+︱MF 2︱的最大值和最小值。
分析:点P 在椭圆外,PF 2交椭圆于M ,此点使︱MP ︱+︱MF 2︱值最小,求最大值方法同例1。
解:︱MP ︱+︱MF 2︱=︱MP ︱+2a-︱MF 1︱连接PF 1并延长交椭圆于点M 1,则M 在M 1处时︱MP ︱-︱MF 1︱取最大值︱PF 1︱。
例析椭圆中的三种最值问题与椭圆有关的最值问题均具有较强的综合性,涉及到数学知识的多种知识点,诸如:几何、三角、函数等,同时与椭圆的定义、方程联系紧密,思维能力要求比较高.下面对与椭圆的最值有关的问题作简单的探究: 一、利用定义转化为几何问题处理最值:例1、已知1F 是椭圆22195x y +=的左焦点,P 是椭圆上的动点,()1,1A 为定点,则1PA PF +的最小值是( )A、9 B、6 C、3+ D 、6解析:连接2F A 并延长交椭圆P '是椭圆上一动点,连接12,,PF PF PA ∵1212PF PA AF PF PF ++≥+,而121212PF PF P F P F P F P A AF ''''+=+=++, ∴1212PF PA AF P FP A AF ''++≥++,∴111226PF PA P FP A P F P F AF ''''+≥+=+-=(当P 与P '重合时取“=”号) 故答案:选B 。
二、利用椭圆的标准方程三角换元求最值:例2、已知点P 是椭圆221169x y +=上任意一点,则点P 到直线70x y +-=的距离最大值为解析:由椭圆的方程221169x y +=,则可设4cos 3sin x y θθ=⎧⎨=⎩(θ为参数) 设点()4cos ,3sin P θθ,则点P到直线的距离为d ==当()sin 1θϕ+=-,距离d的最大值为max d == 点评:本题利用里椭圆的标准方程的结构形式,把椭圆的最值问题,转化为三角函数的最值问题,利用三角函数的性质求解。
三、利用函数的最值探究方法:例3、设椭圆的中心是坐标原点,长轴在x 轴上,离心率2e =,已知点30,2P ⎛⎫⎪⎝⎭到这个,求这个椭圆的方程,并求椭圆上到点P 坐标。
解析:设椭圆的方程为()222210x y a b a b+=>>,由2e =,即2c a =,又222a b c =+ ∴2a b =,故椭圆的方程是()2222104x y b b b+=>。
求椭圆中四类最值问题一、的最值若A为椭圆内一定点(异于焦点),P是C上的一个动点,F是C的一个焦点,e是C的离心率,求的最小值。
例1. 已知椭圆内有一点A(2,1),F是椭圆C的左焦点,P为椭圆C上的动点,求的最小值。
分析:注意到式中的数值“”恰为,则可由椭圆的第二定义知等于椭圆上的点P到左准线的距离。
这种方法在本期《椭圆中减少运算量的主要方法》一文中已经介绍过,这里不再重复,答案为。
二、的最值若A为椭圆C内一定点(异于焦点),P为C上的一个动点,F是C 的一个焦点,求的最值。
例2. 已知椭圆内有一点A(2,1),F为椭圆的左焦点,P 是椭圆上动点,求的最大值与最小值。
解:如图1,设椭圆的右焦点为,可知其坐标为(3,0)图1由椭圆的第一定义得:可知,当P为的延长线与椭圆的交点时,最大,最大值为,当P为的延长线与椭圆的交点时,最小,最小值为。
故的最大值为,最小值为。
三、的最值若A为椭圆C外一定点,为C的一条准线,P为C上的一个动点,P 到的距离为d,求的最小值。
例3. 已知椭圆外一点A(5,6),为椭圆的左准线,P为椭圆上动点,点P到的距离为d,求的最小值。
解:如图2,设F为椭圆的左焦点,可知其坐标为图2根据椭圆的第二定义有:,即可知当P、F、A三点共线且P在线段AF上时,最小,最小值。
故的最小值为10。
四、椭圆上定长动弦中点到准线距离的最值例4. 定长为的线段AB的两个端点分别在椭圆上移动,求AB的中点M到椭圆右准线的最短距离。
解:设F为椭圆的右焦点,如图3,作于A”,BB”⊥于B”,MM”⊥于M”图3则当且仅当AB过焦点F时等号成立。
故M到椭圆右准线的最短距离为。
评注:是椭圆的通径长,是椭圆焦点弦长的最小值,是AB 能过焦点的充要条件。
与椭圆有关的最值问题
圆锥曲线在高考中占很重要的地位,每年必考。
对椭圆、双曲线、抛物线的研究方法基本相同,椭圆 为三曲线之首,对椭圆的学习就更为重要了。
而椭圆中的最值问题是比较重要的课题,它主要体现了转化 思想及数形结合的应用,涉及到的知识有椭圆定义、标准方程、参数方程、三角函数、二次函数、不等式 等内容。
能够考查学生的分析能力、理解能力、知识迁移能力、解决问题的能力等等。
下面介绍几种常见 的与椭圆有关的最值问题的解决方法。
1 •定义法
2 2
例1。
P(-2, 3 ),F2为椭圆——=1的右焦点,点M 在椭圆上移动,求丨MP| + | MF 2 |的最大值
25
16
和最小值。
分析:欲求丨MP| + | MF 丨的最大值和最小值 可转化为距离差再求。
由此想到椭圆第一定义 | MF | =2a- | MF | , F 1为椭圆的左焦点。
解:| MP| + | MF | = | MP| +2a- | MF | 连接 PR 延长 PF 1 交椭圆于点M 1,延长F 1P 交椭圆于点M 2由三角形三边关系知
-| PF |兰| MP| - | MF |兰| PR |当且仅当M 与M 1重合时取右等号、M 与M 2重合时取左等号。
因为 2a=10,
| PF 1 | =2所以(| MP| + | MF |) ma>=12, (| MP | + | MF | )
min
=8
2 2
X y
结论1:设椭圆二 2 =1的左右焦点分别为F 1、F 2, P(x o ,y o )为椭圆内一点,M(x,y)为椭圆上任意
a b
一点,则| MP | + | MF |的最大值为 2a+ | PF 1 |,最小值为2a - | PR |。
2 2
例 2: P(-2,6),F 2为椭圆— -L
25
16
M ,此点使| MP| + | MF |值最小,求最大值方法同例 1。
MF |连接PF 1并延长交椭圆于点 皿仆则M 在M 1处时| MP | - | MF
I 取最大值| PF 1 |。
二| MP | + | MF |最大值是10+ , 37,最小值是,41
2 2
x
y
结论2:设椭圆一2
- =1的左右焦点分别为F 1、F 2, P(x o ,y o )为椭圆外一点,M(x,y)为椭圆上任意一点,
a
b
则| MP | + | MF |的最大值为 2a+ | PF 1 |,最小值为 PF ?。
2. 二次函数法
2 2
例3•求定点A(a,0)到椭圆务'£ =1上的点之间的最短距离。
a b
分析:在椭圆上任取一点,由两点间距离公式表示|
PA |,转化为x,y 的函数,求最小值。
1
1
解:设 P(x,y)为椭圆上任意一点,| PA | 2=(x-a) 2+y 2 =(x-a) 2+1-
x 2
= (x_ 2a)2+1d 由椭圆方
=1的右焦点,点 M 在椭圆上移动,求| MP | + | MF |的最大值和
最小值。
分析:点P 在椭圆外,PF 2交椭圆于 解:| MP | + | MH | = | MP | +2a- |
M 1
M 2
2 2
程知x 的取值范围是卜..2, , 2 ]
(1) 若丨 a ,则 x=2a 时丨 PA | min =
1 _a 2
2
(2)
若 a> —,则 x= . 2 时 I PA | min = I a -
2 I
2
(3)
若 a<-二,则 | PA | min = | a+ • 2 I
2
2 2
结论3:椭圆△—
y -
=1上的点M(x,y)到定点A(m,O)或B(O,n)距离的最值问题,可以用两点间距离公式
a 2
b 2
表示| MA |或| MB |,通过动点在椭圆上消去 y 或x,转化为二次函数求最值,注意自变量的取值范围。
3. 三角函数法
2
X 2
例4 :椭圆一〒-y =1上的点M(x,y)到直线I : x+2y=4的距离记为d,求d 的最值
4
X*2?-4转化为x 或y 的函数就太麻烦了,为了统一变量,可以用椭圆
、5
的参数方程,即三角换元
2 2
结论4:若椭圆务-y - =1上的点到非坐标轴上的定点的距离求最值时
,可通过椭圆的参数方程,
a b
统一变量转化为三角函数求最值。
4. 判别式法
例4的解决还可以用下面方法
把直线平移使其与椭圆相切,有两种状态,一种可求最小值,另一种求最大值。
解。
令直线 m : x+2y+c=0将x = — 2y — C 代入椭圆方程整理得 8y 2+4cy+c 2-4=0,由△ =0解得c=± 2^2 ,
C =-
2 2时直线m : x+2y- 2 2 =0与椭圆切于点P 则P 至憤线I 的距离为最小值,且最小值就是两平行
分析:若按例3那样 d=
d=
解:d=
x 2y-4
x5
x = 2C O S
令」y = sien 皆R )
2 COST 2sin v-4
2
<5
V 5
v'2 sin (日 +匸)_2
当 si n
(寸.一)=1 日
寸,d min :
4
4 5 -2 10
5
当 sin (二• — )= — 1 日寸,d max =
4
c=2 ••.2时直线m : x+2y+2・.2 =0与椭圆切于点Q ,则Q 到直线I 的距离为最大值,且最大值就是两平行
i —
I 直线m 与I 的距离,所以d max = 4 5 2 10。
5
结论5:椭圆上的点到定直线I 距离的最值问题,可转化为与I 平行的直线m 与椭圆相切的问题,利用判 别式求岀直线m 方程,再利用平行线间的距离公式求岀最值。
说明:有些题目可以用几种不同的方法去解决,我们必须清楚它们的最优解法,以便提高做题速度及准确 率。
直线m 与l 的距离,所以
d _4J^—2J10
d
min =
5。