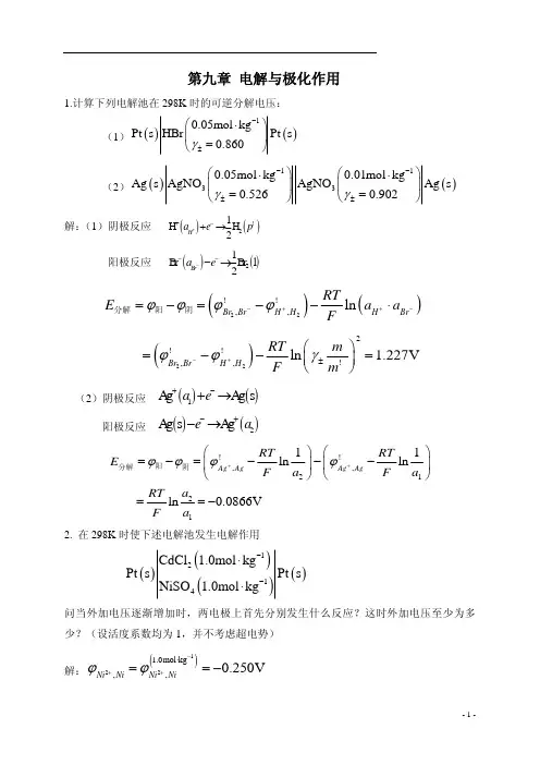
问当外加电压逐渐增加时,两电极上首先分别发生什么反应?这时外加电压至少为多
少?(设活度系数均为 1,并不考虑超电势)
( ) ϕ ϕ = = −0.250V 解: Ni2+ ,Ni
1.0 mol⋅kg −1 Ni2+ ,Ni
-1-
物理化学习题解答
ϕ ϕ( ) = = −0.402V Cd2+ ,Cd
1.0mol⋅kg−1 Cd 2+ ,Cd
ϕH+ ,H2
=
RT F
ln
a H
+
=
RT F
ln 10−7
= −0.414V
则在阴极上首先发生的反应是Ni2+还原成Ni析出
ϕCl2 ,Cl−
( ) 1.0mol⋅kg−1 = ϕ − Cl2,Cl−
RT F
ln
a Cl
−
= 1.304V
ϕO2 ,OH −
物理化学习题解答
ϕ Ag2O, Ag
= ϕ! AOH
−
= 0.344 − 8.314× 298 × ln 0.01 = 0.462V 96500
所以阳极先发生Ag氧化为Ag2O
E分解 = 0.462 − (−1.58) = 2.04V
7.在 298K , p! 压力时,以Pt为阴极,C(石墨)为阳极,电解含CdCl2(0.01 mol⋅kg-1)和 CuCl2(0.02 mol⋅ kg-1)的水溶液。若电解过程中超电势可忽略不计,试问:(设活度系数均 为 1)
H+ ,H2
则 −0.7924 > −1.1338 − 0.116 lg j j > 1.14×10−3 A ⋅ cm−2
即电流密度应控制在 1.14×10-3A·cm-2以下时,H2气才不会和锌同时析出。 5. 在 298K时,当电流密度为 0.1 A·cm-2时,H2(g)和O2(g)在Ag(s)电极上的超电势分别为 0.87 和 0.98V。今用Ag(s)电极插入 0.01mol· kg-1的NaOH溶液中进行电解,问在该条件下 在两个银电极上首先发生什么反应?此时外加电压为多少?(设活度系数为 1) 解:阴极可能发生的反应有: