工程力学公式总概括
- 格式:doc
- 大小:133.00 KB
- 文档页数:4
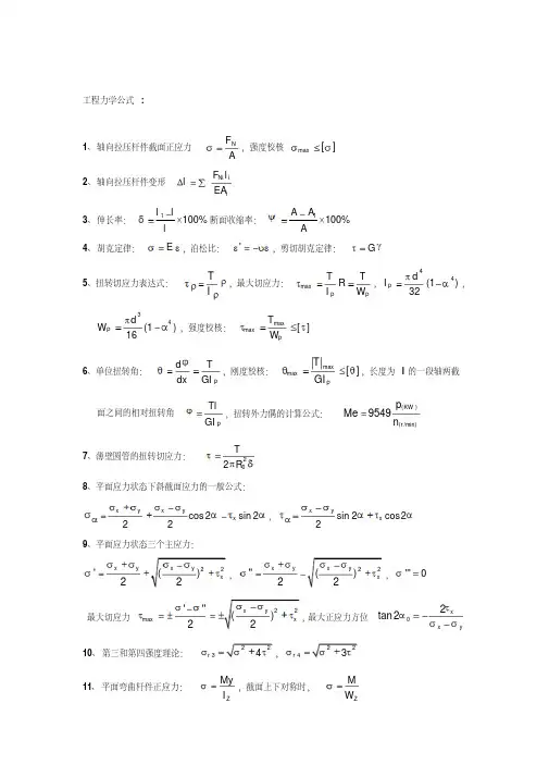
公式:1、轴向拉压杆件截面正应力N F Aσ=,强度校核max []σσ≤2、轴向拉压杆件变形Ni i iF l l EA ∆=∑3、伸长率:1100%l l l δ-=⨯断面收缩率:1100%A A Aψ-=⨯ 4、胡克定律:E σε=,泊松比:'ευε=-,剪切胡克定律:G τγ= 5、扭转切应力表达式:T I ρρτρ=,最大切应力:max P PT TR I W τ==,44(1)32P d I πα=-,34(1)16P d W πα=-,强度校核:maxmax []PT W ττ=≤ 6、单位扭转角:Pd Tdx GI ϕθ==,刚度校核:max max []PT GI θθ=≤,长度为l 的一段轴两截面之间的相对扭转角PTl GI ϕ=,扭转外力偶的计算公式:()(/min)9549KW r p Me n =7、薄壁圆管的扭转切应力:202T R τπδ=8、平面应力状态下斜截面应力的一般公式:cos 2sin 222x yx yx ασσσσσατα+-=+-,sin 2cos 22x yx ασστατα-=+9、平面应力状态三个主应力:'2x yσσσ+=+''2x yσσσ+='''0σ=最大切应力max '''2σστ-=±=,最大正应力方位02tan 2x x yτασσ=--10、第三和第四强度理论:3r σ=4r σ= 11、平面弯曲杆件正应力:ZMy I σ=,截面上下对称时,ZM W σ=矩形的惯性矩表达式:312Z bh I =圆形的惯性矩表达式:44(1)64Z d I πα=-矩形的抗扭截面系数:26Z bh W =,圆形的抗扭截面系数:34(1)32Z d W πα=-13、平面弯曲杆件横截面上的最大切应力:max max *S z SZ F S FK bI Aτ==14、平面弯曲杆件的强度校核:(1)弯曲正应力max []t t σσ≤,max []c c σσ≤(2)弯曲切应力max []ττ≤(3)第三类危险点:第三和第四强度理论15、平面弯曲杆件刚度校核:叠加法max []w wl l≤,max []θθ≤ 16、(1)轴向载荷与横向载荷联合作用强度: maxmax min ()N ZF M A W σσ=±(2)偏心拉伸(偏心压缩):max min ()N ZF F A W δσσ=±(3)弯扭变形杆件的强度计算:3[]r Z σσ==≤4[]r Zσσ==≤有关高等数学计算过程中所涉及到的数学公式(集锦)一、0101101lim 0n n n m m x m a n m b a x a x a n m b x b x b n m --→∞⎧=⎪⎪+++⎪=<⎨+++⎪∞>⎪⎪⎩(系数不为0的情况)二、重要公式(1)0sin lim 1x xx→=(2)()10lim 1x x x e →+= (3))1n a o >= (4)1n = (5)lim arctan 2x x π→∞=(6)lim tan 2x arc x π→-∞=-(7)limarccot 0x x →∞= (8)lim arccot x x π→-∞= (9)lim 0xx e →-∞=(10)lim x x e →+∞=∞ (11)0lim 1xx x +→=三、下列常用等价无穷小关系(0x →)sin xx tan x x arcsin x x arctan xx 211cos 2xx -()ln 1x x + 1x e x - 1ln x a x a - ()11x x ∂+-∂四、导数的四则运算法则()u v u v '''±=± ()uv u v uv '''=+ 2u u v uv v v '''-⎛⎫= ⎪⎝⎭五、基本导数公式⑴()0c '= ⑵1x xμμμ-= ⑶()sin cos x x '=⑷()cos sin x x '=- ⑸()2tan sec x x '= ⑹()2cot csc x x '=- ⑺()sec sec tan x x x '=⋅ ⑻()csc csc cot x x x '=-⋅⑼()xxee'= ⑽()ln xxaaa '= ⑾()1ln x x'=⑿()1log ln xax a '=⒀()arcsin x '= ⒁()arccos x '=⒂()21arctan 1x x '=+ ⒃()21arccot 1x x '=-+⒄()1x '=⒅'=六、高阶导数的运算法则 (1)()()()()()()()n n n u x v x u x v x ±=±⎡⎤⎣⎦ (2)()()()()n n cu x cu x =⎡⎤⎣⎦(3)()()()()n n nu ax b a uax b +=+⎡⎤⎣⎦(4)()()()()()()()0nn n k k k n k u x v x c u x v x -=⋅=⎡⎤⎣⎦∑七、基本初等函数的n 阶导数公式 (1)()()!n nxn = (2)()()n ax b n ax b e a e ++=⋅ (3)()()ln n x x n a a a =(4)()()sin sin 2n n ax b a ax b n π⎛⎫+=++⋅⎡⎤ ⎪⎣⎦⎝⎭(5) ()()cos cos 2n n ax b a ax b n π⎛⎫+=++⋅⎡⎤ ⎪⎣⎦⎝⎭(6)()()()11!1n n nn a n ax b ax b +⋅⎛⎫=- ⎪+⎝⎭+ (7)()()()()()11!ln 1n n n na n axb ax b -⋅-+=-⎡⎤⎣⎦+八、微分公式与微分运算法则 ⑴()0d c = ⑵()1d xxdx μμμ-= ⑶()sin cos d x xdx =⑷()cos sin d x xdx =- ⑸()2tan sec d x xdx = ⑹()2cot csc d x xdx =- ⑺()sec sec tan d x x xdx =⋅ ⑻()csc csc cot d x x xdx =-⋅ ⑼()xx d ee dx = ⑽()ln x x d a a adx = ⑾()1ln d x dx x=⑿()1log ln xad dx x a =⒀()arcsin d x =⒁()arccos d x = ⒂()21arctan 1d x dx x =+ ⒃()21arccot 1d x dx x=-+九、微分运算法则⑴()d u v du dv ±=± ⑵()d cu cdu = ⑶()d uv vdu udv =+ ⑷2u vdu udvd v v -⎛⎫= ⎪⎝⎭十、基本积分公式⑴kdx kx c =+⎰ ⑵11x x dx c μμμ+=++⎰ ⑶ln dx x c x=+⎰ ⑷ln xxa a dx c a=+⎰ ⑸x x e dx e c =+⎰ ⑹cos sin xdx x c =+⎰ ⑺sin cos xdx x c =-+⎰⑻221sec tan cos dx xdx x c x ==+⎰⎰ ⑼221csc cot sin xdx x c x ==-+⎰⎰ ⑽21arctan 1dx x c x=++⎰ ⑾arcsin x c =+十二、补充下面几个积分公式tan ln cos xdx x c =-+⎰ cot ln sin xdx x c =+⎰ sec ln sec tan xdx x x c =++⎰ csc ln csc cot xdx x x c =-+⎰2211arctan xdx c a x a a=++⎰ 2211ln 2x a dx c x a a x a -=+-+⎰arcsinx c a =+ ln x c =+十三、分部积分法公式⑴形如n ax x e dx ⎰,令n u x =,axdv e dx =形如sin n x xdx ⎰令nu x =,sin dv xdx =形如cos n x xdx ⎰令nu x =,cos dv xdx = ⑵形如arctan n x xdx ⎰,令arctan u x =,ndv x dx =形如ln n x xdx ⎰,令ln u x =,ndv x dx =⑶形如sin ax e xdx ⎰,cos ax e xdx ⎰令,sin ,cos axu e x x =均可。
工程力学公式整理工程力学(Engineering Mechanics)是一门研究力学原理在工程中的应用的学科。
它主要研究物体在受力作用下的运动和变形规律。
在工程学中,力学公式是进行分析和计算的基础。
下面是一些常见的工程力学公式整理。
1.力的合成与分解公式:力的合成公式:F = √(F₁² + F₂² + 2F₁F₂cosθ)力的分解公式:F₁ = Fcosθ, F₂ = Fsinθ其中,F为施于物体的合力,F₁、F₂为分解后的力,θ为施力与横坐标方向的夹角。
2.矩形截面惯性矩和抗弯应力公式:惯性矩公式:I=(b*h³)/12抗弯应力公式:σ=(M*y)/I其中,b和h分别为矩形截面的宽度和高度,I为截面的惯性矩,M 为弯矩,y为截面内其中一点的纵坐标。
3.应力和变形的关系公式:胡克定律公式:σ=Ee弹性模量公式:E=(F/A)/(ΔL/L₀)其中,σ为应力,E为弹性模量,F为受力,A为受力面积,ΔL为长度变化量,L₀为初始长度。
4.摩擦力公式:滑动摩擦力公式:F=μN滚动摩擦力公式:F=RμN其中,F为摩擦力,μ为摩擦系数,N为垂直于接触面的力,R为滚动半径。
5.动量和能量守恒公式:动量守恒公式:m₁v₁+m₂v₂=m₁v₁'+m₂v₂'动能公式:K = (1/2)mv²其中,m为物体的质量,v为物体的速度,v'为受撞物体的速度。
6.应力和应变的关系公式:杨氏模量公式:E=(σ/ε)横向收缩率公式:μ=-(ε₁/ε₂)泊松比公式:μ=-(ε₁/ε₂)其中,E为杨氏模量,σ为应力,ε为应变,μ为泊松比,ε₁为纵向应变,ε₂为横向应变。
这些力学公式是工程力学中常用的基本公式,用于解决各种工程问题。
通过运用这些公式,我们可以计算结构的受力情况、变形情况,进行力学分析和设计,保证工程的稳定性和安全性。
当然,工程力学的应用还远不止于此,还包括静力学、动力学、流体力学等等。
1、轴向拉压杆件截面正应力N F Aσ=,强度校核max[]σσ≤2、轴向拉压杆件变形Ni i iF l lEA ∆=∑3、伸长率:1100%l l l δ-=⨯断面收缩率:1100%A A A ψ-=⨯ 4、胡克定律:E σε=,泊松比:'ευε=-,剪切胡克定律:G τγ=5、扭转切应力表达式:T I ρρτρ=,最大切应力:max P P T TR I W τ==,44(1)32P d I πα=-,34(1)16P d W πα=-,强度校核:maxmax []PT W ττ=≤ 6、单位扭转角:Pd Tdx GI ϕθ==,刚度校核:max max[]PT GI θθ=≤,长度为l 的一段轴两截面之间的相对扭转角PTlGI ϕ=,扭转外力偶的计算公式:()(/min)9549KW r p Me n =7、薄壁圆管的扭转切应力:202T R τπδ=8、平面应力状态下斜截面应力的一般公式:cos 2sin 222x yx yx ασσσσσατα+-=+-,sin 2cos 22x yx ασστατα-=+9、平面应力状态三个主应力:'2x yσσσ+=+''2x yσσσ+='''0σ=最大切应力max'''2σστ-=±=02tan 2x x yτασσ=--10、第三和第四强度理论:3r σ=,4r σ=11、平面弯曲杆件正应力:ZMyI σ=,截面上下对称时,Z M W σ=矩形的惯性矩表达式:312Z bh I =圆形的惯性矩表达式:44(1)64Z d I πα=-矩形的抗扭截面系数:26Z bh W =,圆形的抗扭截面系数:34(1)32Zd W πα=-13、平面弯曲杆件横截面上的最大切应力:max max*S z SZ F S FK bI Aτ==14、平面弯曲杆件的强度校核:(1)弯曲正应力max []t t σσ≤,max []c c σσ≤(2)弯曲切应力max[]ττ≤(3)第三类危险点:第三和第四强度理论15、平面弯曲杆件刚度校核:叠加法max []w wl l≤,max []θθ≤ 16、(1)轴向载荷与横向载荷联合作用强度:maxmax min ()N ZF M A W σσ=±(2)偏心拉伸(偏心压缩):max min ()N ZF F A W δσσ=±(3)弯扭变形杆件的强度计算:3[]r Z σσ==≤4[]r Zσσ==≤。
刚体 力的三要素:大小、方向、作用点静力学公理:1力的平行四边形法则2二力平衡条件3加减平衡力系原理(1)力的可传性原理(2)三力平衡汇交定理4作用与反作用定律约束:柔索约束;光滑面约束;光滑圆柱(圆柱、固定铰链、向心轴承、辊轴支座);链杆约束(二力杆) 平面汇交力系平衡的必要和充分条件是:力系的合力等于零。
平面汇交力系平衡几何条件:力多边形自行封闭合力投影定理合力在任一轴上的投影,等于各分力在同一轴上投影的代数和。
它表明了合力与分力在同一坐标轴投影时投影量之间的关系。
平面汇交力系平衡条件:∑F ix =0;∑F iy =0。
2个独立平衡方程 第三章 力矩 平面力偶系力矩M 0(F)=±Fh(逆时针为正) 合力矩定理:平面汇交力系的合力对平面上任一点力矩,等于力系中各分力对与同一点力矩的代数和。
Mo(F )=Mo(F1)+Mo(F 2)+...+Mo(F n)=∑Mo(F ) 力偶;由大小相等,方向相反,而作用线不重合的两个平行力组成的力系称为力偶 力偶矩M =±Fd(逆时针为正)力偶的性质:性质1 力偶既无合力,也不能和一个力平衡,力偶只能用力偶来平衡。
性质2 力偶对其作用面内任一点之矩恒为常数,且等于力偶矩,与矩心的位置无关。
性质3 力偶可在其作用面内任意转移,而不改变它对刚体的作用效果。
性质4 只要保持力偶矩的大小和转向不变,可以同时改变力偶中力的大小和力偶臂的长短, 而不改变其对刚体的作用效果。
平面力偶系平衡条件是合力偶矩等于零。
第四章 平面任意力系力的平移定理:将力从物体上的一个作用点,移动到另外一点上,额外加上一个力偶矩,其大小等于这个力乘以2点距离,方向为移动后的力与移动前力的反向力形成的力偶的反方向平面力向力系一点简化可得到一个作用在简化中心的主矢量和一个作用于原平面内的主矩,主矢量等于原力系中各力的矢量和,而主矩等于原力系中各力对点之矩的代数和。
平面任意力系平衡条件:∑F ix =0;∑F iy =0,∑M 0(Fi)=0。
公式:1、轴向拉压杆件截面正应力N F A σ=,强度校核max []σσ≤ 2、轴向拉压杆件变形Ni i iF l l EA ∆=∑3、伸长率:1100%l l l δ-=⨯断面收缩率:1100%A A Aψ-=⨯ 4、胡克定律:E σε=,泊松比:'ευε=-,剪切胡克定律:G τγ=5、扭转切应力表达式:T I ρρτρ=,最大切应力:max P P T T R I W τ==,44(1)32P d I πα=-,34(1)16P d W πα=-,强度校核:max max []PT W ττ=≤ 6、单位扭转角:P d T dx GI ϕθ==,刚度校核:max max []PT GI θθ=≤,长度为l 的一段轴两截面之间的相对扭转角P Tl GI ϕ=,扭转外力偶的计算公式:()(/min)9549KW r p Me n = 7、薄壁圆管的扭转切应力:202T R τπδ=8、平面应力状态下斜截面应力的一般公式:cos 2sin 222x yx yx ασσσσσατα+-=+-,sin 2cos 22x yx ασστατα-=+9、平面应力状态三个主应力:'2x yσσσ+=+''2x y σσσ+='''0σ=最大切应力max '''2σστ-=±=最大正应力方位02tan 2x x yτασσ=-- 10、第三和第四强度理论:3r σ=,4r σ=11、平面弯曲杆件正应力:ZMy I σ=,截面上下对称时,Z M W σ= 矩形的惯性矩表达式:312Z bh I =圆形的惯性矩表达式:44(1)64Z d I πα=-矩形的抗扭截面系数:26Z bh W =,圆形的抗扭截面系数:34(1)32Z d W πα=- 13、平面弯曲杆件横截面上的最大切应力:max max *S z S Z F S F K bI Aτ== 14、平面弯曲杆件的强度校核:(1)弯曲正应力max []t t σσ≤,max []c c σσ≤(2)弯曲切应力max []ττ≤(3)第三类危险点:第三和第四强度理论15、平面弯曲杆件刚度校核:叠加法max []w w l l≤,max []θθ≤ 16、(1)轴向载荷与横向载荷联合作用强度: max max min ()N ZF M A W σσ=± (2)偏心拉伸(偏心压缩):max min ()N ZF F A W δσσ=± (3)弯扭变形杆件的强度计算:3[]r Zσσ==≤4[]r Z σσ==≤。
工程力学公式总结工程力学是一门研究力的作用和分析物体行为的学科。
在工程领域中,掌握力学公式是非常重要的,它能够帮助工程师们预测和解决各种问题。
本文将对一些常用的工程力学公式进行总结。
I. 静力学公式1. 牛顿第一定律:物体的速度保持恒定,除非受到外力的作用。
这个公式可以用来解释一些静力学问题,比如一个静止的物体如果没有受到外力的作用,将保持静止。
2. 牛顿第二定律:物体的加速度与作用力成正比,与物体质量成反比。
F = ma这个公式是力学中最重要的公式之一,能够解释物体运动的原因。
它表明,当作用力增加时,物体的加速度也会增加;而物体的质量越大,加速度越小。
3. 牛顿第三定律:对于每一个作用力,都存在一个等大、方向相反的反作用力。
这个公式可以解释为什么两个物体之间的力是相互作用的。
例如,当一个物体推另一个物体时,另一个物体也会推回来。
II. 动力学公式1. 动量定理:物体所受的总冲量等于物体的动量变化率。
FΔt = Δmv这个公式可以解释为什么用力撞击物体会改变物体的速度。
它表明,当物体受到一个力的作用时,物体的动量会发生变化。
2. 动能定理:物体的动能变化等于物体所受的净外力沿位移方向所做的功。
ΔKE = W这个公式可以解释为什么物体受到加速度时会增加它的动能。
它表示,当物体受到外力的作用并移动时,物体的动能将发生变化。
III. 应力与变形公式1. 应力应变关系:应力与应变成正比。
σ = Eε这个公式描述了材料受到应力时的变形情况。
E是材料的弹性模量,σ是应力,ε是应变。
2. 杨氏模量:刚度的度量。
E = σ/ε这个公式描述了材料在受到应力时的应变情况。
杨氏模量越大,材料越坚硬。
IV. 力矩与力的关系1. 力矩公式:力矩等于力与力臂的乘积。
M = Fd这个公式用来计算物体受到力的转动效应。
力矩等于力乘以力臂的长度。
2. 力的平衡公式:力的矢量和为零。
ΣF = 0这个公式用来解决物体处于平衡状态下的力的平衡问题。
公式:、轴向拉压杆件截面正应力NF A σ=,强度校核max []σσ≤、轴向拉压杆件变形Ni i i F l l EA ∆=∑、伸长率:1100%l l l δ-=⨯断面收缩率:1100%A A A ψ-=⨯、胡克定律:E σε=,泊松比:'ευε=-,剪切胡克定律:G τγ=、扭转切应力表达式:TI ρρτρ=,最大切应力:max P P T T R I W τ==,44(1)32P d I πα=-,34(1)16P d W πα=-,强度校核:maxmax []PT W ττ=≤、单位扭转角:P d Tdx GI ϕθ==,刚度校核:max max []P T GI θθ=≤,长度为 的一段轴两截面之间的相对扭转角P TlGI ϕ=,扭转外力偶的计算公式:()(/min)9549KW r p Me n =、薄壁圆管的扭转切应力:202T R τπδ=、平面应力状态下斜截面应力的一般公式:cos 2sin 222x yx yx ασσσσσατα+-=+-,sin 2cos 22x yx ασστατα-=+、平面应力状态三个主应力:'2x yσσσ+=+''2x yσσσ+='''0σ=最大切应力max '''2σστ-=±=,最大正应力方位02tan 2x x yτασσ=--、第三和第四强度理论:3r σ=4r σ= 、平面弯曲杆件正应力:Z My I σ=,截面上下对称时,Z MW σ=矩形的惯性矩表达式:312Z bh I =圆形的惯性矩表达式:44(1)64Z d I πα=- 矩形的抗扭截面系数:26Z bh W =,圆形的抗扭截面系数:34(1)32Z d W πα=-、平面弯曲杆件横截面上的最大切应力:max max *S z SZ F S FK bI A τ==、平面弯曲杆件的强度校核:( )弯曲正应力max []t t σσ≤,max []c c σσ≤( )弯曲切应力max []ττ≤( )第三类危险点:第三和第四强度理论、平面弯曲杆件刚度校核:叠加法max []w wl l ≤,max []θθ≤、( )轴向载荷与横向载荷联合作用强度:maxmax min ()N Z F M A W σσ=±( )偏心拉伸 偏心压缩 :max min ()N Z F F A W δσσ=±( )弯扭变形杆件的强度计算:3[]r Z σσ==4[]r Zσσ==≤。
公式:1、轴向拉压杆件截面正应力N F Aσ=,强度校核max []σσ≤2、轴向拉压杆件变形N i i iF l l EA ∆=∑3、伸长率:1100%l l lδ-=⨯断面收缩率:1100%A A Aψ-=⨯4、胡克定律:E σε=,泊松比:'ευε=-,剪切胡克定律:G τγ=5、扭转切应力表达式:T I ρρτρ=,最大切应力:m ax PPT T R I W τ==,44(1)32P d I πα=-,34(1)16P d W πα=-,强度校核:m ax m ax []PT W ττ=≤6、单位扭转角:P d T dxG I ϕθ==,刚度校核:m axm ax []PTG I θθ=≤,长度为l 的一段轴两截面之间的相对扭转角PTl G I ϕ=,扭转外力偶的计算公式:()(/m in)9549K W r p M e n =7、薄壁圆管的扭转切应力:202T R τπδ=8、平面应力状态下斜截面应力的一般公式:cos 2sin 222x yx yx ασσσσσατα+-=+-,sin 2cos 22x yx ασστατα-=+9、平面应力状态三个主应力:'2x yσσσ+=+''2x yσσσ+=-,'''0σ=最大切应力m ax '''2σστ-=±=最大正应力方位02tan 2xx yτασσ=--10、第三和第四强度理论:3r σ=,4r σ=11、平面弯曲杆件正应力:ZM y I σ=,截面上下对称时,ZM W σ=矩形的惯性矩表达式:312Z bhI =圆形的惯性矩表达式:44(1)64Z d I πα=-矩形的抗扭截面系数:26Z bh W =,圆形的抗扭截面系数:34(1)32Z d W πα=-13、平面弯曲杆件横截面上的最大切应力:maxmax *S z S ZF S F K bI Aτ==14、平面弯曲杆件的强度校核:(1)弯曲正应力m ax []t t σσ≤,m ax []c c σσ≤ (2)弯曲切应力max []ττ≤(3)第三类危险点:第三和第四强度理论 15、平面弯曲杆件刚度校核:叠加法m ax []w w ll≤,m ax []θθ≤16、(1)轴向载荷与横向载荷联合作用强度: max max min ()N ZF M AW σσ=±(2)偏心拉伸(偏心压缩):m ax m in ()N ZF F AW δσσ=±(3)弯扭变形杆件的强度计算:3[]r Z σσ==≤4[]r Zσσ==≤。
工程力学公式:1、轴向拉压杆件截面正应力N F Aσ=,强度校核max []σσ≤ 2、轴向拉压杆件变形Ni i i F l l EA ∆=∑3、伸长率:1100%l l l δ-=⨯断面收缩率:1100%A A Aψ-=⨯ 4、胡克定律:E σε=,泊松比:'ευε=-,剪切胡克定律:G τγ=5、扭转切应力表达式:T I ρρτρ=,最大切应力:max P P T T R I W τ==,44(1)32P d I πα=-,34(1)16P d W πα=-,强度校核:max max []P T W ττ=≤ 6、单位扭转角:P d T dx GI ϕθ==,刚度校核:max max []PT GI θθ=≤,长度为l 的一段轴两截面之间的相对扭转角P Tl GI ϕ=,扭转外力偶的计算公式:()(/min)9549KW r p Me n =7、薄壁圆管的扭转切应力:202T R τπδ=8、平面应力状态下斜截面应力的一般公式:cos 2sin 222x yx yx ασσσσσατα+-=+-,sin 2cos 22x yx ασστατα-=+9、平面应力状态三个主应力:'2x yσσσ+=,''2x y σσσ+='''0σ= 最大切应力max '''2σστ-=±=,最大正应力方位02tan 2x x yτασσ=-- 10、第三和第四强度理论:3r σ=,4r σ=11、平面弯曲杆件正应力:Z My I σ=,截面上下对称时,ZM W σ= 矩形的惯性矩表达式:312Z bh I =圆形的惯性矩表达式:44(1)64Z d I πα=- 矩形的抗扭截面系数:26Z bh W =,圆形的抗扭截面系数:34(1)32Z d W πα=- 13、平面弯曲杆件横截面上的最大切应力:max max *S z S Z F S F K bI Aτ== 14、平面弯曲杆件的强度校核:(1)弯曲正应力max []t t σσ≤,max []c c σσ≤(2)弯曲切应力max []ττ≤(3)第三类危险点:第三和第四强度理论15、平面弯曲杆件刚度校核:叠加法max []w w l l≤,max []θθ≤ 16、(1)轴向载荷与横向载荷联合作用强度: max max min ()N Z F M A W σσ=± (2)偏心拉伸(偏心压缩):max min ()N Z F F A W δσσ=± (3)弯扭变形杆件的强度计算:3[]r Zσσ==4[]r Z σσ==≤简支梁在各种荷载作用下跨中最大挠度计算公式:均布荷载下的最大挠度在梁的跨中,其计算公式:Ymax = 5ql^4/(384EI).式中: Ymax 为梁跨中的最大挠度(mm).q 为均布线荷载标准值(kn/m).E 为钢的弹性模量,对于工程用结构钢,E = 2100000 N/mm^2.I 为钢的截面惯矩,可在型钢表中查得(mm^4).跨中一个集中荷载下的最大挠度在梁的跨中,其计算公式: Ymax = 8pl^3/(384EI)=1pl^3/(48EI).式中: Ymax 为梁跨中的最大挠度(mm).p 为各个集中荷载标准值之和(kn).E 为钢的弹性模量,对于工程用结构钢,E = 2100000 N/mm^2.I 为钢的截面惯矩,可在型钢表中查得(mm^4).跨间等间距布置两个相等的集中荷载下的最大挠度在梁的跨中,其计算公式:Ymax = 6.81pl^3/(384EI).式中: Ymax 为梁跨中的最大挠度(mm).p 为各个集中荷载标准值之和(kn).E 为钢的弹性模量,对于工程用结构钢,E = 2100000 N/mm^2.I 为钢的截面惯矩,可在型钢表中查得(mm^4).跨间等间距布置三个相等的集中荷载下的最大挠度,其计算公式:Ymax = 6.33pl^3/(384EI).式中: Ymax 为梁跨中的最大挠度(mm).p 为各个集中荷载标准值之和(kn).E 为钢的弹性模量,对于工程用结构钢,E = 2100000 N/mm^2.I 为钢的截面惯矩,可在型钢表中查得(mm^4).悬臂梁受均布荷载或自由端受集中荷载作用时,自由端最大挠度分别为的,其计算公式:Ymax =1ql^4/(8EI). ;Ymax =1pl^3/(3EI).q 为均布线荷载标准值(kn/m). ;p 为各个集中荷载标准值之和(kn).你可以根据最大挠度控制1/400,荷载条件25kn/m以及一些其他荷载条件进行反算,看能满足的上部荷载要求!机械零件和构件的一种截面几何参量,旧称截面模量。
工程力学公式:1、轴向拉压杆件截面正应力N F Aσ=,强度校核max []σσ≤ 2、轴向拉压杆件变形Ni i i F l l EA ∆=∑3、伸长率:1100%l l l δ-=⨯断面收缩率:1100%A A Aψ-=⨯ 4、胡克定律:E σε=,泊松比:'ευε=-,剪切胡克定律:G τγ=5、扭转切应力表达式:T I ρρτρ=,最大切应力:max P P T T R I W τ==,44(1)32P d I πα=-,34(1)16P d W πα=-,强度校核:max max []P T W ττ=≤ 6、单位扭转角:P d T dx GI ϕθ==,刚度校核:max max []PT GI θθ=≤,长度为l 的一段轴两截面之间的相对扭转角P Tl GI ϕ=,扭转外力偶的计算公式:()(/min)9549KW r p Me n =7、薄壁圆管的扭转切应力:202T R τπδ=8、平面应力状态下斜截面应力的一般公式:cos 2sin 222x yx yx ασσσσσατα+-=+-,sin 2cos 22x yx ασστατα-=+9、平面应力状态三个主应力:'2x yσσσ+=,''2x y σσσ+='''0σ= 最大切应力max '''2σστ-=±=,最大正应力方位02tan 2x x yτασσ=-- 10、第三和第四强度理论:3r σ=,4r σ=11、平面弯曲杆件正应力:Z My I σ=,截面上下对称时,ZM W σ= 矩形的惯性矩表达式:312Z bh I =圆形的惯性矩表达式:44(1)64Z d I πα=- 矩形的抗扭截面系数:26Z bh W =,圆形的抗扭截面系数:34(1)32Z d W πα=- 13、平面弯曲杆件横截面上的最大切应力:max max *S z S Z F S F K bI Aτ== 14、平面弯曲杆件的强度校核:(1)弯曲正应力max []t t σσ≤,max []c c σσ≤(2)弯曲切应力max []ττ≤(3)第三类危险点:第三和第四强度理论15、平面弯曲杆件刚度校核:叠加法max []w w l l≤,max []θθ≤ 16、(1)轴向载荷与横向载荷联合作用强度: max max min ()N Z F M A W σσ=± (2)偏心拉伸(偏心压缩):max min ()N Z F F A W δσσ=± (3)弯扭变形杆件的强度计算:3[]r Zσσ==4[]r Z σσ==≤简支梁在各种荷载作用下跨中最大挠度计算公式:均布荷载下的最大挠度在梁的跨中,其计算公式:Ymax = 5ql^4/(384EI).式中: Ymax 为梁跨中的最大挠度(mm).q 为均布线荷载标准值(kn/m).E 为钢的弹性模量,对于工程用结构钢,E = 2100000 N/mm^2.I 为钢的截面惯矩,可在型钢表中查得(mm^4).跨中一个集中荷载下的最大挠度在梁的跨中,其计算公式: Ymax = 8pl^3/(384EI)=1pl^3/(48EI).式中: Ymax 为梁跨中的最大挠度(mm).p 为各个集中荷载标准值之和(kn).E 为钢的弹性模量,对于工程用结构钢,E = 2100000 N/mm^2.I 为钢的截面惯矩,可在型钢表中查得(mm^4).跨间等间距布置两个相等的集中荷载下的最大挠度在梁的跨中,其计算公式:Ymax = 6.81pl^3/(384EI).式中: Ymax 为梁跨中的最大挠度(mm).p 为各个集中荷载标准值之和(kn).E 为钢的弹性模量,对于工程用结构钢,E = 2100000 N/mm^2.I 为钢的截面惯矩,可在型钢表中查得(mm^4).跨间等间距布置三个相等的集中荷载下的最大挠度,其计算公式:Ymax = 6.33pl^3/(384EI).式中: Ymax 为梁跨中的最大挠度(mm).p 为各个集中荷载标准值之和(kn).E 为钢的弹性模量,对于工程用结构钢,E = 2100000 N/mm^2.I 为钢的截面惯矩,可在型钢表中查得(mm^4).悬臂梁受均布荷载或自由端受集中荷载作用时,自由端最大挠度分别为的,其计算公式:Ymax =1ql^4/(8EI). ;Ymax =1pl^3/(3EI).q 为均布线荷载标准值(kn/m). ;p 为各个集中荷载标准值之和(kn).你可以根据最大挠度控制1/400,荷载条件25kn/m以及一些其他荷载条件进行反算,看能满足的上部荷载要求!机械零件和构件的一种截面几何参量,旧称截面模量。
工程力学公式总结
哇塞,朋友们!今天咱就来讲讲工程力学公式总结。
你想想看,工程力学就像一个超级大宝藏,而这些公式就是打开宝藏大门的钥匙呀!
先来说说牛顿第二定律吧,F=ma,简单来说就是力等于质量乘加速度。
就好比你推一个大箱子,箱子越重,你得用更大的力才能让它动得快,这不是很明显嘛!比如小明要推动一个大柜子,累得气喘吁吁,就是因为柜子质量大,那需要的力也就大呀。
再看看胡克定律,F=kx,这就像一根弹簧,你拉它的长度变化和力是
成正比的。
你看那些蹦蹦床,人在上面跳来跳去,弹簧的伸缩不就是这个道理嘛!小红在蹦蹦床上玩得可欢了,就是因为弹簧的特性。
还有什么呢?对了,压强公式P=F/S。
压力除以受力面积就是压强啦。
你看我们踩在雪地上,有时候会陷进去,那就是我们对雪地的压强比较大呀。
要是穿上大鞋底,受力面积大了,压强就小啦,不就没那么容易陷进去了嘛。
小李穿着雪地靴在雪地里轻松行走,就是利用了这个道理呢!
还有很多很多其他的公式呢,每个公式都有它独特的用处和意义。
这些公式就像是我们解决问题的秘密武器呀,掌握了它们,我们就能在工程力学的世界里畅通无阻。
工程力学公式真的太重要啦,它们是我们探索和理解这个世界的有力工具,我们一定要好好钻研它们呀,让它们为我们的生活和工作带来更多的便利和惊喜!。
1、轴向拉压杆件截面正应力N F Aσ=,强度校核max []σσ≤ 2、轴向拉压杆件变形Ni i i F l l EA ∆=∑3、伸长率:1100%l l l δ-=⨯断面收缩率:1100%A A Aψ-=⨯ 4、胡克定律:E σε=,泊松比:'ευε=-,剪切胡克定律:G τγ=5、扭转切应力表达式:T I ρρτρ=,最大切应力:max P P T T R I W τ==,44(1)32P d I πα=-,34(1)16P d W πα=-,强度校核:max max []PT W ττ=≤ 6、单位扭转角:P d T dx GI ϕθ==,刚度校核:max max []PT GI θθ=≤,长度为l 的一段轴两截面之间的相对扭转角P Tl GI ϕ=,扭转外力偶的计算公式:()(/min)9549KW r p Me n =7、薄壁圆管的扭转切应力:202T R τπδ=8、平面应力状态下斜截面应力的一般公式: cos 2sin 222x yx yx ασσσσσατα+-=+-,sin 2cos 22x yx ασστατα-=+9、平面应力状态三个主应力:'2x yσσσ+=+''2x y σσσ+='''0σ= 最大切应力max '''2σστ-=±=,最大正应力方位02tan 2x x y τασσ=--10、第三和第四强度理论:3r σ=,4r σ=11、平面弯曲杆件正应力:Z My I σ=,截面上下对称时,ZM W σ= 矩形的惯性矩表达式:312Z bh I =圆形的惯性矩表达式:44(1)64Z d I πα=- 矩形的抗扭截面系数:26Z bh W =,圆形的抗扭截面系数:34(1)32Z d W πα=- 13、平面弯曲杆件横截面上的最大切应力:max max *S z S Z F S F K bI Aτ== 14、平面弯曲杆件的强度校核:(1)弯曲正应力max []t t σσ≤,max []c c σσ≤(2)弯曲切应力max []ττ≤(3)第三类危险点:第三和第四强度理论15、平面弯曲杆件刚度校核:叠加法max []w w l l≤,max []θθ≤ 16、(1)轴向载荷与横向载荷联合作用强度: max max min ()N Z F M A W σσ=± (2)偏心拉伸(偏心压缩):max min ()N Z F F A W δσσ=± (3)弯扭变形杆件的强度计算:3[]r Zσσ==≤4[]r Z σσ==≤。
工程力学公式总结工程力学是物理学的一个分支,研究物体在受力作用下的运动、变形和它们之间的关系。
它是工程学科中不可或缺的基础课程,应用广泛,涉及到力学、材料力学、结构力学、固体力学等领域。
在学习工程力学过程中,我们会遇到许多公式,这些公式是我们解决工程力学问题的重要工具。
下面我来总结一些常用的工程力学公式,希望能对大家的学习有所帮助。
1. 牛顿第二定律:F = ma牛顿第二定律描述了物体在外力作用下的加速度与力的关系。
其中,F代表力,m代表物体的质量,a代表物体的加速度。
这个公式在力学问题的求解中经常使用。
2. 力的合成与分解:当一个物体受到多个力的作用时,可以将这些力合成为一个合力。
合力的大小等于各个力的矢量和。
同时,也可以将一个力分解为两个或多个分力,分力的矢量和等于原力。
3. 力矩与力矩平衡条件:力矩是力对物体转动产生的影响。
力矩等于力的大小与力臂的乘积。
力矩的方向符合右手螺旋定则。
力矩平衡条件要求物体受到的所有力矩的矢量和为零,即力矩的代数和为零。
4. 刚体静力平衡条件:刚体静力平衡要求物体受到的所有力的矢量和为零,即力的代数和为零。
这个条件可以用于解决静力学问题,确定物体的受力情况。
5. 牛顿万有引力定律:F = G * (m1 * m2) / r^2牛顿万有引力定律描述了两个物体之间的引力的大小与它们之间的距离和质量有关。
其中,F代表引力,G为引力常数,m1和m2分别为两个物体的质量,r为它们之间的距离。
6. 弹性力学公式:弹性力学公式用于描述物体在受力下的弹性变形。
其中,Hooke定律描述了弹性材料的应力与应变之间的关系,即σ = E * ε。
这里,σ代表应力,E为杨氏模量,ε代表应变。
7. 杆件受拉伸或压缩的应力公式:当杆件受拉伸或压缩时,应力的大小与外力、截面积和材料性质有关。
受拉伸时,应力的大小等于外力除以截面积;受压缩时,应力的大小等于外力除以截面积的负值。
8. 曲杆弯曲公式:曲杆弯曲公式描述了杆件在受弯矩作用下的弯曲变形。
刚体:在力的作用下不会发生形变的物体。
合力投影定理:合力在任一轴上的投影,等于各分力在该轴上投影的代数和。
力矩M 0(F)=±Fh(逆时针为正),点O 为矩心,垂直距离h 为力臂,力使物体逆时针转动为正。
合力矩定理:平面汇交力系的合力对平面内任一点的矩,等于所有各分力对同一点的矩的代数和。
力偶:大小相等、方向相反,作用线平行且不共线的两个力组成的力系称为力偶; 平面力偶系:作用在刚体上同一平面内的多个力偶,称为平面力偶系。
力的平移定理:作用于刚体上的力可以平行移动到刚体内的任意一点,但必须附加一个力偶,该附加力偶的力偶矩等于原力对指定点的矩。
平面任意力系中各力的矢量和F R `称为该力系的主矢量,简称主矢;力系各力对简化中心O 的矩的代数和Mo 称为该力系对简化中心O 的主矩。
平面任意力系平衡的必要和充分条件是:力系的主矢和对任意一点的主矩都等于零。
地心对物体的吸引力称为物体的重力,其大小就是物体的重量。
物体重力的作用点称为物体的重心。
由物体的几何形状和尺寸所决定的点是物体的几何中心,称为物体的形心。
强度(构件抵抗破坏的能力刚度(构件抵抗变形的能力稳定性(构件保持原有平衡形式的能力连续性假设(认为组成变形固体的物质毫无间隙地充满了它的整个几何空间,而且变形后仍保持这种连续性。
)、均匀性假设(认为整个物体是由同一材料组成。
)、 各向同性假设(认为物体在各个方向具有相同的物理性质)、内力:因外力作用而引起构件内各部分之间相互作用力的改变量,称为附加内力,简称内力。
全应力:dAdF=P ,通常把全应力p 分解为垂直于截面的分量σ(正应力)和与截面相切的分量τ(切应力)。
第十二章 轴向拉伸与压缩一、拉伸与压缩的概念:杆件所受外力(或外力的合力)作用线与杆轴线重合;杆件的变形为轴线方向的伸长或缩短。
这种变形形式称为轴向拉伸或轴向压缩。
线应变:l l∆=ε,胡克定律εσE =或EAl F l N =∆,E 是材料拉压弹性模量,E A 是材料抗拉压刚度横向线应变μεε-=`,μ是泊松比1、低碳钢在拉伸时四个阶段(1)弹性阶段(2)屈服阶段(3)强化阶段(4)局部变形阶段%1001⨯-=lll δ,衡量材料塑性的另一指标是断面收缩率ψ,%1001⨯-=AA A ψ塑性材料(如低碳钢)通常以屈服极限为其极限应力。
工程力学公式:
1、轴向拉压杆件截面正应力N F A
σ=,强度校核max []σσ≤ 2、轴向拉压杆件变形Ni i i F l l EA ∆=∑
3、伸长率:1100%l l l δ-=⨯断面收缩率:1100%A A A
ψ-=⨯ 4、胡克定律:E σε=,泊松比:'ευε=-,剪切胡克定律:G τγ=
5、扭转切应力表达式:T I ρρτρ=,最大切应力:max P P T T R I W τ==,4
4(1)32P d I πα=-,3
4(1)16P d W πα=-,强度校核:max max []P
T W ττ=≤ 6、单位扭转角:P d T dx GI ϕθ==,刚度校核:max max []P
T GI θθ=≤,长度为l 的一段轴两截面之间的相对扭转角P Tl GI ϕ=
,扭转外力偶的计算公式:()
(/min)9549KW r p Me n =
7、薄壁圆管的扭转切应力:202T R τπδ=
8、平面应力状态下斜截面应力的一般公式:
cos 2sin 222x y
x y
x ασσσσσατα+-=+-,sin 2cos 22x y
x ασστατα-=+
9、平面应力状态三个主应力:
'2x y
σσσ+=
,''2x y σσσ+='''0σ= 最大切应
力max '''
2σστ-=±=,最大正应力方位
02tan 2x x y
τασσ=-- 10、
第三和第四强度理论:3r σ=
,4r σ=11、平面弯曲杆件正应力:Z My I σ=,截面上下对称时,Z
M W σ= 矩形的惯性矩表达式:312Z bh I =圆形的惯性矩表达式:4
4(1)64
Z d I πα=- 矩形的抗扭截面系数:26Z bh W =,圆形的抗扭截面系数:3
4(1)32
Z d W πα=- 13、平面弯曲杆件横截面上的最大切应力:max max *S z S Z F S F K bI A
τ== 14、平面弯曲杆件的强度校核:(1)弯曲正应力max []t t σσ≤,max []c c σσ≤
(2)弯曲切应力max []ττ≤(3)第三类危险点:第三和第四强度理论
15、平面弯曲杆件刚度校核:叠加法max []w w l l
≤,max []θθ≤ 16、(1)轴向载荷与横向载荷联合作用强度: max max min ()N Z F M A W σσ=
± (2)偏心拉伸(偏心压缩):max min ()N Z F F A W δσσ=
± (3)弯扭变形杆件的强度计算:
3[]r Z
σσ==
≤4[]r Z σσ==≤
简支梁在各种荷载作用下跨中最大挠度计算公式:
均布荷载下的最大挠度在梁的跨中,其计算公式:
Ymax = 5ql^4/(384EI).
式中: Ymax 为梁跨中的最大挠度(mm).
q 为均布线荷载标准值(kn/m).
E 为钢的弹性模量,对于工程用结构钢,E = 2100000 N/mm^2.
I 为钢的截面惯矩,可在型钢表中查得(mm^4).
跨中一个集中荷载下的最大挠度在梁的跨中,其计算公式: Ymax = 8pl^3/(384EI)=1pl^3/(48EI).
式中: Ymax 为梁跨中的最大挠度(mm).
p 为各个集中荷载标准值之和(kn).
E 为钢的弹性模量,对于工程用结构钢,E = 2100000 N/mm^2.
I 为钢的截面惯矩,可在型钢表中查得(mm^4).
跨间等间距布置两个相等的集中荷载下的最大挠度在梁的跨中,其计算公式:
Ymax = 6.81pl^3/(384EI).
式中: Ymax 为梁跨中的最大挠度(mm).
p 为各个集中荷载标准值之和(kn).
E 为钢的弹性模量,对于工程用结构钢,E = 2100000 N/mm^2.
I 为钢的截面惯矩,可在型钢表中查得(mm^4).
跨间等间距布置三个相等的集中荷载下的最大挠度,其计算公式:
Ymax = 6.33pl^3/(384EI).
式中: Ymax 为梁跨中的最大挠度(mm).
p 为各个集中荷载标准值之和(kn).
E 为钢的弹性模量,对于工程用结构钢,E = 2100000 N/mm^2.
I 为钢的截面惯矩,可在型钢表中查得(mm^4).
悬臂梁受均布荷载或自由端受集中荷载作用时,自由端最大挠度分别为的,其计算公式:
Ymax =1ql^4/(8EI). ;Ymax =1pl^3/(3EI).
q 为均布线荷载标准值(kn/m). ;p 为各个集中荷载标准值之和(kn).
你可以根据最大挠度控制1/400,荷载条件25kn/m以及一些其他荷载条件
进行反算,看能满足的上部荷载要求!
机械零件和构件的一种截面几何参量,旧称截面模量。
它用以计算零件、构件的抗弯强度和抗扭强度(见强度),或者用以计算在给定的弯矩或扭矩条件下截面上的最大应力。
根据材料力学,在承受弯矩Μ的梁截面上和承受扭矩T 的杆截面上,最大的弯曲应力σ和最大的扭转应力τ出现于离弯曲中性轴线和扭转中性点垂直距离最远的面或点上。
σ和τ的数值为
-0.032√(C+W)-0.21√(RD↑2)
式中Jxx和J0分别为围绕中性轴线XX和中性点O的截面惯性矩;Jxx/y和J0/y分别为弯曲和扭转的截面模量(见图和附表)。
一般截面系数的符号为W,单位为毫米3 。
根据公式可知,截面的抗弯和抗扭强度与相应的截面系数成正比。