热轧H型钢理论重量表
- 格式:doc
- 大小:123.50 KB
- 文档页数:2
热轧H型钢截面规格及理论重量表1. 表中同一型号的产品,其内侧尺寸高度一致。
2. 表中截面面积计算公式为:t1(H-2t2)+2Bt2+0.858r2。
3. 表中橘色一栏数据表示的规格为市场非常用规格。
1. 表中同一型号的产品,其内侧尺寸高度一致。
2. 表中截面面积计算公式为:t1(H-2t2)+2Bt2+0.858r2。
3. 表中橘色一栏数据表示的规格为市场非常用规格。
1. 表中同一型号的产品,其内侧尺寸高度一致。
2. 表中截面面积计算公式为:t1(H-2t2)+2Bt2+0.858r2。
3. 表中橘色一栏数据表示的规格为市场非常用规格。
1. 表中同一型号的产品,其内侧尺寸高度一致。
2. 表中截面面积计算公式为:t1(H-2t2)+2Bt2+0.858r2。
3. 表中橘色一栏数据表示的规格为市场非常用规格。
尺寸及表示方法说明:H——高度;B——宽度;t1——腹板厚度;t2——翼缘厚度;r——圆角半径H型钢表示方法:H与高度H值×宽度B值×腹板厚度t1值×翼缘厚度t2值例如:H596×199×10×15重量及允许偏差H型钢理论重量密度按7.85g/cm3计算。
H型钢重量偏差按以下公式计算。
重量偏差=(实际重量-理论重量)÷理论重量×100%热轧H型钢主要用途1. 热轧H型钢主要用于工业与民用结构中的梁、柱构件。
2. HW是H型钢高度和翼缘宽度基本相等,主要用于钢筋混凝土框架结构柱中钢芯柱,也称劲性钢柱,在钢结构中主要用于柱。
3. HM是H型钢高度和翼缘宽度比例大致为1.33~1.75,主要在钢结构中用做钢框架柱,在承受动力荷载的框架结构中用做框架梁。
4. HN是H型钢高度和翼缘宽度比例大于等于2,主要用于结构梁,工字钢的用途相当于HN型钢。
热轧H型钢主要特点1. 翼缘宽,侧向刚度大。
抗弯能力强,比工字钢大约5%-10%。
热轧H型钢理论重量表2012-9-24H型钢理论重量表及H型钢计算公式热轧H型钢理论重量计算公式:热轧H型钢理论重量==*L*7.85*1/1000--高度(mm),b--脚宽(mm),d--腰厚(mm),r--内面圆角半径(mm),r1--边端圆角半径(mm),L--长度(m)方管重量计算公式;4 x 壁厚 x (边长-壁厚) x 7.85 其中,边长和壁厚都以毫米为单位,直接把数值代入上述公式,得出即为每米Q235方管的重量,以克为单位。
如30 x 30 x 2.5毫米的方管,按上述公式即可算出其每米重量为: 4 x 2.5 x (30-2.5) x 7.85=275 x 7.85=2158.75克,即约2.16公斤.当壁厚和边长都以毫米为单位时,4 x壁厚x (边长-壁厚)算出的是每米长度方管的体积,以立方厘米为单位,再乘以铁的比重每立方厘米7.85克,得出即为每米方管以克为单位的重量。
方紫铜棒重量(千克)=0.0089×边宽×边宽×长度方黄铜棒重量(千克)=0.0085×边宽×边宽×长度方铝棒重量(千克)=0.0028×边宽×边宽×长度六角紫铜棒重量(千克)=0.0077×对边宽×对边宽×长度六角黄铜棒重量(千克)=0.00736×边宽×对边宽×长度六角铝棒重量(千克)=0.00242×对边宽×对边宽×长度方钢重量(千克)=0.00785×边宽×边宽×长度角钢重量(千克)=0.00785×(边宽+边宽-边厚)×边厚×长度钢板重量(千克)=7.85×厚度×面积钢管重量(千克)=0.02466×壁厚×(外径-壁厚)×长度扁钢重量(千克)=0.00785×厚度×边宽×长度紫铜板重量(千克)=0.0089×厚×宽×长度黄铜板重量(千克)=0.0085×厚×宽×长度铝板重量(千克)=0.00171×厚×宽×长度圆铝棒重量(千克)=0.0022×直径×直径×长度圆紫铜管重量(千克)=0.028×壁厚×(外径-壁厚)×长度圆黄铜管重量(公斤)=0.0267×壁厚×(外径-壁厚)×长度圆铝管重量(千克)=0.00879×壁厚×(外径-壁厚)×长度六角钢重量(千克)=0.0068×对边宽×对边宽×长度八角钢重量(千克)=0.0065×对边宽×对边宽×长度圆紫铜棒重量(千克)=0.00698×直径×直径×长度圆黄铜棒重量(千克)=0.00668×直径×直径×长度上一篇:槽钢符号下一篇:工字钢符号相关新闻欢迎您的下载,资料仅供参考!致力为企业和个人提供合同协议,策划案计划书,学习资料等等打造全网一站式需求。
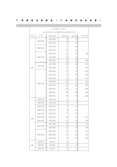
H型钢理论重量表(H型钢的理论重量)参考链接:A:B: C: D:H型钢是断面形状为H形的型钢,它是一种截面面积分配更加优化、强重比更加合理的经济断面高效型材,因其断面与英文字母“H”相同而得名。
热轧H型钢理论重量计算公式:热轧H型钢理论重量W(kg/m)=*L**1/1000*[hd+2r(b-d)+(r2-r12)],其中:h----高度(MM),b----脚宽(MM),d----腰厚(MM),r----内面圆角半径(MM)r1----边端圆角半径(MM),L-----长度(M)为了便于理解,上一张H型钢的断面示意图H型钢分类与代号:类别分类名称代? ? 号H型钢(1)宽翼缘H型钢HW(2)中翼缘H型钢HM(3)窄翼缘H型钢HNH型钢理论重量表:H型钢(公斤/米)(H高度,B宽度,t1腹板厚度,t2翼缘厚度)类别型号H*B(mm) t1(mm) t2(mm) 理论重量HW200*200 200*200 8 12 200*204 12 12250*250 250*250 9 14 250*255 14 14300*300 294*302 12 12 85 300*300 10 15300*305 15 15 106350*350 344*348 10 16 115 350*350 12 19 137400*400 388*402 15 15 141 394*398 11 18 147 400*400 13 21 172 400*408 21 21 197 414*405 18 28 233 428*407 20 35 284 458*417 30 50 415 498*342 45 70 605HM 150*100 148*100 6 9200*150 194*150 6 9250*175 244*175 7 11300*200 294*200 8 12350*250 340*250 9 14400*300 390*300 10 16 107450*300 440*300 11 18 124500*300 482*300 11 15 115 488*300 11 18 129600*300 582*300 12 17 137 588*300 12 20 151 594*302 14 23 175HN 100*50 100*50 5 7 125*60 125*60 6 8150*75 150*75 5 7175*90 175*90 5 8200*100 198*99 7 200*100 8250*125 248*124 5 8 250*125 6 9300*150 298*149 8 300*150 9350*175 346*174 6 9350*175 7 11 50400*150 400*150 8 13400*200 396*199 7 11400*200 8 13 66450*150 450*150 9 14450*200 446*199 8 12 450*200 9 14500*150 500*150 10 16500*200 496*199 9 14500*200 10 16506*201 11 19 103600*200 596*199 10 15600*200 11 17 106 606*201 12 20 120700*300 692*300 13 20 166 700*300 13 24 185800*300 792*300 14 22 191 800*300 14 26 210900*300 890*299 15 23 213 900*300 16 28 243 912*302 18 34 286。
热轧h型钢规格表及重量表98热轧H型钢是一种常用的结构钢材,具有强度高、刚性好、焊接性能优良等特点。
根据不同的需求,热轧H型钢的规格和重量也会有所不同。
下面是常见的热轧H型钢规格表及重量表:规格表:规格(mm)重量(kg/m)100×100×6×8 16.9125×125×6.5×9 23.6148×100×6×9 20.7150×75×5×7 14.3150×150×7×10 31.1175×175×7.5×11 40.4194×150×6×9 31.2200×100×5.5×8 21.7200×200×8×12 50.5 244×175×7×11 44.1 248×124×5×8 25.8 250×125×6×9 29.7 244×252×11×11 55.8 294×200×8×12 57.3 298×149×5.5×8 32 300×150×6.5×9 37.3 300×300×10×15 94.5 346×174×6×9 41.2 350×175×7×11 49.4 340×250×9×14 79.7 400×150×8×13 55.8重量表:规格(mm)重量(kg/m)100×100×6×8 16.9 120×120×6.5×9 20.4 144×100×6×9 20.7 148×100×6×9 20.7 150×75×5×7 14.3 150×150×7×10 31.1 175×175×7.5×11 40.4 194×150×6×9 31.2 198×99×4.5×7 18.5 200×100×5.5×8 21.7 200×200×8×12 50.5 248×124×5×8 25.8 250×125×6×9 29.7244×252×11×11 55.8294×200×8×12 57.3298×149×5.5×8 32300×150×6.5×9 37.3300×300×10×15 94.5340×250×9×14 79.7344×348×10×16 113.1热轧H型钢的规格表中,第一列为规格,分别代表了H型钢的高度和底板的厚度。
H型钢理论重量表(H型钢的理论重量)参考链接:A:圆钢理论重量表大全 B:热轧不等边角钢理论重量表 C:钢板理论重量表 D:槽钢理论重量表H型钢是断面形状为H形的型钢,它是一种截面面积分配更加优化、强重比更加合理的经济断面高效型材,因其断面与英文字母“H”相同而得名。
热轧H型钢理论重量计算公式:热轧H型钢理论重量W(kg/m)=*L**1/1000*[hd+2r(b-d)+(r2-r12)],其中 :h----高度(MM),b----脚宽(MM),d----腰厚(MM),r----内面圆角半径(MM)r1----边端圆角半径(MM),L-----长度(M)为了便于理解,上一张H型钢的断面示意图H型钢分类与代号:类别分类名称代号H型钢(1)宽翼缘H型钢HW(2)中翼缘H型钢HM(3)窄翼缘H型钢HNH型钢理论重量表:H型钢(公斤/米)(H高度,B宽度,t1腹板厚度,t2翼缘厚度)类别型号H*B(mm)t1(mm)t2(mm)理论重量HW200*200200*200812200*2041212250*250250*250914250*2551414300*300294*302121285 300*3001015300*3051515106350*350344*3481016115350*3501219137400*400388*4021515141 394*3981118147 400*4001321172 400*4082121197 414*4051828233 428*4072035284 458*4173050415 498*3424570605HM150*100148*10069200*150194*15069250*175244*175711300*200294*200812350*250340*250914400*300390*3001016107450*300440*3001118124500*300482*3001115115488*3001118129600*300582*3001217137 588*3001220151 594*3021423175HN100*50100*5057125*60125*6068150*75150*7557175*90175*9058200*100198*997200*1008250*125248*12458250*12569300*150298*1498300*1509350*175346*17469350*17571150 400*150400*150813400*200396*199711400*20081366 450*150450*150914450*200446*199812450*200914500*150500*1501016500*200496*199914500*2001016506*2011119103600*200596*1991015600*2001117106 606*2011220120700*300692*3001320166700*3001324185 800*300792*3001422191800*3001426210900*300890*2991523213 900*3001628243 912*3021834286。