西南大学概率论与数理统计期末考试
- 格式:doc
- 大小:320.00 KB
- 文档页数:8
概率论与数理统计》期末考试试题及解答1.设事件A,B仅发生一个的概率为0.3,且P(A)+P(B)=0.5,则A,B至少有一个不发生的概率为0.3.解:由题意可得:P(AB+AB)=0.3,即0.3=P(AB)+P(AB)=P(A)-P(AB)+P(B)-P(AB)=0.5-2P(AB),所以P(AB)=0.1,P(A∪B)=P(AB)=1-P(AB)=0.9.2.设随机变量X服从泊松分布,且P(X≤1)=4P(X=2),则P(X=3)=1/e6.解答:由P(X≤1)=P(X=0)+P(X=1)=e^(-λ)+λe^(-λ)=5λe^(-λ/2)得e^(-λ/2)=0.4,即λ=ln2,所以P(X=2)=e^(-λ)λ^2/2!=1/6,又因为P(X≤1)=4P(X=2),所以P(X=0)+P(X=1)=4P(X=2),即e^(-λ)+λe^(-λ)=4λe^(-λ),解得λ=ln2,故P(X=3)=e^(-λ)λ^3/3!=1/e6.3.设随机变量X在区间(0,2)上服从均匀分布,则随机变量Y=X在区间(0,4)内的概率密度为f_Y(y)=1/2,0<y<4;其它为0.解答:设Y的分布函数为F_Y(y),X的分布函数为F_X(x),密度为f_X(x),则F_Y(y)=P(Y≤y)=P(X≤y)=F_X(y)-F_X(0)。
因为X~U(0,2),所以F_X(0)=0,F_X(y)=y/2,故F_Y(y)=y/2,所以f_Y(y)=F_Y'(y)=1/2,0<y<4;其它为0.4.设随机变量X,Y相互独立,且均服从参数为λ的指数分布,P(X>1)=e^(-λ),则λ=2,P{min(X,Y)≤1}=1-e^(-λ)。
解答:因为P(X>1)=1-P(X≤1)=e^(-λ),所以λ=ln2.因为X,Y相互独立且均服从参数为λ的指数分布,所以P{min(X,Y)≤1}=1-P{min(X,Y)>1}=1-P(X>1)P(Y>1)=1-e^(-λ)。
2020-2021《概率论与数理统计》期末课程考试试卷A4适应专业:软件 考试时间: 考试类型:闭卷考试所需时间:120分钟 考试成绩:一. 单项选择题(每小题2分,共12分)1. 设离散型随机变量X 的可能取值为3,2,1,相应的概率依次为a a a a +22,7,, 则a =( ) .(A) 1/4 (B) -1/2 (C) 1/2 (D) -1/42. 设随机变量X ~)1,2(N ,)1,1(~N Y ,令Y X Z +=2,则)(Z E =( ). (A) 4 (B) 2 (C) 1 (D) 53. 已知6/1)(,3/1)(,2/1)(===AB P B P A P ,则事件A 与B ( ).(A) 相互独立 (B) 互斥 (C) 相等 (D) 互为对立事件4. 设随机变量),(~2σμN X ,则概率}1{μ+≤X P ( ).(A) 随μ增加而变大 (B) 随μ增加而减小 (C) 随σ增加而不变 (D) 随σ增加而减小5. 设A 与B 相互独立,2.0)(=A P ,4.0)(=B P ,则=)|(B A P ( ). (A) 0.2 (B) 0.4 (C) 0.6 (D) 0.86. 设样本n X X X ,,21来自正态总体),(2σμN ,在进行假设检验时,当( )时,一般采用统计量nX Z /0σμ-=(其中σ为标准差)(A) μ未知,检验202σσ= (B) μ已知,检验202σσ= (C) 2σ已知,检验0μμ= (D) 2σ未知,检验0μμ=二. 填空题(每空2分,共18分)1. 设A 、B 、C 是三个事件,用A 、B 、C 的运算表示A 、B 、C 三个事件中至 少有一个发生 .2. 已知3/1)(,2/1)(==B P A P ,如果事件A 与B 互斥,则=)(B A P ,如果事件A 与B 独立,则=)(B A P .3. 设由来自正态总体X~)9.0,(2μN 的容量为9的简单随机样本,得样本均值5=x , 则未知参数μ的置信水平为0.95的置信区间是 。
概率论与数理统计期末考试试题及参考答案一、选择题(每题2分,共20分)1. 设A、B为两个事件,且P(A) = 0.5,P(B) = 0.6,则P(A∪B)等于()A. 0.1B. 0.3C. 0.5D. 0.7参考答案:D2. 设随机变量X的分布函数为F(x),若F(x)是严格单调增加的,则X的数学期望()A. 存在且大于0B. 存在且小于0C. 存在且等于0D. 不存在参考答案:A3. 设X~N(0,1),以下哪个结论是正确的()A. P(X<0) = 0.5B. P(X>0) = 0.5C. P(X=0) = 0.5D. P(X≠0) = 0.5参考答案:A4. 在伯努利试验中,每次试验成功的概率为p,失败的概率为1-p,则连续n次试验成功的概率为()A. p^nB. (1-p)^nC. npD. n(1-p)参考答案:A5. 设随机变量X~B(n,p),则X的二阶矩E(X^2)等于()A. np(1-p)B. npC. np^2D. n^2p^2参考答案:A二、填空题(每题3分,共15分)1. 设随机变量X~N(μ,σ^2),则X的数学期望E(X) = _______。
参考答案:μ2. 若随机变量X、Y相互独立,且X~N(0,1),Y~N(0,1),则X+Y的概率密度函数f(x) = _______。
参考答案:f(x) = (1/√(2πσ^2))exp(-x^2/(2σ^2))3. 设随机变量X、Y相互独立,且X~B(n,p),Y~B(m,p),则X+Y~_______。
参考答案:B(n+m,p)4. 设随机变量X、Y的协方差Cov(X,Y) = 0,则X、Y的相关系数ρ = _______。
参考答案:ρ = 05. 设随机变量X~χ^2(n),则X的期望E(X) = _______,方差Var(X) = _______。
参考答案:E(X) = n,Var(X) = 2n三、计算题(每题10分,共40分)1. 设随机变量X、Y相互独立,且X~N(0,1),Y~N(0,1),求X+Y的概率密度函数f(x)。
《概率论与数理统计》期末考试题一.填空题(每小题2分,共计60分)1、A 、B 是两个随机事件,已知0.1p(AB)0.3,)B (p ,5.0)A (p ,则)B -A (p 0.4 、)B A (p 0.7 、)B A (p 1/3 ,)(B A P = 0.3。
2、一个袋子中有大小相同的红球4只黑球2只,(1)从中不放回地任取2只,则第一、二次取到球颜色不同的概率为:8/15 。
(2)若有放回地任取2只,则第一、二次取到球颜色不同的概率为:4/9 。
(3)若第一次取一只球后再追加一只与其颜色相同的球一并放入袋中再取第二只球,则第一、二次取到球颜色不同的概率为:13/21 . 3、设随机变量X 服从参数为6的泊松分布,则1X p 1- 6e4、设随机变量X 服从B (2,0. 6)的二项分布,则2Xp 0.36 , Y服从B (8,0. 6)的二项分布, 且X 与Y 相互独立,则Y X 服从B (10,0. 6)分布,)(Y XE 6 。
5、设二维随机向量),(Y X 的分布律是有则a_0.3_,X的数学期望)(X E ___0.5_______,Y X 与的相关系数xy___0.1_______。
第1页共 4 页6、三个可靠性为p>0的电子元件独立工作,(1)若把它们串联成一个系统,则系统的可靠性为:3p ;(2)若把它们并联成一个系统,则系统的可靠性为:3)1(1p ;7、(1)若随机变量X )3,1(~U ,则20〈〈X p 0.5;)(2X E _13/3,)12(XD 3/4 .X Y0 1 0 10.30.2 0.2a(2)若随机变量X ~)4,1(N 且8413.0)1(则}31{X P 0.6826 ,(~,12N Y XY则 3 ,16 )。
8、随机变量X 、Y 的数学期望E(X)=1,E(Y)=2, 方差D(X)=1,D(Y)=2, 且X 、Y 相互独立,则:)2(Y XE 5 ,)2(Y XD 17 。
概率论与数理统计期末考试卷课程名称:概率论与数理统计考试时间1。
设,相互独立,则(1)至少出现一个的概率为_ __;(2)恰好出现一个的概率为_ _ _.2。
设,,,则__ ____。
3.设是相互独立的两个随机变量,它们的分布函数分别为,则的分布函数是。
4.若随机变量服从正态分布,是来自的一个样本,令,则服从分布。
则关于的回归函数 .二、单项选择题(每小题2分,共10分)1. 设函数在区间上等于,而在此区间外等于0,若可以做为某连续型随机变量的密度函数,则区间为()。
(A) ; (B) ;(C) ;(D)。
2. 假设随机变量的概率密度为,即,期望与方差都存在,样本取自,是样本均值,则有( )(A) ; (B) ;(C) ;(D) 。
3. 总体,已知,()时,才能使总体均值的置信度为的置信区间长不大于。
()(A);(B);(C); (D)。
4. 对回归方程的显著性的检验,通常采用3种方法,即相关系数检验法,检验法和检验法,下列说法正确的()。
(A)检验法最有效;(B)检验法最有效;(C) 3种方法是相通的,检验效果是相同的;(D) 检验法和检验法,可以代替相关系数的检验法。
5.设来自正态总体的样本(已知),令,并且满足(),则在检验水平下, 检验时,第一类和第二类错误的概率分别是()和( ).(A)当成立} ;(B)|当不成立};(C)当成立};(D) |当不成立}。
三、计算题(每小题10分,共20分)1。
设有甲、乙、丙三门炮,同时独立地向某目标射击命中率分别处为0.2、0.3、0。
5,目标被命中一发而被击毁的概率为0.2,被命中两发而被击毁的概率为0.6,被命中三发而被击毁的概率为0。
9,求:(1)三门火炮在一次射击中击毁目标的概率;(2)在目标被击毁的条件下,只由甲火炮击中的概率。
解:设事件分别表示甲、乙、丙三门炮击中目标,表示目标被击毁,表示有门炮同时击中目标(),由题设知事件相互独立,故,,;,,,(1)由全概率公式,得(2)由贝叶斯公式,得2.随机变量在区间上服从均匀分布,随机变量,。
《概率论与数理统计》试卷A一、单项选择题(本大题共20小题,每小题2分,共40分) 1、A ,B 为二事件,则AB =()A 、AB B 、A BC 、A BD 、AB2、设A ,B ,C 表示三个事件,则ABC 表示()A 、A ,B ,C 中有一个发生 B 、A ,B ,C 中恰有两个发生C 、A ,B ,C 中不多于一个发生D 、A ,B ,C 都不发生 3、A 、B 为两事件,若()0.8P AB =,()0.2P A =,()0.4P B =,则()成立A 、()0.32P AB = B 、()0.2P AB =C 、()0.4P B A -=D 、()0.48P B A = 4、设A ,B 为任二事件,则()A 、()()()P AB P A P B -=- B 、()()()P AB P A P B =+C 、()()()P AB P A P B =D 、()()()P A P AB P AB =+ 5、设事件A 与B 相互独立,则下列说法错误的是()A 、A 与B 独立 B 、A 与B 独立C 、()()()P AB P A P B =D 、A 与B 一定互斥 6、设离散型随机变量X 的分布列为其分布函数为()F x ,则(3)F =()A 、0B 、0.3C 、0。
8D 、17、设离散型随机变量X 的密度函数为4,[0,1]()0,cx x f x ⎧∈=⎨⎩其它 ,则常数c =()A 、15B 、14 C 、4 D 、58、设X ~)1,0(N,密度函数22()x x ϕ-=,则()x ϕ的最大值是()A 、0B 、1 C、9、设随机变量X 可取无穷多个值0,1,2,…,其概率分布为33(;3),0,1,2,!k p k e k k -==,则下式成立的是()A 、3EX DX ==B 、13EX DX == C 、13,3EX DX ==D 、1,93EX DX == 10、设X 服从二项分布B (n,p ),则有()A 、(21)2E X np -=B 、(21)4(1)1D X np p +=-+C 、(21)41E X np +=+D 、(21)4(1)D X np p -=-11、独立随机变量,X Y ,若X ~N (1,4),Y~N (3,16),下式中不成立的是()A 、()4E X Y +=B 、()3E XY =C 、()12D X Y -= D 、()216E Y += 12、设随机变量X 的分布列为:则常数c=()A 、0B 、1C 、14 D 、14- 13、设X ~)1,0(N ,又常数c 满足{}{}P X c P X c ≥=<,则c 等于()A 、1B 、0C 、12D 、—1 14、已知1,3EX DX =-=,则()232E X ⎡⎤-⎣⎦=()A 、9B 、6C 、30D 、3615、当X 服从( )分布时,EX DX =.A 、指数B 、泊松C 、正态D 、均匀 16、下列结论中,()不是随机变量X 与Y 不相关的充要条件.A 、()()()E XY E X E Y =B 、()D X Y DX DY +=+C 、(),0Cov X Y =D 、X 与Y 相互独立17、设X ~),(p n b 且6 3.6EX DX ==,,则有()A 、100.6n p ==,B 、200.3n p ==,C 、150.4n p ==,D 、120.5n p ==, 18、设()()(),,,p x y p x p y ξη分别是二维随机变量(),ξη的联合密度函数及边缘密度函数,则()是ξ与η独立的充要条件。
大学《概率论与数理统计》期末考试试卷含答案一、填空题(每空 3 分,共 30分)在显著性检验中,若要使犯两类错误的概率同时变小,则只有增加 样本容量 .设随机变量具有数学期望与方差,则有切比雪夫不等式 .设为连续型随机变量,为实常数,则概率= 0 . 设的分布律为,,若绝对收敛(为正整数),则=.某学生的书桌上放着7本书,其中有3本概率书,现随机取2本书,则取到的全是概率书的概率为. 设服从参数为的分布,则=. 设,则数学期望= 7 .为二维随机变量, 概率密度为, 与的协方差的积分表达式为 .设为总体中抽取的样本的均值,则= . (计算结果用标准正态分布的分布函数表X ()E X μ=2()D X σ={}2P X μσ-≥≤14X a {}P X a =X ,{}1,2,k k P X x p k ===2Y X =1n k k k x p ∞=∑n()E Y 21k k k x p ∞=∑17X λpoisson (2)E X 2λ(2,3)YN 2()E Y (,)X Y (,)f x y X Y (,)Cov X Y (())(())(,)d d x E x y E y f x y x y +∞+∞-∞-∞--⎰⎰X N (3,4)14,,X X {}15P X ≤≤2(2)1Φ-()x Φ示)10. 随机变量,为总体的一个样本,,则常数=.A 卷第1页共4页 概率论试题(45分) 1、(8分)题略解:用,分别表示三人译出该份密码,所求概率为 (2分)由概率公式 (4分)(2分) 2、(8分) 设随机变量,求数学期望与方差.解:(1) = (3分) (2) (3分) (2分)(8分) 某种电器元件的寿命服从均值为的指数分布,现随机地取16只,它们的寿命相互独立,记,用中心极限定理计算的近似值(计算结果用标准正态分布的分布函数表示).2(0,)XN σn X X X ,,,21 X221()(1)ni i Y k X χ==∑k 21n σA B C 、、P A B C ()P A B C P ABC P A P B P C ()=1-()=1-()()()1-1-1-p q r =1-()()()()1,()2,()3,()4,0.5XY E X D X E Y D Y ρ=====()E X Y +(23)D X Y -()E X Y +E X E Y ()+()=1+3=4(23)4()9()12ov(,)D X Y D X D Y C X Y -=+-8361244XYρ=+-=-100h i T 161ii T T ==∑{1920}P T ≥()x Φ解: (3分) (5分)(4分)(10分)设随机变量具有概率密度,.(1)求的概率密度; (2) 求概率.解: (1) (1分)A 卷第2页共4页(2分)(2分)概率密度函数 (2分)(2) . (3分) (11分) 设随机变量具有概率分布如下,且.i i ET D T E T D T 2()=100,()=100,()=1600,()=160000{1920}0.8}1P T P ≥=≥≈-Φ(0.8)X 11()0x x f x ⎧-≤≤=⎨⎩,,其它21Y X =+Y ()Y f y 312P Y ⎧⎫-<<⎨⎬⎩⎭12Y Y y F y y F y≤>时()=0,时()=1212,{}{1}()d Y y F yP Y y P X y f x x <≤≤=+≤=()=02d 1x y ==-2()=Y Y y f y F y≤⎧'⎨⎩1,1<()=0,其它3102Y YP Y F F ⎧⎫-<<=-=⎨⎬⎩⎭311()-(-1)=222(,)X Y {}110P X Y X +===(1)求常数; (2)求与的协方差,并问与是否独立?解: (1) (2分)由(2分) 可得 (1分)(2), , (3分) (2分) 由可知与不独立 (1分) 三、数理统计试题(25分)1、(8分) 题略. A 卷第3页共4页 证明:,相互独立(4分) ,(4分),p q X Y (,)Cov X Y X Y 1111134123p q p q ++++=+=,即{}{}{}{}{}101011010033P X Y X P Y X p P X Y X P X P X p +====+========+,,1p q ==EX 1()=2E Y 1()=-3E XY 1()=-6,-CovX Y E XY E X E Y ()=()()()=0..ij i j P P P ≠X Y 222(1)(0,1),(1)X n S N n χσ--22(1)X n S σ-2(1)X t n -(1)X t n -(10分) 题略解:似然函数 (4分)由 可得为的最大似然估计 (2分)由可知为的无偏估计量,为的有偏估计量 (4分) 、(7分) 题略 解: (2分)检验统计量,拒绝域 (2分)而 (1分)因而拒绝域,即不认为总体的均值仍为4.55 (2分)A 卷第4页共4页2221()(,)2n i i x L μμσσ=⎧⎫-=-⎨⎬⎩⎭∑2221()ln ln(2)ln() 222ni i x n n L μπσσ=-=---∑2222411()ln ln 0,022n ni i i i x x L L nμμμσσσσ==--∂∂===-+=∂∂∑∑221111ˆˆ,()n n i i i i x x n n μσμ====-∑∑2,μσ221ˆˆ(),()n nE E μμσσ-==11ˆn i i x n μ==∑μ2211ˆ()ni i x n σμ==-∑2σ01: 4.55: 4.55H H μμ=≠x z =0.025 1.96z z ≥=0.185 1.960.036z ==>0H。
《概率论与数理统计》试卷A一、单项选择题(本大题共20小题,每小题2分,共40分) 1、A ,B 为二事件,则A B =U ()A 、AB B 、A BC 、A BD 、A B U 2、设A ,B ,C 表示三个事件,则A B C 表示()A 、A ,B ,C 中有一个发生 B 、A ,B ,C 中恰有两个发生C 、A ,B ,C 中不多于一个发生D 、A ,B ,C 都不发生3、A 、B 为两事件,若()0.8P A B =U ,()0.2P A =,()0.4P B =,则()成立A 、()0.32P AB = B 、()0.2P A B =C 、()0.4P B A -=D 、()0.48P B A = 4、设A ,B 为任二事件,则()A 、()()()P AB P A P B -=- B 、()()()P A B P A P B =+UC 、()()()P AB P A P B =D 、()()()P A P AB P AB =+ 5、设事件A 与B 相互独立,则下列说法错误的是()A 、A 与B 独立 B 、A 与B 独立C 、()()()P AB P A P B =D 、A 与B 一定互斥 6、设离散型随机变量X 的分布列为其分布函数为()F x ,则(3)F =()A 、0B 、0.3C 、0.8D 、17、设离散型随机变量X 的密度函数为4,[0,1]()0,cx x f x ⎧∈=⎨⎩其它 ,则常数c =()A 、15 B 、14C 、4D 、58、设X ~)1,0(N,密度函数22()x x ϕ-=,则()x ϕ的最大值是()A 、0B 、1 CD、9、设随机变量X 可取无穷多个值0,1,2,…,其概率分布为33(;3),0,1,2,!k p k e k k -==L ,则下式成立的是()A 、3EX DX ==B 、13EX DX == C 、13,3EX DX == D 、1,93EX DX ==10、设X 服从二项分布B(n,p),则有()A 、(21)2E X np -=B 、(21)4(1)1D X np p +=-+C 、(21)41E X np +=+D 、(21)4(1)D X np p -=-11、独立随机变量,X Y ,若X ~N(1,4),Y ~N(3,16),下式中不成立的是()A 、()4E X Y +=B 、()3E XY =C 、()12D X Y -= D 、()216E Y += 12、设随机变量X 的分布列为:则常数c=()A 、0B 、1C 、14D 、14-13、设X ~)1,0(N ,又常数c 满足{}{}P X c P X c ≥=<,则c 等于()A 、1B 、0C 、12 D 、-1 14、已知1,3EX DX =-=,则()232E X ⎡⎤-⎣⎦=()A 、9B 、6C 、30D 、36 15、当X 服从( )分布时,EX DX =。
概率论与数理统计期末考试试卷答案一、选择题(每题5分,共25分)1. 下列事件中,不可能事件是()A. 抛掷一枚硬币,正面朝上B. 抛掷一枚硬币,正面和反面同时朝上C. 抛掷一枚骰子,出现7点D. 抛掷一枚骰子,出现1点答案:C2. 设A、B为两个事件,若P(A-B)=0,则下列选项正确的是()A. P(A) = P(B)B. P(A) ≤ P(B)C. P(A) ≥ P(B)D. P(A) = 0答案:B3. 设随机变量X服从二项分布B(n, p),则下列结论正确的是()A. 当n增加时,X的期望值增加B. 当p增加时,X的期望值增加C. 当n增加时,X的方差增加D. 当p增加时,X的方差减少答案:B4. 设X~N(μ, σ^2),下列选项中错误的是()A. X的期望值E(X) = μB. X的方差D(X) = σ^2C. X的概率密度函数关于X = μ对称D. 当σ增大时,X的概率密度函数的峰值减小答案:D5. 在假设检验中,显著性水平α表示()A. 原假设为真的情况下,接受原假设的概率B. 原假设为假的情况下,接受原假设的概率C. 原假设为真的情况下,拒绝原假设的概率D. 原假设为假的情况下,拒绝原假设的概率答案:C二、填空题(每题5分,共25分)6. 设A、B为两个事件,P(A) = 0.5,P(B) = 0.6,P(A∩B) = 0.3,则P(A-B) = _______。
答案:0.27. 设随机变量X服从泊松分布,已知P(X=1) = 0.2,P(X=2) = 0.3,则λ = _______。
答案:1.58. 设随机变量X~N(μ, σ^2),若P(X<10) = 0.2,P(X<15) = 0.8,则μ = _______。
答案:12.59. 在假设检验中,若原假设H0为μ=10,备择假设H1为μ≠10,显著性水平α=0.05,则接受原假设的临界值是_______。
答案:9.5或10.510. 设X、Y为两个随机变量,若X与Y相互独立,则下列选项正确的是()A. E(XY) = E(X)E(Y)B. D(X+Y) = D(X) + D(Y)C. D(XY) = D(X)D(Y)D. 上述选项都正确答案:D三、解答题(每题25分,共100分)11. 设某班有50名学生,其中有20名男生,30名女生。
概率论与数理统计期末复习题一一、填空题(每空2分,共20分)1、设X 为连续型随机变量,则P{X=1}=( 0 ).2、袋中有50个球,其编号从01到50,从中任取一球,其编号中有数字4的概率为(14/50 或7/25 ).3、若随机变量X 的分布律为P{X=k}=C(2/3)k,k=1,2,3,4,则C=( 81/130 ). 4、设X 服从N (1,4)分布,Y 服从P(1)分布,且X 与Y 独立,则 E (XY+1-Y )=( 1 ) ,D (2Y-X+1)=( 17 ).5、已知随机变量X ~N(μ,σ2),(X-5)/4服从N(0,1),则μ=( 5 );σ=( 4 ). 6且X 与Y 相互独立。
则A=( 0.35 ),B=( 0.35 ).7、设X 1,X 2,…,X n 是取自均匀分布U[0,θ]的一个样本,其中θ>0,n x x x ,...,,21是一组观察值,则θ的极大似然估计量为( X (n) ).二、计算题(每题12分,共48分)1、钥匙掉了,落在宿舍中的概率为40%,这种情况下找到的概率为0.9; 落在教室里的概率为35%,这种情况下找到的概率为0.3; 落在路上的概率为25%,这种情况下找到的概率为0.1,求(1)找到钥匙的概率;(2)若钥匙已经找到,则该钥匙落在教室里的概率.解:(1)以A 1,A 2,A 3分别记钥匙落在宿舍中、落在教室里、落在路上,以B 记找到钥匙.则 P(A 1)=0.4,P(A 2)=0.35,P(A 3)=0.25, P(B| A 1)=0.9 ,P(B| A 2)=0.3,P(B| A 3)=0.1 所以,49.01.025.03.035.09.04.0)|()()(31=⨯+⨯+⨯==∑=ii iA B P A P B P(2)21.049.0/)3.035.0()|(2=⨯=B A P 2、已知随机变量X 的概率密度为其中λ>0为已知参数.(1)求常数A; (2)求P{-1<X <1/λ)}; (3)F(1).⎪⎩⎪⎨⎧<≥=-000)(2x x e A x f x λλ解:(1)由归一性:λλλλλλ/1,|)(102==-===∞+--+∞+∞∞-⎰⎰A A e A dx e A dx x f x x 所以(2)⎰=-==<<--λλλλ/1036.0/11}/11{e dx e X P x(3)⎰---==11)1(λλλe dx eF x3、设随机变量X 的分布律为且X X Y 22+=,求(1)()E X ; (2)()E Y ; (3))(X D . 解:(1)14.023.012.001.01)(=⨯+⨯+⨯+⨯-=X E (2)24.043.012.001.01)(2=⨯+⨯+⨯+⨯=X E422)(2)()2()(22=+=+=+=X E X E X X E Y E(3)112)]([)()(22=-=-=X E X E X D4、若X ~N(μ,σ2),求μ, σ2的矩估计.解:(1)E(X)=μ 令μ=-X 所以μ的矩估计为-Λ=X μ(2)D(X)=E(X 2)-[E(X)]2又E(X 2)=∑=n i i X n 121D(X)= ∑=n i i X n 121--X =212)(1σ=-∑=-n i i X X n所以σ2的矩估计为∑=-Λ-=ni i X X n 122)(1σ三、解答题(12分)设某次考试的考生的成绩X 服从正态分布,从中随机地抽取36位考生的成绩,算得平均成绩为66.5分,标准差为15分,问在显著性水平0.05下,是否可以认为在这次考试中全体考生的平均成绩为70分? 解:提出假设检验问题:H 0: μ=70, H 1 :μ≠70,nS X t /70-=-~t(n-1),其中n=36,-x =66.5,s=15,α=0.05,t α/2(n-1)=t 0.025(35)=2.03 (6)03.24.136/15|705.66|||<=-=t所以,接受H 0,在显著性水平0.05下,可认为在这次考试中全体考生的平均成绩为70分四、综合题(每小题4分,共20分) 设二维随机变量),(Y X 的联合密度函数为:32,01,01(,)0,x ce y x y f x y ⎧≤≤≤≤=⎨⎩其它试求: )1( 常数C ;)2(()X f x , )(y f Y ;)3( X 与Y 是否相互独立?)4( )(X E ,)(Y E ,)(XY E ; )5( )(X D ,)(Y D . 附:Φ(1.96)=0.975; Φ(1)=0.84; Φ(2)=0.9772t 0.05(9)= 1.8331 ; t 0.025(9)=2.262 ; 8595.1)8(05.0=t , 306.2)8(025.0=t t 0.05(36)= 1.6883 ; t 0.025(36)=2.0281 ; 0.05(35) 1.6896t =, 0.025(35) 2.0301t = 解:(1))1(9|31|3113103103101010102323-=⋅⋅=⋅==⎰⎰⎰⎰e c y e c dy y dx e c dxdy y ce x x x 所以,c=9/(e 3-1)(2)0)(1319)(,103323103=-=-=≤≤⎰x f x e e dy y e e x f x X xx X 为其它情况时,当当所以,333,01()10,xX e x f x e ⎧≤≤⎪=-⎨⎪⎩其它同理, 23,01()0,Y y y f y ⎧≤≤=⎨⎩其它(3)因为: 32333,01,01()()(,)10,x X Y e y x y f x f y f x y e ⎧⋅≤≤≤≤⎪==-⎨⎪⎩其它所以,X 与Y 相互独立. (4)113333013130303331111(|)1213(1)x xx x EX x e dx xde e e y e e dx e e e =⋅=--=⋅--+=-⎰⎰⎰124100333|44EY y y dx y =⋅==⎰ 3321()4(1)e E XY EX EY e +=⋅=- (5) 22()DX EX EX =-11223231303300133130303331|21112(|)13529(1)x x xx x EX x e dy x e e xdx e e e xe e dx e e e ⎡⎤=⋅=⋅-⋅⎢⎥⎣⎦--⎡⎤=--⎢⎥-⎣⎦-=-⎰⎰⎰ ∴3323326332521(21)9(1)9(1)1119(1)e DX e e e e e e -=-+---+=-22()DY EY EY =- 12225010333|55EY y y dy y =⋅==⎰ ∴ 2333()5480DY =-=概率论与数理统计期末复习题二一、计算题(每题10分,共70分)1、设P (A )=1/3,P (B )=1/4,P (A ∪B )=1/2.求P (AB )、P (A-B ).解:P (AB )= P (A )+P (B )- P (A ∪B )=1/12P (A-B )= P (A )-P (AB )=1/42、设有甲乙两袋,甲袋中装有3只白球、2只红球,乙袋中装有2只白球、3只红球.今从甲袋中任取一球放入乙袋,再从乙袋中任取两球,问两球都为白球的概率是多少?解:用A 表示“从甲袋中任取一球为红球”, B 表示“从乙袋中任取两球都为白球”。
《概率论与数理统计》期末考试试题及答案)B 从中任取3),(8a k k ==则Y X =产品中有12件是次品四、(本题12分)设⼆维随机向量(,)X Y 的联合分布律为\01210.10.20.12Y X a 试求: (1) a 的值; (2)X 与Y 的边缘分布律; (3)X 与Y 是否独⽴为什么五、(本题12分) 设随机变量X 的概率密度为(),01,2,12,0,.x x f x x x ≤=-≤≤其他求()(),E X D X⼀、填空题(每⼩题3分,共30分) 1、ABC 或AB C 2、 3、2156311C C C 或411或 4、1 5、13 6、2014131555kX p 7、1 8、(2,1)N - ⼆、解设12,A A 分别表⽰取出的产品为甲企业和⼄企业⽣产,B 表⽰取出的零件为次品,则由已知有 1212606505121101(),(),(|),(|)1101111011605505P A P A P B A P B A ========..... 2分 (1)由全概率公式得112261511()()(|)()(|)1151155P B P A P B A P A P B A =+=?+?=................ 7分 (2)由贝叶斯公式得22251()()5115()1()115P A P B A P A B P B ?=== ............................... 12分三、(本题12分)解 (1)由概率密度的性质知34=+-=+=故16k =. .......................................................... 3分 (2)当0x ≤时,()()0x F x f t dt -∞==?; 当03x <<时, 2011()()612xxF x f t dt tdt x -∞===??; 当34x ≤<时, 320311()()223624x x t F x f t dt tdt dt x x -∞==+-=-+-;当4x ≥时, 34031()()2162x t F x f t dt tdt dt -∞?==+-=;故X 的分布函数为220,01,0312()123,3441,4x x x F x x x x x ≤< .................................. 9分(3) 77151411(1)22161248P X F F<≤=-=-=?? ????? .......................... 12分四、解 (1)由分布律的性质知01.0.20.10.10.21a +++++=故0.3a = ........................................................... 4分0.40.30.3Xp ............................................... 6分120.40.6Y p ................................................... 8分(3)由于{}0,10.1P X Y ===,{}{}010.40.40.16P X P Y ===?=,故{}{}{}0,101P X Y P X P Y ==≠==所以X 与Y 不相互独⽴. .............................................. 12分五、(本题12分) 设随机变量X 的概率密度为(),01,2,12,0,.x x f x x x ≤=-≤≤其他求()(),E X D X .解 2131223201011()()d d (2)d 1.33x E X xf x x x x x x x x x +∞-∞??==+-=+-=?........... 6分122232017()()d d (2)d 6E X x f x x x x x x x +∞-∞==+-=.......................... 9分 221()()[()].6D XE X E X =-= ......................................... 12分⼀、填空题(每空3分,共45分)1、已知P(A) = , P(B) = , P(B|A ) = , 则P(A|B ) = P( A ∪B)=2、设事件A 与B 独⽴,A 与B 都不发⽣的概率为19,A 发⽣且B 不发⽣的概率与B 发⽣且A 不发⽣的概率相等,则A 发⽣的概率为:;3、⼀间宿舍内住有6个同学,求他们之中恰好有4个⼈的⽣⽇在同⼀个⽉份的概率:没有任何⼈的⽣⽇在同⼀个⽉份的概率4、已知随机变量X 的密度函数为:,0()1/4,020,2x Ae x x x x ??, 则常数A= , 分布函数F (x )= , 概率{0.51}P X -<<= ;5、设随机变量X~ B(2,p)、Y~ B(1,p),若{1}5/9P X ≥=,则p = ,若X 与Y 独⽴,则Z=max(X,Y)的分布律:;6、设~(200,0.01),~(4),X B Y P 且X 与Y 相互独⽴,则D(2X-3Y)= ,1、 (12分)设连续型随机变量X 的密度函数为:1,02()20,x x x ??≤≤?=其它求:1){|21|2}P X -<;2)2Y X =的密度函数()Y y ?;3)(21)E X -;2、(12分)设随机变量(X,Y)的密度函数为1)1/4,||,02,(,)0,y x x x y ?<<其他求边缘密度函数(),()X Y x y ??;2)问X 与Y 是否独⽴是否相关计算Z = X + Y 的密度函数()Z1、(10分)设某⼈从外地赶来参加紧急会议,他乘⽕车、轮船、汽车或飞机来的概率分别是3/10,1/5,1/10和2/5。
概率论与数理统计复习题〔一〕一. 选择题:1、假设两个事件 A 和B 同时呈现的概率P(AB)= 0, 那么以下结论正确的选项是( ).(A) A 和B 互不相容.(C) AB 未必是不成能事件. 解此题答案应选(C).2x, x [0, c], (B) AB 是不成能事件.(D) P(A )=0 或P(B)=0.2、设f ( x) 如果c=( ), 那么f (x) 是某一随机变量的概率0, x [0, c].密度函数.1 1 3(A) . (B) . (C) 1. (D) .3 2 2c解由概率密度函数的性质 f ( x)dx 1可得 2 xdx 1, 于是c 1,故本题应选(C ).3、设X ~ N (0,1), 又常数c 满足P{ X≥c} P{ X c} , 那么c 等于( ).1(A) 1. (B) 0. (C) . (D) - 1.2解因为P{ X≥c} P{ X c} , 所以1 P{ X c} P{ X c} ,即2P{ X c} 1 , 从而P{ X c} ,即(c) , 得c=0. 因此此题应选(B).4、设X 与Y 彼此独立,且都从命N(, 2 ) , 那么有( ).(A) E( X Y) E(X ) E(Y) .(C) D( X Y)D(X) D (Y) .(B) E( X Y) 2 .(D) D(X Y) 2 2 .解注意到E(X Y) E(X)E(Y ) 0.由于X 与Y 彼此独立,所以D( X Y)D(X) D(Y) 2 2 . 选(D).25、设总体X 的均值μ与方差σ都存在但未知, 而X , X ,L , X 为来自X 的样1 2 n本, 那么均值μ与方差σ2 的矩估计量别离是() . 1nn(A) X 和S2. (B) X 和(D) X 和2(X ) .ii 1n1(C) μ和σ2. 解选(D).2( X i X ) . n i 1二、在三个箱子中, 第一箱装有4个黑球, 1个白球; 第二箱装有3个黑球, 3 个白球; 第三箱装有 3 个黑球, 5 个白球. 现任取一箱, 再从该箱中任取一球。
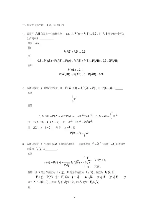
概率论与数理统计期末考试试题及解答概率论与数理统计》期末试题一、填空题(每小题3分,共15分)1.设事件A,B仅发生一个的概率为0.3,且P(A)+P(B)=0.5,则A,B至少有一个不发生的概率为0.9.解:由题意可得P(AB+AB)=0.3,即0.3=P(AB)+P(AB)=P(A)-P(AB)+P(B)-P(AB)=0.5-2P(AB),所以P(AB)=0.1,P(A∪B)=P(AB)=1-P(AB)=0.9.2.设随机变量X服从泊松分布,且P(X≤1)=4P(X=2),则P(X=3)=1-e^(-6)。
解:由P(X≤1)=P(X=0)+P(X=1)=e^(-λ)+λe^(-λ),P(X=2)=λ^2e^(-λ)/2,且P(X≤1)=4P(X=2),可得λ=1,因此P(X=3)=λ^3e^(-λ)/3!=1-e^(-6)。
3.设随机变量X在区间(0,2)上服从均匀分布,则随机变量Y=X在区间(0,4)内的概率密度为f_Y(y)=1/2,0<y<2;f_Y(y)=1,2<y<4;其它为0.解:设Y的分布函数为F_Y(y),X的分布函数为F_X(x),密度为f_X(x),则F_Y(y)=P(Y≤y)=P(X≤y)=P(-y≤X≤y)=F_X(y)-F_X(-y)。
因为X~U(0,2),所以F_X(-y)=0,即F_Y(y)=F_X(y)。
又因为f_Y(y)=F_Y'(y)=f_X(y),所以f_Y(y)=1/2,0<y<2;f_Y(y)=1,2<y<4;其它为0.另解:在(0,2)上函数y=x严格单调,反函数为h(y)=y,所以f_Y(y)=f_X(y)/h'(y)=f_X(y)/2y=1/2,0<y<2;f_Y(y)=f_X(y)/h'(y)=f_X(y)/2y=1,2<y<4;其它为0.4.设随机变量X,Y相互独立,且均服从参数为λ的指数分布,P(X>1)=e^(-2),则λ=2,P{min(X,Y)≤1}=1-e^(-2)。
西南大学 数学与统计学院
《 概率论与数理统计 》课程试题 【A 】卷
阅卷须知:阅卷用红色墨水笔书写,得分用阿拉伯数字写在每小题题号前,用正分表示,不得分则在题号前写0;大题得分登录在对应的分数框内;统一命题的课程应集体阅卷,流水作业;阅卷后要进行复核,发现漏评、漏记或总分统计错误应及时更正;对评定分数或统分记录进行修改时,修改人必须签名。
一、选择题(每题只有一个最合题意的选项,每题2分,共10×2=20分)。
1、对于任意二事件A 和B ,与B B A = 不等价的是( )。
(A )、B A ⊂ (B )、A B ⊂
(C )、φ=B A (D )、φ=B A
2、设A 、B 为两个事件,且1)(0<<B P ,则下列结果正确的是( )。
(A )、1)/()/(=+B A P B A P (B )、1)/()/(=+B A P B A P
(C )、1)/()/(=+B A P B A P (D )、1)/()/(=+B A P B A P
3、设连续型随机变量)1,2(~N X ,密度函数为),(x f 分布函数为),(x F 则( )。
5.0)0()0()(=≥=≤X P X P A ),(),()()(+∞-∞∈=-x x f x f B
5.0)2()2()(=≥=≤X P X P C )
,(),(1)()(+∞-∞∈-=-x x F x F D 特别提醒:学生必须遵守课程考核纪律,违规者将受到严肃处理。
4、设随机变量X 服从正态分布),(2
σμN ,则随σ的增大,概率)|(|σμ<-X P 将( )。
(A )、单调增大 (B )、单调减小 (C )、保持不变 (D )、增减不定
5.设()ηξ,的联合概率密度为:()⎩⎨⎧≤+=其他0
1,221y x y x f π,
则ξ与η为( )的随机变量。
(A) 、独立同分布 (B) 、不独立同分布 (C) 、独立不同分布 (D) 、不独立也不同分布
6、设)(x Φ为标准正态分布函数,⎩⎨
⎧=不发生
事件,发生事件,A A X i 01,100,,1 =i ,且P(A)=0.8,
X 1,X 2,…,X 100相互独立。
令∑==
1001
i i
X
Y ,则由中心极限定理知Y 的分布函数F (y )近似于( )。
(A )、)(y Φ B .)4
80
(
-Φy C .)8016(+Φy D .)804(+Φy 7、设两个相互独立的随机变量X ,Y ,)1,0(~,)2,1(~N Y N X ,则Z=2X-Y+3仍服从
正态分布,且有( )。
(A )、 )9,5(~N Z (B )、)7,5(~N Z (C )、)18,5(~N Z ((D )、以上都不正确
8、设总体X 服从正态分布),(N 2
σμ,其中μ,2
σ均未知,X 1,X 2, …,X n 为其样本,
n ≥2,则下列说法中正确的是( )
(A )、∑=-n i i X n 1
2
)(1μ是统计量
(B )、 ∑=σn 1
i 2
i 2X n 是统计量
(C )、 ∑=μ--σn
1
i 2i 2)X (1n 是统计量 (D )、 ∑=n
i i X n 1
1是统计量
9、对正态总体的均值μ进行假设检验,如果在显著性水平0.01下,拒绝原假设00:μμ=H ,那么在显著性水平05.0=α下,下列结论正确的是( ) (A )、必接受0H (B )、必拒绝0H (C )、可能接受也可能拒绝0H (D )、以上都不正确
10、设总体)2,0(~2N X ,而1521,,,
X X X 是来自总体X 的简单随机样本,则随机变量
)
(22
152112
10
21X X X X Y +++= 所服从的分布为( )。
(A ))15(2χ (B ))14(t (C ))10,5(F (D ))5,10(F
二、填空题(请将答案填写在每题中的画线处,写在其它位置不给分;每题3分,共6×3=18分)。
1、随机事件A 与B 相互独立,P(A)=0.3,P(B)=0.5,则P(B A )=。
2、10件产品中含有4件次品,今从中任取2件,已知一件是次品的条件下,另外一件
也是次品的概率为 。
3 、随机变量X 服从参数为1泊松分布,则=
+-)32(2
x X E 。
4 、设=≥==)1(,9/4)0(),,3(~),,2(~Y P X P p B Y p B X 则若。
5、设21,X X 为来自总体),(~2
σμN X 的样本,若212012
1
X CX +
为μ的一个无偏估计,_______________=C 。
6、随机变量X 的分布律为{}),2,1(n k ak k X P ===,则常数=a 。
三、(本题10分)。
某工厂向三家出租车公司(D ,E ,F )租用汽车,20%汽车来自D 公司,20%来自E 公司,60%来自F 公司,而这三家出租车公司在运输中发生故障的概率依次为0.10,0.12,0.04。
(1)该工厂租用汽车发生故障的概率是多少?
(2)若该工厂租用的汽车发生故障,次汽车来自F 公司的概率是多少?
四、(本题14分)
设随机变量X 的概率密度为
⎪⎩
⎪
⎨⎧≤≤=. 010
)(其他,x Cx x f
(1)求常数C;
(2) Y 表示对X 的三次独立重复观察中事件}2
1
{≤X 出现的次数,求概率}2{=Y P ;
(3)求2
X Z =的分布函数。
五、(本题10分)
某箱装有100件产品,其中一、二和三等品分别为80,10和10件,现在从中随机抽
取一件,记⎪⎩
⎪
⎨⎧=. 0i
1其他等品若抽到i X 3,2,1=i ,试求
(1)随机变量1X 与2X 的联合分布列;
(2)随机变量1X 与2X 的相关系数。
六 (本题10分)
已知二维随机变量(X,Y)的联合分布及边缘分布的部分数值,且X 与Y 相互独立,
试将其余数据填入表中空白处。
七、(本题10分)
设总体X 的概率密度为
⎪⎩
⎪
⎨⎧≤≤+=. 010 )1()(其他,
x x x f θθ
其中1->θ是未知参数,n X X X ,,,21 是来自总体X 的一个容量为n 的简单随机样本。
试求θ的
矩估计量和似然估计量。
(10分)
八、(本题8分)
某一百货公司经理宣称,其持有信用卡的顾客的平均年收入至少为18000元,某一含有58位持有信用卡的顾客的样本均值为17200元且样本标准差为3000元,若显著性水平
为0.05,该经理的宣称能被拒绝吗?假定顾客的年收入服从正态分布。
96.1,65.1025.005.0==u u
(注:文档可能无法思考全面,请浏览后下载,供参考。
可复制、编制,期待你的好评与关注!)。