上海鞍山初级中学数学整式的乘法与因式分解中考真题汇编[解析版]
- 格式:doc
- 大小:351.00 KB
- 文档页数:8
八年级上册数学 整式的乘法与因式分解中考真题汇编[解析版]一、八年级数学整式的乘法与因式分解选择题压轴题(难)1.下列能用平方差公式分解因式的是( )A .21x -B .()21x x +C .21x +D .2x x - 【答案】A【解析】根据平方差公式:()()22a b a b a b -=+-,A 选项:()()2111x x x -=+-,可知能用平方差公式进行因式分解.故选:A.2.在矩形ABCD 中,AD =3,AB =2,现将两张边长分别为a 和b (a >b )的正方形纸片按图1,图2两种方式放置(图1,图2中两张正方形纸片均有部分重叠),矩形中未被这两张正方形纸片覆盖的部分用阴影表示,设图1中阴影部分的面积为S 1,图2中阴影部分的面积为S 2.则S 1﹣S 2的值为( )A .-1B .b ﹣aC .-aD .﹣b【答案】D【解析】【分析】 利用面积的和差分别表示出S 1、S 2,然后利用整式的混合运算计算它们的差.【详解】∵1()()()(2)(2)(3)S AB a a CD b AD a a a b a =-+--=-+--2()()()2(3)()(2)S AB AD a a b AB a a a b a =-+--=-+--∴21S S -=(2)(2)(3)a a b a -+--2(3)()(2)a a b a -----32b b b =-+=-故选D.【点睛】本题考查了整式的混合运算,计算量比较大,注意不要出错,熟练掌握整式运算法则是解题关键.3.已知a 与b 互为相反数且都不为零,n 为正整数,则下列两数互为相反数的是( ) A .a 2n -1与-b 2n -1 B .a 2n -1与b 2n -1 C .a 2n 与b 2n D .a n 与b n【答案】B【解析】已知a 与b 互为相反数且都不为零,可得a 、b 的同奇次幂互为相反数,同偶次幂相等,由此可得选项A 、C 相等,选项B 互为相反数,选项D 可能相等,也可能互为相反数,故选B.4.当3x =-时,多项式33ax bx x ++=.那么当3x =时,它的值是( )A .3-B .5-C .7D .17-【答案】A【解析】【分析】首先根据3x =-时,多项式33ax bx x ++=,找到a 、b 之间的关系,再代入3x =求值即可.【详解】当3x =-时,33ax bx x ++=327333ax bx x a b ++=---= 2736a b ∴+=-当3x =时,原式=2733633a b ++=-+=-故选A.【点睛】本题考查代数式求值问题,难度较大,解题关键是找到a 、b 之间的关系.5.如果多项式29x kx -+能用公式法分解因式,那么k 的值是( )A .3B .6C .3±D .6±【答案】D【解析】由于可以利用公式法分解因式,所以它是一个完全平方式222a ab b ±+,所以236k =±⨯=±.故选D.6.下列各式中,不能运用平方差公式进行计算的是( )A .(21)(12)x x --+B .(1)(1)ab ab -+C .(2)(2)x y x y ---D .(5)(5)a a -+--【答案】A【解析】【分析】运用平方差公式(a+b )(a-b )=a 2-b 2时,关键要找相同项和相反项,其结果是相同项的平方减去相反项的平方.【详解】A. 中不存在互为相反数的项,B. C. D 中均存在相同和相反的项,故选A.【点睛】此题考查平方差公式,解题关键在于掌握平方差公式结构特征.7.设M=(x ﹣3)(x ﹣7),N=(x ﹣2)(x ﹣8),则M 与N 的关系为( )A .M <NB .M >NC .M=ND .不能确定【答案】B【解析】由于M=(x-3)(x-7)=x 2-10x+21,N=(x-2)(x-8)=x 2-10x+16,可以通过比较M 与N 的差得出结果.解:∵M=(x-3)(x-7)=x 2-10x+21,N=(x-2)(x-8)=x 2-10x+16,M-N=(x 2-10x+21)-(x 2-10x+16)=5,∴M>N.故选B .“点睛”本题主要考查多项式乘以多项式的法则.注意不要漏项,漏字母,有同类项的合并同类项,掌握多项式乘以多项式的法则是解题的关键.8.把228a -分解因式,结果正确的是( )A .22(4)a -B .22(2)a -C .2(2)(2)a a +-D .22(2)a +【答案】C【解析】【分析】先提公因式2,然后再利用平方差公式进行分解即可.【详解】 228a -=22(4)a -=2(2)(2)a a +-,故选C .【点睛】本题考查了提公因式法与公式法的综合运用,熟练掌握因式分解的方法是解本题的关键.分解因式的步骤一般为:一提(公因式),二套(公式),三彻底.9.下列等式从左到右的变形,属于因式分解的是( )A .x 2+2x ﹣1=(x ﹣1)2B .x 2+4x+4=(x+2)2C .(a+b )(a ﹣b )=a 2﹣b 2D .ax 2﹣a=a (x 2﹣1)【答案】B【解析】【分析】因式分解是指将多项式和的形式转化成整式乘积的形式,因式分解的方法有:提公因式法,套用公式法,十字相乘法,分组分解法,解决本题根据因式分解的定义进行判定.【详解】A 选项,从左到右变形错误,不符合题意,B 选项,从左到右变形是套用完全平方公式进行因式分解,符合题意,C 选项, 从左到右变形是在利用平方差公式进行计算,不符合题意,D 选项, 从左到右变形利用提公因式法分解因式,但括号里仍可以利用平方差公式继续分解,属于分解不彻底,因此不符合题意,故选B.【点睛】本题主要考查因式分解的定义,解决本题的关键是要熟练掌握因式分解的定义和方法.10.不论x ,y 为何有理数,x 2+y 2﹣10x+8y+45的值均为( )A .正数B .零C .负数D .非负数【答案】A【解析】【详解】因为x 2+y 2-10x +8y +45=()()225440x y -+++>, 所以x 2+y 2-10x +8y +45的值为正数,故选A.二、八年级数学整式的乘法与因式分解填空题压轴题(难)11.因式分解:a 3-9ab 2=__________.【答案】a (a -3b )(a +3b )【解析】【分析】首先提取公因式a ,进而利用平方差公式分解因式得出即可.【详解】a 3-9ab 2=a (a 2-9b 2)=a (a-3b )(a+3b ).故答案为:a (a-3b )(a+3b ).【点睛】本题考查了提取公因式以及公式法分解因式,正确应用平方差公式是解题的关键.12.已知:如图,△ACB 的面积为30,∠C 90=︒,BC a =,AC b =,正方形ADEB 的面积为169,则2()a b -的值为_____________.【答案】49【解析】首先根据三角形的面积可知12ab=30,可得ab=60,再利用勾股定理和正方形的面积公式求出a 2+b 2=169,因此可知(a-b )2= a 2+b 2-2ab=169-120=49.故答案为:49. 点睛:此题主要考查了勾股定理,关键是掌握在任何直角三角形中,两条直角边的平方和等于斜边的平方,同时考查了三角形的面积计算和完全平方公式的计算.13.我国宋朝数学家杨辉在他的著作《详解九章算法》中提出“杨辉三角”(如图),此图揭示了n(a b)(n +为非负整数)展开式的项数及各项系数的有关规律.例如:0(a b)1+=,它只有一项,系数为1;系数和为1; 1(a b)a b +=+,它有两项,系数分别为1,1,系数和为2;222(a b)a 2ab b +=++,它有三项,系数分别为1,2,1,系数和为4;33223(a b)a 3a b 3ab b +=+++,它有四项,系数分别为1,3,3,1,系数和为8;⋯,则n (a b)+的展开式共有______项,系数和为______.【答案】n 1+ n 2【解析】【分析】本题通过阅读理解寻找规律,观察可得(a+b )n (n 为非负整数)展开式的各项系数的规律:首尾两项系数都是1,中间各项系数等于(a+b )n-1相邻两项的系数和.因此根据项数以及各项系数的和的变化规律,得出(a+b )n 的项数以及各项系数的和即可.【详解】根据规律可得,(a+b )n 共有(n+1)项,∵1=201+1=211+2+1=221+3+3+1=23∴(a+b )n 各项系数的和等于2n故答案为n+1,2n本题主要考查了完全平方式的应用,能根据杨辉三角得出规律是解此题的关键.在应用完全平方公式时,要注意:①公式中的a ,b 可是单项式,也可以是多项式;②对形如两数和(或差)的平方的计算,都可以用这个公式.14.若4x 2+20x + a 2是一个完全平方式,则a 的值是 __ .【答案】±5【解析】 225,5a a ==±15.计算(-3x 2y)•(13xy 2)=_____________. 【答案】33x y -【解析】【分析】根据单项式乘以单项式的法则计算即可.【详解】 原式=(-3)×13x 2+1y 1+2= -x 3y 3 故答案为-x 3y 3【点睛】 本题主要考查单项式乘以单项式的法则.要准确把握法则是解答此题的关键.16.若m+1m =3,则m 2+21m =_____. 【答案】7【解析】分析:把已知等式两边平方,利用完全平方公式化简,即可求出答案.详解:把m+1m =3两边平方得:(m+1m )2=m 2+21m +2=9, 则m 2+21m =7, 故答案为:7点睛:此题考查了分式的混合运算,以及完全平方公式,熟练掌握运算法则及公式是解本题的关键.17.若(x+p)与(x+5)的乘积中不含x 的一次项,则p =_____.【答案】-5【解析】根据多项式乘以多项式的法则,可表示为(a +b )(m +n )=am +an +bm +bn 计算,再根据乘积中不含x 的一次项,得出它的系数为0,即可求出p 的值.【详解】解:(x +p )(x +5)=x 2+5x +px +5p =x 2+(5+p )x +5p ,∵乘积中不含x 的一次项,∴5+p =0,解得p =﹣5,故答案为:﹣5.18.因式分解:223ax 12ay -=______.【答案】()()3a x 2y x 2y +-【解析】【分析】先提公因式3a ,然后再利用平方差公式进行分解即可得.【详解】原式()223a x 4y =-()()3a x 2y x 2y =+-,故答案为:()()3a x 2y x 2y +-.【点睛】本题考查了综合提公因式法和公式法进行因式分解,一个多项式有公因式首先提取公因式,然后再用其他方法进行因式分解,同时因式分解要彻底,直到不能分解为止.19.若2a b +=,3ab =-,则代数式32232a b a b ab ++的值为__________.【答案】-12【解析】分析:对所求代数式进行因式分解,把2a b +=,3ab =-,代入即可求解.详解:2a b +=,3ab =-,()()23223222223212.a b a b ab ab a ab b ab a b ++=++=+=-⨯=- ,故答案为:12.-点睛:考查代数式的求值,掌握提取公因式法和公式法进行因式分解是解题的关键.20.已知(2x 21)(3x 7)(3x 7)(x 13)-----可分解因式为(3x a)(x b)++,其中a 、b 均为整数,则a 3b +=_____.【答案】31-.【解析】首先提取公因式3x ﹣7,再合并同类项即可根据代数式恒等的条件得到a 、b 的值,从而可算出a+3b 的值:∵()()()()(2x 21)(3x 7)(3x 7)(x 13)3x 72x 21x 133x 7x 8-----=---+=--, ∴a=-7,b=-8.∴a 3b 72431+=--=-.。
初中数学沪科版第八章整式乘除和因式分解课后练习考试卷考点姓名:_____________ 年级:____________ 学号:______________题型选择题填空题解答题判断题计算题附加题总分得分一、选择题评卷人得分10.定义一种新运算:,例如,那么的值等于()A.B.-2C.-1D.3.一组数据的频率反映了( )A.数据的多少B.这些数据的平均水平C.这些数据的离散程度D.这些数据所占总数比例的大小1.在中,分式的个数是().A.1B.2C.3D.48.已知a>b,若c是任意实数,则下列不等式中总是成立的是【】A.a+c<b+cB.a﹣c>b﹣cC.ac<bcD.ac>bc4.若<,则一定满足()A.>0试卷第 4 页共 4 页B.<0C.≥0D.≤04.分式的值为0,则x的取值为 ( )A.x=-1B.x=1C.x=-1或x=1D.x为任何实数4.关于x的方程5x+12=4a的解都是负数,则a的取值范围()A.a>3B.a<-3C.a<3D.a>-35.下列关系式是不等式的是()A.B.C.D.4.不等式组的解集是()A.x>2B.x<2C.x≤3D.2<x≤36.已知, 则的值等于()A.B.C.D .19.计算:.20.(8分)解不等式组26.(2011福建泉州,19,9分)先化简,再求值,其中.21.先化简,再求值:,其中17.(1)计算:(2)化简:.19.解不等式组:,并把它的解集表示在数轴上.15.先化简,再求值:(-)÷.其中a 是x2-2x=0的根. 17.解下列不等式(组):(1)(2)9.不等式8-3x≥0的最大整数解是____­_______________;2.如图所示,已知AB和CD相交于O,OA平分∠EOC,∠EOC=70°,则∠BOD= .试卷第 4 页共 4 页7.不等式组解集为______________。
数学八年级上册 整式的乘法与因式分解中考真题汇编[解析版]一、八年级数学整式的乘法与因式分解选择题压轴题(难)1.已知20192019a x =+,20192020b x =+,20192021c x =+,则222a b c ab ac bc ++---的值为( )A .0B .1C .2D .3【答案】D【解析】【分析】根据20192019a x =+,20192020b x =+,20192021c x =+分别求出a-b 、a-c 、b-c 的值,然后利用完全平方公式将题目中的式子变形,即可完成.【详解】∵20192019a x =+,20192020b x =+,20192021c x =+, 20192019201920201a b x x -=+--=-20192019201920212a c x x -=+--=-20192020201920211b c x x -=+--=-∴222a b c ab ac bc ++---2221(222222)2a b c ab ac bc =++--- 2222221(222)2a ab b a ac c b bc c =-++-++-+ 222111()()()222a b a c b c =-+-+- 222111(1)(2)(1)222=⨯-+⨯-+⨯- 11222=++ 3=故选D【点睛】本题考查完全平方公式的应用,熟练掌握完全平方公式是解题关键.2.下列多项式中,能分解因式的是:A .224a b -+B .22a b --C .4244x x --D .22a ab b -+【答案】A【解析】根据因式分解的意义,可知A 、224a b -+能用平方差公式()()22a b a b a b -=+-分解,故正确;B 、22a b --=-(22a b +),不能进行因式分解,故不正确;C 、4244x x --不符合完全平方公式()2222a ab b a b ±+=±,故不正确;D 、22a ab b -+既没有公因式,也不符合公式,故不正确.故选:A.点睛:此题主要考查了因式分解,解题时利用因式分解的方法:因式分解是把一个多项式化为几个因式积的形式.根据因式分解的一般步骤:一提(公因式)、二套(平方差公式()()22a b a b a b -=+-,完全平方公式()2222a ab b a b ±+=±)、三检查(彻底分解).3.下列计算正确的是( )A .3x 2 ·4x 2 =12x 2B .(x -1)(x —1)=x 2—1C .(x 5)2 =x 7D .x 4 ÷x =x 3【答案】D【解析】试题分析:根据单项式乘以单项式的法则,可知3x 2 ·4x 2 =12x 4,故A 不正确; 根据乘法公式(完全平方公式)可知(x -1)(x —1)=x 2—2x+1,故B 不正确;根据幂的乘方,底数不变,指数相乘,可得(x 5)2 =x 10,故C 不正确;根据同底数幂的相除,可知x 4 ÷x =x 3,故D 正确. 故选:D.4.如图所示的是用4个全等的小长方形与1个小正方形密铺而成的正方形图案,已知该图案的面积为144,小正方形的面积为4,若分别用x 、y (x y >)表示小长方形的长和宽,则下列关系式中错误的是( )A .22100x y +=B .2x y -=C .12x y +=D .35xy =【答案】A【解析】【分析】 由正方形的面积公式可求x +y =12,x ﹣y =2,可求x =7,y =5,即可求解.【详解】由题意可得:(x +y )2=144,(x ﹣y )2=4,∴x +y =12,x ﹣y =2,故B 、C 选项不符合题意;∴x =7,y =5,∴xy =35,故D 选项不符合题意;∴x 2+y 2=84≠100,故选项A 符合题意. 故选A .【点睛】本题考查了完全平方公式的几何背景,解答本题需结合图形,利用等式的变形来解决问题.5.下列各式不能用公式法分解因式的是( )A .92-xB .2269a ab b -+-C .22x y --D .21x -【答案】C【解析】【分析】根据公式法有平方差公式、完全平方公式,可得答案.【详解】A 、x 2-9,可用平方差公式,故A 能用公式法分解因式;B 、-a 2+6ab-9 b 2能用完全平方公式,故B 能用公式法分解因式;C 、-x 2-y 2不能用平方差公式分解因式,故C 正确;D 、x 2-1可用平方差公式,故D 能用公式法分解因式;故选C .【点睛】本题考查了因式分解,熟记平方差公式、完全平方公式是解题关键.6.已知a ﹣b =2,则a 2﹣b 2﹣4b 的值为( )A .2B .4C .6D .8【答案】B【解析】【分析】原式变形后,把已知等式代入计算即可求出值.【详解】∵a ﹣b =2,∴原式=(a +b )(a ﹣b )﹣4b =2(a +b )﹣4b =2a +2b ﹣4b =2(a ﹣b )=4.故选:B .【点睛】此题考查因式分解-运用公式法,熟练掌握完全平方公式是解题的关键.7.下列变形,是因式分解的是( )A .2(1)x x x x -=-B .21(1)1x x x x -+=-+C .2(1)x x x x -=-D .2()22a b c ab ac +=+【答案】C【解析】分析:把一个多项式化为几个整式的积的形式,这种变形叫做把这个多项式因式分解. 详解:A 、右边不是整式积的形式,不是因式分解,故本选项错误;B 、右边不是整式积的形式,不是因式分解,故本选项错误;C 、是符合因式分解的定义,故本选项正确;D 、右边不是整式积的形式,不是因式分解,故本选项错误;故选:C .点睛:本题考查了因式分解的知识,理解因式分解的定义是解题关键.8.下列各式中,从左到右的变形是因式分解的是( )A .2a 2﹣2a+1=2a (a ﹣1)+1B .(x+y )(x ﹣y )=x 2﹣y 2C .x 2﹣6x+5=(x ﹣5)(x ﹣1)D .x 2+y 2=(x ﹣y )2+2x【答案】C【解析】【分析】根据因式分解是将一个多项式转化为几个整式的乘积的形式,根据定义,逐项分析即可.【详解】A 、2a 2-2a+1=2a (a-1)+1,等号的右边不是整式的积的形式,故此选项不符合题意;B 、(x+y )(x-y )=x 2-y 2,这是整式的乘法,故此选项不符合题意;C 、x 2-6x+5=(x-5)(x-1),是因式分解,故此选项符合题意;D 、x 2+y 2=(x-y )2+2xy ,等号的右边不是整式的积的形式,故此选项不符合题意; 故选C .【点睛】此题考查因式分解的意义,解题的关键是看是否是由一个多项式化为几个整式的乘积的形式.9.下面四个代数式中,不能表示图中阴影部分面积的是( )A .()()322x x x ++-B .25x x +C .()232x x ++D .()36x x ++【答案】B【解析】【分析】依题意可得S S S =-阴影大矩形小矩形、S S S =+阴影正方形小矩形、S S S =+阴影小矩形小矩形,分别可列式,列出可得答案.【详解】解:依图可得,阴影部分的面积可以有三种表示方式:()()322S S x x x -=++-大矩形小矩形;()232S S x x +=++正方形小矩形;()36S S x x +=++小矩形小矩形.故选:B.【点睛】本题考查多项式乘以多项式及整式的加减,关键是熟练掌握图形面积的求法,还有本题中利用割补法来求阴影部分的面积,这是一种在初中阶段求面积常用的方法,需要熟练掌握.10.今天数学课上,老师讲了单项式乘多项式,放学回到家,小明拿出课堂笔记复习,发现一道题:-3xy (4y -2x -1)=-12xy 2+6x 2y +□,□的地方被钢笔水弄污了,你认为□内应填写( ) A .3xyB .-3xyC .-1D .1【答案】A【解析】【分析】【详解】解:∵左边=-3xy (4y-2x-1)=-12xy 2+6x 2y+3xy右边=-12xy 2+6x 2y+□,∴□内上应填写3xy故选:A .二、八年级数学整式的乘法与因式分解填空题压轴题(难)11.在边长为a 的正方形中剪掉一个边长为b 的小正方形()a b >,再沿虚线剪开,如图①,然后拼成一个梯形,如图②.根据这两个图形的面积关系,用等式表示是____________.【答案】a 2-b 2=(a+b)(a-b)【解析】【分析】根据正方形的面积公式和梯形的面积公式,即可求出答案.【详解】∵第一个图形的面积是a 2-b 2,第二个图形的面积是12(b +b +a +a )(a -b )=(a +b )(a -b ), ∴根据两个图形的阴影部分的面积相等得:a 2-b 2=(a+b)(a-b).故答案为a 2-b 2=(a+b)(a-b).【点睛】 本题考查了平方差公式得几何背景,熟练掌握平方差公式的定义是本题解题的关键.12.设123,,a a a 是一列正整数,其中1a 表示第一个数,2a 表示第二个数,依此类推,n a 表示第n 个数(n 是正整数),已知11a =,2214(1)(1)nn n a a a ,则2018a =___________.【答案】4035【解析】 【分析】()()22n n 1n 4a a 1a 1+=---整理得()()22n n 1a 1a 1++=-,从而可得a n+1-a n =2或a n =-a n+1,再根据题意进行取舍后即可求得a n 的表达式,继而可得a 2018.【详解】∵()()22n n 1n 4a a 1a 1+=---,∴()()22n n n 14a a 1a 1++-=-,∴()()22n n 1a 1a 1++=-,∴a n +1=a n+1-1或a n +1=-a n+1+1,∴a n+1-a n =2或a n =-a n+1,又∵123a ,a ,a ⋯⋯是一列正整数,∴a n =-a n+1不符合题意,舍去,∴a n+1-a n =2,又∵a 1=1,∴a 2=3,a 3=5,……,a n =2n-1,∴a 2018=2×2018-1=4035,故答案为4035.【点睛】本题考查了完全平方公式的应用、平方根的应用、规律型题,解题的关键是通过已知条件推导得出a n+1-a n =2.13.(a-b )2(x-y )-(b-a )(y-x )2=(a-b )(x-y )×________.【答案】(a-b+x-y )【解析】运用公因式的概念,把多项式(a-b )2(x-y )-(b-a )(y-x )2运用提取公因式法因式分解(a-b )2(x-y )-(b-a )(y-x )2=(a-b )(x-y )×(a-b+x-y ). 故答案为:(a-b+x-y ).点睛:此题主要考查了提公因式法分解因式,关键是根据找公因式的方法,确定公因式,注意符号的变化.14.已知25,23a b==,求2a b +的值为________.【答案】15.【解析】【分析】逆用同底数幂的乘法运算法则将原式变形得出答案.【详解】解:∵2a =5,2b =3,∴2a+b =2a ×2b =5×3=15.故答案为:15.【点睛】此题主要考查了同底数幂的乘法运算,正确将原式变形是解题关键.15.对于实数a ,b ,定义运算“※”如下:a ※b=a 2﹣ab ,例如,5※3=52﹣5×3=10.若(x+1)※(x ﹣2)=6,则x 的值为_____.【答案】1【解析】【分析】根据新定义运算对式子进行变形得到关于x 的方程,解方程即可得解.【详解】由题意得,(x+1)2﹣(x+1)(x ﹣2)=6,整理得,3x+3=6,解得,x=1,故答案为1.【点睛】本题考查了解方程,涉及到完全平方公式、多项式乘法的运算等,根据题意正确得到方程是解题的关键.16.因式分解:3222x x y xy +=﹣__________. 【答案】()2x x y -【解析】【分析】先提取公因式x ,再对余下的多项式利用完全平方公式继续分解.【详解】解:原式()()2222x x xy y x x y =-+=-, 故答案为:()2x x y -【点睛】本题考查提公因式,熟练掌握运算法则是解题关键.17.分解因式:a 3-a =【答案】(1)(1)a a a -+【解析】a 3-a =a(a 2-1)=(1)(1)a a a -+18.若2a b +=,3ab =-,则代数式32232a b a b ab ++的值为__________.【答案】-12【解析】分析:对所求代数式进行因式分解,把2a b +=,3ab =-,代入即可求解.详解:2a b +=,3ab =-,()()23223222223212.a b a b ab ab a ab b ab a b ++=++=+=-⨯=- ,故答案为:12.-点睛:考查代数式的求值,掌握提取公因式法和公式法进行因式分解是解题的关键.19.光的速度约为3×105 km/s,太阳系以外距离地球最近的一颗恒星(比邻星)发出的光需要4年的时间才能到达地球.若一年以3×107 s 计算,则这颗恒星到地球的距离是_______km.【答案】3.6×1013【解析】【分析】根据题意列出算式,再根据单项式的运算法则进行计算.【详解】依题意,这颗恒星到地球的距离为4×3×107×3×105,=(4×3×3)×(107×105),=3.6×1013km .故答案为:3.6×1013.【点睛】本题考查了根据实际问题列算式的能力,科学记数法相乘可以运用单项式相乘的法则进行计算.20.已知(2x 21)(3x 7)(3x 7)(x 13)-----可分解因式为(3x a)(x b)++,其中a 、b 均为整数,则a 3b +=_____.【答案】31-.【解析】首先提取公因式3x ﹣7,再合并同类项即可根据代数式恒等的条件得到a 、b 的值,从而可算出a+3b 的值:∵()()()()(2x 21)(3x 7)(3x 7)(x 13)3x 72x 21x 133x 7x 8-----=---+=--, ∴a=-7,b=-8.∴a 3b 72431+=--=-.。
一、初一数学代数式解答题压轴题精选(难)1.任何一个整数N,可以用一个的多项式来表示:N= .例如:325=3×102+2×10+5.一个正两位数的个位数字是x,十位数字y.(1)列式表示这个两位数;(2)把这个两位数的十位上的数字与个位上的数字交换位置得到一个新的两位数,试说明新数与原数的和能被11整除.(3)已知是一个正三位数.小明猜想:“ 与的差一定是9的倍数。
”请你帮助小明说明理由.(4)在一次游戏中,小明算出、、、与等5个数和是3470,请你求出这个正三位数.【答案】(1)解:10y+x(2)解:根据题意得:10y+x+10x+y=11(x+y),则所得的数与原数的和能被11整除(3)解:∵ - =100a+10b+c-(100b+10c+a)=99a-90b-9c =9(11a-10b-c),∴与的差一定是9的倍数(4)解:∵ + + + + + =3470+ ∴222(a+b+c)=222×15+140+ ∵100<<1000,∴3570<222(a+b+c)<4470,∴16<a+b+c≤20.尝试发现只有a+b+c=19,此时 =748成立,这个三位数为748.【解析】【分析】(1)由已知一个正两位数的个位数字是x,十位数字y ,因此这个两位数是:十位上的数字×10+个位数的数字。
(2)根据题意将新的两位数和原两位数相加,再化简,即可得出结果。
(3)分别表示出两个三位数,再求出它们的差,就可得出它们的差是否为9的倍数。
(4)根据题意求出a+b+c的取值范围,再代入数据进行验证即可。
2.如图,在数轴上点A表示数a,点C表示数c,且多项式x3﹣3xy29﹣20的常数项是a,次数是c.我们把数轴上两点之间的距离用表示两点的大写字母一起标记,比如,点A与点B之间的距离记作AB.(1)求a,c的值;(2)若数轴上有一点D满足CD=2AD,则D点表示的数为________;(3)动点B从数1对应的点开始向右运动,速度为每秒1个单位长度.同时点A,C在数轴上运动,点A,C的速度分别为每秒2个单位长度,每秒3个单位长度,运动时间为t 秒.①若点A向右运动,点C向左运动,AB=BC,求t的值;②若点A向左运动,点C向右运动,2AB-m×BC的值不随时间t的变化而改变,直接写出m的值.【答案】(1)解:∵多项式x3﹣3xy29﹣20的常数项是a,次数是c.∴a=-20,c =30(2)-70或(3)解:①如下图所示:当t=0时,AB=21,BC=29. 下面分两类情况来讨论: a.点A,C在相遇前时,点A,B之间每秒缩小1个单位长度,点B,C每秒缩小4个单位长度. 在t=0时,BC -AB=8, 如果AB=BC,那么AB-BC=0,此时t= 秒, b.点A,C在相遇时,AB=BC,点A,C之间每秒缩小5个单位长度,在t=0时,AC=50,秒, c.点A,C在相遇后,BC 大于AC,不符合条件. 综上所述,t= ②当时间为t时,点A表示得数为-20+2t,点B表示得数为1+t,点C表示得数为30+3t,2AB-m×BC=2[(1+t)-(-20+2t)]-m[(30+3t)-(1+t)],=(6-2m)t+(42-29m),当6-2m=0时,上式的值不随时间t的变化而改变,此时m=3.【解析】【解答】解:(2)分三种情况讨论,•当点D在点A的左侧,∵CD=2AD,∴AD=AC=50,点C点表示的数为-20-50=-70,‚当点D在点A,C之间时,∵CD=2AD,∴AD= AC= ,点C点表示的数为-20+ =- ,ƒ当点D在点C的右侧时,AD>CD与条件CD=2AD相矛盾,不符合题意,综上所述,D点表示的数为-70或 ;【分析】(1)根据多项式 x3﹣3xy29﹣20的常数项是a,次数是c.就可得出a、c的值。
一、八年级数学整式的乘法与因式分解解答题压轴题(难)1.因式分解是多项式理论的中心内容之一,是代数中一种重要的恒等变形,它是学习数学和科学技术不可缺少的基础知识.在初中阶段,它是分式中研究约分、通分、分式的化简和计算的基础;利用因式分解的知识,有时可使某些数值计算简便.因式分解的方法很多,请根据提示完成下面的因式分解并利用这个因式分解解决提出的问题.(1)填空: ①()242221144x x x x ⎡⎤+=++-=⎢⎥⎣⎦( )22x -=( )( ) ②()()242116=644⎡⎤+++-⎢⎥⎣⎦=( )( )=( )⨯ ( ) (2)解决问题,计算:4444116844115744⎛⎫⎛⎫++ ⎪⎪⎝⎭⎝⎭⎛⎫⎛⎫++ ⎪⎪⎝⎭⎝⎭ 【答案】(1)①212x +,221122x x x x ⎛⎫⎛⎫++-+ ⎪ ⎪⎝⎭⎝⎭,,②26,26,2211666622⎛⎫⎛⎫+++- ⎪ ⎪⎝⎭⎝⎭,,42.530.5,;(2)14541 【解析】【分析】(1)根据完全平方公式和平方差公式计算可得;(2)利用前面所得规律变形即可.【详解】(1)()242221144x x x x ⎡⎤+=++-⎢⎥⎣⎦ 22212x x ⎛⎫=+- ⎪⎝⎭ 221122x x x x ⎛⎫⎛⎫=++-+ ⎪⎪⎝⎭⎝⎭ ()2422211666624⎡⎤+=++-⎢⎥⎣⎦ 2211666622⎛⎫⎛⎫=+++- ⎪⎪⎝⎭⎝⎭42.530.5=⨯ 故答案为:①212x +,221122x x x x ⎛⎫⎛⎫++-+ ⎪ ⎪⎝⎭⎝⎭,,②26,26,2211666622⎛⎫⎛⎫+++- ⎪ ⎪⎝⎭⎝⎭,,42.530.5,; (2)4444116844115744⎛⎫⎛⎫++ ⎪⎪⎝⎭⎝⎭=⎛⎫⎛⎫++ ⎪⎪⎝⎭⎝⎭ 2222222211116666888822221111555577772222⎛⎫⎛⎫⎛⎫⎛⎫++-+++-+ ⎪⎪⎪⎪⎝⎭⎝⎭⎝⎭⎝⎭⎛⎫⎛⎫⎛⎫⎛⎫++-+++-+ ⎪⎪⎪⎪⎝⎭⎝⎭⎝⎭⎝⎭ 42.530.372.556.530.520.556.542.5⨯⨯⨯=⨯⨯⨯ 14541= 【点睛】本题考查了因式分解的应用;熟练掌握完全平方公式和平方差公式是解题的关键.2.我们知道对于一个图形,通过不同的方法计算图形的面积时,可以得到一个数学等式.例如由图1可以得到()()22322a ab b a b a b ++=++.请回答下列问题:(1)写出图2中所表示的数学等式是 ;(2)如图3,用四块完全相同的长方形拼成正方形,用不同的方法,计算图中阴影部分的面积,你能发现什么?(用含有x ,y 的式子表示) ; (3)通过上述的等量关系,我们可知: 当两个正数的和一定时,它们的差的绝对值越小,则积越 (填“ 大”“或“小”);当两个正数的积一定时,它们的差的绝对值越小,则和越 (填“ 大”或“小”).【答案】(1)22(2)(2)225a b a b a b ab ++=++;(2)22()()4x y x y xy +=-+;(3)大 小【解析】【分析】(1)图2面积有两种求法,可以由长为2a+b ,宽为a+2b 的矩形面积求出,也可以由两个边长为a 与边长为b 的两正方形,及4个长为a ,宽为b 的矩形面积之和求出,表示即可; (2)阴影部分的面积可以由边长为x+y 的大正方形的面积减去边长为x-y 的小正方形面积求出,也可以由4个长为x ,宽为y 的矩形面积之和求出,表示出即可;(3)两正数和一定,则和的平方一定,根据等式224()()xy x y x y =+--,得到被减数一定,差的绝对值越小,即为减数越小,得到差越大,即积越大;当两正数积一定时,即差一定,差的绝对值越小,得到减数越小,可得出被减数越小;【详解】(1)看图可知,22(2)(2)225a b a b a b ab ++=++(2)22()()4x y x y xy +=-+(3)当两个正数的和一定时,它们的差的绝对值越小则积越大;当两个正数的积一定时,它们的差的绝对值越小则和越小.【点睛】本题考点:整式的混合运算,此题考查了整式的混合运算的应用,弄清题意是解本题的关键.3.数学活动课上,老师准备了若干个如图1的三种纸片,A 种纸片边长为a 的正方形,B 中纸片是边长为b 的正方形,C 种纸片是长为a 、宽为b 的长方形.并用A 种纸片一张,B 种纸片一张,C 种纸片两张拼成如图2的大正方形.(1)请问两种不同的方法求图2大正方形的面积.方法1:s =____________________;方法2:s =________________________; (2)观察图2,请你写出下列三个代数式:()222,,a b a b ab ++之间的等量关系. _______________________________________________________;(3)根据(2)题中的等量关系,解决如下问题:①已知:225,11a b a b +=+=,求ab 的值;②已知()()22202020195a a -+-=,则()()20202019a a --的值是____. 【答案】(1)()2a b +,222a ab b ++;(2)()2222a b a ab b +=++;(3)①7ab =,②2-【解析】【分析】(1)依据正方形的面积计算公式即可得到结论;(2)依据(1)中的代数式,即可得出(a+b )2,a 2+b 2,ab 之间的等量关系;(3)①依据a+b=5,可得(a+b )2=25,进而得出a 2+b 2+2ab=25,再根据a 2+b 2=11,即可得到ab=7;②设2020-a=x ,a-2019=y ,即可得到x+y=1,x 2+y 2=5,依据(x+y )2=x 2+2xy+y 2,即可得出xy=()222()2x y x y +-+=2-,进而得到()()20202019a a --=2-. 【详解】 解:(1)图2大正方形的面积=()2a b +,图2大正方形的面积=222a ab b ++故答案为:()2a b +,222a ab b ++;(2)由题可得()2a b +,22a b +,ab 之间的等量关系为:()2222a b a ab b +=++故答案为:()2222a b a ab b +=++;(3)①()()2222a b a b ab +-+=2251114ab ∴=-=7ab ∴=②设2020-a=x ,a-2019=y ,则x+y=1,∵()()22202020195a a -+-=,∴x 2+y 2=5,∵(x+y )2=x 2+2xy+y 2, ∴xy=()222()2x y x y +-+=-2, 即()()202020192a a --=-.【点睛】本题主要考查了完全平方公式的几何背景,熟练掌握完全平方公式是解本题的关键.4.在我国南宋数学家杨辉(约13世纪)所著的《详解九章算术》(1261年)一书中,用下图的三角形解释二项和的乘方规律.杨辉在注释中提到,在他之前北宋数学家贾宪(1050年左右)也用过上述方法,因此我们称这个三角形为“杨辉三角”或“贾宪三角”.杨辉三角两腰上的数都是1,其余每一个数为它上方(左右)两数的和.事实上,这个三角形给出了()n a b +(1,2,3,4,5,6)n =的展开式(按a 的次数由大到小的顺序)的系数规律.例如,此三角形中第三行的3个数1,2,1,恰好对应着222()2a b a ab b +=++展开式中的各项系数,第四行的4个数1,3,3,1,恰好对应着+=+++33223()33a b a a b ab b 展开式中的各项系数,等等.请依据上面介绍的数学知识,解决下列问题:(1)写出4()a b +的展开式;(2)利用整式的乘法验证你的结论.【答案】(1)++++432234a 4a b 6a b 4ab b ;(2)见解析【解析】【分析】(1)运用材料所提供的结论即可写出;(2)利用整式的乘法求解验证即可.【详解】(1)4322344()464a b a a b a b ab b +=++++,(2)方法一:()()()43a b a b a b +=+•+=()()322333a b a a b ab b ++++4322332234=33+33a a b a b ab a b a b ab b ++++++432234464a a b a b ab b =++++方法二:()()()422a b a b a b +=+•+=2222(2)(2)a ab b a ab b ++++=43223223223422422a a b a b a b a b ab a b ab b ++++++++= ++++432234a 4a b 6a b 4ab b .【点睛】解决阅读题的关键是读懂题目所给材料并理解,应用题目中给出的信息解决问题.5.把代数式通过配凑等手段,得到完全平方式,再运用完全平方式是非负性这一性质增加问题的条件,这种解题方法通常被称为配方法.配方法在代数式求值、解方程、最值问题等都有着广泛的应用.例如:若代数式M =a 2﹣2ab +2b 2﹣2b +2,利用配方法求M 的最小值:a 2﹣2ab +2b 2﹣2b +2=a 2﹣2ab +b 2+b 2﹣2b +1+1=(a ﹣b )2+(b ﹣1)2+1.∵(a ﹣b )2≥0,(b ﹣1)2≥0,∴当a =b =1时,代数式M 有最小值1.请根据上述材料解决下列问题:(1)在横线上添上一个常数项使之成为完全平方式:a 2+4a + ;(2)若代数式M =214a +2a +1,求M 的最小值; (3)已知a 2+2b 2+4c 2﹣2ab ﹣2b ﹣4c +2=0,求代数式a +b +c 的值.【答案】(1)4;(2)M 的最小值为﹣3;(3)a +b +c=122. 【解析】【分析】(1)根据常数项等于一次项系数的一半进行配方即可;(2)先提取14,将二次项系数化为1,再配成完全平方,即可得答案; (3)将等式左边进行配方,利用偶次方的非负性可得a ,b ,c 的值,从而问题得解.【详解】(1)∵a 2+4a+4=(a+2)2故答案为:4;(2)M =21a 4+2a+1 =14(a 2+8a+16)﹣3 =14(a+4)2﹣3 ∴M 的最小值为﹣3(3)∵a 2+2b 2+4c 2﹣2ab ﹣2b ﹣4c+2=0,∴(a ﹣b )2+(b ﹣1)2+(2c ﹣1)2=0,∴a ﹣b =0,b ﹣1=0,2c ﹣1=0∴a =b =1,1c=2 , ∴a+b+c=122.. 【点睛】本题考查了配方法的应用,解题时要注意配方法的步骤.注意在变形的过程中不要改变式子的值.6.你会对多项式(x 2+5x+2)(x 2+5x+3)﹣12分解因式吗?对结构较复杂的多项式,若把其中某些部分看成一个整体,用新字母代替(即换元),能使复杂的问题简单化、明朗化.从换元的个数看,有一元代换、二元代换等.对于(x 2+5x+2)(x 2+5x+3)﹣12.解法一:设x 2+5x =y ,则原式=(y+2)(y+3)﹣12=y 2+5y ﹣6=(y+6)(y ﹣1)=(x 2+5x+6)(x 2+5x ﹣1)=(x+2)(x+3)(x 2+5x ﹣1).解法二:设x 2+5x+2=y ,则原式=y(y+1)﹣12=y 2+y ﹣12=(y+4)(y ﹣3)=(x 2+5x+6)(x 2+5x ﹣1)=(x+2)(x+3)(x 2+5x ﹣1).解法三:设x 2+2=m ,5x =n ,则原式=(m+n)(m+n+1)﹣12=(m+n)2+(m+n)﹣12=(m+n+4)(m+n ﹣3)=(x 2+5x+6)(x 2+5x ﹣1)=(x+2)(x+3)(x 2+5x ﹣1).按照上面介绍的方法对下列多项式分解因式:(1)(x 2+x ﹣4)(x 2+x+3)+10;(2)(x+1)(x+2)(x+3)(x+6)+x 2;(3)(x+y ﹣2xy)(x+y ﹣2)+(xy ﹣1)2.【答案】(1) (x+2)(x-1) (2 x x ++1)(2)(266x x ++)2(3) (x+y-xy-1)2【解析】【分析】(1)令m=2x x +,原式=()()4m 310m -++因式分解即可;(2)()()()()21236x x x x x +++++=(276x x ++)(256x x ++)+2x ,令n=256x x ++,再将原式=(n+2)n+x 2进行因式分解即可;(3)令a=x+y,b=xy ,代入原式即可因式分解.【详解】(1)令m=2x x +,原式=()()4m 310m -++=m 2-m-2=(m-2)(m+1)= (2x x +-2)(2x x ++1)=(x+2)(x-1) (2x x ++1)(2)()()()()21236x x x x x +++++=(276x x ++)(256x x ++)+2x , 令n=256x x ++,原式=(n+2)n+x 2=n 2+2n+x 2=(n+x)2=(266x x ++)2(3) 令a=x+y,b=xy ,原式=()()()2221a b a b --+-=(a-b)2-2(a-b)+1=(a-b-1)2=(x+y-xy-1)2【点睛】此题主要考查复杂的因式分解,解题的关键是读懂材料学会材料中因式分解的方法.7.阅读下列材料:利用完全平方公式,可以将多项式2(0)ax bx c a ++≠变形为2()a x m n ++的形式, 我们把这样的变形方法叫做多项式2ax bx c ++的配方法.运用多项式的配方法及平方差公式能对一些多项式进行分解因式.例如:21124x x ++=222111111()()2422x x ++-+ =21125()24x +- =115115()()2222x x +++-=(8)(3)x x ++ 根据以上材料,解答下列问题:(1)用多项式的配方法将281x x +-化成2()x m n ++的形式;(2)下面是某位同学用配方法及平方差公式把多项式2340x x --进行分解因式的解答过程:老师说,这位同学的解答过程中有错误,请你找出该同学解答中开始出现错误的地方,并用“ ”标画出来,然后写出完整的、正确的解答过程:(3)求证:x ,y 取任何实数时,多项式222416x y x y +--+的值总为正数.【答案】(1)2(4)17x +- ;(2)(5)(8)x x +-;(3)见解析【解析】试题分析:(1)根据配方法,可得答案;(2)根据配方法,可得平方差公式,再根据平方差公式,可得答案;(3)根据交换律、结合率,可得完全平方公式,根据完全平方公式,可得答案. 试题解析:解:(1)281x x +-=2228441x x ++--=2(4)17x +-(2)2340x x -- =222333()()40222x x -+-- =23169()24x --=313313()()2222x x -+-- =(5)(8)x x +- (3)证明:222416x y x y +--+=22214411x x y y -++-++=22(1)(2)11x y -+-+∵2(1)x -≥0,2(2)y -≥0,∴22(1)(2)110x y -+-+>.∴x ,y 取任何实数时,多项式222416x y x y +--+的值总是正数.点睛:本题考查了配方法,利用完全平方公式:a 2±2ab +b 2=(a ±b )2配方是解题关键.8.(知识生成)我们已经知道,通过计算几何图形的面积可以表示一些代数恒等式.例如图1可以得到(a+b )2=a 2+2ab+b 2,基于此,请解答下列问题:(1)根据图2,写出一个代数恒等式:.(2)利用(1)中得到的结论,解决下面的问题:若a+b+c=10,ab+ac+bc=35,则a2+b2+c2=.(3)小明同学用图3中x张边长为a的正方形,y张边长为b的正方形,z张宽、长分别为a、b的长方形纸片拼出一个面积为(2a+b)(a+2b)长方形,则x+y+z=.(知识迁移)(4)事实上,通过计算几何图形的体积也可以表示一些代数恒等式,图4表示的是一个边长为x的正方体挖去一个小长方体后重新拼成一个新长方体,请你根据图4中图形的变化关系,写出一个代数恒等式:.【答案】(1)(a+b+c)2=a2+b2+c2+2ab+2ac+2bc;(2)30;(3)9;(4)x3﹣x=(x+1)(x﹣1)x【解析】【分析】(1)依据正方形的面积=(a+b+c)2;正方形的面积=a2+b2+c2+2ab+2ac+2bc,可得等式;(2)依据a2+b2+c2=(a+b+c)2﹣2ab﹣2ac﹣2bc,进行计算即可;(3)依据所拼图形的面积为:xa2+yb2+zab,而(2a+b)(a+2b)=2a2+4ab+ab+2b2=2a2+5b2+2ab,即可得到x,y,z的值.(4)根据原几何体的体积=新几何体的体积,列式可得结论.【详解】(1)由图2得:正方形的面积=(a+b+c)2;正方形的面积=a2+b2+c2+2ab+2ac+2bc,∴(a+b+c)2=a2+b2+c2+2ab+2ac+2bc,故答案为:(a+b+c)2=a2+b2+c2+2ab+2ac+2bc;(2)∵(a+b+c)2=a2+b2+c2+2ab+2ac+2bc,∵a+b+c=10,ab+ac+bc=35,∴102=a2+b2+c2+2×35,∴a2+b2+c2=100﹣70=30,故答案为:30;(3)由题意得:(2a+b)(a+2b)=xa2+yb2+zab,∴2a2+5ab+2b2=xa2+yb2+zab,∴225xyz=⎧⎪=⎨⎪=⎩,∴x+y+z=9,故答案为:9;(4)∵原几何体的体积=x3﹣1×1•x=x3﹣x,新几何体的体积=(x+1)(x﹣1)x,∴x3﹣x=(x+1)(x﹣1)x.故答案为:x3﹣x=(x+1)(x﹣1)x.【点睛】本题主要考查的是整式的混合运算,利用直接法和间接法分别求得几何图形的体积或面积,然后根据它们的体积或面积相等列出等式是解题的关键.9.阅读材料:小明发现一些含根号的式子可以写成另一个式子的平方,如=()2,善于思考的小明进行了以下探索:设=()2(其中a、b、m、n均为正整数)则有:=m2+2n2,所以a=m2+2n2,b=2mn.这样小明就找到了一种把的式子化为平方式的方法.请仿照小明的方法探索并解决下列问题:(1)当a、b、m、n均为正整数时,若()2,用含m、n的式子分别表示a、b,得a=,b=(2)若(2(其中a、b、m、n均为正整数),求a的值.【答案】(1)m2+3n2,2mn;(2)13.【解析】试题分析:(1)根据完全平方公式运算法则,即可得出a、b的表达式;(2)根据题意,4=2mn,首先确定m、n的值,通过分析m=2,n=1或者m=1,n=2,然后即可确定好a的值.试题解析:(1)∵)2,∴2+3n2∴a=m2+3n2,b=2mn.故a=m2+3n2,b=2mn;(2)由题意,得223 {42a m nmn=+=∵4=2mn,且m、n为正整数,∴m=2,n=1或m=1,n=2,∴a=22+3×12=7或a=12+3×22=1310.在现今“互联网+”的时代,密码与我们的生活已经紧密相连,密不可分.而诸如“123456”、生日等简单密码又容易被破解,因此利用简单方法产生一组容易记忆的6位数密码就很有必要了.有一种用“因式分解法产生的密码,方便记忆,其原理是:将一个多项式分解因式,如多项式:x3+2x2﹣x﹣2因式分解的结果为(x﹣1)(x+1)(x+2),当x=18时,x﹣1=17,x+1=19,x+2=20,此时可以得到数字密码171920.(1)根据上述方法,当x=21,y=7时,对于多项式x3﹣xy2分解因式后可以形成哪些数字密码?(写出两个)(2)若多项式x3+(m﹣3n)x2﹣nx﹣21因式分解后,利用本题的方法,当x=27时可以得到其中一个密码为242834,求m、n的值.【答案】(1)可以形成的数字密码是:212814、211428;(2)m的值是56,n的值是17.【解析】【分析】(1)先将多项式进行因式分解,然后再根据数字密码方法形成数字密码即可;(2)设x3+(m﹣3n)x2﹣nx﹣21=(x+p)(x+q)(x+r),当x=27时可以得到其中一个密码为242834,得到方程解出p、q、r,然后回代入原多项式即可求得m、n【详解】(1)x3﹣xy2=x(x2﹣y2)=x(x+y)(x﹣y),当x=21,y=7时,x+y=28,x﹣y=14,∴可以形成的数字密码是:212814、211428;(2)设x3+(m﹣3n)x2﹣nx﹣21=(x+p)(x+q)(x+r),∵当x=27时可以得到其中一个密码为242834,∴27+p=24,27+q=28,27+r=34,解得,p=﹣3,q=1,r=7,∴x3+(m﹣3n)x2﹣nx﹣21=(x﹣3)(x+1)(x+7),∴x3+(m﹣3n)x2﹣nx﹣21=x3+5x2﹣17x﹣21,∴3517m nn-=⎧⎨-=-⎩得,5617mn=⎧⎨=⎩即m的值是56,n的值是17.【点睛】本题属于阅读理解题型,考查知识点以因式分解为主,本题第一问关键在于理解题目中给到的数字密码的运算规则,第二问的关键在于能够将原多项式设成(x+p)(x+q)(x+r),解出p、q、r。
鞍山数学整式的乘法与因式分解检测题(Word 版 含答案)一、八年级数学整式的乘法与因式分解选择题压轴题(难)1.已知226a b ab +=,且a>b>0,则a b a b+-的值为( )A B C .2 D .±2 【答案】A【解析】【分析】已知a 2+b 2=6ab ,变形可得(a+b )2=8ab ,(a-b )2=4ab ,可以得出(a+b )和(a-b )的值,即可得出答案.【详解】∵a 2+b 2=6ab ,∴(a+b )2=8ab ,(a-b )2=4ab ,∵a >b >0,∴∴a ba b +-= 故选A.【点睛】本题考查了分式的化简求值问题,观察式子可以得出应该运用完全平方式来求解,要注意a 、b 的大小关系以及本身的正负关系.2.(2017重庆市兼善中学八年级上学期联考)在日常生活中如取款、上网等都需要密码.有一种用“因式分解法”产生的密码方便记忆,如:对于多项式44x y -,因式分解的结果是()()()22x y x y x y -++,若取9x =, 9y =时,则各个因式的值为()0x y -=, ()18x y +=, ()22162x y +=,于是就可以把“018162”作为一个六位数的密码.对于多项式32x xy -,取20x, 10y =时,用上述方法产生的密码不可能...是( ) A .201030B .201010C .301020D .203010【答案】B【解析】【分析】【详解】解:x 3-xy 2=x (x 2-y 2)=x (x+y )(x-y ),当x=20,y=10时,x=20,x+y=30,x-y=10,组成密码的数字应包括20,30,10,所以组成的密码不可能是201010.故选B .3.下列多项式中,能分解因式的是:A .224a b -+B .22a b --C .4244x x --D .22a ab b -+【答案】A【解析】 根据因式分解的意义,可知A 、224a b -+能用平方差公式()()22a b a b a b -=+-分解,故正确;B 、22a b --=-(22a b +),不能进行因式分解,故不正确;C 、4244x x --不符合完全平方公式()2222a ab b a b ±+=±,故不正确;D 、22a ab b -+既没有公因式,也不符合公式,故不正确.故选:A.点睛:此题主要考查了因式分解,解题时利用因式分解的方法:因式分解是把一个多项式化为几个因式积的形式.根据因式分解的一般步骤:一提(公因式)、二套(平方差公式()()22a b a b a b -=+-,完全平方公式()2222a ab b a b ±+=±)、三检查(彻底分解).4.已知三角形三边长为a 、b 、c ,且满足247a b -=, 246b c -=-, 2618c a -=-,则此三角形的形状是( )A .等腰三角形B .等边三角形C .直角三角形D .无法确定【答案】A【解析】解:∵a 2﹣4b =7,b 2﹣4c =﹣6,c 2﹣6a =﹣18,∴a 2﹣4b +b 2﹣4c +c 2﹣6a =7﹣6﹣18,整理得:a 2﹣6a +9+b 2﹣4b +4+c 2﹣4c +4=0,即(a ﹣3)2+(b ﹣2)2+(c ﹣2)2=0,∴a =3,b =2,c =2,∴此三角形为等腰三角形.故选A .点睛:本题考查了因式分解的应用,解题的关键是正确的进行因式分解.5.下列分解因式正确的是( )A .22a 9(a 3)-=-B .()24a a a 4a -+=-+C .22a 6a 9(a 3)++=+D .()2a 2a 1a a 21-+=-+ 【答案】C【解析】【分析】根据因式分解的方法(提公因式法,运用公式法),逐个进行分析即可.【详解】A. ()2a 9a 3a 3-=-+)(,分解因式不正确;B. ()24a a a 4a -+=--,分解因式不正确; C. 22a 6a 9(a 3)++=+ ,分解因式正确;D. ()2a 2a 1a 1-+=-2,分解因式不正确.故选:C【点睛】本题考核知识点:因式分解.解题关键点:掌握因式分解的方法.6.如果x m =4,x n =8(m 、n 为自然数),那么x 3m ﹣n 等于( )A .B .4C .8D .56【答案】C【解析】【分析】根据同底数幂的除法法则可知:指数相减可以化为同底数幂的除法,故x 3m ﹣n 可化为x 3m ÷x n ,再根据幂的乘方可知:指数相乘可化为幂的乘方,故x 3m =(x m )3,再代入x m =4,x n =8,即可得到结果.【详解】解:x 3m ﹣n =x 3m ÷x n =(x m )3÷x n =43÷8=64÷8=8, 故选:C .【点睛】此题主要考查了同底数幂的除法,幂的乘方,关键是熟练掌握同底数幂的除法与幂的乘方的计算法则,并能进行逆运用.7.如图,大正方形与小正方形的面积之差是60,则阴影部分的面积是 ( )A .30B .20C .60D .40【答案】A【解析】【分析】 设大正方形的边长为x ,小正方形的边长为y ,表示出阴影部分的面积,结合大正方形与小正方形的面积之差是60即可求解.【详解】设大正方形的边长为x ,小正方形的边长为y ,则2260x y -=,∵S 阴影=S △AEC +S △AED=11()()22x y x x y y -+- =1()()2x y x y -+ =221()2x y - =1602⨯ =30.故选A.【点睛】 此题主要考查了平方差公式的应用,读懂图形和熟练掌握平方差公式是解此题的关键.8.下列等式从左到右的变形,属于因式分解的是( )A .x 2+2x ﹣1=(x ﹣1)2B .x 2+4x+4=(x+2)2C .(a+b )(a ﹣b )=a 2﹣b 2D .ax 2﹣a=a (x 2﹣1)【答案】B【解析】【分析】因式分解是指将多项式和的形式转化成整式乘积的形式,因式分解的方法有:提公因式法,套用公式法,十字相乘法,分组分解法,解决本题根据因式分解的定义进行判定.【详解】A 选项,从左到右变形错误,不符合题意,B 选项,从左到右变形是套用完全平方公式进行因式分解,符合题意,C 选项, 从左到右变形是在利用平方差公式进行计算,不符合题意,D 选项, 从左到右变形利用提公因式法分解因式,但括号里仍可以利用平方差公式继续分解,属于分解不彻底,因此不符合题意,故选B.【点睛】本题主要考查因式分解的定义,解决本题的关键是要熟练掌握因式分解的定义和方法.9.已知a =96,b =314,c =275,则a 、b 、c 的大小关系是( )A .a >b >cB .a >c >bC .c >b >aD .b >c >a【答案】C【解析】【分析】根据幂的乘方可得:a =69=312,c =527=315,易得答案.【详解】因为a =69=312,b =143,c =527=315,所以,c>b>a故选C【点睛】本题考核知识点:幂的乘方. 解题关键点:熟记幂的乘方公式.10.小淇用大小不同的 9 个长方形拼成一个大的长方形ABCD ,则图中阴影部分的面积是()A.(a + 1)(b + 3)B.(a + 3)(b + 1)C.(a + 1)(b + 4)D.(a + 4)(b + 1) 【答案】B【解析】【分析】通过平移后,根据长方形的面积计算公式即可求解.【详解】平移后,如图,易得图中阴影部分的面积是(a+3)(b+1).故选B.【点睛】本题主要考查了列代数式.平移后再求解能简化解题.二、八年级数学整式的乘法与因式分解填空题压轴题(难)11.在边长为a 的正方形中剪掉一个边长为b 的小正方形()a b >,再沿虚线剪开,如图①,然后拼成一个梯形,如图②.根据这两个图形的面积关系,用等式表示是____________.【答案】a 2-b 2=(a+b)(a-b)【解析】【分析】根据正方形的面积公式和梯形的面积公式,即可求出答案.【详解】∵第一个图形的面积是a 2-b 2,第二个图形的面积是12(b +b +a +a )(a -b )=(a +b )(a -b ), ∴根据两个图形的阴影部分的面积相等得:a 2-b 2=(a+b)(a-b).故答案为a 2-b 2=(a+b)(a-b).【点睛】 本题考查了平方差公式得几何背景,熟练掌握平方差公式的定义是本题解题的关键.12.在实数范围内因式分解:22967x y xy --=__________. 【答案】1221229xy xy ⎛+- ⎝⎭⎝⎭【解析】【分析】将原多项式提取9,然后拆项分组为222189399x y xy ⎛⎫-+- ⎪⎝⎭,利用完全平方公式将前一组分解后,再利用平方差公式继续在实数范围内分解.【详解】解:22967x y xy -- 2227=939x y xy ⎛⎫-- ⎪⎝⎭222117=9+3999x y xy ⎛⎫--- ⎪⎝⎭ 218=939xy ⎡⎤⎛⎫--⎢⎥ ⎪⎝⎭⎢⎥⎣⎦11=93333xy xy ⎛⎫⎛---+ ⎪ ⎪⎝⎭⎝⎭11=933xy xy ⎛+--- ⎝⎭⎝⎭故答案为:11933xy xy ⎛+--- ⎝⎭⎝⎭【点睛】本题考查在实数范围内因式分解,利用分组分解法将原多项式“三一”分组后采用公式法因式分解,注意在实数范围内因式分解是指系数可以是根式.13.若a 2+a-1=0,则a 3+2a 2+2014的值是___________.【答案】2015【解析】【分析】根据a 2+a-1=0可得a 2+a=1,对a 3+2a 2+2014进行变形,整体代入即可.【详解】∵a 2+a-1=0∴a 2+a=1a 3+2a 2+2014=a (a 2+a )+a 2+2014=a+a 2+2014=2015故答案为2015【点睛】本题考查的是多项式的乘法,整体代入法是解答的关键.14.已知x 、y 为正偶数,且2296x y xy +=,则22x y +=__________.【答案】40【解析】【分析】根据22x y xy 96+=可知xy(x+y)=96,由x 、y 是正偶数可知xy≥4,x+y≥4,进而可知96 可分解成3种乘积的形式,分别计算即可得只有一种情况符合题意,即可求出x 、y 的值,根据x 、y 的值求得答案即可.【详解】∵22x y xy 96+=,∴xy(x+y)=96,∵x 、y 为正偶数,xy≥4,x+y≥4,∴96=2⨯2⨯2⨯2⨯2⨯3=6⨯16=8⨯12=4⨯24当xy(x+y)= 4⨯24时,无解,当xy(x+y)= 6⨯16时,无解,当xy(x+y)=8⨯12时,x+y=8,xy=12,解得:x=2,y=6,或x=6,y=2,∴x 2+y 2=22+62=40.故答案为:40【点睛】本题考查因式分解,把96分解成所有约数的积再分情况求解是解题关键.15.(m+n+p+q) (m-n-p-q)=(__________) 2-(__________) 2.【答案】m n+p+q【解析】(m+n+p+q)(m-n-p-q)=[m+(n+p+q)][m-(n+p+q)]=()22m n p q -++,故答案为(1)m ,(2)n+p+q. 点睛:本题主要考查了平方差公式,平方差公式是两个数的和与这两个数的差的积,等于这两个数的平方差,多项式与多项相乘时,要注意观察能否将其中符号相同的项结合成为一项后,再运用平方差公式运算.16.把多项式(x -2)2-4x +8分解因式,哪一步开始出现了错误( )解:原式=(x -2)2-(4x -8)…A=(x -2)2-4(x -2)…B=(x -2)(x -2+4)…C=(x -2)(x +2)…D【答案】C【解析】根据题意,第一步应是添括号(注意符号变化),解法正确,第二步先对后面因式提公因式4,再提取公因式(x-2)这时出现符号错误,所以从C 步出现错误.故选C.17.计算:532862a a a -÷=()___________.【答案】343a a -【解析】根据整式的除法—多项式除以单项式,可知:532862a a a -÷=()8a 5÷2a 2-6a 3÷2a 2=343a a -.故答案为:343a a -.18.已知x 2+2x =3,则代数式(x +1)2﹣(x +2)(x ﹣2)+x 2的值为_____.【答案】8【解析】【分析】利用完全平方公式及平方差公式把原式第一项和第二项展开,去括号合并同类项得到最简结果,把x 2+2x =3代入即可得答案.【详解】原式=x 2+2x+1-(x 2-4)+x 2=x 2+2x+1-x 2+4+x 2=x 2+2x+5.∵x 2+2x =3,∴原式=3+5=8.故答案为8【点睛】此题考查了整式的混合运算-化简求值,涉及的知识有:完全平方公式,平方差公式,去括号法则,以及合并同类项法则,熟练掌握公式及法则是解本题的关键.19.分解因式:32363a a a -+=_____.【答案】()231a a -【解析】【分析】先提取公因式3a ,再根据完全平方公式进行二次分解即可.【详解】 ()()232236332131a a a a a a a a -+=-+=-. 故答案为:()231a a -【点睛】本题考查了提公因式法,公式法分解因式,提取公因式后利用完全平方公式进行二次分解,注意分解要彻底.20.利用1个a ×a 的正方形,1个b ×b 的正方形和2个a ×b 的矩形可拼成一个正方形(如图所示),从而可得到因式分解的公式________.【答案】a 2+2ab+b 2=(a+b )2【解析】试题分析:两个正方形的面积分别为a 2,b 2,两个长方形的面积都为ab ,组成的正方形的边长为a+b,面积为(a+b)2,所以a2+2ab+b2=(a+b)2.点睛:本题考查了运用完全平方公式分解因式,关键是理解题中给出的各个图形之间的面积关系.。
一、八年级数学整式的乘法与因式分解解答题压轴题(难)1.如图1是一个长为4a 、宽为b 的长方形,沿图中虚线用剪刀平均分成四块小长方形,然后用四块小长方形拼成一个“回形”正方形(如图2)(1)观察图2请你写出2()a b +、2()a b -、ab 之间的等量关系是______;(2)根据(1)中的结论,若5x y +=,94x y ⋅=,则x y -=______; (3)拓展应用:若22(2019)(2020)7m m -+-=,求(2019)(2020)m m --的值.【答案】(1)22()()4a b a b ab +=-+;(2)4,-4:(3)-3【解析】【分析】(1)观察图2,大正方形由4个矩形和一个小正方形组成,根据面积即可得到他们之间的关系.(2)由(1)的结论可得(x-y) ²=16,然后利用平方根的定义求解即可.(3)从已知等式的左边看,左边配成两数和的平方来求解.【详解】解:(1)由题可得,大正方形的面积2()a b =+,大正方形的面积2()4a b ab =-+,∴22()()4a b a b ab +=-+,(2)∵22()()4x y x y xy +=-+, ∴229()()4254164x y x y xy -=+-=-⨯=, ∴4x y -=或-4, (3)∵22(2019)(2020)7m m -+-=,又2(20192020)m m -+-22(2019)(2020)2(2019)(2020)m m m m =-+-+-- ∴172(2019)(2020)m m =+--∴(2019)(2020)3m m --=-故答案为:(1)22()()4a b a b ab +=-+;(2) 4,-4:(3)-3【点睛】本题通过观察图形发现规律,并运用规律求值,使问题简单化是解题关键.2.阅读下列因式分解的过程,再回答所提出的问题:()()()()()()()223111111111x x x x x x x x x x x x +++++=++++=++=⎤⎣+⎡⎦. (1)上述分解因式的方法是______________法.(2)分解220191(1)(1)(1)x x x x x x x ++++++++的结果应为___________.(3)分解因式:21(1)(1)(1)n x x x x x x x ++++++++.【答案】(1)提公因式 ; (2)()20201x + ;(3)()11n x ++【解析】【分析】(1)用的是提公因式法; (2)按照(1)中的方法再分解几个,找了其中的规律,即可推测出结果;.(3)由(2)中得到的规律即可推广到一般情况.【详解】解:(1)上述分解因式的方法是提公因式法.(2)()()()()()2333111111x x x x x x x x x x +++++++=+++=()41x + ()()()()()()234441111111x x x x x x x x x x x x +++++++++=+++=()51x + ……由此可知()2201911(1)(1)x x x x x x x ++++++++=()20201x +(3)原式=(1+x )[1+x+x (x+1)]+x (x+1)3+…+x (x+1)n ,=(1+x )2(1+x )+x (x+1)3+…+x (x+1)n ,=(1+x )3+x (1+x )3+…+x (1+x )n ,=(1+x )n +x (x+1)n ,=(1+x )n+1.【点睛】本题考查了提公因式法分解因式,找出整式的结构规律是关键,体现了由特殊到一般的数学思想.3.(1)填空:()()a b a b -+= ;22()()a b a ab b -++= ;3223()()a b a a b ab b -+++= .(2)猜想:1221()(...)n n n n a b a a b ab b -----++++= (其中n 为正整数,且2n ≥).(3)利用(2)猜想的结论计算:98732222...222-+-+-+.【答案】(1)22a b -,33a b -,44a b -;(2)n n a b -;(3)342.【解析】试题分析:(1)根据平方差公式与多项式乘以多项式的运算法则运算即可;(2)根据(1)的规律可得结果;(3)原式变形后,利用(2)得出的规律计算即可得到结果.试题解析:(1)()()a b a b -+=22a b -;3223()()a b a a b ab b -+++=33a b -;3223()()a b a a b ab b -+++=44a b -;故答案为22a b -,33a b -,44a b -;(2)由(1)的规律可得:原式=n n a b -,故答案为n n a b -;(3)令98732222...222S =-+-+-+,∴987321222...2221S -=-+-+-+-=98732[2(1)](222...2221)3---+-+-+-÷=10(21)3(10241)3341-÷=-÷=,∴S=342.考点:1.平方差公式;2.规律型.4.请你观察下列式子:2(1)(1)1x x x -+=-()()23111x x x x -++=-()()324111x x x x x -+++=-()()4325111x x x x x x -++++=-……根据上面的规律,解答下列问题:(1)当3x =时,计算201720162015(31)(333-+++…323331)++++=_________;(2)设201720162015222a =+++…322221++++,则a 的个位数字为 ;(3)求式子201720162015555+++…32555+++的和.【答案】(1)201831-;(2)3;(3)2018554- 【解析】【分析】(1)根据已知的等式发现规律即可求解;(2)先根据x=2,求出a=20182-1,再发现2的幂个位数字的规律,即可求出a 的个位数字;(3)利用已知的等式运算规律构造(5-1)×(2016201520142555...551++++++)即可求解.【详解】(1)∵2(1)(1)1x x x -+=-()()23111x x x x -++=-()()324111x x x x x -+++=-()()4325111x x x x x x -++++=-……∴()()1122.1..11n n n n x x x x x x x --+-+++++=-+故x=3时,201720162015(31)(333-+++…323331)++++=201831-故填:201831-; (2)201720162015222a =+++…322221++++=(2-1)201720162015(222+++…322221)++++=201821-∵21=2,22=4,23=8,24=16,25=32,26=64∴2n 的个位数按2,4,8,6,依次循环排列,∵2018÷4=504…2,∴20182的个位数为4,∴201821-的个位数为3,故填:3;(3)201720162015555+++…32555+++ =1(51)54-⨯⨯(201620152014555+++…2551+++) =54×(5-1)(201620152014555+++…2551+++) =54×(201751-) =2018554- 【点睛】此题主要考查等式的规律探索及应用,解题的关键是根据已知等式找到规律.5.阅读理解题:定义:如果一个数的平方等于﹣1,记为i 2=﹣1,这个数i 叫做虚数单位.那么形如a+bi (a ,b 为实数)的数就叫做复数,a 叫这个复数的实部,b 叫做这个复数的虚部,它的加,减,乘法运算与整式的加,减,乘法运算类似.例如计算:(2+i )+(3﹣4i )=5﹣3i .(1)填空:i 3= ,2i 4= ;(2)计算:①(2+i )(2﹣i );②(2+i )2;(3)若两个复数相等,则它们的实部和虚部必须分别相等,完成下列问题:已知:(x+3y )+3i=(1﹣x )﹣yi ,(x ,y 为实数),求x ,y 的值.(4)试一试:请你参照i 2=﹣1这一知识点,将m 2+25(m 为实数)因式分解成两个复数的积.【答案】(1)i ;2(2)①5②3+4i (3)x=5,y=﹣3(4)m 2+25=(m+5i )(m ﹣5i )【解析】【分析】(1)根据同底数幂的乘法法则及2i 的概念直接运算;(2)利用平方差、完全平方公式把原式展开,根据21i =-计算即可;(3)根据虚数定义得出方程组,解方程组即可;(4)根据21i =- 将25转化为2(-5)i ,再利用平方差公式进行因式分解即可。
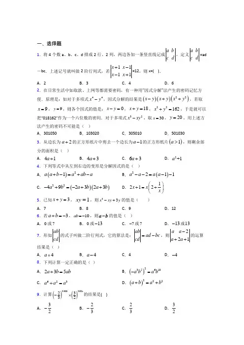
一、选择题1.将4个数a 、b 、c 、d 排成2行、2列,两边各加一条竖直线记成a cb d ,定义ac b d=ad -bc .上述记号就叫做2阶行列式,若11x x +-11x x -+=12,则x=( ).A .2B .3C .4D .62.在日常生活中如取款、上网等都需要密码,有一种用“因式分解”法产生的密码记忆方便.原理是:如对于多项式44x y -,因式分解的结果是()()()22x y x y x y-++,若取9x =,9y =,则各个因式的值是:0x y -=,18x y +=,22162x y +=,于是就可以把“018162”作为一个六位数的密码.对于多项式32x xy -,取30x =,20y =,用上述方法产生的密码不可能是( ) A .301050B .103020C .305010D .5010303.从边长为 2a +的正方形纸片中剪去一个边长为1a -的正方形纸片()1a >,则剩余部分的面积是( ) A .41a +B .43a +C .63a +D .2+1a4.下列等式中从左到右边的变形是分解因式的是( ) A .()21a a b a ab a +-=+- B .()2211a a a a --=-- C .()()22492323a b a b a b -+=-++D .1212x x x ⎛⎫+=+⎪⎝⎭5.已知3x y +=,1xy =,则23x xy y -+的值是()A .7B .8C .9D .12 6.若3a b +=-,10ab =-,则-a b 的值是( )A .0或7B .0或13-C .7-或7D .13-或137.形如ab cd的式子叫做二阶行列式,它的算法是:ab ad bc cd=-,则221a a a a -++的运算结果是( ) A .4aB .4a -C .4D .4-8.下列计算一定正确的是( ) A .235a b ab += B .()235610a b a b -=C .623a a a ÷=D .()222a b a b +=+9.计算()()202020213232-⨯的结果是( )A .32-B .23-C .23D .3210.若()()()248(21)2121211A =+++++,则A 的末位数字是( ) A .4 B .2 C .5 D .6 11.已知代数式2a -b =7,则-4a +2b +10的值是( ) A .7B .4C .-4D .-712.下列运算正确的是( ) A .428a a a ⋅= B .()23624a a =C .6233()()ab ab a b ÷=D .22()()a b a b a b +-=+二、填空题13.若()()253x x x bx c +-=++,则b+c=______.14.如图是一个简单的数值运算程序,当输入n 的值为3时,则输出的结果为______.15.已知2a -b +2=0,则1-4a +2b 的值为______. 16.因式分解269x y xy y -+-=______.17.如图是一块长方形ABCD 的场地,长AB a 米,宽AD b 米,从A 、B 两处入口的小路宽都为1米,两小路汇合处的路宽是2米,其余部分种植草坪,则草坪面积为________2m .18.若(2x +1)5=a 5x 5+a 4x 4+a 3x 3+a 2x 2+a 1x +a ,则a 2+a 4=____ 19.计算:32(2)a b -=________. 20.已知4222112x x +-⋅=,则x =________三、解答题21.计算:4a 2·(-b )-8ab ·(b -12a ). 22.如图1是一个长为4a 、宽为b 的长方形,沿图中虚线用剪刀平均分成四块小长方形,然后用四块小长方形拼成一个“回形”正方形(如图2).(1)观察图1、图2,请你写出()2a b +、()2a b -、ab 之间的等量关系; (2)根据(1)中的结论,若5x y -=,114xy =,试求x y +的值;(3)拓展应用:若()()222019202134m m -+-=,求()()20192021m m --的值.23.乘法公式的探究及应用.(1)如图1,可以求出阴影部分的面积是_______(写成两数平方差的形式); (2)图2是将图1中的阴影部分裁剪开,重新拼成的一个长方形,观察它的长和宽,其面积是______(写成多项式乘法的形式).(3)比较左、右两图的阴影部分面积,可以得到乘法公式_______.(用等式表示) (4)运用你所得到的公式,计算下列各题: ①10.39.7⨯②(2)(2)m n p m n p +--+ 24.计算: (1)()2323298---(2)()()2215105x y xyxy -÷-(3)()()()2321x x x -+-- 25.因式分解: (1)4x 2y ﹣4xy +y ; (2)9a 2﹣4(a +b )2.26.把下列多项式因式分解(要写出必要的过程): (1)﹣x 2y +6xy ﹣9y ; (2)9(x +2y )2﹣4(x ﹣y )2; (3)1﹣x 2﹣y 2+2xy .【参考答案】***试卷处理标记,请不要删除一、选择题1.B 解析:B 【分析】根据题中的新定义将所求的方程化为普通方程,整理后即可求出方程的解,即为x 的值. 【详解】 解:根据题意化简11 11x x x x +--+=12,得(x+1)2-(x-1)2=12, 整理得:x 2+2x+1-(1-2x+x 2)-12=0,即4x=12, 解得:x=3, 故选:B . 【点睛】此题考查了整式的混合运算,属于新定义的题型,涉及的知识有:完全平方公式,去括号、合并同类项法则,根据题意将所求的方程化为普通方程是解本题的关键.2.B解析:B 【分析】对多项式利用提公因式法分解因式,利用平方差公式分解因式,然后把数值代入计算即可确定出密码. 【详解】x 3−xy 2=x (x 2−y 2)=x (x +y )(x−y ), 当x =30,y =20时,x =30,x +y =50,x−y =10, 组成密码的数字应包括30,50,10, 所以组成的密码不可能是103020. 故选:B . 【点睛】本题主要考查提公因式法分解因式、平方差公式分解因式,立意新颖,熟记公式结构是解题的关键.3.C解析:C 【分析】根据题意列出关系式,化简即可得到结果; 【详解】 根据题意可得:()()()()()2221212132163a a a a a a a a +--=++-+-+=+=+;故答案选C . 【点睛】本题主要考查了完全平方公式的几何背景,准确分析计算是解题的关键.4.C解析:C 【分析】将多项式写成整式的积的形式,叫做将多项式分解因式,根据定义依次判断. 【详解】A 、()21a a b a ab a +-=+-这是整式乘法计算,故该项不符合题意;B 、()2211a a a a --=--,等式右侧不是整式的乘积,故该项不符合题意;C 、()()22492323a b a b a b -+=-++,故该项符合题意;D 、1212x x x ⎛⎫+=+ ⎪⎝⎭,等式右侧是乘积,但1x不是整式,故该项不符合题意; 故选:C . 【点睛】此题考查多项式的因式分解,掌握因式分解的定义是正确判断的关键.5.A解析:A 【分析】先把3x y +=代入原式,可得23x xy y -+=22xy +,结合完全平方公式,即可求解.【详解】 ∵3x y +=,∴23x xy y -+=2()x xy x y y -++=22x xy xy y -++=22x y +,∵1xy =,∴23x xy y -+=22x y +=22()23217x y xy +-=-⨯=,故选A . 【点睛】本题主要考查代数式求值,熟练掌握完全平方公式及其变形公式,是解题的关键.6.C解析:C 【分析】根据完全平方公式得出( a-b )2=( a + b )2-4ab ,进而求出( a-b )2的值,再求出 a-b 的值即可 【详解】( a-b )2=( a + b )2-4ab∴ ()22(3) 4(10)a b =--⨯-- ∴()249a b -=∴7a b -=± 故答案选:C【点睛】考查完全平方公式的应用,掌握完全平方公式的特点和相应的变形,是正确解答的关键.7.A解析:A 【分析】根据定义把二阶行列式表示成整式,然后再化简计算即可. 【详解】 解:由题意可得:()()()212221a a a a a a a a -=+--+++=()224a a a +-- =224a a a +-+ =a+4, 故答案为A . 【点睛】本题考查整式乘法的混合运算,通过观察题目给出的运算法则,把所求解的算式根据运算法则展开是解题关键.8.B解析:B 【分析】分别根据合并同类项的法则、同底数幂的除法法则、幂的乘方法则以及完全平方公式解答即可. 【详解】A 、2a 与3b 不是同类项,故不能合并,故选项A 不合题意;B 、(-a 3b 5)2=a 6b 10,故选项B 符合题意;C 、a 6÷a 2=a 4,故选项C 不符合题意;D 、(a+b )2=a 2+2ab+b 2,故选项D 不合题意. 故选B . 【点睛】本题主要考查了幂的运算性质、合并同类项的法则以及完全平方公式,熟练掌握运算法则是解答本题的关键.9.D解析:D 【分析】利用积的乘方的逆运算解答. 【详解】()()202020213232-⨯=20202020233322⎛⎫⎛⎫-⨯⨯ ⎪ ⎪⎝⎭⎝⎭=2020233322⎛⎫-⨯⨯ ⎪⎝⎭=32. 故选:D . 【点睛】此题考查积的乘方的逆运算,掌握积的乘方的计算公式是解题的关键.10.D解析:D 【分析】在原式前面加(2-1),利用平方差公式计算得到结果,根据2的乘方的计算结果的规律得到答案. 【详解】()()()248(21)2121211A =+++++=()()()248(21)(21)2121211-+++++ =()()()2248(21)2121211-++++ =()()448(21)21211-+++ =()88(21)211-++=162,∵2的末位数字是2,22的末位数字是4, 32的末位数字是8, 42的末位数字是6, 52的末位数字是2,,∴每4次为一个循环, ∵1644÷=,∴162的末位数字与42的末位数字相同,即末位数字是6, 故选:D . 【点睛】此题考查利用平方差公式进行有理数的简便运算,数字类规律的探究,根据2的乘方末位数字的规律得到答案是解题的关键.11.C解析:C直接将原式变形,进而把已知代入求出答案. 【详解】解:∵-4a +2b +10 =10-2(2a-b ),把2a-b=7代入上式得:原式=10-2×7=10-14=-4. 故选:C . 【点睛】此题主要考查了代数式求值,正确将原式变形是解题关键.12.B解析:B 【分析】根据同底数幂相乘法则、积的乘方法则、同底数幂除法法则、平方差公式依次计算判断. 【详解】A 、426a a a ⋅=,故该项错误;B 、()23624a a =,故该项正确;C 、4624()()ab ab a b ÷=,故该项错误;D 、22()()a b a b a b +-=-,故该项错误; 故选:B . 【点睛】此题考查整式的计算法则,正确掌握整式的同底数幂相乘法则、积的乘方法则、同底数幂除法法则、平方差公式是解题的关键.二、填空题13.-13【分析】先利用多项式的乘法展开再根据对应项系数相等确定出bc 的值最后计算出结果即可【详解】解:∵∴∴b=2c=-15∴b+c=2-15=-13故答案为:-13【点睛】此题主要考查了整式的乘法熟解析:-13 【分析】先利用多项式的乘法展开,再根据对应项系数相等确定出b ,c 的值,最后计算出结果即可. 【详解】解:∵()()253x x x bx c +-=++∴22+215x x x bx c -=++ ∴b=2,c=-15 ∴b+c=2-15=-13 故答案为:-13.此题主要考查了整式的乘法,熟练掌握运算法则是解答此题的关键.14.870【分析】将n =3代入数值运算程序计算判断结果与30大小小于或等于30再代入计算大于30输出即可得到输出结果【详解】解:当n =3时根据数值运算程序得:32−3=9−3=6<30当n =6时根据数值解析:870 【分析】将n =3代入数值运算程序计算,判断结果与30大小,小于或等于30再代入计算,大于30输出,即可得到输出结果. 【详解】解:当n =3时,根据数值运算程序得:32−3=9−3=6<30, 当n =6时,根据数值运算程序得:62−6=36−6=30,当n =30时,根据数值运算程序得:302−30=900−30=870>30, 则输出结果为870. 故答案为:870 【点睛】此题考查了代数式求值,熟练掌握运算法则是解本题的关键.15.5【分析】由得整体代入代数式求值【详解】解:∵∴∴原式故答案是:5【点睛】本题考查代数式求值解题的关键是掌握整体代入的思想解析:5 【分析】由220a b -+=得22a b -=-,整体代入代数式求值. 【详解】解:∵220a b -+=, ∴22a b -=-,∴原式()()122122145a b =-+=-⨯-=+=. 故答案是:5. 【点睛】本题考查代数式求值,解题的关键是掌握整体代入的思想.16.-y (x-3)2【分析】提公因式-y 再利用完全平方公式进行因式分解即可;【详解】解:-x2y+6xy-9y=-y (x2-6x+9)=-y (x-3)2故答案为:-y (x-3)2;【点睛】本题考查了因式解析:-y (x-3)2 【分析】提公因式-y ,再利用完全平方公式进行因式分解即可; 【详解】 解:-x 2y+6xy-9y =-y (x 2-6x+9)=-y (x-3)2, 故答案为:-y (x-3)2; 【点睛】本题考查了因式分解的方法,掌握提公因式法、公式法是正确解答的关键.17.【分析】可以将草坪拼成一块完整的长方形分别表示出它的长和宽即可求出面积【详解】解:可以将草坪拼成一块完整的长方形这个长方形的长是:米宽是:米∴草坪的面积是:(平方米)故答案是:【点睛】本题考查多项式 解析:22ab a b --+【分析】可以将草坪拼成一块完整的长方形,分别表示出它的长和宽即可求出面积. 【详解】解:可以将草坪拼成一块完整的长方形,这个长方形的长是:112a a --=-米,宽是:1b -米, ∴草坪的面积是:()()2122a b ab a b --=--+(平方米). 故答案是:22ab a b --+. 【点睛】本题考查多项式的乘法和图形的平移,解题的关键是通过平移的方法将不规则的图形拼成规则图形进行求解.18.120【分析】令x=0可求得a=1;令x=1可求得a5a4a3a2a1a=243①;令x=-1可求得-a5a4-a3a2-a1a=-1②把①和②相加即可求出a2+a4的值【详解】解:解析:120 【分析】令x=0,可求得a=1;令x=1,可求得a 5+a 4+a 3+a 2+a 1+a=243①;令x=-1,可求得-a 5+a 4-a 3+a 2-a 1+a=-1②,把①和②相加即可求出a 2+a 4的值. 【详解】解:当x=0时, a=1;当x=1时, a 5+a 4+a 3+a 2+a 1+a=243①, 当x=-1时,-a 5+a 4-a 3+a 2-a 1+a=-1②, ①+②,得 2a 4+2a 2+2a=242, ∴a 2+a 4=120. 故答案为:120. 【点睛】本题考查了求代数式的值,正确代入特殊值是解答本题的关键.19.【分析】积的乘方等于积中每个因式分别乘方再把所得的幂相乘根据法则计算即可【详解】=故答案为:【点睛】此题考查积的乘方:等于积中每个因式分别乘方再把所得的幂相乘解析:624a b【分析】积的乘方等于积中每个因式分别乘方,再把所得的幂相乘,根据法则计算即可.【详解】32(2)a b -=624a b ,故答案为:624a b .【点睛】此题考查积的乘方:等于积中每个因式分别乘方,再把所得的幂相乘.20.3【分析】利用同底数幂乘法的逆运算求解即可【详解】∵∴即:∴∴故答案为:3【点睛】本题主要考查同底数幂乘法的逆运算灵活运用同底数幂乘法法则是解题关键解析:3【分析】利用同底数幂乘法的逆运算求解即可.【详解】∵()4411312222222172x x x x x x +++++-⋅-=⋅=⋅-=,∴172112x +⋅=,即:142162x +==,∴14x +=,∴3x =,故答案为:3.【点睛】本题主要考查同底数幂乘法的逆运算,灵活运用同底数幂乘法法则是解题关键.三、解答题21.28ab -【分析】整式的混合运算,先算乘除,然后再算加减,有小括号先算小括号里面的.【详解】解:4a 2·(-b )-8ab ·(b -12a ) =222484--+ab ab a b=28ab -.【点睛】本题考查整式的混合运算,掌握单项式乘单项式以及单项式乘多项式的计算法则正确计算是解题关键.22.(1)()()224a b a b ab +--=;(2)6x y +=±;(3)-15.【分析】(1)由长方形的面积公式解得图1的面积,图2中白色部分面积为大正方形面积与小正方形面积的差,又由图1与图2中的空白面积相等,据此列式解题;(2)由(1)中结论可得()()224x y x y xy +--=,将5x y -=,114xy =整体代入,结合平方根性质解题;(3)将()2019m -与()2021m -视为一个整体,结合(1)中公式,及平方的性质解题即可.【详解】解:(1)由图可知,图1的面积为4ab ,图2中白色部分的面积为()()()()2222a b b a a b a b +--=+-- ∵图1的面积和图2中白色部分的面积相等 ∴()()224a b a b ab +--=(2)根据(1)中的结论,可知()()224x y x y xy +--=∵5x y -=,114xy =∴()2211544x y +-=⨯∴()236x y += ∴6x y +=±(3)∵()()201920212m m -+-=-∴()()2201920214m m -+-=⎡⎤⎣⎦ ∴()()()()22201922019202120214m m m m -+--+-= ∵()()222019202134m m -+-= ∴()()22019202143430m m --=-=-∴()()2019202115m m --=-.【点睛】本题考查完全平方公式在几何图形中的应用,是重要考点,难度较易,掌握相关知识是解题关键.23.(1)22a b -;(2)()()a b a b +-;(3)22()()a b a b a b +-=-;(4)①99.91;②22242m n np p -+-【分析】(1)利用正方形的面积公式就可求出;(2)仔细观察图形就会知道长,宽,由面积公式就可求出面积;(3)建立等式就可得出;(4)利用平方差公式就可方便简单的计算.【详解】解:(1)利用大正方形面积减去小正方形面积即可求出:22a b -,故填:22a b -;(2)它的宽是a ﹣b ,长是a+b ,面积是()()a b a b +-,故填:()()a b a b +-;(3)根据题意得出:22()()a b a b a b +-=-,故填:22()()a b a b a b +-=-;(4)①解:原式(100.3)(100.3)=+⨯- 22100.3=-1000.09=-99.91=;②解:原式[2()][2()]m n p m n p =+-⋅--22(2)()m n p =--22242m n np p =-+-.【点睛】此题主要考查了平方差公式.即两个数的和与这两个数的差的积等于这两个数的平方差,这个公式就叫做平方差公式.对于有图形的题同学们注意利用数形结合求解更形象直观.24.(13;(2)32x y -+;(3)7x -【分析】(1)同时计算乘方、绝对值、算术平方根及开立方,再计算加减法;(2)用多项式除以单项式法则计算;(3)先根据多项式乘以多项式及完全平方公式计算,再合并同类项即可.【详解】(1)解:原式4232=--3=;(2)解:原式32x y =-+(3)解:原式2223621x x x x x =+---+-7x =-.【点睛】此题考查实数的混合运算及整式的混合运算,掌握实数的乘方、绝对值、算术平方根及开立方、加减法运算,整式的多项式乘以多项式及完全平方公式、多项式除以单项式法则是解题的关键.25.(1)y(2x﹣1)2;(2)(5a+2b)(a﹣2b)【分析】(1)先提公因式,再利用完全平方公式;(2)先利用平方差公式分解,再化简即可.【详解】解:(1)4x2y﹣4xy+y=y(4x2﹣4x+1)=y(2x﹣1)2;(2)9a2﹣4(a+b)2=[3a+2(a+b)][3a﹣2(a+b)]=(5a+2b)(a﹣2b).【点睛】本题考查了用提公因式法和公式法进行因式分解,一个多项式有公因式首先提取公因式,然后再用其他方法进行因式分解,同时因式分解要彻底,直到不能分解为止.26.(1)﹣y(x﹣3)2;(2)(5x+4y)(x+8y);(3)(1+x﹣y)(1﹣x+y)【分析】(1)先提取公因式,再按照完全平方公式分解;(2)分别把前后两项看成某项的平方并根据平方差分解因式,然后对每个因式去括号及合并同类项进行化简;(3)首先把后面三项看成一组并化成完全平方式,然后与第一项组合并利用平方差公式分解后对每个因式去括号化简即可.【详解】解:(1)﹣x2y+6xy﹣9y=﹣y(x2﹣6x+9)=﹣y(x﹣3)2;(2)9(x+2y)2﹣4(x﹣y)2;=[3(x+2y)+2(x﹣y)][3(x+2y)﹣2(x﹣y)]=(5x+4y)(x+8y);(3)1﹣x2﹣y2+2xy=1﹣(x2+y2﹣2xy)=1﹣(x﹣y)2=[1+(x﹣y)][1﹣(x﹣y)]=(1+x﹣y)(1﹣x+y).【点睛】本题考查了因式分解,熟练掌握因式分解的各种方法并灵活运用是解题关键.。
一、选择题1.如果249x mx -+是一个完全平方式,则m 的值是( )A .12±B .9C .9±D .122.已知3x y +=,1xy =,则23x xy y -+的值是()A .7B .8C .9D .12 3.代数式2346x x -+的值为3,则2463x x -+的值为( ) A .7B .18C .5D .94.将11n n x x +--因式分解,结果正确的是( ) A .()121n x x--B .()11nx x --C .()1nxx x --D .()()111n xx x -+-5.在下列的计算中正确的是( ) A .23a ab a b ⋅=; B .()()2224a a a +-=+; C .235x y xy +=;D .()22369x x x -=++6.下列计算中能用平方差公式的是( ). A .()()a b a b -+- B .1133x y y x ⎛⎫⎛⎫+-⎪⎪⎝⎭⎝⎭C .22x xD .()()21x x -+7.下列有四个结论,其中正确的是( ) ①若1(1)1x x +-=,则x 只能是2;②若()2(1)1x x ax -++的运算结果中不含2x 项,则1a = ③若10,16a b ab +==,则6a b -= ④若4,8x y a b ==,则232x y -可表示为abA .①②③④B .②③④C .①③④D .②④8.设, a b 是实数,定义一种新运算:()2*a b a b =-.下面有四个推断: ①**a b b a =; ②()222**a b a b =; ③()()**a b a b -=-; ④()**a b c a b a c +=+*. 其中所有正确推断的序号是( ) A .①②③④B .①③④C .①②D .①③9.若关于x 的方程250x a b ++=的解是3x =-,则代数式6210a b --的值为( ) A .6- B .0C .12D .1810.已知17x x+=,则1x x -的值为( )A .3B .2±C .3±D .311.如图是一所楼房的平面图,下列式子中不能表示它的面积的是( )A .x 2+3x +6B .(x +3)(x +2)﹣2xC .x (x +3)+6D .x (x +2)+x 212.若()()()248(21)2121211A =+++++,则A 的末位数字是( ) A .4B .2C .5D .613.下列各式计算正确的是( ) A .5210a a a =B .()428=a aC .()236a ba b = D .358a a a +=14.a ,b ,c 在数轴上的位置如下图所示,则下列代数式中值为正的是( )A .()()1a c b --B .()11c a b c ⎛⎫--⎪⎝⎭C .()1a a c b ⎛⎫+- ⎪⎝⎭D .()1ac bc -15.已知2|5213|(310)0x y x y +-+--=,则x y 的立方根为( ) A .1B .1-C .2D .2-二、填空题16.观察下列各式:2(1)(1)1x x x -+=-;()23(1)11x x x x -++=-;()324(1)11x xx x x -+++=-;……(1)()432(1)1x x x x x -++++=___; (2)根据规律可得:()1(1)1n x xx --+++=_____(其中n 为正整数); (3)计算:()5049482(31)333331-++++++;17.已知x-3y=-1,那么代数式3-2x+6y 的值是________18.若()230x -=,则x y -=______.19.分解因式323a a -=____.20.﹣1)的结果等于_____. 21.因式分解:24ay a -=_______.22.若6x y +=,3xy =-,则2222x y xy +=_____. 23.分解因式:2221218ax axy ay -+=_________. 24.已知a +b =5,且ab =3,则a 3+b 3=_____.25.若方程22(1)8m x mx x --+=是关于x 的一元一次方程,则代数式2008|1|m m --的值为________.26.已知22m mn -=,25mn n -=,则22325m mn n +-=________.三、解答题27.先阅读下列材料,再解答问题:常用的分解因式的方法有提取公因式法和公式法,但有的多项式只用上述一种方法无法分解,例如多项式244x xy x y -+-和2222a b c bc --+.经过细心观察可以发现,若将多项式进行合理分组后,先将每一组进行分解,分别分解后再用提公因式法或公式法就可以完整分解了. 解答过程如下:()()()()()()22(1)444444x xy x yx xy x y x x y x y x y x -+-=-+-=-+-=-+()()()()22222222(2)22a b c bc a b c bc a b c a b c a b c --+=-+-=--=+--+这种方法叫分组分解法,对于超过三项的多项式往往考虑这种方法. 利用上述思想方法,把下列各式分解因式: (1)32236m m m --+(2)2229x xy y --+28.下面是小华同学分解因式229()4()a x y b y x -+-的过程,请认真阅读,并回答下列问题.解:原式229()4()a x y b x y =-+-①22()(94)x y a b =-+② 2()(32)x y a b =-+③任务一:以上解答过程从第 步开始出现错误. 任务二:请你写出正确的解答过程.29.已知x 、y 互为相反数,a 、b 互为倒数,m 是最大的负整数,求(x +y )﹣abm 的值.30.某公司招聘外卖送餐员,送餐员的月工资由底薪1000元加上外卖送单补贴(送一次外卖称为一单)构成,外卖送单补贴的具体方案如下:(2)设5月份某“外卖小哥”送餐x 单()500x >,求他这个月的工资总额(用含x ,m 的代数式表示).。
上海市初中数学试卷分类汇编整式乘法与因式分解易错压轴解答题(及答案)一、整式乘法与因式分解易错压轴解答题1.某同学利用若干张正方形纸片进行以下操作:(1)从边长为a的正方形纸片中减去一个边长为b的小正方形,如图1,再沿线段AB把纸片剪开,最后把剪成的两张纸片拼成如图2的等腰梯形,这一过程所揭示的公式是________.(2)先剪出一个边长为a的正方形纸片和一个边长为b的正方形纸片,再剪出两张边长分别为a和b的长方形纸片,如图3,最后把剪成的四张纸片拼成如图4的正方形.这一过程你能发现什么代数公式?(3)先剪出两个边长为a的正方形纸片和一个边长为b的正方形纸片,再剪出三张边长分别为a和占的长方形纸片,如图5,你能否把图5中所有纸片拼成一个长方形?如果可以,请画出草图,并写出相应的等式.如果不能,请说明理由.2.如图,将一张大长方形纸板按图中虚线裁剪成9块,其中有2块是边长为a厘米的大正方形,2块是边长都为b厘米的小正方形,5块是长为a厘米,宽为b厘米的相同的小长方形,且a>b.(1)观察图形,可以发现代数式2a²+5ab+2b²可以因式分解为________.(2)若图中阴影部分的面积为242平方厘米,大长方形纸板的周长为78厘米,求图中空白部分的面积.3.数学活动课上,老师准备了若干个如图1的三种纸片,种纸片是边长为的正方形,种纸片是边长为的正方形,种纸片是长为,宽为的长方形.并用种纸片一张,种纸片一张,种纸片两张拼成如图2的大正方形.(1)请用两种不同的方法求图2大正方形的面积:方法1:________;方法2:________;(2)观察图2,请你写出代数式:之间的等量关系________;(3)根据(2)题中的等量关系,解决如下问题:①已知:,求的值;②已知,求的值;③已知(a-2019)2+(a-2021)2=8,则求(a-2020)2的值.4.【阅读材料】我们知道,图形也是一种重要的数学语言,它直观形象,能有效地表现一些代数中的数量关系,而运用代数思想也能巧妙地解决一些图形问题。
一、选择题1.下列计算正确的是( )A .248a a a •=B .352()a a =C .236()ab ab =D .624a a a ÷= 2.若2x y +=,1xy =-,则()()1212x y --的值是( )A .7-B .3-C .1D .93.下列各式由左边到右边的变形中,是分解因式的为( )A .2105525x x x x x -=⋅-B .()a x y ax ay +=+C .()22442x x x -+=-D .()()2163443x x x x x -+=-++ 4.多项式291x 加上一个单项式后﹐使它成为一个整式的完全平方,那么加上的单项式可以是( )A .6x ±B .-1或4814xC .29x -D .6x ±或1-或29x - 5.已知: 13m m +=, 则: 331m m +的值为( ) A .15 B .18 C .21D .9 6.下列因式分解正确的是( ) A .24414(1)1m m m m -+=-+ B .a 2+b 2=(a +b )2C .x 2-16y 2=(x +8y )(x -8y )D .-16x 2+1=(1+4x )(1-4x ) 7.按照如图所示的运算程序,能使输出y 的值为5的是( )A .1,4m n ==B .2,5m n ==C .5,3m n ==D .2,2m n == 8.已知25y x -=,那么()2236x y x y --+的值为( )A .10B .40C .80D .210 9.化简()2003200455-+所得的值为( ) A .5- B .0 C .20025 D .200345⨯10.在下列的计算中正确的是( ) A .23a ab a b ⋅=;B .()()2224a a a +-=+;C .235x y xy +=;D .()22369x x x -=++ 11.下列计算正确的是( )A .(a +b )(a ﹣2b )=a 2﹣2b 2B .(a ﹣12)2=a 2﹣14C .﹣2a (3a ﹣1)=﹣6a 2+aD .(a ﹣2b )2=a 2﹣4ab +4b 2 12.若53x =,52y =,则235-=x y ( )A .34B .1C .23D .9813.下列计算一定正确的是( )A .235a b ab +=B .()235610a b a b -=C .623a a a ÷=D .()222a b a b +=+14.如果单项式223a b a b m n -+-与38b m n 是同类项,那么这两个单项式的积是( ) A .6163m n - B .6323m n - C .383m n - D .6169m n - 15.下列各式计算正确的是( )A .5210a a a =B .()428=a aC .()236a b a b =D .358a a a +=二、填空题16.若2330x x --=,则()()()123x x x x ---的值为______.17.若x 、y 为有理数,且22(2)0x y ++-=,则2021()xy的值为____. 18.若2,3x y a a ==,则22x y a +=_______________________.19.计算:248(21)(21)(21)(21)1+++++=___________.20.从边长为a 的正方形中剪掉一个边长为b 的正方形(如图1),然后将剩余部分拼成一个长方形(如图2).(1)探究:上述操作能验证的等式是:__________;(请选择正确的一个)A .2222()a ab b a b -+=-B .22()()a b a b a b -=+-C .2()a ab a a b +=+(2)应用:利用所选(1)中等式两边的等量关系,完成下面题目:若46x y +=,45x y -=,则221664x y -+的值为__________.21.要使()()22524x x x mx -+--的展开式中不含2x 项,则m 的值是______. 22.一个长方形的两邻边分别是8x -,2x -,若()()228213x x -+-=,则这个长方形的面积是_________23.若210x x --=,则3225x x -+的值为________.24.若6x y +=,3xy =-,则2222x y xy +=_____.25.下列说法:①用两个钉子就可以把木条固定在墙上依据的是“两点之间,线段最短”;②若2210m m +-=,则2425m m ++的值为7;③若a b >,则a 的倒数小于b 的倒数;④在直线上取A 、B 、C 三点,若5cm AB =,2cm BC =,则7cm AC =.其中正确的说法有________(填号即可).26.若9m =4,27n =2,则32m ﹣3n =__. 三、解答题27.计算:(1)()2323298----+-(2)()()2215105x y xy xy -÷-(3)()()()2321x x x -+--28.如图1是1个直角三角形和2个小正方形,直角三角形的三条边长分别是a 、b 、c ,其中a 、b 是直角边,两个小正方形的边长分别是a 、b .(1)将4个完全一样的直角三角形和2个小正方形构成一个大正方形(如图2).用两种不同的方法列代数式表示图2中的大正方形面积:方法一:________________;方法二:________________;(直接把答案填写在答题卡的横线上)(2)观察图2,试写出()2a b +,2a ,2ab ,2b 这四个代数式之间的等量关系:________________.(直接把答案填写在答题卡的横线上)(3)请利用(2)中等量关系解决问题:若图1中一个三角形面积是6,图2的大正方形面积是64,求22a b +的值.29.分解因式:(1)325x x -;(2)(3)2(3)m a a -+-.30.如图,在长8cm ,宽5cm 的长方形塑料板的四个角剪去4个边长为 cm x 的小正方形,按折痕做一个无盖的长方体盒子,求盒子的容积(塑料板的厚度忽略不计).。
上海鞍山初级中学小升初数学期末试卷真题汇编[解析版] 一、选择题1.9:30时,钟面上时针和分针所夹的角是()。
A.锐角B.钝角C.直角D.平角2.某商品降价15后是100元,求原价是多少?正确的算式是()。
A.11005÷B.11005⨯C.110015⎛⎫⨯-⎪⎝⎭D.110015⎛⎫÷-⎪⎝⎭3.用72厘米长的铁丝围成一个直角三角形,这个三角形三条边长度的比是3:4:5,这个三角形的面积是()平方厘米。
A.360 B.216 C.2704.一桶油,第一次倒出总质量的15,第二次倒出余下的25%,比较两次倒出的多少,结果是().A.第一次多B.第二次多C.一样多D.无法比较5.下面这个立体图形,灵灵从右面看到的是()A.B.C.6.下面语句中错误的是()。
A.要找到一张圆形纸片的圆心至少要对折2次B.1吨煤,用去37吨后,还剩全部的47C.产品增长率可能大于100%D.圆形、三角形、正方形、长方形都是轴对称图形7.曹冲称象的故事:聪明的曹冲先把大象赶上船,看船被水淹到什么位置,然后刻上记号,把大象赶上岸,再往船里装石头,当船被水淹没到记号的位置时,就停止装石头,最后把船上的石头称一称,石头共重7.5吨,大象就重7.5吨。
曹冲称象运用了的的数学策略是()。
A.列举B.假设C.画图D.转化8.朱小刚给杂志社审稿,获得稿费4800元。
按照规定,超过800元的部分应繳纳5%的个人所得税,他实际可拿到()元。
A.240 B.4600 C.3800 D.45609.下面说法中,正确的有()。
①把一个长方形按3:1的比放大,放大前后的面积比是9∶1;②一个圆的半径增加10%,则它的面积增加21%;③浓度为10%的糖水中,加入10克糖和100克水,浓度降低了;④圆柱的侧面展开得到一个正方形,则它的高是底面直径的3.14倍。
A.①②B.①②③C.②③④D.②③二、填空题10.在横线里填入>、<或=。
上海上海中学数学整式的乘法与因式分解单元测试卷(含答案解析)一、八年级数学整式的乘法与因式分解选择题压轴题(难)1.在2014,2015,2016,2017这四个数中,不能表示为两个整数平方差的数是( ).A .2014B .2015C .2016D .2017 【答案】A【解析】由于22()()a b a b a b -=+-,所以22201510081007=-;222016505503=-;22201710091008=-;因+a b 与-a b 的奇偶性相同,21007⨯一奇一偶,故2014不能表示为两个整数的平方差. 故选A.2.已知x 2+4y 2=13,xy=3,求x+2y 的值,这个问题我们可以用边长分别为x 和y 的两种正方形组成一个图形来解决,其中x>y ,能较为简单地解决这个问题的图形是( )A .B .C .D .【答案】A【解析】 ∵222(2)44x y x y xy +=++,∴若用边长分别为x 和y 的两种正方形组成一个图形来解决(其中x y >), 则这个图形应选A ,其中图形A 中,中间的正方形的边长是x ,四个角上的小正方形边长是y ,四周带虚线的每个矩形的面积是xy .故选A.3.下列运算正确的是A .532b b b ÷=B .527()b b =C .248·b b b =D .2·22a a b a ab -=+() 【答案】A【解析】选项A , 532b b b ÷=,正确;选项B , ()25b =10b ,错误;选项C , 24·b b =6b ,错误;选项D , 2·22a a b a ab -=-,错误.故选A.4.下列多项式中,能运用公式法进行因式分解的是( )A .a 2+b 2B .x 2+9C .m 2﹣n 2D .x 2+2xy+4y 2【答案】C【解析】试题分析:直接利用公式法分解因式进而判断得出答案.解:A 、a 2+b 2,无法分解因式,故此选项错误;B 、x 2+9,无法分解因式,故此选项错误;C 、m 2﹣n 2=(m+n )(m ﹣n ),故此选项正确;D 、x 2+2xy+4y 2,无法分解因式,故此选项错误;故选C .5.下列各式不能用公式法分解因式的是( )A .92-xB .2269a ab b -+-C .22x y --D .21x -【答案】C【解析】【分析】根据公式法有平方差公式、完全平方公式,可得答案.【详解】A 、x 2-9,可用平方差公式,故A 能用公式法分解因式;B 、-a 2+6ab-9 b 2能用完全平方公式,故B 能用公式法分解因式;C 、-x 2-y 2不能用平方差公式分解因式,故C 正确;D 、x 2-1可用平方差公式,故D 能用公式法分解因式;故选C .【点睛】本题考查了因式分解,熟记平方差公式、完全平方公式是解题关键.6.如图,从边长为(4a )cm 的正方形纸片中剪去一个边长为(1a +)cm 的正方形(0a >),剩余部分沿虚线又剪拼成一个矩形(不重叠无缝隙),则矩形的面积为( )A .22(25)a a cm +B .2(315)a cm +C .2(69)a cm +D .2(615)a cm +【答案】D【解析】【分析】 利用大正方形的面积减去小正方形的面积即可,注意完全平方公式的计算.【详解】矩形的面积为:(a+4)2-(a+1)2=(a 2+8a+16)-(a 2+2a+1)=a 2+8a+16-a 2-2a-1=6a+15.故选D .7.通过计算几何图形的面积可表示代数恒等式,图中可表示的代数恒等式是( )A .22()()a b a b a b +-=-B .222()2a b a ab b +=++C .22()22a a b a ab +=+D .222()2a b a ab b -=-+【答案】A【解析】【分析】 根据阴影部分面积的两种表示方法,即可解答.【详解】图1中阴影部分的面积为:22a b -,图2中的面积为:()()a b a b +-,则22()()a b a b a b +-=-故选:A.【点睛】本题考查了平方差公式的几何背景,解决本题的关键是表示阴影部分的面积.8.下面计算正确的是( )A .33645x x x +=B .236a a a ⋅=C .()4312216x x -=D .()()22222x y x y x y +-=- 【答案】C【解析】【分析】A.合并同类项得到结果;B.利用同底数幂的乘法法则计算得到结果;C.利用幂的乘方与积的乘方运算法则计算得到结果;D.利用平方差公式计算得到结果,即可作出判断.【详解】A.原式=35x ,错误;B.原式=5a ,错误;C.原式=1216x ,正确;D.原式=224x y ,错误.故选C.【点睛】本题主要考查同底数幂的乘法,合并同类项,幂的乘方与积的乘方,平方差公式运算,熟知其运算法则是解题的关键.9.下列各式中,从左到右的变形是因式分解的是( )A .2a 2﹣2a+1=2a (a ﹣1)+1B .(x+y )(x ﹣y )=x 2﹣y 2C .x 2﹣6x+5=(x ﹣5)(x ﹣1)D .x 2+y 2=(x ﹣y )2+2x【答案】C【解析】【分析】根据因式分解是将一个多项式转化为几个整式的乘积的形式,根据定义,逐项分析即可.【详解】A 、2a 2-2a+1=2a (a-1)+1,等号的右边不是整式的积的形式,故此选项不符合题意;B 、(x+y )(x-y )=x 2-y 2,这是整式的乘法,故此选项不符合题意;C 、x 2-6x+5=(x-5)(x-1),是因式分解,故此选项符合题意;D 、x 2+y 2=(x-y )2+2xy ,等号的右边不是整式的积的形式,故此选项不符合题意; 故选C .【点睛】此题考查因式分解的意义,解题的关键是看是否是由一个多项式化为几个整式的乘积的形式.10.下列等式从左到右的变形,属于因式分解的是( )A .x 2+2x ﹣1=(x ﹣1)2B .x 2+4x+4=(x+2)2C .(a+b )(a ﹣b )=a 2﹣b 2D .ax 2﹣a=a (x 2﹣1)【答案】B【解析】【分析】因式分解是指将多项式和的形式转化成整式乘积的形式,因式分解的方法有:提公因式法,套用公式法,十字相乘法,分组分解法,解决本题根据因式分解的定义进行判定.【详解】A 选项,从左到右变形错误,不符合题意,B 选项,从左到右变形是套用完全平方公式进行因式分解,符合题意,C 选项, 从左到右变形是在利用平方差公式进行计算,不符合题意,D 选项, 从左到右变形利用提公因式法分解因式,但括号里仍可以利用平方差公式继续分解,属于分解不彻底,因此不符合题意,【点睛】本题主要考查因式分解的定义,解决本题的关键是要熟练掌握因式分解的定义和方法.二、八年级数学整式的乘法与因式分解填空题压轴题(难)11.在边长为a 的正方形中剪掉一个边长为b 的小正方形()a b ,再沿虚线剪开,如图①,然后拼成一个梯形,如图②.根据这两个图形的面积关系,用等式表示是____________.【答案】a 2-b 2=(a+b)(a-b)【解析】【分析】根据正方形的面积公式和梯形的面积公式,即可求出答案.【详解】∵第一个图形的面积是a 2-b 2,第二个图形的面积是12(b +b +a +a )(a -b )=(a +b )(a -b ), ∴根据两个图形的阴影部分的面积相等得:a 2-b 2=(a+b)(a-b).故答案为a 2-b 2=(a+b)(a-b).【点睛】 本题考查了平方差公式得几何背景,熟练掌握平方差公式的定义是本题解题的关键.12.因式分解:a 3-9ab 2=__________.【答案】a (a -3b )(a +3b )【解析】【分析】首先提取公因式a ,进而利用平方差公式分解因式得出即可.【详解】a 3-9ab 2=a (a 2-9b 2)=a (a-3b )(a+3b ).故答案为:a (a-3b )(a+3b ).【点睛】本题考查了提取公因式以及公式法分解因式,正确应用平方差公式是解题的关键.13.如果实数a ,b 满足a +b =6,ab =8,那么a 2+b 2=_____.【答案】20【分析】【详解】∵6,a b+=∴222()236,a b a ab b+=++=∵ab=8,∴22a b+=36-2ab=36-2×8=20.【点睛】本题考查了完全平方公式的变形应用,熟练进行完全平方公式的变形是解题的关键.14.一个大正方形和四个全等的小正方形按图①、②两种方式摆放,则图②的大正方形中未被小正方形覆盖部分的面积是__________(用a、b的代数式表示).【答案】ab【解析】【分析】【详解】设大正方形的边长为x1,小正方形的边长为x2,由图①和②列出方程组得,12122{2x x ax x b+=-=解得,122{4a bxa bx+=-=②的大正方形中未被小正方形覆盖部分的面积=(2a b+)2-4×(4a b-)2=ab.故答案为ab.15.因式分解:3222x x y xy+=﹣__________.【答案】()2x x y-【解析】【分析】先提取公因式x ,再对余下的多项式利用完全平方公式继续分解.【详解】解:原式()()2222x x xy y x x y =-+=-, 故答案为:()2x x y -【点睛】本题考查提公因式,熟练掌握运算法则是解题关键.16.因式分解:x 3﹣4x=_____.【答案】x (x+2)(x ﹣2)【解析】试题分析:首先提取公因式x ,进而利用平方差公式分解因式.即x 3﹣4x=x (x 2﹣4)=x (x+2)(x ﹣2).故答案为x (x+2)(x ﹣2).考点:提公因式法与公式法的综合运用.17.若3a b +=,则226a b b -+的值为__________.【答案】9【解析】分析:先将226a b b -+化为()()6a b a b b +-+,再将3a b +=代入所化式子计算即可. 详解:∵3a b +=,∴226a b b -+=()()6a b a b b +-+=3()6a b b -+=336a b b -+=3()a b +=9.故答案为:9.点睛:“能够把226a b b -+化为()()6a b a b b +-+”是解答本题的关键.18.因式分解:=______. 【答案】2(x +3)(x ﹣3).【解析】试题分析:先提公因式2后,再利用平方差公式分解即可,即=2(x 2-9)=2(x+3)(x-3).考点:因式分解.19.分解因式:32363a a a -+=_____.【答案】()231a a -【解析】【分析】先提取公因式3a ,再根据完全平方公式进行二次分解即可.【详解】 ()()232236332131a a a a a a a a -+=-+=-. 故答案为:()231a a -【点睛】本题考查了提公因式法,公式法分解因式,提取公因式后利用完全平方公式进行二次分解,注意分解要彻底.20.利用1个a ×a 的正方形,1个b ×b 的正方形和2个a ×b 的矩形可拼成一个正方形(如图所示),从而可得到因式分解的公式________.【答案】a 2+2ab+b 2=(a+b )2【解析】试题分析:两个正方形的面积分别为a 2,b 2,两个长方形的面积都为ab ,组成的正方形的边长为a +b ,面积为(a +b )2,所以a 2+2ab +b 2=(a +b )2.点睛:本题考查了运用完全平方公式分解因式,关键是理解题中给出的各个图形之间的面积关系.。
一、选择题1.下列计算正确的是( )A .248a a a •=B .352()a a =C .236()ab ab =D .624a a a ÷= D解析:D【分析】分别根据同底数幂的乘法,幂的乘方,积的乘方法则以及同底数幂的除法法则逐一计算判断即可.【详解】解:A 、a 2∙a 4=a 6,故选项A 不合题意;B 、(a 2)3=a 6,故选项不B 符合题意;C 、(ab 2)3=a 3b 6,故选项C 不符合题意;D 、a 6÷a 2=a 4,故选项D 符合题意.故选:D .【点睛】本题主要考查了幂的运算,熟练掌握幂的运算法则是解答本题的关键. 2.将4个数a 、b 、c 、d 排成2行、2列,两边各加一条竖直线记成a c b d ,定义a c b d=ad -bc .上述记号就叫做2阶行列式,若11x x +- 11x x -+=12,则x=( ). A .2B .3C .4D .6B解析:B【分析】根据题中的新定义将所求的方程化为普通方程,整理后即可求出方程的解,即为x 的值.【详解】 解:根据题意化简11 11x x x x +--+=12,得(x+1)2-(x-1)2=12, 整理得:x 2+2x+1-(1-2x+x 2)-12=0,即4x=12,解得:x=3,故选:B .【点睛】此题考查了整式的混合运算,属于新定义的题型,涉及的知识有:完全平方公式,去括号、合并同类项法则,根据题意将所求的方程化为普通方程是解本题的关键. 3.在日常生活中如取款、上网等都需要密码,有一种用“因式分解”法产生的密码记忆方便.原理是:如对于多项式44x y -,因式分解的结果是()()()22x y x y x y -++,若取9x =,9y =,则各个因式的值是:0x y -=,18x y +=,22162x y +=,于是就可以把“018162”作为一个六位数的密码.对于多项式32x xy -,取30x =,20y =,用上述方法产生的密码不可能是( )A .301050B .103020C .305010D .501030B 解析:B【分析】对多项式利用提公因式法分解因式,利用平方差公式分解因式,然后把数值代入计算即可确定出密码.【详解】x 3−xy 2=x (x 2−y 2)=x (x +y )(x−y ),当x =30,y =20时,x =30,x +y =50,x−y =10,组成密码的数字应包括30,50,10,所以组成的密码不可能是103020.故选:B .【点睛】本题主要考查提公因式法分解因式、平方差公式分解因式,立意新颖,熟记公式结构是解题的关键.4.对于①2(2)(1)2x x x x +-=+-,②4(14)x xy x y -=-,从左到右的变形,表述正确的是( )A .都是因式分解B .都是乘法运算C .①是因式分解,②是乘法运算D .①是乘法运算,②是因式分解D解析:D【分析】根据因式分解的定义(把一个多项式化成几个整式积的形式,叫因式分解,也叫分解因式判断即可.将多项式×多项式变得多项式,是乘法运算.【详解】解:①2(2)(1)2x x x x +-=+-,从左到右的变形是整式的乘法;②4(14)x xy x y -=-,从左到右的变形是因式分解;所以①是乘法运算,②因式分解.故选:D .【点睛】此题考查了因式分解与乘法运算的定义的认识,解题的关键是掌握因式分解及乘法运算的定义.5.若2x y +=,1xy =-,则()()1212x y --的值是( )A .7-B .3-C .1D .9A解析:A【分析】利用多项式乘以多项式法则计算,整理后将已知等式代入计算即可求出值.【详解】解:∵x+y=2,xy=-1,∴(1-2x )(1-2y )=1-2y-2x+4xy=1-2(x+y )+4xy=1-2×2-4=-7;故选:A .【点睛】本题考查了多项式乘多项式,熟练掌握运算法则是解本题的关键.6.代数式2346x x -+的值为3,则2463x x -+的值为( ) A .7B .18C .5D .9C 解析:C【分析】由代数式3x 2−4x +6的值为3,变形得出x 2−43x =−1,再整体代入x 2−43x +6计算即可. 【详解】∵代数式3x 2−4x +6的值为3,∴3x 2−4x +6=3,∴3x 2−4x =−3,∴x 2−43x =−1, ∴x 2−43x +6=−1+6=5. 故选:C .【点睛】本题考查了代数式求值,熟练掌握相关运算法则并运用整体思想是解题的关键. 7.下列有四个结论,其中正确的是( )①若1(1)1x x +-=,则x 只能是2;②若()2(1)1x x ax -++的运算结果中不含2x 项,则1a =③若10,16a b ab +==,则6a b -=④若4,8x y a b ==,则232x y -可表示为a b A .①②③④B .②③④C .①③④D .②④D解析:D【分析】根据零次幂、多项式乘多项式、完全平方公式及同底数幂的除法法则分别对每一项进行分析,即可得出答案.【详解】解:①若(x-1)x+1=1,则x=-1或x=2,故本选项错误;②(x-1)(x 2+ax+1)的运算结果中x 2项的系数为a-1,∵不含x 2项,则a=1,故本选项正确;③∵(a-b )2=(a+b )2-4ab=102-4×16=36,∴6a b -=±,故本选项错误;④∵4x =a ,∴22x =a ,∵8y =b ,∴23y =b ,∴22x-3y =22x ÷23y a b =;故本选项正确; 故选:D . 【点睛】 本题考查了零次幂、多项式乘多项式、完全平方公式以及同底数幂的除法,熟练掌握运算法则是解题的关键.8.下列多项式中,不能用完全平方公式分解因式的是( ) A .214m m ++ B .222x xy y -+- C .221449x xy y -++D .22193x x -+ C 解析:C【分析】直接利用完全平方公式分解因式得出答案.【详解】 A 、222111(44)(2)444m m m m m ++=++=+能用完全平方公式分解因式,不符合题意; B 、222222(2)()x xy y x xy y x y -+-=--+=--能用完全平方公式分解因式,不符合题意;C 、221449x xy y -++不能用完全平方公式分解因式,符合题意;D 、2222111(69)(3)9399x x x x x -+=-+=-能用完全平方公式分解因式,不符合题意; 故选:C .【点睛】本题考查了提公因式法与公式法的综合运用,熟练掌握完全平方公式是解本题的关键. 9.如图所示,在这个数据运算程序中,如果开始输入的x 的值为10,那么第1次输出的结果是5,返回进行第二次运算,那么第2次输出的结果是16,……以此类推,第204次输出的结果是( )A .1B .2C .4D .5A解析:A【分析】根据数据运算程序,从第1次开始往后逐个计算输出结果,直到找出规律即可求解【详解】解:由数据运算程序得,如果开始输入的x 的值为10,那么:第1次输出的结果是5第2次输出的结果是16第3次输出的结果是8第4次输出的结果是4第5次输出的结果是2第6次输出的结果是1第7次输出的结果是4……综上可得,从第4次开始,每三个一循环由()2043367-÷= 可得第204次输出的结果与第6次输出的结果相等故选:A【点睛】本题实为代数式求值问题,解题的关键是通过计算特殊结果发现一般规律10.若y 2+4y 0,则xy 的值为( )A .﹣6B .﹣2C .2D .6A解析:A【分析】根据2440y y ++=,即(y +2)20,根据任何数的偶次方以及二次根式都是非负数,两个非负数的和是0,则每个非负数都等于0,据此即可求解.【详解】解:∵2440y y ++=∴(y +2)20∴y +2=0且x +y ﹣1=0解得:y =﹣2,x =3∴xy =﹣6.故选:A .【点睛】本题主要考查了非负数的性质,两个非负数的和是0,则两个非负数都等于0. 二、填空题11.如图是一个简单的数值运算程序,当输入n 的值为3时,则输出的结果为______.870【分析】将n =3代入数值运算程序计算判断结果与30大小小于或等于30再代入计算大于30输出即可得到输出结果【详解】解:当n =3时根据数值运算程序得:32−3=9−3=6<30当n =6时根据数值解析:870【分析】将n =3代入数值运算程序计算,判断结果与30大小,小于或等于30再代入计算,大于30输出,即可得到输出结果.【详解】解:当n =3时,根据数值运算程序得:32−3=9−3=6<30,当n =6时,根据数值运算程序得:62−6=36−6=30,当n =30时,根据数值运算程序得:302−30=900−30=870>30,则输出结果为870.故答案为:870【点睛】此题考查了代数式求值,熟练掌握运算法则是解本题的关键.12.因式分解269x y xy y -+-=______.-y (x-3)2【分析】提公因式-y 再利用完全平方公式进行因式分解即可;【详解】解:-x2y+6xy-9y=-y (x2-6x+9)=-y (x-3)2故答案为:-y (x-3)2;【点睛】本题考查了因式解析:-y (x-3)2【分析】提公因式-y ,再利用完全平方公式进行因式分解即可;【详解】解:-x 2y+6xy-9y=-y (x 2-6x+9)=-y (x-3)2,故答案为:-y (x-3)2;【点睛】本题考查了因式分解的方法,掌握提公因式法、公式法是正确解答的关键.13.已知2320x y -+=,则()2235x y -+的值为______.1【分析】根据求出代入计算即可【详解】∵∴∴=故答案为:1【点睛】此题考查已知式子的值求代数式的值掌握有理数混合运算法则是解题的关键解析:1【分析】根据2320x y -+=求出232x y -=-,代入计算即可.【详解】∵2320x y -+=,∴232x y -=-,∴()2235x y -+=2(2)51⨯-+=,故答案为:1.【点睛】此题考查已知式子的值求代数式的值,掌握有理数混合运算法则是解题的关键. 14.若2a 与()23b +互为相反数,则2-=b a ______.-8【分析】根据题意得到+=0根据绝对值的非负性及偶次方的非负性求出a=2b=-3代入2b-a 计算即可【详解】由题意得:+=0∵00∴a-2=0b+3=0∴a=2b=-3∴2b-a=-6-2=8故答 解析:-8【分析】 根据题意得到2a +2(3)b +=0,根据绝对值的非负性及偶次方的非负性求出a=2,b=-3,代入2b-a 计算即可.【详解】 由题意得:2a +2(3)b +=0 ∵2a ≥0,2(3)b +≥0,∴a-2=0,b+3=0,∴a=2,b=-3,∴2b-a=-6-2=8,故答案为:-8.【点睛】此题考查相反数的定义,绝对值的非负性及偶次方的非负性,求代数式的值,根据绝对值的非负性及偶次方的非负性求出a 和b 的值是解题的关键.15.计算:32(2)a b -=________.【分析】积的乘方等于积中每个因式分别乘方再把所得的幂相乘根据法则计算即可【详解】=故答案为:【点睛】此题考查积的乘方:等于积中每个因式分别乘方再把所得的幂相乘解析:624a b【分析】积的乘方等于积中每个因式分别乘方,再把所得的幂相乘,根据法则计算即可.【详解】32(2)a b -=624a b ,故答案为:624a b .【点睛】此题考查积的乘方:等于积中每个因式分别乘方,再把所得的幂相乘.16.已知4222112x x +-⋅=,则x =________3【分析】利用同底数幂乘法的逆运算求解即可【详解】∵∴即:∴∴故答案为:3【点睛】本题主要考查同底数幂乘法的逆运算灵活运用同底数幂乘法法则是解题关键解析:3【分析】利用同底数幂乘法的逆运算求解即可.【详解】∵()4411312222222172x x x x x x +++++-⋅-=⋅=⋅-=,∴172112x +⋅=,即:142162x +==,∴14x +=,∴3x =,故答案为:3.【点睛】本题主要考查同底数幂乘法的逆运算,灵活运用同底数幂乘法法则是解题关键. 17.如图,两个阴影图形都是正方形,用两种方式表示这两个正方形的面积和,可以得到的等式为______.(a+b )2-2ab=a2+b2【分析】利用各图形的面积求解即可【详解】解:两个阴影图形的面积和可表示为:a2+b2或 (a+b )2-2ab 故可得: (a+b )2-2ab=a2+b2故答案为:(a+解析:(a+b )2-2ab = a 2+b 2【分析】利用各图形的面积求解即可.【详解】解:两个阴影图形的面积和可表示为:a 2+b 2或 (a+b )2-2ab ,故可得: (a+b )2-2ab = a 2+b 2故答案为:(a+b )2-2ab = a 2+b 2【点睛】本题主要考查了完全平方公式的几何背景,解题的关键是明确四块图形的面积. 18.下列说法:①用两个钉子就可以把木条固定在墙上依据的是“两点之间,线段最短”;②若2210m m +-=,则2425m m ++的值为7;③若a b >,则a 的倒数小于b 的倒数;④在直线上取A 、B 、C 三点,若5cm AB =,2cm BC =,则7cm AC =.其中正确的说法有________(填号即可).②【分析】①用两个钉子可以把木条固定的依据是两点确定一条直线;②利用整体代换的思想可以求出代数式的值;③根据倒数的定义举出反例即可;④直线上ABC 三点的位置关系要画图分情况讨论【详解】①用两个钉子可解析:②【分析】①用两个钉子可以把木条固定的依据是“两点确定一条直线”;②利用“整体代换”的思想,可以求出代数式的值;③根据倒数的定义,举出反例即可;④直线上A 、B 、C 三点的位置关系,要画图,分情况讨论.【详解】①用两个钉子可以把木条固定的依据是“两点确定一条直线”,故①错误;②∵2210m m +-=,∴()2242522172077m m m m ++=+-+=⨯+=,故②正确;③∵a >b ,取a=1,b=-1, ∴11a =,11b=-,11a b >,故③错误; ④当点C 位于线段AB 上时,AC=AB -BC=5-2=3cm ;当点C 位于线段AB 的延长线上时,AC=AB+BC=5+2=7cm ,则AC 的长为3cm 或7cm ,故④错误;综上可知,答案为:②.【点睛】本题考查了两点确定一条直线、整体代换思想、求代数式的值、倒数的有关计算及数形结合法求线段的长度,综合性较强,需要学生熟练掌握相关的知识点.19.已知22m mn -=,25mn n -=,则22325m mn n +-=________.31【分析】由然后把代入求解即可【详解】解:由题意得:∴把代入得:原式=;故答案为31【点睛】本题主要考查代数式的值及整式的加减关键是对于所求代数式进行拆分然后整体代入求解即可解析:31【分析】由()()222232535m mn n m mn mn n+-=-+-,然后把22m mn -=,25mn n -=,代入求解即可.【详解】解:由题意得: ()()222232535m mn n m mn mn n +-=-+-,∴把22m mn -=,25mn n -=代入得:原式=325531⨯+⨯=;故答案为31.【点睛】本题主要考查代数式的值及整式的加减,关键是对于所求代数式进行拆分,然后整体代入求解即可.20.若9m =4,27n =2,则32m ﹣3n =__.2【分析】根据指数的运算把32m ﹣3n 改写成同底数幂除法再用幂的乘方的逆运算即可【详解】解:32m ﹣3n =32m÷33n ==9m÷27n =4÷2=2;故答案为:2【点睛】本题考查了幂的乘方与同底数幂 解析:2【分析】根据指数的运算,把32m﹣3n 改写成同底数幂除法,再用幂的乘方的逆运算即可.【详解】解:32m ﹣3n ,=32m ÷33n ,=23(3)(3)m n ÷=9m ÷27n ,=4÷2,=2;故答案为:2.【点睛】本题考查了幂的乘方与同底数幂的除法的逆运算,根据指数的运算特点,把原式改写成对应的幂的运算是解题关键. 三、解答题21.计算:4a 2·(-b )-8ab ·(b -12a ). 解析:28ab -【分析】整式的混合运算,先算乘除,然后再算加减,有小括号先算小括号里面的.【详解】解:4a 2·(-b )-8ab ·(b -12a ) =222484--+a b ab a b=28ab -.【点睛】本题考查整式的混合运算,掌握单项式乘单项式以及单项式乘多项式的计算法则正确计算是解题关键.22.小王购买了一套一居室,他准备将房子的地面全部铺上地砖,地面结构如图所示,根据图中所给的数据(单位:米),解答下列问题:(1)用含m ,n 的代数式表示地面的总面积S ;(2)已知 1.5n =,且客厅面积是卫生间面积的6倍与厨房面积的和,如果铺1平方米地砖的平均费用为100元,那么小王铺地砖的总费用为多少元?解析:(1)S =6m +2n +18;(2)4500元.【分析】(1)根据总面积等于四个部分矩形的面积之和列式整理即可得解;(2)根据题意求出m 的值,把m ,n 的值代入计算即可.【详解】解:(1)S=2n+6m+3×4+2×3=6m+2n+18.(2)n=1.5时2n=3根据题意,得6m=8×3=24,m=4,∵铺1平方米地砖的平均费用为100元,∴铺地砖的总费用为:100(6m+2n+18)=100×(24+3+18)=4500.答:铺地砖的总费用4500元.【点睛】本题考查了列代数式,准确表示出各部分矩形的长和宽是解题的关键.23.分解因式:(1)25105x x ++(2)()()2249a x y b y x -+-解析:(1)()251x +;(2)()()()2323x y a b a b -+-【分析】(1)先提取公因式5,再利用完全平方公式分解因式;(2)先提公因式(x-y ),再利用平方差公式分解因式.【详解】(1)解:原式()2521x x =++ ()251x =+;(2)解:原式()()2249x y a b =--()()()2323x y a b a b =-+-.【点睛】此题考查因式分解:将多项式写成整式的积的形式,叫做将多项式因式分解,因式分解的方法:提公因式法和公式法,掌握因式分解的方法并熟练应用是解题的关键.24.因式分解:(1)322242a a b ab -+(2)4481x y -解析:(1)22()a a b -;(2)22((3)(3)9)x y x y x y +-+.【分析】(1)先提公因式2a ,再利用完全平方公式进行分解222a ab b -+,即可得出结果;(2)原多项式先利用平方差公式分解为2222(9)(9)x y x y +-,再次利用平方差公式对229x y -进行分解即可.【详解】解:(1)322242a a b ab -+222(2)a a ab b =-+22()a a b =-,(2)4481x y -2222(9)(9)x y x y =+-22(93(3))()x y x y x y =+-+.【点睛】本题考查了因式分解,掌握因式分解的基本方法并能结合多项式的特点准确分解是解题的关键.25.如果关于x 的多项式2x a +与22x bx --的乘积展开式中没有二次项,且常数项为10,求2+a b 的值.解析:10-【分析】先根据多项式的乘法法则计算,然后根据展开式中没有二次项,且常数项为10列方程组求解即可.【详解】解:∵()()2322222242x a x bx x bx x ax abx a +--=--+-- ()()322242x b a x ab x a =---+-,∵乘积展开式中没有二次项,且常数项为10,∴20210a b a -=⎧⎨-=⎩, 解得:5a =-,52b =-,∴5252102a b ⎛⎫+=-+⨯-=- ⎪⎝⎭. 【点睛】 本题考查了多项式与多项式的乘法运算,多项式与多项式相乘,先用一个多项式的每一项分别乘另一个多项式的每一项,再把所得的积相加.也考查了二元一次方程组的解法. 26.观察下列关于自然数的等式:(1)217295⨯+⨯= ①(2)2282106⨯+⨯= ②(3)2392117⨯+⨯= ③……根据上述规律解决下列问题:(1)完成第四个等式__________.(2)写出你猜想的第n 个等式(用含n 的式子表示),并验证其正确性.解析:(1)4×10+2×12=82;(2)n (n+6)+2(n+8)=(n+4)2,验证见解析·【分析】(1)由①②③三个等式得出规律,即可得出结果;(2)由规律得出答案,再验证即可.【详解】解:(1)根据题意得:第四个等式为:4×10+2×12=82;(2)猜想的第n 个等式为:n (n+6)+2(n+8)=(n+4)2,验证:左边=n (n+6)+2(n+8)=n 2+6n+2n+16=n 2+8n+42=(n+4)2=右边,∴n (n+6)+2(n+8)=(n+4)2.【点睛】本题主要考查了数字的变化规律、完全平方公式、归纳推理等知识;根据题意得出规律是解决问题的关键.27.计算(1)()()433a a -⋅- (2)(ab 2)2 •(﹣a 3b )3÷(﹣5ab )解析:(1)15a -;(2)10615a b 【分析】(1)先算乘方,再算同底数幂的乘法即可;(2)先算乘方,再算乘法,后算除法.【详解】(1)()()433a a -⋅- =()123a a ⋅- =15a -;(2)(ab 2)2 •(﹣a 3b)3÷(﹣5ab)=a 2b 4.(-a 9b 3) ÷(﹣5ab)= -a 11b 7÷(﹣5ab) =10615a b . 【点睛】 本题考查了整式的混合运算,熟练掌握运算顺序是解答本题的关键.混合运算的顺序是先算乘方,再算乘除,最后算加减;同级运算,按从左到右的顺序计算;如果有括号,先算括号里面的,并按小括号、中括号、大括号的顺序进行;有时也可以根据运算定律改变运算的顺序.28.阅读:已知二次三项式x 2﹣4x +m 有一个因式是x +3,求另一个因式及m 的值. 解:设另一个因式为x +n ,得x 2﹣4x +m =(x +3)(x +n )则x 2﹣4x +m =x 2+(n +3)x +3n ∴343n m n +=-⎧⎨=⎩,解得217m n =-⎧⎨=-⎩∴另一个因式为x ﹣7,m 的值为﹣21问题:仿照上述方法解答下列问题:(1)已知二次三项式2x 2+3x ﹣k 有一个因式是2x ﹣5,求另一个因式及k 的值. (2)已知2x 2﹣13x +p 有一个因式x ﹣3,则P = .解析:(1)另一个因式为:4x +,20k =;(2)21.【分析】根据题意给出的方法即可求出答案.【详解】解:(1)设另外一个因式为:x n +,∴()()22325x x k x x n +-=-+, ∴2535n n k-=⎧⎨-=-⎩, ∴4n =,20k =;(2)设另一个因式为:2x n +,∴2x 2﹣13x +p =(2x +n )(x ﹣3)∴6133n n p -=-⎧⎨-=⎩∴解得:217p n =⎧⎨=-⎩故答案为:21.【点睛】本题考查因式分解的意义,解题的关键熟练运用因式分解法,本题属于基础题型.。
上海初中数学试卷分类汇编整式乘法与因式分解易错压轴解答题(含答案)一、整式乘法与因式分解易错压轴解答题1.(1)计算并观察下列各式:________;________;________;(2)从上面的算式及计算结果,你发现了什么?请根据你发现的规律直接填写下面的空格.________;(3)利用该规律计算: .2.阅读理解题:定义:如果一个数的平方等于-1,记为i2=-1,这个数i叫做虚数单位.那么形如a+bi(a,b为实数)的数就叫做复数,a叫这个复数的实部,b叫做这个复数的虚部,它的加,减,乘法运算与整式的加,减,乘法运算类似.例如计算:(2+i)+(3-4i)=5-3i.(1)填空:i3=________,i4="________";(2)计算:① ;② ;(3)若两个复数相等,则它们的实部和虚部必须分别相等,完成下列问题:已知:(x+y)+3i=(1-x)-yi,(x,y为实数),求x,y的值.(4)试一试:请利用以前学习的有关知识将化简成a+bi的形式3.(探究)如图1,边长为a的大正方形中有一个边长为b的小正方形,把图1中的阴影部分拼成一个长方形(如图2所示)(1)通过观察比较图2与图1中的阴影部分面积,可以得到乘法公式________.(用含a,b的等式表示)(2)(应用)请应用这个公式完成下列各题:①已知4m2=12+n2, 2m+n=4,则2m﹣n的值为________.②计算:20192﹣2020×2018.________(3)(拓展)计算:1002﹣992+982﹣972+…+42﹣32+22﹣12.4.【阅读与思考】整式乘法与因式分解是方向相反的变形.如何把二次_一项式ax2+bx+c进行因式分解呢?我们已经知道,(a1x+c1)(a2x+c2)=a1a2x2+a1c2x+a2c1x+c1c2=a1a2x2+(a1c2+a2c1)x+c1c2.反过来,就得到:a1a2x2+(a1c2+a2c1)x+c1c2=(a1x+c1)(a2x+c2).我们发现,二次项的系数a分解成a1a2,常数项c分解成c1c2,并且把a1, a2, c1,c2,如图①所示摆放,按对角线交叉相乘再相加,就得到a1c2+a2c1,如果a1c2+a2c1的值正好等于ax2+bx+c的一次项系数b,那么ax2+bx+c就可以分解为(a1x+c1)(a2x+c2),其中a1, c1位于图的上一行,a2, c2位于下一行.像这种借助画十字交叉图分解系数,从而帮助我们把二次三项式分解因式的方法,通常叫做“十字相乘法”.例如,将式子x2-x-6分解因式的具体步骤为:首先把二次项的系数1分解为两个因数的积,即1=1×1,把常数项-6也分解为两个因数的积,即-6=2×(-3);然后把1,1,2,-3按图②所示的摆放,按对角线交叉相乘再相加的方法,得到1×(-3)+1×2=-1,恰好等于一次项的系数-1,于是x2-x-6就可以分解为(x+2)(x-3).(1)请同学们认真观察和思考,尝试在图③的虚线方框内填入适当的数,并用“十字相乘法”分解因式:x2+x-6=________.(2)【理解与应用】请你仔细体会上述方法,并尝试对下面两个二次三项式进行分解因式:Ⅰ.2x2+5x-7=________;Ⅱ.6x2-7xy+2y2=________ .(3)【探究与拓展】对于形如ax2+bxy+cy2+dx+ey+f的关于x,y的二元二次多项式也可以用“十字相乘法”来分解.如图④,将a分解成mn乘积作为一列,c分解成pq乘积作为第二列,f分解成jk乘积作为第三列,如果mq+np=b,pk+qj=e,mk+nj=d,即第1,2列、第2,3列和第1,3列都满足十字相乘规则,则原式=(mx+py+j)(nx+qy+k),请你认真阅读上述材料并尝试挑战下列问题:Ⅰ.分解因式3x2+5xy-2y2+x+9y-4=________ .Ⅱ.若关于x,y的二元二次式x2+7xy-18y2-5x+my-24 可以分解成两个一次因式的积,求m的值.________Ⅲ.己知x,y为整数,且满足x2+3xy+2y2+2x+3y=-1,请写出一组符合题意的x,y的值.________5.(1)若m2+n2=13,m+n=3,则mn=________ 。
上海鞍山初级中学数学整式的乘法与因式分解中考真题汇编[解析版]一、八年级数学整式的乘法与因式分解选择题压轴题(难)1.248﹣1能被60到70之间的某两个整数整除,则这两个数是( )A .61和63B .63和65C .65和67D .64和67【答案】B【解析】【分析】248﹣1=(224+1)(224﹣1)=(224+1)(212+1)(212﹣1)=(224+1)(212+1)(26+1)(26﹣1)=(224+1)(212+1)(26+1)(23+1)(23﹣1),即可求解.【详解】解:248﹣1=(224+1)(224﹣1)=(224+1)(212+1)(212﹣1)=(224+1)(212+1)(26+1)(26﹣1)=(224+1)(212+1)(26+1)(23+1)(23﹣1)=(224+1)(212+1)×65×63,故选:B .【点睛】此题考察多项式的因式分解,将248﹣1利用平方差公式因式分解得到(224+1)(212+1)×65×63,即可得到答案2.将多项式24x +加上一个整式,使它成为完全平方式,则下列不满足条件的整式是( ) A .4-B .±4xC .4116xD .2116x 【答案】D【解析】【分析】分x 2是平方项与乘积二倍项,以及单项式的平方三种情况,根据完全平方公式讨论求解.【详解】解:①当x 2是平方项时,4士4x+x ²=(2士x )2,则可添加的项是4x 或一4x ;②当x 2是乘积二倍项时,4+ x 2+4116x =(2+214x )2,则可添加的项是4116x ; ③若为单项式,则可加上-4.故选:D.【点睛】本题考查了完全平方式,比较复杂,需要我们全面考虑问题,首先考虑三个项分别充当中间项的情况,就有三种情况,还有就是第四种情况加上一个数,得到一个单独的单项式,也是可以成为一个完全平方式,这种情况比较容易忽略,要注意.3.利用平方差公式计算(25)(25)x x ---的结果是A .245x -B .2425x -C .2254x -D .2425x +【答案】C【解析】【分析】 平方差公式是(a+b )(a-b )=a 2-b 2.【详解】解:()()()()()2225252525425254x x x x x x ---=--+=--=-, 故选择C.【点睛】本题考查了平方差公式,应牢记公式的形式.4.已知三角形三边长为a 、b 、c ,且满足247a b -=, 246b c -=-, 2618c a -=-,则此三角形的形状是( )A .等腰三角形B .等边三角形C .直角三角形D .无法确定【答案】A【解析】解:∵a 2﹣4b =7,b 2﹣4c =﹣6,c 2﹣6a =﹣18,∴a 2﹣4b +b 2﹣4c +c 2﹣6a =7﹣6﹣18,整理得:a 2﹣6a +9+b 2﹣4b +4+c 2﹣4c +4=0,即(a ﹣3)2+(b ﹣2)2+(c ﹣2)2=0,∴a =3,b =2,c =2,∴此三角形为等腰三角形.故选A .点睛:本题考查了因式分解的应用,解题的关键是正确的进行因式分解.5.因式分解x 2-ax +b ,甲看错了a 的值,分解的结果是(x +6)(x -1),乙看错了b 的值,分解的结果为(x -2)(x +1),那么x 2+ax +b 分解因式正确的结果为( )A .(x -2)(x +3)B .(x +2)(x -3)C .(x -2)(x -3)D .(x +2)(x +3)【答案】B【解析】【分析】【详解】因为(x +6)(x -1)=x 2+5x-6,所以b=-6;因为(x -2)(x +1)=x 2-x-2,所以a=1.所以x 2-ax +b=x 2-x-6=(x-3)(x+2).故选B.点睛:本题主要考查了多项式的乘法和因式分解,看错了a ,说明b 是正确的,所以将看错了a 的式子展开后,可得到b 的值,同理得到a 的值,再把a ,b 的值代入到x 2+ax +b 中分解因式.6.计算,得( )A .B .C .D .【答案】C【解析】【分析】直接提取公因式(-3)m-1,进而分解因式即可.【详解】(-3)m +2×(-3)m-1=(-3)m-1(-3+2)=-(-3)m-1.故选C .【点睛】此题主要考查了提取公因式法分解因式,正确分解因式是解题关键.7.如图所示的是用4个全等的小长方形与1个小正方形密铺而成的正方形图案,已知该图案的面积为144,小正方形的面积为4,若分别用x 、y (x y >)表示小长方形的长和宽,则下列关系式中错误的是( )A .22100x y +=B .2x y -=C .12x y +=D .35xy =【答案】A【解析】【分析】 由正方形的面积公式可求x +y =12,x ﹣y =2,可求x =7,y =5,即可求解.【详解】由题意可得:(x +y )2=144,(x ﹣y )2=4,∴x +y =12,x ﹣y =2,故B 、C 选项不符合题意;∴x =7,y =5,∴xy =35,故D 选项不符合题意;∴x 2+y 2=84≠100,故选项A 符合题意. 故选A .【点睛】本题考查了完全平方公式的几何背景,解答本题需结合图形,利用等式的变形来解决问题.8.通过计算几何图形的面积可表示代数恒等式,图中可表示的代数恒等式是( )A .22()()a b a b a b +-=-B .222()2a b a ab b +=++C .22()22a a b a ab +=+D .222()2a b a ab b -=-+【答案】A【解析】【分析】 根据阴影部分面积的两种表示方法,即可解答.【详解】图1中阴影部分的面积为:22a b -,图2中的面积为:()()a b a b +-,则22()()a b a b a b +-=-故选:A.【点睛】本题考查了平方差公式的几何背景,解决本题的关键是表示阴影部分的面积.9.若2149x kx ++是完全平方式,则实数k 的值为( ) A .43 B .13 C .43± D .13± 【答案】C【解析】【分析】本题是已知平方项求乘积项,根据完全平方式的形式可得出k 的值.【详解】由完全平方式的形式(a±b )2=a 2±2ab+b 2可得:kx=±2•2x•13, 解得k=±43. 故选:C【点睛】本题关键是有平方项求乘积项,掌握完全平方式的形式(a±b )2=a 2±2ab+b 2是关键.10.若6a b +=,7ab =,则-a b =( )A .±1B. C .2± D.±【答案】D【解析】【分析】 由关系式(a-b )2=(a+b )2-4ab 可求出a-b 的值【详解】∵a+b=6,ab=7, (a-b )2=(a+b )2-4ab∴(a-b )2=8,∴a-b=±.故选:D .【点睛】考查了完全平方公式,解题关键是能灵活运用完全平方公式进行变形.二、八年级数学整式的乘法与因式分解填空题压轴题(难)11.因式分解:a 3-9ab 2=__________.【答案】a (a -3b )(a +3b )【解析】【分析】首先提取公因式a ,进而利用平方差公式分解因式得出即可.【详解】a 3-9ab 2=a (a 2-9b 2)=a (a-3b )(a+3b ).故答案为:a (a-3b )(a+3b ).【点睛】本题考查了提取公因式以及公式法分解因式,正确应用平方差公式是解题的关键.12.已知222246140x y z x y z ++-+-+=, 则()2002x y z --=_______.【答案】0【解析】【分析】利用完全平方式的特点把原条件变形为222(1)(2)(3)0x y z -+++-=,再利用几个非负数之和为0,则每一个非负数都为0的结论可得答案.【详解】解:因为:222246140x y z x y z ++-+-+=所以222(21)(44)(69)0x x y y z z -+++++-+=所以222(1)(2)(3)0x y z -+++-= 所以102030x y z -=⎧⎪+=⎨⎪-=⎩ ,解得123x y z =⎧⎪=-⎨⎪=⎩所以()2002x y z --=[]221(2)3(33)0---=-= 故答案为0.【点睛】 本题考查完全平方式的特点,非负数之和为0的性质,掌握该知识点是关键.13.已知x =a 时,多项式x 2+6x+k 2的值为﹣9,则x =﹣a 时,该多项式的值为_____.【答案】27【解析】【分析】把x a =代入多项式,得到的式子进行移项整理,得22(3)a k +=-,根据平方的非负性把a 和k 求出,再代入求多项式的值.【详解】解:将x a =代入2269x x k ++=-,得:2269a a k ++=-移项得:2269a a k ++=-22(3)a k ∴+=-2(3)0a +,20k -30a ∴+=,即3a =-,0k =x a ∴=-时,222636327x x k ++=+⨯=故答案为:27【点睛】本题考查了代数式求值,平方的非负性.把a 代入多项式后进行移项整理是解题关键.14.多项式18x n+1-24x n 的公因式是_______.【答案】6x n【解析】运用公因式的概念,找出系数的最大公约数是6,相同字母的最低指数次幂是x n ,可得公因式为6x n .故答案为:6x n.15.若a ,b 互为相反数,则a 2﹣b 2=_____.【答案】0【解析】【分析】直接利用平方差公式分解因式进而结合相反数的定义分析得出答案.【详解】∵a ,b 互为相反数,∴a+b=0,∴a 2﹣b 2=(a+b )(a ﹣b )=0,故答案为0.【点睛】本题考查了公式法分解因式以及相反数的定义,正确分解因式是解题关键.16.因式分解:3222x x y xy +=﹣__________.【答案】()2x x y -【解析】【分析】先提取公因式x ,再对余下的多项式利用完全平方公式继续分解.【详解】解:原式()()2222x x xy y x x y =-+=-, 故答案为:()2x x y -【点睛】本题考查提公因式,熟练掌握运算法则是解题关键.17.因式分解:=______. 【答案】2(x +3)(x ﹣3).【解析】试题分析:先提公因式2后,再利用平方差公式分解即可,即=2(x 2-9)=2(x+3)(x-3).考点:因式分解.18.已知16x x +=,则221x x +=______ 【答案】34【解析】∵16x x +=,∴221x x +=22126236234x x ⎛⎫+-=-=-= ⎪⎝⎭, 故答案为34.19.分解因式:3x 2-6x+3=__.【答案】3(x-1)2【解析】【分析】先提取公因式3,再对余下的多项式利用完全平方公式继续分解.【详解】()()22236332131x x x x x -+=-+=-.故答案是:3(x-1)2.【点睛】考查了用提公因式法和公式法进行因式分解,一个多项式有公因式首先提取公因式,然后再用其他方法进行因式分解,同时因式分解要彻底,直到不能分解为止.20.若m+n=3,则2m2+4mn+2n2-6的值为________.【答案】12【解析】原式=2(m2+2mn+n2)-6,=2(m+n)2-6,=2×9-6,=12.。