(完整)期末信号与系统试题及答案,推荐文档
- 格式:doc
- 大小:785.76 KB
- 文档页数:5
信号及系统期末考试试题及答案一、选择题(每题2分,共20分)1. 信号x(t)=3cos(2π(5t+π/4))是一个:A. 周期信号B. 非周期信号C. 随机信号D. 确定性信号2. 系统分析中,若系统对单位阶跃函数的响应为u(t)+2,则该系统为:A. 线性时不变系统B. 线性时变系统C. 非线性时不变系统D. 非线性时变系统3. 下列哪个是连续时间信号的傅里叶变换:A. X(k)B. X(n)C. X(f)D. X(z)4. 信号通过线性时不变系统后,其频谱:A. 仅发生相位变化B. 仅发生幅度变化C. 发生幅度和相位变化D. 不发生变化5. 单位脉冲函数δ(t)的拉普拉斯变换是:A. 1B. tC. e^(-st)D. 1/s二、简答题(每题5分,共10分)1. 解释什么是卷积,并给出卷积的数学表达式。
2. 说明傅里叶变换与拉普拉斯变换的区别。
三、计算题(每题15分,共30分)1. 给定连续时间信号x(t)=e^(-t)u(t),求其傅里叶变换X(f)。
2. 给定离散时间信号x[n]=u[n]-u[n-3],求其z变换X(z)。
四、分析题(每题15分,共30分)1. 分析信号x(t)=cos(ωt)+2cos(2ωt)通过理想低通滤波器后输出信号的表达式,其中滤波器的截止频率为ω/2。
2. 讨论线性时不变系统的稳定性,并给出判断系统稳定性的条件。
五、论述题(每题10分,共10分)1. 论述信号的采样定理及其在数字信号处理中的应用。
参考答案一、选择题1. A2. A3. C4. C5. A二、简答题1. 卷积是信号处理中的一种运算,它描述了信号x(t)通过系统h(t)时,输出信号y(t)的计算过程。
数学表达式为:y(t) = (x * h)(t) = ∫x(τ)h(t-τ)dτ。
2. 傅里叶变换用于连续时间信号的频域分析,而拉普拉斯变换则适用于连续时间信号,并且可以处理有初始条件的系统。
三、计算题1. X(f) = 3[δ(f-5) + δ(f+5)]。
信号与系统考试题及答案(一)1. 系统的激励是)t (e ,响应为)t (r ,若满足dt)t (de )t (r =,则该系统为 线性、时不变、因果。
(是否线性、时不变、因果?) 2. 求积分dt )t ()t (212-+⎰∞∞-δ的值为 5 。
3. 当信号是脉冲信号f(t)时,其 低频分量 主要影响脉冲的顶部,其 高频分量 主要影响脉冲的跳变沿。
4. 若信号f(t)的最高频率是2kHz ,则t)f(2的乃奎斯特抽样频率为 8kHz 。
5. 信号在通过线性系统不产生失真,必须在信号的全部频带内,要求系统幅频特性为 一常数相频特性为_一过原点的直线(群时延)。
6. 系统阶跃响应的上升时间和系统的 截止频率 成反比。
7. 若信号的3s F(s)=(s+4)(s+2),求该信号的=)j (F ωj 3(j +4)(j +2)ωωω。
8. 为使LTI 连续系统是稳定的,其系统函数)s (H 的极点必须在S 平面的 左半平面 。
9. 已知信号的频谱函数是))00(()j (F ωωδωωδω--+=,则其时间信号f(t)为01sin()t j ωπ。
10. 若信号f(t)的211)s (s )s (F +-=,则其初始值=+)(f 0 1 。
二、判断下列说法的正误,正确请在括号里打“√”,错误请打“×”。
(每小题2分,共10分)1.单位冲激函数总是满足)()(t t -=δδ ( √ )2.满足绝对可积条件∞<⎰∞∞-dt t f )(的信号一定存在傅立叶变换,不满足这一条件的信号一定不存在傅立叶变换。
( × ) 3.非周期信号的脉冲宽度越小,其频带宽度越宽。
( √ )4.连续LTI 系统的冲激响应的形式取决于系统的特征根,于系统的零点无关。
( √ )5.所有周期信号的频谱都是离散谱,并且随频率的增高,幅度谱总是渐小的。
( × )三、计算分析题(1、3、4、5题每题10分,2题5分, 6题15分,共60分)1.信号)t (u e )t (f t-=21,信号⎩⎨⎧<<=其他,01012t )t (f ,试求)t (f *)t (f 21。
《 信号与系统 》考试试卷(时间120分钟)院/系 专业 姓名 学号一、填空题(每小题2分,共20分)1. 系统的激励是)t (e ,响应为)t (r ,若满足dt)t (de )t (r =,则该系统为 线性、时不变、因果。
(是否线性、时不变、因果?)2. 求积分dt )t ()t (212-+⎰∞∞-δ的值为 5 。
3. 当信号是脉冲信号f(t)时,其 低频分量 主要影响脉冲的顶部,其 高频分量 主要影响脉冲的跳变沿。
4. 若信号f(t)的最高频率是2kHz ,则t)f(2的乃奎斯特抽样频率为 8kHz 。
5. 信号在通过线性系统不产生失真,必须在信号的全部频带内,要求系统幅频特性为 一常 数相频特性为_一过原点的直线(群时延)。
6. 系统阶跃响应的上升时间和系统的 截止频率 成反比。
7. 若信号的3s F(s)=(s+4)(s+2),求该信号的=)j (F ωj 3(j +4)(j +2)ωωω。
8. 为使LTI 连续系统是稳定的,其系统函数)s (H 的极点必须在S 平面的 左半平面 。
9. 已知信号的频谱函数是))00(()j (Fωωδωωδω--+=,则其时间信号f(t)为01sin()t j ωπ。
10. 若信号f(t)的211)s (s )s (F +-=,则其初始值=+)(f 0 1 。
二、判断下列说法的正误,正确请在括号里打“√”,错误请打“×”。
(每小题2分,共10分)1.单位冲激函数总是满足)()(t t -=δδ ( √ )2.满足绝对可积条件∞<⎰∞∞-dt t f )(的信号一定存在傅立叶变换,不满足这一条件的信号一定不存在傅立叶变换。
( × ) 3.非周期信号的脉冲宽度越小,其频带宽度越宽。
( √ )4.连续LTI 系统的冲激响应的形式取决于系统的特征根,于系统的零点无关。
( √ )5.所有周期信号的频谱都是离散谱,并且随频率的增高,幅度谱总是渐小的。
长沙理工大学拟题纸课程编号 1拟题教研室(或老师)签名 教研室主任签名 符号说明:)sgn(t 为符号函数,)(t δ为单位冲击信号,)(k δ为单位脉冲序列,)(t ε为单位阶跃信号,)(k ε为单位阶跃序列。
一、填空(共30分,每小题3分)1. 已知)()4()(2t t t f ε+=,求_______)("=t f 。
)('4)(2)("t t t f δε+2. 已知}4,2,4,3{)(},1,2,2,1{)(=-=k h k f ,求______)()(=*k h k f 。
}4,6,8,3,4,10,3{)()(-=*k h k f3. 信号通过系统不失真的条件为系统函数_______)(=ωj H 。
0)(t j Kej H ωω-=4. 若)(t f 最高角频率为m ω,则对)4(t f 取样的最大间隔是______。
m T ωπωπ4max max ==5. 信号t t t f ππ30cos 220cos 4)(+=的平均功率为______。
101122222=+++==∑∞-∞=n n F P6. 已知一系统的输入输出关系为)3()(t f t y =,试判断该系统是否为线性时不变系统______。
故系统为线性时变系统。
7. 已知信号的拉式变换为)1)(1(1)(2-+=s s s F ,求该信号的傅立叶变换)(ωj F =______。
故傅立叶变换)(ωj F 不存在。
8. 已知一离散时间系统的系统函数2121)(---+=z z z H ,判断该系统是否稳定______。
故系统不稳定。
9. =+-+⎰∞∞-dt t t t )1()2(2δ______。
310. 已知一信号频谱可写为)(,)()(3ωωωωA e A j F j -=是一实偶函数,试问)(t f 有何种对称性______。
关于t=3的偶对称的实信号。
二、计算题(共50分,每小题10分)1. 已知连续时间系统的单位冲激响应)(t h 与激励信号)(t f 的波形如图A-1所示,试由时域求解该系 统的零状态响应)(t y ,画出)(t y 的波形。
信号与系统试题及答案(大学期末考试题)一、选择题(每题2分,共40分)1. 下列哪个信号是周期信号?A. 方波B. 单位冲激信号C. 随机信号D. 正弦信号答案:A2. 信号x(t)的拉普拉斯变换为X(s)。
若x(t)的区间平均功率为P,则X(s)的区间平均功率是多少?A. PB. 2πPC. P/2D. πP答案:D3. 系统的冲激响应为h(t)=e^(-2t)sin(3t)u(t)。
则该系统为什么类型的系统?A. 线性非时变系统B. 线性时不变系统C. 非线性非时变系统D. 非线性时不变系统答案:B4. 信号x(t)通过系统h(t)并得到输出信号y(t)。
若x(t)为周期为T的信号,则y(t)也是周期为T的信号。
A. 正确B. 错误答案:A5. 下列哪个信号不是能量有限信号?A. 常值信号B. 正弦信号C. 方波D. 三角波答案:B...二、填空题(每题4分,共40分)1. 离散傅里叶变换的计算复杂度为$O(NlogN)$。
答案:NlogN2. 系统函数$H(z) = \frac{1}{1-0.5z^{-1}}$的极点为0.5。
答案:0.5...三、简答题(每题10分,共20分)1. 请简要说明信号与系统的基本概念和关系。
答案:信号是波动的物理量的数学描述,而系统是对信号进行处理的方式。
信号与系统的关系在于信号作为系统的输入,经过系统处理后得到输出信号。
信号与系统的研究可以帮助我们理解和分析各种现实世界中的波动现象。
2. 请简要说明周期信号和非周期信号的区别。
答案:周期信号是在一定时间间隔内重复出现的信号,具有周期性。
非周期信号则不能被表示为简单的周期函数,不存在固定的重复模式。
...以上是关于信号与系统试题及答案的文档。
希望能对您的大学期末考试复习有所帮助。
祝您考试顺利!。
信号与系统》期末试卷与答案信号与系统》期末试卷A卷班级:__________ 学号:_________ 姓名:_________ 成绩:_________一.选择题(共10题,20分)1、序列x[n] = e^(j(2πn/3)) + e^(j(4πn/3)),该序列的周期是:A。
非周期序列B。
周期 N = 3C。
周期 N = 3/8D。
周期 N = 242、连续时间系统 y(t) = x(sin(t)),该系统是:A。
因果时不变B。
因果时变C。
非因果时不变D。
非因果时变3、连续时间LTI 系统的单位冲激响应h(t) = e^(-4t)u(t-2),该系统是:A。
因果稳定B。
因果不稳定C。
非因果稳定D。
非因果不稳定4、若周期信号 x[n] 是实信号和奇信号,则其傅立叶级数系数 a_k 是:A。
实且偶B。
实且为奇C。
纯虚且偶D。
纯虚且奇5、信号x(t) 的傅立叶变换X(jω) = {1,|ω|2},则x(t) 为:A。
sin(2t)/2tB。
sin(2t)sin(4t)sin(4t)/πtC。
0D。
16、周期信号x(t) = ∑δ(t-5n),其傅立叶变换X(jω) 为:A。
∑δ(ω-5)B。
∑δ(ω-10πk)C。
5D。
10πjω7、实信号 x[n] 的傅立叶变换为X(e^jω),则 x[n] 奇部的傅立叶变换为:A。
jRe{X(e^jω)}B。
Re{X(e^jω)}C。
jIm{X(e^jω)}D。
Im{X(e^jω)}8、信号 x(t) 的最高频率为 500Hz,则利用冲激串采样得到的采样信号 x(nT) 能唯一表示出原信号的最大采样周期为:A。
500B。
1000C。
0.05D。
0.0019、信号 x(t) 的有理拉普拉斯共有两个极点 s = -3 和 s = -5,若 g(t) = e^(xt),其傅立叶变换G(jω) 收敛,则 x(t) 是:A。
左边B。
右边C。
双边D。
不确定10、系统函数 H(s) = (s+1)/s,Re(s)。
(完整版)《信号与系统》期末试卷与答案第 1 页共 6 页《信号与系统》期末试卷A 卷班级:学号:__________ 姓名:________ _ 成绩:_____________⼀.选择题(共10题,20分) 1、n j n j een x )34()32(][ππ+=,该序列是 D 。
A.⾮周期序列B.周期3=NC.周期8/3=ND. 周期24=N2、⼀连续时间系统y(t)= x(sint),该系统是 C 。
A.因果时不变B.因果时变C.⾮因果时不变D. ⾮因果时变3、⼀连续时间LTI 系统的单位冲激响应)2()(4-=-t u et h t,该系统是 A 。
A.因果稳定B.因果不稳定C.⾮因果稳定D. ⾮因果不稳定4、若周期信号x[n]是实信号和奇信号,则其傅⽴叶级数系数a k 是 D 。
A.实且偶B.实且为奇C.纯虚且偶D. 纯虚且奇5、⼀信号x(t)的傅⽴叶变换⎩⎨⎧><=2||02||1)(ωωω,,j X ,则x(t)为 B 。
A.tt22sin B.t t π2sin C. t t 44sin D. ttπ4sin 6、⼀周期信号∑∞-∞=-=n n t t x )5()(δ,其傅⽴叶变换)(ωj X 为 A 。
A.∑∞-∞=-k k )52(52πωδπB. ∑∞-∞=-k k)52(25πωδπ C. ∑∞-∞=-k k )10(10πωδπD.∑∞-∞=-k k)10(101πωδπ7、⼀实信号x[n]的傅⽴叶变换为)(ωj e X ,则x[n]奇部的傅⽴叶变换为上⼀页下⼀页。
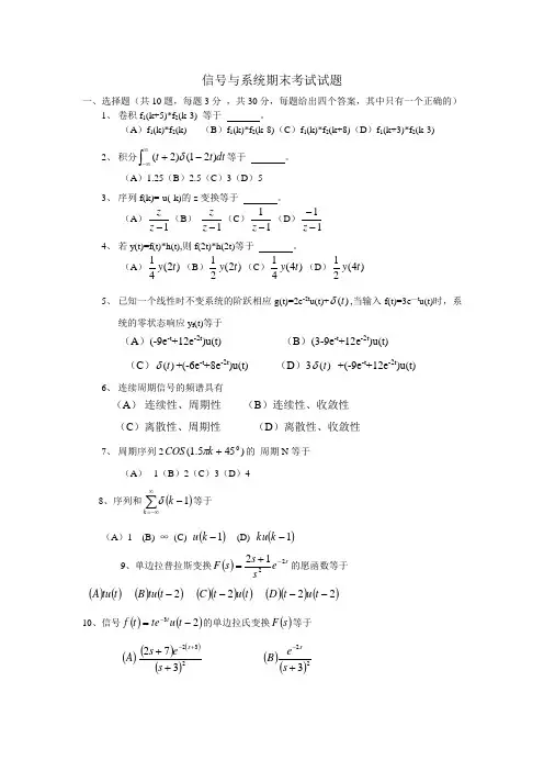
信号与系统期末考试试题一、选择题(共10题,每题3分 ,共30分,每题给出四个答案,其中只有一个正确的)1、 卷积f 1(k+5)*f 2(k-3) 等于 。
(A )f 1(k)*f 2(k) (B )f 1(k)*f 2(k-8)(C )f 1(k)*f 2(k+8)(D )f 1(k+3)*f 2(k-3)2、 积分dt t t ⎰∞∞--+)21()2(δ等于 。
(A )1.25(B )2.5(C )3(D )5 3、 序列f(k)=-u(-k)的z 变换等于 。
(A )1-z z (B )-1-z z(C )11-z (D )11--z4、 若y(t)=f(t)*h(t),则f(2t)*h(2t)等于 。
(A ))2(41t y (B ))2(21t y (C ))4(41t y (D ))4(21t y 5、 已知一个线性时不变系统的阶跃相应g(t)=2e -2t u(t)+)(t δ,当输入f(t)=3e —t u(t)时,系统的零状态响应y f (t)等于(A )(-9e -t +12e -2t )u(t) (B )(3-9e -t +12e -2t )u(t)(C ))(t δ+(-6e -t +8e -2t )u(t) (D )3)(t δ +(-9e -t +12e -2t )u(t)6、 连续周期信号的频谱具有(A ) 连续性、周期性 (B )连续性、收敛性 (C )离散性、周期性 (D )离散性、收敛性1、 周期序列2)455.1(0+k COS π的 周期N 等于(A ) 1(B )2(C )3(D )4 8、序列和()∑∞-∞=-k k 1δ等于(A )1 (B) ∞ (C) ()1-k u (D) ()1-k ku9、单边拉普拉斯变换()se s s s F 2212-+=的愿函数等于 ()()t tu A ()()2-t tu B ()()()t u t C 2- ()()()22--t u t D 10、信号()()23-=-t u tet f t的单边拉氏变换()s F 等于()A ()()()232372+++-s e s s ()()223+-s e B s()()()2323++-s se C s ()()332++-s s e D s二、填空题(共9小题,每空3分,共30分)1、卷积和[(0.5)k+1u(k+1)]*)1(k -δ=________________________2、单边z 变换F(z)=12-z z的原序列f(k)=______________________ 3、已知函数f(t)的单边拉普拉斯变换F(s)=1+s s,则函数y(t)=3e -2t ·f(3t)的单边拉普拉斯变换Y(s)=_________________________4、频谱函数F(j ω)=2u(1-ω)的傅里叶逆变换f(t)=__________________5、单边拉普拉斯变换ss s s s F +++=2213)(的原函数f(t)=__________________________ 6、已知某离散系统的差分方程为)1(2)()2()1()(2-+=----k f k f k y k y k y ,则系统的单位序列响应h(k)=_______________________7、已知信号f(t)的单边拉氏变换是F(s),则信号⎰-=2)()(t dx x f t y 的单边拉氏变换Y(s)=______________________________8、描述某连续系统方程为()()()()()t f t f t y t y t y +=++''''52该系统的冲激响应h(t)=9、写出拉氏变换的结果()=t u 66 ,=k t 22三、(8分)四、(10分)如图所示信号()t f ,其傅里叶变换()()[]t f jw F F=,求(1) ()0F (2)()⎰∞∞-dw jw F六、(10分)某LTI 系统的系统函数()1222++=s s s s H ,已知初始状态()(),20,00=='=--y y 激励()(),t u t f =求该系统的完全响应。
信号与系统期末考试试题一、选择题(共10题,每题3分 ,共30分,每题给出四个答案,其中只有一个正确的)1、 卷积f 1(k+5)*f 2(k-3) 等于 。
(A )f 1(k)*f 2(k) (B )f 1(k)*f 2(k-8)(C )f 1(k)*f 2(k+8)(D )f 1(k+3)*f 2(k-3)2、 积分dt t t ⎰∞∞--+)21()2(δ等于 。
(A )1.25(B )2.5(C )3(D )5 3、 序列f(k)=-u(-k)的z 变换等于 。
(A )1-z z (B )-1-z z(C )11-z (D )11--z4、 若y(t)=f(t)*h(t),则f(2t)*h(2t)等于 。
(A ))2(41t y (B ))2(21t y (C ))4(41t y (D ))4(21t y 5、 已知一个线性时不变系统的阶跃相应g(t)=2e -2t u(t)+)(t δ,当输入f(t)=3e —t u(t)时,系统的零状态响应y f (t)等于(A )(-9e -t +12e -2t )u(t) (B )(3-9e -t +12e -2t )u(t)(C ))(t δ+(-6e -t +8e -2t )u(t) (D )3)(t δ +(-9e -t +12e -2t )u(t)6、 连续周期信号的频谱具有(A ) 连续性、周期性 (B )连续性、收敛性 (C )离散性、周期性 (D )离散性、收敛性7、 周期序列2)455.1(0+k COS π的 周期N 等于(A ) 1(B )2(C )3(D )4 8、序列和()∑∞-∞=-k k 1δ等于(A )1 (B) ∞ (C) ()1-k u (D) ()1-k ku9、单边拉普拉斯变换()se s s s F 2212-+=的愿函数等于 ()()t tu A ()()2-t tu B ()()()t u t C 2- ()()()22--t u t D 10、信号()()23-=-t u tet f t的单边拉氏变换()s F 等于()A ()()()232372+++-s e s s ()()223+-s e B s()()()2323++-s se C s ()()332++-s s e D s二、填空题(共9小题,每空3分,共30分)1、卷积和[(0.5)k+1u(k+1)]*)1(k -δ=________________________2、单边z 变换F(z)=12-z z的原序列f(k)=______________________ 3、已知函数f(t)的单边拉普拉斯变换F(s)=1+s s,则函数y(t)=3e -2t ·f(3t)的单边拉普拉斯变换Y(s)=_________________________4、频谱函数F(j ω)=2u(1-ω)的傅里叶逆变换f(t)=__________________5、单边拉普拉斯变换ss s s s F +++=2213)(的原函数f(t)=__________________________ 6、已知某离散系统的差分方程为)1(2)()2()1()(2-+=----k f k f k y k y k y ,则系统的单位序列响应h(k)=_______________________7、已知信号f(t)的单边拉氏变换是F(s),则信号⎰-=2)()(t dx x f t y 的单边拉氏变换Y(s)=______________________________8、描述某连续系统方程为()()()()()t f t f t y t y t y +=++''''52该系统的冲激响应h(t)=9、写出拉氏变换的结果()=t u 66 ,=k t 22三、(8分)四、(10分)如图所示信号()t f ,其傅里叶变换()()[]t f jw F F =,求(1) ()0F (2)()⎰∞∞-dw jw F六、(10分)某LTI 系统的系统函数()1222++=s s s s H ,已知初始状态()(),20,00=='=--y y 激励()(),t u t f =求该系统的完全响应。
《信号与系统》期末试卷A 卷班级: 学号:__________ 姓名:________ _ 成绩:_____________一. 选择题(共10题,20分) 1、n j n j een x )34()32(][ππ+=,该序列是 D 。
A.非周期序列B.周期3=NC.周期8/3=ND. 周期24=N2、一连续时间系统y(t)= x(sint),该系统是 C 。
A.因果时不变B.因果时变C.非因果时不变D. 非因果时变3、一连续时间LTI 系统的单位冲激响应)2()(4-=-t u et h t,该系统是 A 。
A.因果稳定B.因果不稳定C.非因果稳定D. 非因果不稳定4、若周期信号x[n]是实信号和奇信号,则其傅立叶级数系数a k 是 D 。
A.实且偶B.实且为奇C.纯虚且偶D. 纯虚且奇5、一信号x(t)的傅立叶变换⎩⎨⎧><=2||02||1)(ωωω,,j X ,则x(t)为 B 。
A.tt22sin B.t t π2sin C. t t 44sin D. ttπ4sin 6、一周期信号∑∞-∞=-=n n t t x )5()(δ,其傅立叶变换)(ωj X 为 A 。
A.∑∞-∞=-k k )52(52πωδπB. ∑∞-∞=-k k)52(25πωδπ C. ∑∞-∞=-k k )10(10πωδπD.∑∞-∞=-k k)10(101πωδπ7、一实信号x[n]的傅立叶变换为)(ωj e X ,则x[n]奇部的傅立叶变换为C 。
A. )}(Re{ωj eX j B. )}(Re{ωj e X C. )}(Im{ωj e X j D. )}(Im{ωj e X8、一信号x(t)的最高频率为500Hz ,则利用冲激串采样得到的采样信号x(nT)能唯一表示出原信号的最大采样周期为 D 。
A. 500 B. 1000 C. 0.05D. 0.0019、一信号x(t)的有理拉普拉斯共有两个极点s=-3和s=-5,若)()(4t x e t g t=,其傅立叶变换)(ωj G 收敛,则x(t)是 C 。
格式《信号与系统》考试试卷(时间 120 分钟)院 / 系专业姓名学号题号一二三四五六七总分得分一、填空题(每小题 2 分,共 20 分)得分1.系统的激励是 e(t) ,响应为 r(t) ,若满足de(t)r ( t) ,则该系统为线性、时不变、因果。
dt(是否线性、时不变、因果?)2 的值为 5。
2.求积分 (t1)(t2)dt3.当信号是脉冲信号f(t)时,其低频分量主要影响脉冲的顶部,其高频分量主要影响脉冲的跳变沿。
4.若信号f(t)的最高频率是2kHz,则 f(2t)的乃奎斯特抽样频率为8kHz。
5.信号在通过线性系统不产生失真,必须在信号的全部频带内,要求系统幅频特性为一常数相频特性为 _一过原点的直线(群时延)。
6.系统阶跃响应的上升时间和系统的截止频率成反比。
.若信号的F(s)=3s j37。
,求该信号的 F ( j)(s+4)(s+2) (j+4)(j+2)8.为使LTI 连续系统是稳定的,其系统函数H(s ) 的极点必须在S 平面的左半平面。
1。
9.已知信号的频谱函数是0)()F(( ,则其时间信号f(t)为0j)sin(t)js110.若信号 f(t)的F ( s ) ,则其初始值f(0)1。
2(s1 )得分二、判断下列说法的正误,正确请在括号里打“√”,错误请打“×”。
(每小题 2 分,共 10 分)《信号与系统》试卷第1页共 7页专业资料整理格式1.单位冲激函数总是满足 ( t )( t ) (√)2.满足绝对可积条件 f ( t ) dt 的信号一定存在傅立叶变换,不满足这一条件的信号一定不存在傅立叶变换。
(×)3.非周期信号的脉冲宽度越小,其频带宽度越宽。
(√)4.连续 LTI 系统的冲激响应的形式取决于系统的特征根,于系统的零点无关。
(√)5.所有周期信号的频谱都是离散谱,并且随频率的增高,幅度谱总是渐小的。
(×)得分三、计算分析题(1、 3、 4、 5 题每题 10 分, 2 题 5 分,6 题15 分,共 60 分)t 10t11.信号f(t)2eu(t) ,1,信号 f ,试求 f 1 (t)*f 2 (t)。
1湖 南 理 工 学 院 成教 期 末 考 试 试 卷课 程 名 称《信号与系统》2010 年度第 I 学期题号 一 二三四五六七八九十总: :得分数 一、填空题:( 30 分,每小题 3 分)名份姓 题 1. 已知 f(t)的傅里叶变换为 F(j ω), 则 f(2t-3)的傅里叶变换为生 印学2、e2 tt1 dt。
)( 3( 2cos 5t ) (t ) dt= 。
卷闭、)s 1√ 4. 已知 F ( s)s 2,则 f (0 ); f ()。
( 5s 6卷1: 开 5. 已知 FT [(t)](,则 FT [t (t )]: )号j式学形生 6.试 已知周期信号 f (t )cos( 2t ) sin( 4t ),其基波频率为学考 :s 。
师 周期为教题 ) 7.已知 f (k)3 (n 2) 2 (n5) ,其 Z 变换出(C10 . 如 图 所 示 是 离 散 系 统 的 Z 域 框 图 , 该 系 统 的 系 统 函 数H(z)= 。
分。
二 . (15 分 ) 如下方程和非零起始条件表示的 连续时间因果LTI 系统,d 2 y 5 dy 4 y(t ) 2 df 5 f (t) dt 2 dt dt y(0 ) 2, y'(0 ) 5已知输入 f (t ) e 2 t (t ) 时,试用拉普拉斯变换的方法求系统的零状态响应y zs (t ) 和零输入响应 y zi (t ) , t 0 以及系统的全响应 y(t ), t 0 。
rad/s ;、F (Z);收敛域为。
理 ) 物 (7 B3s 20 、8.已 知 连 续 系 统 函 数 H (s), 试 判 断 系 统 的 稳 定322)s4s 3s 1√: (级 A性:。
年 :业 别z 2: 专 类 9 . 已 知 离 散 系 统 函 数 H ( z)z2, 试 判 断 系 统 的 稳 定 级 用 卷0.7z 0.1班 适 试性: 。
信号与系统期末考试试题一、选择题(共10题,每题3分 ,共30分,每题给出四个答案,其中只有一个正确的)1、 卷积f 1(k+5)*f 2(k-3) 等于 。
(A )f 1(k)*f 2(k) (B )f 1(k)*f 2(k-8)(C )f 1(k)*f 2(k+8)(D )f 1(k+3)*f 2(k-3)2、 积分dt t t ⎰∞∞--+)21()2(δ等于 。
(A )1.25(B )2.5(C )3(D )5 3、 序列f(k)=-u(-k)的z 变换等于 。
(A )1-z z (B )-1-z z(C )11-z (D )11--z4、 若y(t)=f(t)*h(t),则f(2t)*h(2t)等于 。
(A ))2(41t y (B ))2(21t y (C ))4(41t y (D ))4(21t y 5、 已知一个线性时不变系统的阶跃相应g(t)=2e -2tu(t)+)(t δ,当输入f(t)=3e —tu(t)时,系统的零状态响应y f (t)等于(A )(-9e -t +12e -2t )u(t) (B )(3-9e -t +12e -2t )u(t)(C ))(t δ+(-6e -t +8e -2t )u(t) (D )3)(t δ +(-9e -t +12e -2t )u(t)6、 连续周期信号的频谱具有(A ) 连续性、周期性 (B )连续性、收敛性 (C )离散性、周期性 (D )离散性、收敛性7、 周期序列2)455.1(0+k COS π的 周期N 等于(A ) 1(B )2(C )3(D )4 8、序列和()∑∞-∞=-k k 1δ等于(A )1 (B) ∞ (C) ()1-k u (D) ()1-k ku9、单边拉普拉斯变换()se s s s F 2212-+=的愿函数等于 ()()t tu A ()()2-t tu B ()()()t u t C 2- ()()()22--t u t D 10、信号()()23-=-t u tet f t的单边拉氏变换()s F 等于()A ()()()232372+++-s e s s ()()223+-s e B s()()()2323++-s se C s ()()332++-s s e D s二、填空题(共9小题,每空3分,共30分)1、 卷积和[(0.5)k+1u(k+1)]*)1(k -δ=________________________2、 单边z 变换F(z)=12-z z的原序列f(k)=______________________ 3、 已知函数f(t)的单边拉普拉斯变换F(s)=1+s s,则函数y(t)=3e -2t ·f(3t)的单边拉普拉斯变换Y(s)=_________________________4、 频谱函数F(j ω)=2u(1-ω)的傅里叶逆变换f(t)=__________________5、 单边拉普拉斯变换ss s s s F +++=2213)(的原函数f(t)=__________________________ 6、 已知某离散系统的差分方程为)1(2)()2()1()(2-+=----k f k f k y k y k y ,则系统的单位序列响应h(k)=_______________________7、 已知信号f(t)的单边拉氏变换是F(s),则信号⎰-=2)()(t dx x f t y 的单边拉氏变换Y(s)=______________________________8、描述某连续系统方程为()()()()()t f t f t y t y t y +=++''''52该系统的冲激响应h(t)=9、写出拉氏变换的结果()=t u 66 ,=k t 22三、(8分)四、(10分)如图所示信号()t f ,其傅里叶变换()()[]t f jw F F =,求(1) ()0F (2)()⎰∞∞-dw jw F六、(10分)某LTI 系统的系统函数()1222++=s s s s H ,已知初始状态()(),20,00=='=--y y 激励()(),t u t f =求该系统的完全响应。
《信号与系统》须知:符号ε(t)、ε(k)分别为单位阶跃函数和单位阶跃序列。
LTI加法器。
一、单项选择题(每小题4分,共32分)D 1、序列和33(2)ii i δ∞-=-∞-∑等于A .3ε (k –2)B .3ε (k)C .1D .3 D 2、积分55(1)d 2tt e t δ--⎰等于 A .0 B .1 C .e D .e 2B 3、()(a )f t t δ=A .(0)f t δ()B .1(0)()|a |f t δ C .(0)f aD .0()f t a ⎛⎫δ ⎪⎝⎭B 4、1()f t 、2()f t 波形如题4图所示,12()()*()f t f t f t =则(2)f =题4图A .12 B .1 C .32D .2 B 5、已知)()()(21k f k f k f *=,)(1k f 、)(2k f 波形如题5图所示,)0(f 等于题5图 A .1 B .2 C .3 D .4D 6、已知()1sgn()f t t =+则其傅立叶变换的频谱函数()F j ω等于A .12()j πδω+ω B .2j ω C .1()j πδω+ω D .2()j 2πδω+ωD 7、已知单边拉普拉斯变换的象函数22()1F s s =+则原函数)(t f 等于 A .()te t -ε B .2()te t -ε C .2cos ()t t ε D .2sin ()t t ε B 8、已知)()(k k kf ε=,其双边Z 变换的象函数)(z F 等于A .1-z z B .2)1(-z z C .1--z zD .2)1(--z z二、填空题(每小题5分,共30分) 9、单边拉普拉斯变换定义()F S =0()st f t e dt -∞-⎰;双边Z 变换定义式()F Z =()k k f k z ∞-=-∞∑10、已知()f t 的波形如题10图所示,则(12)f t -波形 (1) ;()df t dt波形 (2) 。
《信号与系统》测验一、单项选择题 ................................................. 1 二、简答题 ..................................................... 4 三、计算题 .. (8)一、单项选择题1.设系统的初始状态为()0t x ,输入为()t f ,完全响应为()t y ,以下系统为线性系统的是 D 。
(A) ()()()[]t f t x t y lg 02•= (B) ()()()t f t x t y 20+=(C) ()()()ττd f t x t y tt ⎰+=00 (D) ()()()()ττd f dtt df t x e t y tt t ⎰++=-00 2.一个矩形脉冲信号,当脉冲幅度提高一倍,脉冲宽度扩大一倍,则其频带宽度较原来频带宽度 A 。
(A )缩小一倍 (B ) 扩大一倍 (C ) 不变 (D )不能确定 3. 某系统的系统函数为)2)(5.0()(--=z z zz H ,若该系统是因果系统,则其收敛区为B 。
(A )|z|<0.5 (B )|z|>2 (C )0.5<|z|<2 (D )以上答案都不对 4. 下面关于离散信号的描述正确的是 B 。
(A) 有限个点上有非零值,其他点为零值的信号。
(B) 仅在离散时刻上有定义的信号。
(C) 在时间t 为整数的点上有非零值的信号。
(D) 信号的取值为规定的若干离散值的信号。
5.下列信号中为周期信号的是 D 。
t t t f 5sin 3sin )(1+= t t t f πcos 2cos )(2+=k k k f 2sin 6sin )(3ππ+= )(21)(4k k f kε⎪⎭⎫⎝⎛=()A )(1t f 和)(2t f ())(),(21t f t f c 和)(3k f())(2t f B 和)(3k f ())(1t f D 和)(3k f6. 连续周期信号的频谱具有 D 。
信号与系统》期末试卷 A 卷6、一周期信号x(t)(t n5n) ,其傅立叶变换 X(j) 为 A 2( 2k 5(2kA.) B.) 5k52k 51kC. 10(10 k)D.()k10 k107、一实信号 x[n]的傅立叶变换为 X(e j ),A. jRe{X(e j )}B. Re{X(e j )}C. jIm{ X(e j )}D.班级: 学号:姓名:成绩:1、 选择题(共 2j(3)nx[n] e 310题, 20 分)4j(3 )ne 3 ,该序列是2、 3、 4、 5、 A.非周期序列一连续时间系统 A. 因果时不变连续时间 A. 因果稳定若周期信号 A.实且偶LTI B. 周期 N 3C.周期 N 3/8y(t)= x(sint) ,该系统是B.因果时变C.非因果时不变D. 周期 N 24D. 非因果时变系统的单位冲激响应 4th(t) e 4tu(t 2) ,该系统是 AB.因果不稳定C.非因果稳定D. 非因果不稳定x[n] 是实信号和奇信号,则其傅立叶级数系数 B.实且为奇C.纯虚且偶a k 是DD. 纯虚且奇一信号 x(t)的傅立叶变换 X( j1,| | 0,| |222,则 x(t)为 sin2tA.2tB.sin2tsin4t C.4tsin4t D.t则 x[n] 奇 部 的 傅 立 叶 变 换 为Im{ X(e j )}8、一信号x(t) 的最高频率为500Hz,则利用冲激串采样得到的采样信号x(nT)能唯一表示出原信号的最大采样周期为 D 。
A. 500B. 1000C. 0.05D. 0.0019、一信号x(t) 的有理拉普拉斯共有两个极点s=-3 和s=-5,若g(t) e4t x(t) ,其傅立叶变换G( j ) 收敛,则x(t)是 C 。
A. 左边B. 右边C. 双边D. 不确定10、一系统函数H(s)se,Re{ s} 1 ,该系统是 C 。
s1A. 因果稳定B. 因果不稳定C. 非因果稳定D. 非因果不稳定二.简答题(共 6 题,40 分)1、 (10 分)下列系统是否是( 1)无记忆;(2)时不变;(3)线性;(4)因果;(5) 稳定,并说明理由。
湖南理工学院成教期末考试试卷
课 程 名 称《信号与系统》
2010年度第 I 学期
题号 一 二 三 四 五 六 七 八 九 十 总 分
得分
1. 已知 f (t )的傅里叶变换为F (j ω), 则f (2t -3)的傅里叶变换为 。
2、
()dt
t e
t
12-⎰+∞
∞
--δ 。
3
=-⎰∞
∞
-dt t t )()5cos 2(δ= 。
4. 已知 651
)(2+++=s s s s F ,则=+)0(f ; =∞)(f 。
5. 已知 ω
ωπδεj t FT 1
)()]([+=,则=)]([t t FT ε 。
6. 已知周期信号
)4sin()2cos()(t t t f +=,其基波频率为 rad/s ;
周期为 s 。
7. 已知
)5(2)2(3)(-+-=n n k f δδ,其Z 变换
=)(Z F ;收敛域为 。
8. 已知连续系统函数1
342
3)(23+--+=s s s s s H ,试判断系统的稳定
性: 。
9.已知离散系统函数1
.07.02
)(2
+-+=z z z z H ,试判断系统的稳定性: 。
10.如图所示是离散系统的Z 域框图,该系统的系统函数H(z)= 。
二.(15分)如下方程和非零起始条件表示的连续时间因果LTI 系统,
⎪⎩⎪⎨⎧==+=++--
5
)0(',2)0()(52)(452
2y y t f dt df
t y dt dy dt
y d 已知输入
)()(2t e t f t ε-=时,试用拉普拉斯变换的方法求系统的零状态响应
)(t y zs 和零输入响应)(t y zi ,0≥t 以及系统的全响应),(t y 0≥t 。
班级: 学生学号: 学生姓名: 适用专业年级:2007 物理 出题教师: 试卷类别:A (√)
、B ()、C ( ) 考试形式:开卷( √)、闭卷( ) 印题份数:
三.(14分)
① 已知2
3662)(22++++=s s s s s F ,2]Re[->s ,试求其拉氏逆变换f (t );
② 已知)
2(2
35)(2
>+-=z z z z
z X ,试求其逆Z 变换)(n x 。
四 (10分)计算下列卷积:
1. }1,0,6,4,3{}4,1,2,1{)()(21--*=*k f k f ;
2.)(3)(23t e t e t
t εε--* 。
五.(16分)已知系统的差分方程和初始条件为:
)()2(2)1(3)(n n y n y n y ε=-+-+,5.0)2(,
0)1(=-=-y y
1. 求系统的全响应y (n );
2. 求系统函数H (z ),并画出其模拟框图;
六.(15分)如图所示图(a)的系统,带通滤波器的频率响应如图
(b)所示,其相位特性0
)
(=
ω
ϕ,若输入信号为:
)
1000
cos(
)(
,
2
)
2
sin(
)(t
t s
t
t
t
f=
=
π
试求其输出信号y(t),并画出y(t)的频谱图。
参考答案
一填空题(30分,每小题3分)
2. 1 ; 2. e -2
; 3. )2
(2123
ω
ωj F e j - ;
4. 1 ,0 ;
5. 2
1
)('ω
ωπδ-
j ; 6. 2 л ;
7. 5223)(--+=z z z F ,|z|>0; 8. 不稳定; 9. 稳定 10.
214
14111
)(--+-=
z
z z H
二.(15分)⎪⎩⎪⎨⎧==+=++--
5
)0(',2)0()(52)(452
2y y t f dt
df
t y dt dy dt y d 方程两边取拉氏变换:
)
()617
21316()()()(;
)()2
1
21()(4
2/122/111459221)()
()37313()(;)4
3/713/134592)(4
552214592)(4
55
245)0(5)0(')0()()()(42422422
22
2t e e e t y t y t y t e e e t y s s s s s s s s Y t e e t y s s s s s s Y s s s s s s s s F s s s s s y y sy s Y s Y s Y t t t zi zs t t t zi zs t
t zi zi zi zs εεε-------------=+=--=+-
+-+=+++⋅+=-=+-+=+++=+++⋅+++++=⋅++++++++=
+= 三.1.(7分)
)0(22)(2)(22
1222
32223662)(2222≥-+=+-+
++=+++=++++=--t e e t t f s s s s s s s s s F t t δ 2.(7分)
)
()12(5)(,2;2
5
15)2)(1(5)(;
2
35)(2k k f z z z z z z z F z z z
z F n ε-=>-+--=--=+-=
为右边序列Θ
四. 1. (5分) {}4,1,22,21,4,11,2,3)(----=k f
2.(5分)
)
()(3|)(36)()(6)(3)(230220
)(33t e e e e d e e d t e e t e t e t t t t t t
t t t εττ
τετεεεττττ---------∞
∞
----=-⋅==-⋅=*⎰⎰
五. 解:(16分)
(1)对原方程两边同时Z 变换有:
1
)]1()2()([2)]1()([3)(121-=
-+-++-++---z z
y z y z Y z y z Y z z Y 2
32121161)2)(1)(1()(2+-++-=++-=∴z z
z z z z z z z z z Y
)(])2(3
2
)1(2161[)(n n y n n ε---+=
(2)2
12311)
(--++=
z z z H
六(15分)
)1000cos()(,2)
2sin()(t t s t
t t f ==
π
)
(5.0)(41
2)(2)
2sin(4412)2sin()(44ωωππωππg g j F t
t t t t f =⨯⨯=⨯⨯==
)1000cos(22sin )()()
()()()(,01001||999,
1)()
()]}1000()1000([*)(4
1
{)
()()()
(*)()()]1000()1000([*)(4)(*)(21
)()1000cos(
22sin )()()(4t t
t
t x t y j X j H j X j Y 其它j H j H g j H j X j Y t h t x t y g j S j F j X t t
t
t s t f t x ⋅=
===∴⎩⎨
⎧≤≤=-++===-++=
=⋅==πωωωωωωωωδωδωωωωωδωδωπ
π
ωωπ
ωπτ。